These are a series of broad channels and embankments constructed at a suitable spacing along the graded contours of gentle slopes. The terraces are built with either a variable or uniform, non-erosive grade leading to a safe outlet. They are also called channel terraces.
Criteria for selection
- For countries with ample land resources and large-scale mechanical equipment: use the normal broader embankments and channels.
- For countries with limited land resources, high population density, and a lesser degree of mechanization: use the modified, narrow embankment and channel.
- To reduce slope length and minimize erosion.
- To intercept run-off from cultivated land or rangeland at frequent intervals and divert it to protected waterways or run-off disposal areas.
- To use spacings between each terrace and the ridge of the terraces for growing crops or forage.
- In humid regions where water erosion is a problem and drainage is necessary.
- For cultivation purposes on slopes not exceeding 8% on erodible soils and not exceeding 12% on erosion resistant soils. For the initial period of establishing grass cover or pasture, the slope limit can be as high as 15%.
- In areas where there are large farms with a high degree of mechanization.
Length: The length should not exceed 350 m for one direction of flow.
Width: 8 to 15 m for broadbased terraces for mechanization; 3 to 4 m for modified narrower terraces.
Gradient: Because of the length of the terrace, the channel grade shouId be limited to 0.1 to 0.5%, depending on soils. Sometimes a variable grade can be employed; e.g. 0.1% at the beginning of the terrace and 0.5% at the outlet for better discharge.
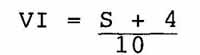
VI: For humid regions, erodible soils or narrower terraces; the VI can be determined as follows:

S : slope in percent (%)
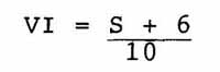
For less humid regions and normal soils the following formula should be used:

The USA formula for hillside ditches may also be used.
Horizontal spaces: Can be determined using the following formula:
![]()
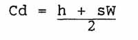
Depth of cut: Once the depth of flow is determined from estimation of runoff and velocity, the necessary depth of cut (same as that for filling) can be calculated as follows:

Cd : depth of cut in cm
h : depth of channel (depth of flow plus freeboard, i.e. 8 cm)
s : original land slope, in percent
w : width of side slope (all three are assumed equal)
Width of slope: for mechanization, both the front and back slope should be sufficiently wide and gentle. The suggested width for the side slope is 4 m or more while its suggested gradient is 5:1 or less. For pasture/rangeland or for non-mechanized cultivation methods, the width can be reduced and the side slope increased. Parallel terrace systems with straighter terraces are suitable for mechanized cultivation. This terracing system will be more successful in the long run if, at the beginning of the operation, variable channel gradients are used and extra cutting and fitted are carried out.
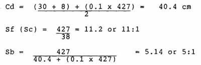
The width of the side slope is determined by the machine width once the channel depth (h) and the depth of cut (Cd) are known, the side slopes can be calculated according to the following formula:

Sf : front slope Sc : cut slope Sb : back slope


Example: Compute the depth of cut and fill and the side slopes of the terrace for a 30-cm depth of flow on a 10% slope using equipment which is 427 cm. wide. (For diagram see Fig. 12).

Cross-sections: The channel should have the capacity to drain the run-off fro he land above using data for storms over a 10-year return period. The minimum requirement for cross-sectional areas in North America is listed below for reference:
- 0.75 square m on slopes less than 5%
- 0.65 square m on slopes from 5% to 8%
- 0.55 square m on slopes steeper than 8%.
These figures refer to channels which are at least 30 to 45 cm deep. After calculating the widths of side slopes, the depth of cut and gradients of side slopes, as shown earlier, the cross-section of cut (same for filling) can be aproximately computed using simple trigonometry. The volume per ha can be obtained by multiplying the linear length by the cross-section.
Diagrams: see Fig. 12
Tables: Table 5 contains formulas for calculating the VI on different slopes and the linear length per ha.
A safe outlet area should be located. This must be either a natural vegetated area or a proposed waterway. The layout is similar to that for hillside ditches. Either the VI or the horizontal interval (HI) can be used to calculate the layout of spacings between two terraces. Surveying should begin from the top slope and proceed downwards, terrace by terrace.
If variable grades are needed, a tripod level should be used to start the survey from the outlet end with the steeper gradient (e.g. 0.5%) and work gradually up to the other flatter end (e.g. 0.1%). The spacings can be adjusted within a range of 10% to 25%, depending upon crop needs and the outlet conditions. A good outlet point is essential.
Any sharp turns and narrow bottlenecks should be smoothed out. The parallel staking of terraces, although it entails extra cutting and filling, is strongly recommended. Generally, the centre line of the channel is staked out, although it risks being easily knocked down during the construction operation. If necessary, one or two side stakes can be added or replaced to indicate the width of the terraces.

After setting channel stakes, plough first furrow 1.5 m downhill from channel stakes and return furrow 4.5 m downhill from channel stake as indicated. Locate first furrow and return furrow by staking or by two men with a rod held between them. One man walks the channel stakes, the other walks ahead of the plough. When the first five rounds are completed, start successive ploughings by numbered rounds. Note irregularity beginning with return trip of round 11.
If terrace ridge is not the desired height, additional ploughing may be necessary. To increase the size and width, additional rounds per ploughing may be necessary. (After USDA)

After setting channel stakes, set a second row of stakes at 15 m intervals (closer on sharp curves), 3.3 m below channel stakes. This row marks the first ploughing.
Start the first ploughing by throwing furrow slices against the lower stake line. Return empty, packing the terrace, unless the adjoining land is to be ploughed. Start each successive ploughing with the front bottom picking up the third furrow slice (arrow) of previous ploughing. Crowd over if necessary to form a smooth backslope.
If the terrace ridge is not the desired height, additional ploughings may be necessary. To increase size or width, additional rounds per ploughing may be necessary. (After USDA)

First ploughing: After setting the channel stakes, plough the first trip 1.2 to 1.5 m downhill from the stake row and return furrow 4 to 5 m downhill from the stake row. Locate first trip and return by staking or by two men walking with a rod held between them.
Second ploughing: Start with plough being one furrow closer to center of island as indicated.
Third ploughing: The upper side of the ridge should be started with the plough just below the ridge top as shown. On the lower side, ploughing should start just below the hallow, as indicated.
Fourth ploughing: This stage may not be needed often, if soil conditions are right, the first three ploughing will be adequate. If a fourth ploughing is needed, it should be started near the top of the ridge on the upper side. Furrows should be shallow on the lower side, they should start just below the toe of the slope. If the operator decides trips three and four are not needed to alleviate the channel on the lower side, they may be made as alternate trips on the upper side, throwing soil either away from the channel with the rotor at high speed, or scattering on the channel and ridge. (After USDA)

A bulldozer will operate under conditions in which other types of equipment cannot function efficiently, such as in extremely dried-out soils.
The area should be ploughed before starting construction to ensure more uniform terrace construction and save time.
Two methods, staggered cut and straight cut can be used, as shown.
The roughing-in is accomplished by making three "cuts" and "bucks". After that, two or more rounds are made lengthwise to shape the slopes and the channel. (After USDA)
Preparation of the field includes filling in gullies and old furrows, levelling old fence rows and removing vegetation in the proposed cut and fill area. On heavier or stony soils a pushing and filling operation using heavy equipment such as a bulldozer or a motor patrol is recommended on light soils a whirlwind terraces which throws soil out on both sides or an elevating grader can be used on narrower terraces an animal draught plough, or scraper can be used to cut and fill. A disc or moldboard plough can be used to lift and roll soil from one or both sides.
Figs. 12 a, b, c and d illustrate various construction methods and procedures and the different equipment required. Final checking of gradients with a tripod level is essential to ensure the correct grades of drainage.
The output per hour of machines or draught animal tools per day depends on soil texture, condition, slope and topography, kind of equipment used, experience of operators and the specification of the terraces. The following figures can be used for general reference:
| - Fresno scraper and plough using draught animal: | 12 - 16 cubic m a day |
| - Medium sized bulldozer such as D-6: | 100 - 150 cubic m per hour |
| - Whirlwind terraces or elevating grader: | 100 - 200 m length per hour for light soils and normal widths |
| - Disk plough: | 50 - 80 m length per hour for normal widths |
When other condition are equal, the longer the terrace, the more convenient it will be for machine operation and hence the cheaper the cost. The narrower the terrace and/or the smaller the cross-section, the cheaper the cost will be. The smoother the ground surface, the cheaper the cost will be.
Machine-built terraces generally prove efficient and are cheaper in many countries. However, in developing countries or areas where machines are not available, a Fresno scraper can be more cost effective than using purely manual labour.
A sound road system connecting all the terraces is required for efficient mechanized cultivation. In humid regions or on erodible soils, a protected waterway should be established prior to the construction of terraces. For cultivation between two terraces, auxiliary/agronomic conservation measures should practised. These generally include contour planting, contour furrowing or ditches, mulching, cover cropping and rotation.
Protection
The waterways' outlets or naturally vegetated areas should be protected and kept free from disturbance. Channels should not be used as roads and any obstacles in the channels must be removed promptly.
Maintenance
Remove silt bars and place on the terrace ridge. The ploughing method should be varied each year to prevent the formation of a second ridge above the channel. Make sure the outlet ends are kept open. The terrace profile and ridge height must be constantly checked and maintained.
|
Vertical Intervals - (m) |
Linear Length (m/ha) | |||||
| Slope |
S+4/10 |
S+6/10 |
S/10+ 2 | S+4/10 | S+6/10 | S/10 +2 |
|
2 |
0.6 |
0.8 |
2.2 |
333 | 250 |
90 |
|
4 |
0.8 |
1.0 |
2.4 |
500 | 400 |
166 |
|
6 |
1.0 |
1.2 |
2 6 |
600 | 500 |
230 |
|
8 |
1.2 |
1.4 |
2.8 |
667 | 571 |
286 |
|
10 |
1.4 |
1.0 |
3.0 |
714 | 625 |
333 |
|
12 |
1.6 |
1.8 |
3.2 |
750 | 667 |
375 |

These terraces are constructed on a true contour with a ridge which act as an impounding reservoir when the ends are closed. Like the graded type, they are built across gentle slopes at a suitable spacing. They are also called ridge terraces.
Criteria for selection
- In large countries, use the normal broadbase type.
- In small countries with a high popultion density, use the narrower base type.
- To reduce slope length
- To intercept run-off and facilitate infiltration
On slopes of less than 3% with low rainfall where water erosion is a problem but drainage is not necessary because of soil permeability.
Length: The terrace length can be much longer than the channel type. In North America, for example, they can extend to 1 000 m.
Gradient: the channel gradient is absolutely level. The channel's end can be permanently closed, open or seasonally closed depending on the farmer's needs.
Width: Similar to the channel type.
Ridge: The ridge top should be level. The area immediately above the ridge can be levelled in order to store extra run-off. The proportion of level ground to the overall space depends on various factors such as soil, cover and rainfall.

VI: This is similar to the channel type. The following formula for determing the VI is used:
S : slope in percent > (3).
Spacings, side slopes and linear length: These can be calculated in the same way as for graded terraces.
Same as Fig. 12
The same as for graded type terraces except that they should be staked out on the level. Normally, the centre line of the ridge should be staked out. By doing this, the line of stakes can remain during construction work.
The embankment for this type of terrace is normally built of soil taken from both sides of the ridge in order to obtain enough material for a sufficiently strong and high ridge. Allowances should be made for subsequent soil settling when building. When a larger storage of run-off is planned, a piece of land immediately above the ridge should be levelled. The end of the terrace can be either closed or open to a protected area. The other construction methods and procedures are similar to those for graded terraces.
The same as for graded terraces.
The same as for graded terraces.
If seasonal closing of terrace ends is planned, it should be done at the appropriate time every year. In all other respects, the operation and management is similar to that for graded terraces.
Photo 6. Natural rock terrace.

Special attention should be paid to the protection and maintenance of ridges. Any overtopping or leakage by the trapped water should be promptly controlled. Tillage should be carried out with care so as not to damage the ridges. When cultivating the land between two terraces, contour furrows can be employed as an auxiliary measure to store extra run-off water.
These are initially constructed as low contour dykes using either earth or rocks. They are employed on gentle slopes for the purpose of gradually forming level bench terraces over several years of cultivation. The terraces can have either a horizontal gradient or be level, depending on climate and soil conditions. Rock dykes can be built where rocks are available on the site. The use of rocks will not only strengthen the dyke but also help clear the field, thus facilitating better tillage.
Criteria for selection
- On sites where soil permeability is good and rainfall intensities are not high: use level contour dykes.
- For sites with heavier soil or for humid regions: use graded contour dykes.
- To break long slopes into a series of shorter slopes.
- To reduce run-off and soil erosion by restraining water flow along the contour dykes.
- To gradually form natural terraces for cultivation purposes.
- To save on the labour required for constructing full bench terraces.
- On slopes not exceeding 12%.
- On permeable soils with high infiltration rates.
- In less humid regions, semi-arid or arid areas.
- In areas where small farms predominate.
Length: Should not exceed 100 m in humid areas but can be much longer on large farms in arid regions.
Horizontal gradient: There should be no gradient for contour dykes constructed on permeable soils in less humid or arid regions. A gradient ranging from 0.5 to 1% is recommended for heavy soils or for humid regions.
Spacings: The spacings or horizontal distances vary according to the slope when the VI is fixed. For instance, steeper slopes will result in narrower strips for cultivation. The following formula is used for determining spacings or horizontal distance (HI):
![]()
Thus, on a 12% slope, the horizontal distance is determined as follows:

VI: A fixed VI of 1 m is employed on all slopes up to 12%.
Cross-sections: Height - 50 cm (half of the VI); Width - from 1.0 to 1.5 m at the Base depending on the slope, narrowing to 50 cm at the top. Side slopes - for earth material, 0.75:1 to 1:1 or varied at two sides; for rocks, 0.5:1. The cross-section of a dyke can be roughly calculated using the ordinary trapezoid formula, below.

a : width of the top
b : width of the bottom
h : height of the dyke
Dyke area: The following formula is used for calculating the dyke area:

L : linear length
Wd : width of dyke.
Example: using the above HI (8.3 m), the total dyke area on 12% slope is calculated as follows, assuming the base of dyke is 1.5 m:

Linear length and volume: once spacings are obtained, the linear length per ha can be calculated using the same procedure as that for hillside ditches. Volume per ha can be obtained by multiplying the linear length by the cross-section.
Thus, V = L x C
C : cross-section.
Fig. 14 shows typical cross-sections of a dyke built with earth and rocks on a gentle slope.
Fig. 14. Dykes built by earth or rocks on gentle slopes.


General layout is similar to that for hillside ditches and other types of discontinuous terraces. An up-and-down base line should be set. A fixed VI (1.0 m) should be used to stake out the dyke sites along the base line. Then, stake out the centre of the dyke on contours or graded contours depending on drainage needs. Add top and bottom stakes of an appropriate width.
Set a firm and level foundation and build up the dyke layer by layer. If it is made of earth, the soil should be well compacted. Soil should be obtained from both sides to build the dyke. In certain cases, only soils below the dyke can be dug for construction in order to speed up the terrace formation. Topsoil should be saved and pushed to one side. After digging and completing the dyke, it can then be pushed back for cultivation purposes. The dyke must be particularly strong when it transverses a depression or a small gully. Checks with a level should be carried out to ascertain that the top of the dyke is on the contour or graded contour.
The output per man-day for cutting and filling earth is similar to terracing: 3 cubic m or a little less. According to field experience in Thailand, it takes approximately 80 man-days to complete a hectare of earth dykes. For rock dykes, the output per man-day can be 1 to 2 cubic m (or 3 to 6 m length) per man-day depending on the availability of stones.
The cost per ha of natural terraces is higher than for hillside ditches because the spacings are closer on most slopes. Natural terraces however, have proved much cheaper than bench terraces in comparisons made using the same slope range.
Cultivation or ploughing between two dykes should be carried out in such a way as to gradually reduce the slope. It should also ensure that the downslope against the dyke is properly filled in. Care should be taken not to endanger the dyke's foundations.
Auxiliary conservation measures are not normally required because of the gentle slopes, and in particular because of the need for soil movements to form a natural terrace. They should only be used in cases where crops need furrows or particular conservation measures. Grass waterways may be needed for humid regions, heavy soils or where graded dykes are constructed.
The downslope riser of the dyke should be protected with rhizome-type grass if it is not protected by rocks. The height and/or gradient of the dyke must be properly maintained.