PreviewTable of ContentsNext

Appendix 2

SAMPLE CALCULATIONS FOR MANNING FORMULA AND FOR ESTIMATING WATERWAY CROSS-SECTION

Given:

- Area to be drained: 0.5 ha cultivated field in humid tropics

- Slope: 18%

- Peak flow: Q = 1/360       (0.8) (213) (0.5) 0.237 C.M.S.

Find:

A proper waterway including its type and size and flow velocity within safe limits.

Selection of waterway:

Since the slope is 18% a parabolic grass waterway (Fig. 19) is appropriate.

Determination of size and velocity:

Step 1:

For small farms, a narrow waterway is usually preferred. Assuming the waterway is 1 m wide and 15 cm deep the calculations are as follows:

Cross-section:

Wetted perimeter:

Hydraulic radius:

Velocity:

The velocity is safe but the cross section is not big enough.

Q = AV

       (0.1) (1.75) = 0.175 C.M.S.

The calculated peak flow is 0.237 C.M.S. which is much more than the above channel's capacity.

Step 2:

The intended channel needs to be either widened or deepened. Increasing its depth may result in a considerably higher velocity which is not recommended when the velocity already has almost reached the safe limit. In such a situation, increasing the width by 20 to 30 cm may solve the problem unless this cannot be done because of an acute land shortage. By adding 20 cm, a quick calculation and check can be carried out as follows:

This is still not enough. Even if a maximum safe velocity of 1.8 m/sec is assumed the capacity is smaller than the peak flow:

1.2 x 1.8 = 2.16 C.M.S.

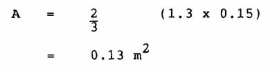
So in this case we may try again with a new width of 1.3 m:

This cross section can almost accommodate the peak flow (0.233 C.M.S. against 0.2367 C.M.S.), especially after freeboard is added.

By using the same procedure we get a velocity which is still safe:

P 1.346

R 0.097

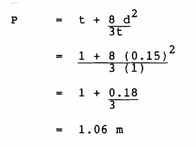
Step 3:

It is necessary to add a freeboard to the depth for safety reasons. In our case, 10 cm is probably sufficient. For the calculation of the final top width (T), the formula showed in Fig. 22 can be used:

T =  top width of the channel

t = top width of the flow

D = depth including freeboard

d = depth of the flow

For our case the result is:

If the width is too large for the farmer, the following alternatives are suggested:

- Divert part of the run-off to a protected area so that a narrower grass waterway can be used.

- Increase the depth of a narrower grass waterway but ballast it in the middle.

PreviewTopNext