Table des matières Page suivante


Le bois, élément de synthèse

G.G. Marra

G.G. Marra est adjoint au doyen pour la recherche, College of Engineering, State University, Washington, Etats-Unis.

Il est possible de changer radicalement et de maîtriser les propriétés de l'une des ressources renouvelables les plus importantes pour l'habitat de l'homme. Si, dans le passé, le métal et le plastique ont pu supplanter le bois, ce dernier est maintenant en passe de les remplacer, tant du point de vue de ses performances techniques, qui se sont améliorées, que des coûts et disponibilités. Le présent article est tiré de la communication soumise à la Consultation mondiale sur les panneaux dérivés du bois tenue à New Delhi en février 1975.

L'«ingénierie des matériaux» est un terme dont l'usage se généralise de plus en plus dans les milieux intéressés par les problèmes que posent les propriétés techniques des matériaux. Cette ingénierie implique la synthèse de divers éléments fondamentaux, et la connaissance des paramètres relatifs à la transformation qui, ensemble, permettent de maîtriser les propriétés de tous les matériaux élaborés.

Le maître mot de cette définition est a synthèse». Sa force réside dans les possibilités qu'elle offre de produire une grande diversité de matériaux dont les propriétés peuvent être harmonisées avec des besoins utilitaires prédéterminés. La maîtrise des techniques de transformation conduit elle aussi à plus d'uniformité et de sécurité dans l'emploi du matériau.

Tous les métaux, les matières plastiques, les céramiques sont, avec de nombreux autres produits, des exemples typiques de tels matériaux, d'un grand intérêt pour l'économie mondiale et dont les propriétés sont ainsi maîtrisées. Les propriétés du bois, produit qui résulte des mécanismes biologiques de la nature, ont longtemps été considérées comme échappant à l'action de l'homme. Mais ce n'est plus vrai maintenant, et nous devons aujourd'hui vigoureusement agir afin qu'il reçoive la place qu'il mérite dans la famille des matériaux manufacturés.

Connaître le bois

Nombreux et puissants sont les impératifs de notre temps qui imposent de mieux connaître, et plus rapidement, les vertus du bois quant à l'adaptabilité de ses propriétés. Ils découlent de l'inventaire mondial des ressources, épuisables ou non, et des besoins futurs. Sans entrer dans les détails, qu'il suffise de rappeler que des esprits éminents préconisent certaines mesures de conservation si l'on veut maintenant et dans les siècles à venir maintenir un bon niveau de vie et faire en sorte que chacun l'atteigne. La conclusion la plus simple et la plus immédiate de cette ligne de pensée est que les matériaux provenant de ressources naturelles renouvelables doivent participer plus largement à la satisfaction des aspirations technologiques des générations futures. Et, dans le royaume des matériaux de construction, cela veut dire: le bois.

Mais d'autres motifs puissants interviennent sur le plan de l'énergie et de l'environnement. Dans ces deux domaines, le bois est grandement appréciable. La forêt est une usine qui emploie exclusivement l'énergie solaire, et la transformation ultérieure du matériau qu'elle fournit consomme une quantité d'énergie modérée par rapport à l'élaboration d'autres matériaux; en outre, la forêt, en qualité d'«usine», procure un environnement éminemment souhaitable; enfin, la transformation ultérieure du bois ne provoque que des nuisances minimes qui sont d'ailleurs éliminées graduellement par des moyens rémunérateurs.

SECTION DE DÉROULAGE DES PLACAGES DANS UNE FABRIQUE DE CONTREPLAQUÉ AU MEXIQUE La diversité des panneaux sandwich est infinie

Considérant la de ces impératifs, une juste appréciation de ces «aptitudes synthétiques» du bois vient tout à fait à son heure dans l'histoire de l'humanité. Non seulement le bois est-il capable de procurer des matériaux nouveaux et améliorés mais il le fera en quantités bien plus grandes que cela n'eût été autrement possible. Encore faut-il rappeler que si les forêts sont renouvelables à perpétuité, la quantité de bois qu'on peut en tirer en respectant le principe du rendement soutenu est limitée. Quoique ce point de vue puisse actuellement être plus valable dans certains pays que dans d'autres, dans l'avenir tous se trouveront dans les mêmes conditions. Aussi faut-il considérer que les récoltes de produits ligneux ne pourront peut-être se faire que dans les limites actuelles des possibilités forestières.

Par voie de conséquence, l'effort essentiel de l'ingénierie de l'ère du matériau-bois a les deux objectifs suivants:

- Produire des matériaux dérivés du bois possédant des propriétés améliorées.
- Obtenir la plus grande quantité possible de ces matériaux à partir des ressources forestières.

Si le bois veut assumer dignement ce rôle, il doit d'abord être accepté comme matériau possédant un nouveau degré d'uniformité, de sécurité d'emploi et d'utilité. Ce message doit parvenir au-delà de ses praticiens et disciples, jusqu'aux niveaux les plus élevés des enseignants scientifiques et des planificateurs ès-matériaux. Tel est le but du présent article et l'espoir avec lequel il a été conçu.

le point de vue d'un visiteur

CHARGES ADHÉSIVES
POUR COLLES DE CONTREPLAQUÉS
EN ASIE

Au vingt-huitième congrès annuel de la Forest Products Research Society of America, en juin 1974, Joe E. Robertson, vice-président de la Robertson Corporation, Brownstown (Indiana), a présenté dans un rapport ses observations sur les charges adhésives pour les colles de contreplaqués utilisées dans les usines qu'il a visitées en Asie en 1973. Ce rapport a également été reproduit in extenso dans le numéro de novembre 1974 de la revue The Forest Products Journal, publiée par cette même société.

L'auteur s'est rendu dans diverses usines du Japon, de la République de Corée, des Philippines et de la péninsule de Malaisie. Les grandes lignes de son rapport et ses conclusions sont récapitulées ci-après.

L'expansion des industries de contreplaqués dans les divers pays de l'Asie a été très rapide; d'une façon générale, leur existence remonte à peine à vingt-cinq ans. Le personnel de toutes les usines visitées s'est montré des plus hospitalier et coopérant, et fort désireux d'échanger des informations au sujet des nouveaux développements dans ce domaine. Les usines elles-mêmes sont vastes, ont un niveau de production très élevé et sont dotées d'une nombreuse main-d'œuvre ainsi que d'un équipement moderne et efficace.

C'est en République de Corée que se trouve l'usine la plus importante au monde. Elle produit quotidiennement 160000 panneaux de 2,8 x 5,6 mètres et emploie 5500 personnes, dont la moitié environ sont des jeunes femmes.

La majeure partie de la production asiatique consiste en panneaux de 6 millimètres d'épaisseur et de 2,8 x 5,6 mètres. Les panneaux de contreplaqué produits au Japon sont surtout destinés aux marchés japonais, tandis que 70 pour cent environ de la production de toutes les autres usines visitées sont dirigés sur les Etats-Unis. Les billes usinées sont de très grandes dimensions si on les compare aux normes des Etats-Unis et proviennent le plus souvent de bois de lauan, ou bois analogues, originaires des Philippines, de la Malaisie et de l'Indonésie. On a constaté que la qualité des charges en Asie est inférieure à celles des charges utilisées aux Etats-Unis. L'utilisation, dans plusieurs pays, de farines de basse qualité tient à un certain nombre de raisons. C'est ainsi que les politiques d'achat gouvernementales et l'octroi de subventions à certains produits céréaliers pour des utilisations déterminées jouent incontestablement un rôle à cet égard. Par ailleurs, les limitations concernant les effluents ne sont pas aussi sévères en Asie qu'aux Etats-Unis. La technologie du collage est généralement un peu plus avancée dans ce dernier pays, pour lequel il importe également d'économiser davantage main-d'œuvre et temps de surveillance.

Les techniciens du contre plaqué en Asie se sont vivement intéressés aux informations sur les charges adhésives et nous ont fait savoir que des améliorations qualitatives dans ce domaine seraient apportées aussitôt que possible.

En conclusion:

1. La qualité des charges utilisées aux Philippines (Mindanao) est supérieure à celle des charges employées dans la plupart des autres usines asiatiques (blé tendre à faible teneur en cendres).

2. Les charges japonaises sont de qualité très inférieure; à signaler toutefois en l'occurrence que le choix de ces charges est sans doute très influencé par la politique gouvernementale, et que la production des panneaux de contreplaqué est principalement destinée à la consommation locale (ce sont des produits clairs de basse qualité qui sont en général utilisés).

3. Le choix des charges, en République de Corée, dépend de la qualité du panneau fini. Les meilleures charges sont employées pour les mélanges de colles destinés aux qualités supérieures de contreplaqué. L'éventail va des blés tendres de haute qualité aux produits adhésifs finement moulus appelés «feed».

4. Les programmes de contrôle de la qualité se perfectionnent, ce qui devrait amener une rapide amélioration qualitative des charges.

5. Le choix de charges adhésives spéciales de haute qualité se généralisera à mesure que les techniciens asiatiques prendront conscience des avantages qu'elles offrent pour la conservation des résines et la lutte contre la pollution.

D'ailleurs, l'application au bois de ce concept synthétique n'est pas nouvelle; sans le savoir, on a déjà dans le passé soumis les propriétés techniques du bois à une action synthétique en lamellant les sciages et en prêtant une attention particulière au choix et à la place des diverses qualités de sciages participant aux structures lamellées. Avec l'avènement des techniques d'épreuve non destructives, Le concept de synthèse appliqué au bois lamellé permet maintenant d'obtenir des propriétés techniques des structures lamellées supérieures à la moyenne de

QUATORZE FORMES DE BOIS

1. Grumes et bois ronds

8. Laine de bois excelsior

2. Sciages

9. copeaux longs

3. Sciages minces/placages épais

10. Particules

4. Placages

11. Faisceaux de fibres

5. Flocons longs/placages courts

12. Fibres

6. Plaquettes

13. Farine de bois

7. Flocons

14. Cellulose

Formes fondamentales du bois dans l'ordre décroissant des dimensions. Dix de ces éléments peuvent être obtenus à partir de déchets ou de bois non utilisable pour obtenir des sciages ou des contreplaqués: tous peuvent contribuer à la mise au point de nouveaux «produits-concepts». (avec l'autorisation du Forest Products Journal). chacun de leurs éléments. Cela résulte de la connaissance de la répartition des efforts sous la charge, de la connaissance des propriétés des éléments lamellés et des adhésifs utilisés, et de la connaissance des paramètres de fabrication.

Telle est l'essence même du principe de «synthèse», et son application au bois ne diffère de celle concernant les autres matériaux que sur un seul point: la dimension de l'élément de base. Les dimensions des composants fondamentaux du bois sont très grandes par rapport à celles des atomes et molécules mis en cause dans les opérations de synthèse pour d'autres matériaux. A tous autres égards, les actions et: les résultats sont homologues, y compris la finesse et la profondeur de l'activité intellectuelle. En vérité, puisque toutes les synthèses au sujet des éléments de bois portent sur les adhésifs et les forces moléculaires d'adhésion, il est évident que les considérations émises au niveau atomique constituent une part vitale de l'action. De plus, la connaissance des phénomènes de diffusion de la chaleur des liquides et des gaz facilite grandement celle de la rhéologie du système durant la phase de transformation du matériel de l'état lâche à l'état solide.

Un exemple: Le contreplaqué

Le contreplaqué fournit un autre exemple remarquable de ce concept de synthèse, car c'est un produit essentiellement obtenu par l'intervention délibérée d'un autre «élément de base»: le placage. Il en résulte une égalisation des propriétés dans les deux directions du panneau, et, ce qui est peut-être plus important, la fabrication de bois de construction sous forme de panneaux. En outre, par son élaboration même, l'une de ses propriétés a été rehaussée bien au-delà de ce qui résultait des meilleurs efforts de la nature: la résistance au fendage. La stabilité dimensionnelle a aussi été grandement améliorée. Pour y parvenir il a fallu joindre à la connaissance de l'élément bois celle de l'adhésif et des conditions de fabrication, véritable action de synthèse qui, à l'époque, n'était pas reconnue comme telle.

1. Résistance a la traction

Comparaison de/a résistance à la tension de diverses formes de bois montrant une différence de l'ordre de 1 à 1000 entre la molécule créée par la nature et l'élément à section rectangulaire conçu par l'homme pour le bois d'œuvre destiné à la construction (sapin Douglas).

2. Aspect du chant d'un panneau de flocons avant et après contrainte humide, montrant de vastes zones de faiblesse, bien caractéristiques de ce type d'élément. AVANT

2. Aspect du chant d'un panneau de flocons avant et après contrainte humide, montrant de vastes zones de faiblesse, bien caractéristiques de ce type d'élément. APRÈS

Quoique parfois académique, l'importance de cette notion de synthèse ne doit pas être sous-estimée. Les occasions d'y recourir sont maintenant plus grandes que jamais, en raison des nombreux éléments de base ligneux aujourd'hui disponibles. Les études de laboratoire, fondamentales ou appliquées peuvent être comparées dans toute leur gamme sous l'angle de leur complexité et de leur étendue à celles concernant n'importe quel autre matériau. Les probabilités pour que de tels efforts aboutissent à la création de nouveaux matériaux de grande utilité sont extrêmement bonnes. Comme on va le voir maintenant, plusieurs de ces nouveaux matériaux peuvent être considérés comme participant à une expansion des ressources forestières.

Vu que certains des principaux avantages envisagés permettront d'étendre le rôle du bois en tant que matériau de construction, le présent article va traiter principalement de cet aspect du sujet.

Les sciages et placages ne représentent que deux des éléments de base disponibles avec lesquels on a pu envisager des activités de synthèse novatrices. Or le tableau de la page 4 fait ressortir un total de 14 éléments dont quelques-uns résultent d'inventions toutes récentes. D'aucuns sont des découvertes et d'autres des inventions, mais leur ensemble donne une bonne mesure des progrès scientifiques et techniques réalisés dans le domaine du bois. De nouveaux éléments y seront sans doute ajoutés de temps en temps à l'avenir.

Les éléments sont ordonnés par dimensions décroissantes depuis les plus grandes grumes - ou bois rond - jusqu'à la cellulose. D'ailleurs, bien qu'elle soit un composant majeur du bois, cette dernière n'est plus réellement, à l'état libre, du bois. Elle est incluse dans le tableau pour en parachever le pouvoir prospectif et pour suggérer des possibilités de synthèse avec d'autres éléments, peut-être sous la forme de feuilles plastiques. La lignine par contre n'y est pas mentionnée malgré son utilisation à titre expérimental comme matière plastique, mais elle pourrait bientôt donner lieu à beaucoup d'optimisme si la recherche en fait ressortir les potentialités d'adhésif à faible coût. L'écorce est également omise, en partie parce que par définition ce n'est pas du bois, en partie parce que les recherches actuelles font penser qu'elle mériterait un tableau distinct d'éléments fondamentaux pour la synthèse d'une nouvelle famille de matériaux de construction.

Tous ces éléments ont été décrits dans un document antérieur (Marra, 1972). Certains sont bien connus dans les industries du bois, d'autres sont rares ou expérimentaux. Avec les sciages et placages, ceux que l'on utilise le plus sont les flocons, les particules et les fibres. Les petits copeaux qui constituent normalement un élément intermédiaire, ont été spécifiquement utilisés en tant, que tels au niveau expérimental. La laine de bois excelsior a acquis le statut d'un élément lorsqu'on l'a combinée avec des liants inorganiques pour produire des panneaux d'isolation acoustique ou thermique. La farine de bois mérite sa place dans le tableau du fait de son utilisation pour la fabrication de moulures ou pour le surfaçage d'autres panneaux. Les copeaux longs ont été initialement utilisés comme éléments d'orientation et il en sera traite un peu plus loin. Enfin deux éléments anormaux offrent des potentialités qui ne sont pas encore parfaitement exprimées, ce sont les sciages minces/placages épais et longs flocons/courts placages. Les premiers semblent destinés à servir d'éléments lamellés pour la production de sciages spéciaux, tandis que les seconds peuvent trouver une utilisation en disposition orientée ou aléatoire pour la fabrication de panneaux de construction.

3. Comment améliorer la nature.

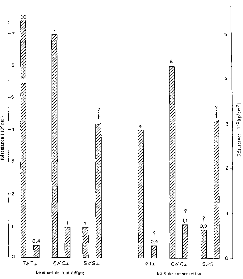
Les comparaisons de la résistance du bois de sapin Douglas en tension (T) compression (C) cisaillement (S) soit parallèlement au fil (//) soit perpendiculairement (^) montrent les extrêmes de la contribution de la nature aux propriétés du bois. La comparaison entre le bois net de défauts et le bois d'œuvre couramment utilisé pour la construction montre l'effet de l'intervention de l'homme Noter que c'est essentiellement la tension parallèle au fil qui est amoindrie tandis que les autres propriétés changent très peu. Les points d'interrogation indiquent l'absence de valeurs spécifiques bien connues pour les propriétés en cause.

Le tableau ne mentionne pas un autre élément connu sous le nom de
«wafers», qui sont en fait des flocons très épais, sorte d'hybride entre des plaquettes (chips) et des flocons et dont la grande dimension est dans le fil. Leur principale qualité est de réduire la consommation d'adhésif et d'énergie.

Revenons au tableau pour rappeler que les grumes, en tant qu'élément de synthèse, ne sont pas très adaptables puisqu'elles ne se combinent facilement ni entre elles ni avec d'autres éléments, si ce n'est par l'intermédiaire de boulons pour fabriquer des chemins de fer à croisillons. Néanmoins, elles ont été considérées comme élément spécifique dans cet exposé du concept de synthèse appliqué au bois.

Le facteur le plus important qui ressort du tableau est le potentiel des combinaisons entre éléments variés pour en obtenir de nouveaux matériaux. Les combinaisons les plus courantes, telles que contreplaqué, papier et panneaux de particules sont maintenant solidement installées dans notre technologie.

Ce potentiel de matériaux nouveaux peut être garanti par le fait qu'une combinaison unique d'éléments devient, dès qu'elle est connue, un événement novateur sur le plan expérimental ou industriel. De tels événements peuvent être appelés «produits-concepts»; un seul d'entre eux peut donner naissance à une véritable galaxie de produits dérivés, basés sur le même concept.

Les produits-concepts

Admettant, d'autre part, que de tels produits-concepts peuvent provenir de la combinaison entre un ou deux ou trois éléments différents, le nombre total des éventualités est mathématiquement limité. En éliminant les grumes et en ajoutant trois éléments courants non ligneux, tels que métaux, plastiques et minéraux, le nombre total de combinaisons possibles est 4913 (y compris une proportion apparemment importante d'inutiles duplications). Cependant, une certaine redondance paraît admissible pour tenir compte de l'orientation des éléments, dans la mesure où elle est susceptible de profondément modifier les propriétés du matériau obtenu. Il faut également considérer qu'avec des éléments en proportions variées, de dimensions différentes, et une grande diversité dans la construction interne, on aboutit à des produits finis fort différents. Cela nous conduit à estimer de façon prudente à environ 3000 le nombre des «produits concepts» actuellement possibles.

Or l'inventaire des produits actuellement connus dans ce domaine, tant sur le plan commercial qu'expérimental, ne fait ressortir que 64 produits découverts ou utilisés. Il est intéressant de noter que les sciages, principal soutien de l'industrie du bols, ne répondent pas à notre définition de concept. Il en résulte qu'environ 98 pour cent des produits-concepts possibles sont encore à mettre au point. Les wafers dont il a été question plus haut augmentent considérablement le nombre des produits-concepts possibles, de même que les inventions futures de nouveaux éléments fondamentaux.

La majorité des éléments fondamentaux peut être obtenue à partir de déchets de bois, ou de catégories de bois inutilisables pour la production de sciages ou de contreplaqués. De plus, il est évident que pour les éléments les plus petits on peut recycler du bois de n'importe quelle forme. C'est ainsi que le deuxième objectif de l'ingénierie des produits dérivés du bois peut être atteint, à savoir: tirer des ressources forestières une plus grande quantité de matériaux. Une prudente estimation conduit à penser qu'une plus large application de l'actuelle technologie permettrait de doubler le rendement final en matériaux bois.

Il semble raisonnable de conclure de cette analyse que l'«âge du bois» est non révolu mais qu'il nous attend, et que le bois conserve sa place de choix dans le royaume de l'ingénierie des matériaux. C'est un avenir encore plus brillant que celui qu'envisageait Egon Glesinger il y a quelques dizaines d'années (Glesinger, 1951).

Les propriétés du bois les plus intéressantes du point de vue de l'ingénieur tiennent à sa structure fibreuse hautement organisée. Celle-ci explique aussi la nature anisotropique du bois dans le cadre de laquelle les propriétés les meilleures sont inextricablement associées à des propriétés extrêmement faibles. Cette discrimination directionnelle (orthogonale) est le cauchemar des ingénieurs du bois.

La figure montre comment l'une des propriétés prééminentes du bois, la résistance à la traction parallèle au fil du bois, varie depuis le niveau moléculaire jusqu'à la valeur très dépréciée avec laquelle les ingénieurs doivent travailler, au niveau, par exemple, des bois d'œuvre. L'espèce choisie ici est le sapin Douglas, essence d'élite pour la construction aux Etats-Unis. Il est intéressant de remarquer que la chute se produit surtout au-dessus du niveau de la fibre, là où les besoins de longues pièces rectangulaires font que certaines caractéristiques naturelles, nœuds et contre-fils deviennent des défauts. Et, qui plus est, la variabilité du matériau impose un lourd tribut au calcul statistique de la contrainte admissible.

4. Deux paramètres importants

Les relations entre la résistance, d'une part, et le poids spécifique ou la teneur en résine, d'autre part, montrent l'importance de ces 2 paramètres de fabrication, qui doivent toujours être spécifiés pour définir la synthèse des matériaux dérivés du bois.

Panneaux de particules

Ce qui précède démontre que c'est à partir du niveau de la fibre qu'il convient de commencer à appliquer au bois les principes de l'ingénierie des matériaux. Cela coïncide avec un point critique dans la croissance de l'industrie des panneaux de particules, phénomène mondial qui remonte à peine à 30 ans. Comme les bois lamellés et les contreplaqués avant eux, les panneaux de particules ont débuté comme une opération de synthèse (qui n'était d'ailleurs pas encore identifiée comme telle) puis ont continué en enregistrant de nombreuses innovations techniques, modifications et améliorations grâce à la maîtrise des procédés de fabrication. Un nouveau genre de matériau créé par l'homme était né, et sa croissance peut dorénavant être développée au mieux par l'application systématique de principes semblables à ceux qui sont d'usage courant chez les métallurgistes, céramistes et chimistes macromoléculaires. On peut atteindre de meilleurs résultats non seulement de la synthèse, mais aussi, par exemple, d'études de la mécanique des fractures. Les connaissances ainsi acquises seraient utiles à la fois pour améliorer l'opération initiale créant les particules, et pour mieux comprendre la structure interne du matériau (figure 2).

Diminution de la résistance

La figure 3 montre la nature anisotropique du bois considérée du point de vue de l'ingénierie. Là encore la plus grave discordance réside dans la différence de résistance à la traction dans le sens du fil ou en travers du fil, différence de l'ordre de 1 à 50 pour le cas du bois de sapin Douglas net de défauts apparents. Lorsqu'il y a des défauts dans les sciages destinés à la construction, ils provoquent une diminution considérable de la résistance à la traction parallèle, mais malgré le manque de données suffisamment précises, ils ne causent, semble-t-il, que des changements mineurs dans les autres propriétés.

Bien que la résistance ne soit pas le seul critère à considérer en matière d'ingénierie des matériaux dérivés du bois, il apparaît immédiatement que, dès que l'on a affaire à la structure organisée du bois, on se heurte à un grave conflit technique. Anisotropie et variabilité sont les deux problèmes clés qui conduisent à homogénéiser la structure en proportion directe de la dimension des éléments. Les bois laminés et placages, par exemple, s'ils réduisent la variabilité, n'en conservent pas moins l'anisotropie. Des éléments plus petits disposés au hasard confèrent au matériau une isotropie dans deux dimensions et un degré encore plus grand d'uniformité. La présence de nœuds et de contre-fils dans le bois ne nuit plus du tout à la résistance. Au niveau de la fibre, même les différences interspécifiques commencent à avoir moins d'importance. L'obtention d'une isotropie dans les trois dimensions reste un défi intéressant lancé aux ingénieurs spécialistes des matériaux.

Isotropie et uniformité sont des améliorations techniques de grande importante mais on ne les obtient qu'au détriment des qualités majeures du bois. Un peu plus de résistance peut être obtenue par une teneur plus élevée en résine, ou une densité plus forte, ou les deux. Comme le montre la figure 4, les propriétés de résistance dépendent grandement de ces deux facteurs. Peut-être la façon la plus immédiate de restaurer la résistance consiste-t-elle à orienter les éléments. Cette méthode a fait l'objet de recherches aux Etats-Unis et en Europe pendant des années et elle vient d'être commercialisée sur les deux continents./C'est l'innovation la plus enthousiasmante qu'ait connue l'industrie du bois depuis la naissance de ces mêmes panneaux de particules.

5. Comparaison des propriétés de panneaux fabriqués avec des flocons, particules ou fibres de sapin Douglas, montrant l'influence de la géométrie des éléments de bois sur les performances.

La valeur mentionnée pour le bois massif correspond à l'objectif que la recherche peut raisonnablement se proposer d'atteindre.

L'orientation des éléments confère de la résistance sans entraîner de frais ou seulement des frais minimes et peut être appliquée selon le degré voulu. L'isotropie est perdue mais on conserve l'uniformité. Combinée avec une forte teneur en résine et une densité élevée, elle aboutit à une résistance comparable à celle du bois massif. Il reste à rechercher comment on peut diminuer ces deux paramètres, teneur en résine et densité, tout en maintenant une forte résistance.

Un triomphe technique

Les matériaux à résistance élevée (notamment à la traction) peuvent être produits en feuilles pour être utilisés comme panneaux du type contreplaqué; les feuilles peuvent aussi être découpées et les bandes ainsi obtenues utilisées comme éléments de bois sciés de longueur pratiquement illimitée. Le fait que ce résultat puisse être obtenu avec des bois autrement inutilisables pour la production des sciages ou contreplaqués plus classiques rehausse encore le triomphe technique.

La géométrie de, élément, est à l'origine d'importants raffinements apportés à la maîtrise des propriétés des matériaux dérivés du bois. La figure 5 montre les niveaux de résistance que l'on peut obtenir de trois éléments différents: flocons, particules et fibres, par comparaison avec le bois ordinaire de sapin Douglas dont la résistance peut être considérée comme une bonne référence. Ainsi les flocons ont un module de rupture et un module d'élasticité élevés, mais de faibles valeurs en traction perpendiculaire à leur surface. Les particules en revanche donnent des valeurs élevées de traction perpendiculaire à la surface, mais de faibles valeurs pour les deux autres propriétés. La figure 6 montre qu'en combinant ces éléments de façons diverses dans des couches distinctes, on peut, dans un même produit, obtenir de chacun des éléments sa meilleure performance.

Il est donc évident que les ingrédients et l'outillage utilisés pour la synthèse des matériaux dérivés du bois sont maintenant disponibles et ont, en fait, déjà été utilisés dans une certaine mesure. Il est heureux que partout où une certaine forme de synthèse a été pratiquée des technologues, des ingénieurs et des chercheurs y aient directement participé. Ils ont travaillé dans des laboratoires de contrôle de qualité et, à beaucoup d'égards, ont œuvré sans le savoir comme ingénieurs des matériaux. Leurs travaux ont également porté sur la conservation des propriétés obtenues ainsi que sur la diffusion d'informations concernant d'autres sources de matières premières, ce qui devient de plus en plus important les sources conventionnelles de bois étant exploitées jusqu'à leurs limites.

Il est évident aussi que tous les travaux réalisés jusqu'à présent n'ont servi qu'à montrer les prodigieuses possibilités de l'avenir. Une mise en œuvre plus intensive des techniques de synthèse leur permettra de porter tous leurs fruits en temps voulu pour que le bois joue un rôle nouveau dans la production de matériaux.

Nous avons vu que l'ingénierie des matériaux est une discipline dont les principes peuvent être facilement appliqués au bois afin de mettre au point et améliorer de nouveaux matériaux d'origine biologique. Les nombreux éléments fondamentaux du bois combinés avec une foule de procédés industriels peuvent aboutir à plusieurs milliers de produits-concepts. Dans certains cas, les qualités mécaniques dépasseront celles que la nature donne au bois brut.

6 Technique de stratification A gauche: âme en flocons, surfaces en particules.

6 Technique de stratification Á droite: âme en particules, surfaces en flocons.

Performances améliorées

Ainsi, le bois sera-t-il placé parmi les honorables membres de la famille des matériaux manufacturés. Grâce à ces triomphes techniques, le bois sera mieux à même de répondre aux besoins de l'humanité dans une ère de progrès technologique. Provenant d'une ressource renouvelable, les nouveaux produits assumeront un rôle plus important en leur qualité de substituts des matériaux, issus de ressources non renouvelables. Toutefois, dans le passé, des matériaux tels que les métaux et les plastiques ont, dans beaucoup de cas, remplacé le bois, soit parce que celui-ci était rare, soit parce qu'il présentait des déficiences techniques. Donc le retour du bois ne peut se faire que sur la base de performances améliorées, exigence désormais techniquement possible.

Malgré les triomphes techniques, le plus grand avantage que procurera l'ère de l'ingénierie des matériaux dérivés du bois ne sera ni technique ni intellectuel. Il résidera dans la possibilité de restructurer l'ensemble de la consommation de matières de base, de façon à assurer aux générations futures un approvisionnement suffisant en matériaux provenant des ressources non renouvelables. Certains de ces derniers, déjà peu abondants, ont des propriétés irremplaçables et remplissent des fonctions indispensables à la vie de chacun d'entre nous. Peut-on, par exemple, concevoir un monde sans acier inoxydable? Bien sûr le bois ne le remplace pas, mais il peut remplacer d'autres formes du fer là où elles sont actuellement utilisées alors que le bois conviendrait bien.

C'est pourquoi il incombe aux pays qui disposent de ressources substantielles en bois, d'encourager la mise en œuvre accélérée de programmes basés sur les nouveaux concepts de fabrication des matériaux dérivés du bois. Les avantages économiques immédiats qui en résulteront seront encore dépassés par une amélioration des conditions de vie pour toutes les générations à venir - ainsi s'épanouira le nouvel âge du bois.

Références

GLESINGER, EGON. 1951, Demain, l'âge du bois. Paris. Editions Berger-Levraut.

MARRA, G.G. 1972, The future of engineered wood materials. Forest Products Journal, 22 (9).


Début de page Page suivante