Economic valuation here serves as a basis for evaluating the trade-offs involved in the allocation of water resources between competing wants. Given the perspective outlined in Chapter 1, the focus is particularly on valuation of changes in functions provided by water resources under different allocation options. For the purposes of cost-benefit analysis, the impacts of alternative options for water resource use or management are specified in terms of the economic value using the common numeraire of money. Economic value is determined by the impact on social welfare, which is given by the aggregate impact on the utility of individuals in society.
The utility to individuals is determined by their preferences, which individuals express in the amount that they are willing to pay for goods and services. In addition to considering the economic value of water in terms of the common numeraire of money, the value of water also needs to be commensurable in terms of place, form and time. Water is a 'bulky' resource with high conveyance costs and, hence, its value may differ with location. Demand for water can also vary greatly over time (e.g. differences in demand for irrigation water in winter and summer). Thus, comparisons of value should ideally be in terms of raw water supplies at a specified point of diversion (Young, 1996).
Water resources are natural assets that create flows of goods and services over time. As outlined in Chapter 1, the key to valuation of water resources is to establish the functions that they provide, i.e. the link between the structures and processes of water resources and the goods and services they provide that are valued by society. If that link can be established, then the concept of derived demand can be applied. The value of a change in the functions provided by a water resource can be derived from the change in the value of the stream of goods and services provided. The goods and services can be categorized in various ways, for example, in terms of whether they are extractive or in situ. They are influenced by extraction and return flows, which affect the quantity and quality of water stocks and flows. These influences relate in an intertemporal way to the stream of goods and services provided, and require incorporation into any meaningful valuation analysis.
Table 5 provides a selection of the various classification systems used to describe the different types of values associated with the goods and services provided by water resources.
Rogers, Bhatia and Huber (1997) consider the value of water to be divided into economic value and intrinsic value. Turner and Postle (1994) consider the economic value of water resources and aquatic ecosystems in terms of four separate components, and Young (1996) distinguishes between five categories of water-related economic values and also considers the possibility of certain other value types. De Groot (1992) categorizes the components of ecosystem value according to the impact on welfare, using a broad definition that encompasses environmental, physical and mental health, employment and social contacts as well as material prosperity.
TABLE 5
Selected classifications of the value of
water
|
Rogers, Bhatia and Huber (1997) |
Turner and Postle (1994) |
Young (1996) |
De Groot (1992) |
|
Value of water use comprises economic and intrinsic value: |
The use and, therefore, value of water resources and associated ecosystems are divided into four categories: |
Water-related economic values are divided into the following classes: |
Value is categorized in terms of the nature of the contribution made to human welfare (defined broadly): |
|
Economic value of water: |
|
|
|
Intrinsic value of water: Intrinsic value of water includes the stewardship, bequest, and pure existence value. |
The categories are also sources of non-use or bequest value and all apart from the first category may provide existence value. |
Possible other values include intrinsic, ecosystem preservation and socio-cultural. |
Economic values: includes consumptive use, productive use and employment value. Described in terms of quantities (e.g. volume of a resource harvested), monetary units (e.g. value of the resource harvested), or the number of people employed in activities dependent on the given function. |
The approach advocated here is to describe the components of the value of water using the conventional categories of TEV (Figures 9 and 10). There are two main categories, use values and non-use values:
Direct use values arise from direct interaction with water resources. They may be consumptive, such as use of water for irrigation or the harvesting of fish, or they may be non-consumptive such as recreational swimming, or the aesthetic value of enjoying a view. It is also possible that 'distant use' value can be derived through the media (e.g. television and magazines), although the extent to which this is attributable to a specific site, and the extent to which it is actually a use value, are unclear.
Indirect use values are associated with services provided by water resources but that do not entail direct interaction. For example, they are derived from flood protection provided by wetlands or the removal of pollutants by aquifer recharge.
Non-use values are derived from the knowledge that a resource is maintained. By definition, they are not associated with use of the resource or tangible benefits that can be derived from it (though resource users may derive non-use values). Non-use values are linked to ethical concerns and altruistic preferences, although it can be argued that these ultimately stem from self-interest. They can be divided into three types of value (which can overlap): existence value, bequest value and philanthropic value. Existence value is the satisfaction derived from knowledge that a feature of a water resource continues to exist, regardless of whether or not it might be of benefit to others. Bequest value is derived from the knowledge that a feature of a water resource will be passed on to future generations so that they will have the opportunity to enjoy it. Philanthropic value is the satisfaction gained from ensuring that resources are available to contemporaries in the current generation.
There are two further types of value that are not categorized as either use or non-use values. These are option value and quasi-option value:
Option value is the satisfaction that an individual derives from the ensuring that a resource is available for the future given that the future availability of the resource is uncertain. It can be regarded as insurance for possible future demand for the resource.
Quasi-option value is derived from the potential benefits of waiting for improved information prior to giving up the option to preserve a resource for the future. This is based on a desire to take advantage of the prospect of improved information in the future and act on subsequent revision of preferences. It is the value placed on retaining flexibility, and on avoiding irreversible damage that might prove to be undesirable in the light of future information. An example is the value placed on conservation of a wetland until further information is available on the value of the species that are found within it.
TEV is determined as the sum of the components in Figure 9. In practical terms, this is limited to those components that it is feasible to quantify. Use of TEV in the analysis of alternative allocations ensures that the full social benefit of goods and services provided by water is taken into account. This is necessary to indicate to decision-makers the welfare improvement that is offered by alternative allocations. However, TEV does not provide an exhaustive assessment of the value of water resources to society. It measures the extent to which goods and services provided by water touch on the welfare of society, as direct determinants of individuals wellbeing or via production processes. It represents two fundamental sets of values: individual values and production values. Individual values include recreational and amenity values, as well as non-use values (existence, bequest and philanthropic values) of goods and services provided by water. Production values occur through the influence of water on the production and cost functions of other marketed goods and services (such as use of water as an intermediate good in irrigated crop production). The effects of this influence on the prices of other inputs and marketed goods and services translate into changes in individuals welfare.
|
FIGURE 9
|
|
FIGURE 10
|
Source: adapted from Turner, Bateman and Adger (2001).
However, as indicated in Figure 10, another set of values is supplementary to TEV. This represents the role of water resources in natural systems. It includes the value of services that stabilize natural systems and perform protective and supportive roles for economic systems. These values are more usually presented in relation to biodiversity, but are similarly applicable to water resources. They include the following (somewhat overlapping) categories of value:
inherent value: the value of those services without which there would not be the goods and services provided by the system (Farnworth et al., 1981);
contributory value: this represents the economic-ecological importance of species diversity. Species that are not of use to humans are important because they contribute to increased diversity, which itself contributes to the generation of more species (Norton, 1986);
indirect use value: this is related to the support and protection provided to economic activity by regulatory environmental services (Barbier, 1994);
primary value: incorporates the fact that existence of the catchment structure is prior to the range of function/good and service values (Turner and Pearce, 1993);
infrastructure value: this relates to a minimum level of ecosystem 'infrastructure' as a contributor to its total value (Costanza et al., 1997).
These values build on three important aspects of the ecology of natural systems:
Complementary relationships. Species coexist within natural systems, defined by complex relationships of interaction and interdependence. Survival of one species depends on the existence of other species, which in turn depend on others. This 'contributory value' focuses on the survival of species within the web of interactive relationships with each species contributing to the survival of others. Contributory value is based on the limited substitutability of species. This occurs because every species performs very specific duties within the ecological system. The role of contributory values is not usually taken into account explicitly, because the required knowledge (on ecological interrelationships) is unavailable, but it can be incorporated through adoption of a precautionary approach to resource management.
Keystone species. The persistence of natural systems in their current existing states may be dependent on a limited number of biotic and physical processes. These processes are directed by groups of species with complementary functions, known as 'keystone species'. Other species are redundant, although they can become keystone species under a change in environmental conditions. As long as species can substitute for each other under changing conditions, the balance of processes within the system can remain intact. However, reductions in the diversity of species in the system diminish the possibilities for substitutions under a change in conditions. This limits the capacity of the system to persist in its current state in the face of stresses and shocks.
Goods and services provided by a natural system are dependent on the structure and functioning of the systems. The goods and services provided are connected inherently to the integrity of the natural system and the totality of the structure and functioning of the system (Farnworth et al., 1981). This can be understood in terms of the concepts of primary and secondary value (Gren et al., 1994). The primary value describes the system characteristics: the self-organizing capacity of the system including its dynamic evolutionary processes and capacity to absorb external disturbances. It relates to the aspects of the system that "hold everything together" and is consequently also referred to as "glue value". Secondary value refers to the renewable flow of goods and services generated by the natural system. It is dependent on the continued operation, maintenance and 'health' of the system as a whole.
TEV does not give credit to this set of values and, therefore, is not exhaustive. Such values are particularly relevant to single function natural systems, the contributory value of which can only be addressed properly when the site is viewed within the context of the larger catchment system. The recognition of complementary relationships implies that the total value of catchment systems is infinite. This is similar to the consideration of water resources as a form of 'critical' natural capital (Dubourg, 1997). Here again, the value of water is infinite and the usual measures of value (market price and willingness to pay) do not reflect the true economic value of the resource. As a basis of human life, complementary relationships with water resources are indispensable under realistic technological and economic conditions. However, apparently marginal decisions (as perceived by different stakeholders) are important in the real world and, therefore, need to be considered. The problem is that knowledge about the consequences of resultant infringements on natural systems is incomplete. There is an unbridgeable gap in knowledge about natural system interrelationships and regularities. The benefits of protection will often only become apparent once the natural system has been disturbed or lost.
The task of sustainable management can be defined as sustainable utilization of the multiple goods and services generated by natural systems, together with "socially equitable" distribution of welfare gains and losses inherent in such usage. However, social welfare is affected both by changes in economic welfare and also changes in properties of natural resources that are associated with peoples sense of identity, their culture and which are of historical significance. Such properties are particularly important in the case of water resources, given the essential role of water for human life. The compilation of data for such properties is a qualitative exercise, involving more deliberative and inclusionary interest group approaches, such as consensus conferences, citizen juries and focus group interviewing. Different cultural views on social relations are assumed to give rise to different degrees of support for alternative decision-making procedures and for the underlying valuations elicited via the social discourse process (ORiordan and Ward, 1997; Brouwer et al., 1999). This has similarities to the so-called 'approved process' approach (Morgan and Henrion, 1990) in which all relevant parties observe a specified set of procedures or concept of due process to make a decision that balances conflicting values at the political level.
Some environmental analysts claim that natural systems also have non-anthropocentric intrinsic value and that non-human species possess moral interests or rights, or that although all values are anthropocentric and usually instrumental, the economic approach to valuation is only partial. These environmentalist positions lead to the advocacy of environmental sustainability standards or constraints, which to some extent obviate the need for valuation of specific components of the environment. However, it is still necessary to quantify the opportunity costs of such standards, or to quantify the costs of current, and prospective environmental protection and maintenance measures. Nevertheless, some commentators view it as feasible and desirable to manage the environment without prices. For example, ONeil (1997) found that in other arenas such as forestry and biodiversity management, issues concerning conflicts in value are resolved through pragmatic methods of argument between botanists, ornithologists, zoologists, landscape managers, members of the local community, and farmers.
A growing body of evidence suggests that some of the conventional economic axioms are violated systematically by humans in controlled experiments and in everyday life. To take just one issue, it seems likely that individuals recognize 'social interest' and hold social preferences separate from self-interested private preferences. The origin of this social interest may be explained by theories of reciprocal altruism, mutual coercion, or by sociobiological factors. Therefore, the distinction between the individual as a citizen and as a consumer is not an 'either/or' issue, but is more properly interpreted as the adoption of multidimensional roles by individuals.
As citizens, individuals are influenced by held values, attitudes, and beliefs about public goods and their provision. In this context, property rights (actual and perceived), social choices and moral concerns can all be involved in the conflict between conservation and development of natural resources. The polar view to the conventional economic approach holds that the very treatment of ecological assets such as biodiversity in terms of commercial norms is itself part of the environmental crisis. The argument becomes one of the 'proper' extent of market influences and commodification. Advocates of this perspective argue that market boundaries should not cover as many environmental assets as possible. Instead, society should give greater consideration to the nature of deliberative institutions for resolving environmental problems and the social and economic framework that sustains them (ONeil, 1997). A counterbalancing argument is that some environmental goods and services that have mixed public and private good characteristics (e.g. forests, catchments, areas with ecotourism potential and some aspects of biodiversity services) could be privatized or securitized (shares issued). In this way, self-interest and the profit motive can be made to work in favour of environmental conservation (Chichilnisky and Heal, 1998).
The quantification of the economic value of water resources and the identification of those instrumental values that it is not possible to quantify is of importance to the management of water resources for the five reasons (Georgiou et al., 1997) presented below.
The depletion and degradation of water resources imposes costs on nations, some of which affect the gross national product (GNP). Typically, the degradation of water resources contributes towards a reduction in GNP, whereas resource depletion contributes towards increases in GNP. However, GNP accounts do not include the costs imposed on society by resource depletion and degradation; although they would be included if GNP reflected more comprehensive measures of aggregate well-being. Although the empirical investigation of water resource depletion and degradation is in its infancy, the evidence available suggests that the costs of resource depletion and degradation are appreciable. Such estimates of resource costs estimates can play a useful role in assessing development priorities. As the costs of resource depletion and degradation are increasingly recorded and accorded greater significance, planners have greater incentives to prioritize these issues in their development plans.
As mentioned above, national accounts are deficient in the treatment given to environmental resources, such as water. Measures of economic activity ignore the resource flows that take place in the economy. These fail to record important activities that affect the sustainability of the economy and of well-being. Thus, there is a need to modify national accounts such that they record "stocks" and "flows" of natural resources. GNP should account for depreciation of resource stocks (including water resources) in the same manner that it incorporates depreciation of human-induced capital (net national income = gross national income - estimated depreciation of human-induced capital). This would provide a measure of the 'draw down' on water 'capital' and the losses that accrue to human well-being from the use of goods and services provided by water resources (e.g. through pollution of returns flows of water). Both adjustments involve economic valuation, although national accountants have not agreed how best to make the appropriate adjustments.
Information on the economic value of changes in water policy can assist governments in setting policy and sectoral priorities. A comparison of the benefits and of the costs of planned changes in policy is required in order to establish whether they are potentially worthwhile. Valuation can be used to influence the allocation of irrigation water, ensuring that water is directed towards priority areas (in addition to its role in efficiency pricing). For example, decision-makers can use it as an aid in the allocation of water between hydroelectric power generation and storage for irrigated agriculture. There is a particular need to review sectoral priorities in terms of economic benefits and costs, which has perhaps even greater force in the developing countries where government income is at a premium.
Environmental resource damage and benefit estimation falls conventionally under the remit of project appraisal. Extension of project appraisal to account for impacts of water resource degradation and depletion presents no conceptual problem for the benefit-cost approaches that are used. It is important that the environmental implications of projects and programmes be evaluated. Indeed, the overall returns to development programmes should be assessed with reference to environmental enhancement components. Investments in water resources are important components of public infrastructure budgets, and include irrigation, hydropower, urban and rural water supply, sanitation and flood control. Valuation is also employed in the assessment and implementation of policies that are used to monitor and manage water resource depletion and degradation. The policies can include standards (set by regulatory agencies) that require the polluter to bear costs in meeting the standard that are equal to the minimum estimated value of the damage that the pollution would cause. Valuation is also an important guide in the setting of environmental 'prices' in the form of taxes, charges or tradable permits. However, the accuracy and reliability requirements of monetary valuation results are much stricter for this purpose. Large estimation errors are usually unacceptable in view of the political sensitivity and potential consequences if tariff setting does not achieve the intended effect because it is based on the wrong information.
Economically efficient use of water resources is not necessarily sustainable. For example, the optimal rate at which a finite non-renewable resource is depleted requires a positive rate of extraction. In the absence of discovery of further identical resources, the resource must be exhausted eventually. Every unit of resource used today is at the cost of foregone use of a unit tomorrow. This is relevant to overextracted reserves of groundwater and poses the question of how much groundwater to pump now and how much to save for future needs. On the other hand, sustainability can be interpreted as a requirement that human well-being does not decline through time. Therefore, adoption of sustainable development as a goal creates a need for economic valuation to establish that human well-being does not decline through time. With 'weak' interpretation of the concept, sustainability can be defined such that the primary condition is for the aggregate stock of capital not to decline. This requires valuation of the capital stock to establish the extent of the stock and to monitor whether it is in decline. Thus, valuation can support pursuit of sustainability at the very least by helping to focus policy-maker and public attention on threatened resources.
However, the economic valuation of water resources is a crude and inexact science. The value of water varies widely according to factors such as the use it is put to, the socio-economic characteristics of users, its availability in space and time, as well as the quality and reliability of supply. It is not proposed that technocratic decisions on allocation should be made solely on their basis of estimates, or that they should be made in a routine fashion. Rather, it is proposed that the estimates obtained are useful for highlighting more general themes in water use that have major implications for policy (Briscoe, 1996).
The issue that is under investigation determines the scale of evaluation. For a specific isolated external impact, evaluation may be restricted to a limited number of affected variables. Where broader changes are involved (e.g. a change in land use in a catchment), partial analysis of a number of integrated parameters may be required. Because of the costs and effort involved, full valuations are usually avoided unless they are absolutely necessary, e.g. a situation where an entire catchment is under threat.
The geographical scale (or accounting stance) of a study is determined by the extent of the population affected by the impact under investigation. The accounting stance should be as encompassing in this respect as possible. Where the impact incurs only changes in direct uses of a water resource, the affected population consists of existing and potential resource users. However, this population does not necessarily live in close proximity to the resource as they may travel considerable distances to use it. Indirect use values may not be site specific in terms of those who benefit, e.g. interception of floodwaters by irrigation may yield benefits far downstream. Non-use benefits are derived over a wide geographical area, but are likely to be subject to 'distance decay' away from the site. In practice, a pragmatic accounting stance has to be adopted in specifying the scale, where the gains in accuracy are balanced against the costs of spreading the scale wider.
The temporal scale, combined with the discount rate, influences the present value of the streams of costs and benefits. The calculation of expected future costs and benefits involves estimating future demand. This is necessarily unknown but a range of possible values can be obtained through the assessment of likely scenarios and application of sensitivity analysis. The temporal scale also determines the trade-off between considering long-run versus short-run values. Decisions are more constrained and responses quite different in short-run contexts. Most public policy contexts relate to the longer term, although there are some circumstances, such as drought planning, for which short-run values are more appropriate.
This report advocates adoption of a functional approach to water resources. This involves considering the goods and services provided by water resources in relation to environmental structures and processes. However, it does raise issues that require attention in the aggregation of data on the benefits provided:
Attention is required to avoid the double counting of benefits. For example, if nutrient retention is integral to the maintenance of biodiversity, its value is "captured" in the value of the latter. Aggregation of the values of the two functions would result in double counting of the value of nutrient retention (Barbier, 1994).
Some functions of water resources may be mutually exclusive and, therefore, cannot be aggregated. For example, aggregation of the values for both extraction of surface water and recharge of groundwater would overestimate the benefits that could feasibly be derived from a water resource.
Interactions can occur between functions. For example, conservation goals may require alteration to the harvesting regime employed for reed beds, which reduces the gross margins of the beds. Some functions may be complementary, e.g. nutrient retention can promote biomass production.
In practice, the multiple functions of water resources make comprehensive estimation and aggregation of every function and linkage between them a formidable task. In particular, the ability to use water repeatedly or simultaneously for different uses means that competition and complementarity are important considerations in valuing water resources. Water resource allocation and management would ideally be considered under a general equilibrium framework, although this is extremely difficult in practice. This also means that total valuation (estimation of the full value of a water resource) is undertaken only when necessary. Management decisions are more commonly assessed using impact analysis (which assess the damage arising only from a particular impact) or partial valuation, based on a sectoral approach or on specific functions of a water resource. Such a partial approach means that a number of considerations must be taken into account. First, the different ways of calculating values may result in fundamentally different definitions of value, for example, which are specific to certain time frames that differ between the uses considered. Second, values may be based on average or marginal concepts, which are quite different concepts. Use of marginal values is required for the purposes of efficient allocation.
It is frequently necessary to choose between options that differ in temporal patterns of costs and benefits, or that differ in their duration. Discounting provides a common matrix that enables comparison of costs and benefits that occur at different points in time. Use of discounting is integral to cost-benefit analysis and cost-effectiveness analysis.
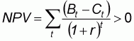
Discounting converts the stream of costs and benefits over time into a stream of 'present' values. The difference between the value of the discounted benefits and costs is referred to as the NPV. A management or policy option is economically viable only if NPV is positive, as described in Equation 1:
|
|
(1) |
where Bt and Ct are benefits and costs in year t respectively, and r is the discount rate.
The rationale for discounting is that costs and benefits that occur in the future are not valued as highly as those that occur in the present. There are two explanations for this:
Time preference (or the "consumption rate of interest"). Individuals prefer consumption in the present to consumption in the future. Reasons for this include:
the risks involved in delayed consumption;
anticipation of increased wealth in the future, which reduces the relative worth of postponed consumption (i.e. decreasing marginal utility of consumption);
'pure' time preference or myopia.
The opportunity cost of capital. Financial capital that is not consumed in the present can be invested and expected to increase in value by the rate of interest. Therefore, there is an opportunity cost associated with present consumption of financial capital, which is the return that could be derived from its investment (as indicated by the rate of interest).
The choice of discount rate can have a significant effect on economic viability of management options and their relative economic ranking. It signals the rate at which future consumption is to be traded against consumption in the present. Use of a high discount rate discriminates against the future. It discriminates against options that involve high initial costs and a stream of benefits that extends far into the future (e.g. creation or restoration of a wetland). Instead, it favours options that have immediate benefits and a lag in incurring costs. This has been described as the 'tyranny' of discounting (Pearce, Markandya and Barbier, 1989).
High discount rates tend to be justified based on the opportunity cost of capital, although to be correct this is relevant only for financial analysis, which is not the examined here. In general, they are likely to encourage depletion of non-renewable natural resources and exploitation of renewable natural resources, reducing the inheritance of natural capital for future generations. Low discount rates favour the future but could discriminate against and hamper immediate economic development. They encourage investments which would otherwise not have been viable and which could be associated with an even more rapid depletion of natural resources (Fisher and Krutilla, 1975). Therefore, the impact that the discount rate has on the environment is ambiguous, and it is not clear that the call for use of lower discount rates to incorporate environmental concerns is generally valid.
A social rate of discount is used to evaluate the impact of management options on intergenerational welfare. Such evaluations take intergenerational welfare into consideration. The maintenance of future welfare can be regarded as a public good, in which private individuals will tend to underinvest. As a result, the social discount rate is lower than the equivalent rate of discount for individuals. The social discount rate is measured either as the social rate of time preference or the social opportunity cost of capital. Care has to be taken in developing-country contexts, where the use of consumption rates of interest (which are likely to exceed 4-6 percent) may not account adequately for concerns about the inheritance of environmental problems by future generations.
The social discount rate can also be adjusted to reflect temporal trends in the net benefits of environmental preservation and development. The net benefits of such preservation are likely to increase over time as demand for environmental services rises under conditions of limited or declining supply. Conversely, the net benefits of development projects are expected to decline over time due to technological advancement. These trends can be incorporated into economic evaluation through appropriate adjustment of the social discount rate, e.g. by decreasing the discount rate applied to preservation benefits and increasing the rate applied to development benefits (Hanley and Craig, 1991).
In the case of risk, meaningful probabilities can be assigned to the likely outcomes. In the case of uncertainty, probabilities are entirely unknown. Risk can be incorporated into an evaluation by attributing probabilities to possible outcomes, thereby estimating directly the expected value of future costs and benefits (Boadway and Bruce, 1984) or their 'certainty equivalents' (Markandya and Pearce, 1988). A premium for risk can be incorporated into the discount rate used for the analysis. However, such adjustment is not recommended as it is arbitrary, often subjective and attributes a strict (and unlikely) time profile to the treatment of risk.
In an economic evaluation, uncertainty is associated with physical outcomes and their economic consequences. For water resources, the necessary assessment of possible outcomes and the likelihood of perturbations to what is a highly complex system is inevitably fraught with difficulty. However, this is a necessary component of an economic evaluation. For each management or policy option under consideration, the range of possible impacts needs to be identified and quantified as far as possible. A particularly important issue relating to uncertainty in physical effects is the possible existence of thresholds beyond which disproportional and irreversible effects can occur.
There is also uncertainty that relates to the physical and economic conditions that will prevail in the future. For example, a change in regulations concerning agricultural production could cause farmers to respond with a change in land use. In turn, this could affect nutrient concentrations in runoff and thereby affect the value of the nutrient retention function provided by a wetland. Similarly, individuals can alter their behaviour in response to changes in water resource functions. For example, farmers might respond to an increase in flooding with a change in cropping patterns. Such uncertainties can influence projected benefits and so also need to be incorporated into any evaluation of options.
Uncertainty is incorporated into economic evaluations through the use of sensitivity analysis or scenario analysis. In sensitivity analysis, various possible values are used for key variables in the evaluation, such as the discount rate, the extent of functions, and economic values. This provides a range of estimates within which the true result can be expected to fall. It can create ambiguity, but is a necessary component of any economic evaluation. Scenario analysis can also be used to incorporate uncertainty through comparison of results using parameter values that represent different possible future scenarios.
Costanza (1994) points out that 'most important environmental problems suffer from true uncertainty, not merely risk.' In an economic sense, such pure uncertainty can be considered as 'social uncertainty' or 'natural uncertainty' (Bishop, 1978). Social uncertainty derives from factors such as future incomes and technology, which influence whether or not a resource is regarded as valuable in the future. Natural uncertainty is associated with imperfect knowledge of the environment and whether it has unknown features that may yet prove to be of value. This may be particularly relevant to ecosystems for which the multitude of functions that are performed have historically been unappreciated. A practical means of dealing with such complete uncertainty is to complement the use of a cost-benefit criterion based purely upon monetary valuation with a safe minimum standards decision rule (discussed below).
The standard procedures for economic evaluation do not account for irreversible impacts, such as the extinction of species or exhaustion of minerals. Under such circumstances, account needs to be taken of the uncertain future losses that might be associated with potential irreversible change. Some protection to the interests of future generations can be offered through the imposition of the safe minimum standards decision rule (Ciriacy-Wantrup, 1952; Bishop, 1978; Crowards, 1996).
The safe minimum standards decision rule recommends that conservation be adopted when a development activity that has an impact on the environment threatens to breach an irreversible threshold (unless the costs of foregoing the development are regarded as 'unacceptably large'). It is based on a modified principle of minimizing the maximum possible loss. Therefore, it differs from routine trade-offs, which are based on maximizing expected gains, e.g. cost-benefit and risk analysis. However, activities that result in potential irreversible change are not rejected if the associated costs are regarded as intolerably high.
A critical aspect in the application of the safe minimum standards decision rule is specification of the threshold for unacceptable costs of foregoing development. The degree of sacrifice is determined through full cost-benefit assessment of the development option, including estimable costs of damage to the environment. The decision as to whether conservation of natural resources can be justified (and rejection of the development activity) is political, constrained by societys various goals. In this sense, safe minimum standards provide a mechanism for incorporating the precautionary principle into decision-making. Even in the absence of proof that damage will occur, society may choose to conserve in order to limit potential costs in the future (Crowards, 1997).
The concept of safe minimum standards has usually been applied to endangered species. However, it could equally be applied to irreversible impacts that threaten water resources. Where thresholds of water resource processes are threatened with irreversible change, the use of safe minimum standards provides a decision framework that gives more weight to concerns of future generations. It promotes a more sustainable approach to current development and can provide an appropriate supplement to standard analysis of economic efficiency.
Safe minimum standards are closely related to sustainability considerations (Pearce and Turner, 1990). Sustainability essentially requires that the stock of natural capital available in the future is equivalent to that available at present. The concept of sustainability has been partitioned into two approaches: weak sustainability and strong sustainability (Turner, 1993). Weak sustainability requires that the total stock of capital, whether human-induced or natural, be maintained. It rests upon the assumption of substitutability between these two types of capital. Economic theory suggests that decreases in supplies of natural resources cause their prices to increase, which encourages more efficient use of natural resources, substitution with other goods, and technological advancement. However, complete substitution is not always possible because of physical limits on the efficiency and availability of opportunities for substitution, the question of whether human-induced capital can compensate fully for all the functions provided by complex ecosystems, and the existence of "critical" natural capital and thresholds beyond which reversal is not possible. The more stringent interpretation of strong sustainability requires that the total stock of natural capital be non-declining. Under this criterion, projects should either conserve the natural environment or ensure that losses incurred are replaced or compensated fully for in physical terms by the implementation of 'shadow projects' (Barbier, Markandya and Pearce, 1990).
An alternative way of for accounting for potential irreversibility in the analysis of discrete development-conservation choices (e.g. if a development entails exploitation of a water resource to exhaustion) is to include the preservation benefits foregone as opportunity costs in the cost-benefit analysis. Future development benefits that occur as a result of relative price effects and technology changes are discounted and also included in the analysis. This approach is known as the Krutilla-Fisher algorithm (Krutilla and Fisher, 1985). Irreversible change can also be incorporated into the evaluation through adjustment of the social discount rate to allow for temporal trends in the benefits of preservation (discussed above).
It is inevitable that some of the data required for an economic evaluation will not be readily available. Budgetary constraints often limit extensive collection of original data. Where data are limited, this should be acknowledged and the measures taken in response to this limitation specified clearly. The results and recommendations should be made explicitly conditional on these limitations.
The various techniques used to value non-marketed goods and services are each associated with specific data limitations. These limitations are included in the discussion of each of the techniques presented below. They can be particularly acute in applications in developing countries.