Estimation par chalutage des ressources démersales du plateau continental mauritanien
par
F. Domain-1
Le développement industriel de la pêche est un phénomène récent en Mauritanie aussi les données de prise et d'effort des nombreuses flottilles opérant dans la région sont-elles encore trop fragmentaires pour qu'il soit possible de recourir aux méthodes traditionnelles d'analyse des stocks.
L'évaluation des ressources démersales du plateau continental a ainsi été tentée à partir de chalutages réalisés à bord du navire de recherche mauritanien N'DIAGO-2. Les populations de poissons de la région étant distribuées suivant des facteurs édaphiques ou climatiques maintenant connus (Domain, 1980), il a été possible de mettre en oeuvre la méthode de l'échantillonnage aléatoire stratifié qui tient compte de la répartition des espèces par rapport à ces facteurs. Elle permet également de calculer des indices d'abondance (et leur intervalle de confiance) qui, si les observations sont répétées dans le temps, sont de précieux indicateurs de l'évolution de l'état des stocks.
1. METHODOLOGIE
Le bateau utilisé pour les campagnes de chalutage est le N/O N'DIAGO, chalutier de type pêche arrière de 34 m de long et d'une puissance motrice de 675 C.V.
L'engin de pêche utilisé est un chalut à panneaux de type “Irlandais” de 45 m de corde de dos et à mailles fermantes de 41 mm (fig. 1). Son ouverture verticale est de l'ordre de 3 m.
Les traits de chalut ont été réalisés de jour à une vitesse de 3,5 noeuds et pendant 30 minutes entre 16°N et 20°45'N.
1.1 L'échantillonnage
1.1.1 L'échantillonnage aléatoire stratifié
La totalité des échantillonnages effectués dans la région avant 1982 l'a été à partir de radiales de chalutages perpendiculaires à la côte et comportant des stations standards.
Cette méthode qui présente un intérêt pour des travaux d'écologie ou d'approche d'une région mal connue a permis la description des peuplements démersaux de Mauritanie et du Sénégal (Domain, 1974 et 1980). Elle n'est guère adaptée pour des travaux d'évaluation de stock car elle prend mal en compte les fortes variations que l'on peut observer dans une région donnée dans la disponibilié du poisson en fonction de facteurs de l'environnement physique (nature du fond) ou hydrologiques. Elle ne permet pas en outre d'obterrir une estimation valable sur l'erreur d'échantillonnage de la biomasse et donc d'évaluer la précision des évaluations.
On préfère aujourd'hui à cette méthode celle de l'échantillonnage aléatoire stratifié (Grosslein et Laurec, 1982) qui tient mieux compte des tendances de la répartition du poisson en fonction de facteurs du milieu tels que la bathymétrie, la nature du fond ou les variations saisonnières des conditions hydrologiques, ces dernières étant à l'origine de migrations chez beaucoup d'espèces. L'échantillonnage aléatoire stratifié permet ainsi de contrôler et d'évaluer l'importance de l'erreur d'échantillonnage et d'éviter les erreurs pouvant résulter de la sélection des stations. II est alors possible d'obtenir des indices d'abondance dont la variance peut être calculée et qui peuvent être ainsi comparés. On trouvera une description détailléee de cette méthode dans Grosslein et Laurec (déjà cité). Très schématiquement elle peut être résumée de la façon suivante: la région à échantillonner est subdivisée en un certain nombre de strates correspondant chacune à un milieu bien défini. La surface de ces strates est évaluée par planimétrie et dans chacune d'entre elle un nombre de traits de chalut proportionnel à cette surface est défini.
1Océanographe biologiste de l'ORSTOM, Antenne ORSTOM, Centre IFREMER, BP 337, 29273 Brest, France.

Figure 1 Plan du chalut utilisé par le N'DIAGO
La position de chaque trait à l'intérieur de chaque strate est ensuite déterminée au hasard.
1.1.2 Le choix des strates sur le plateau continental mauritanien
La sélection des strates sur le plateau continental mauritanien a été opérée en fonction des trois paramètres suivants: la latitude, la profondeur et la nature du fond.
La latitude est un paramètre composite qui englobe à la fois les conditions hydro-climatiques et les variations morphologiques de la côte. Le plateau continental mauritanien qui présente une grande extension en latitude (sensiblement 16° à 21°N) se trouve être la zone de transition entre une faune d'eaux chaudes d'affinité guinéenne que l'on trouve vers le Sénégal et une faune d'eaux froides d'affinité saharienne qui l'on trouve en permanence au nord du cap Blanc. En raison du rôle charnière que semble jouer la zone du cap Timiris dans cette répartition des peuplements, nous avons en premier lieu séparé la région en deux parties situées de part et d'autre de cette zone.
La profondeur: la répartition bathymétrique des espèces sur le plateau continental montre, au niveau des fonds de 70 à 80 m, une discontinuité entre une faune côtière et une faune inféodée aux fonds du rebord du plateau. II a ainsi été défini une strate correspondant aux fonds inférieurs à 80 m.
La nature du fond à l'intérieur des subdivisions déjà présentées, les espèces se répartissent en fonction de la nature du fond et un certain nombre de sous-strates a été différencié en fonction des caractéristiques granulométriques de la couverture sédimentaire. II a notamment été établi une différence entre les fonds de vase, les fonds de sable fin, les fonds de sable grossier et les fonds bien caractéristiques de sables à Amphioxus (Branchiostoma senegalensis). A partir de ces trois paramètres, une première stratification a été établie (Tableau I).
| N° de la strate | Surface en milles2 | Définition du type de fond | Nombre chalutages |
|---|---|---|---|
| 1 | 269,28 | Fonds des sables fins vaseux à plus de 80 m | 5 |
| 8 | 1 453,59 | 19 | |
| 2 | 726,80 | Sables fins vaseux à moins de 80 m | 7 |
| 9 | 1 769,93 | 20 | |
| 3 | 154,25 | Vases | 2 |
| 10 | 284,97 | 4 | |
| 4 | 324,18 | Sables grossiers coquilliers à amphioxus | 7 |
| 11 | 358,17 | 5 | |
| 5 | 441,83 | Sables grossiers et sables Coquilliers | 6 |
| 12 | 928,10 | 13 | |
| 6 | 164,70 | Sables grossiers vaseux | 3 |
| 13 | 245,75 | 5 | |
| 7 | 128,10 | Vases sableuses | 2 |
| Total | 7 249,66 | Totalité du plateau continental de 0à 200 m | 99 |
Compte tenu des résultats obtenus lors des deux premières campagnes réalisées en février et avril 1982 il a été décidé de simplifier les strates en ramenant leur nombre à 6 (Fig. 2 et tableau II). Les données de février et avril ont alors été intégrées à cette nouvelle stratification qui a été conservée pour l'ensemble des campagnes réalisées ultérieurement.
| Zone | N° strate | Surface (milles2) | Définition du type de fond |
|---|---|---|---|
| NORD | 1 | 377 | Fonds sablo-vaseux situés à plus de de 80 m de profondeur |
| 2 | 1 089 | Fonds sablo-vaseux intermédiaires | |
| 3 | 833 | Fonds de sable côtiers | |
| TOTAL NORD | 2 299 | ||
| SUD | 4 | 1 351 | Fonds sablo-vaseux situés à plus de 80 m de profondeur |
| 5 | 3 286 | Fonds sablo-vaseux intermédiaires | |
| 6 | 403 | Fonds de sable côtiers | |
| TOTAL SUD | 5 040 | ||
| TOTAL | 7 339 | ||
1.1.3 Influence des variations saisonnières de l'environnement
L'environnement hydroclimatique du plateau continental mauritanien est caractérisé par l'alternance de deux saisons bien marquées:
en hiver une saison d'eaux froides, caractérisée par des phénomènes de remontées d'eaux profondes (upwellings) fertilisantes pour le milieu;
en été une saison d'eaux chaudes qui proviennent du sud.
La transition d'une saison à l'autre est marquée par le déplacement d'une zone frontale entraînant des variations rapides et de grande amplitude des conditions hydrologiques.
Ces variations saisonnières des conditions du milieu ont pour conséquence des déplacements saisonniers en latitude de la plupart des espèces de la région. Pour tenir compte des importantes variations que l'on observe dans l'abondance et la disponibilité des espèces d'une saison à l'autre les missions d'échantillonnage ont été organisées en saison froide et en saison chaude.
1.1.4 L'échantillonnage des captures à bord du N'DIAGO
Lors de chaque trait, toute la prise a été triée et répartie par espèces pour inventaire numérique et pondéral. Dans le cas de prises très importantes seule une fraction a été conservée pour le tri. Cette fraction était égale à 1/2, 1/3, 1/4 …. de la prise totale selon que l'on éliminait 1, 2, 3 …. parts pour une gardée.

Figure 2 Cartes des strates utilisées lors des campagnes de chalutage du N'DIAGO
Le tri a été effectué à la pelle selon la méthode préconisée par Poinsard et Troadec (1967). Nous pensons que cette méthode fournit un sous échantillon représentatif dans la mesure où les espèces présentes sont peu nombreuses et que les individus sont dans une même gamme de taille. Pour cette raison, lors de prises importantes devant être échantillonnées à la pelle, toutes les espèces présentant de gros individus ont été extraites avant de commencer l'échantillonnage.
Des fréquences de tailles ont été effectuées pour toutes les espèces d'intérêt commercial.
1.2 Traitement des données et évaluation de la biomasse
1.2.1 Traitement des données
Les données ont été traitées au moyen de l'ordinateur HP 9845 du CNROP. Après application du programme de traitement on obtient les résultats suivants, par espèce et par strate:
poids moyen des captures par espèce et par trait de chalut ainsi que l'écart-type et le pourcentage de variation de ce poids moyen. Celui-ci est alors considéré comme l'indice d'abondance de l'espèce;
l'abondance moyenne pour la totalité de chaque strate;
l'abondance moyenne pour l'ensemble de la zone;
une évaluation de la biomasse par espèce calculée en extrapôlant le résultat moyen des coups de chaluts à la suface totale de la zone.
1.2.2 Evaluation de la biomasse
1.2.2.1 Définition de la biomasse
La biomasse estimée lors de la campagne est le poids total de la ressource halieutique considérée (espèce ou groupe d'espèces) présente sur le plateau continental au moment ou l'échantillonnage a été effectuée. Il est important de remarquer que cette biomasse n'est pas le potentiel capturable au cours d'une année.
1.2.2.2 Calcul de la biomasse
Si tout le poisson présent sur le trajet du chalut était capturé, la valeur de la biomasse serait donnée par la formule:

ou B est la biomasse, P l'indice d'abondance, S la surface totale de la zone étudiée et s la surface échantillonnée par un trait de chalut.
1.2.2.3 Limites de la méthode
Elles dépendent du degré de précision qu'il est possible d'atteindre dans le calcul des paramètres de l'équation (1).
L'indice d'abondance P
Sa précision est fonction de l'efficacité du chalut pour une espèce déterminée. P dépend de la vulnérabilité du poisson par rapport à l'engin de pêche c'est à dire de sa plus ou moins grande aptitude à ne pas être capturé par le chalut, soit parce qu'il l'évite (comportement d'évitement) soit parce qu'il s'échappe au travers des mailles du filet (comportement d'échappement).
Si l'échappement peut être évalué par la mesure de la sélectivité des mailles du chalut, il n'en est pas de même pour le taux d'évitement qui ne peut être estimé que par l'observation directe. Compte tenu des difficultés de mise en oeuvre de telles observations qui nécessitent le recours à des caméras sous-marines, il n'existe pas, pour le moment, d'estimation du taux d'évitement des poissons de la région pour le chalut utilisé par le N'DIAGO.
Afin d'atténuer le biais ainsi introduit dans le calcul de l'indice d'abondance, on divise P par un coefficient de vulnérabilité du poisson K, inférieur à l, et qui peut être défini comme le rapport du nombre de poissons pris au nombre de poissons présents sur l'aire balayée. Le calcul de la biomasse s'écrit alors:

Les travaux réalisés jusqu'à présent dans la région n'ont pas tenu compte de ce coefficient de vulnérabilité qui a été considéré implicitement égal à l. Afin que les résultats de cette étude leurs soient comparables et permettent notamment de suivre ces variations relatives de la biomasse de la région au cours des dernières années, la même hypothèse de base a été acceptée.
Dans une phase ultérieure, afin d'être en mesure de donner un ordre de grandeur de la production absolue du stock démersal, un coefficient correcteur de la vulnérabilité sera appliqué (paragraphe 3.5.1).
Le surface totale S
La surface S est mesurée par planimétrie sur les cartes marines de la région. Les erreurs de mesure sur ce chiffre sont négligeables.
La surface d'un trait de chalut
La mesure de l'aire balayée par le chalut au cours d'un trait est plus délicate. Cette aire est s l × d, où l est la largeur efficace du chalut et d la longueur de parcours du chalut sur le fond, c'est-àdire, la vitesse du bateau multipliée par la durée du trait.
Or, si l'on connait bien la durée totale du trait (30 minutes) on ne peut qu'estimer l'instant où le train de pêche s'établit sur le fond. De même la vitesse du bateau, fixée à 3, 5 noeuds, n'est connue que par rapport à la surface de la mer et un courant contraire peut ainsi introduire un biais au niveau de l'estimation de la distance parcourue par le chalut sur le fond.
La largeur efficace du chalut est certainement le paramètre le plus imprécis. Pour une vitesse donnée elle dépend de la longueur de la corde de dos et de la position des panneaux par rapport aux pointes d'aile du chalut. Nous avons estimé à 20 m la largeur utile du chalut utilisé et la surface balayée pendant 30 minutes de trait serait ainsi de 0,0189 mille2 ou 64 820 m2, soit encore 6,5 ha.
1.3 Conclusion
Les estimations de biomasse obtenues par cette méthode ne constituent le plus souvent qu'une approximation minimale en raison, d'une part de l'incertitude concernant l'estimation de la largeur utile du chalut et d'autre part, et surtout, de la difficulté d'apprécier le coefficient de vulnérabilité au chalutage des différentes espèces. Selon les exemples mentionnés dans la littérature la biomasse réelle serait de l à 10 fois (plus généralement de l à 5 fois) supérieure à celle obtenue par cette méthode.
On notera cependant l'intérêt de disposer de séries d'indices d'abondance obtenus par cette méthode au cours de campagnes répétées dans le temps et dans les mêmes conditions, notamment pour ce qui concerne le suivi de l'état des stocks lorsque l'évolution de ces indices peut être comparée à l'évolution de l'effort de pêche appliqué à ces stocks (Rapport CNROP-CRODT-GFD Dakar 1984).
2. CAMPAGNES EFFECTUEES
Neuf campagnes ont été effectuées:
campagne ND 8201 - février et avril 1982
campagne ND 8205 - juin 1982
campagne ND 8207 - septembre 1982
campagne ND 8301 - février 1983
campagne ND 8303 - avril-mai 1983
campagne ND 8308 - septembre 1983
campagne ND 8310 - décembre 1983
campagne ND 8403 - avril 1984
Les données brutes recueillies ont été publiées dans les documents d'archives du CNROP n° 1, n° 2, n° 3, n° 6, n° 10.
3. RESULTATS
3.1 Analyse de la distribution des captures moyennes par trait de chalut
Pour chacune des campagnes l'histogramme des fréquences de poids des traits de chalut a été tracé (fig. 3). Les valeurs moyennes de captures oscillent entre 103 et 213 kg par demi-heure (tableau III).
| Saison | Campagnes | Indices d'abondance (kg/30mn) | de l'abondance | de l'abondance |
|---|---|---|---|---|
| Saison froide | Févrieravril 1982 | 152,4 | 29,6 | 19,4 |
| Févier 1983 | 151,2 | 14,3 | 9,4 | Avril–mai 1983 | 122,3 | 24,9 | 20,4 |
| Décembre 1983 | 172,8 | 16,7 | 9,7 | |
| Avril 1984 | 102,8 | 17,6 | 17,1 | |
| Saisonchaude | ||||
| Juin 1982 (Sud Timiris) | 212,9 | 29,0 | 13,6 | Septembre 1982 | 157,9 | 26,0 | 16,9 |
| Septembre 1983 | 136,1 | 18,3 | 13,4 |
3.2 Analyse des indices d'abondance
On trouvera en appendice I (tableaux A à K) les valeurs des indices d'abondance (en kg par 30 minutes de trait), l'écart-type et le pourcentage de variation de cet indice d'abondance obtenus lors des campagnes du N'DIAGO réalisées de 1982 à 1984.
3.2.1 Analyse des indices d'abondance globaux
Sur la figure 4 est représentée l'évolution des indices d'abondance d'avril 1982 à avril 1984 pour l'ensemble des espèces démersales (A), pur les poissons seuls (B) et pour les poulpes (C).
Ce graphique fait apparaître une tendance à la baisse de l'indice d'abondance calculé pour l'ensemble du plateau continental. Cette diminution apparaît essentiellement dans la zone située au nord du cap Timiris alors que la zone sud apparaît stable. On constate aussi que les parages du cap Blanc qui étaient traditionnellement décrits comme les plus riches de la Mauritanie et même de la région voient leur abondance décroître pour devenir inférieure à celle que l'on trouve au sud du cap Timiris à partir de 1982.
La comparaison de l'évolution de l'indice d'abondance des poissons par rapport à celui des poulpes (fig. 4, B et C) montre une stabilité de ces derniers que ce soit au sud ou au nord du cap Timiris. La baisse observée concerne essentiellement les poissons de la zone nord qui est aussi la plus impliquée dans le développement de la pêche industrielle.

Figure 3 Histogrammes des fréquences des poids des traits de chalut

Figure 4–5 Evolution des indices d'abondance d'avril 1982 à avril 1984
Cette diminution de l'abondance du poisson est également confirmée par la décroissance que l'on observe dans les pourcentages de poissons capturés dans l'ensemble de la pêcherie démersale mauritanienne de 1981 à 1984 (tableau IV).
| Année: | 1981 | 1982 | 1983 | 1984 |
|---|---|---|---|---|
| % poissons | 57 | 69 | 34 | 44 |
| % céphalopodes | 43 | 31 | 66 | 56 |
L'analyse des indices d'abondance par strates (fig. 5) montre que ce sont les strates 2 et 3 situées au large du banc d'arguin entre 10 et 80 m de profondeur qui sont essentiellement touchées par la diminution de l'abondance. En saison chaude 1983 on n'y observe pas en effet l'accroissement de l'indice d'abondance que l'on devrait normalement voir apparaître à cette saison et qui se manifeste alors dans la zone sud sur des fonds côtiers analogues et surtout dans la strate la plus littorale (strate n° 6, fig. 5).
Cet accroissement que l'on devrait observer en saison chaude dans la région côtière située au nord du Cap Timiris peut avoir deux causes:
arrivée dans la pêcherie d'individus qui ont grandi dans les nurseries de la baie du Lévrier et du banc d'Arguin,
migration vers le nord, avec les eaux chaudes, d'individus du peuplement côtier de la strate 5 et surtout des nurseries de la strate n° 6.
Il n'est pas impossible que les infractions chroniques à la réglementation du chalutage sur ces parties du plateau continental qui devraient être spécialement protégées, soient à l'origine des baisses d'abondance observées à partir de 1983 dont la cause pourrait alors être imputée à une diminution du recrutement.
Les strates profondes (1 et 4) paraissent moins concernées par la diminution de l'abondance. On observe en outre que l'évolution des rendements suit celle de Dentex angolensis (fig. 7 C) qui est l'une des espèces les plus abondantes de cette partie du plateau continental.
3.2.2. Analyse des indices d'abondance par espèce
Sur les figures 6 et 7 a été représentée l'évolution de l'indice d'abondance d'un certain nombre d'espèces démersales d'intérêt économique exploitées par la pêche industrielle ou artisanale.
Si l'on considère l'ensemble du plateau continental (fig. 6) il est difficile de déceler des tendances marquées sauf pour des espèces telles que Diplodus bellottii peu représenté au sud du Cap Timiris ou Balistes capriscus présent surtout dans la zone sud. Les variations ainsi mises en évidence sont essentiellement saisonnières et traduisent l'affinité des espèces pour telle ou telle saison. Comme pour les indices d'abondance globaux seule une analyse séparée des zones nord et sud du plateau continental permet de mettre en évidence une tendance dans l'évolution des indices et de déceler les espèces responsables de la baisse des rendements à partir de 1983 au nord du Cap Timiris (fig. 7 A B C).
On observe en effet que les indices d'abondance d'un certain nombre d'espèces s'effondrent à partir de 1983 au nord alors que la zone sud paraît peu affectée par cette évolution. Il apparaî à les rendements des céphalopodes (Sepia officinalis et Octopus vulgaris, fig. 7 B) conservent une certaine stabilité dans les deux zones si l'on fait abstraction des variations saisonnières.

Figure 6 Evolution des indices d'abondance par espèce

Figure 7 A Evolution des indices d'abondance par espèce au nord et au sud du cap Timiris

Figure 7 B Evolution des indices d'abondance par espèce au nord et au sud du cap Timiris

Figure 7 C Evolution des indices d'abondance par espèce au nord et au sud du cap Timiris
Les espèces concernées par la baisse des rendements sont les suivantes:
Mustelus spp.
Plectorhynchus mediterraneus
Sparus caeruleostictus
Pomadasys incisus
Diplodus bellottii
Decapterus rhonchus
Elles présentent les caractéristiques suivantes:
elles sont plutôt d'affinité d'eau chaude et leur période de plus grande abondance se situe en saison chaude;
ce sont des espèces côtières dont les nurseries se trouvent sur le banc d'Arguin, en baie du Lévrier et dans la zone littoral située au voisinage de Nouakchott qui correspond à la strate n° 6;
ce sont enfin les espèces les plus exploitées (mis à part les céphalopodes) par la pêche industrielle et artisanale sur la partie la moins profonde du plateau continental.
A ces espèces on peut opposer celles de la partie intermédiaire du plateau continental. Ce sont des espèces plutôt abondantes en saison froide et pour lesquelles les meilleurs rendements sont obtenus au sud du Cap Timiris. Ce sont essentiellement Dentex canariensis, Epinephelus aeneus, Zeus faber et Pseudupeneus prayensis.
Les indices d'abondance obtenus pour Pagellus bellottii (fig. 7 A) ne permettent pas de tirer de conclusions quand à l'évolution de l'importance de ce stock. Tout au plus peut-on-dire que cette espèce est plus abondante en saison chaude au nord du Cap Timiris et que les rendements moyens paraissent plus élevés sur la partie intermédiaire du plateau continental de la zone sud.
Les rendements de Dentex macrophthalmus (fig. 7 C) que l'on rencontre surtout dans les strates les plus profondes diminuent progressivement depuis 1982 que ce soit au nord ou au sud du Cap Timiris. Cette baisse de l'abondance est sans doute à mettre en relation avec l'exploitation intensive des chinchards sur cette partie du plateau continental ou Dentex macrophtholmus apparaît fréquem– ment en tant que prise accessoire dans les déclarations de capture des chalutiers pélagiques ou semi– pélagiques.
On observe enfin que l'évolution de l'abondance de Balistes capriscus (fig. 7 B) indique une tendance à la disparition progressive de cette espèce devant la Mauritanie, avec une distribution de plus en plus méridionnale du stock. Cette constatation est en accord avec les observations réalisées au Sénégal où l'on signale une tendance à la diminution de l'abondance des balistes au cours des dernières années (FAO, 1984).
3.3 Estimation de la biomasse
La biomasse a été calculée suivant la méthode exposée au paragraph 1.2.2. Compte tenu des limites de cette méthode les valeurs obtenues doivent être considérées comme des indices minimals de la biomasse, à un moment donné. Les résultats obtenus en 1982, 1983 et 1984 sont consignés dans le tableau V.
Ces valeurs sont issues des indices d'abondance auxquels elles sont proportionnelles. Leur évolution dans le temps se fait dans le même sens aussi les commentaires faits au paragraphe 3.2.1 ne seront-il pas repris ici.
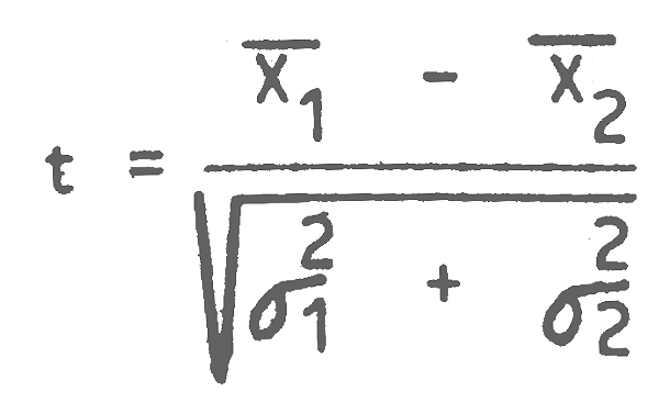
Dans le but de proposer une estimation du potentiel de capture il a paru intéressant de calculer une valeur moyenne de la biomasse minimum correspondant à la période d'échantillonnage qui va de février 1982 à avril 1984. Dans un premier temps l'homogéité de la valeur des indices d'abondance a été testée afin de voir s'il existe une différence significative entre les résultats des différentes campagnes, notamment entre les valeurs de saison froide et celles de saison chaude. Le test de Student a ainsi été utilisé

où X1 et X2 sont les moyennes des deux échantillons à comparer (ici les indices d'abondance).
| Nord C. Timiris | Sud C. Timiris | Total Zone | |
|---|---|---|---|
| Février-avril 1982 | 23.161 ± 10 554 | 33.903 ± 4 027 | 57.064 ± 11 929 |
| Juin 1982 | 39.740 ± 3 527 | 56.774 ± 7 733 | 96.514 ± 11 262 |
| Septembre 1982 | 25.555 ± 8 758 | 35.757 ± 5 493 | 61.312 ± 10 330 |
| Févier 1983 | 14.070 ± 1 995 | 44.651 ± 5 173 | 58.721 ± 5 553 |
| Avril–mai 1983 | 17.985 ± 8 624 | 29.499 ± 4 347 | 47.484 ± 9 670 |
| Septembre 1983 | 14.898 ± 3 649 | 37.967 ± 6 107 | 52.865 ± 7 107 |
| Décembre 1983 | 12.683 ± 3 479 | 54.428 ± 5 493 | 67.111 ± 6 485 |
| Avril 1984 | 12.794 ± 6 325 | 27.113 ± 2 587 | 39.907 ± 6 835 |
σ2 et σ22 sont les variances des deux moyennes à comparer. Pour des échantillons dont l'effectif est supérieur à 30, ce qui est toujours le cas ici, la table de distribution de t indique que la différence entre les deux échantillons est significative au seuil de 5 pour cent si t a une valeur supérieure à 1,96.
Les valeurs de t obtenues sont consignées dans le tableau VI où l'on voit que seules les campagnes de juin 1982 et d'avril 1984 présentent une différence marquée avec les autres campagnes.
| Fév. Avril 1982 | Février 1983 | Avr. Mai 1983 | Décembre 1983 | Avril 1984 | Juin 1982 | Septembre 1982 | Septembre 1983 | |
|---|---|---|---|---|---|---|---|---|
| Fév. Avril 1982 | - | 0,04 | 0,78 | 0,60 | 1,44 | 1,46 | 0,14 | 0,47 |
| Février 1983 | - | - | 1,01 | 0,98 | 2,13 | 1,91 | 0,23 | 0,65 |
| Avril Mai 1983 | - | - | - | 1,68 | 0,76 | 2,37 | 0,99 | 0,45 |
| Décembre 1983 | - | - | - | - | 2,64 | 1,2 | 0,48 | 1,48 |
| Avril 1984 | - | - | - | - | - | 3,2 | 1,75 | 1,31 |
| Juin 1982 | - | - | - | - | - | - | 1,41 | 2,24 |
| Septembre 1982 | - | - | - | - | - | - | - | 0,69 |
| Septembre 1983 | - | - | - | - | - | - | - |
Au cours de la campagne de juin 1982 seule la partie sud du plateau continental a été échantillonnée et la valeur donnée pour l'ensemble de la zone a été obtenue par extrapolation. Cette estimation peut ainsi être considérée comme douteuse et ne pas être prise en compte.
Les valeurs obtenues en avril 1984 paraissent très faibles par rapport aux valeurs obtenues précédemment. L'interruption du programme de recherche à partir de cette date ne permet pas de dire s'il s'agit d'une valeur exceptionnelle ou au contraire d'une accentuation de la tendance à la baisse de la biomasse qui s'esquisse en 1982 et 1983. Dans le doute il est préférable d'éliminer cette valeur du calcul de la biomasse minimum moyenne.
Il apparaît alors qu'il n'existe pas de différence significative entre les valeurs de saison froide et de saison chaude des différentes autres campagnes aussi avons–nous estimé la valeur moyenne de la biomasse minimum du plateau continental mauritanien pour la période 1982–1983, comme la moyenne des valeurs obtenues en février–avril 1982, septembre 1982, février 1983, avril–mai 1983, septembre 1983 et décembre 1983. Cette valeur est de: 57 426 t ± 8 512 t arrondi à 57 500 t.
3.4 Evolution de la biomasse démersale au cours de la dernière décennie
Les études réalisées dans la région depuis 1971 (tableau VII) permettent d'analyser l'évolution de la biomasse démersale du plateau continental mauritanien au cours de la dernière décennie. Afin de rendre les comparaisons possibles, les différentes évaluations ont été rapportées à une unité de surface de 1 ha. Les chiffres obtenus sont ainsi l'expression de la densité en poissons démersaux, exprimée en kg/ha.
| Zone Nord | Zone Sud | |
|---|---|---|
| 1971–1972: Domain (1974) (1) et Bruhlet et Maigret (1973) (2) | 27,2 (2) | 37,7 (s.ch) |
| 29,9 (s.ch) (1) | ||
| 1973: Bruhlet, Maigret et Sy Arouna (1974) | 39,9 | |
| 1976–1977: Josse et Domain (1979) (à partir des données soviétiques) | 117,7 (s.ch) | 80,6 (s.ch) | 64,5 (s.fr) | 56,4 (s.fr) |
| 1982: Recherches de La R.S. de Roumanie | 19,1 | |
| 1982: Bergerard et al. (1983) | 41,4 (s.ch) | 26,7 (s.ch) |
| 29,4 (s.fr) | 19,6(s.ch) | |
| 1983: Bergerard et al. (1983) | 18,9 (s.ch) | 21,9(s.ch) |
| Gaudechoux et Richer de Forges (1984) | 18,9 (s.fr) | 24,8(s.fr) |
| 1984: Gaudechoux et Richer de Forges (1984) | 16,2 (s.fr) | 15,6(s.fr) |
Compte tenu de la disparité des engins et des méthodes utilisés les estimations obtenues lors des campagnes effectuées entre 1971 et 1977 sont difficilement comparables entre elles et avec les valeurs obtenues depuis 1982 par la méthode de l'échantillonnage stratifié. On notera ainsi que les valeurs données par Josse et Domain (1979) à partir de campagnes de chalutages soviétiques réalisées en 1976 et 1977 sont sensiblement le double des valeurs trouvées en 1972 et 1973, sans qu'il soit possible d'en trouver d'explication autre que celle liée à la méthode ou au type d'engin. D'aprés ces auteurs le chalut utilisé pendant les campagnes soviétiques ouvrait à 6–8 m autorisant ainsi la capture en abondance d'espèces telles que chinchards ou pelons (Brachydeuterus auritus) qui bien que n'étant pas démersales, peuvent être rencontrées en abondance au voisinage du fond. Josse et Domain ont ainsi évalué la densité de ces espèces à 25,1 kg/ha en saison chaude et 9,9 kg/ha en saison froide.
On observe cependant que les différences importantes entre les valeurs de densité observées durant la période 1971–1972 et celles des années 1982 à 1984 paraissent pouvoir être considérées comme l'indice d'une baisse de la biomasse globale en Mauritanie. II semblerait toutefois d'après l'étude menée par Gaudechoux et Richer de Forges (1984) qu'en ce qui concerne les espèces principales strictement démersales, il y ait une augmentation des indices d'abondance depuis 1976 sans qu'il soit possible de dire à partir des indications disponibles, si ce phénomène résulte d'une variation du niveau de l'effort de pêche depuis 1977.
D'une façon générale et ainsi que l'a fait remarquer le groupe de travail ad hoc sur les stocks démersaux côtiers de la Mauritanie, du Sénégal et de la Gambie (1984), on ne peut savoir à l'heure actuelle si la baisse des indices de la biomasse globale observée peut être expliquée par les modifications du milieu qui sont apparues sur les côtes de l'Afrique de l'Ouest au cours des dix dernières années. Cette hypothèse, qui ne peut être rejetée, implique une certaine prudence dans l'exploitation actuelle des stocks.
3.5 Estimation du potentiel exploitable
L'absence de données satisfaisantes de prise et d'effort sur l'activité des flottes qui exploitent la région ne permet pas d'avoir recours aux modèles classiques pour calculer le potentiel exploitable. Pour le planificateur il est pourtant utile de disposer d'un ordre de grandeur du volume de la ressource qui peut être capturé. Aussi paraît-il intéressant de tenter, à partir des évaluations de biomasse par chalutage, une première approximation du potentiel. On rappellera auparavant que le potentiel exploitable est la fraction de la biomasse que l'on peut prélever chaque année par la pêche sans mettre en danger l'avenir du, ou des stocks présents.
3.5.1 Estimation d'un coefficient de vulnérabilité
Afin de rendre les estimations de biomasse comparables avec les études antérieures, il n'a pas été tenu compte d'un coefficient de vulnèrabilité, ce qui a conduit à sous estimer l'importance de la biomasse présente sur le plateau continental au moment de l'échantillonnage. Elle a ainsi été appelée biomasse minimum.
Les mesures des coefficients de vulnérabilité au chalut des espèces sont rares et l'on ne possède aucune indication pour celles de Mauritanie. Les travaux de Clark et Brown (1977) indiquent, pour des espèces démersales de la côte nord–est des Etats-Unis, des coefficients de vulnérabilité variant généralement dans une fourchette allant de 0,3 à 0,7. En l'absence d'informations sur les espèces mauritaniennes, on prendra une valeur intermédiaire de 0,5 ce qui conduit àrer que les valeurs de biomasse calculées seraient sous estimées d'environ 50 pour cent, c'est-à-dire que le chalut ne capturerait qu'environ la moitié du poids de poisson présent sur le fond au moment de l'échantillonnage. Cette valeur de 0,5 est également conseillée par Pauly (1982) pour les poissons démersaux tropicaux d'Asie du sud–est. I1 en résulte que l'ordre de grandeur de la biomasse démersale, toutes espèces confondues, du plateau continental mauritanien de 0 à 200 m serait de l'ordre de 57 500 × 2 = 115 000 t, la baie du Lévrier et le banc d'Arguin étant exclus.
3.5.2 Estimation de la production potentielle
Dans le cas d'un stock fortement exploité comme ici, on admet à partir des observations de Allen (1971), Gulland (1971) et Troadec (1977) que le rapport potentiel maximum/biomasse est voisin de 0,4.
Le potentiel de capture du stock démersal du plateau continental mauritien entre –5 m et l'lsobathe 200 m serait ainsi de l'ordre de 46 000 t si l'on considère l'ensemble des espèces capturées par le N'DIAGO y compris les céphalopodes.
Ce chiffre est cependant vraisemblablement une sous estimation si l'on considère que le chalut utilisé par le N'DIAGO n'était pas adapté à la pêche des céphalopodes dont la biomasse a été très certainement sous estimée. A cette évaluation, il conviendrait d'ajouter les stocks de merlus et de sparidés profond de la pente continentale ainsi que la bionasse des espèces de la baie du Lévrier et du banc d'Arguin.
En 1984 les captures recensées de poissons et de céphalopodes ont été respectivement de 26 000 et 31 500 t (source: statistiques de pêche du CNROP) chiffres auxquels il convient de ajouter environ 30 pour cent de rejets (Greboval, 1982) soit 17 200 t pour obtenir l'estimation de la capture totale réelle qui s'éleverait alors à 74 700 t. Pour un potentiel annuel disponible de 46 000 t les ressources démersales de la Mauritanie apparaissent ainsi surexploitées. Cependant, compte tenu du déséquilibre que l'on observe dans la répartition géographique de l'effort qui traduit par une mortalité par pêche beaucoup plus élevée au nord qu'au sud du cap Timiris (Caverivière et al., 1985), il est vraisemblable que la surexploitation est plus intense pour la fraction du stock située entre le cap Blanc et le cap Timiris.
4. CONCLUSION
Les campagnes réalisées au large de la Mauritanie par le N'DIAGO de février 1982 à mai 1983 ont permis l'étude de l'abondance des ressources démersales par la méthode de l'échantillonnage aléatoire stratifié. Celle–ci fournit de bonnes estimations des indices d'abondance de différentes espèces qui, lorsqu'ils sont suivis dans le temps sont de précieux indicateurs de l'évolution de l'état des stocks par rapport à celle de l'effort de pêche appliqué à ces stocks.
En Mauritanie l'analyse de ces indices, de 1982 à 1984, et les comparaisons qui ont pu être effectuées entre les différentes parties du plateau continental montrent une diminution de l'abondance, au nord du cap Timiris, qui paraît affecter uniquement les poissons démersaux, celle des céphalopodes paraissant stable. Ceci peut traduire le déséquilibre que l'on observe dans la répartition géographique de l'effort de pêche qui paraît s'appliquer de façon plus marquée au nord du cap Timiris.
Une tendance générale à la baisse des indices généraux d'abondance a pu êê observée depuis les années 1971–1972. On ne peut savoir à l'heure actuelle si cette diminution peut êê expliquée par des modifications du milieu qui sont apparues sur les côtes d'Afrique de l'Ouest au cours des dix dernières années. Cette hypothèse, qui ne peut être rejetée, implique une certaine prudence dans l'exploitation actuelle des stocks.
En l'absence de données satisfaisantes de prises et d'effort une estimation de la biomasse déduite des indices d'abondance a été utilisée pour tenter d'obtenir un premier ordre de grandeur de la fraction exploitable des stocks démersaux mauritanien. Celle-ci serait de l'ordre de 46 000 t avec rejets et 75 000 t sans rejets. La surexploitation serait plus intense au Nord qu'ou Sud du cap Timiris.
5. REFERENCES BIBLIOGRAPHIQUES
Allen, K.R., 1971 Relation between production and biomass. J.Fish.Res.Board Can., 28(10):1573–81
Bergerard, P., F. Domain et B. Richer de Forges, 1983 Evaluation, par chalutages, des ressources démersales du plateau continental mauritanien. Bull.Centr.Nat.Rech.Océanogr.et des Pêches, Nouadhibou, 11(l):217–50
Bergerard, 1983 P. et B. Richer de Forges, Campagnes de chalutages du N.0. NDIAGO en 1982. Données brutes. CNROP Archive, no.l, Déc. 1982
Bergerard, 1983 P. et B. Richer de Forges, Campagnes de chalutages du N.O. DIAGO en 1983. Données brutes de la mission 8301. CNROP Archive, No.2, Avril 1983
Bergerard, P., 1983 B. Richer de Forges, J. Sevellec et M. Diop, Campagnes de chalutages du N.O. NDIAGO en 1983. Données brutes de la mission 8308. CNROP Archive, no.3, Mai 1983
Boukatine, P., 1983 J.P. Gaudechoux, B. Richer de Forges et D. Sy, Campagnes de chalutage du N.O. NDIAGO en 1983. Données brutes de campagnes 8308 et 8310. CNROP Archive, No.6, Décembre 1983
Bruhlet, J. et J. Maigret, 1973 Résultats préliminaires de la campagne de chalutage expérimental (janvierjuin). Bull.Lab.Pêches Nouadhibou, (2):57–112
Bruhlet, J., J. 1974 Maigret et Sy Moussa Arouna, Résultats de la campagne de chalutage expérimental autour du banc d'Arguin. Bull.Lab.Pêches Nouadhibou, (3):77–111
Caveriviere, A., F. 1985 Domain et D. Thiam, Quelques estimations de mortalité pour les principales espèces de poissons démersaux du plateau continental mauritanien. In Description et évaluation des ressources halieutiques de la ZEE mauritanienne. Rapp. du groupe de travail CNROP/FAO/ORSTOM, Nouadhibou, 16–27 Septembre 1985. Annexe M
Clark, S.H. et B.E. Brown, 1977 Changes in biomass of finfishes and squids from the Gulf of Maine to Cape Hatteras, 1963–74, as determined from research vessel survey data. Fish.Bull.NOAA/ NMFS, 75(1):1–21
Domain, F., 1974 Première estimation de la biomasse et de la production potentielle en poissons démersaux du plateau continental sénégalo–mauritanien entre le cap Timiris et le cap Roxo. Doc.Sci.Prov.Centr.Rech.Océanogr.Dakar–Thiaroye, (53):23p.
Domain, F., 1980 Contribution à la connaissance de l'écologie des poissons démersaux du plateau continental sénégalo–mauritanien. Les ressources démersales dans le contexte général du golfe de Guinée. Thèse doc. d'Etat, Univ. Paris VI et Mus. Nat.Hist.Nat., Vol.I:342 p.
FAO, 1984 Comité des Pêches pour l'atlantique centre–est. Rapport de la septième sessiondu groupe de travail de l'évaluation des ressources, Santa Cruz de Tenerife, Espagne 10–15 mai 1984. FAO Rapp.Pêches, (313):49 p.
Gaudechoux, J.P., 1984 Campagnes de chalutages du N.O. N'DIAGO en 1984. Données brutes de la mission 8403. CNROP Archive No.10, juin 1984
Gaudechoux, 1984 J.P. et B. Richer de Forges, Estimation des ressources démersales du plateau continental mauritanien. Mission du N.O. N'DIAGO ND 8308, ND 8310 et ND 8403 (septembre et décembre 1983, avril 1984). Bull.Centr.Nat.Rech.Océanogr. et des Pêches, Nouadhibou, 12(1):164–88
Greboval, D., 1982 Analyse bioéconomique des principales pêcheries démersales dans la région nord COPACE. Dakar, Projet COPACE, 118 p., COPACE/TECH/82/85
Grosslein, 1982 M.D. et A. Laurec, Etudes par chalutage démersal, planification, conduite des opérations et analyse des résultats. Doc.FAO–COPACE/PACE, Séries 81/82:27 p.
Gulland, J.A., 1971 The fish resources of the ocean. West Byfleet, Surrey, Fishing News (Books) Ltd., 255 p. Rev.ed. of FAO Fish.Tech.Pap., (97):425 p. (1970)
Josse, E. et F. Domain, 1979 Evaluation des ressources démersales du plateau continental mauritanien. Doc.CNROP–ORSTOM, Vol.I:15 p.
Lhomme, F., 1985 Evaluation par chalutages des ressources démersales du plateau continental togolais. Doc.ORSTOM Paris
Poinsard, F. 1967 et J.P. Troadec, La radiale de Pointe Noire. In Etude des poissons benthiques du plateau continental congolais. Cah.ORSTOM, Sér. Océanogr., (1):69–84
Troadec, J.P., 1977 Méthodes semi–quantitatives d'évaluation. In Les modèles d'évaluation des stocks halieutiques. Annexe au rapport sur le second stage FAO/CNEXO de formation sur les méthodes d'évaluation des stocks halieutiques, Brest (France), 26 juillet–27 août, 1976. FAO Circ.Pêches, (701):131–41
Anonyme, 1983 Rapport sur les résultats des recherches de la R.S. de Roumanie dans les eaux à intérêt économique de la R.I. de Mauritanie pendant l'année 1982. Int.Roumain de Rech. Marines, Constanzta, Rapp. multigr., 13 p., 24 tabl. h.t.
APPENDICE I
Indices d'abondance obtenus lors des campagnes
de chalutage du NDIAGO en 1982, 1983 et 1984
| Zone Nord | Zone Sud | Nord et Sud | ||||
|---|---|---|---|---|---|---|
| P | σ | P | σ | P | σ | |
| Fév -Avril 1982 | 198,1 | 90,3 | 127,1 | 15,1 | 152,4 | 29,6 |
| Juin 1982 | - | 212,9 | 29,0 | - | ||
| Septembre 1982 | 210,0 | 72,0 | 134,1 | 20,6 | 157,9 | 26,0 |
| Février 1983 | 115,6 | 16,4 | 128,8 | 19,4 | 151,2 | 14,3 |
| AvriL 1983 | 147,8 | 70,9 | 110,6 | 16,3 | 122,3 | 24,9 |
| September 1983 | 122,5 | 30,0 | 142,3 | 22,9 | 136,1 | 18,3 |
| Décembre 1983 | 104,2 | 28,6 | 204,1 | 20,6 | 172,8 | 16,7 |
| Avril 1984 | 105,2 | 52,0 | 101,7 | 9,7 | 102,8 | 17,6 |
| Zone Nord | Zone Sud | Nord et Sud | |
|---|---|---|---|
| Fév.–Avril 1982 | 183,9 | 115,8 | 146,3 |
| Juin 1982 | - | 205,8 | - |
| Septembre 1982 | 197,4 | 125,1 | 147,8 |
| Février 1983 | 98,4 | 122,5 | 141,5 |
| Avril 1983 | 138,3 | 103,6 | 114,5 |
| Septembre 1983 | 103,5 | 136,6 | 126,3 |
| Décembre 1983 | 92,3 | 203,9 | 168,6 |
| Avril 1984 | 87,3 | 95,7 | 93,1 |
| Zone Nord | Zone Sud | Nord et Sud | |
|---|---|---|---|
| Fév.-Avril 1982 | 14,2 | 11,3 | 6,1 |
| Juin 1982 | - | 7,1 | - |
| Septembre 1982 | 12,6 | 9,0 | 10,1 |
| Février 1983 | 17,2 | 7,3 | 9,7 |
| Avril 1983 | 9,5 | 7,0 | 7,8 |
| Septembre 1983 | 19,0 | 5,7 | 9,8 |
| Décembre 1983 | 12,9 | 0,2 | 4,2 |
| Avril 1984 | 17,9 | 6,0 | 9,7 |
| Strates | Surfaces (milles2) | N° de chalut | Indice d'abondance kg/30 mn | Ecart type | %de variation |
|---|---|---|---|---|---|
| 1 | 269,28 | 5 | 72,4 | 0,3 | 69,5 |
| 2 | 726,80 | 8 | 385,7 | 773,1 | 200,4 |
| 3 | 154,25 | 2 | 83,7 | 45,9 | 54,8 |
| 4 | 324,18 | 7 | 71,3 | 53,9 | 75,6 |
| 5 | 441,83 | 6 | 106,9 | 52,4 | 49,0 |
| 6 | 164,70 | 3 | 279,0 | 118,3 | 42,4 |
| 7 | 128,10 | 2 | 67,3 | 4,9 | 7,3 |
| 8 | 1 453,59 | 20 | 175,4 | 138,9 | 79,2 |
| 9 | 1 769,93 | 20 | 126,0 | 115,2 | 91,4 |
| 10 | 284,97 | 4 | 88,2 | 110,6 | 125,4 |
| 11 | 358,17 | 5 | 132,6 | 160,7 | 121,2 |
| 12 | 928,10 | 13 | 114,7 | 138,8 | 121,0 |
| 13 | 245,75 | 4 | 40,6 | 36,4 | 89,7 |
| Ensemble dezone | 7 249,65 | 99 | 152,4 | 29,6 | 19,4 |
| Strates | Surface (milles2) | N° de chalut | Indice d'abondance kg/30 mn | Ecart type | % de variation |
|---|---|---|---|---|---|
| 4 (< 80 m) | 1 350,86 | 10 | 164,6 | 168,4 | 102,3 |
| 5 (SV> 80 m) | 3 286,42 | 21 | 210,9 | 174,5 | 82,8 |
| 6 (sables côtiers) | 403,24 | 3 | 390,8 | 102,1 | 26,1 |
| Ensemble de la Zone sud | 5 040,52 | 34 | 212,9 | 29 | 13,6 |
| Strates | Surface (milles2) | N° de chalut | Indice d'abondance kg/30 mn | Ecart type | %de variatio | |
|---|---|---|---|---|---|---|
| Nord | 1 (> 80 m) | 376,77 | 4 | 163,6 | 169,8 | 103,8 |
| 2 (80 à 30 m) | 1 089,03 | 15 | 97,8 | 91,1 | 93,2 | |
| 3 (< 30 m) | 833,55 | 12 | 377,7 | 666,3 | 176,4 | |
| Sud | 4 (> 80 m) | 1 350,86 | 17 | 99,2 | 56,7 | 57,2 |
| 5 (SV < 80 m) | 3 286,42 | 36 | 153 | 184,9 | 120,8 | |
| 6 (sables côtiers) | 403,24 | 4 | 96,4 | 57,4 | 59,5 | |
| Total | 7 339,87 | 88 | 157,9 | 26,6 | 16,9 | |
| Strates | Surface (milles2) | N° de chalut | Indice d'abondance kg/30 mn | Ecart type | %de variation | |
|---|---|---|---|---|---|---|
| 1 (> 80 m) | 376,77 | 4 | 272,4 | 112,9 | 41,5 | |
| Nord | 2 (80 à 30 m) | 1 089,03 | 6 | 105,7 | 67,3 | 63,7 |
| 3 (< 30 m) | 833,55 | 7 | 57,8 | 25,8 | 44,6 | |
| 4 (> 80 m) | 1 350,86 | 13 | 128,8 | 115,1 | 89,3 | |
| Sud | 5 (SV < 80 m) | 3 286,42 | 23 | 170,0 | 124,3 | 73,1 |
| 6 (sables côtiers) | 403,24 | 4 | 275,6 | 106,3 | 38,6 | |
| Total | 7 339,87 | 57 | 151,2 | 14,3 | 9,4 | |
| Strates | Surfaces (milles2) | N° de chalut | Indice d'abondance kg/30 mn | Ecart type | % de variation | |
|---|---|---|---|---|---|---|
| (>80 m) | 376,77 | 5 | 589,5 | 945,3 | 160,4 | |
| Nord | 2 (80 – 30 m) | 1 089,03 | 8 | 67,0 | 76,6 | 114,3 |
| 3 (< 30 m) | 833,55 | 4 | 53,7 | 46,3 | 86,3 | |
| 4 (> 80 m) | 1 350,86 | 9 | 140,2 | 63,3 | 45,2 | |
| Sud | 5 (SV < 80 m) | 3 286,42 | 24 | 98,4 | 113,2 | 115,1 |
| 6 (sables côtiers) | 403,24 | 5 | 110,9 | 73,8 | 66,5 | |
| Total | 7 339,87 | 55 | 122,3 | 24,9 | 20,4 | |
| Strates | Surface (milles2) | N° de chalut | Indice d'abondance kg/30 mn | Ecart type | % de variation | |
|---|---|---|---|---|---|---|
| Nord | 1 | 376,77 | 6 | 136,2 | 117,3 | 86,2 |
| 2 | 1 089,03 | 5 | 167,6 | 136,7 | 81,6 | |
| 3 | 833,55 | 3 | 57,3 | 6,2 | 10,7 | |
| Sud | 4 | 1 350,86 | 10 | 107,2 | 86,0 | 80,2 |
| 5 | 3 286,42 | 21 | 149,0 | 144,7 | 97,1 | |
| 6 | 403,24 | 5 | 205,8 | 188,6 | 91,6 | |
| Total | 7 339,87 | 50 | 136,1 | 18,3 | 13,4 | |
| Strates | Surface ((milles2) | N° de chalut | Indice d'abondance kg/30 mn | Ecart type | % de variation | |
|---|---|---|---|---|---|---|
| Nord | 1 | 376,77 | 3 | 164,6 | 124,7 | 75,8 |
| 2 | 1 089,03 | 5 | 63,0 | 43,9 | 79,7 | |
| 3 | 833,55 | 4 | 130,8 | 134,1 | 102,5 | |
| Sud | 4 | 1 350,86 | 16 | 220,5 | 110,1 | 49,9 |
| 5 | 3 286,42 | 19 | 173,5 | 119,3 | 68,8 | |
| 6 | 403,24 | 5 | 398,2 | 200,4 | 50,3 | |
| Total | 7 339,87 | 52 | 172,8 | 16,7 | 9,7 | |
| Strates | Surface (milles2) | N° de chalut | Indice d'abondance kg/30 mn | Ecart type | % de variation | |
|---|---|---|---|---|---|---|
| Nord | 1 | 376,77 | 3 | 399,9 | 545,5 | 160,5 |
| 2 | 1 089,03 | 5 | 58,5 | 3,0 | 5,0 | |
| 3 | 833,55 | 7 | 60,0 | 47,8 | 79,6 | |
| Sud | 4 | 1 350,86 | 14 | 168,1 | 108,5 | 64,5 |
| 5 | 3 286,42 | 18 | 73,4 | 36,7 | 50,0 | |
| 6 | 403,24 | 4 | 109,0 | 41,6 | 38,2 | |
| Total | 7 339,87 | 51 | 102,8 | 17,6 | 17,1 | |
Evaluations de la biomasse de sparidés
dans la baie-du Lévrier de 1980 à 1985
par
A. Ba1
Méthodologie
Le bateau utilisé pour les campagnes de chalutage est le N/O ALMORAVIDE chalutier classique de 17 m et d'un tirant d'eau de 2,5 m.
Les caractéristiques des chalutages effectués sont les suivantes:
chalut de 15 m de corde de dos - maillage 40 mm (étiré)
largeur efficace de ce chalut: 7 m
durée des traits: 30 mn
vitesse de chalutage: 3,5 noeuds
Surfaces utilisées pour les calculs de biomasse:
surface d'un trait de chalut: 0,00567 milles2, soit 1,94 ha
surface de la baie du Lévrier: 137.200 ha
L'évaluation de la biomasse a été obtenue par la formule:
On a supposé que l'efficacité du chalut était de 100 pour cent.
1 Océanographe biologiste du CNROP, B.P. 22, Nouadhibou, Rép. Islam. de Mauritanie
| Espéces | CAMPAGNES | ||||||||||
|---|---|---|---|---|---|---|---|---|---|---|---|
| Août 1980 | Octobre 1980 | Févriér 1981 | Avril 1981 | Juillet 1981 | Novembre 1981 | Novembre 1982– Mars 1983 | Janvier 1984– Février 1984 | Août 1984 | Mars 1985 | Août 1985 | |
| Diplodus bellottii | 39 072 | 23 903 | 7 084 | 15 236 | 27 339 | 28 183 | 14 252 | 14 522 | 8 357 | 14 069 | 29 857 |
| D. sargus el | 1 589 | 2 054 | 840 | 1 745 | 6 361 | 525 | 499 | 1 286 | 849 | 995 | 1 722 |
| Dentex canariensis | 1 486 | 1 005 | 1 051 | 1 955 | 1 949 | 655 | 567 | 1 661 | 923 | 647 | 512 |
| Sparus caeruleostictus | 3 203 | 596 | 3 556 | 2 102 | 2 394 | 1 517 | 383 | 898 | 561 | 275 | 21 |
| Sparidae divers | - | - | - | - | - | 416 | 75 | 180 | 555 | 369 | |
| TOTAL SPARIDES | 45 350 | 27 558 | 12 531 | 21 038 | 38 043 | 30 880 | 16 117 | 18 442 | 10 870 | 16 541 | 32 481 |
| % par rapport el à la biomasse totale | 69,8 | 55,8 | 50,4 | 48,7 | 74,8 | 51,3 | 84,8 | 57,4 | 64,3 | 64,9 | 80,4 |
Source: 1980–1981: Rapport de M. Thiam (données d'origine Bull. CNROP) 1985: A. Ba, CNROP
Campagne de chalutages de contrôle dans la ZEE Mauritanienne
à bord N/O BAKHTHISSARZAI
(avril 1985)
par
Cette campagne, qui a été réalisée entre le 12 et le 27 avril 1985 avait pour objectif l'étude des stocks démersaux de la ZEE mauritanienne. Le navire utilisé, le N/O BAKHTHISSARAI est une unité de 82,2 m de long ayant une puissance moteur de 2 × 1 160 cv. Il est équipé d'un chalut de type “Hek- 4 M” dont l'ouverture horizontale est de 24 m environ. La zone prospectée, d'une superficie de 6 100 milles carrés, a fait l'objet d'un échantillonnage systématique selon des radiales avec des chalutages aux profondeurs standards: 20, 50, 75, 100, 200, 400 et 600–800 m. La vitesse moyenne pendant les traits de chalut a été de 3,6 noeuds. Les chalutages ont été effectués uniquement de jour.
Plus de 160 espèces de poissons ont ainsi été observées pendant la campagne. Les captures moyennes ont été de 1,5 t par heure de chalutage. Les prises maximales ont atteint 10 t par heure. La distribution des principales espèces est représentée sur la figure 1, et l'on trouvera au tableau 1 les principaux résultats obtenus pendant cette campagne.
Les espèces les plus abondantes ont été les chinchards noirs (Trachurus trecae et Trachurus trachurus). Ces deux espèces se rencontrent généralement simultanément et les concentrations étaient formées d'individus de 7 à 20 cm de longueur, également par des spécimens pouvant atteindre 33 à 39 cm. A noter que les plus grands individus avaient des gonades au stade VI (repos sexuel).
Les chinchards jaunes (Decapterus rhonchus) ont également une grande importance parmi les espèces pélagiques. Les principales concentrations (jusqu'à 2,1 t/heure de chalutage) ont été observées au sud du cap Timiris entre 20 et 50 m de profondeur.
Le pageot (Pagellus bellottii) a été rencontré, comme le chinchard jaune, au sud du cap Timiris, principalement entre 20 et 50 m de profondeur, et plus rarement jusqu'à 100 m.
Parmi les sparidés, les dentex profonds (Dentex macrophthalmus et D. angolensis) ont été rencontrés sur tout le plateau entre les isobathes 50 et 200 m. Les concentrations les plus importantes ont cependant été rencontrées à proximité du cap Timiris ainsi que dans le sud de la région.
Egalement dans les fonds de 50 à 200 m, mais au nord du cap Timiris, les principales concentrations étaient constituées par l'ombrine (Umbrina canariensis). Les rendements ont atteint 5,1 t par heure de chalutage et les individus avaient une longueur comprise entre 35 et 40 cm.
Dans la région comprise entre le cap Timiris et le cap Blanc, et, entre les isobathes 20 et 600 m, mais plus particulièrement dans les fonds compris entre 75–100 m et 200 m les concentrations les plus importantes étaient formées par le merlu (Merluccius senegalensis).
La distribution des deux espèces de chinchards noirs est représentée aux figures 2 et 3. L'espéce Trachurus trachurus se rencontre sur tout le plateau continental entre les isobathes 20 et 200 m. les captures ont atteint 3,8 t par heure de chalutage. Les concentrations les plus importantes ont été observées au sud du cap Timiris à 18°N et à 17°20'N. Au nord du cap Timiris les concentrations de cette espèce ont été localisées sur les fonds de 20 à 30 m.
1 Océanographe biologiste du CNROP, B.P. 22, Nouadhibou, Rép.Islam. de Mauritanie
2 Océanographe biologiste de l'AtlantNIRO, Kaliningrad, URSS

Figure 1 Schéma de distribution des principales espèces de poissons dans la ZEE mauritanienne (12 au 27 avril 1985)

Figure 2 Distribution de Trachurus trachurus (12 au 27 avril 1985)

Figure 3 Distribution de Trachurus trachurus (12 au 27 avril 1985)
Dans la partie centrale (18°N) les T. trachurus ont été rencontrés sur les fonds de 100 m, à proximité des zones de remontées d'eaux froides. Les individus avaient une taille comprise entre 19 et 33 cm. Certains exemplaires étaient en période de ponte. Plus au sud (17°20'N), cette espèce a été détectée dans les grandes profondeurs (190–200 m). Les poissons, dont la taille variait entre 20 et 30 cm (mode à 21 cm), étaient en période de post-ponte.
L'espèce Trachurus trecae est également très répandue dans la zone prospectée, principalement entre les isobathes 20 et 200 m. Les captures ont atteint 4,9 t par heure de chalutage. Les concentrations les plus importantes ont été observées entre le cap Timiris et Nouakchott dans les profondeurs comprises entre 20 et 80 m. On remarquera que cette région correspond à la zone d'action de l'upwelling du cap Timiris.
| Espèce | biomasse | effectifs |
|---|---|---|
| Trachurus trecae | 88,2 | 1 097,4 |
| Trachurus trachurus | 50,7 | 2 363,1 |
| Pagellus bellottii | 38,8 | 516,8 |
| Decapterus rhonchus | 32,3 | 230,5 |
| Umbrina canariensis | 20,2 | 39,9 |
| Merluccius senegalensis | 17,7 | 86,9 |
| Dentex macrophthalmus | 14,8 | 144,6 |
| Dentex angolensis | 9,6 | 80,3 |
| Sardina pilchardus | 5,9 | 68,9 |
| Scomber japonicus | 2,7 | 66,3 |
| Dentex canariensis | 2,7 | 9,4 |
| Epinephelus aeneus | 2,0 | 0,9 |