CHAPTER 1:
WHOLE DATES
| Contents
- |

Botanically the date fruit is a berry consisting of a single seed surrounded by a fibrous, parchment-like endocarp, a fleshy mesocarp and the fruit skin (pericarp). The fruit is attached to the spikelet by a perianth (calyx or cap).
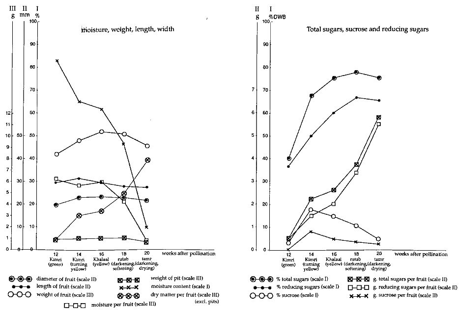
It takes up to about 200 days from pollination to reach full maturation (tamr stage). During its formation and ripening the fruit passes through a number of distinct phases, each of them distinguished by one or more particular characteristics, both physiognomically and chemically, which are represented in generalized form in figures 21 and 22 (adapted from 139, 117, 363, 468, 478, 497 and 40).
|
Figure 21: Formation and Ripening of the Dates |
|
Figure 22: Major Changes during Date Fruit Development |
These models help to understand the development of the date through basically 4 stages named by their Arabic denominations; kimri, khalaal, rutab and tamr. Hababauk is the term used for the female flower and the period just after pollination when the young fruit is still creamy white before gradually turning green at the kimri stage. At the kimri stage there is a rapid increase in size, weight, and reducing sugars; it is the period of highest acid activity and moisture content (up to 85%). All factors level off at the end of this stage when the fruit starts to turn yellow (or red according to variety). At this point the date seed could already germinate and the fruit is botanically mature. At the khalaal stage weight gain is slow but sucrose content increases, moisture content goes down, and tannins will start to precipitate and lose their astringency. In some varieties this latter process evolves rapidly, which makes them already palatable at the khalaal stage, and one could speak of commercial maturity for this type of fruit at this stage. With (normally) the tips of the fruit starting to turn brown, the rutab stage sets in which is characterized by a decrease in weight due to moisture loss, a partial (the degree depending on the variety) inversion of sucrose into invert sugar and a browning of the skin and softening of the tissues. The moisture content goes down to about 35% and the dates at this stage are sold as fresh fruit. Only when the dates are left to ripen further on the palm will they turn into tamr, climatic conditions permitting, characterized by a moisture content at which the date is self-preserving. The upper limit for the date to be self-preserving lies at around 24-25%.
Dates distinguish themselves therefore from most other fruit in that they have a botanical maturity and at least 3 distinct commercial maturation levels, the sweet khalaal, the rutab, and the tamr stage (Fig. 23).
|
Figure 23: Three Major Stages of Maturity in
which Dates are Consumed: |
According to variety and growth conditions date fruits (tamr) vary in shape, size and weight. Usually they are oblong though certain varieties may reach a near round shape. Length and width may vary from respectively 18 and 8 mm to 60 and 32 mm but averages at 40 and 20 mm (139). Average weight per fruit is about 7 to 10 gr.
In conclusion, a practical example is shown of the growth and compositional changes for the Ruzeiz variety of Saudi Arabia (Fig. 24, adapted from 504).
|
Figure 24: Morphological and Compositional Changes in the 5 Major Development Stages of Ruzeiz (Saudi Arabia) |
Knowledge of the qualitative and quantitative chemical composition of date fruit is of prime importance to the user of dates, in particular the packer, processor or trader, because it affects the possibilities and limitations of the raw material for the intended end-use. The consumers' interest will mainly focus on the organoleptic and nutritional properties of the product. There is a good deal of information to be found in date literature, mostly on individual varieties, but a general picture emerges of what the date fruit consists of and what are the average quantitative values. A summary is given below of the major components and their relationship to the post-harvest qualities of the fruit, especially from the viewpoint of the trader, packer, processor and consumer.
As has been referred to in the text before even at the natural stages of development, the date goes from one extreme of moisture content (85% at the early kimri stage) to another (5-10% in dry desert dates). In between there are several levels of importance, i.e. about 50-60% for sweet khalaal, about 35-40% for rutab, around 24% for entering the zone of self-preservation, and about 20% at which a large amount of dates are marketed because they are safe to store but have still retained a pliable and attractive texture. The above practical observations are confirmed by the equilibrium moisture content curve (Fig. 25 adapted from 139 and 469).
|
|
With the knowledge that moulds are unable to grow in an atmosphere below 70% relative humidity (for yeasts and bacteria even higher), the curve indicates a moisture content of 24% where dates are in equilibrium with surrounding air of 70% rel. humidity. Rutab at 35% is well above this level and must be considered perishable. The curve is further useful when considering storage conditions and drying of dates. Moisture content can be artificially manipulated by drying (either in the sun or by dehydration) to remove, or by (vacuum) hydration and steaming, to add water. Apart from microbial attack increasing moisture content also tends to increase biochemical processes in the dates such as darkening and softening. Increasing moisture content tends to decrease relative sweetness and bring outmore strongly the specific date flavours, hence the preference, generally speaking, for softer and rutab dates.
Sugars contribute the most prevalent single component and in the ancient date production countries the date has been used more as a sugar source than as a fruit. In Tibesti water is boiled with dates to make tea, the nomads boil milk with dates, or they are simply chewed to obtain daily calorie intake (361) (a date of 20% moisture content will provide about 3,000 Kcal/kg date flesh, for the greatest part derived from its sugar content). For practical purposes all sugars in dates consist of a mixture of sucrose (C12 H22 011), glucose (C6 H12 06) and fructose (C6 H12 06) of which the latter two are the derivations of sucrose after inversion. Total sugars (at the tamr stage) on a dry weight basis for the more known varieties in the world do not appreciably differ in quantity as shown in Table 5.
Table 5
Sugar content of dates from different countries
% Age |
||
| Average | Range | |
| USA (118), 21 varieties | 78 | 67-85 |
| Saudi Arabia (504) | ||
| Central, Northern Region, 15 var. | 77 | 67-83 |
| Eastern Region, 15 var. | 74.2 | 65-83 |
| Western Region, 10 var. | 78.3 | 74-87 |
| SW Region, 13 var. | 79.1 | 71-83 |
| Iraq (599), 4 var. | 87.1 | 86-88 |
| Iraq (353), 5 var. | 73.8 | 45-86 |
The relative amounts of sucrose, glucose and fructose are determined mainly by varietal characteristics, but it can be said that most dates belong to the invert sugar type, i.e. at the stage at which they are consumed, most if not all sucrose has been inverted into glucose and fructose by the enzyme invertase. An exception is the very important variety Deglet Noor of North Africa and California in which the inversion has only partially been completed at commercial maturity.
The practical and commercial sub-division of dates in "soft", "semi-dry", and "dry", based on their external qualities of texture and pliability at the tamr stage, is seemingly correlated to increasing sucrose content, but not always, with the Deglet Noor and to a certain extent the Zahdi as exceptions, the latter one also sometimes being classified as a dry date. Moisture and fibre content are expected also to play a role in determining whether a date is "soft", "semi-dry" or "dry". A few illustrative samples are given in Table 6 (118).
Table 6
Sugar content of soft, semi-dry and dry dates
% Moisture |
Total sugar |
Reducing sugars % on dry weight basis |
Sucrose % on dry weight basis |
|
| Soft
Barhee Khadrawy |
37.3 24.4 |
84.8 82.2 |
84.8 82.2 |
0 0 |
| Semi-dry Deglet Noor Dayri Zahdi Zahdi |
24.1 22.2 13.6 - |
77.1 75.7 78.2 82.0 |
38.6 70.4 70.7 64.6 |
38.5 5.3 7.5 17.4 (585) |
| Dry
Thoori Kinta |
15.5 - |
73.0 80.0 |
40.9 35.0 |
32.1 45.0 |
Though the ratio glucose and fructose originates from a one-to-one basis, this ratio may change during ripening, usually glucose remaining the prominent one. For practical purposes the relative percentages of sucrose, glucose and fructose are of no great importance to the consumer, though availability of glucose and fructose is sometimes propagandized as a more direct, accessible energy source to the human body. To the processor this varying amount of sugars in the fruit means that the date cannot be considered a commercial source of table sucrose like that derived from beet or cane, and that in the processing of the date he has to deal with fructose, which is a less stable and moreover, hygroscopic sugar.
Both substances occur in small amounts in the date flesh. Fat is mainly concentrated in the skin (2.5-7.5%) and has a more physiological importance in the protection of the fruit than contributing to the nutritional value of the date flesh (0.1-0.4%). Palmitic, capric and caprylic acid were identified as the major free fatty acids in the date flesh followed by linoleic, lauric, pelargonic, myristic acid and a number of others (278). Date pits contain a certain percentage of oil (see Chapter IV). Proteins occur in date fruit in the range of 1-3% and though their amino acid pattern is favourable to human needs, the amounts are too small to be considered an important nutritional source. When extracting dates for sugar, proteins may create turbidity in the juice and have to be removed. Proteins also play a role in non-oxidative browning (Maillard reaction) and in the precipitation of tannins during ripening. The amino acid composition, both as total and as free, has been investigated on several occasions (179, 453, 461).
d. Crude fibres (non-soluble solids)
These are usually connotated with the insoluble, non-nutritive portion of the date flesh, and mainly composed of cellulose, hemicellulose, lignins and ligno-cellulose, and insoluble proteins. During the ripening process these substances are gradually broken down by enzymes to more soluble compounds to render the fruit more tender and soft. In commercially ripe dates crude fibre amounts to 2-6% of the date flesh, but in low quality dates for industrial purposes this percentage will be higher, up to 10%. In one particular determination, date flesh was found to contain (on fresh weight basis) 1.55% cellulose, 1.28% hemicellulose and 2.01% lignin (relatively high and perhaps caused by the lignin content in the skin) (298). The consumer may, perhaps unconsciously, prefer a certain amount of crude fibre because in proper balance with moisture and sugars it gives "bite" to the date, and may also add to the supply of necessary dietary fibre. The processor has an interest in crude fibre content because it influences, like moisture content, the yield of his final product if that is based on the sugar content of his raw material.
Where it concerns insoluble pectin as part of the crude fibre content and which is gradually converted into soluble pectin, this is of considerable concern to the processor where filtering and concentration of date juice are part of his process (see Chapter 3).
Of the many data found in literature related to these two groups of substances, mainly of importance for nutritional purposes, a main conclusion emerges that dates at the stage of maturation in which they are normally and mostly consumed, contain:
i. vitamins A, B1, B2 and niacin in reasonable amounts, but
ii. no significant amounts of the other vitamins, notably vitamin C;
iii.a good source of potassium, calcium and iron, and
iv.a fair amount of chlorine, copper, magnesium, sulphur and phosphorus.
Enzymes play an important role in the conversion processes that ake place during formation and maturation of the date fruit and the activities of four of them are of particular interest to final product quality:
i. invertase: responsible for the inversion of sucrose into glucose and fructose and related to texture and pliability,
ii. polygalacturonase and pectinesterase both convert insoluble pectic substances into more soluble pectins, contributing to softness of the fruit,
iii. cellulase: breaks down cellulose into shorter chain substances with increasing solubility and eventually leading to glucose, thus decreasing fibre content,
iv. polyphenol oxidase is responsible for biochemical changes of polyphenols to which the tannins belong; they are important in non-oxidative browning reactions of the date.
Knowledge of the functions and activity of these enzymes is of practical importance to the packer and processor because by proper manipulation of heat and humidity the enzyme activity can be stimulated or depressed according to the desired result. Enzyme activity normally takes place in solution or moist atmosphere; the optimum temperature range usually falls between 30 and 40° C, over and below which the activity will decrease (for instance invertase at 50° C, loses 50% activity and 90% at 65° C after 10 minutes). Prolonged storage of dates under refrigeration or freezing is based mainly on the slowing down of enzyme activity. Practical examples of enzyme manipulation will be given in the related chapters following.
Alternatively enzyme preparations added to dates have been successfully used to provoke or hasten desirable conversions such as the use of invertase to improve the texture and appearance of "sugar wall" dates (551), pectic enzymes and cellulase in the quality improvement of mixed green dates (549) and cellulase for upgrading of substandard dry Deglet Noor (550).
Although in the above paragraphs over 95% of the constituents of the date flesh have been covered quantitatively, there are a number of substances that even in minute quantities have a decisive influence on the ulterior quality of the date. A few of these are mentioned:
i. polyphenols, to which belong the tannins which on a dry weight basis may constitute up to 3% of the date flesh. One of their main effects in the maturation process is when they change from a soluble form (astringent to the palate) to an insoluble form (tasteless), probably resulting from a combination with protein. As reported before, the timing of this conversion varies and determines to a large extent whether dates are palatable in the hard yellow (red) stage. Tannins are also believed to play a role in the darkening of dates at the post-harvest stages, though this was not confirmed by tests using tannins as a substrate for enzymatic browning by phenolase (311). The enzymatic browning reaction is now more attributed to the more simple polyphenols such as flavans (310), whilst the more complex tannins play a role in non-enzymatic oxidative browning. For practical purposes it can be stated that heat treatment of dates retards the browning in storage of dates which points to the fact that an enzymatic process is also involved.
ii. Organic acids: a number of organic acids such as citric-, malic- and oxalic acid, have been isolated from date flesh as contributors to flavour, though generally during maturation the acid content tends to go down. A definite correlation between increasing commercial quality and increasing PH (i.e. lower acid activity) was established for Deglet Noor. Most common PH values for dates range from 5.3 to 6.3 (470). Upon storage and more specifically at the onset of deterioration second generation organic acids are formed which makes the overall picture of what are to be considered "normal" values less determined (585).
iii. Others:
- Flavour volatiles responsible for the specific aroma of dates have not been much researched and little is known. For Zahdi dates 38 volatile compounds were identified, consisting of 2 unsaturated hydrocarbons, 5 aldehydes, 6 ketones, 5 alcohols, 3 phenols and 11 free fatty acids (239).
A positive correlation between volatile acetaldehyde content and quality differences of fresh dates was established. Acetaldehyde content dropped during a 5-month outside storage period (399).
- Pigments of various nature have been identified: caratonoids, anthocyanins, flavones, flavonoles, lycopene, carotenes, flavoxanthin and lutein in some fresh Egyptian dates (39); caretonoids were quantitatively determined for 3 varieties in different stages of ripening showing decreasing values with advanced maturity of the fruit (180).
Similar investigations for 8 Iraqi date varieties in different stages of development revealed chlorophyll, caretonoids, anthocyanin and anthocyanidin specifically in the early stages of development (Kimri and Khalaal) (385).
- Extraction of sterols from date flesh, leading to the identification of a.o. cholesterol, campesterol, stigmasterol, b-sitosterol and iso-fucosterol was the subject of a comprehensive study (279).
h. Quality profile of whole dates
So far, the inherent constituents of the date have been reviewed, which each in its own way takes part in the formation of the fruit. Because of genetic differences and growth conditions dates show, perhaps more than other fruits, a wide variety in their final appearance and quality as perceived by man. Moreover, fruit quality, apart from these inherent properties, is also determined by influences from outside, classified as degree of insect infestation, defects, presence of foreign matter (sand, dust, debris and the like) and pesticide residue.
To draw up a date quality profile will therefore involve an evaluation of:
- colour, shape, size, taste, texture, pit/date ratio and uniformity in colour and size of the fruit
- moisture, sugar and fibre content
- defects of the fruits, which may include discoloration, broken skin, sunburn, blemishes, shrivel, deformity etc.
- presence of insect infestation, foreign matter, pesticide residues, mold and decay
Some of these quality factors are subjective and their qualification is linked to individual preferences. For instance, some people may prefer the soft, moist dates that "melt" in the mouth, whilst others opt for a more chewy fruit. On insect infestation, foreign matter and pesticide residues there is no doubt, they should be eliminated or reduced to the minimum.
To arrive at acceptable and applicable quality standards for dates the main characteristics, especially the non-desirable ones, have to be quantified, preferably in figures, by which the ultimate grade of the date will be established. A number of countries have formulated and applied date standards at the national level (e.g. USA, Canada, Israel, Algeria, Tunisia, Oman) both for locally produced and imported dates. In an effort to arrive at global standards for dates the Codex Alimentarius Commission of the Joint FAO/WHO Food Standards Programme form-ulated a proposal for date standards intended to be the basis for world-wide application subject to the acceptance by governments (Appendix II, 154). Also the Economic Commission for Europe of the UN Economic and Social Council have proposed "Recommendations concerning the marketing and commercial quality control of whole dates moving in trade between and to European countries" (147), which have been incorporated in the Compendium of applicable standards issued by the Organization for Economic Cooperation and Development (OECD) (413).
In spite of some progress being made these standards have not as yet been made binding by all governments concerned. The reason for this, in the first instance, is probably the wide diversication in date fruits which make it more difficult to define the permissible practical quality limits on a global level. Secondly, too stringent standards may have a negative effect and a number of date producers will a priori be excluded for reason of being unable to meet the standards under the present production conditions. This became evidently clear when in the eighties Iraq and Iran virtually dropped out of the international market, and no other date producing country was able and ready to fill the gap. Quality standards are a useful tool to stimulate the improvement of the wholesomeness of produce provided the extra effort and cost to achieve this are compensated by higher revenues. It will, therefore, need the combined efforts of growers, packers, processers and traders to work towards an overall quality improvement of the date crop in tandem with gradually more rigorous quality requirements.
Whole dates are harvested and marketed at three stages of their development (Fig. 23). The choice for harvesting at one or any other stage depends on varietal characteristics, climatological conditions and market demand. They are as described before:
- (sweet) khalaal: dates, physiologically mature, hard and crisp, around 50% moisture content and over, bright yellow or red in colour, perish-able. This applies only to those varieties which are sweet at this stage such as the Lemsi of North Africa already referred to by travellers in the 17th Century (137).
- rutab: partially or wholly browned, reduced moisture content (average 30-35%), fibres softened, succulent flesh, perish-able.
- tamr: colour from amber to dark brown, bluish or almost black, moisture content further reduced (below 25% down to 10% and less), texture from soft and pliable to firm, to hard; protected from insects can be kept without special pre-cautions over longer periods.
Although all three groups find in part an immediate outlet in their natural form through the established trade channels, a number of techniques have developed to either prolong their storage, and thus their availability, or to improve the appearance and presentation of the product for better marketing possibilities. The next table gives an overview of those techniques for the three groups:
Table 7
Overview of treatments to whole dates
|
Manipulating |
Chemical treatment |
Storage |
Packaging |
Product |
|
| Khalaal i. |
Fresh khalaal | ||||
| ii. | Boiling, drying |
X |
Bagging | Khalaal matbuukh | |
| iii. | Freezing | Deep freeze |
X |
Frozen khalaal | |
| iv. | Vinegar, salt | Artificially ripened khalaal | |||
| v. | (Field) curing, drying | Pressing in jars or baskets | Jars or baskets | Pressed rutab/tamr | |
| Rutab i. |
Fresh rutab | ||||
| ii. | Cooling | Cold storage |
X |
Refrigerated rutab | |
| Iii. | Preservation | Preserved rutab | |||
| iv. | Field curing and drying | Pressing in jars or baskets | Jars or baskets | Pressed rutab/tamr | |
| Tamr i. |
Tamr | ||||
| ii. | Fumigation | Pressed in baskets or boxes | Bulk dates | ||
| iii. | Hydration, curing dehydration | Coating | Fumigation | Variety of packages | Retail packed dates |
The khalaal of those varieties that have lost their a astringency at this stage are the earliest to appear on the market as a fresh fruit (Fig. 27). Perhaps also helped by the fact that they are the "primeurs" of the date harvesting season they usually find a ready market, especially in the traditional date producing countries. The markets are normally of a local nature (Fig. 28), although in California a postal market service of khalaal exists initiated by some grower/packers through which khalaal dates are distributed all over the U.S. (Fig. 29). The customers are mainly foreigners who are acquainted with this type of fruit.
|
|
|
|
|
|
If supply and demand are in equilibrium the khalaal season will last for a couple of weeks, terminating the supply of those varieties most suited for this purpose and leaving the others to mature further on the palm. If, however, there is a surplus of khalaal, which occurs in particular in those regions where the climatological conditions prevent a full ripening of all or part of the crop, the fresh market cannot absorb the supply and methods have been developed to artificially turn khalaal into a more durable product. (Incidentally, it should be mentioned that the advantages of harvesting khalaal are: minimum infestation, possibility of cutting the whole bunch, easy washing and handling, high yield.)
Broadly these methods can be sub-divided in (a) accelerating the natural process of ripening (b) temperature treatment and (c) use of chemicals, or combinations of all three.
(a) Accelerating the natural ripening process can be achieved by putting, preferably, late khalaal in the sun on mats or elevated tables in protected areas (for instance, flat rooftops) and taking care to avoid rain and dampness during the night by covering the dates or taking them inside. In this way, by natural ripening, accompanied by drying, the dates will turn into rutab or even acceptable tamr. The process of sun drying may be further accelerated by cutting the dates in half, removing the pit, and exposing the flesh. But the moisture removal may go at the cost of completing the biochemical, mainly enzymatic, maturation process. Field drying and curing is therefore a balancing act between allowing time for maturation and gradual moisture removal but not exceeding the time for spoilage to occur. The introduction of improved sun drying techniques by the use of plastic covers or specially designed solar dryers will shorten this critical period considerably (342), but may arrest the full maturation cycle. The net obtainable result of this khalaal treatment depends much on local climate and skill of the operator. Artificially dried Khalaal at 55oC and a relative humidity of not less than 70% resulted in a well-ripened fruit after 72 hours.
(b) There are two main methods to prolong the storage for khalaal by temperature manipulation: boiling in water followed by sun drying and secondly, freezing. The first method is the most known and results in so-called boiled dates or khalaal matbuukh. The process consists of dipping the khalaal in boiling water for 20 to 30 min. or, depending on the date variety, even longer. The visual, but not fully explained, result is that subsequent sun drying proceeds at a much faster pace than when without boiling. In experiments where hot water treatment was applied both at 65-70° C and at boiling temperature, followed by drying, it resulted that dipping in boiling water gave a superior final product (255), which is a hard, light coloured date of long durability. Experiments on khalaal matbuukh from Zahdi dates in Iraq showed that 30-45 minutes cooking produced, after drying, a product with desirable texture, appearance and taste. 15 minutes cooking was insufficient to remove astringency whilst 60 minutes cooking caused skin breakage and browning (597, 601).
Apart from a varietal preference it has been established that the better results are obtained when using late khalaal (602). Another phenomenon in this process is the sugar loss during boiling. Again here there are varietal differences (257) with one variety losing more than the other. But losses can be considerable and go as high 20% (139). In tests in India it was found that after boiling for 18 minutes sugar losses were 16.7% (Medjool), 9.3% (Hillawi), 8.4% (Khadrawi), 7.8% (Shamran) which shows both the order of magnitude and varietal differences (257). Nevertheless, and in spite of this, boiled dates are a practical solution to convert a perishable surplus fruit into a durable product of which thousands of tons are still traded as a popular food.
Cold storage and freezing of khalaal has received some more attention in recent times when in the date producing countries domestic refrigeration and cold-chain distribution of foods has increased exponentially. In Iraq it was found that for khalaal of the Hillawi variety freezing and thawing to accelerate ripening gave superior results over heat or chemical treatment (72). Khalaal dates differ from the commonly known deciduous fruits in that they do not store well over prolonged periods above freezing temperatures like apples or oranges. The ripening process will continue and the softening of the tissues combined with high moisture content make them an easy prey for microbial contamination. Even below 0° C varietal differences are distinct. Whilst several Iraqi khalaal will store well for months at - 3° C (77) the common varieties from Bahrain would deteriorate, even at - 10° C. Only storage at - 18° C gave an assurance of no change for one year in that case.
Apart from prolonging the keeping quality of khalaal, freezing has a secondary effect. Upon thawing the khalaal will within a matter of hours turn soft and juicy (Fig. 30). It is believed that the formation of ice crystals during freezing ruptures the cell walls which provides, upon thawing, a liberal passage for the enzymes and other constituents of the fruit, accelerating the maturation process manifold. But only to a point. First of all, the so created rutab has a moisture content related to khalaal (about 50-60%), which makes it very soft and difficult to handle. This defect has been overcome, however, by combining thawing and a dehydration treatment at about 45° C reducing the moisture content as required (Fig. 31). Secondly, it has been observed that the maturation process after thawing proceeds much quicker in the date flesh than in the skin which remains relatively hard and is not like in a naturally matured rutab. At this point one could speculate whether cellulase treatment or other conditions could help to correct this situation. More investigations are necessary to overcome these problems if frozen khalaal is to become a means of extending the availability of fresh dates in the off-season. A few small commercial initiatives to freeze, store and market frozen khalaal have been undertaken with the special aim of making rutab available through the year on festive occasions when consumption of dates is of a long-standing tradition. However, the process and product need to be perfected for further expansion of this market (Fig. 32).
|
Figure 30: Thawing of Frozen Khalaal |
c) Under the pressure of obtaining a mature, useable product from the palm before adverse weather conditions may spoil the crop, many chemicals have been tried to accelerate the maturation process. These have been applied whilst the fruit is still on the palm, or when already harvested. But the results have not been very promising or cost effective, with the preference always going to a naturally tree-ripened fruit. Where circumstances force the grower to look for saving his crop, the traditional methods of the use of salt and acetic acid have been successful as demonstrated by the following examples:
- spraying of harvested khalaal (cv Khasab) with common salt solutions and/or acetic acid resulted in all cases of softening of the fruit after 24 hours, but the best result obtained, taking into consideration a number of parameters and organoleptic consequences, was with 2% NaCl solution (42).
- spraying khalaal with weak vinegar solution and keeping the dates for a day or so in a closed environment or protected by cloth has been common practice in North Africa, Israel and Spain (139, 87).
- Khadrawi dates harvested at the khalaal stage developed the best curing after treatment with 0.09% acetic acid + 1.5% NaCl solution (106).
- immature Barhee exposed for 1, 4 and 24 hours to acetaldehyde solution ranging from 1-6% strength changed from hard, yellow astringent to a soft, sweet, edible date in 1-5 days (218).
These few examples may illustrate that the use of chemicals, and several more could be cited, to accelerate ripening may have some benefit, not forgetting, however, that it is a method of "force majeur" involving extra work, cost and little hope of exceeding the quality of a naturally matured fruit. Only if the latter situation cannot be achieved, the grower can resort to remedies as described above to save his perishable khalaal.
The discussion on outlets and marketing of rutab follows much the same line as for khalaal, except that the date has passed one stage further in its maturation process on the palm, and which physiologically actually initiates the process of degradation.
|
|
|
B |
![]() C |
![]() D |
![]() E |
![]() F |

G
Figure 32: Process for Marketing Frozen Khalaal (Bahrain). a) Intake and weighing of freshly harvested whole buches; b) Washing hte whole bunch; c) Stripping dates from the bunch; d) Filling/weighing small packs; e) Machine wrapping in stretch foli; f) storage in carton boxes in deep freeze; g) Satisfied customers.
There is no doubt that a well matured rutab handled with care is one, if not the most, appreciated form in which the date is consumed and which gives the grower the highest rate of return from his palm (Fig. 33). However, rutab has three serious setbacks; it is produced in comparatively short periods with the tendency of production peaks, it is perishable and it is delicate, which makes handling and transport difficult and expensive. With local markets liable to become saturated and market expansion over longer distances hampered by costs of special treatment and freight, a local surplus situation can easily arise. The greatly improved communications and transport systems over the last decades have facilitated, however, the marketing of rutab and nowadays it is not uncommon to find rutab on the "exotic fruit" shelves in European markets (Fig. 34). If the climatological conditions permit, which is, after all, the case in many date growing areas, the rutab will mature further into tamr on the palm and be used that way. If, on the other hand, rutab suffers from a periodic surplus problem because it will not ripen or drop (Fig. 35), alternative ways to use them have to be found.
|
|
|
|
|
|
The basis for these methods is to prolong their shelf life by either preservation or by cold storage, or turn them artificially into a modified product that will keep, or into tamr, hopefully with as little as possible loss of the original quality.
The most traditional way of converting rutab is sun curing and drying which is still extensively practised in the coastal areas of the date countries bordering the Gulf and Indian Ocean where rutab tends to drop before reaching tamr stage. Curing and drying is done on mats in an often fenced-off area of the date garden (Fig. 36) or, in a more sophisticated way on screened elevated platforms, the latter definitely giving more protection from flying insects and rising dust (Fig. 37). A particular case are the sheds of southern Tunisia where Deglet Noor dates are cured on the bunch which gives a better result than when the dates are stripped from the bunch and then cured (478). Another example of the many variations in sun curing and drying is the beautiful prune-like Muzaafti of the Bam area in Iran. This rutab is more cured than dried in thick layers before being packed in boxes and sent to market. Under refrigerated storage these dates have been exported and marketed in Europe.
|
|
|
|
Even if this sun curing and drying takes the rutab out of the first delicate period in which deterioration would take place within days, it is normally not sufficient to secure a prolonged storage period, preferably up to nine months in order to have a continuing supply of food in the post-harvest date season.
At this point it may be useful to review the factors that adversely affect the quality of dates in storage:
(a) insect infestation: storage insects if left uncontrolled can devastate the date, materially, and organoleptically. The most notorious pests are the Fig Moth (Ephestia cautella, Walker), the Dried Fruit Beetle (Carpophilus Hemiptenus, L) and Storage Mites (Tyrophagidae), but there are many others.
Insect development in storage is favoured by:
- high initial degree of infestation prior to storage, (eggs)
- elevated temperatures and humidity of the air,
- higher moisture level of the date,
Prevention and control can consist of:
- keeping down or eliminating initial contamination,
- fumigation, either atmospheric or under vacuum,
- lowering storage temperature and regulating humidity of the air,
- lowering moisture content of the date, if consistent with quality retention,
- heat treatment of dates prior to storage,
- compressing dates to inhibit insects to penetrate or eggs to hatch.
(b) Microbial infestation: Dates of over 24% moisture in a warm moist atmosphere are an easy target for microbial attack, especially yeasts, but also moulds. The most common conversions are fermentation (alcohol), souring (lactic acid, acetic acid) and superficial mould growth.
Preventive measures are:
- to keep initial microbe counts down as much as possible
- lowering storage temperature
- keeping moisture levels down, if consistent with quality desired
- storing dates in adjusted relative humidity of the air in order they will
not increase in moisture content
- compressing dates to exclude oxygen and making them impenetrable
- heat treatment
- use of anti-microbial agents
(c) Darkening: Darkening of dates beyond the natural light to dark brown colour at harvesting is caused by several mechanisms:
- enzymatic oxidative browning (polyphenolase)
- non-enzymatic oxidative browning by involving the more complex tannins
- non-oxidative browning in which sugars and proteins play a role (Maillard reaction)
There is a positive correlation between the degree of darkening and increased moisture content, storage temperature and time as clearly demonstrated from experimental work (475). Preventive measures to reduce darkening are focussed on enzyme inactivation (heat treatment), exclusion of air (pressing, or storage in an inert gas atmosphere) and low temperature storage.
The traditional way of preserving rutab after sun curing and drying for a more prolonged storage, is very much based on compacting the dates into containers. Although this goes at the cost of losing the date's singular form and shape this operation of pressing combines several preventive actions against insects, microbes and deterioration. If done well, air will be excluded, reducing the darkening process. Moreover, the mass will not be easily penetrated by insects and also micro-organisms will be more restricted in their growth, especially aerobic yeasts. In addition, the type of container will be determining what type of rutab can be stored. Bags and baskets are less suitable for storage of rutab with high moisture, but earthenware jars closed off with clay and exposed to the sun prior to storage will be effective also for the wetter type of dates, even up to 30% moisture.
If compacting has been an efficient traditional means of prolonging the storage life of dates and providing a through-the-year food source, the resulting concentrated sticky mass is less suitable for presenting rutab to a more sophisticated market, where the consumer expects a recognizable, individual date fruit.
For a better understanding of how the rutab trade has or can be developed the moisture levels of the different stages are looked into again in some more detail (139):
Table 8
Average moisture content in the different development stages of the dates
| Moisture Content | |
| Kimri | 85% |
| Late Khalaal | 50% |
| Rutab tip browning " 50% " 90% " 100% |
45% 40% 35% 30% |
| Eq. moisture at 70% rel. hum., invert type dates | 24% |
| Tamr | 20% and less |
It should be remembered that the changes in moisture and related stages, apart
from varietal differences, are not as sharp as indicated but are part of a continuous
process. For rutab the moisture range, 35% down to 24% is important with
the following characteristics with decreasing moisture content:
i. decrease in weight (about 15%),
i. texture from soft to more pliable and firm,
iii. becoming less perishable, i.e. a date of 28% though still perishable will keep longer
than a fruit of 35%,
iv. liable to insect infestation at all levels,
v. decreased danger from microbial attack, though always present,
vi. reduced rate of darkening.
Essentially the packer, processor or trader is confronted with the problem of taking to the market a perishable product for which he would like a prolonged storage life without impairing the original quality of the fruit and at a cost which can be recuperated from sales. Assuming the insect problem is under control, microbial attack and darkening are the two moisture/time/temperature linked quality degrading factors, which can be counteracted in several ways. Firstly, reducing the moisture content by drying to such a level that microorganisms cannot attack and darkening occurs at a much slower rate. However, this takes the typical characteristics of soft rutab and therefore will not be further considered at this point. A second method is heat treatment (pasteurization) which will inactivate microbes and enzymes. However, to kill all microoganisms requires considerable temperature/time relationships.
Although there are no sharp minimum figures known for this, some examples of effective pasteurization are as follows (356): 20 minutes at 87° C, 50 minutes at 71° C, 60 minutes at 66° C.
Other reports show, however, that 4 hours at 71° C failed to kill all microorganisms and that many yeasts survived 30 minutes at 74° C (476).
The order of magnitude of these figures shows that though effective pasteurization can be achieved, from experience it is known that subjecting the dates to these temperatures will go at the cost of the organoleptic properties especially at the soft rutab stage. Heat treatment is therefore not practised for soft rutab also keeping in mind that in this stage the fruit is very delicate and would not tolerate frequent manipulation.
Many chemicals have been tried to prolong the storage life of perishable dates (198, 473, 409, 208, 282, 86, 476). Some chemicals like ethylene oxide had some effect but this has been banned for many years now in most countries. Others have difficulty in staying within established tolerance levels for residuals, like potassium sorbate, which, though effective as a 2% dip for prolonging storage life of fresh dates by 1-2 weeks (282, 409) leaves a residue on the date higher than the tolerance level of 1000 ppm. The use of chemicals for preservation, with their limited effect and the growing consumer consciousness against their use, has as far as is known, practically ceased to exist.
As a last resort the date merchant can turn to prolonging the storage life of rutab, and to reaching more distant markets, by the use of cold storage which is effective when executed at the correct temperatures correlated to the desired length of storage. From Figure 43 (478) an idea can be obtained of the effect of cold storage: a date of 30% moisture would spoil in a matter of days at room temperature (21° C) but keep for about 4 months at 5° C and 6 months at 0° C. But cost of refrigeration and refrigerated transport are high and moreover one must be assured of the appropriate distribution channels way down to the consumer.
In practice an overseas trade in rutab exists, but it is selective and made possible by a vastly improved transport and distribution system (where it exists) which allows merchandise to reach their destination within days, very much like the fresh strawberries and tropical fruits being available in mid-winter in the markets of the Northern hemisphere. With the proper manipulation of time of harvesting, curing and storage temperatures, storage life can be extended in such a way as to be assured of ample time for sales to be affected in specialized markets such as the pre-Christmas season for instance.
| Contents
- |