par
E. Ruckes
1. Production (disponibilités en poisson)
La production halieutique tunisienne a été, en 1981, de 57 468 tonnes, soit une diminution de 4,5 pour cent par rapport à 1980 et un niveau à peu près équivalent à celui de 1979. Ce chiffre est inférieur à l'estimation inscrite pour 1981 dans le sixième plan, à savoir 68 010 tonnes. On trouvera dans le tableau 1 les chiffres de production des différentes branches du secteur halieutique. Le taux de croissance annuel moyen de la production halieutique entre 1976 et 1981 a été de 3,2 pour cent, alors que le 6ème plan a été établi en prenant pour hypothèse 6,7 pour cent. Voir page suivante: Evolution de la production halieutique 1976 – 1981.
La production des eaux intérieures et celle de l'aquaculture représentent une proportion négligeable de la production nationale totale.
On estime à 38,0 millions de D.T. la valeur de la production halieutique totale en 1981, soit une augmentation de 285 000 D.T. par rapport à 1980.
Les principales espèces débarquées (sur la base des quantités déclarées qui, en 1981, ont représenté 81 pour cent des captures totales estimées et 79 pour cent de leur valeur) sont les suivantes:
| Tonnes | en pourcentage de l'ensemble des captures | |||
| 1981 | 1979 | 1981 | 1979 | |
| Sardines | 11 223 | 11 078 | 24 | 24 |
| Maquereaux | 3 076 | 2 435 | 7 | 5 |
| Poulpes | 2 819 | 3 255 | 6 | 7 |
| Rougets | 2 429 | 2 170 | 5 | 5 |
| Pageots | 2 113 | 1 536 | 5 | 3 |
| Thons | 1 442 | 1 447 | 3 | 3 |
Les espèces qui présentent un intérêt potentiel pour l'aquaculture ont fourni la production suivante:
| Tonnes | ||
| 1981 | 1979 | |
| Anguilles | 441 | 346 |
| Daurades | 340 | 527 |
| Loups | 358 | 265 |
| Mulets | 1 021 | 872 |
| Soles | 223 | 193 |
| Moules | 127 | 138 |
| Huîtres | 12 | 14 |
Les débarquements de poisson s'effectuent principalement dans les gouvernorats de Sfax (30,5 pour cent en 1981) et de Mahdia (29,1 pour cent), suivis par ceux de Sousse et de Médénine (7 pour cent chacun). La pêche côtière fournit la plus grosse part des captures (21 803 tonnes et 21,1 millions D.T.), suivie par la pêche au feu/petits pélagiques (20 588 tonnes et 4,1 millions D.T.) et par la pêche au chalut (11 532 tonnes et 7,3 millions D.T.).
Evolution de la production de la pêche 1976–1981
Production en tonnes
| Années | 1976 | 1979 | 1980 | 1981 | |
| Type de pêche | |||||
Chalut | 9 700 | 10 300 | 10 625 | 10 961 | (1) |
Feu | 15 700 | 20 200 | 20 762 | 20 588 | |
Côtière | 20 700 | 22 000 | 23 740 | 21 804 | |
Thon | 570 | 1 500 | 1 634 | 1 248 | (2) |
Crustacés | 1 040 | 700 | 839 | 589 | (3) |
Lagunaire | 970 | 1 300 | 1 233 | 1 302 | |
Eponges | 16 | 91 | 73 | 84 | |
Corail | 5 | 5 | 6 | 8 | |
Coquillages | 345 | 1 200 | 1 273 | 884 | |
| Totaux arrondis | 49 100 | 57 300 | 60 200 | 57 500 | |
(page 5 de l'Annuaire des statistiques......... 1981)
(1) Production de la pêche au chalut (moins la production de la crevette de chalut)
(2) Il s'agit uniquement de la production des thonniers et des madragues.
En 1981, la Tunisie a exporté des produits halieutiques pour 6,3 millions D.T. principalement des poulpes congelés (2,7 millions D.T.), crevettes congelées (1,1 million D.T.), seiches congelées (0,8 million D.T.), clovisses vivants (0,6 million D.T.) et anguilles vivantes (0,3 million D.T.).
Les exportations de produits halieutiques effectuées par l'Office national des pêches sont tombées de 1 261 tonnes en 1979 à 754 tonnes en 1981, en raison essentiellement d'un recul des exportations de poulpes et de seiches congelées, de clovisses et de sardines, ce qui a entraîné une diminution de la valeur des exportations de 1,7 million à 1,2 million D.T. La participation de l'ONP aux exportations totales a baissé régulièrement, passant de 20 pour cent en 1978 à 12 pour cent en 1981.
Les principaux pays de destination des produits halieutiques tunisiens sont les suivants:
| 1981 | D.T. 1 000 | pourcentage des exportations totales | |
| Italie | 2 322 | 37 | |
| France | 1 817 | 29 | |
| Espagne | 1 153 | 18 | |
| Grèce | 746 | 12 |
Les importations de produits halieutiques par la Tunisie en 1979 ont représenté 266 tonnes et une valeur de 270 000 dollars E.-U.
Les exportations de produits halieutiques sont assujetties à l'octroi d'une licence qui est accordée par le Commissariat général à la pêche.
En 1982 (janvier–avril), celui-ci a autorisé les exportations ci-après:
| Espèces/produits | Prix |
| Anguilles | FF 30; FF 21 |
| Bouillabaisse | FF 5; FF 7.50 |
| Baudroies | FF 12; FF 18 |
| Crevettes | FF 60; FF 40; FF 30 |
| Corail | DT 130; DT 145 |
| Calmars | FF 20; FF 19; FF 15 |
| Eponges | DT 16; DT 34 |
| Langoustes | FF 80; FF 110 |
| St Pierre | FF 15; FF 20 |
| Seiches | FF 7; FF 10 |
| Rascasses | FF 25; FF 14; FF 8 |
| Poulpes | FF 3; FF 10 |
| Anchois (boîtes de 10 kg) | FF 190 |
| Grondins | FF 8 |
| Chevrettes | FF 12; FF 18 |
| Chiens de mer | FF 12 |
| Raies | FF 12 |
| Clovisses | FF 20; FF 30; FF 18 |
Les principaux pays importateurs ont été la France, l'Italie, l'Espagne, les Pays-Bas, la Grèce, l'Algérie et la Libye.
2. Circuits et activités de commercialisation
Les circuits de commercialisation des produits halieutiques peuvent être représentés comme suit:

En dehors des zones côtières, où les approvisionnements passent du pêcheur au consommateur soit directement soit par l'intermédiaire de magasins de détail, le circuit de commercialisation caractéristique, pour le poisson, passe par les marchés de gros de Tunis et de Sfax qui les acheminent sur les marchés de détail urbains, où les ménages et les restaurants s'approvisionnent. Tunis a un marché de gros et trois principaux marchés de détail. Le nombre des magasins de détail indépendants est insignifiant. Les détaillants qui se fournissent régulièrement au marché de gros de Tunis sont environ 250 à 300. On estime que 200 marchands ambulants environ sont également approvisionnés en poisson s'il reste un excédent à des prix relativement modiques. Il s'agit là d'une demande élastique en fonction des prix. Il est à noter que ces marchands ambulants ont la mobilité voulue pour profiter des conditions favorables qui s'offrent aussi bien sur le marché des fruits et légumes que sur celui du poisson; le cas a été décrit pour Londres au début du siècle.
Pour Tunis, on estime à dix environ les rayons de poissonnerie installés dans les supermarchés.
Le réseau de détail pour l'ensemble de la Tunisie est très peu développé, notamment dans les zones à faible densité de population, et les marchés de gros jouent un rôle très important dans la formation des prix.
L'ONP est le principal distributeur de poisson en Tunisie. Il a mis en place un réseau de centres de collecte du poisson, des fabriques de glace, des entrepôts frigorifiques et gère environ 50 pour cent (30 véhicules) des camions frigorifiques/isothermes utilisés pour la distribution du poisson en Tunisie.
Le tableau 2 montre la part des différents types d'opérateurs sur le marché de gros à Tunis. Il permet de voir le rôle important joué par les mandataires, qui traitent plus des deux tiers de la production totale, ainsi que la part croissante de l'ONP sur le marché. La participation des armateurs, déjà modeste, s'affaiblit. Les valeurs unitaires des produits qu'ils traitent sont inférieures à celles des produits que négocient leurs concurrents. Les agents opérant sur le marché de gros de Tunis se répartissent comme suit: 24 mandataires qui, en journée normale, traitent environ 30 tonnes de poisson; une coopérative (les armateurs) qui traite quelque 2–3 tonnes; et l'ONP avec environ 10–15 tonnes. Quatre ou cinq mandataires auraient, paraît-il, une très forte position sur le marché et leur chiffre d'affaires individuel représenterait environ dix fois les ventes d'un petit négociant.
Le graphique 1 montre les arrivages mensuels sur le marché de gros de Tunis. Il met en évidence le caractère saisonnier des arrivages, qui enregistrent une pointe principale en mai-juin et une pointe secondaire en automne. Les activités sont à leur plus bas en hiver (décembre-janvier). Toutefois, ces caractéristiques sont moins prononcées si on analyse la valeur totale des ventes mensuelles. Cela s'explique par l'influence des arrivages de petites espèces pélagiques comme le maquereau, le saurel et d'autres espèces comme le merlan dont la production a un caractère saisonnier (graphique 2). Comme ces espèces ont une valeur unitaire plus faible et qu'elles sont à la portée des groupes à petit revenu, on peut en conclure que les disponibilités en espèces coûteuses sont relativement stables pendant toute l'année tandis que l'offre d'espèces populaires est très saisonnière et influe donc fortement sur le comportement de la masse des acheteurs et consommateurs de poisson. On pense qu'une plus forte production de moules pourrait contribuer à rééquilibrer la situation (on examinera dans la section 1.6 ci-après la nécessité d'éduquer les consommateurs et de mettre en place des dispositifs de commercialisation appropriés).
De l'avis d'un gros mandataire, les ventes de moules pourraient doubler si les prix baissaient suffisamment. Un prix de 0,200 D.T. au détail serait, selon lui, le prix maximum que la masse des consommateurs serait disposée à payer.
Il n'entrevoit aucune possibilité de développer de façon appréciable la consommation d'huîtres en Tunisie. Il conviendrait de noter cependant que les huîtres et les moules ne sont actuellement pas vendues au marché de gros et il se pourrait que les systèmes de commercialisation qui fonctionnent séparément pour ces produits n'en facilitent pas la vente. Les poissons d'eau douce n'apparaissent qu'occasionellement sur le marché et il ne semble pas que l'anguille, la carpe et le barbeau puissent se vendre facilement. Cela ne signifie pas nécessairement qu'ils ne trouveront pas acquéreurs plus tard. Les commerçants estiment dans l'ensemble que les huîtres, les moules et le poisson d'eau douce entrent rarement dans l'alimentation des consommateurs tunisiens, qu'il faudrait modifier les habitudes alimentaires par des campagnes de promotion et d'éducation des consommateurs et que le commerce devrait s'adapter à ces produits pour en favoriser la consommation.
Les huîtres et les moules sont actuellement produites et commercialisées par l'ONP uniquement. Les graphiques 3 et 4 montrent la vente de ces produits de 1979 à 1981.
Les ventes de moules atteignent une pointe en juillet-septembre et sont à leur niveau le plus bas en janvier-février, tandis que les huîtres sont essentiellement demandées pour Noël et le Nouvel An.
Les huîtres et les moules sont produites à Menzel-Jemil (lac de Bizerte); la majorité de la production est vendue à la station de dépuration de Raoud (Gammarth) proche de Tunis, qui sert de point de vente en gros et au détail aux détaillants, restaurateurs et ménages. De moindres quantités sont vendues à Bizerte, à Port-Prince et dans d'autres centres ONP, notamment au marché central de Tunis où les ventes atteignent environ dix douzaines d'huîtres et une centaine de kilos tant de moules que de clovisses un jour normal de marché.
3. Prix
Sauf pour les moules et les huîtres (et pour les produits qui ne passent pas par le marché de gros de Tunis), les prix sont fixés sur le marché de gros de Tunis. D'après les réglementations gouvernementales, le prix de gros sert à calculer le prix de détail, dont le maximum est fixé à 20 pour cent en sus du prix payé par le détaillant pour les articles dont la valeur au kilo est supérieure à 0,200 D.T. Cette marge comprend une taxe de détail de 2 pour cent.
Graphique 1 - Produits de la mer délivrés au marché de gros de Tunis
Ventes mensuelles 1979–1982 (février)
| Quantités et valeurs mensuelles en pourcentages des valeurs annuelles (moyenne 1979–1981) | |
![]() | Quantités |
![]() | Valeurs |

Graphique 2 - Livraisons mensuelles de maquereaux, saurels et merlans au marché de gros de Tunis, année 1981
![]() | ||||||
|
||||||
Tableau 2
Ventes sur le marché de gros de Tunis, 1979–81
| 1979 | 1980 | 1981 | |||
| ONP | Q | 2 331 | 2 575 | 3 011 | |
| V | 1 311 | 1 681 | 1 881 | ||
| Mandataires | Q | 7 392 | 7 056 | 6 856 | |
| V | 4 298 | 4 387 | 5 037 | ||
| Armateurs | Q | 367 | 295 | 236 | |
| V | 185 | 147 | 120 | ||
| Total | Q (tonnes) | 10 091 | 9 926 | 10 083 | |
| V (millions D.T.) | 5 795 | 6 215 | 7 038 | ||
| Répartition du marché (pourcentage du total) | |||||
| ONP, d'après la quantité | 23,1 | 25,9 | 29,9 | ||
| ONP, d'après la valeur | 22,6 | 27,0 | 26,7 | ||
| Mandataires, d'après la quantité | 73,3 | 71,1 | 67,8 | ||
| Mandataires, d'après la valeur | 74,2 | 70,6 | 71,6 | ||
| Armateurs, d'après la quantité | 3,6 | 3,0 | 2,3 | ||
| Armateurs, d'après la valeur | 3,2 | 2,4 | 1,7 | ||
Note: Différences minimes dues au fait que les chiffres sont arrondis
Source: Statistiques du Service des marchés, Tunis
Graphique 3 - Ventes totales mensuelles et ventes mensuelles de moules à Gammarth; 1979–1981

Graphique 4 - Ventes totales mensuelles et ventes mensuelles d'huîtres à Gammarth durant la période 1979–1981
| Ventes totales | Ventes à Gammarth |

L'agent qui travaille à la commission retient environ 5 pour cent, et autres 5 pour cent doivent être versés à la municipalité pour droits et taxes divers. Pour les moules, l'ONP a fixé un prix de gros de 0,200 D.T. le kg et un prix de détail de 0,250 D.T. le kg. Les huîtres sont vendues à 0,800 D.T. environ et revendues au détail à 0,975 ou à 1 D.T. la douzaine. Un gros mandataire de Tunis estime que ces prix sont trop élevés et freinent l'essor de la consommation. On estime qu'une marge de 20 pour cent pour la vente au détail est insuffisante et très difficile à contrôler. On ne saurait exclure que la marge véritable des détaillants soit plus élevée.
Pour analyser l'évolution des prix à moyen terme, on a utilisé les valeurs moyennes de quelques espèces sur la période 1979–1982 (février). Les graphiques 5.1 à 5.8 montrent l'évolution des quantités vendues chaque mois sur le marché de gros de Tunis, les valeurs unitaires moyennes mensuelles et une extrapolation de la tendance linéaire des prix établie au moyen de la méthode des moindres carrés. Les renseignements portent sur les anguilles, daurades, loups, mulets et maquereaux.
En ce qui concerne les moules et les huîtres, les tendances des prix n'ont pas été établies car, dans leur cas, la formation des prix n'est pas soumise aux forces normales du marché. Comme la série concernant les mulets femelles n'est pas suivie, on a fait la moyenne des prix pour les différentes années.
Les quantités d'anguilles livrées au marché ont été de 20,7 tonnes en 1979 et de 15,0 et 22,9 tonnes les années suivantes. Ces quantités représentent moins de 10 pour cent de la production totale, qui est en grande partie exportée (par l'ONP) vers l'Italie où, selon les statistiques de l'ONP, ce produit a réalisé en 1981 une valeur unitaire moyenne de 1 950 D.T. au kg. Le prix de gros de l'anguille italienne à Milan était de 9 000 lires au début de 1982, soit environ le double. Bien que le marché local semble apte à absorber une quantité limitée d'anguilles, le débouché principal devrait rester le marché d'exportation.
Les arrivages de daurades ont totalisé 192 tonnes, 203 tonnes et 128 tonnes pour les années 1979–1981 respectivement, avec des pointes en hiver. Le graphique 5.2 montre que les prix réagissent de près à l'offre et qu'une augmentation substantielle des quantités aurait vraisemblablement pour effet d'atténuer les actuelles tendances à la hausse des prix. A titre indicatif, une comparaison entre 1980 et 1981 peut s'avérer extrêmement instructive à cet égard: les quantités livrées ont diminué de 37 pour cent (de 203 à 128 tonnes) et la valeur unitaire moyenne a augmenté de 39 pour cent (de 1 509 à 2 097 D.T./kg); mais en fait, la valeur totale des ventes a été plus élevée en 1980 qu'en 1981.
Les arrivages annuels de loups sont passés de 86 tonnes en 1979 à 93 tonnes en 1980 et à 112 tonnes en 1981; comme on peut le voir, les prix varient en fonction de la quantité. Comme pour la daurade, les arrivages accusent des pointes en hiver (particulièrement en décembre, mois qui représente environ le cinquième de la quantité annuelle). Toutefois, les prix sont généralement plus bas en novembre et s'améliorent en décembre, bien qu'au cours de ce mois l'offre augmente considérablement. Cela semblerait indiquer une demande de daurade saisonnièrement forte en décembre.
La production de mulet a varié au cours de la période 1979–81, avec 171 tonnes, 219 tonnes et 151 tonnes respectivement, les mois connaissant les plus forts arrivages étant août et septembre. La relative pénurie de mulet en 1981 semble avoir entraîné une hausse considérable du prix, la valeur unitaire moyenne pour l'ensemble de l'année passant de 1 618 à 1862 D.T. le kilo.
Quand on examine le marché du mulet, il faut aussi tenir compte du fait que les sujets femelles ont un marché spécial, concentré sur les mois d'août et septembre, saison du mulet en général. Les arrivages et les valeurs unitaires moyennes des mulets mâles et femelles sont récapitulés dans le tableau 3.
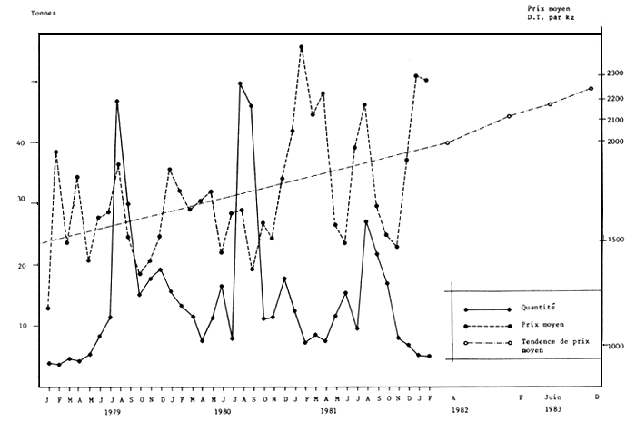
Graphique 5/1 - Anguilles: ventes mensuelles et prix unitaires au marché de gros de Tunis: 1979–1981
![]() | Quantité |
![]() | Prix moyen |
![]() | Tendence de prix moyen |

Graphique 5/2
Daurades: ventes mensuelles et prix unitaires au marché de gros de Tunis
1979–1981

Graphique 5/3 - Loups: ventes mensuelles et prix unitaires au marché de gros de Tunis: 1979 – 1981

Graphique 5/4 - Mulets, mâles: ventes mensuelles et prix unitaires au marché de gros de Tunis: 1979 – 1981

Graphique 5/5 - Mulets, femelles: ventes mensuelles et prix unitaires au marché de gros de Tunis: 1979–1981
![]() | Quantité |
![]() | Prix moyen |
![]() | Prix moyen pour une période particulière |

Graphique 5/6 - Maquereaux: ventes mensuelles et prix unitaires au marché de gros de Tunis: 1979–1981

Graphique 5/7 - Moules: ventes mensuelles et prix unitaires au marché de gros de Tunis: 1979–1981

Graphique 5/8 - Huîtres: ventes mensuelles et prix unitaires au marché de gros de Tunis: 1979–1981

Tableau 3
Ventes de mulets sur le marché de gros de Tunis Août/septembre 1979, 1980 et 1981
| 1979 | 1980 | 1981 | ||||||
| Août | Septembre | Août | Septembre | Août | Septembre | |||
| Mulets mâles Q (kg) | 46 728 | 30 377 | 49 569 | 45 347 | 26 227 | 21 823 | ||
| D.T./kg | 1 899 | 1 543 | 1 657 | 1 380 | 2 168 | 1 684 | ||
| Vente totale D.T. | 88 736 | 46 872 | 82 136 | 62 579 | 56 860 | 36 750 | ||
| Mulets femelles Q (kg) | 1 183 | 1 091 | 4 840 | 304 | 4 468 | 8 613 | ||
| D.T./kg | 2 777 | 2 518 | 2 772 | 3 186 | 2 768 | 1 870 | ||
| Vente totale D.T. | 3 285 | 2 747 | 13 416 | 969 | 12 367 | 16 106 | ||
| Total général D.T. | 92 021 | 49 619 | 95 552 | 63 547 | 69 228 | 52 856 | ||
Pourcentage de vente de mulets femelles | 4 | 6 | 14 | 2 | 18 | 30 | ||
Comme on peut le voir d'après le tableau ci-dessus, les ventes de mulets femelles ont pris davantage d'importance au cours des années considérées. Toutefois, la différence de valeur unitaire moyenne, qui était d'environ 1 D.T./kg en 1979 et 1980, s'est considérablement rétrécie en 1981, année au cours de laquelle elle est passée à 0,6 D.T./kg, en raison probablement d'arrivages accrus de mulets femelles. Ce phénomène est visible également dans le graphique 5.5 qui donne une valeur unitaire inférieure pour la campagne 1981 comparée à 1980.
On peut conclure dans l'ensemble qu'à l'intérieur du marché du mulet, le marché spécifique du produit femelle, ainsi que ses possibilités d'expansion sont probablement très limités.
Le maquereau a été inclus dans la présente analyse car il est un exemple d'article de consommation populaire et que c'est un produit qui a des caractéristiques saisonnières très prononcées. Le graphique 5.6 montre l'extrême sensibilité des prix aux approvisionnements disponibles; il implique en outre que la demande d'un produit connu de la masse des consommateurs est extrêmement influencée par les variations de prix. En d'autres termes, il est possible d'assouplir la demande en faisant mieux connaître les produits et en jouant sur les prix.
Les graphiques 5.7 et 5.8 se réfèrent à des produits actuellement cultivés en Tunisie, à savoir les moules et les huîtres. Toutefois, les quantités en jeu et certaines autres caractéristiques du marché telles que l'acceptation limitée de la part des consommateurs et les disponibilités réduites ne permettent pas d'en tirer des conclusions. On notera cependant que l'un des grands négociants qui traite ces produits est d'avis qu'une expansion importante du marché miticole n'est possible que si le prix de détail ne dépasse pas 0,2 D.T. le kg, voire reste en-deça.
Afin d'obtenir une idée de la souplesse des prix (en fonction des variations de l'offre) et en tirer une indication des réactions éventuelles de la demande à de telles variations, on a étudié les valeurs unitaires mensuelles moyennes en regard des disponibilités mensuelles. Si l'on prend pour hypothèse que l'offre est identique à la demande - hypothèse qui peut se justifier au niveau du marché de gros - on peut tirer certaines conclusions en ce qui concerne le comportement possible de la demande par rapport aux prix. Toutefois, il faut veiller à ne pas trop solliciter les données car entre la demande en gros et la demande des consommateurs, il y a le secteur du détail, lequel est susceptible d'avoir un impact modificateur. Une fois prises ces précautions, on peut commenter les résultats comme suit.
D'une manière générale, on peut observer une certaine relation entre les quantités et les prix en ce sens que plus la quantité est forte, moins le prix est élevé. L'élasticité semble particulièrement grande pour le loup, et dans la gamme des quantités réduites pour le mulet et le maquereau. Dans la gamme des quantités plus abondantes on note un comportement relativement inélastique pour ce dernier et pour l'anguille; la daurade serait un produit intermédiaire. A titre de conclusion tout à fait provisoire, il semble qu'une production accure, provenant de l'aquaculture, pourrait avoir un effet plus marqué sur les prix du loup que sur ceux de la daurade et du mulet. Dans le cas de l'anguille, les données présentées ne permettent pas de spéculer de façon raisonnable. En fait, une analyse de régression pourrait mettre en évidence une relation positive entre les quantités et les prix, qui pourrait alors être interprétée comme une fonction de l'offre (des prix en hausse conduisant à des disponibilités accrues) ou signaler l'incidence d'autres facteurs (par exemple une meilleure connaissance du produit qui conduirait à un glissement de la fonction). Aucune de ces possibilités ne peut être corroborée par les renseignements disponibles.
Afin de se rendre compte des fluctuations journalières des prix sur le marché de gros de Tunis, on a étudié un échantillon de prix qui comprenait un échantillon de quatre jours pour chacun des mois (le ler, le 10, le 20 et le 30 ou le jour de marché le plus proche) pour l'année 1981. Les cotisations enregistrées correspondent aux prix de gros maximum, minimum et normal; elles sont publiées par le Service des marchés, qui tire ces renseignements des déclarations fournies par les grossistes. Les graphiques montrent d'importantes fluctuations journalières, qui sembleraient indiquer que les prix réagissent fortement à l'offre disponible et à la demande de détail escomptée (la demande au niveau du marché de gros s'entend comme dérivant de la demande des consommateurs telle que perçue/anticipée par le détaillant). Le tableau 4 ci-dessous résume les graphiques.
Tableau 4
Fluctuations des prix de gros normaux sur le marché de gros de Tunis en 1981
| D.T. | ||||
| Daurade | Loup | Mulet | Maquereau | |
| Cotation minimum | 0,900 | 2 300 | 1 600 | 0,300 |
| Cotation maximum | 4 700 | 5 600 | 3 500 | 1 600 |
| Moyenne de l'ensemble des cotations | 2 923 | 3 291 | 2 273 | 0,781 |
| Ecart-type | 0,836 | 0,835 | 0,464 | 0,293 |
| Fourchette des prix type | ||||
| de | 2 087 | 2 456 | 1 809 | 0,488 |
| à | 3 759 | 4 126 | 2 737 | 1 074 |
Les fluctuations journalières des prix prises comme exemples montrent qu'il serait risqué d'abandonner la fixation du prix au jour le jour des produits de culture aux conditions ponctuelles du marché de gros d'une journée déterminée. Il conviendrait par contre d'adopter une politique de prix qui suivrait la tendance générale des prix au cours d'un mois ou d'une saison donnés.
Le tableau 5 montre la position concurrentielle du poisson et de quelques autres produits protéiques animaux en ce qui concerne les prix.
Tableau 5
Prix de gros du poisson et de quelques autres produits protéiques animaux (D.T. la tonne)
| 1977 | 1978 | 1979 | 1980 | 1981 | |
| Bovins | 503 | 513 | 560 | 617 | |
| Ovins | 684 | 728 | 904 | 976 | |
| Camélidés | 442 | 412 | 477 | 505 | |
| Equidés | 387 | 349 | 400 | 400 | |
| Porcins | 408 | 668 | 673 | 397 | |
| Poulets (prix moyen) | 507 | 530 | 515 | 507 | |
| Poisson (marché de gros de Tunis) | 574 | 626 | 698 |
Il semble, d'après le tableau 5, que le poisson n'est pas, d'une manière générale, le type de protéine animale le plus concurrentiel en Tunisie et ce n'est pas l'élevage des espèces ici considérées (daurades, loups, mulets, huîtres, moules) qui modifiera ce tableau à moins qu'il ne soit possible de promouvoir la moule en tant que produit à bon marché apte à susciter une consommation de masse.
On se pose souvent la question de savoir comment des quantités accrues de poisson produit au moyen des méthodes d'aquaculture influeront sur le marché et plus précisément sur les prix. Si les quantités sont minimes, il sera difficile de leur attribuer un impact quelconque sur le marché ou sur les prix car elles seront absorbées dans les effets des variations normales de l'offre, de la demande et, par conséquent, des prix. Pour mesurer l'incidence sur les prix que comporte l'arrivée sur le marché de quantités plus ou très importantes, c'est-à-dire l'élasticité prix, il faudrait exclure tous les autres facteurs d'influence (caractère saisonnier, fluctuations aberrantes, conditions météorologiques susceptibles d'agir tant sur la demande que sur l'offre, etc.) et avoir suffisamment de données fiables concernant l'offre et les prix. Même en possession de ces données une telle analyse n'est pas possible, mais si on peut se contenter d'utiliser la série des arrivages mensuels de certaines espèces de poissons comme indicateur des variations de l'offre, et la série des valeurs mensuelles moyennes (prix moyen) de cette même espèce comme indicateur des variations de prix, on obtient une série de rapports (pourcentage de variation de l'offre: pourcentage de variation des prix moyens) que l'on peut utiliser pour en tirer une approximation provisoire de la relation réelle offre/prix; le chiffre obtenu dira quelle variation de l'offre (en pourcentage par rapport à la période précédente) s'est accompagnée d'une variation de prix de l pour cent (par rapport à la période précédente). Ces calculs ont été faits pour la daurade, le mulet et la sole en utilisant les mercuriales du marché de gros de Tunis pour la période allant de janvier 1979 à février 1982. La distribution de fréquences des 37 rapports obtenus est indiquée dans le tableau 6.
Tableau 6
Distribution de fréquences des variations relatives (pour cent) de l'offre qui se sont accompagnées d'une variation de 1 pour cent des valeurs de gros unitaires moyennes mensuelles, 1979–1982 (février)
| Rapport | Daurade | Espèces Mulet | Sole |
| 4 et plus | 4 | 8 | 4 |
| 2,0 – 3,9 | 2 | 6 | 4 |
| 1,0 – 1,9 | 1 | 2 | - |
| 0,1 – 0,9 | 2 | 2 | 2 |
| -0,1 – -0,9 | 6 | 5 | 8 |
| -1,0 – -1,9 | 7 | 7 | 6 |
| -2,0 – -2,9 | 2 | 3 | 4 |
| -3,0 – -3,9 | 2 | 1 | 4 |
| -4,0 – -4,9 | 2 | 1 | 2 |
| -5,0 – -5,9 | 1 | - | 1 |
| -6,0 – -6,9 | 4 | - | 1 |
| -7 et moins | 4 | 2 | 1 |
| Total | 37 | 37 | 37 |
| Rapports positifs totaux | 9 | 18 | 10 |
L'existence de rapports positifs (qui impliquent que des quantités croissantes s'accompagnent de prix croissants, ou des quantités décroissantes de prix décroissants) montre que les résultats doivent être interprétés avec soin. Toutefois, comme on peut observer une certaine agglomération des rapports dans la fourchette -0,1 à -1,9 on peut en conclure que dans les conditions normales (c'est-à-dire en excluant les autres facteurs) on peut s'attendre à une baisse de prix de 1 pour cent si la quantité augmente dans une proportion de l'ordre de 2 pour cent. De même, une diminution des arrivages allant jusqu'à 2 pour cent s'accompagnera sans doute d'une augmentation de prix de 1 pour cent. Ces suppositions de caractère général ne doivent cependant pas masquer le fait qu'il existe une certaine probabilité que les réactions des prix seront plus fortes, voire opposées. Une explication plausible de cette dernière hypothèse concernerait le cas où une augmentation a été en réalité inférieure à ce que l'on attendait pour la saison; d'où des hausses de prix malgré un accroissement des quantités. Si l'on pouvait traduire par un chiffre le résultat escompté, on pourrait le soustraite de la quantité obtenue, et comme dans notre exemple la quantité escomptée est supérieure à la quantité réelle, le résultat serait négatif.
4. Consommation
La consommation de poisson par habitant en Tunisie s'est établie autour de 8 kg en 1979 et de 9 kg en 1980, mais elle se répartit inégalement dans le pays; pour 1976 on donne les estimations quantitatives ci-après: grandes villes, 12,6 kg; zones urbaines, 8,5 kg; zones rurales, 2,5 kg. Le sixième plan prend pour hypothèse que la consommation par habitant passera à 10 kg en 1986, et se distribuera comme suit:
Tableau 7
Estimations de la consommation de poisson par habitant en Tunisie en 1986, poids des captures en kg
| Population 1986 | Zones urbaines 3 779 000 | Zones rurales 3 622 000 | ||
| Côtière | Intérieure | Côtière | Intérieure | |
| Produits frais | 16 | 6 | 6 | 2 |
| Conserve | 1.8 | 1.8 | 0.5 | 0.5 |
| Consommation totale (t) | 59 337 | 14 706 | ||
| - Produits frais | 52 533 | 12 794 | ||
| - Conserve | 6 804 | 1 912 | ||
Source: Ministère de l'agriculture: préparation du sixième Plan, 1981
En 1980, l'Institut national de la statistique a effectué une enquête sur les dépenses des ménages; on trouvera dans les tableaux 8 et 9 les résultats qui intéressent la présente étude.
Tableau 8
Dépenses familiales par habitant et par an pour le poisson et la viande (en D.T.)
| Région | Poisson | Viande | Poisson Viande |
| Nord-est | 2,9 (0,9 %) | 25,4 (7,85%) | 0,11 |
| Nord-ouest | 0,3 (0,19%) | 16,6 (9,77%) | 0,02 |
| Centre | 2,9 (1,44%) | 17,7 (8,54%) | 0,16 |
| Sud | 4,0 (1,67%) | 23,1 (9,56%) | 0,17 |
Note: Les pourcentages indiqués entre parenthèses montrent la part occupée par ce poste dans les dépenses familiales totales par habitant et par an.
Source: Institut National de la statistique
Tableau 9
Dépenses familiales par habitant et par an pour achat de poisson selon la classe de revenu
| Classe de revenu | Population en 1000 | Pourcentage absolu | Pourcentage cumulatif | Dépenses D.T. | Dépenses globales par classe D.T. 1000 | Pourcentage absolu | Pourcentage cumulatif | |||||||||
| Poisson frais | Autres | Total par habitant | Poisson frais | Autres | Total | |||||||||||
| moins de 50 | 308,6 | 5 | 5 | 0 | 0 | 0 | 0 | 0 | 0 | 0 | 0 | |||||
| de | 50 | à | moins | de | 70 | 357,2 | 6 | 11 | 0,2 | 0 | 0,2 | 71,4 | 0 | 71,4 | 0 | 0 |
| 70 | " | " | " | 80 | 213,1 | 3 | 14 | 0,3 | 0,1 | 0,4 | 63,9 | 21,3 | 85,2 | 0 | 0 | |
| 80 | " | " | " | 90 | 235,7 | 4 | 18 | 0,4 | 0 | 0,4 | 94,3 | 0 | 94,3 | 1 | 1 | |
| 90 | " | " | 100 | 247,2 | 4 | 22 | 0,3 | 0,1 | 0,4 | 74,2 | 24,7 | 98,9 | 1 | 2 | ||
| 100 | " | " | 120 | 505,8 | 8 | 30 | 0,8 | 0 | 0,8 | 404,6 | 0 | 404,6 | 2 | 4 | ||
| 120 | " | " | 140 | 483,4 | 8 | 38 | 0,9 | 0,2 | 1,1 | 435,1 | 96,7 | 531,7 | 3 | 7 | ||
| 140 | " | " | 160 | 449,5 | 7 | 45 | 1,0 | 0,2 | 1,2 | 449,5 | 89,9 | 539,4 | 3 | 10 | ||
| 160 | " | " | 180 | 394,7 | 6 | 51 | 1,9 | 0,2 | 2,1 | 749,9 | 78,9 | 828,9 | 5 | 15 | ||
| 180 | " | " | 200 | 365,3 | 6 | 57 | 1,8 | 0,2 | 2,0 | 657,5 | 73,1 | 730,6 | 4 | 19 | ||
| 200 | " | " | 220 | 334,7 | 5 | 62 | 1,8 | 0,5 | 2,3 | 602,5 | 167,4 | 769,8 | 4 | 23 | ||
| 220 | " | " | 250 | 405,9 | 6 | 68 | 2,9 | 0,3 | 3,2 | 1 177,1 | 121,8 | 1 298,9 | 8 | 31 | ||
| 250 | " | " | 280 | 328,4 | 5 | 73 | 3,0 | 0,5 | 3,5 | 985,2 | 174,2 | 1 149,4 | 7 | 38 | ||
| 280 | " | " | 320 | 351,7 | 6 | 79 | 3,1 | 0,3 | 3,4 | 1 090,3 | 105,5 | 1 195,8 | 7 | 45 | ||
| 320 | " | " | 370 | 340,7 | 5 | 84 | 4,0 | 0,6 | 4,6 | 1 362,8 | 204,4 | 1 567,2 | 9 | 54 | ||
| 370 | " | " | 420 | 215,1 | 3 | 87 | 4,9 | 0,7 | 5,6 | 1 054,0 | 150,6 | 1 204,6 | 7 | 61 | ||
| 420 | " | " | 500 | 265,4 | 4 | 91 | 4,4 | 0,6 | 5,0 | 1 167,8 | 159,2 | 1 327,0 | 8 | 69 | ||
| 500 | " | " | 600 | 180,4 | 3 | 94 | 6,3 | 1,8 | 8,1 | 1 136,5 | 324,7 | 1 461,0 | 8 | 77 | ||
| 600 | " | " | 800 | 206,3 | 3 | 97 | 6,7 | 1,4 | 8,1 | 1 382,2 | 288,8 | 1 671,0 | 10 | 87 | ||
| 800 et plus | 180,5 | 3 | 100 | 9,7 | 2,3 | 12,0 | 1 750,9 | 415,2 | 2 166,0 | 13 | 100 | |||||
| Total | 6 369,4 | 100 | 2,3 | 0,4 | 2,7 | 14 709,7 | 2 486,4 | 17195,9 | 100 | |||||||
Note: Différence mineure imputable au fait que les chiffres ont été arrondis.
Le tableau 8 fait ressortir les différences qui caractérisent la consommation de poisson dans les différentes régions, ainsi que les différences entre les dépenses familiales totales par habitant et la part des dépenses relatives au poisson (par exemple, comparer la dépense absolue de 2,9 D.T. dans le nord-est et le centre, qui correspond à des proportions tout à fait différentes de la dépense par habitant dans ces régions). Le rapport poisson/viande montre la position particulièrement faible du poisson dans la région du nord-ouest, zone rurale de l'intérieur.
Le tableau 8 montre également que, dans les zones à plus fort revenu telle que la région du nord-est (comme l'indique la plus faible proportion de poisson comparé à la viande dans les dépenses totales par habitant) le rapport entre poisson et viande diminue. En d'autres termes, le poisson ne bénéficie pas autant que la viande des retombées de revenus supérieurs. On le voit également dans les élasticités-revenus appliquées par l'Institut de la statistique, qui sont de 0,86 pour les grandes villes, de 0,89 pour les autres zones urbaines et de 1,57 pour les zones rurales (elles expriment la relation entre les variations du revenu et des dépenses consacrées au poisson).
On notera que toutes ces considérations se rapportent à des unités monétaires, ce qui ne permet pas de tirer des conclusions en ce qui concerne les unités physiques et quantitatives de consommation, à savoir le kilo.
D'une manière générale, on peut supposer que l'équivalent poids des 2,9 D.T. mentionnés pour la région du centre est probablement supérieur à celui des 2,9 D.T. mentionnés pour le nord-est. Mais pour confirmer cette hypothèse, il faudrait faire une enquête de la consommation matérielle réelle.
Le tableau 9 montre très clairement la relation entre le revenu et la dépense consacrée au poisson. La dépense consacrée au poisson frais se redresse nettement à partir d'un revenu de 220 D.T., mais les dépenses pour des produits de valeur élevée comme les crustacés ne sont appréciables qu'à partir d'un revenu de 500 D.T. par habitant par an.
Les pourcentages cumulatifs appliqués à la répartition de la population (par classe de revenu) et à la dépense totale consacrée au poisson (tableau 9) et le graphique 6 qui représente cette relation mettent encore mieux en évidence la répartition inégale des dépenses consacrées au poisson en Tunisie.
Quarante-cinq pour cent de la population, correspondant aux classes de revenus inférieures à 160 D.T. par habitant/an, ne comptent que pour 10 pour cent dans les dépenses familiales du pays consacrées au poisson. Cinquante-cinq pour cent de cette dépense ne concernent que 21 pour cent de la population (classe de revenu de 320 D.T. et plus); 3 pour cent de la population, c'est-à-dire ceux qui ont un revenu de 800 D.T. et plus, entrent pour 13 pour cent dans la dépense totale consacrée au poisson et pour 17 pour cent dans la dépense consacrée à des produits autres que le poisson frais (principalement les crustacés).
Aux prix de détail de la fin d'avril 1982, la dépense individuelle annuelle pour le poisson équivaut aux quantités ci-après (en kg):
| Classe de revenu | 100–120 D.T. | 320–370 D.T. | 800 + D.T. |
| Maquereau, à 0,8 D.T./kg | 1 000 | 5 750 | 15 000 |
| Petit mulet, à 1,2 D.T./kg | 0,667 | 3 833 | 10 000 |
| Grosse daurade, à 3,6 D.T./kg | 0,222 | 1 278 | 3 333 |
| Grosses crevettes, à 7,2 D.T./kg | 0,111 | 0,638 | 1 667 |
Graphique 6 - Distribution de la population et des dépenses totales pour achat de poisson selon les classes de revenu
![]() | Population, % accumulatif |
![]() | Dépenses pour achat de poisson, % accumulatif |

On peut, bien sûr, s'attendre à ce que, du point de vue de la quantité, la consommation de poisson se répartisse de façon un peu différente, c'est-à-dire moins inégale, car les consommateurs à faible revenu achèteront des produits ayant une valeur unitaire plus faible et les classes de revenu supérieures des espèces plus prisées, mais il n'est pas risqué de dire que la consommation de poisson n'est pas limitée seulement sur le plan géographique, mais aussi sur le plan social. Il n'est pas facile de discerner la cause de l'effet, mais on peut dégager un certain nombre de motifs:
réseau de commercialisation limité;
niveau relativement élevé des prix du poisson, en particulier pour les espèces démersales qui bénéficient de fortes préférences;
connaissance et acceptabilité limitées de produits potentiellement intéressants, tels que le poisson d'eau douce, les moules et les huîtres;
acceptabilité limitée des produits congelées, qui permettraient de régulariser les arrivages sur le marché de pêcheries fortement saisonnières;
différente acceptabilité des espèces suivant les régions, à savoir la chair de requin est consommée dans la région de Sousse, mais n'est pas acceptée dans d'autres régions.
Les attitudes et préférences des consommateurs n'ont pas encore été étudiées. Récemment, un test préliminaire en vue d'une étude sur les habitudes de consommation a été réalisé à Tunis et à Sfax; il a montré qu'il n'existe pas de tabous à l'égard du poisson, que la consommation de poisson subit des fluctuations saisonnière, que les enfants mangent principalement du poisson blanc et qu'il n'existe pas de préjugés particuliers à l'encontre de la consommation du poisson.
L'Institut national de nutrition n'a pas encore établi de budget pour l'enquête à l'échelle nationale, ni fixé de dates pour son exécution. Les renseignements émanant de cet institut confirment la faible importance du poisson dans l'alimentation tunisienne, où ce produit ne représente que 1,4 pour cent de la consommation totale de protéines (1976).
Etant donné cependant que, d'après son évaluation, les prix du poisson sont actuellement prohibitifs pour la majorité de la population et qu'il reste à résoudre des problèmes de commercialisation et d'entreposage - qui, plus que la résistance des consommateurs, sont les principaux goulots d'étranglement - l'Institut ne s'estime pas en mesure de promouvoir la consommation du poisson dans les conditions actuelles. Il est prêt néanmoins à coopérer à un programme de promotion et d'éducation des consommateurs, dès que l'on aura assuré la disponibilité de ce produit à des prix accessibles pour la masse des consommateurs.
Le tableau 10 montre la répartition de la production tunisienne de poisson par valeurs unitaires. Le gros des captures a une valeur unitaire (ventes en gros à Tunis) de 1,0 D.T. le kilo au maximum, et près de la moitié se situe au-dessous de 0,5 D.T. le kilo. Les espèces comprises dans la catégorie 1,0 à 1,5 D.T. le kilo sont très peu nombreuses et il semblerait qu'il existe essentiellement quatre différentes catégories de prix:
les petits pélagiques, qui constituent environ 90 pour cent du groupe de produits dont le prix est inférieur à 0,5 D.T. le kg;
la catégorie moins coûteuse des poissons démersaux, dont les valeurs moyennes vont jusqu'à 1,0 D.T. le kg;
les poissons démersaux de prix élevé (1,5 D.T. le kg et plus);
les grands pélagiques, qui se situent entre les deux groupes démersaux; leur place sur le marché du poisson frais est cependant très limitée.
Les mulets, perches de mer et daurades communes, dont on envisage la production aquacole, se classent déjà dans les différentes catégories. Les espèces qui seront élevées en réservoirs devraient entrer dans la catégorie comprise entre 0,5 et 1,0 D.T. le kilo.
Tableau 10
Ventilation des captures tunisiennes de poisson par valeur unitaire moyenne 1981
| Valeur unitaire à la vente en gros | Production déclarée en 1981 (tonnes) | Pourcentage du total | |
| 1. | Jusqu'à 0,5 D.T. le kilo (Aloses, allaches, sardines, limandes, picarels, raies, chiens, saurels, spares) | 14 651 | 48,0 |
| 2. | De 0,5 D.T. à 1,0 D.T. le kilo (anguilles, aiguilles, bigerens, brochets, grondins, maquereaux, marbrés, merlans, oblades, pageots, rougets, sargues, saupes) | 10 946 | 35,8 |
| 3. | De 1,0 D.T. à moins de 1,5 D.T. le kilo (bonites, espadons, ombrines) | 287 | 0,9 |
| 4. | De 1,5 D.T. à moins de 2,0 D.T. le kilo (dentés, liches, maigres, mérous, mulets, pagres, serres, soles, thons) | 3 968 | 13,0 |
| 5. | 2,0 D.T. le kilo et plus (daurades, loups) | 698 | 2,3 |
| Total | 30 550 | 100 | |
Note: Les captures totales de poissons pélagiques et démersaux déclarées pour 1981 ont été de 40 154 tonnes, ce qui fait que les espèces mentionnées ci-dessus représentent 76 pour cent du total. Les autres espèces n'ont pu être incluses dans le tableau car on ne disposait pas de données concernant les captures et/ou la valeur moyenne.
La valeur moyenne au kilo est tirée des valeurs moyennes mensuelles du poisson communiquées par le Service des marchés de Tunis. Les chiffres relatifs à la production sont ceux qui ont été publiés dans l'Annuaire des statistiques des produits de la pêche en Tunisie, année 1981, et se réfèrent aux captures déclarées. Si l'on prend comme hypothèse que les quantités de poisson négociées à Tunis, pour lesquelles les valeurs moyennes sont enregistrées, constituent un échantillon représentatif des captures totales déclarées du pays, la ventilation des espèces par valeurs unitaires moyennes reflète la différence de valeur entre les espèces au niveau global/national. Il est à noter que les crustacés et les mollusques sont exclus de l'analyse; d'autre part, les espèces utilisées pour la fabrication de conserves, telles que sardines et thons, figurant dans la production totale, le tableau ne donne qu'une idée approximative de la situation du marché du poisson frais.
En ce qui concerne la future production aquacole, il convient de garder présents à l'esprit certains points touchant la consommation et les préférences des consommateurs:
1) la production de poissons (daurades, loups) devra tenir compte des besoins des restaurateurs (spécimens correspondant à une portion/dimension d'une assiette, 200–300 grammes) et, d'une manière générale, des prix appliqués aux différentes tailles de poissons de la même espèce. Par exemple, en mars/avril 1982:
| D.T./kg | |||
| Mulet: | petit | 0,500 | prix d'achat ONP Lac Biban |
| mâle | 0,900 | " | |
| femelle | 1 400 | " | |
| petit | 2 700 | marché central, Tunis | |
| moyen | 3 280 | " | |
| gros | 4 800 | " | |
| 600/700g/p | 3 700 | " | |
| approx. 100g/p | 1 200 | " |
Le prix le meilleur s'obtient pour des poissons de 2 kilos et plus; dans les restaurants, le mulet est généralement débité en tranches.
| Loup: | approx. 150g/p | 4 400 | marché central, Tunis |
| approx. 2kg/p | 5 960 | " | |
| moyen | 4 800 | " | |
| gros | 5 600 | " | |
| Daurade: | approx. 150g/p | 1 960 | " |
| approx. 600g/p | 3 600 | " | |
| moyen | 2 400 | " | |
| demi-gros | 3 600 | " |
2) Les moules devraient être considérées comme un produit de consommation populaire et leur prix devra donc être fixé de façon appropriée; elles devront faire l'objet de campagnes de promotion adéquates (notamment par l'éducation des consommateurs) et faire l'objet d'une vaste distribution. Les moules pourraient remplacer les clovisses qui deviennent de plus en plus chères (0,975 D.T. le kilo, soit à peu près le même prix que pour une douzaine d'huîtres) et se déplacent vers le groupe des produits à prix élevé. Si, pour des motifs techniques, il fallait développer la production mytilicole au-delà de la capacité d'absorption du marché tunisien, il faudrait étudier les possibilités d'exportation des produits myticoles avant de s'embarquer dans un tel programme de production.
3) Pour les huîtres, les renseignements dont on dispose permettent de penser que les débouchés sur le marché intérieur sont très limités et le resteront dans un avenir prévisible. Les exportations d'huîtres vivantes et de produits à base d'huîtres vers l'Europe ne devraient présenter aucun problème, à condition que les conditions de commercialisation (réglementation sanitaire, spécifications des produits, méthodes de traitement, etc.) soient remplies et que des contacts commerciaux réguliers soient établis.
5. Plans et programmes du gouvernement
D'après le rapport de la Sous-commission des prix et de la commercialisation en vue de la préparation du sixième Plan, la production halieutique devrait atteindre 93 000 tonnes en 1986, dont 65 600 tonnes devraient être consommées sur place sous forme de poisson frais et 8 700 tonnes sous forme de produits transformés, 13 600 tonnes sont destinées aux exportations sous forme de poisson frais ou congelé et 5 400 tonnes sous forme de produits transformés. Le rapport ne mentionne pas spécifiquement la production aquacole ni les pêches intérieures, mais la production de mollusques (qui provient en partie d'activités d'élevage mais sans que ce point soit précisé) a un objectif fixé à 1 700 tonnes, 500 tonnes pour la consommation locale et 1 200 tonnes pour l'exportation.
Le rapport suggère un certain nombre d'efforts particuliers à fournir pour développer la consommation de poisson dans l'intérieur du pays et celle des espèces de petits pélagiques bon marché parmi la clientèle populaire. Ces objectifs supposent une expansion et une amélioration technique de l'infrastructure et des opérations de commercialisation, l'éducation des consommateurs, l'amélioration des activités de transformation, ainsi que des efforts spéciaux en vue de développer le commerce d'exportation (qualité des produits, conditionnement, mise au point des produits, etc.).
En outre, l'Etat est supposé contribuer activement à promouvoir ce développement et à le soutenir financièrement et administrativement. L'ONP est invité à servir de modèle en se conformant aux normes de façon exemplaire. La coopération entre producteurs sera encouragée. Une organisation interprofessionnelle (GIPP) devrait réunir producteurs, transformateurs et négociants au niveau national et serait chargée de coordonner les activités de développement mises en oeuvre aux différents niveaux du secteur.
Il semble que le programme de développement de l'aquaculture tel qu'il est présenté dans ledit rapport pourrait facilement s'intégrer dans le programme général et que les différentes activités relatives au réseau de commercialisation, à l'éducation des consommateurs, à la régularisation du marché et des prix, à la promotion des exportations, etc., en favoriseront considérablement la mise en oeuvre.
6. Recommandations concernant une action immédiate/à court terme
Les aspects des activités de commercialisation en rapport avec la production aquacole qui devraient recevoir une attention immédiate sont les suivants:
6.1 Production d'huîtres et de moules dans le lac de Bizerte
Les huîtres et les moules ne sont pas très demandées sur le marché intérieur et cela pour diverses raisons, les principales étant que les consommateurs ne savent pas comment utiliser ces produits et que le réseau de commercialisation et le système de distribution sont très restreints.
Si l'on pouvait prendre des dispositions pour faire en sorte qu'un touriste sur cinq visitant la Tunisie consomme une douzaine d'huîtres pendant son séjour, on pourrait en vendre chaque année 200 tonnes par l'intermédiaire des hôtels et restaurants.
Les groupes à fort revenu (plus de 500 D.T. par habitant et par an) pourraient offrir un marché de l'ordre de 400 tonnes par an si chacune des personnes comprises dans cette catégorie consommait une demi-douzaine d'huîtres chaque année. Il s'agit là d'objectifs relativement modestes, mais il faudrait conduite des études et réaliser des opérations témoins pour vérifier si l'on peut vraiment compter sur un développement de ces marchés.
Les exportations d'huîtres vivantes se heurtent au fait que la Tunisie n'est pas en mesure de se conformer aux réglementations mises en place dans les pays importateurs (en l'occurrence la France) concernant le contrôle continu de la qualité de l'eau et des conditions d'hygiène du produit. Avant de mettre en place un dispositif conforme au Code d'usages international recommandé en matière d'hygiène des mollusques, il faudrait provisoirement passer un accord avec l'ISTPM qui effectuerait les contrôles nécessaires de façon que le produit puisse être certifié apte à la consommation humaine et être importé en France.
Les possibilités d'exportation de la chair d'huître sous forme congelée devraient être ultérieurement étudiées et un essai de production devrait être de préférence organisé en collaboration avec un importateur intéressé. Il faudrait mettre au point des méthodes de traitement et un système de conditionnement, d'entreposage et d'expédition garantissant une qualité régulièrement élevée du produit; il conviendrait de demander les avis d'un expert en la matière.
Les opinions varient quant aux possibilités réelles de faire adopter les moules par la masse des consommateurs. Il faudrait donc monter une opération pilote complète de commercialisation qui fournirait les renseignements nécessaires concernant une ultérieure expansion du marché, qui devrait s'étaler sur une période de dix ans. Les disponibilités devront toujours être suffisantes pour éviter des pénuries, qui entraîneraient des fluctuations irrégulières des prix et des réactions négatives de la part des consommateurs. Il est indispensable aussi d'obtenir la coopération des commerçants, qui devront se familiariser avec la manutention de ce produit. L'opération pilote doit donc être préparée, exécutée et évaluée soigneusement avec la totale collaboration de toutes les parties intéressées, à savoir l'ONP, l'Institut national de nutrition et les commerçants privés.
6.2 Production de poissons d'eau douce en réservoirs
Les réservoirs étant situés principalement dans les zones rurales de l'intérieur, où la consommation de poisson est actuellement très faible, il faudrait que le développement de la production halieutique dans ces nappes d'eau s'accompagne d'un essor systématique de la commercialisation dans ces régions. Selon le potentiel de production, il pourrait être nécessaire également de créer des circuits de commercialisation en direction des zones urbaines, mais le poisson produit en réservoirs devrait être commercialisé en priorité dans la zone environnante et les villes de l'intérieur.
Les opérations de commercialisation comprendront la création de points de vente au détail, d'abris pour la manutention du poisson sur l'emplacement du réservoir, l'organisation du transport, des campagnes de publicité, l'éducation des consommateurs et des démonstrations culinaires.
Pour préparer et exécuter ces activités, l'ONP devra collaborer avec l'Institut national de nutrition, avec des hommes d'affaires locaux et avec les administrations et les pouvoirs locaux.