Les chapitres présentés dans ce rapport ont été réalisés en équipe et les personnes ayant oeuvré à leur préparation sont indiquées au début de chaque chapitre. Les conclusions de ces chapitres ont été discutées en séances plénières et bien qu'elles n'aient données lieu à aucune procédure formelle d'adoption, on peut considérer qu'un conscensus de tous les scientifiques ayant travaillé dans la région a été obtenu.
En revanche, bien qu'elles s'appuyent largement sur les résultats élémentaires contenus dans les chapitres précédents et ne sont jamais en contradiction ouverte avec eux lorsque ces résultats sont sans équivoque, les conclusions générales du chapitre VIII ont été préparées par le Secrétariat de la FAO. Ces conclusions ont été présentées aux participants oralement, puis approfondies par la suite à la demande du Directeur du CNROP.
Le Secrétariat est convaincu, ce faisant, d'avoir interprèté au mieux les résultats élaborés pendant la réunion mais revendique l'entière responsibilité des erreurs ou ommissions qui pourraient se trouver dans ce chapitre.
Il faut souligner que bon nombre de stocks exploités en Mauritanie migrent saisonnièrement du Cap Blanc-Cap Barbas au Cap Vert et à la Casamance, et peut être même au délà jusqu'en Guinée-Bissau comme cela apparaît clairement dans l'Annexe D. Ces stocks sont donc exploités successivement par plusieurs pays et d'importantes nurseries sont d'ailleurs souvent situées hors de Mauritanie. Dans ces conditions, les potentiels estimés se réfèrent à toute la zone dans laquelle migrent les stocks, et leur aménagement rationel nécessite une action concertée.
On examinera toutes les espèces principales pour arriver à des considérations plus globales sur le stock des espèces pélagiques dans son ensemble.
Les méthodes analytiques appliquées à T. trecae indiquent que le stock est exploité aux environs du maximum de production par recrues et les conclusions diffèrent légèrement selon qu'on s'adresse aux données roumaines ou soviétiques. Le modèle de production établi par le ler Groupe de travail (COPACE/PACE 83/27, p.183) indiquait que le stock de Trachurus spp. était pleinement exploité en 1981 si l'on utilisait toutes les données, mais fortement surexploité si l'on utilisait seulement les données de 1978 à 1981. Les données récentes de biomasse et de distribution (Annexe L) et les données de pue roumaine indiquent en outre une chute très brutale de l'abondance apparente depuis 1979. Les travaux des chercheurs de la RDA confirment une nette réduction de l'importance des chinchards dans les captures de ce pays en 1983 et 19841.
Le travail du groupe indique que ce stock apparaît largement surexploité, que l'on utilise les données roumaines ou soviétiques.
L'incohérence apparente des résultats (stocks pleinement exploités ou surpêchés) peut s'expliquer par l'existence de variations importantes du recrutement (et de l'abondance des classes d'âge) non liées à l'effort de pêche mais résultant de changements climatiques. Il n'existe, dans ce cas, pas de modèle unique de production mais une famille de modèles correspondant aux diverses conditions climatiques, modèles difficilement calculables avec les données actuellement disponibles.
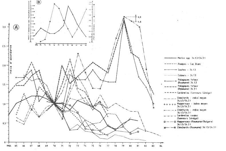
Il faut noter que la baisse du recrutement du chinchard depuis 1980 (très vraisemblable étant donné l'évolution brutale des pue sur la figure VIII.1) est de nature à affecter sensiblement les évaluations de mortalité par les méthodes analytiques que l'on doit donc considérer avec prudence car la mortalité totale peut avoir été largement sous-estimée. En fait, comme cela est indiqué dans l'Annexe R, il est à craindre que le taux d'exploitation calculé par les méthodes analytiques soit sousestimé. Ce qu'il faut retenir c'est que le stock de l'ensemble de la région s'élève à environ 400 000 t en moyenne, que ce potentiel varie beaucoup d'une année à l'autre. Le taux d'exploitation actuel est vraisemblabement excessif, sur un stock dont le recrutement a été brutalement réduit ces dernières années.
Selon le premier Groupe de travail du COPACE (COPACE/PACE 83/27) le stock était proche du niveau maximum de production en 1981, et le potentiel était de 100 000 tonnes environ. Dans les travaux antérieurs ce stock avait été considéré comme très fortement surexploité vers 1979. L'analyse des mensurations effectuées au cours de la réunion indique que le stock serait sous exploité à l'heure actuelle. Ce stock est cependant également soumis à des variations importantes de recrutement (voir Annexe Q) et peut être de la disponibilité, et les commentaires relatifs aux chinchards, et développés en Annexe R, s'appliquent également aux maquereaux. Ce résultat est donc à considérer avec prudence car la pue actuelle (figure VIII.1) est environ de 20% du niveau observé en 1970.
Le Groupe n'a pas procédé à de nouvelles analyses. Le potentiel reconnu de ce stock est de 350 à 500 000 t selon les années (FAO Doc.Tech.Pêches No.186.1) pour toute la sous région (9° à 26°N). Les travaux de P. Fréon au Sénégal 1 montrent que ce stock est également très affecté par les conditions climatiques (intensité de l'upwelling) et que le sous stock de jeunes adultes du Sénégal était pleinement exploités en 1980. Le niveau actuel d'abondance de ce sous stock (figure VIII.1) n'est plus que 10 à 20% de ce qu'il était en 1970–72.
Il existe au nord de la Mauritanie un stock variable, dont le potentiel à certaines périodes a été estimé à 500 000 tonnes. Il subit des variations importantes en liaison avec les facteurs climatiques, apparaît puis disparaît au sud du Cap Blanc et parfois s'étend même jusqu'au niveau du Cap Vert. La figure VIII. 1 B montre que l'évolution des pue sardines et de chinchards est inverse. En particulier la baisse importante du chinchard ces trois dernières années est accompagnée d'une augmentation de l'abondance des sardines qui sont réapparues au sud du Cap Blanc et qui ont été capturées en quantités non négligeables au Sénégal par les thoniers (pour l'appât vivant) et dans les sennes de plage sur la petite côte, au sud du Cap Vert (B.Samb,comm.pers., données CRODT).
Calculer un potentiel en sardine pour la Mauritanie dans ces conditions n'a pas beaucoup de sens. Il est extrêmement variable et semble venir compenser les baisses du stock de chinchards. On aurait donc intérêt à considérer l'existence d'un potentiel global dont la composition spécifique varie suivant les années.
Fréon, P., 1984. Les modèles de prodution appliqués à des fractions de stock dépendants des vents d'upwelling (pêche sardinière au Sénégal). Océanographie Tropicale, 19(1):67–94

Figure VIII.1 A. Evolution à long terme des indices dabondance des principales espèces (pour faciliter la comparaison les données sone en valeur relative: base=1 en 1970) B. Evolution comparée de l'abondance des sardines et des chinchards montrant les oscillations inverses
La figure VIII.1 indique que certaines espèces (maquereaux, sardinelles)ont fortement baissé depuis 1970 alors que d'autres (les chinchards) ont en fait augmenté de 1970 à 1980, “comblant” apparemment le vide laissé par les premières. Elle montre également les fluctuations inverses du stock de chinchards et de sardines. II est vraisemblable que ces oscillations sont dues à des variations combinées du recrutement et de l'effort de pêche, car une pêche excessive est de nature à amplifier beaucoup les oscillations naturelles.
Ces variations importantes de composition spécifique des stocks de la région (prises ici au sens large) expliquent la stabilité relative des captures globales malgré la baisse d'abondance de la plupart des espèces importantes.
On ne connaît pas avec une certitude absolue les raisons de ces fluctuations interannuelles de recrutement et d'abondance, mais il est vraisemblable, comme beaucoup d'auteurs l'ont déjà écrit, et comme cela a été démontré dans d'autres régions, que l'hydroclimat soit partiellement responsable (par exemple l'intensité de l'upwelling). Cela ne signifie pas que le prélèvement très intensif réalisé par la pêche ne joue pas un rôle majeur également, car les grandes tendances générales à la baisse observées sur la figure VIII.1 lui sont très certainement imputables pour une large part. Cependant la relation entre l'abondance du poisson et l'effort en est obscurcie et la détermination du potentiel est rendue difficile et imprécise, faute d'une série de données assez longues.
Les conséquences de ce qui précède sont:
une incertitude sur le potentiel (variable) difficile à réduire sans études coûteuses. L'échointé gration est une méthode d'appoint appropriée permettant de suivre l'évolution du stock et de prévenir les autorités en cas de baisse rapide des biomasses relatives mesurées;
le risque d'effondrement, très important chez les espèces pélagiques si une situation climatique défavorable se double d'une situation de grave surpêche;
l'impossibilité de réaliser simultanément le potentiel de toutes les espèces pélagiques parce que les maximums de biomasse correspondant aux pics de production ne se produisent pas en même temps (et vraisemblement pas toujours exactement dans la même zone géographique).
Le potentiel de pêche des grands thonidés (albacore, patudo et listao) sans doute proche de 10 000 à 16 000 tonnes par an, est, suivant, les années presque totalement utilisé par les pêcheries actuelles de canneurs, senneurs et palangriers sauf pour le listao dont les captures pourraient être sensiblement accrues.
Pour les petits thonidés (thonine, pélamide, et palomette) et les thazards, le niveau exact des captures est très mal connu car les prises accessoires des chalutiers ne sont pas répertoriées; cependant il est probable que le potentiel grossièrement estimé à 10 000 tonnes par an ne soit que très partiellement utilisé.
On dispose de peu d'informations sur l'état actuel de ce stock dont le représentant principal, la courbine, a fait, dans le passé, l'objet d'une pêche de grande importance. Compte tenu du fait que la pression de pêche dans les eaux mauritaniennes s'exerce surtout sur les céphalopodes et espèces associées situées plus au large, on est en droit de penser cependant que ce stock devrait être relativement peu exploité. La raréfaction des courbines serait pourtant un indice de la surexploitation de cette espèce particulièrement recherchée dans la baie du Lévrier et les environs. II faut insister sur le fait que ces conclusions reposent sur peu de choses.
Cette communauté a toujours été la cible des grandes flottes internationales recherchant les espèces démersales de grande valeur - pageots, seiches, poulpes, calmars, etc. Largement dominée par les sparidés, il y a plus de 20 ans, elle est maintenant dominée par les céphalopodes à la suite d'une surexploitation extrêmement grave des sparidés, associée peut–être àdes changements climatiques défavorables.
A l'heure actuelle la cible principale des flottilles est le groupe des céphalopodes et surtout le poulpe. Deux des représentants du groupe, les seiches et en particulier les calmars sont très surexploités. Les poulpes ont été déclarés sous-exploités en 1980. Les captures actuelles ont pourtant baissé de plus de 50% par rapport à 1976, et le groupe n'a pu préciser, faute de données adéquates, s'il s'agisait d'une surexploitation (au même titre que pour les deux autres espèces) d'une baisse naturelle du potentiel (car le recrutement baisse régulièrement depuis plusieurs années) où d'un biais systématique dans les données mauritaniennes (sous estimation des captures).
Les sparidés apparaissent eux très fortement surexploités comme on pouvait s'y attendre. Certaines espèces dominantes par le passé comme le pageot (Pagellus bellottii) sont maintenant rares. Les mortalités par pêche calculées par le groupe et dans l'Annexe K pour les principales espèces indiquent clairement un état de grave surexploitation.
Il est donc clair que toute la communauté, sauf peut-pêtre les poulpes, est surexploitée. Pour cette dernière espèce une grande prudence est nécessaire compte tenu de l'incertitude qui pèse sur la qualité des données.
Ce stock, étudié par le ler Groupe de travail spécial du COPACE (mai 1984), est considéré comme instable et sujet à des variations importantes du recrutement empêchant l'application des modèles de production ou des méthodes analytiques qui supposent l'existence d'un équilibre. La mortalité totale mesurée à partir des campagnes du Navire de recherches Bakhtchisaray (chapitre VII 2.6) indique pourtant que le stock est surexploité. La comparaison des estimations de potentiel et de capture dans la zone mauritanienne (données grossières) indiquerait également que le stock est pleinement exploité, conclusion à considérer avec prudence à cause des variations interannuelles qui caractérisent la ressource.
Le stock de langoustes vertes se reconstitue dans le nord après une forte surpêche mais reste vraisembablement peu exploité dans le sud. Le stock de langouste rose, décimé par le passé, se reconstitue lentement, mais, à cause de la pêche chalutière, ne pourra plus jamais atteindre les niveaux observés au début de cette pêcherie. Le potentiel estimé à 3 100 tonnes àcette époque n'est plus que de 660 t à l'heure actuelle.
La figure VIII.1 montre que tous les stocks démersaux de la région ont subit au cours de la dernière décade une diminution constante de l'abondance. La baisse plutôt régulière des rendements indique une relative stabilité des niveaux de recrutement et montre les effets de l'intensification de la pêche sur les stocks actuellement en grande majorité pleinement exploités où gravement surexploités.
Deux aspects spécifiques nécessitent un commentaire particulier:
(i) La distribution qéoqraphique de la pression de pêche
Les données collectées par le N'DIAGO(Annexe K) montrent que la mortalité totale et la pression de pêche sont plus élevées dans le nord, du Cap Timiris au Cap Blanc, que dans le sud, de Nouakchott à Saint-Louis. Ceci résulte en partie de la rentabilité économique plus élevée du premier secteur, gaâce à l'abondance des poulpes et àla proximité du port de Nouadhibou (temps de route plus courts, frais réduits). Ce résultat était prévisible compte tenu de ce que l'on sait de la répartition de l'effort de pêche en Mauritanie.
(ii) Mortalité appliquée aux stocks profonds
Ces stocks du talus sont peu étudiés et auraient pu être considérés en théorie comme peu exploités. En réalité les mortalités rencontrées (chaptire VII) pour les merlus comme pour les sparidés profonds indiquent une pression de pêche très importante. Ceci doit être sérieusement considéré car l'hypothèse la plus probable est que ces stocks subissent une forte mortalité par pêche, par exemple de la part de flottes qui pêche au chalut pélagique sur les accores. Cette hypothèse est étayée par le fait que la flotte roumaine a débarqué de l à 5% de sparidés (vraisemblablement profonds) de 1981 à 1983. Le fait que cette mortalité par pêche n'existe officiellement pas est préoccupant et de meilleures données doivent être collectées. Il faut également noter, dans le cas du merlu, que cette espèce, rencontrée en quantités non négligeables sur le plateau continental (cf. chapitre VII 2.6 et Tableau VII.8), doit subir également une forte mortalité appliquée par la pêche chalutière à céphalopodes du plateau.
Le tableau VIII.1 donne un récapitulatif général des données disponibles en matière de potentiel et de capture des divers types de ressources disponibles en Mauritanie. Un effort a été fait pour remplir toutes les cases du tableau, même celles pour lesquelles une information scientifique rigoureuse n'était pas disponible et le raisonnement utilisé est alors indiqué dans le tableau. Le but recherché est de préciser ce que l'on sait déjà et cerner au plus près l'inconnu pour permettre à l'Administration des pêches de disposer du cadre le plus réaliste possible. Ce tableau doit donc être considéré comme un premier essai et il devra être amélioré par le CNROP au fur et à mesure que les connaissances s'accroîtront.
Pour les stocks partagés, le pourcentage adopté pour calculer la part Mauritanienne du potentiel a été calculé par le CNROP sur la base du rapport entre la superficie totale du stock et celle de la partie Mauritanienne de ce stock. L'ensemble des données concernant les potentiels est ensuite résumé pour les principaux groupes de ressources sur le tableau VIII.2 et la figure VIII.2. Sur cette dernière le potentiel total est représenté par un cercle subdivisé en secteurs représentant les divers types de ressource. Pour chaque secteur on a indiqué en grisé la capture actuelle en Mauritanie (en % du Potentiel). Cette capture est parfois supérieure au potentiel moyen, dans le cas de stocks partagés. Dans ce cas le secteur en grisé déborde hors du cercle. Elle est souvent inférieure à ce potentiel à cause, d'une part, de la surexploitation et d'autre part des variations naturelles qui affectent la taille de ces stocks.
Dans l'ensemble toutes les ressources apparaissent soit pleinement exploitées, soit gravement surexploitées, et il est extrêmement urgent de plannifier le développement de la flotte nationale en prenant en compte la nécessité de freiner l'accroissement de l'effort de pêche et, dans certains cas de le reduire.
| Stocks | Aire de distribution | Potentiela (× 1000 t) | Etat du stock | Capture total (× 1000 t) e | Capture en Mauritaniee | % potentiel Mauritanie | Potentiel Mauritanie | Remarques |
|---|---|---|---|---|---|---|---|---|
| Pélagiques | Pêche saisonniére | |||||||
| ocèaniques | -potentiel variable | |||||||
| Albacore | Atl. Centre Est | 120 | fortement exploité | 85–130 | 1.5–6.5 | 5% | 3–8 | |
| Patudo | idem | 70–130 | fortement exploité | 65 | 1.9–2.6 | 2% | 1.9–2.6 | Importante reduction de L'effort dans L'Atlantique Transfert de flottes vers L'Océan Indien. |
| Listao | iden | inconnu (2003) | Modérément exploité | 100 | 1–5 | 2% | >5 | |
| Pélagiques côtiers | ||||||||
| Chinchards 34.1.3/34/3.1 | Cap Bojador C. Verga 34–1.3/3.1 | 430 | Taux d'exploitation variable, forte baisse de L'abondance depuis 1980 surpêche des chinchards jaunes | 424 (1976) 357 (1981) | 84 (1970) 138 (1982) 168 (1983) | 33% | 142 | Données groupe de travail FAO/COPACE 1983. Potentiel estimé à 450 000 t en 1979 (Synthèse FAO) |
| Maquer 34.1.3/34.3.1 | Mauritanie à Guinée | 103 (variable) | Surexploitè à sous exploité selon les années | 222 (1971) 91 (1981) | 54 (1970) 1.4 (1976) 18 (1983) | 33% | 34 | Stock à fluctuations importantes. Données groupe de travail FAO/COPACE 1983. (Potentiel évalué à 200 000 t en 1979. Synthèse FAO). |
| Sardinelles plates et rondes 34.1.3/34.3.1 | Mauritanie à Guinée | 350–400/600 (variable) | Localement surexploite - Pleinement exploité | 140 (1976) | 115 (1970) 250 (1977) 30 (1982) 83 (1983) | 33% | 115 à 165 (moyenne 140) | Stock à potentiel variable. Influencé par L'upwelling - baisse importante recente de L'abondance des sardinelles rondes au profit des plates et des chinchards |
| Sardine (Zone C) 34.1.3/34.3.1 | Division Sahara et Mauritanie | 500 (variable) | Pleinement exploité Phénomènes de remplacement avec les sardinelles | 654 (1976) 180 (1983) | ≃ 1 (1983) incluse dans la catégorie ci-dessus | ? variable | pour mémoire (très irré- gulier) | Stock à potentiel extrêmement vari- able-. Extension géographique variable (jusqu'au Sénégal Les années froides). Apparu en 1970. Captures 1983 grossiérement estimées (M'Barek, comm. pers.) |
| Autres pélaglques côtiers - tassergals, loups, carangues, ethmaloses, etc., | 34.1.3/3.1 | (332) | environ 332 (1982) | 5 (1970) 31 (1977) 192 (1983) | 33% | = 110 | Potentiet = Capture 1982 en supposant que Le stock est dans le même étát que les especes cibles qu'il accompagne et qui sont pleinement exploité globale- ment. | |
| Petits “thonnidés” côtiers (Ravil, bonite thazard, etc. | Atl.Centre Est | inconnu (abondants) | peu exploites | 35 | inclus dans divers pélagiques (1 000?) | - | (10?) | Capture actuelle sous estimée (rejets) Voir annexe G pour calcul potentiel |
| Communauté littorale démersale | ||||||||
| Langouste verte | Mauritanie | 0 | voir commentaires | 0.23 | 0.23(1984) | 100% | Estimation grossiere du potentiel. Sous- estime. | |
| Autres espèces Mullets etc. | Maruitanie | inconnu | inconnu | =1.0 | 1.0 | 100% | ? | Pas de donnees. |
| Communauté à sparidés/ cèphalopocés du plateau | ||||||||
| Poulpes | Mauritanie (Cap. Blanc) | 43 | sous exploite en 1980 | 12,5 (1980) | 12,5 (1980) 25,5 (1984) | 100% | 43 | Données (FAO, 1982) Bravo de Laguna (1984) |
| Seiches 34.1.3 | Côtes du Sahara et Mauritanie | 32 | surexploité en 1982 | 45,4 (1982) | 6 (1982) 6,5 (1983) | 30% | =10 | Données Bravo de Laguna (1984) |
| Calmars 34.1.3 | Côtes du Sahara et Mauritanie | 20 | surexploité en 1982 | 8 (1982) | 0.3 (1983) | 30% | 6 | Donnees Bravo de Laguna (1984) |
| Sparidés | Littoral Sahara | pour mémoin | surexploite 0,50<FZ0,80 | Données Mennes(1984) Stock dépeuplé par la pèche des cephalopodes | ||||
| Mauritanie | (50) | F=0,8-0,9 forte surexploitation | 22.5 | (?) voir commentaries | (50) | Données nouvelles. Fortement surpêches migrations probables Mauritanie -Sénégal. Potentiel inconnu. Supposons = capture actuelle x2 (selon données. Rendement 1 recrue). | ||
| Autres espéces associees | Mauritanie | (33,7) | vraisemblablement surexploites. Rejets importants | ? | 22,5 (1983) | 100% | (33,7) | Capture actueile x 1,5 bitrairement ca stock sur- exploité |
| Penaeus notialis | Timirs + nord st. Louis | (0,1-0,3)? | probablement fortement exploite | ? | inconnu | voir commentaries | (0,1-0,3)? | 1 stock Mauritanien au C. Timiris. 1 partie du stock Sénégalais de St. Louis. |
| Praires | Mauritanie | = (85) | biomasse viènge: 173 non-pêche | 0 | 0 | 100% | (=85) | Stock vierge. Toute premiére estimation de la biomasse,(Annexe C) Potentiel non connu. Considére arbitrairement 50% de la biomasse |
| Communauté a merlus/crevettes du talus continental | ||||||||
| Merlus sénégalais | COPACE nord (échanges Mauritanie Sénégal??) | (40) (variable) | légénement sous- exploite? | 14 (1965) 105 (1973) | 7,5-10b + 5 (captures accessories) | 33% | (13) (variable) | Donnees FAO/COPACE (1985). Stock variations du recrutement ou de la mortalité par pêche. Données mensurations insuffisantes. Potentiel = moyenne des captures 1964–1981. |
| Crevettes profondes | idem | (3)? | inconnu (pas de donées). Pleinement exploité au Sénégal | (3) voir commentaire | capture rée inconnue (3) | 33% | (3) voir commentaire | Capture estimée à 3 000 t par le rapport Abondance Crevettes/ Abondance Merlus dans les données Sénégal (Cavariviére, comm. pars.). Potentiel considéré égal à pers.).Potentiel considéré égal à La capture comme au Sénégal. Données généralement peu fiables. |
| Sparidés profonds | idem | inconnu | fortement exploité | >5,0 | 33% | inconnu (inclus dans autres espéces profondes) | Espéces capturées par la flotte pélagique. | |
| Langouste rose | Mauritanie | 2.5 (toute la zone) (0.7)c | décimé - en reconstitution? | 0,8 (1984) | 0,8 | 100% | 0,7 | Voir Chapitre VII, 2.8. |
| Autres espéces profondes démersales | Mauritanie | (70) | pleinement exploité comme les merlus? | inconnue | inconne | 33% | 70 | Potentiel arbi- traire = 50% du potentiel démersal côtier. Biomasse autres espéces = 6 à 10 fois celle du merlu. |
| Total démersal du plateau | Cap Timiris Cap Verga (Guinée) | 150–180 | pleinement exploité | 172 (1982) | 33% | 50–60 | Données Bull.Stat. COPACE No. 4. Domain (1979). Synthèse FAO. | |
| Cap Timiris - Cap Roxo | 66–78 | pleinement exploité | ? | ? | Domain (1979) |
b Approximation = 50% des captures “Bons” espagnols.
d Selon Annexe K par Caverivière, Domain et Thiam
e L'année est indiquée entre parenthèses
Synthèse des évaluations de potentiel pour la Mauritanie
| Potentiel (x.000 t) | % | Capture (x.000 t) | % du Potentiel | |
|---|---|---|---|---|
| Chinchards | 142 | 22 | 168 | 118(*?) |
| Maquereaux | 34 | 5 | 18 | 55** |
| Sardinelles + sardines | 140 | 21 | 63 | 45** |
| Autres petits pélagiques | 110 | 17 | 192 | 174 |
| Total pélagiques côtiers | 426 | 65 | 441 | 108 |
| Poulpes | 43 | 6.6 | 22.5 | 53 |
| Seiches | 10 | 1.5 | 6.5* | 65* |
| Calmars | 6 | 0.9 | 0.3* | 5 |
| Total céphalopodes | 59 | 9.0 | 29 | 49 |
| Sparidés | 50 | 7.7 | 22.5* | 45* |
| Autres démersaux du plateau | 34 | 5.2 | 22.5* | 66* |
| Total démersaux du plateau (com. littorale inclue)a | 143 | 22 | 74 | 52* |
| Merlus | 13 | 2.0 | ≃15 | 115 |
| Autres espèces profondes (Langouste rose inclue) | (71) | 10.7 | ? | ≃100? |
| Total espéces talus | 83 | 12.7 | ? | ≃100? |
| Total espèces talus | 83 | 12.7 | ? | ≃100? |
| Total généralb | 652 | 99.7 | ||
| Total généralb | 652 | 99.7 | ||
| Production “optimale”b | 437 |
a Communauté littorale peut être sous estimée

Figure VIII.2 Potentiel et captures actuelles par type de ressource, en Mauritanie (Voir texte paragraphe VIII.6 et données chiffrées au Tableau VIII.2)