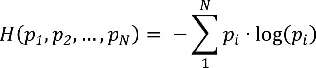
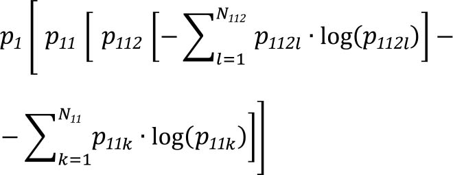
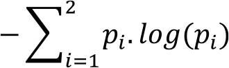
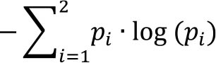
本旗舰出版物系联合国粮食及农业组织 “世界之状况”系列之一。
引用格式要求:
粮农组织。2021。《2021年粮食及农业状况:提高农业粮食体系韧性,应对冲击和压力》。罗马
https://doi.org/10.4060/cb4476zh
本信息产品中使用的名称和介绍的材料,并不意味着联合国粮食及农业组织(粮农组织)对任何国家、领地、城市、地区或其当局的法律或发展状态、或对其国界或边界的划分表示任何意见。提及具体公司或厂商产品,无论是否含有专利,并不意味着这些公司或产品得到粮农组织或环境署的认可或推荐,优于未提及的其它类似公司或产品。
地图中使用的名称和介绍的材料,并不意味着粮农组织或环境署对任何国家、领土或海区的法定或构成地位或其边界的划分表示任何意见。地图上的虚线表示可能尚未完全达成一致的近似边境线。
ISBN 978-92-5-135193-2
ISSN 1020-7619 [印刷]
ISSN 2664-004X [在线]
© 粮农组织 2021年

保留部分权利。本作品根据署名-非商业性使用-相同方式共享3.0政府间组织许可(CC BY-NC-SA 3.0 IGO;https://creativecommons.org/licenses/by-nc-sa/3.0/igo/deed.zh)公开。
根据该许可条款,本作品可被复制、再次传播和改编,以用于非商业目的,但必须恰当引用。使用本作品时不应暗示粮农组织认可任何具体的组织、产品或服务。不允许使用粮农组织标识。如对本作品进行改编,则必须获得相同或等效的知识共享许可。如翻译本作品,必须包含所要求的引用和下述免责声明:“该译文并非由联合国粮食及农业组织(粮农组织)生成。粮农组织不对本翻译的内容或准确性负责。原英文版本应为权威版本。”
任何与在此许可下出现的纠纷有关的调解,均应根据现行《联合国国际贸易法委员会仲裁规则》进行。
第三方材料。欲再利用本作品中属于第三方的材料(如表格、图形或图片)的用户,需自行判断再利用是否需要许可,并自行向版权持有者申请许可。对任何第三方所有的材料侵权而导致的索赔风险完全由用户承担。
销售、权利和授权。粮农组织信息产品可在粮农组织网站(www.fao.org/publications)获得,也可通过publications-sales@fao.org购买。商业性使用的申请应递交至www.fao.org/contact-us/licence-request。关于权利和授权的征询应递交至copyright@fao.org。
封面图片 ©123RF/bvh2228
越南:农民们在安沛省木江界的稻米梯田里劳作。
2019冠状病毒病(COVID-19)疫情对每个人的生活都产生了深刻影响,我们仍在继续抗击疫情。为控制严重急性呼吸综合症冠状病毒2(SARS-CoV-2)传播,各国相继关闭边境和实施宵禁,以致国际旅行中道而止,无数企业纷纷停工,千百万人就此失业。人员和货物流动受限,尤其是在疫情初期,阻碍了投入品送到农民手中,妨碍了农产品上市销售。采收和运输作业受阻之处,大量新鲜果蔬被滞留在农田任其腐烂。
限制措施不仅损害了农业粮食贸易、农业粮食供应链和农业粮食市场,还使人们的生活、生计和营养受损。最初的混乱和迷茫过后,很多供应链在消化和适应疫情冲击方面,表现出了非凡的韧性;但是,千百万人无粮可食,成了一个老大难问题。很多农村人口无法外出从事因应时节的工作,而这正是贫困群体的重要收入来源。封锁期间,城市低收入家庭无法出门,收入及食品支出骤降。
早在COVID-19疫情以前,世界各国在履行到2030年消除全球饥饿和各种形式营养不良的共同承诺方面,就已进展不足,疫情则使我们进一步偏离正轨。今年的《世界粮食安全和营养状况》报告估计,2020年有7.2亿至8.11亿饥饿人口,较2019年新增达1.61亿人之多,COVID-19疫情危机正是人数大增的主要原因。遗憾的是,妇女和儿童往往在这场危机中首当其冲。《2020年可持续发展目标报告》指出,卫生服务和粮食获取渠道切断以后,5岁以下儿童和孕产妇死亡人数随之上升。联合国《政策简报:2019冠状病毒病对粮食安全和营养的影响》指出,有3.7亿儿童因学校停课而吃不上校餐。毫无疑问,疫情对营养的影响还将持续很多年。
农业粮食生产和供应链历来易受冲击(从干旱和洪涝到武装冲突和粮价飞涨),同时长期压力(包括气候变化和环境退化)越积越大。不过,COVID-19疫情有其特殊之处,表明肆虐全球的冲击可能突如其来并快速蔓延,对数十亿人的粮食安全、营养状况和生计造成前所未有的长期破坏。
COVID-19疫情期间,各国农业粮食体系的脆弱性表露无疑。之所以要解决这些脆弱性问题,显然是因为粮食不安全和营养不良状况恶化,形势不容乐观。但我们相信,农业粮食体系过于庞大,如果听之任之,脆弱性问题妨碍的何止是到2030年实现“零饥饿”目标,无论这个目标有多重要。影响正在持续深化。农业粮食体系年产110亿吨粮食,有40亿人直接或间接从业。包括林业和渔业在内,农业部门还占引起气候变化的人为温室气体排放量的五分之一,用地占地球陆地面积的37%。因此,在实现其他与贫困、资源和能源效率、更清洁经济以及水生和陆地健康生态系统等有关的可持续发展目标方面,农业可发挥重要作用。
国际社会不断凝聚共识,一致认为推动农业粮食体系更高效、更有韧性、更包容且更可持续的转型,是实现《2030年可持续发展议程》的基本条件。在厉行变革的声势中,2021年9月举行了首次联合国粮食体系峰会,商定了创新的解决方案和战略,推动农业粮食体系转型,并利用这些变革推进各项可持续发展目标进展。峰会发出的行动呼吁聚焦五大目标,其中之一是培养抵抗脆弱性、冲击和压力的韧性,确保健康可持续的粮食体系持续运行。
今年报告的主题与联合国粮食体系峰会的号召相呼应,即提出世界各地的人们都能采取的一系列具体行动,支持推动全世界粮食体系转型。具体而言,本报告提供了行动实证和指导,能够帮助农业粮食体系参与者管理对冲击和压力的脆弱性,并加强农业粮食体系的能力,从而提供生计支持,可持续地不断为所有人提供充足、安全、营养的食物获取渠道,抗御各类破坏因素。
为此,联合国粮食及农业组织(粮农组织)制定了一套抵御能力指标,衡量初级生产的韧性、粮食的可供性以及世界各国的人们在物质和经济上获取粮食的情况。这些指标有助于评估各国农业粮食体系消化任何冲击影响的能力,这是韧性的一个重要方面。分析表明,初级生产部门更具韧性的国家,普遍生产各种各样的食品类和非食品类产品,并广销各类国内外市场,这种布局主要见于高收入或农业基础雄厚的国家。但就粮食可供性而言,对作物类、鱼类和畜牧类商品多种采购途径的分析表明,低收入国家的商品多元化堪比高收入大国。
本报告强调的另一个重要方面是,在通过运输网确保粮食物质获取渠道方面,低收入国家面临的挑战大得多,而这正是维系粮食供应链活力的关键。对90个国家数据的分析表明,主要运输路线切断以后,很多低收入国家分散粮食分配或采用备选运输路线的能力尤其有限。对于分析的近半数国家,关键的网络环节断裂以后,当地运输时间至少增加20%,消费者承担的运输成本和食品价格随之上涨。
本报告从农业粮食体系的视角出发,还指出与粮食经济获取渠道相关的风险更令人担忧。纵观全球,已知约有30亿人负担不起可预防营养不良的健康膳食。由于低收入家庭收入中食品支出占大头,粮价飞涨、作物歉收或收入损失造成的购买力任何显著降损,都会威胁这类家庭的粮食安全和营养。事实上,本报告发现,如果冲击造成收入减少三分之一,又会有10亿人因无力负担健康膳食而面临风险。这一冲击的负担将主要落在中等收入国家肩上,但本报告还指出,一旦发生此类收入冲击,又会有相对更多低收入国家人口甚至无力负担能量充足型膳食。这些风险让人无法接受,因为全世界粮食产量足以维持全球人口温饱,从中突显出我们必须增强农业粮食体系韧性。
本报告认为,为提升韧性,要打造多元化、丰余化和互联互通化的粮食供应链,提供多种粮食生产、采购和配送途径。然而,在这类粮食供应链上,一些从业者比另一些更脆弱。中小农业粮食企业的脆弱性问题关系重大,此外,必须认清的现实是,面对不良气候事件和自然资源枯竭,农村家庭(尤其是参与小规模农业生产的家庭)的抵御能力越来越多地受到考验。
基于本报告的实证,粮农组织有良好优势建议政府将农业粮食体系韧性作为各国和全球应对当前和未来挑战的战略内容。指导原则之一是实现投入资源、生产组合、产品市场和供应链的多元化,因为多元化可为消化冲击开拓多种途径。连通化可实现效益倍增化:互联互通化的农业粮食网络可更换供应来源以及运输、销售、投入品和劳工渠道,从而更快克服逆境。
政府应鼓励粮食供应链上中小农业粮食企业更好地协调与组织,例如成立联合会,提高自身规模、知名度和影响力。同样,小规模粮食生产者可通过以生产者协会和合作社的形式融入供应链,并通过采用农业生态农作方法及其他资源节约型方法,保持竞争力和韧性。可能需要社会保护计划来提升农村家庭抗御冲击的韧性。政策也应解决农业粮食体系以外的问题,包括要完善卫生和教育服务,促进男女平等和女性参与,还必须肯定农业作为自然环境守护者的作用。
粮农组织坚定致力于把握联合国粮食体系峰会等活动创造的契机,将承诺落实到行动上,推动农业粮食体系转型,使这些体系更高效、更包容、更有韧性且更可持续,为所有人实现更好生产、更好营养、更好环境和更好生活,不让任何人掉队。本报告旨在朝着这一重要方向采取具体措施提供了实证和指导。

粮农组织总干事
屈冬玉
3 COVID-19疫情对三个国家粮食供应链的影响及后续适应措施概要
A3.1 2016-2018年初级生产灵活性指数(PPFI)(以蛋白质计算)
A3.2 2016-2018年膳食来源灵活性指数(DSFI)(果蔬以吨数计,千卡热量)
A3.3 2016-2018年膳食来源灵活性指数(DSFI)(蛋白质和脂肪)
6 2016-19年若干国家获取健康膳食的经济水平和按消费果蔬(以吨数计)的膳食来源柔性指数分布图
A1.1 从生产农业产出品到销往国内和出口市场的路径,按价值计算
A1.2 从库存、国内生产或进口获取食物的途径(单位:千卡)
A1.3 为生产加工食品提供投入品并向国内市场销售和出口以创造价值的途径
A2.2 2016-18年膳食来源柔性指数(DSFI)(以脂肪计)
6 对比膳食采购柔性指数和初级生产柔性指数(PPFI)并发现隐藏的中间地带
2020年10月26至30日举行的线上研讨会拉开了《2021年粮食及农业状况》编写工作的序幕,粮农组织专员和外部专家出席讨论了报告大纲。会后成立了一个由粮农组织各相关技术部门代表组成的咨询小组,负责与外部专家小组协助调研和编写小组开展工作。报告编写工作参考了粮农组织和外部专家编写的四份背景文件和实证分析报告。咨询小组于2021年1月26日举行线上会议讨论了调研成果,2021年2月对第1章初稿提出了意见。各章草稿首先提交咨询小组和外部专家小组,随后粮农组织农业食品经济司副司长于2021年3月10至16日主持举行线上研讨会。根据这场研讨会及后续咨询小组会议提出的指导意见,本报告经修订后提交粮农组织经济及社会发展部门管理团队。修订稿还提交粮农组织其他部门以及粮农组织非洲、亚洲及太平洋、欧洲及中亚、拉丁美洲及加勒比和近东及北非区域办事处征求意见。所提意见均被终稿采纳,终稿已经粮农组织农业食品经济司副司长、粮农组织首席经济学家和总干事办公厅审查。
《2021年粮食及农业状况》由联合国粮食及农业组织(粮农组织)跨学科团队编写,粮农组织农业食品经济司副司长Marco V. Sánchez Cantillo和高级经济学家、本出版物主编Andrea Cattaneo指导编写工作。粮农组织首席经济学家马克西莫·托雷罗·库伦和经济及社会发展部门管理团队给予统筹指导。
调研和编写小组
Theresa McMenomy、Fergus Mulligan(顾问编辑)、Ahmad Sadiddin、Jakob Skøt、Graeme Thomas(顾问编辑)、Sara Vaz。
背景文件和数据分析
Imran Ali(中央昆士兰大学)、Mark Brussel(特文特大学)、Mark Constas(康奈尔大学)、Ellestina Jumbe(粮农组织)、Rolf de By(特文特大学)、Marco d’Errico(粮农组织)、Serkan Girgin(特文特大学)、Vu Minh Hien(粮农组织)、John Hoddinott(康奈尔大学)、Hong Anh Luu(粮农组织)、Andy Nelson(特文特大学)、Robert Ohuru(特文特大学)、Rebecca Pietrelli(粮农组织)、Jeanne Pinay(粮农组织)、Thomas Reardon(密歇根州立大学)、Alessandro Tavoni(博洛尼亚大学)、Tom Thomas(特文特大学)、Valentijn Venus(特文特大学)、David Zilberman(加利福尼亚大学伯克利分校)。
其他参与编写的粮农组织人员
Abram Bicksler、Adriana Ignaciuk、Giorgo Grussu、Yuka Makino、Dario Lucantoni、Anne Mottet、Beate Scherf、Antonio Scognamillo。
粮农组织咨询小组
Fenton Beed、Dubravka Bojic、Ben Davis、Marco d’Errico、Ana Paula de la O Campos、Kim Friedman、Stepanka Gallatova、Giorgo Grussu、Panagiotis Karfakis、Michelle Kendrick、Preetmoninder Lidder、Yuka Makino、Roman Malec、Erdgin Mane、Zitouni Oulddada、Rebecca Pietrelli、Pilar Santacoloma、Guido Santini、Nick Sitko、Beate Scherf、Josef Schmidhuber、Kostas Stamoulis、Salar Tayyib、Jim Tefft、José Valls Bedeau、Sylvie Wabbes Candotti。
外部专家小组
Imran Ali(中央昆士兰大学墨尔本校区)、Mark Constas(康奈尔大学)、Ika Darnhofer(维也纳自然资源与生命科学大学)、Rolf de By(特文特大学)、Paolo D’Odorico(加利福尼亚大学伯克利分校)、John Hoddinott(康奈尔大学)、Helena Kahiluoto(拉彭兰塔-拉赫蒂理工大学)、Matti Kummu(阿尔托大学)、Andy Nelson(特文特大学)、Mohan Rao(马萨诸塞大学阿默斯特分校)、Thomas Reardon(密歇根州立大学)、Donato Romano(佛罗伦萨大学)、David Seekell(于默奥大学)、Jamie Stone(生物技术与生物科学研究委员会)、Alessandro Tavoni(博洛尼亚大学)、Paul Winters(圣母大学)、David Zilberman(加利福尼亚大学伯克利分校)。
附 件
附件由Ahmad Sadiddin和Sara Vaz编写。
行政支持
Liliana Maldonado提供行政支持。
粮农组织领导机构服务司语言服务处提供翻译。
粮农组织新闻传播办公室出版处为所有六种官方语言版本提供编辑支持、设计和排版以及制作协调。
AA
预判性行动
BFA
粮食和农业生物多样性
CSA
气候智能型农业
COVID-19
2019冠状病毒病
DSFI
膳食来源柔性指数
FAO
联合国粮食及农业组织(粮农组织)
GHG
温室气体
HLPE
高级别专家组(高专组)
ICT
信息通信技术
LLDC
内陆发展中国家
MFI
中游柔性指数
MICS
多指标类集调查
MPP
山区伙伴关系产品
NGO
非政府组织
PPFI
初级生产柔性指数
R&D
研究和开发(研发)
RCI
抵御能力指数
RIMA
抵御能力指数测量和分析
SDGs
可持续发展目标
SIDS
小岛屿发展中国家
SMAE
中小农业粮食企业
TAPE
农业生态绩效评价工具
UN
联合国
WASH
水、环境卫生和个人卫生
WHO
世界卫生组织(世卫组织)
农业家庭:从农业中创收或对农业生产投入劳动的家庭。1
农业创新:个人或组织在特定背景下首次引入新的或现有产品、过程或组织方式,旨在改进效果,提高竞争力,加强面对冲击的韧性,或增强环境可持续性,进而推动粮食安全和营养、经济发展或可持续自然资源管理。2
农业粮食体系:包含从事食品类和非食品类农产品初级生产,以及参与所有食品(包括非农产食品)贮藏、聚集、采后处理、运输、加工、配送、销售、处置和消费的所有参与者及其相互关联的增值活动。
▸ 粮食体系:包含源自作物和畜牧生产、林业、渔业和水产养殖,以及源自合成生物学等其他供人食用来源的所有食品。
农业粮食体系韧性:农业粮食体系抗御任何破坏性因素,长期可持续地确保人人可获和易获充足、安全和营养的食物,并维系农业粮食体系参与者生计的能力。a
农业生态:生态与社会概念和原则相结合,优化植物、动物、人类和环境之间交互,同时解决社会问题以建设可持续和公平的农业粮食体系的综合方法。4
粮食和农业生物多样性(BFA):动物、植物和微生物在遗传、物种和生态系统层面的多样性和变异性,以维系生产体系内部及周边生态系统结构、功能和过程,并提供食品类和非食品类农产品。5
气候智能型农业(CSA):指导采取行动,推动农业体系转型和转向,在气候变化背景下有效支持发展并确保粮食安全的方法,即可持续提高农业生产率和收入;增强气候变化适应和抵御能力;减少温室气体排放。6
协变性冲击:直接影响家庭、社区、区域乃至整个国家群体的事件。7
事件:特定地点特定时期显现的威胁和危害或干扰性因素,或两者兼而有之。8、9
暴露:危害多发地区人、基础设施、住房、产能和其他有形人员资产的状况。8
食品安全:保证食品根据既定用途制备或食用时,不会对消费者健康产生不良影响。10
粮食安全:人人随时可在物质、社会和经济上获取充足、安全和营养的食物,满足自身膳食需求和食物喜好,过上活力健康生活。除四个传统维度(粮食可供性、粮食的经济和物质可获性、粮食利用率)外,世界粮食安全委员会高级别专家小组(高专组)还提出了另外两个维度,即能动性和可持续性,但这两个维度并未得到粮农组织或其他机构的正式认可,也没有达成一致的定义表述。11、12
粮食供应链:包括一系列关联活动,涵盖种植业、畜牧业、林业、渔业和水产养殖的初级粮食生产;贮藏、运输、加工增值活动;批发和零售。本定义于有别于粮农组织(2014)提出的“粮食价值链”定义,不包括食品消费和处置。13
▸ 传统型粮食供应链:空间距离小,有少数小规模生产者、中间商和小微企业参与,采用劳动密集型技术,依靠现货市场。这类供应链以本地生产食品为主,涵盖基本的加工、贮藏、物流和其他产后活动。
▸ 过渡型粮食供应链:空间距离大,有很多小规模生产者以及中小企业和中间商参与,例如分散各地的加工商、批发商和零售商;产品多元化和增值相对较高;支持签约交易,但仍以现场交易为主。
▸ 现代型粮食供应链:服务于大量城市人口;空间距离小、大或极大(包括跨国);以超市和大型加工商为主;广泛应用资本密集型技术,普遍采用冷藏、包装和私营质量标准;以签约交易为主,但易腐产品采用现场交易。
危害:可能造成伤亡或其他健康影响、财产损失、社会和经济破坏或环境退化的过程、现象或人类活动。9
家庭:群居同一住所的亲属或非亲属,服从同一户主领导,共享食物,分摊食品支出,共享收入及其他家庭资产。
特异性冲击:影响个人或家庭的事件。7
粮食净消费者:销往市场的粮食销售总额少于购自市场的粮食购买总额的个体。14
粮食净生产者:销往市场的粮食销售总额超过购自市场的粮食购买总额的个体。14
丰余化:备份系统的关键构件或功能,提高系统可靠性。通常是指备用系统或过程,即使部分失灵,整个系统仍能运行。就农业粮食体系而言,例如企业备件库存能力、供应链层面不同环节间备用运输路线或备用基础设施以及国家战略粮食储备。系统丰余化势必会产生成本,要与其对系统性能的提升权衡取舍。15-17
韧性:个人、家庭、社区、城市、机构、系统和社会面对各类风险,积极、高效和有效预防、预判、消化、适应和转型,同时维持可接受的运行水平,不损害全人类可持续发展、和平与安全、人权和福祉方面长远前景的能力。18
抵御能力:系统、机构和人掌握以下不同能力(很多相互交叠),即视为具备抵御能力。这些能力对于管理多重风险以及抗御和应对不良事件并从中恢复至关重要。8
▸ 预防能力:采取措施减少对冲击和压力的暴露和脆弱性,即减少既有风险和避免新生风险的能力。9
▸ 预判能力:通过早期预警、早期行动或预报筹资,及早采取行动预判威胁,减少潜在不良影响的能力。19
▸ 转型能力:生态、经济或社会结构难以维持既有系统时,建立全新系统的能力。23、25 所需改变不限于系统的预防、预判、消化和适应能力时,并且认识到生态、经济或社会结构使人陷入贫困、灾害和冲突的恶性循环,以致既有系统不可持续时,就要具备转型能力。26
风险:冲击和压力对系统、社区、家庭或个人产生不良影响的可能性。风险因危害、暴露、脆弱性和能力而异,表示冲击和压力直接和间接造成社会、经济和环境成本的概率。9、27
农村生计:农村人口赖以维生的能力、资产和活动。28
冲击:短期背离长期趋势的状况,对系统、人们福祉、资产、生计、安全和抗御未来冲击能力产生重大不利影响。8、29 影响粮食体系的冲击包括灾害、极端天气事件、生物和技术事件、动植物病虫害暴发、社会经济危机和冲突。冲击具有协变性或特异性。
中小农业粮食企业:独立经营的采后农业粮食企业(例如食品加工、贮藏、运输或配送),收入、资产和员工人数低于特定标准。这类企业被认为更加脆弱,需要政策和研究层面特别关注。30、31
小规模生产者:包括经营种植业、畜牧业、渔业、水产养殖或林业小规模农业企业的家庭;由于获取市场及水土、信息、技术、资本、资产和制度等资源的渠道有限,在经营中受到的束缚更大。32
压力:削弱系统稳定性并加剧系统脆弱性的长期趋势或压力。压力可能由自然资源退化、城市化、人口压力、气候变异、政局不稳或经济衰退引起。33
可持续农业粮食体系:让所有人享有粮食安全和营养,维系农业粮食体系参与者的生计,不损害后代粮食安全和营养的经济、社会和环境根基的体系。这类体系必须在经济(即可盈利、保公平)、社会(产生广泛的社会效益)和环境(有益于或不影响自然环境)方面具有可持续性。34
可持续发展:管理经济、社会和环境资源以及技术和制度变革,了解并持续满足今世后代的人类需求。35
不确定性:由于相关信息和数据不详(即无法基于过往信息和模型衡量或推测结果),或不可测的冲击造成的结果完全不可预见,无法为冲击和压力的结果分配概率。
脆弱性:物质、社会、经济和环境因素或过程决定的使个人、社区、资产或系统更易遭受冲击和压力不利影响的状况。9
农业粮食体系包含食品类和非食品类产品(种植业、畜牧业、渔业、林业和水产养殖产品)初级农业生产、非农产品(例如人造肉)生产、粮食供应链从生产者到消费者各环节和粮食最终消费者。全球农业粮食体系年产大约110亿吨粮食,是很多国家的支撑性经济产业。在理想情况下,农业粮食体系应具有韧性、包容性和可持续性,生产人人可获的充足、安全和营养的食物,并创造生计,保障人们在经济上可获这类食物。但眼下,全球约10%的人口却无法通过农业粮食体系实现温饱。
粮食供应链和农业粮食体系参与者的生计日益遭到各类冲击(从干旱和洪涝到武装冲突和粮价飞涨)和长期压力(包括气候变化和环境退化)的破坏。风险和不确定性为农业粮食体系所固有,既影响初级生产及中下游粮食供应环节,又影响各阶段所有参与者。2020年,农业粮食体系的脆弱性显露无疑,2019冠状病毒病(COVID-19)疫情防控措施给全球和各国供应链造成了破坏,使很多国家经济出现衰退。购买力的降损使数十亿人的粮食安全和营养受损,低收入国家和赤贫群体受害尤深。
本报告探讨了在建设更有韧性的农业粮食体系方面的挑战。本报告借鉴了《联合国帮助建设韧性社会共同指导》,将农业粮食体系韧性定义为“农业粮食体系抗御任何破坏性因素,长期可持续地确保人人可获和易获充足、安全和营养的食物,并维系农业粮食体系参与者生计的能力”。
无论是传统型、现代型还是在二者之间过渡的农业粮食体系,都由三大要素构成:(i)初级生产;(ii)粮食配送,通过粮食供应链和运输网,实现生产与消费对接;(iii)家庭消费,包括家庭食物分配。主要参与者如下:初级生产者;投入品供应、采后、贮藏、运输和食品加工服务提供商;食品经销商、批发商和零售商;最终家庭和个人消费者。
真正具有韧性的农业粮食体系必须具备扎实的预防、预判、消化、适应和转型能力,抗御任何破坏性因素,在功能上力求确保人人享有粮食安全和营养,保证农业粮食体系参与者获得体面生计和收入。这种韧性涵盖了粮食安全的所有维度,但侧重于获取稳定性和可持续性,这是短期和长期粮食安全的保障。能动性是粮食安全的另一个维度,与食物权等人权有着深刻联系,强调体系要有包容性。
与其他经济部门相比,农业过度暴露在不良自然危害尤其是气候相关危害下,处于十分脆弱的境地。气候变化一方面造成了短期性冲击,例如极端气候事件,另一方面产生了慢发性压力,例如气温升高和生物多样性丧失。冲击即刻产生影响,压力则是缓慢发作,逐渐削弱体系的应变能力,使其更加脆弱。农业粮食体系各构成部分和各参与者暴露在类型和强度各异的冲击和压力下,而由于各部分相互关联,任一部分遭到破坏,很快就会波及整个体系。同样的冲击和压力也会对体系中不同部分和参与者造成不一样的影响。对于生产者,冲击最有可能影响低收入小规模经营者的生计;对于粮食消费者,赤贫群体深受食品价格上涨的影响。
备旱战略等减少对已知特定冲击的暴露和脆弱性的风险管理战略,有助于增强农业粮食体系韧性。但COVID-19疫情危机表明,一些冲击的发生时间和强度难以预测。农业粮食体系必须具备面对无法预料的冲击仍能继续运行的能力。因此,韧性建设不只是风险管理:建设韧性农业粮食体系是全世界应对当前和未来挑战的战略内容。
本报告的一大焦点是增强农业粮食体系消化冲击和压力影响的能力。消化能力是指运用既定对策维系和恢复关键的基本结构和功能,抗御冲击和压力并在过后重整旗鼓的能力。这对应对预料不到的冲击尤为重要。
冲击和压力的性质和起源可能迥然不同。影响大小取决于农业粮食体系各部分和各参与者的特定脆弱性和抵御能力以及周遭环境(包括气候、环境、社会经济和政治环境)和外部部门(例如能源和卫生部门)。体系中各部分之间具有复杂的双向联系,这意味着破坏粮食生产的因素最终会影响家庭粮食安全,而影响粮食消费的冲击则会反过来波及生产者;这样一来,环境就会受到影响。
在低收入国家,农业保险和信贷渠道有限的农业家庭,往往依靠兼种多种作物和种养结合来减轻气候变异和市场波动带来的风险。然而,多元化却牺牲了支持家庭积累经验的专门化。这就产生了问题,即可能要在以多元化还是高效化增强韧性之间进行权衡取舍。另一种有效的韧性建设策略是丰余化,即储备关键部分和功能,加强农业粮食体系消化冲击的能力。然而,这种丰余化策略可能产生不菲的社会成本,资源有限时极具挑战。
本报告采用一系列与农业粮食体系四大功能挂钩的指标,分析了国家层面农业粮食体系的消化能力。四项功能旨在确保:(i)稳固的初级生产;(ii)粮食可供性;(iii)粮食的物质获取渠道;(iv)粮食的经济获取渠道。每个国家体系各有特色,包含众多部分和参与者,在若干相互关联的层面上运行,通常涵盖国际贸易。一些部分可能比另一些更具韧性,冲击的影响则会因部分或参与者而异。政策制定者要把握体系的运行方式,并知晓潜在的脆弱性。这样一来,兼顾参与性、包容性和协作性的进程可能有助于调动体系参与者更协调地应对挑战。
为衡量初级生产者消化冲击的能力,粮农组织为本报告制定了一项涵盖181个国家的初级生产柔性指数(PPFI),衡量作物类和畜牧类商品生产的多元化程度以及生产供应国内和出口市场的潜能。较高的指数值表示初级粮食生产可通过多种途径创造农业价值,销售渠道丰富。80%多国家的指数值取决于国内市场多元化,多元化值最低的国家向国内市场大幅倾斜。大多数为低收入国家,对外贸易极少,初级生产在面对影响主要商品或减少消费者收入的冲击时十分脆弱。在高收入或农业基础雄厚的国家,初级生产更趋多元化。这些国家在农产品生产和出口领域具有多项比较优势,开放国际贸易,国内有着强烈的产品外销需求。
不是所有农业大国都能免于脆弱处境:即使农业基础雄厚和出口需求旺盛,如果贸易伙伴数量有限,也可能表现出冲击消化能力不足。一旦贸易伙伴遭受冲击,这类国家就会束手无策。专门生产极少数出口商品的国家亦是如此;这些国家在面对商品相关的国内冲击(例如有害生物)和国际冲击(例如供应过剩造成的价格暴跌)时更为脆弱。
农业粮食体系的一项重要功能是供应丰富的食品,提供人体健康必需的营养素。为衡量农业粮食体系消化冲击的能力,确保营养膳食所需食物的供应,粮农组织还为本报告制定了以153个国家数据计算的膳食来源柔性指数(DSFI)。这项指标反映了国内生产、粮食进口和可用库存中作物类、鱼类和畜牧类商品的多种采购途径。从中看出,各国以不同方式实现食物来源多元化,来源多元化的成效并不取决于国家大小或收入水平。收入起到重要作用的是果蔬来源的多元化,而在低收入国家,由于易腐产品运输和贮藏方面的物流限制,来源不够丰富。
更多依靠国内生产的农业基础雄厚的国家,可能与通过进口推进多元化的国家具备同样的消化能力。从多个贸易伙伴进口多种商品的国家,可缓冲很多伙伴和商品遭遇的任何供应冲击,因此得到的指数评分名列前茅。相反,依靠从少数主要来源进口粮食的国家,容易因贸易伙伴受到冲击而被波及。有鉴于此,推进进口商品和国际贸易伙伴多元化,以及酌情投资国内库存建设不失为明智之举。
高效、灵活、最优丰余化的运输网,可保障地方有效获取粮食。为反映全球粮食运输网的结构脆弱性,粮农组织分析了90个国家运输网的韧性,研究了运输网如何使粮食需求点与粮食生产点对接。这项分析衡量了粮食体系就地应对破坏性因素的能力、备选路线的可用性以及粮食体系对冲击或压力所致关键环节断裂的敏感性。尽管一些大国建有长距离配送网,但其他国家必要时可根据更因地制宜的粮食体系来调整粮食生产和配送。
在对国内粮食运输网采取涵盖整个粮食体系的韧性建设措施方面,低收入国家面临的挑战最大。这类国家适应当地粮食体系的能力有限,逆境下缺少可靠的备选路线。韧性大小视远近而定,取决于生产与需求的相对分布,因此一些高收入大国也容易陷入脆弱境地。对于分析的近半数国家,关键的网络环节断裂以后,当地行程时间至少增加20%,食品成本随之上涨。
仅提供粮食的物质获取渠道,并不足以确保粮食安全。运行良好的农业粮食体系也必须确保人们在经济上可获粮食。全球约有30亿人负担不起健康膳食,这种膳食恰恰可预防各种形式的营养不良。由于低收入家庭的食品支出比例最高,粮价飞涨、作物歉收和资产损失等破坏性因素造成的购买力任何显著降损,都会威胁这类家庭的粮食安全和营养。粮农组织还基于143个国家数据为本报告制定了一项指标,从中看出,如果冲击造成收入减少三分之一,又会有10亿人负担不起健康膳食。这项额外挑战的负担将主要落在中等收入国家肩上:在可能无力负担健康膳食的10亿人口中,有95%生活在中等偏下和中等偏上收入国家。在大多数人已负担不起健康膳食的低收入国家,挑战在于,面对收入同样减少三分之一,可能有更多人甚至无力负担能量充足型膳食,这种膳食由淀粉类主食构成,可提供一天工作所需能量。
收入受冲击影响时,真正具有韧性、包容性和可持续性的农业粮食体系必须力保人人负担得起健康膳食。为此,必须降低食品价格,或者必须增加或通过社会保护计划等方式补贴弱势群体收入,并且最好两手都要抓。
粮食供应链的顺畅运行是国家农业粮食体系韧性的根本保障。粮食供应链由各类参与者即农民、加工商、批发商和零售商开展的相互关联的活动构成,他们反过来也会利用提供投入品和物流服务的侧链。粮食供应链消化冲击的能力取决于每个环节的韧性。多元、丰余和互联互通的粮食供应链可加强农业粮食体系韧性,提供多种粮食生产、采购和配送途径。为保障和加强农民和企业生计,确保人人在物质上可获粮食,必须具备这种韧性。
粮食供应链的脆弱性和抵御能力主要取决于自身的结构特性和产品属性。传统型粮食供应链空间距离小,有少数当地中间商参与,但缺少产品多元化、质量和安全标准以及规模经济。过渡型供应链空间距离较大,有众多中小农业粮食企业(SMAE)从事中游加工和配送。现代化供应链主要为大量城市人口提供园艺和畜禽产品,中下游环节以跨国公司为主。
了解冲击和压力对特定粮食供应链的影响,是提升抵御能力从而减轻损害和提供恢复方案的关键。现代化大规模粮食供应链实行全球化经营,有能力在地理和时间上适应各种破坏性因素,因此在COVID-19疫情封锁期间表现出了韧性。过渡型供应链有大量中小农业粮食企业参与,严重依赖人工,更易受到劳工和运输方面破坏性因素的影响。还有证据表明,一些传统型供应链填补了封锁期间遭到破坏的现代化和过渡型供应链留下的缺口。很多传统型供应链已证明具有灵巧应对的能力,尤其是在高收入国家。然而,传统型供应链往往更易受到影响,因为这类供应链往往极不正规,未被计入国家统计,未被纳入政府扶持和社会保护计划。
农业粮食企业的经济规模、投入构成、技术应用和产品(从大宗食品类商品到小众和差异化产品)各不相同。这类企业承担风险和投资韧性建设的能力各异。企业可能择一选用或同时采用多元化或丰余化策略。例如,全球最大的稻谷加工公司在其位于泰国的主要港口上游投建了两座港口,保障台风期间船运活动;这是在效率与韧性之间权衡取舍的典型案例。为减少此类权衡取舍,企业不妨设法与其他互补型企业合作。但是,这可能对中小农业粮食企业行不通,因为这类企业面临着既要抵御冲击又要保持对较大企业竞争力的双重挑战。在韧性和灵活性中建立起来的优势,可能在打入高利润市场时消失殆尽。
所有这些策略的关键都是有助于预防或减缓冲击的公共基础设施,即道路、涵洞、电网、自来水、灌溉系统和港口。在基础设施建设完善的农业地区,生产者和粮食链参与者具备更强的消化能力。公共基础设施越来越多与私营基础设施形成互补,例如收储站、陆路货运公司和温控仓库。具备进行必要投资和承担风险能力的企业,势必会渡过难关,淘汰能力不足的企业,从而巩固竞争实力,使供应链的非农环节集中在少数企业手中。由此出局的农业粮食企业、农民和农业地区,丧失了打入城市和出口市场的重要纽带,从而落入了贫困陷阱,在市场与气候变化的夹击下,陷入了十分脆弱的境地。一方面是中小农业粮食企业被逼倒闭,随即造成失业和生计丧失这一社会成本,另一方面是大规模企业提升韧性,二者相较,可能得不偿失。
粮食供应链上可供小规模生产者和中小农业粮食企业使用的资源有限,往往使其更难走出逆境。改造公共基础设施,同时拓宽信贷和信息获取渠道,能在效率与韧性之间形成协同效应,从而加速恢复。政府也能支持粮食供应链上中小农业粮食企业更好地协调与组织。一种方法是成立联合会,提高小企业的规模、知名度和影响力,拓宽私营和政府供资渠道。在网络或战略联盟中培养组织间关系,能创造人脉、结构和认知资本,以资源整合推进更有力、更有效的风险管理,拓展现代化技术和专长的获取渠道。还有一种鼓励中小农业粮食企业间协调并巩固人脉资本的方法,是采用集群等地区发展工具。在信贷市场不完善或不发达的国家,加强产业集群能促进放宽信贷限制。联合会和集群也是推动个人能力发展计划和推广数字技术的有生力量。
所有家庭的抵御能力都对农业粮食体系的运行至关重要。所有家庭都能在农业粮食体系中发挥作用,无论是生产和供应粮食,还是消费粮食。农村家庭尤其是低收入小农家庭的抵御能力,在气候变化和自然资源枯竭的新常态下,越来越多地受到特殊考验。尽管这类家庭往往从事非农活动,但仍有很多农村人口主要以务农维生。冲击和压力对这类生计的影响,以及最终对人们粮食安全和营养的影响,主要体现在家庭中。数亿农户通过初级粮食生产和小规模农业粮食企业对农业粮食体系做出了贡献。从事多种多样活动的农村家庭普遍能更好应对冲击和压力,并从中恢复过来。
净生产粮食的家庭更易遭受农业和粮食生产冲击及压力的影响,例如病虫害、干旱以及投入品和粮食销售链断裂。另一方面,净消费粮食的家庭,即兼职务农和以非农经济就业为主的家庭,更易遭受价格飞涨等购买力冲击的影响。与较大规模竞争对手相比,经营小规模农业粮食企业的家庭在经营中受到的束缚更大,获取信息、技术、资本、资产和制度的渠道更加有限。这类家庭承受着对风险和冲击的双重脆弱性负担:一方面面临农业固有的风险和冲击,另一方面,在发展中国家粮食供应链加速现代化的过程中,还有可能被挡在生产性资产和高利润市场之外。
农村家庭制定了各类策略来帮助应对已预见和未预见的破坏性因素,加强预防、预判、消化、适应和转型能力。在农场层面上,家庭另辟蹊径,重新配置利用可用资源,应对自然、技术和社会因素之间难以预料的相互影响。为减少风险,在冲击发生前减轻冲击影响,家庭扩大生产范围,调整播种期以应对雨量变化,并采取措施减少风险,即改进灌溉、排水和有害生物治理,调整用地以减少土壤侵蚀。家庭通过农村非农经济兼职就业拓展了收入来源。家庭还制定了应对冲击余殃的机制,即清理资产、申请贷款或动用存款和民间非正规保险,用以弥补损失和减轻消费压力。然而,缩减家庭资产的对策有损未来的创收能力,因此有可能加剧脆弱性。
粮农组织“抵御能力指数测量和分析”(RIMA)模型用于确定支撑35个国家农村家庭韧性的主要因素。对23个国家的分析结果表明,教育、开源创收和现金转移是抵御能力逐渐提升的主要动力。对其余12个国家的分析表明,韧性最重要的支柱多半是获取生产性和非生产性资产。对家庭韧性同样重要的是适应能力,关键取决于家庭教育和个人能力发展。享受基本服务(例如更好的环境卫生和安全的饮用水)和初级服务(尤其是学校、医院和农产品市场),为家庭韧性提供了重要支撑,尤其是对极旱地带和牧民家庭来说。
“抵御能力指数测量和分析”还表明,女性居多的农村家庭在冲击期间及过后深受影响。女性获取的土地及其他攸关韧性的资产往往少于男性。儿童尤其易受冲击和压力影响。研究表明,大范围冲击已造成2岁以下儿童发育迟缓率和体重不足率上升。由于儿童营养状况与认知能力测验成绩、教育程度和成年劳动力市场就业表现有关,冲击可能给个人和社会带来长期重大经济成本。
为保持竞争力,保护自身生计,小规模农业生产者要充分融入粮食、投入品和服务供应链。实现这种融入的一种方法是成立生产者协会和合作社,以资源整合实现规模效应,拓展机械、设备和信贷等生产资料的获取渠道,巩固市场优势,从而加强生计。与粮食供应链其他参与者协调,也是防范市场风险的关键。例如,通过远期合约,可实现互利共赢:无论行情如何,农民的产品都能得到价格保障,加工商和经销商也能得到质量理想的产品。
小规模农户越来越多运用的另一项韧性增强策略是采用更可持续的生产做法。一种选择是农业生态方法,这种方法运用生态和社会原则设计和管理农业粮食体系。农业生态方法的一项要素是粮食和农业生物多样性,可增强抗御冲击和压力的韧性,促进适应调整,维护稳定,支持走出逆境。另一种选择是气候智能型农业,一方面可加强粮食安全和健康生计,另一方面可促进气候变化适应和减缓。这些概念认识到,传统的主流农业造成了自然资源基础退化,无法可持续地维持不断增长的世界人口温饱。
20世纪80年代和90年代初在发展中国家兴起的社会保护计划,现已超出福利范畴,越来越注重减少风险和减轻冲击对脆弱生计的有害影响。社会保护计划支持低收入农户开展利润更高但风险也更大的经济活动,是替代消极对策的一种选择。提供社会保护和生产支持的计划具有很强的互补性,已在农村地区不断铺开实施。
在面临多重风险的环境中,有的破坏性因素可以预见,有的不可预见。为防患于未然,要对体系的结构特性进行细致评估,包括评估通过途径多元化和连通化培育的消化能力。政策和投资要认识到风险与不确定性之间的差别。风险管理通常旨在减小对特定不良事件的暴露和脆弱性;而不确定性管理要求体系有足够多元化的参与者和对策,在出现预料不到的冲击时能够维系核心功能。两种方法应当兼顾,二者互为补充。
增强农业粮食体系消化能力的关键是以各种形式实现多元化。掌握更多元化粮食来源和产品市场的农业粮食体系及相关粮食供应链不易陷入脆弱境地。把握多种可消化冲击的途径,对政策制定者制定危机对策至关重要。尽管国际贸易采购减小了农业粮食体系对国内冲击和压力的脆弱性,但高度依赖从少数伙伴进口,可能使其易受外部冲击影响。从社会经济和气候状况各异的不同国家进口多种粮食,有助于分散风险,减小对外部冲击的脆弱性。为实现这种灵活的粮食采购形式,国际社会可能要努力克服国家间贸易壁垒。若冲击消化能力主要源自于国内生产和贸易的产品,则国内生产和进口以及库存的多元化是粮食安全和营养战略的重要部分,尤其是在很多人负担不起或可能无力负担健康膳食的国家。
互联互通的农业粮食体系可更换供应来源和食品、投入品、劳工运输和销售渠道以及知识和资金输送渠道,从而更快克服逆境。连通化和多元化提升了消化能力和逆境防备能力:二者并不针对特定事件,而是提供在发生破坏性事件后的应对方案。不过,连通化和多元化应与风险管理互为补充。例如,灾害和危机会严重影响基础设施和服务,例如道路、交通运输或粮食贮藏。因此,必须做好基础设施评估、保护和排险,兴建警惕风险并抵御气候的基础设施。为确保气候抵御能力,必须评估和解决基础设施实体的脆弱性问题。
政策和干预措施应为各类传统型、过渡型和现代化粮食供应链提供便利,缓冲各类冲击和压力。政策制定者应承认城乡地区农场和企业的不同特点,解决不同程度的脆弱性问题。为帮助预测冲击及其影响,可能要改进风险管理,提高早期预警能力。为提高决策能力,各级政府应与学术界、研究中心、民间社会和私营部门合作,确保能够拿到数据,支持开展全体系分析。包容性治理和制度有助于改进风险管理,快速应对危机。为解决深层次的脆弱性和风险因素,地方及当地政府可能要制定多风险管理战略。
国家法律、政策和法规中现有的灾害和风险管理工具可对粮食供应链量体裁衣,帮助利益相关方在部门内部及之间更有效发挥作用并加深协作。政策也要帮助生产者和农业企业采用增强韧性的业务工具,包括提升商业素养,扩展上网、贷款和投保渠道,提供研究和农业推广服务经费。支持农业粮食体系个体参与者的环境,包括善用物流信息通信技术。中央及地方政府应与私营部门、非政府组织和国际发展机构发挥重要作用,支持采用这些技术。
韧性生计即使面对冲击,也能确保获取粮食,因此是韧性农业粮食体系的基础。在弱势农村家庭中,从事小规模农业及其他初级农业粮食生产的家庭,是粮食供应链物流支持、生产创新和包容性治理最大的受益者。制定政策提高小规模生产者和弱势家庭抵御能力时,政策制定者应设法加强风险管理,培养家庭抵御能力。随着极端气候事件日益频繁突出,生产者将有必要进入农业气候灾害风险和早期预警系统。提高作物和天气保险参保率,有助于生产者申请生产贷款,参与风险更大、回报更高的农业活动。
提升家庭抗御冲击的韧性可能还需要建立社会保护计划。把握风险因素和积极应对冲击的社会保护体系,一方面能够支持养恤金领取人等常规受益者,另一方面也能支持逆境前中后期面临风险和易遇危机的人口。社会保护体系可根据潜在受益者的新需求扩大福利覆盖范围,使其能够投入生产活动。设计周详的社会保护计划能与生产支持计划和投资产生协同效应,加强小规模生产者生计的韧性和可持续性。
政策要解决农业粮食体系以外的问题。显然影响家庭韧性的主要政策领域包括强有力、包容性的健康保险和医疗服务。教育和培训也对加强家庭长期韧性至关重要。更广泛的促进性别平等政策可提高女性对各环节的参与度,从而显著提升韧性。促进就业政策也可加强生计和收入,对整个农业粮食体系产生积极影响。
确保农业粮食体系可持续性是韧性建设不可或缺的一部分。政策可通过肯定农业粮食体系在守护自然环境中的作用,促进提升体系的可持续性。农业粮食体系不应加剧气候变化和自然资源退化,而要采用农业生态农作方法及其他资源节约型方法。
必须认识到,制定的政策可能事与愿违。为避免实施的限制措施损害农业粮食体系参与者,政策制定者必须把握体系的运行和互动方式。必须确保政策一致性。需要政策一致性来解决的一个突出问题是补贴,例如农业价格补贴。补贴可缓解农业生产者近期和短期的压力,但也可能削弱他们在发生冲击时应对冲击的能力。同时,补贴与任何其他培养农业粮食体系韧性的政策一样,在财政上都要可持续。为应对政策一致性的挑战,各相关行业各级政府机构都必须投入其中。
全球农业粮食体系相当于一家巨型国际企业,每年生产约110亿吨食品1 和种类繁多的非食用产品,包括3200万吨天然纤维2 和40亿立方米木材。3 据估计,2018年农业总产值为3.5万亿美元。4 仅初级生产一项就提供了全球四分之一、撒哈拉以南非洲一半以上和低收入国家近60%的就业岗位。5 如果把中下游环节(从食品储存和加工到运输、零售和消费)也考虑进去,农业粮食体系则是多个经济体的命脉所在。即使在欧盟,食品饮料业的就业人数也超过其他任何制造业部门。6
理想情况下,所有农业粮食体系都具有韧性、包容性和可持续性,生产出充足、安全和营养的食物,满足所有人对积极健康生活的需求,同时不损害子孙后代的粮食安全、健康和营养,以生物系统为基础,能够提供丰富食物和维持生计。农业粮食体系创造了生计和繁荣,即数十亿人获取食物的经济手段得到保障,而这正是粮食安全的重要支柱之一。
然而,现实并非如此。2020年,约7.68亿人(占全球人口9.9%)挨饿,比2019年增加近1.18亿,比2015年增加1.53亿。7 全球本已承受增产重压,但干旱、洪涝、武装冲突和价格不稳定等冲击因经济不平等和气候变化等长期压力而不断恶化,严重威胁农业生产和农业粮食体系其他关键环节。多种风险和不确定性对全球最脆弱和粮食最不安全的人口造成严重影响,在多种冲击和压力面前,他们首当其冲。即使2019冠状病毒病(COVID-19)疫情发生之前,也有将近30亿人无力负担健康膳食,而健康膳食能够预防各种形式的营养不良。
冲击和压力会干扰相关体制、供应链和主体的运转,损害农业粮食体系。8 插文1表明,农业粮食体系涵盖粮食体系,包括全部主体及相关增值活动,以及种植业、畜牧业、林业、渔业和水产养殖业中非食用产品的初级生产。冲击和压力可能源自周围社会经济和环境状况,并在体系内外蔓延开来:最近较为突出的事例是COVID-19疫情。物质、社会、经济和环境条件决定着个人、群体、机构、资产、基础设施或体系面临冲击和压力负面影响时的脆弱程度。9 为确定建立韧性的具体措施,有必要了解各种冲击和压力对应的不同脆弱程度,以及农业粮食体系的抵御能力。10
正如本插文内图所示,农业粮食体系涵盖食品和非食用农产品初级生产以及食品储存、集中、产后处理、运输、加工、分销、销售、处理和消费中的所有主体及其相关增值活动。农业粮食体系中,粮食体系包括来自种植业、畜牧业、林业、渔业、水产养殖业及其他来源(如合成生物学)的所有供人类食用的食品。人造肉等非农食品目前几乎可以忽略不计,但有可能发展壮大,对农业粮食体系韧性产生重大影响。非农食品虽然能减少气候事件和虫害相关风险,但同时也有可能产生负面影响,尤其是造成农业食品生产人员丧失就业和生计。
农业粮食体系通过购买化肥、农药、农业和渔业设备等投入品,以及为非粮商品生产提供中间投入品(例如,为生物燃料生产提供玉米或为纺织品生产提供棉花)与非粮供应链相互作用。经济、社会和自然的整体环境决定并影响着农业粮食体系及其多种生产体系。
由于严重依赖气候、生物、物理和化学过程,农业粮食体系面临多种潜在冲击和压力,包括气候变化、极端天气事件、病虫害肆虐、水资源短缺和自然资源恶化。粮农组织估计,2008至2018年间,在中等至大规模灾害造成的全部经济损失中,26%由低收入与中低收入国家的农业部门承受(尚未考虑整个农业粮食体系)。11 这些国家的小规模生产者及农业粮食体系其他主体可能情况尤为严重,时时处处面临压力。压力放大了道路、电力、灌溉、清洁用水、加工、储存和市场基础设施欠缺等原有结构性缺陷的影响。由于以上缺陷,千百万农民和其他农村人口处于地理和经济隔绝状态,发展商业的机会有限,难以获得服务,且靠天吃饭的情况十分严重。
后果会十分恶劣:生产要素利用不充分,生产率低下,食品和非食用农产品产出受损,且无法进入高利润市场。由于农业粮食体系对多种冲击和压力的脆弱性得到放大,其主体预防、预测、消化、适应和转型的能力也被削弱。一旦抵御能力被削弱,发生短期和长期粮食不安全及营养不良的概率就会增加。
国际社会已认识到,迫切需要行动起来,强化农业粮食体系中涵盖粮食生产、加工、运输和消费的粮食体系(插文1)。联合国(UN)粮食体系峰会于2021年9月举行,会上出台了大刀阔斧的新行动,加快所有可持续发展目标实现进展,而每个目标都在一定程度上有赖于更加健康、可持续和公平的粮食体系。增强韧性对落实可持续发展目标及《2030年可持续发展议程》至关重要。农业粮食体系韧性直接关系到可持续发展目标2“零饥饿”能否实现,并且是其他多个以社会经济为重点的可持续发展目标(目标1“无贫穷”、目标5“性别平等”、目标8“体面工作和经济增长”、目标11“可持续城市和社区”)以及涉及环境可持续性的可持续发展目标(目标6“清洁饮水”、目标12“负责任消费和生产”、目标13“气候行动”、目标14和15“水下和陆地生物”)取得进展的关键。实现可持续发展目标能够在2030年前为全人类创造和平与繁荣(根据可持续发展目标16“和平、正义与强大机构”),从而防止出现多种问题,或至少极大减轻其影响。
本报告关注以下问题:具有韧性的农业粮食体系有何特征?农业粮食体系主体如何管理其对冲击和压力的脆弱性?当农业粮食体系遭遇困难造成产量和收入下降、价格攀升或粮食短缺时,家庭、尤其是贫困家庭和最为脆弱的家庭如何满足粮食需求?如何确保农业粮食体系即使遭遇困难仍能支持生计,并以可持续方式向所有人源源不断提供充足、安全和营养的食物?简而言之,如何提升农业粮食体系韧性?
鉴于饥饿和营养不良问题长期存在,建立农业粮食体系韧性变得愈加紧迫。饥饿人数不断增加,发生冲突、极端气候和经济衰退的国家以及收入悬殊的国家事态更为严重。12 2020年,长期冲突、COVID-19疫情的经济影响和极端天气使得原本脆弱的形势雪上加霜,粮食危机进一步扩大和恶化。13 因疫情限制等原因造成的2020年经济衰退给饥饿人口造成了数十年来最严重的打击,仅2020年一年食物不足人数就增加1.18亿,12 显示出冲击叠加原有脆弱的破坏性之大。鲜有证据表明粮食供应减少(起初因恐慌性购买导致的不良影响除外),8 这要归功于政府对农业粮食部门的豁免措施。然而,封锁及其他行动限制规定大幅减少了人员和商品流动,殃及生计。丧失收入和购买力严重降低了数十亿人的粮食安全和营养水平,尤其在低收入和中等收入国家。在需要保护和加强免疫系统的时期,14 各个家庭却被迫选择价格和营养价值更低的食物8。此外,疫情经济影响导致营养食物摄入减少,并转向低质量高能量膳食,有可能造成全世界几乎所有区域的超重和肥胖率上升。从全球或区域角度看,成人肥胖率不断上升,超过15年未见好转,与这些营养不良形式相关的非传染性疾病也不断增加。12
农业粮食体系是否能够确保所有人的粮食安全和营养不仅取决于体系自身能力,还有赖于运输、教育、卫生、水、土壤和能源等相互联系的社会经济和环境系统以及社会保障机制的良好运行。由于预防和治疗疟疾、腹泻和其他传染病的医疗服务减少,疫情冲击可能对婴幼儿患病率产生更多负面影响。因学校关闭,学校餐食和营养计划的膳食和营养教育将无法提供。8 大量令人信服的证据表明,此类冲击和相关压力对学龄前儿童营养状况的负面影响不仅体现在当下,还会一直持续到成年之后。15
全球人口激增推动粮食需求上涨,人口和环境压力使得建立农业粮食体系韧性更加势在必行。与此同时,冲击和压力,包括因气候变化而愈加频繁和严重的极端和缓发事件,既威胁着农业生产(种植业、畜牧业、水产养殖业、渔业和林业),也威胁着农业粮食体系的中下游环节。农业粮食体系一方面遭受气候冲击和压力影响,另一方面本身也是造成气候变化的主要原因之一。据预测,全球人口将于2050年达到97亿。16 为了养活全球人口,农业部门的粮食、饲料和生物燃料原料产量需要在2012年基础上视情况增加40-54%。17 这一艰巨任务可能会给地球自然资源带来不可持续的压力。当前有必要提高农业与粮食生产的可持续性,而这一转变的关键在于三个重点:保护自然,恢复和修复自然环境,以及可持续管理粮食生产体系。18 大幅减少粮食损失和浪费、19 提高资源利用效率以及贸易能够发挥重要作用,因为可能需要进口来弥补自然资源局限造成的国内缺口。
方法之二是生态农业,包含三个层面:科学、一系列实践和社会运动。越来越多的证据表明,生态农业为环境、生态多样性和农民收入带来效益,帮助农民适应和减缓气候变化,并建立应对多种冲击和压力的韧性。增强韧性的方法之三,即气候智慧型农业,为应对气候变化20 以及环境退化和人口压力等其他压力应运而生,本报告将详细阐述。
此外,还需要对当前膳食趋势作出深刻调整。随着城市化的发展和财富的积累,许多低收入和中等收入国家膳食中资源密集型动物源食品和加工食品越来越多。17 如果该趋势继续发展下去,膳食相关的非传染性疾病健康成本到2030年将超过每年1.3万亿美元,相关温室气体排放成本则将超过每年1.7万亿美元。7
鉴于以上挑战和未来挑战,农业粮食体系不仅要探索方式应对不利变化,还要转变当下“维持现状”的做法,努力实现可持续发展目标。农业粮食体系应重点为所有人提供营养食物和高效利用资源,同时提高包容性、可持续性和韧性。增产降耗的同时,保护并增强小规模农业生产者和其他农业粮食主体的生计属于全球性挑战。COVID-19疫情,以及近几十年经受其他冲击得出的教训清晰表明,农业粮食体系本身就具有一定程度的风险和不确定性。因此,建立韧性的关键措施在于通过风险管理战略降低对特定冲击的暴露风险和脆弱性,例如在干旱多发地区进行干旱防备。然而,突如其来的COVID-19疫情表明,某些冲击的时间和影响可能直至发生前都是未知数。所以,建立韧性并不局限于风险管理。风险管理是帮助农业粮食体系主体预测和预防重大困难的关键,但强韧的农业粮食体系必须具备五种能力(预防、预测、消化、适应和转型),才能在遇到无法完全预测的冲击时继续运转。
建立或加强以上能力的必要干预措施包括:投资建立考虑风险和应对冲击的社会保障和保险计划,多样化的供应链和耕作制度,以及灵活的物流。
韧性的概念起源于生态系统研究,21 经过50多年的发展,已经成为工程学、农业、经济学和心理学等一系列学科的研究对象。尽管如今各学科对其准确定义仍有较大分歧,但从广义上来说,韧性可以定义为遭遇困难后仍能继续积极实现目标的能力。22
联合国呼吁跨部门合作,在全社会各部门针对冲击和压力进行预防、预测、消化、适应和转型,通过了《联合国助力建设韧性社会一般指南》9。由于多种风险均涉及韧性的理解,联合国提供了以下定义:
个人、家庭、社区、城市、体制、制度和社会面对各种风险进行积极、高效并有效的预防、预测、消化、适应和转型,同时维持可接受的运转水平,且不损害所有人可持续发展、和平与安全、人权和福祉长期前景的能力。
该定义强调,冲击和压力会造成短期和长期负面影响,为建立韧性就要认清其动态性和跨时期性。农业粮食体系要克服冲击和压力,9、23 需要五种不同能力,即面对不断演变、同时发生甚至相互抵触的多种事件进行预防、预测、消化、适应和转型的能力。
本报告主要关注韧性的消化能力,以及应该如何将其与风险管理(如预防和预先行动)相结合,进而积极适应,并实现包容和可持续的农业粮食体系转型。消化能力指的是,利用事先确定的应对方式保存并恢复必要基本结构与功能,抵挡冲击和压力,并在冲击后复原的能力。为建立消化能力,需要设计并投资多种应对方式,从而保护和恢复必要结构和功能。消化能力一定程度上还取决于体系的结构性特征,例如利益相关方的数量和多样性,利益相关方的协调机制及机制所依赖的基础设施的稳健性。本篇报告以消化能力的结构性本质为核心,在此基础上制定了各项指标,并形成了关于提高农业粮食体系韧性的新见解。
本报告将联合国对韧性的定义应用于粮食和农业领域,将农业粮食体系韧性定义为以下目标,即确保所有人的粮食安全和营养,以及农业粮食体系主体的体面生计和收入。建设强韧的农业粮食体系需要将韧性的概念贯穿于粮食安全的各个维度,不仅包括粮食供应、获取粮食的经济和物质手段、粮食利用和长时间稳定性,还包括世界粮食安全委员会高级别专家小组(HLPE或高专组)最新提出的能动性和可持续性。这两个维度并未得到粮农组织或其他机构的正式认可,也没有达成一致的定义表述;但考虑到与本报告内容的相关性,故将其列在此处。高专组对能动性的定义是,个体或群体就食用和生产的粮食种类与粮食体系内粮食的生产、加工和分配方式自主作出知情决定的能力,以及参与粮食体系政策制定和治理的能力。可持续性指的是粮食体系不损害能够保障子孙后代粮食安全的经济、社会和环境基础而提供粮食安全和营养的长期能力。24
农业粮食体系韧性聚焦粮食安全与营养的六个维度,但更侧重于稳定的获取手段和可持续性,从而确保短期和长期的粮食安全与营养。农业粮食体系韧性是一个动态的过程,其定义是:
农业粮食体系遭遇困难却仍能以可持续方式确保所有人享有且能够获取充足、安全和营养的食物,并维持农业粮食体系主体生计的长期能力。b
图1展示了农业粮食体系韧性的定义如何支撑粮食安全的六个维度。
能动性是粮食安全的关键内容之一,与食物权等人权密切相关,强调农业粮食体系应具有包容性。正如高专组2020年报告所述,历史上处于弱势的个体和群体,例如女性和小规模农业生产者,在粮食安全和粮食体系方面通常缺乏能动性,并经常遭受高度粮食不安全。24 其权能丧失表现在:收入和性别不平等影响选择权;个体和群体的农业粮食体系决策存在地方性和全球性权力不对等;农业粮食体系治理薄弱和碎片化;以及国家无法保障食物权。坚持能动性,则所有人和群体都能做出选择、表达看法,塑造农业粮食体系及其提供的生计机会。
社会在发展和转型的同时,也转变着周围环境、脆弱性、内在风险以及必须应对的系列压力和冲击。某些冲击和压力的决定因素是超国家或全球性的,但还有很多冲击和压力是由特定地理或地方条件造成的。无论如何,负面影响的风险都取决于冲击和压力的表现形式、与农业粮食体系各要素及主体的相互作用方式,以及对其脆弱性和能力的影响方式。了解以上过程十分必要,唯此才能设计有效的干预方式,管理多种风险,并通过增强预防、预测、消化、适应和转型能力建立农业粮食体系体系韧性。
丰富多样的农业粮食体系有赖于农业和自然生态系统,从生产到消费多个环节相互关联,涉及无数主体。正因如此,冲击或压力一旦作用于某要素,不仅影响该要素主体,还会传导至整个体系上游或下游,最终殃及其他多个(甚至全部)主体和要素。冲击或压力的影响大小取决于事件类型、各要素与整个体系的脆弱性,以及各要素(包括主体个人和群体)韧性,还取决于以上因素相互依赖的程度和方向。例如,当前香蕉枯萎病全球蔓延,对生产和价值链依赖者的生计构成威胁,25 如果香蕉稀缺推高价格还有可能影响家庭营养状况。全面考虑整个农业粮食体系面临的多种风险、体系内部相互作用关系以及与其他体系的潜在相互作用,对于理解和分析体系韧性和应对相关挑战十分关键。22
广义上讲,农业粮食体系可分为三种类型:传统型,大多位于农村和沿海地区,服务当地人口;现代型,重点服务不同来源的城市人口,包括全球市场;以及过渡型,处于从前者向后者过渡的阶段,可能两者兼而有之。26 然而,农业粮食体系分类不应忽略各类型内部的巨大差异。任何国家均同时存在多种农业粮食体系,但这些体系在结构、进入市场和获取服务的方式或与其他体系的相互作用方面可能大相径庭。所有农业粮食体系的关键主体均为生产者、投入品供应商、产后服务提供者,例如存储、运输、食品加工、食品分销和市场营销(批发与零售)服务提供者,以及最终消费者。
农业粮食体系的特点将会决定其面临冲击和压力能否快速预防、预测、消化、适应和转型。传统农业粮食体系通常位于特定区域,容易遭受某些冲击,而地方性农业粮食体系则可能为过渡型或现代型。典型传统体系基础设施不足,缺乏投入品、市场渠道和信贷等服务,更容易受天气条件影响。发生洪灾等冲击时,包括主体在内的整个体系都会受到严重影响,对粮食安全和生计造成短期至长期负面影响。
另一方面,相同事件对现代型和过渡型农业粮食体系的影响方式不尽相同,取决于运营规模大小、主体结构和承包方式、基础设施和处理能力的抗风险水平,以及投入品和气候风险保险等服务的享有情况。随着农业粮食体系之间的相互关联度和依存度提高,也更容易受外部传导而来的冲击影响。现代化促进了农业专业化和集约化,导致世界许多区域作物多样性下降和森林砍伐,多种农业景观和生态系统消失,农业粮食体系的生物基础遭到破坏。
建立农业粮食体系韧性的首要任务是:确定体系的类型及其要素和主体,了解各要素与主体之间的联系和相互作用,并评估决定每个要和主体所面临的多重风险的具体弱点、威胁和能力。
本篇报告中,农业粮食体系要素即为其三种主要功能。其本质、特征以及对生计的影响在国家之间和国家内部存在巨大差别。
初级生产包括农业和非农业来源的粮食,以及用作其他行业投入品的非食用农产品。这里农业指的是所有分部门:种植业、畜牧、放牧、水产养殖、渔业和林业。粮食生产者既包括大规模生产者和商业企业(现代农业粮食体系的典型),也包括小规模生产者和中小型农业粮食企业(SMAE),横跨传统型、过渡型和现代型体系。小规模生产者贡献了全球三分之一左右的粮食产量,为粮食安全与营养作出了重大贡献。27
食品分销通过粮食供应链和国内食品运输网络将生产与消费连接起来。粮食供应链包括食品产后处理、储存、集中、运输、加工、分销和销售中的所有主体和活动,既有采购选择多样(如国际贸易)、现代化且高度一体化的长链条,也有主要服务当地城市、城市周边或农村人口的短链条。同样,国内食品运输网络中,有的基础设施完善,可高效对接(通过贸易等方式)生产者和消费者,有的基础设施和服务则脆弱不堪、易受破坏,造成瓶颈和效率低下。
消费是农业粮食体系正常运行的下游结果,视脆弱群体在人口中所占比例会遭受不同程度的需求冲击(如收入丧失)。比例越高,越难防止粮食安全和营养受到冲击。脆弱家庭包括小规模农民、渔民和牧民,无地农业工人,较贫困人群,以及土著人民等遭受严重不平等待遇和边缘化的群体。农业粮食体系的韧性水平是稳定获取充足食物的决定因素之一。
以上要素的不同特点、风险环境以及固有弱点和能力决定其是否容易遭受各种不利冲击和压力。同一冲击或压力对不同要素有不同影响。例如,农业部门因依赖自然过程,极易遭受气候相关不利事件影响,尤其是干旱、洪涝和风暴。作物生产一半以上的冲击由极端天气事件造成,令人更加担忧耕作体系对气候和气象波动的脆弱性。28 干旱是农业减产的罪魁祸首,82%的影响由农业承受。11 水生系统中,鱼类捕捞、海洋生产力和全球气象之间的联系已经证实。全球气候是渔业生产力波动的重要原因。29、30
即使同一个农业粮食体系要素中的主体,所受影响也可能不同。相比大规模生产者,小规模农业生产者获得资源的机会有限,生计更容易遭受冲击的不利影响。同样,得益于监管、政府计划、保障、融资、保险及其他风险和影响缓解机制,正规市场中的主体比非正规市场主体受影响小。
由于农业粮食体系各要素相互联动,冲击或压力会传导至整个体系,各要素的特点将决定其所受影响。影响家庭消费的冲击就是一个很好的例证。以农业生产者或供应链主体身份存在的家庭严重依赖农业粮食体系,一旦其业务或雇主经受冲击,便会受到负面影响。对于最贫困的群体来说,食品在家庭预算中占比更高,获得信贷和进行储蓄或变卖资产以弥补赤字的能力有限,所以受粮价上涨的影响最大。31 面临冲击时,他们更倾向于选择价格更低营养更少的食品来缩减相应开支,如情况持续恶化,这一群体更易陷入粮食不安全和营养不良状态。
脆弱家庭比例越高,冲击在需求方面的体现(例如某些食品需求下降)就越有可能干扰或破坏农业粮食体系其他要素,最终影响农产品流动,中长期甚至会影响整个体系的结构。正如脆弱家庭受收入冲击的影响最大,农业生产中的小规模生产者和中小企业可能更容易受到这一连锁效应及气候变化等长期压力的影响。其脆弱性往往因资产有限和获得信贷保险的机会有限而加重,从而限制其适应和转型能力。
食品分销网络的多样性和连通性也决定了冲击事件的影响。与供应链存在密切联系的生产者和中小企业货源众多,经营食品多样,容易克服供应短缺,并且经历困难后的恢复速度更快。连通国际贸易是分销网络的策略之一,用来抵御因国内欠收或粮食供应波动造成的农业粮食体系问题。然而这一做法也存在问题:COVID-19封锁措施、港口关闭和出口限制破坏了粮食供应链和国际贸易,从影响可以看出,贸易联系本身也可以成为政策冲击的传导渠道。国内物流和基础设施的发展水平既能阻碍也能推动快速恢复,不容忽视。
农业粮食体系面临不同性质和强度的各类型冲击和压力。其中,技术创新以及要求包容和平等的社会压力等能够产生积极影响。然而,考虑到建立农业粮食体系韧性的主题,本报告侧重于会破坏体系功能的负面冲击和压力。这一侧重点十分关键,决定了预防、预测、消化、适应和转型所需的各项战略和投资。
冲击在短期之内就会产生影响,压力则是缓慢的过程,会逐渐改变农业粮食体系的内在性质,削弱其应变能力,使其更加脆弱。冲击和压力的可预测性也有所不同。压力具有持续性,通常能够观察和预测到(至少理论上如此),但准确度不同。例如,现代高产粮食体系的特点之一,即农业集约化,会影响环境可持续性,最终危及生产成果。32 该过程能够加以观察和衡量,并预测其随时间推移产生的后果,因而能够采取行动预防、适应和转型,进而减少风险和负面影响。另一方面,冲击则是突发性破坏,至多能够根据概率和以往经验进行预测。为减少脆弱性和风险,需要投资风险评估并确定适当措施。
冲击和压力的领域来源多种多样,例如,生物物理和环境领域、人口和社会经济领域、生物领域,以及社会政治和法律领域。生物物理和环境方面的冲击包括恶劣天气以及地震和海啸等地球物理现象,而重大压力则与气候变化及其效应、生物多样性丧失和自然资源退化相关。人口和社会经济方面的冲击包括经济危机,压力则包括社会经济不平等或人口高速增长。COVID-19等大流行病和食品安全问题属于典型的生物冲击,生物压力则包括出现抗微生物药物耐药性或长期存在食品安全问题。社会政治方面的冲击包括国内动乱和人口流离失所等危机或个别国家设立贸易壁垒。社会政治压力的例子包括困境移徙或腐败成风。
冲击和压力能够对农业食品供应或需求或同时对两者造成直接影响。然而,由于可持续农业食品生计是粮食安全的根本所在,冲击或压力对农业食品供应的影响与食品需求息息相关。当农业食品供应者受到负面影响,各主体的收入和购买力将会随之下降,进而影响食品和非食用产品需求。
为制定方案应对农业粮食体系威胁,需要了解对体系形成打击的各种类型的冲击和压力、影响体系的机制及体制的脆弱之处。例如,干旱、出口限制、运输瓶颈和气候变化均能减少食品供应,但作用方式和渠道各不相同,对各国和人民的影响也不同。同一冲击或压力产生的影响可能千差万别,具体取决于农业粮食体系的脆弱性、受影响要素及其预防、预测、消化、适应和转型能力。通过预防性和预先灌溉投资,可以减轻严重干旱等冲击的影响;然而,如果地表水或地下水已经处于过度开采状态,干旱仍有可能造成毁灭性影响。
建立农业粮食体系消化能力作为本报告重点,对风险管理形成补充,并且应该与风险管理,尤其是侧重预测和预防的行动同步推进。建立消化能力之所以重要,与早期行动举措回报率高但成本高昂且通常潜力有限有关,毕竟需要耗费资源才能加大可识别风险的防范行动力度(插文2)。此外,风险管理战略只能降低可预测冲击的暴露风险和脆弱程度,而无法应对时间和严重程度无法预知的冲击,消化能力在后者应对中可发挥关键作用。
粮农组织预先行动方法(AA)与各国政府以及人道主义、发展和科学伙伴合作监测风险信息系统,并将预警转化为预先行动,从而降低灾害影响。事先商定方案(理想情况下由多个主体共同制定),详细描述预警信息、风险监测流程、触发条件、资金来源和决策方式,能为预先行动提供重要支撑。通过分析多级预警信息,确定农业生计和粮食安全面临的最大风险并进行优先排序。然后,如有必要,粮农组织应急和恢复活动特别基金可通过预先行动渠道(SFERA-AA)迅速发放资金。
预先行动十分多样灵活,包括向渔民群体提供现金补助以便在飓风来临前安全放置渔网,大旱之前向牧民提供饲料和兽药,以及在预报洪水发生前为农民提供防水储存设备。可能还包括提供农业投入品和培养技术能力,于潜在粮食危机发生前大幅提高粮食产量。
自2016年起,粮农组织就在非洲、亚洲和拉丁美洲高风险国家执行了预先行动项目,保护脆弱农牧民家庭的生计。干旱、洪涝、社会经济危机(例如COVID-19疫情引发的危机)、跨境动物疫病和作物虫害往往伴随着冲突、流离失所和被迫移徙,一旦发生,脆弱农牧民家庭首当其冲。
插文内表格概述了粮农组织在多个国家开展预先行动干预的影响评估结果。视背景、冲击和目标脆弱家庭的社会经济特点不同,预先行动干预措施在避免灾害影响和其他效益方面取得了相对较高乃至非常高的投资回报。表格及目标国家影响评估的结果表明,即使只有少量资金,精心设计的及时干预措施也能在保护脆弱生计和增强家庭冲击应对能力方面产生十分积极的结果。
然而,评估揭示出,政府和国际机构若将干预措施上升到国家农业粮食体系层面还面临巨大挑战。气候灾害和冲突越来越严重和频繁,说明不同优先事项将争夺有限的资源。在资源有限的情况下,应针对最脆弱群体开展预先行动,尤其是生活极度贫困和面临多重风险的群体,并努力加强农业粮食体系的承受能力。此外,还应将这一方法完全纳入灾害风险管理框架的主流工作,从被动应对到主动防范粮食危机,实现决定性转变。
资料来源:粮农组织。2018,33、34 粮农组织。2019,35-37 粮农组织。2020,38 和粮农组织。2021。39
随着气候相关灾害、动植物疫病和价格突然上涨等负面冲击的频率和强度不断升高,人们日益关注农业粮食体系韧性。Cottrell等(2019)认为造成这一现象的原因是气候变化和自然资源枯竭导致越来越多的冲突加剧。40 近年来,冲突似乎是引发饥饿情况恶化的关键因素之一。41 近东和北非自2012年以来饥饿发生率上升,主要原因就在于冲突和不稳定愈演愈烈。42
气候变化还通过短期冲击(如极端天气事件)和缓发压力(如气温升高、荒漠化、盐碱化和生物多样性丧失)影响农业粮食体系。43 食品安全威胁中,跨境动植物疫病的地理分布、流行率和强度的变化,以及病原体、霉菌毒素、海洋生物毒素和重金属污染模式的变化也与气候变化存在关联。31、44、45 不过,农业粮食体系本身恰恰也是气候变化背后的主要推手之一。建立降低气候相关风险的创新机制、广泛采用气候智慧型生产技术以及保护和恢复自然环境,能够提高农业粮食体系的可持续性和韧性,应对日益加剧的气候变化和极端事件。12
全球化改变了农业粮食体系面临的系列风险。一方面,全球化通过国际贸易解决了国内冲击造成的供应问题;另一方面,起源自远方的不可预测的冲击因全球化更易于传导。例如,2008-09年全球金融危机后,墨西哥2009年经济总量缩水近7%,贫困家庭削减食品开支,重度粮食不安全人数从2008年的980万增至2010年的1220万。46
最近,农业粮食体系受其他体系危机影响的典型案例是COVID-19卫生危机。因政府试图通过实行封锁措施控制病毒传播,国际国内粮食供应链遭到破坏。封锁造成的劳动力短缺、农业投入品进口和分销受阻,以及运输和物流网络问题破坏了粮食供应链,尤其是果蔬等高价值生鲜产品的供应链,引发人们对粮食安全和营养的担忧。47、48
在政府宣布食品为必需行业的支持下,许多粮食供应链展现出非凡的韧性。这一支持在疫情之初也发挥了作用,全球粮食市场供应充足且稳定,多数超市仍摆满商品。各国吸取了2008-09年危机的教训,采取措施降低面对未来粮食短缺的脆弱性。近东和北非多数国家严重依赖粮食进口,采用多种政策鼓励国内粮食生产、增加进口来源和建立国家粮食储备。疫情还催生了许多国家产品市场的变化,例如从依赖出口转向服务国内市场,肯尼亚咖啡行业便是一例。49
Béné等(2021)研究发现,尽管初期恐慌性购买造成问题,但并没有明确证据表明疫情期间食品供应普遍受到影响。50 事实上,疫情期间粮食安全和营养的最大威胁并非食品供应问题,而是家庭的食品获取渠道和经济手段通常严重受限,尤其是城市地区以及低收入和中等收入国家。50 由于封锁和其他限制措施造成收入下降和失业,疫情导致很多家庭的购买力大不如前。多数国家吸纳就业最多的服务业受打击最为沉重,很多脆弱家庭因此陷入贫困和粮食不安全。数百万家庭被迫削减食品开支,很可能降低整体能量摄入和膳食质量。
过去和目前危机的负面影响表明,当前全球农业粮食体系较为脆弱,且并未充分考虑公平、获取、韧性和可持续性等问题。当前体系未能向所有人提供充足和有营养的食物,是生物多样性丧失、土地退化和淡水资源枯竭的元凶,同时严重干扰全球氮磷循环,是造成气候变化的温室气体主要排放来源之一。51 COVID-19疫情也加剧了人们对农业粮食体系中人畜共患病威胁的担忧。52
通过提高包容性、韧性和可持续性,农业粮食体系能够保障食品获取渠道和经济手段。实现方式之一是通过食用和非食用产品的农业生产为全球大约34亿农村人口创造收入和生计。53 韧性是实现可持续性的手段之一,困难时期尤其如此,54、55 因此对于实现可持续性不可或缺。56、57 提高农业粮食体系可持续性的部分挑战在于减少固有脆弱性,并提高能力,管理由多种冲击和压力带来的风险。
新冠疫情引发的全球性危机及其对粮食安全和生计的影响为调查农业粮食体系弱点、风险和无法实现目标成果的原因增添了新的使命感。探讨以上问题将有助于增强农业粮食体系韧性,这也是重建工作和实现可持续发展目标所必不可少的。建立强韧的农业粮食体系指的是提高其面临风险时对特定冲击和压力的预防、预测、消化、适应和转型能力,以及保障特定运行目标,即维持农业粮食体系主体生计和确保所有人粮食安全与营养的能力。
图2以过往讨论为基础,提出了分析农业粮食体系韧性的概念框架。分析围绕三个根本问题展开:对什么有韧性?建设什么韧性?为什么要建设韧性?概括来讲,总体目标是建立农业粮食体系对冲击和压力的韧性,使所有主体和利益相关方(生产者、中介和消费者)均能繁荣发展,同时以可持续方式推动实现粮食和营养安全并从中受益。
如图2第1栏(对什么有韧性?)所示,各种冲击和压力差异巨大且来源各异。其影响的性质和程度不仅取决于冲击和压力本身,还取决于农业粮食体系中每个要素与主体的具体弱点和抵御力以及整体背景(第2栏,背景因素)。这些因素包括影响并决定农业粮食体系活动的气候、环境、社会、经济和政治因素。其他背景因素是与农业粮食体系相关的外部体系和部门(例如能源和卫生)。COVID-19疫情充分展示了粮食和卫生体系的相互作用。另一个是能源部门:能源为粮食种植、加工和分销所必需,而种植作物又是生物燃料能源的原料。此外,事关许多农业生产者生计的非粮农业作物与粮食生产争夺有限资源。强韧且可持续的农业粮食体系需要平衡双重目标,一方面为所有人提供食物和通过非粮生产创造收入,另一方面维护自然资源基础。该框架突出了有助于农业粮食体系运行和取得最终成果的相互作用关系。
冲击和压力对农业粮食体系的影响还取决于其要素的特征。第3栏(建设什么韧性?)展示了一个国家的农业粮食体系,其中农户(见术语表)、生产者和企业依赖生态系统所提供的自然资源基础和服务来生产粮食和非食用产品。然后由农业食品企业进行食品加工、储存,并通过粮食供应链和国内运输网络将食品运输和分销至各个家庭和个体消费者。粮食供应链和国内食品运输网络在连接生产和消费中的关键作用不容小觑。无论国产食品还是进口食品,都必须通过这些渠道才能进入千家万户和到达个体消费者手中。农村地区的农户,即小规模生产者,既是食品消费者也是食品生产者。冲击对农户粮食安全与营养的影响还取决于农户对农业和粮食生产的参与程度(第4章)。
意大利
叙利亚农民在访问罗卡韦拉诺村庄的阿玛尔泰农场期间学习如何制作罗比奥拉奶酪。
为建立农业粮食体系韧性,需要对国家农业粮食体系从生产者到消费者的所有要素采取行动,包括国际贸易。还需要维持或恢复生态系统服务和生物多样性,从而保护农业赖以生存的自然资源基础。
第4栏(为什么要建设韧性?)说明了农业粮食体系韧性的成果或预期目标。农户、生产者和其他粮食供应链主体利用资源、创新和技术优势生产、加工和供应食品。其个人目标是利润最大化、改善生计和降低风险。为了在冲击和压力中存活下来,他们需要具备韧性。各主体需要认识到,身为社会环境体系的一员,必须确保自然资源的可持续管理和利用,造福今世后代。强韧的粮食供应链和国内食品运输网络为确保商品在整个系统内连续、可持续和稳定流动提供必要的公共产品和协调。这是农民和农业食品企业成功的必要条件,使人人都能获取安全和营养食品,从而确保最终消费者即家庭和个人的粮食安全。本报告以家庭为关注点;事实上,如果家庭处于粮食不安全状态,那么覆巢之下无完卵。然而,由于家庭内部分配问题,即使在粮食安全家庭内部,个人仍有可能处于粮食不安全状态,尤其是育龄妇女、少女和幼儿。需要注意家庭内部差异,以便有效确定最脆弱人口。
应重点强调图2分析框架各部分之间关联的复杂性和双向性。直接影响粮食生产或粮食进口的冲击通过前向市场关联传导,最终波及家庭和消费者,使其粮食安全状况恶化。同时,影响食品消费或体系其他部分的外部冲击也能向上作用,影响初级生产者。例如,对其他经济部门生产活动和收入产生负面影响的政策变化可以通过降低食品和非食用产品需求的方式影响农业粮食体系。取消燃料补贴直接影响粮食供应链的能源密集环节,例如加工和运输,从而对初级生产者和消费者进一步造成一系列影响。
拟议概念框架为分析农业粮食体系韧性提出了五个切入点,构成了本篇报告的主体内容:
旨在最大程度改善生计和商业利益的农户、农业生产者和农业食品企业,包括小规模生产者和中小型农业食品企业。农业(种植业、畜牧业、水产养殖业、渔业和林业)将土地和其他自然资源、资本和劳力转化为食品和非食用产品。农业食品企业参与食品加工、制造、包装和分销。
地方至全球层面的粮食供应链,有效性、韧性和能力依赖农业食品市场结构,并受网络基础设施和物流影响。
横跨城乡的国内食品网络。交通基础设施和物流严重影响农业粮食体系内部连通性,而连通性在农业粮食体系应对食品网络冲击的过程中发挥着关键作用。
家庭,包括家庭中的个人,代表着食品最终需求水平。本文分析侧重于脆弱农村家庭的粮食安全与营养,以及各种因素对实现粮食安全与营养(包括教育和卫生等基本服务)所起的作用。
国家农业粮食体系,是所有次级体系(经济、社会和环境体系)的总和,包括关系到粮食安全与营养并影响环境的所有主体、网络和粮食供应链。农业粮食体系涵盖气候和环境条件,宏观经济因素、体制、政策和法规,以及国际贸易在供需平衡中发挥的作用。
根据图2提出的框架,农业粮食体系某一节点发生的冲击可以通过体系传导并影响其他所有环节。为应对冲击,农业粮食体系所有主体都需要采取措施抵御影响和进行适应。粮食供应链的出路之一是通过扩大国际贸易实现食品来源多样化。农业粮食体系与全球和区域市场高度连通的国家可以通过国际贸易采购所需物资,因而应对国内冲击的困难不大。然而,该国遭受外部冲击的风险也更高,尤其是贸易限制等政策引发的冲击,所以面临承担更多内部冲击还是外部冲击风险的抉择。这一取舍也抛出了一个重要问题,即如何管理不同来源的多种风险。如果高度依赖粮食进口,管理国际贸易连通性就是降低外部冲击风险的关键。国家可以通过多样化进口以及社会经济和气候条件各异的国际贸易伙伴来平衡国内食品来源,从而管理不同来源的多种风险。
多样化是低收入国家农户常用的韧性策略。在缺乏完善的作物和家畜保险及信贷市场的情况下,作物多样化和农牧结合有助于减轻与气候变化和市场波动相关的风险。此外,农户还从事非农经济来应对农业收入的季节性和农业产出面临的冲击。农场之外,从事非正规经济的家庭也寻求多种生计和收入来源,以此应对非正规就业的不确定性。因此,多样化能够成为建立韧性的有力手段,在发生冲击时发挥巨大优势。
然而,多样化也存在缺陷:它忽视了有助家庭积累经验的专业化。这就意味着以多样化建立韧性与效率二者只能择其一。不久之前,人们一直倾向于以放弃多样化为代价,换取专业化带来的高效。58、59 然而,越来越多的证据表明,通过专业化提升效率需要稳定的条件。当今世界面临的意外冲击与日俱增,除长期压力之外,发生冲击时专业化实际上可能会降低效率。效率与韧性的取舍不必长期纠结,因为建立韧性虽然短期内会降低效率,但长远看则会提升效率。
这样一来,问题就变成:需要实行什么类型和水平的多样化以最大限度谋求增加多样性的优势?为通过多样化促进效率和韧性协同增效,可将以下内容作为策略指导原则:针对特定挑战制定多种对策,拒绝形式上的多样化。59 农业资源短缺国家(例如近东和北非的多数国家)潜力有限,难以通过扩大农业生产规模和生产多样化满足粮食需求。由于土地和水资源有限,这些国家需要专注于本国具有相对优势的产品,并参与国际贸易采购其他产品,从而实现效率最大化。这意味着本地产量不足的必需食品将更加依赖进口。为降低高度依赖进口的风险,可以从气候条件不同的国家和区域寻找多个进口渠道,同时建立粮食储备,应对危机时期供应的不确定性。
建立韧性的另一有效策略是丰余备份,也就是在体系中复制关键要素或功能,从而提高可靠性。多个主体承担同一功能可以加强农业粮食体系的冲击承受能力。然而,农业粮食体系丰余会给社会造成较高代价,资源有限时尤其具有挑战性。体系某一要素丰余偏多会削弱另一要素的韧性。例如,如果出现新的冲击,食品进口或另辟区域增加商业性食品生产的做法可能会使小规模农业生产者承受不可持续的竞争。
虽然普遍认为丰余备份和多样化能够提升韧性,但在效率甚至公平方面会存在权衡取舍。丰余备份和多样化的最优水平及其适用环节很大程度上仍然取决于具体情况,并需要了解多种风险、潜在影响及替代方案。通过农牧结合实行多样化能够将作物秸秆用作牛饲料,并用牲畜粪便维持土壤健康,从而实现韧性和效率协同增效。与此同时,高效的作物和家畜保险体系能够鼓励生产者根据提高生产力(例如轮作)而非削减风险的需求实行农牧多样化和农牧结合。最终选择取决于效率损失的成本与增强韧性的效益之间的平衡。为实现成本最小化、效益最大化并减少损伤和损失,需要确定最佳组合,既能协同增效,又能平衡取舍,使得丰余和多样化不会以损害专业化效益为代价来提高长期效率。思考可持续性问题固然能提供指导,但由于未来挑战、压力和连锁危机存在巨大不确定性,实践起来仍会颇具挑战。
本章论述了提高农业粮食体系韧性以确保今世后代所有人粮食安全和营养的紧迫性,强调了韧性与可持续性(社会、经济和环境维度)的密切关系。在经济和社会维度方面,需特别注意小规模生产者及以农业食品为生的其他脆弱人群的体面生计和收入。本章还突出了农业粮食体系的复杂性和多样性,以及农业粮食体系经受的多种压力和冲击。由于以上多种因素,建立更加强韧的农业粮食体系绝非易事,需要众多公共、私营和群体性主体立即行动且通力合作。为此,本章介绍了理解风险的概念框架、农业粮食体系的弱点与能力(重点为消化能力)以及分析农业粮食体系韧性的五个切入点,即:农户、农业生产者和农业食品企业,粮食供应链,国内食品网络,家庭,以及国家农业粮食体系。
此后四章的讨论均围绕以上切入点展开。第2章通过四个指标考察农业粮食体系的消化能力,分别衡量初级生产的稳健性、食品供应情况、食品获取渠道和食品获取的经济手段。第3章重点关注个别粮食供应链和农业食品企业的韧性。第4章以最弱势群体为重点讨论了农村生计的韧性。最后一章即第5章以前文分析为基础,讨论了在多个层面建设强韧的农业粮食体系的政策和投资重点。
本篇报告响应了联合国粮食体系峰会号召,即采取一系列具体行动,支持农业粮食体系转型,推动实现《2030年可持续发展议程》。峰会行动号召侧重于五个目标,其中之一是建立应对脆弱性、冲击和压力的韧性,确保健康和可持续粮食体系持续运行。本报告提供行动证据和指导,有助于农业粮食体系主体对易受冲击和压力的薄弱之处进行管理,并可提升农业粮食体系在困难中支持生计及以可持续方式为所有人提供充足、安全和营养食物的能力。
本章以第1章概念框架为基础,以国家指标为代表评估农业粮食体系面对冲击和压力的脆弱性。本章分析了五种主要抵御力之一,即农业粮食体系通过多种途径维护粮食安全和维持体系主体生计,进而消化各类干扰因素(如自然灾害、虫害和金融冲击等)的能力。途径探讨有利于了解如何提高农业粮食体系韧性。消化能力不可或缺,能够维持农业粮食体系功能,确保食品供应和获取并创造收入。
分析考虑了农业粮食体系的四个关键内容:(i) 初级生产的稳健性;(ii) 食品供应;(iii) 食品获取渠道;(iv) 食品获取的经济手段。以上关系到粮食安全、营养和可持续生计。农业粮食体系韧性取决于多种因素,其中部分因素(例如社会和环境因素)不在以上指标之列。本章考虑对象为系统层面韧性,因此不讨论个体消化能力。
评估国家农业粮食体系韧性十分具有挑战性,原因在于每个体系从生产到消费各层面相互关联(包括国际贸易),且要素和主体繁多。某些要素和主体相较之下更为强韧,某些冲击和压力为一个或多个要素或主体所特有。韧性评估需考虑所涉及的全部主体和层面。首先要理解各层面如何运行,并确定脆弱之处。采用参与式和包容性流程有助于调动体系主体以更加协调一致的方式应对冲击和压力。1
农业粮食体系虽然在结构、市场准入和服务获取方式上千差万别,但重要主体无一例外都是农业生产者、加工商、分销商和消费者。根据图2概念框架,国家农业粮食体系韧性这一功能的要素包括:
国内现有农业生产体系;
通过国产、储备和进口实现的消费者食物供应量;
粮食运输体系促进国内贸易并提供粮食获取渠道的效率和灵活性;以及
人民获取食物的经济手段。
冲击或压力对粮食安全和各主体(尤其是最为脆弱的主体)生计有着牵一发而动全身的影响。冲击还能通过贸易渠道、金融市场、汇款等方式传导。2008-09年金融危机和COVID-19疫情早期等大规模冲击期间,出口限制影响了粮食供给。2-4 国际贸易伙伴多元化对缓解外部冲击至关重要,需要考虑影响贸易伙伴选择的多项因素,例如价格、远近和全球经济融入程度。贸易伙伴多元化要平衡好提高韧性的成本和效益。
国内市场、库存和出口用粮的生产多样性管理对于粮食安全、营养和健康同样必不可少,能够为农业粮食体系创造条件,在遭遇虫害或COVID-19疫情期间需求急剧变化等冲击时维持食品供应。出口对创造生计十分重要,反映一国农业实力,可充分利用这一资源抵御供需冲击。
农忙时节,农业生产者需要根据天气、价格、物流、病虫害和其他因素等方面的不确定性作出决定。其韧性取决于能否就农业或收入多样化策略等作出正确决策,也取决于自然资源基础、信贷难度、市场和基础设施以及生产实践可行性等背景因素。
将以上特征综合为一个国家指标绝非易事。简而言之,一国初级生产部门的冲击承受能力很大程度上取决于两个因素:(i)生产商品的多样性;(ii)产品市场上贸易伙伴及国内需求的多样性。这两个因素构成了初级生产柔性指数(PPFI)的基础,该指数为本篇报告专门制定,用于衡量商品多样化程度以及面向国内或出口市场进行生产的潜力。指数数值高表明,可以通过多种途径创造农业价值并为初级生产寻找最终渠道(即需求来源多),因此消化冲击的能力也更强。插文3描述了初级生产柔性指数的基本计算方法。
初级生产柔性指数(PPFI)利用粮农组织浩繁的生产和贸易数据研究农业产值创造途径,并寻找初级生产的产品流向。生产部门的农产品生产选择和销售渠道越多,对于影响群体、区域或整个国家可预测风险的消化能力就越强。可预测风险包含会减少供应量的虫害、洪灾和干旱,以及影响国内和出口市场的需求冲击。初级生产部门提高消化能力的主要方式是产品和收入多元化,以及在遇到需求冲击时出口转内销或反向操作。出口转内销的实例之一是咖啡。除巴西和埃塞俄比亚之外,很多咖啡主产国国内需求有限,一般将咖啡出口。COVID-19疫情期间,港口拥堵和全球需求骤降重创咖啡出口,但肯尼亚等国国内咖啡消费攀升,帮助生产者安然度过危机。5 生产者在生产(生态农业区和气候)和市场(物流、认证和体制)方面享有一定自由度的国家农业粮食体系更加强韧,能够维持生产。
本插文以树形图介绍了潜在途径。农产品价值单位首先通过国内或出口渠道卖出(一级分支),然后按产品门类和进口国(如出口)分销。国内销售形式为成品或产品加工的中间投入品。该指标并不对加工产品流向国内消费还是出口进行跟踪。渠道越多,需求冲击就越容易承受,除非所有国内和出口渠道同时受影响,或某一特定产品遭遇冲击。初级生产柔性指数的详细介绍见附件1。
由于生产者出厂价格数据有限,该指标无法用价值计算,而是以蛋白质含量代替,原因是价值和蛋白质含量在具备价格数据的国家呈现高度相关性。这表示,无法转化为营养成分的非食用初级产品(如木材)虽然在创造收入和生计中发挥重要作用,但却未被纳入指数。
初级生产柔性指数解读 — PPFI反映生产结构对于消化某特定产品生产冲击或需求冲击产生的促进或阻碍作用。数值小说明消化能力弱,数值大说明消化能力强。PPFI总值可进一步分解为三个部分:(i)出口内销平衡的贡献率(图中灰色分支);(ii)国内需求多样性(红色分支);(iii)出口需求多样性(橙色分支)。
对于生产者来说,如果生产出的农产品全部进入国内市场不能出口,PPFI值就等于国内需求的贡献率(图中红色部分)。出口增添了两种类型的生产者柔性:国内需求和出口需求相对平衡(图中灰色部分);以及出口产品和贸易伙伴多元化(图中橙色部分)。
三类多元化的整体数值越高,初级生产部门的冲击消化能力就越强。全球商品价格下跌波及出口商时,PPFI数值大表明国内市场广阔,可将产品改销国内。例如,由于COVID-19疫情,部分中国出口商转向国内市场销售产品。6 同理,当国内需求也遭遇冲击时,生产者拥有出口渠道便能再次抵挡冲击。研究多元化程度(即初级生产柔性指数的影响因素)也有助于发现系统消化能力中的具体弱点。例如,如果大量出口,但出口商品、国际贸易伙伴和初级部门出口产品不够多元化,那么在主要出口商品生产侧或需求侧遭受冲击等情况下,初级部门将深受其害。
注意 — 初级生产柔性指数是系统性衡量农业生产者受冲击方式的手段,但并不表示个体生产者有能力转换生产方式或市场。初级生产柔性指数并未区分销售产品流向加工商(中间需求)还是消费者(最终需求)。由于生产者向加工商销售的初级产品按国内销售登记,因此若不加区分,指数就无法反映加工产品出口的多元化程度。同样,该指数也不区分初级产品出售类别为食品、饲料还是生物燃料,尽管三者之间可能存在激烈竞争。因此,PPFI指数还需要关于中游环节韧性的信息(见附件1)。初级生产者资源(信贷、信息、技术、土地和水资源等)获取渠道不平等相关信息十分重要,因其决定了在不同生产结构和市场之间进行转换的能力。
贸易伙伴和商品多元化需要付出一定代价。生产者根据投入和产出价格及资源局限作出决定,这会影响一国农产品出口的比较优势。国家需要克服贸易壁垒,例如基础设施有限或满足植物检疫措施,并根据与他国的过往关系或政治倾向进行决策。开放性贸易避免因出口限制加剧市场波动,以及限制产品补贴,都是提高生产柔性的良好做法。
图3计算了所有作物和畜产品2016-18年的蛋白质含量均值(因生产者价格数据较少以蛋白质含量代替价值),展示了初级生产柔性指数的三个组成部分。横轴反映出口以及贸易伙伴和商品多元化的贡献率,纵轴反映内需导向型生产的多样性。气泡大小表示两者平衡度的贡献率大小。斜线表示出口和国内市场的总体多元化程度,分布在同一条线上的国家多元化水平相同。
结果表明,各国可通过多种方案实现生产多样化,并在国内和国际市场销售农产品。方案背后是一系列国情因素。首先,一国在农产品生产和出口方面是否具备比较优势取决于资源禀赋、基础设施、投入品成本和有利营商环境。其次,在开放国际贸易的前提下,生产者不受进口国限制或贸易壁垒影响,出口难度低。再次,挂钩国内市场的国内需求大小一定程度上决定了出口的重要性。例如,中国、印度和尼日利亚的出口对多样化水平的贡献率较低(图3蓝色椭圆),某种程度上由农业基础雄厚和国内需求多样造成。但这种情况也更容易受国内经济衰退打击,从标示国内市场依赖度的橙色小气泡可以看出。
PPFI数值最高的部分国家为奉行开放贸易政策的高收入国家,例如澳大利亚或欧盟等大型贸易集团成员(见图3绿色椭圆),其国内市场和出口市场均较为多元。然而,贸易开放性和比较优势并非提高生产柔性的充分条件。阿根廷和巴西70%以上的蛋白质价值来自两种商品:大豆和玉米。专门生产国内需求有限的少数出口商品会增加国际冲击的破坏性,例如因其他出口国供给过剩而价格急剧下跌。
80%以上国家的初级生产柔性指数主要由国内市场多样性决定。PPFI值较低的国家尤其如此,多数为低收入国家,对外贸易很少,大部分产品用于当地消费(图3紫色椭圆)。7 因此,初级生产部门特别容易受国内收入冲击影响,c 即使孟加拉和印度尼西亚这样国内需求旺盛但商品多样性不如中国和印度等国的人口大国也同样如此。日本和挪威等高收入国家的农业部门受到保护且农业比较优势有限,出口和内销市场多元化程度双低,表明生产柔性较低。尽管出口十分重要,但贸易伙伴数量少也有可能造成PPFI低值。例如巴西,其出口价值的60%来自同一个贸易伙伴。对于依赖少数重要贸易伙伴的国家而言,一旦某个伙伴国家遭受冲击,其退路将所剩无几。
拉脱维亚或斯洛文尼亚等小国尽管农业规模较小,PPFI值却几乎能够比肩加拿大或法国等农业实力远强于其的国家,甚至出口多元化程度也不差。这突出表明,该指数的衡量对象并非规模大小,而是初级部门通过国内生产和销售多元化获得的消化能力强弱。
以上结论有利于政策制定者确定在生产和贸易中有哪些要素能够提高国家初级部门的消化能力,又有哪些因素会加剧脆弱性。然而,由于不掌握全部产品的生产者价格信息且无法换算成营养物质,分析并未涵盖非食用初级产品(例如烟草和羊毛)。因此,虽然非食用初级产品能为初级生产者生计创造重要经济价值,但初级部门消化能力并未体现其贡献。插文4探讨了这一问题,将食品和非食用初级产品价格信息较为充分的某些国家按价值和蛋白质含量进行PPFI对比。从插文4可以看出,按价值计算的PPFI值通常偏高一些,原因是增加了非食用产品这一初级生产者价值创造新路径。分析中并未区分产品出售用途是食品、饲料还是生物燃料。因种植作物用作饲料或生物燃料会减少粮食产量,未来分析应考虑加以区分。8 以上结果表明,有必要获取更多更高质量的数据,并完善分析、拓展范围,更加深入地理解这些问题。
COVID-19疫情和曾经影响农业粮食体系的其他重大危机期间,及时获取可靠的粮食价格信息对于监测粮食安全状况十分重要,此外还能为旨在建立农业粮食体系韧性的政策提供重要支撑。粮食价格信息还为人道主义援助决策提供支持,尤其是针对易受粮食不安全和营养不良影响的低收入国家和区域的援助。很遗憾,往往缺少及时准确数据的正是这些地区。正因如此,考虑到蛋白质含量和价值高度相关,初级生产柔性指数按蛋白质含量计算。以蛋白质含量取代价值遮蔽了农业粮食体系的一个重要组成部分,即非食用初级产品,例如某些类型的饲料和生物燃料、薪柴、纤维、生皮和建筑材料。
非食用农业部门是初级生产者的重要生计来源。正因如此,本插文中的图表将具备食品和非食用产品价格数据的国家按价值计算(左)和按蛋白质含量计算(右)的PPFI对照展示,涉及产品在粮食生产中占比70%以上。按价值计算的初级生产柔性普遍更高,乌拉圭例外,两个数值基本相同。出现这个结果是因为按价值计算的指数中包含了烟草和羊毛等非食用产品,且某些高价值食品的蛋白质含量较低。此外,在几乎所有国家中,国内需求在按价值计算的指数数值中贡献率也更高。
总而言之,PPFI的结果表明,初级农业产品多样且国内国际市场多元时对困难的消化能力更强。多见于高收入国家或农业强国。
种植业、畜牧业、林业、渔业和水产养殖业物种多样性对生产力、稳定性和生态系统服务有促进作用。9-11 其中水产养殖是全球养殖物种、方法和环境最为多样的养殖方式之一。研究结果表明,未来全球养殖物种数量将在428上下波动,其中29种主要物种和116种重要物种将贡献99%的年养殖产量。12 水产养殖物种多样化关系到该部门在条件变化中维持食品生产的长期表现和生存能力。事实上,物种多样的国家通常更高产,中国等亚洲国家的养殖物种最多。13
正如多样性有助确保农业生产的困难承受能力,食品供应多样也能提高消费者韧性,提供健康所必需的营养成分。除了生产更多粮食满足数量和财富不断上升的人口日益增长的需求,农业粮食体系还必须提供多种多样且营养价值较高的食物。7、14 有证据表明,国家食品供给多样性正在逐渐下降,15 且下降趋势可能随农场规模扩大而愈演愈烈,14 引发人们对全球营养多样性的担忧。作物多样性、景观多功能性和生态系统调节服务减少表明,农业粮食体系专业化和集约化导致农业景观丧失韧性,因此应维护食物供给多样性。16
如PPFI结果所示,大多数低收入国家通常国际贸易有限,消费多元化意味着国内需要生产多种农产品。因此,生产多样化对于确保粮食安全和营养举足轻重。相反,专门生产少数产品的国家可从多个贸易伙伴处进口多种食品来增加食物供给。这对因气候因素或土地或水资源限制难以实现多样化的小岛屿发展中国家(SIDS)和内陆发展中国家(LLDC)等农业基础薄弱国家尤为重要。农业基础雄厚的国家将多样化国内生产和国际贸易相结合,更容易实现食物多样性;生产多样性和供给多样性之间并无密切联系。
国际贸易是缓解冲击和压力并增加食物供给多样性的多种策略之一,有助于各国维护粮食安全并克服增产局限。17、18 贸易能够减少对水资源等自然资源的压力,17、18 保持较低价格水平3 并常年提供时令产品。4 农业粮食体系间的互联互通和相互依赖因为贸易而不断加深。1992-2009年数据表明,全球小麦和大米贸易关系翻了一番,与此同时,小麦和大米贸易量分别增加了42%和90%。19 鱼类和渔产品属于贸易量最高的产品行列。2018年,全球贸易量为6700万吨,相当于渔业和水产养殖业总产量的38%。20 然而,国际贸易在帮助抵御国内冲击的同时却增加了外部冲击风险,其本身就可以成为冲击传导渠道。19、21、22
韧性研究一般重点关注贸易等冲击的应对措施,而不考虑预防、预测、消化冲击和系统调整转型等抵御能力。政策制定者的决策环境充斥着多重风险,下一个难题可能来自国内。粮农组织以Kummu等(2020)17 的研究为基础,为本报告制定了膳食采购柔性指数(DSFI),用来评估多样化在确保一国人口享有健康膳食所需食物的国内生产、库存和进口中的作用。该指数根据国内生产、食物进口以及公共和私人库存情况列出了单位食物(以千卡等营养单位计)的多种采购途径。数值高表明单位食物有多个潜在采购渠道(即资源丰余)。因此,膳食采购柔性指数的衡量对象是特定单位食物的采购灵活性。食物采购来源多的国家农业粮食体系更为灵活,消化供给冲击的能力也更强。指数详细描述见插文5,完整方法见附件1。为充分反映单位食物到达消费者手中的多种途径,指数将着眼点从国内农业拓展至进口和粮食库存,弥补了初级生产柔性指数的不足。简而言之,DSFI旨在衡量农业粮食体系的冲击消化能力和确保消费者食物供应的能力,初级生产柔性指数则以确保初级生产者生计为侧重点。
膳食采购柔性指数(DSFI)使用粮农组织食物平衡表和贸易数据,并辅之以外部库存数据,呈现消费者获得单位食品的途径。假设食品供应量与国内食品产量、往年库存量或进口量所占份额以及食品多样性之间存在关联。有食品获取来源丰富的农业粮食体系对供给冲击的消化能力更强。
以下树形图展示了单位食品(以千卡计)到达消费者手中的三种途径:(i)国产食品;(ii)进口食品;(iii)上年结余储备(进口或国产,公共和私人所有)。
由于库存和生产位于国内,政策制定者可以由此更直接调控粮食自给率,图中分别在以“库存”(以千卡为单位)和国内可供“千卡”分支下表示。后者按目的地(本地市场或出口)进一步细分,最后按产出产品分类。如果出现供给冲击,可以通过价格信号或政策干预(如迫不得已)让生产者将出口转为内销来确保食品供应。“进口”(以千卡计)位于图右侧,同样细分为贸易伙伴和进口多元化程度。进口与国产或库存之间的平衡度衡量的是贸易在食品供给和采购多元化中的作用。即使一国生产量和进口量相对平衡,如果进口来源仅有少数贸易伙伴且粮食储备有限,在国内市场投放余粮的能力也会受限,从而仍有可能比较脆弱。在冲击到来之前增加缓冲库存或实现国际贸易伙伴多元化可提高消化能力,有助于政策制定者在粮食体系对各种供给冲击的消化能力中发现短板。
膳食采购柔性指数按时间点简要展示各种途径。随着时间推移,各因素会相互转化(例如,进口产品在第二年成为库存,库存也可以成为出口产品)。
膳食采购柔性指数解读 — DSFI通过研究单位食品的多种采购途径衡量采购丰余情况,十分有利于理解生产、贸易和库存如何帮助农业粮食体系消化供给冲击。树形图显示出农业粮食体系为何需要灵活采购方式。对于消费者家庭来说,经济专制体制下的DFSI值等同于生产多样性对国内市场的贡献率(图中深绿部分)。如果存在出口,这一部分节余在危机时期就能转销国内市场,体系也将更为灵活。加入出口商品后(图内浅绿部分),采购和出口商品多元化程度会提高DSFI值。缓冲库存和进口产品会提升粮食体系灵活性。初级生产柔性指数(插文3)相同情况下,膳食采购柔性指数值越高,消化能力就越强。
注意 — 解读膳食采购柔性指数应结合国家及贸易伙伴的面积和发展水平信息,这些情况关系到农业粮食体系的脆弱程度。洪水等冲击将对小国的农业粮食体系产生全局性影响,但对农业气候多样的大国影响相对较小。国家发展水平同样至关重要,基础设施的完备程度和丰余安排对消化冲击必不可少。
图4根据粮农组织统计数据库最新发布的食物平衡表和贸易数据,以千卡为单位列出了所有作物、鱼类和畜产品2016-18年的膳食采购柔性指数均值。为提供健康饮食,各国还需要采购其他多种营养成分。23 报告拓宽了分析范围,纳入另外三种营养成分:果蔬、脂肪和蛋白质,参见附件2。其他营养物质,例如维生素和铁,同为健康膳食必需,但粮农组织食物平衡表缺乏相关数据。
除营养成分外,膳食采购柔性性指数还可细分为贡献食品来源多样性的不同要素:国产、进口和库存。图4的气泡图以千卡为单位展示了DSFI的三个价值维度:横轴为进口以及各贸易伙伴多种商品进口多元化程度的贡献率,纵轴为国产商品贡献率,气泡大小代表估算库存的贡献率。d 必须指出,进口多样性(横轴)中还包含进口和国内供应的平衡度。平衡度代表国家对一系列国产和进口产品的依赖度。同样,国内生产多样性也纳入了出口与内需导向型生产之间的平衡度,代表国家农业实力和过剩生产能力。
从图4可以明确看出两个结果:第一,各国以不同方式实现食物来源多元化;第二,多元化效果与国家大小或收入水平无关。图中同一条斜线上的国家进口和生产的多样性水平总和相同,但收入水平不同,说明了第二点内容。
农业实力可观且更依赖国内生产的国家(例如印度、尼日利亚、俄罗斯联邦和美国)与倚重进口实现多样化的国家(例如土耳其、塞内加尔和突尼斯)DSFI值接近。鉴于进口选择多元,一些进口依赖型国家在贸易伙伴和商品方面多元化程度较高,通过多个贸易伙伴和商品分摊供给冲击,DSFI值属于最高行列(例如日本、约旦、挪威、大韩民国和阿拉伯联合酋长国)。除法国和波兰之外,商品跨境自由流动的欧盟国家往往通过进口实现显著多元化,特别是比利时与荷兰。
虽然可靠一致的库存数据十分少见,但结果表明,对于DSFI值较低的国家(中部斜线下方)来说库存往往更加重要,因其更依赖国内生产且进口多元化程度相对较低。如初级生产柔性指数结果所示,撒哈拉以南非洲国家等低收入国家进口多元化程度最低(DSFI与PPFI方法和结果对比见插文6),部分原因是小米、高粱和福尼奥小米等部分主粮贸易量有限。这些国家粮食体系灵活性的主要驱动因素是内需导向型生产。因此,发生冲击时政策制定者受到限制,或凭借生产多样性管理,或依赖现有库存承受冲击。
PPFI和DSFI在很多方面存在差异。DSFI反映单位食品到达消费者手中的多种途径,衡量一国农业粮食体系在确保食品供应的同时消化冲击的能力。PPFI反映农业生产者创造价值的潜在途径,衡量国内农业消化冲击并为初级生产者创造生计的能力。(如具备相应数据,PPFI也能反映棉花、烟草和木材等非食用初级产品对初级部门冲击消化能力的潜在贡献 — 见插文4。)
除本国生产多样性之外,DSFI的研究对象还包括国产与进口结构、贸易伙伴和进口产品多样性以及库存多样性(危机中可发挥缓冲作用)。另一区别在于,DSFI以多个营养单位(例如千卡、蛋白质含量、脂肪含量)为基础,PPFI则以价值(数量乘以单价)为依据,缺少价格数据时以蛋白质含量为依据。
初级生产柔性指数与膳食采购柔性指数的重叠部分是生产多样性。虽然两者原理相同,但仍存在显著差异。首先,PPFI不仅反映出口多样性,还反映进口国多样性。其次,由于PPFI关注农业产值,其研究对象是农作物和初级畜产品,而不包含任何加工产品(例如小麦粉),DSFI则是加工产品和未加工产品两者均涵盖。即使原材料为进口,DSFI仍将农畜加工产品视为该国生产的产品。出于以上原因,DSFI中的生产多样性比例和PPFI总值并不相同。
应该注意,两个指标均未关注农业粮食体系的中游环节。例如,两者没有说明初级生产者的出售对象是消费者还是加工商,加工食品用于内销还是出口。加深对粮食供应链中间环节的了解十分重要,因为体系强韧程度由其短板决定。为更全面了解农业粮食体系韧性,还需要衡量中游环节主体的选择灵活度。研究方向包括:国产和进口初级投入品的获取方式,加工食品多样化水平,以及加工食品用作内销还是出口。中游柔性指数(MFI)可以综合以上三个部分,从初级投入品采购(国内或进口)、生产产品类型和市场销路方面衡量加工部门多样性。在国家粮食体系中,若加工商拥有较高的食品生产自由度,可以选择面向本国或出口市场,且能从多种来源获得投入品,则该体系也会因此变得更加强韧,且能够保持食品加工的生产能力。
报告为该指标提出了理论基础,但由于所需数据不易获取并没有进行计算。增强数据收集和测量能力将是完成本报告系列指标工作的重中之重。中游柔性指数的详细计算方式和数据需求见附件1。
同时具备国产和进口食品对最大程度降低风险十分重要,尤其是小国。对于因自然资源稀缺而严重依赖进口的近东国家以及小岛屿发展中国家和内陆发展中国家等国,在投资国内库存的同时,进口和国际贸易伙伴必须多元化。
水果和蔬菜是健康膳食的重要组成部分,不同于卡路里,其DSFI与国家收入存在明显关联,原因是生鲜运输和储存具有局限性。欧洲、北美和波斯湾的高收入国家DSFI值明显较高,仅有部分例外(见附件2)。在千卡路里DSFI值高于果蔬DSFI值的国家,例如中国、埃塞俄比亚和乌干达,主粮冲击的消化能力可能强于果蔬冲击。
农业粮食体系的稳健性取决于一系列因素。保障食品生产、供应和食品获取的经济手段将在一定程度上保障农业粮食体系韧性。国内物流在确保食品获取渠道和生产非食用农业产出方面也发挥根本性作用。农业粮食体系由横跨城乡的网络支撑,其冲击应对方式取决于网络内部连通性。地区性气候异常和欠收时,粮食供应链可以依靠国内其他地区出产的同类或替代产品,或将进口与国内采购相结合,确保仍能以可负担价格供应食品。以上替代途径有助于确保粮食供应链维持核心功能。木材等非食用农产品的运输网络良好运转能够降低生产、劳力、原料和能源成本,进而提高利润空间,并为非食用农产品生产者创造收入。
本节分析了2017年90个国家的食品运输网络韧性,这些国家人口合计为70亿,占全球人口的92%。在这些数据的基础上计算三个国家层面指标,反映全球运输网络的脆弱性(方法见插文7)。由于缺少数据,分析仅限于作物(不含油料作物),不含非食用产品等其他农产品的运输。也就是说,分析仅限于农业粮食体系中的食物,更具体来说是农作物。某些纳入考虑范围的食用产品可能用于农工业加工、饲料或生物燃料,而不是供消费者食用,分析并未区分用途。
为呈现食品运输网络全貌,城市和运输方式(公路、铁路、水路和港口)均被列入了分析范畴。分析作物的选择考虑了营养充足膳食所需的数量、多样性和营养价值。入选作物占全球食物供给量的66%、热量的60%和蛋白质的58%。因数据限制,饮料、动物产品和油料作物不包括在内。
运输网络韧性分析中,按空间展示生产和需求,并将产量和人口的空间数据与以下表格数据相结合:(i)食物产量,按各国国内产区分列;(ii)食物供给量,根据人口分布情况分列,人均供给量因产品而异,但各类产品的国内人均供给值保持不变;(iii)进出口量,根据最有可能的运输方式(港口或陆路边境口岸)按贸易地点分列。
插文图表显示了多民族玻利维亚国、埃塞俄比亚和英国三个国家的国内食品分销网络。最上层为运输网络,城市以红色表示,贸易枢纽以蓝色表示。中层为各国主要作物(分别为水果、豆类和小麦)总产量,将上层的城市和贸易枢纽对应产量叠加得出。底层是这些作物的最终供给图。几张地图共同展示出食品运输网络连接生产与消费的方式。深色表示高产量(中层,绿色)或高需求(底层,蓝色)。将城市中心及周边农村地区图与运输网络图叠加可以拓扑形式表现内部农业粮食体系流通网络。
根据以上内容,导致粮食体系运输网络中断的结构性弱点可以通过三个国家层面指标反映:
距离远近韧性指标衔接食物生产与供给,研究粮食体系的困难应对方式。本地生产食物不需要长途运输,因此粮食系统面对运输网络冲击的脆弱性也较低。
路线丰余指标计算的是存在替代路线的路段运输吨位所占比例,研究路线丰余情况。大多数国家几乎每个路段都有替代路线,但也有例外。
相对绕行成本指标计算因出发地和目的地间关键路段关闭而延长的行驶时间,由此研究整个体系对于重要运输路段因冲击或压力(例如洪水或政治动荡)关闭的敏感度。
图5第一个纵轴是43个国家的距离远近韧性指标,国家收入以颜色表示。横轴表示食品平均运输时间。距离远近韧性水平(纵轴)为1表示产量能够满足服务区域需求,意味着服务区域如有必要完全能够退回到自给自足的城市-区域农业粮食体系。然而,考虑到运输网络整体崩溃的可能性微乎其微,没有一个国家达到这一极值。各国存在巨大差异,通常平均运输时间越短(横轴)的国家距离远近韧性越高(纵轴)。
这并不意外,因为运输时间短意味着食品运送目的地接近产地。法国、大韩民国和土耳其即属于这种情况。另一个极端是分销网络更为庞大的大国,例如澳大利亚、巴西和加拿大。但中国和尼日利亚等大国的食品生产和分销更适应短距离供应链,运输成本上升时易于调整。此外,距离远近韧性似乎与国家收入毫不相干。以上结果还能反映出可持续性问题,因为运输网络短意味着不仅能降低运输成本和网络维护成本,还可以降低能耗和污染等环境成本。图5显示了运输网络本地化的灵活性,但没有考虑运输不畅的可能性、发生路段和对生产者与供应商的影响。
第二个指标即路线丰余性,关注道路路段破坏后是否有其他路线。第三个指标即相对绕行成本指标,关注路线中断对关键路段的影响。为估算绕行成本,需确定路线中断前后的最短路线和行驶时间差,得出封闭关键路段的新增成本。行驶时间差除以行驶时间能反映体系对路段封闭的敏感性。这样计算下来,90个国家分析对象中的47个国家会因运输干线关闭绕路运输食品而增加至少20%的行驶时间,8.45亿人的食品成本可能会受此影响。f 相对来说,某些国家所受局部影响更大:受影响人口比例从尼日利亚的25%至南非的78%不等。
表1并列展示三个指标。底色为绿的国家该指标韧性分数高,深橙色国家分数低。各指标互不相干,但对照分析可以更全面地展现运输网络韧性及脆弱性。中国有能力调整为距离远近韧性更强且丰余度更高的粮食体系(距离远近韧性和路线丰余度下方的绿色单元格),粮食体系被迫本地化的可能性也会随之降低。如果关键路段受阻,平均行驶时间也不会显着增加(相对绕行成本[本地和总体影响]下的绿色单元格),表明中国拥有弹性交通网络。另一极端情况是,在索马里等国,粮食体系不以服务本地市场为目的,且路线丰余度低(见深橙色和橙色单元格),如关键路段通行不畅仍将迫使粮食体系在一段时间内转战本地市场,从而带来巨大挑战。
丰余度有限的影响并不仅限于低收入国家(见表1中的智利、印度尼西亚和巴布亚新几内亚),但食品运输网络的系统性韧性衡量结果表明,低收入国家面临的挑战最为严峻,转为周边型体系的各种能力较弱,且多个路段一旦受阻不具备可行替代路线。法国和美国等高收入国家正好相反,但也存在例外情况,原因是距离远近韧性取决于生产相对于需求的分布情况。澳大利亚、加拿大和智利在这一方面较为薄弱。
相对绕行成本(右栏)突出表明,对某些国家来说,封闭关键路段的代价极高。对于孟加拉国、巴西、刚果民主共和国、海地、马达加斯加、尼日尔、菲律宾、塞内加尔和苏丹等国家来说,行驶时间平均增加30%以上,食品成本也随之抬高。对于菲律宾和苏丹等一些国家来说,关键路段关闭的影响不仅局限于地方,还会波及全国。
表1只显示了重要路段偶尔关闭造成的平均影响,但仍可以看出具体事件的相对绕行成本。插文8分析了尼日利亚和巴基斯坦洪灾高发区的具体影响事件。
洪水,包括山洪和持续时间更长的积水,会降低运输网络连通性。道路无法通行,桥梁通行过于危险,甚至被冲毁。洪水消退后,如未造成实质性损害,对基础设施的直接影响会十分短暂,但维修不及时也会造成长期影响,欠发达国家往往出现这种情况。洪水也有可能造成长时间大范围影响,造成替代路线交通延误和拥堵,延长行驶距离/时间,并增加燃油消耗和温室气体排放。29
Nelson 等(2021年)考虑到洪水造成路段无法通行将破坏网络连通性,模拟了尼日利亚和巴基斯坦局部洪水的影响。图中所示情景以十年一遇洪水为基础,以网络路段无法通行为判断依据,对网络连通性因洪水造成的损失进行合理研究。在尼日尔河三角洲和印度河平原,如损坏路段为必由之路,行驶时间将分别增加108%和32%。从国家层面看(总体影响),尼日利亚和巴基斯坦行驶时间将分别延长4.7%和1.2%。结果表明,受影响大小取决于路段破坏位置、食品运输方式以及运输系统的暴露风险和脆弱性三者之间的相互关系。
总体来看,分析着重强调了稳健的运输网络在支撑粮食体系抵御冲击和压力以及保障地方层面食品获取渠道中的关键作用。在运输干线关闭的情况下,稳健的运输网络可以防止延长行驶时间,并避免对食品成本产生连锁反应。
建立强韧的农业粮食体系旨在确保粮食安全,并持续为所有人提供充足、安全和营养食物(参见图2为什么要建设韧性?)。如果人们不具备食品获取渠道,那么食品供应本身意义不大。本节着重讨论是否一国所有人口都能通过经济手段获取国内生产和国际贸易得来的粮食。如果国家供给充足、食品多样但需求侧薄弱,农业粮食体系将同样薄弱。食品获取渠道问题主要是价格和收入问题。面临粮价攀升、作物欠收或资产损失等冲击时,缺乏可靠和可观收入的家庭选择受限。30 从供给侧来说,农业生产力水平低下、多样性不足、粮食库存不足和道路基础设施薄弱等因素都会推高健康膳食的成本。除了农业粮食体系对膳食成本的直接影响,其他相关体系,例如卫生、环境和社会保障体系也影响着营养食物的获取渠道,因此需要将粮食体系与这些体系衔接起来,本报告对此将进一步阐释。31
绝大部分人口在生计遭受冲击后仍有足够收入确保粮食安全的国家,其农业粮食体系韧性及粮食安全和营养水平更高。虽然报告侧重于农业粮食体系的食品支柱,但非食用农产品生产在为小规模生产者和农业产业创造生计方面也发挥着关键作用,能够强化食品获取的经济手段。插文9概述了森林的生计效益。
Seekell等(2017)通过计算每个国家收入最低五分之一人口的收入与平均食品成本的比率得出人均收入足以获取食物的贫困人口比例。34 他们发现,在许多国家,社会经济地位较低的群体仍然缺乏食品获取渠道。那么家庭需要达到什么样的可靠收入水平方能消化冲击并确保粮食安全?我们根据《2021年世界粮食安全和营养状况》31 采用的方法设定了健康膳食目标,其中包含多个食物类别,且类别内食物更加多样化,旨在预防各种形式的营养不良。然而,仍有约30亿人无力负担这种膳食(也被称为最廉价健康膳食)。
我们估算了实际收入降低三分之一后各国无力负担这一膳食的人口比例(方法说明见插文10)。阈值选择以COVID-19疫情收入影响的最新证据为基础。柬埔寨60%以上的受影响人口收入降幅达三分之一或以上,90%受影响人口收入降幅为五分之一或以上。35 针对9个国家开展的另一项研究发现,研究点内收入损失很普遍,缅甸51%的受访者和利比里亚79%的受访者称收入“大幅下降”或“完全没有”。36 针对巴西医生的研究发现,收入受影响的人口之中,31%的人收入降幅为25-50%,60%左右的人收入降幅超过50%。37 以上估计表明,此处设定的阈值相较于受冲击人口的收入降幅已为保守水平。这意味着,遭受冲击后可能无力负担健康膳食的人数可能会比估算值高出很多。
2019年无力负担参考健康膳食人口比例的计算依据是,粮农组织等(2021年)公布的考虑消费价格指数的实际膳食成本,31 以及取自世界银行PovcalNet数据库的参考年份2019年的收入分布情况。38 将以上比例乘以各国2019年人口(来自联合国经济及社会事务部的世界人口展望数据库),得出当年无力负担健康膳食的人口数量。39
健康膳食成本超过个人收入的63%即视为无法负担。据观察,低收入国家最贫困人口平均将63%的收入用于食物;由于人们不会把所有收入花在食物上,63%这一数字较为可信。40 以该阈值为基础,对比该群体膳食成本与国家收入分布情况,得出无力负担健康膳食的人口比例。
为估算面临无力负担风险的人口比例,还采用了50%的缓冲资金指标,代表冲击降低收入后承担健康膳食和所有非食品基本支出需要的额外收入。举例来说,如果健康膳食的成本是每天3美元,为满足食品和非食品需求,个人收入每天至少要达到4.76美元(3美元除以63%)。在收入受冲击减少三分之一情况下,日均收入至少为7.14美元方能继续满足这些需求。按下列公式计算了143个国家2019年的可负担性指标:
粮农组织(2021年)估计,约有30亿人,即全球人口的40%无力负担健康膳食。31 根据本报告内容,如冲击导致收入减少三分之一,143个国家分析对象中还有将近10亿人岌岌可危(表2)。其中多数人位于中低收入和中高收入国家,分别占人口的16%和17%。低收入国家的这一比例要小得多,毕竟已有88%的人口无力负担健康膳食,更不必说若冲击造成收入减少三分之一,他们的收入至少要提高50%才能满足基本需求。这些国家面临的挑战是,如果收入降低三分之一,会有更多人连能量充足的基本膳食都无力负担,无法满足热量需求(插文11)。高收入国家仅有1%人口会在面对冲击时如此脆弱。
危机之中,很多人难以负担能量充足膳食,这种膳食主要由淀粉类主食构成,为一天的工作提供充足能量。由于不能提供健康膳食的所有必须营养,能量充足膳食相当廉价,但仍有很多人无力负担或面临这一风险。利用能量充足膳食的成本计算其可负担性,方法与健康膳食可负担性相同。全球范围内约1.77亿人不能满足基本的膳食能量需求,另有2.65亿人一旦收入下降三分之一也将面临无力负担的风险。易于遭受收入冲击,无法满足基本膳食能量需求的情况集中在低收入国家,但并不完全在低收入国家。如果收入下降三分之一(见附件3),南非(中低收入)和赞比亚(低收入)均有14%的人口面临风险,此外还分别有18%和31%的人口在正常情况下也无力负担满足基本能量需求的膳食。当大量人口连最廉价膳食都无力负担时,提高弱势人口收入就变得迫在眉睫。
收入冲击后面临无法负担健康膳食风险的人口大多数生活在东亚和东南亚(3.98亿)、南亚(3.03亿)、拉丁美洲及加勒比(8500万)和撒哈拉以南非洲(8100万)。其余生活在北非和西亚(6000万)。
从国家层面考虑,获取健康膳食的经济手段问题非常耐人寻味。图6综合展示了获取健康膳食的经济手段以及水果和蔬菜的膳食采购(以吨计)柔性指数(DSFI)。横轴显示收入下降三分之一将无力负担健康膳食的人口比例,纵轴显示面临这一风险的人口比例。气泡大小代表水果和蔬菜数量的DSFI值。由于果蔬是健康膳食的重要组成部分,纳入果蔬DSFI将使内容更加详实,果蔬供应有限可能影响健康膳食的可负担性。
各国呈倒U型分布,许多国家(尤其撒哈拉以南非洲)80%以上的人口无法获得健康膳食,迫切需要提高可负担性(橙色椭圆)。果蔬作为健康膳食的重要组成却品种有限(气泡很小),加剧了这一挑战。除大部分人口无力负担健康膳食外,很多国家还有相当多人面临收入下降三分之一后无力负担健康膳食的风险(黄色椭圆)。亚洲国家是这一问题的重灾区:孟加拉国、印度、印度尼西亚、巴基斯坦和菲律宾均如此。
其他国家大多为高收入国家,更有能力保障获取健康膳食的经济手段(绿色椭圆)。部分国家(主要是中等收入国家)在正常年份至少三分之二人口能够负担健康膳食,然而收入一旦下降三分之一却将有大量人口面临无力负担的风险(蓝色椭圆),十分出人意料。拉丁美洲及加勒比情况尤甚,该区域竟有高达一半以上工人在非正规部门就业,工作质量不高且更为脆弱。这些工人缺乏劳动合同或失业保险,并且依靠无法在家完成的日常工作,一旦COVID-19疫情等冲击造成收入波动,他们首当其冲。41
这些结果能够更加全面地反映国家粮食体系韧性,表明家庭DSFI和收入缓冲能力能够弥补消化能力的不足。两方面均具有较强承受能力的国家大多为高收入国家。这些国家推出紧急措施保障健康膳食的几率更低。危机时期,双低国家更容易被重大困难影响,尤其是粮价上涨。如情况居中,则需要重新审视粮食体系的强项和弱项,制定有针对性的干预措施。
全世界很大一部分人口容易在收入受冲击时陷入粮食不安全和营养不良状态,这也是从供给侧和需求侧建设强韧的农业粮食体系的另一重要原因。之所以如此脆弱,是由于收入有限,再加上健康膳食成本难以负担。虽然很多人收入有限不能完全归咎于农业粮食体系,但另一方面,健康膳食的成本动因贯穿整个粮食供应链、食品环境以及决定着贸易、公共支出和投资政策的政治经济背景。
解决成本背后的驱动因素需要对农业粮食体系进行重大变革,需要权衡取舍,也需要通力协作,并没有放之四海而皆准的解决方案。42 为使营养知识和行为改变有效左右选择,必须解决价格和收入问题。42 许多国家需要重新平衡农业政策与营养敏感型社会保障政策,实现粮食供应链各环节高效运行,并让弱势群体更容易负担健康膳食。这也将进一步推动这些国家解决收入有限的问题。如上文所述,农业粮食体系并非唯一诱因。这些政策和计划增强可负担性的效果如何将主要取决于目标精准定位、充足的补助资金和模式以及营养专项政策和计划整合。
本章提出了一整套国家韧性指标,反映农业粮食体系功能的脆弱性和风险。指标评估对象是关系到农业粮食体系困难应对能力的四个方面:(i)初级生产的稳健性;(ii)食品供应;(iii)食品获取渠道;(iv)食品获取的经济手段。
研究结果表明,虽然全球相当一部分人口所在国家有能力灵活采购和供应食品,但很多国家在健康膳食的经济获取手段方面(尤其收入受冲击时)仍有较大进步空间。在遭受COVID-19疫情等重大系统性冲击的家庭中,这类挑战显而易见。42 很多政府和捐助方担心供应链、甚至国家农业粮食体系会因疫情被迫停摆,要求采取行动介入、取缔市场。考虑到市场规模和食品需求之大,此种设想根本无法落地;而且,在很多国家农业粮食体系主体为适应形势和建立韧性已经采取了系列措施,因此也没有必要这样做。43 相反,疫情对农业粮食体系主体及其粮食安全水平的主要影响在于收入及与其相关的购买力。1 健康膳食的成本常常高于国际贫困线,即每天1.9美元的购买力平价。这样一来,对于很多生活在官方贫困线以下或仅在其之上的人口来说(尤其低收入和中低收入国家),通过经济手段获取充足、安全和富有营养的食物变得遥不可及。
一般来说,粮食供应似乎远没有消费者获取食物的经济手段容易受冲击。因此,为提高农业粮食体系韧性,必须解决抬高食品成本的因素。至于哪一类多样性对国家膳食柔性最为重要,国内生产结构,进口、国内生产和库存之间的平衡情况以及贸易伙伴数量方面均存在较大差异。本章通过研究膳食采购柔性指标,为增强食品供给韧性和保障多条营养食物供应渠道提出了干预领域。
关于初级生产部门对影响国内和出口市场需求冲击的消化能力,研究表明国内市场多样性对国家总体消化能力有重大贡献。农业粮食体系出口份额较大的国家主要是农业实力雄厚的高收入国家。国家初级生产柔性与收入和农业基础之间存在关联,但也有例外情况,说明还有其他影响因素。
指标方面仍需开展很多工作方能提高认识,了解农业粮食体系韧性背后的因素。各指标未能反映农业粮食供应链中游环节韧性(见附件1),也没有体现非食用农产品在决定韧性方面的作用。虽然渔业和水产养殖业在物种数量上位居全球养殖业前列,但因数据限制,生产柔性和运输网络指标均未将其纳入。仍需开展更多工作,阐释构成农业粮食体系韧性的其他能力,即预防、预测、适应和转型能力。本章所述指标为分析国家农业粮食体系对环境、社会和经济冲击的消化能力提供了全新的重要视角。
国家层面从某种程度上将韧性理解为在困境中维持体系功能。由于国家农业粮食体系一般主要由大量农场、企业、价值链和机构组成,体系韧性不一定能反映出个体韧性。价值链主体的冲击和压力应对方式是农业粮食体系韧性的重要内容,也是下一章的主题。
第2章评估了国家和国家以下层面农业粮食体系韧性,分析了决定国家农业粮食体系脆弱性的关键因素:(i)初级农业生产及其销售渠道的多样性;(ii)现有食物的多样性,包括进口和库存食物;(iii)能够保障本地食物供应的运输网络;(iv)人们获得食物的经济条件。评估得出结论,多样化的贸易伙伴和国内生产、储备和进口食物,加之强大的食物运输网络,可为国家农业粮食体系提供一定的自由度,以及整体承受冲击的能力。
国家农业粮食体系韧性还取决于供应链的运转情况。本章重点讨论粮食供应链,因为粮食供应链在农业粮食体系中占有重要地位;非粮农产品虽然也是农业粮食体系的一部分(见第1章),但进入非粮食供应链后就被视为退出了农业粮食体系。农业粮食体系的粮食部分远大于非粮部分:2018年,初级粮食产品占初级农业总产值的97%以上,不包括林业。1 第一产业只占消费端食物总价值的一小部分。最近一项利用2005-2015年61个国家(占世界经济的90%)数据开展的研究发现,家庭消费食物价值中只有16-38%(全球平均水平为27%)流向了农业生产者。2这个结果与此前的一项估测不谋而合。该估测表明,在亚洲和非洲,初级粮食生产的价值只有40%,而中游和下游环节各占40%和20%。3、4
多样化和连通顺畅的粮食供应链能够更好地吸收冲击和压力并从中恢复,有助于建立更有韧性的农业粮食体系。韧性强的粮食供应链还能扩大农民和企业的发展机会,保障所有人稳定和持续地获得食物供应(见图2)。
本章的重点正是农业粮食体系的主要组成部分之一 — 粮食供应链。本章运用简化框架,描述了粮食供应链的主要构成要素和各要素间的相互作用。本章概述了农场和农食企业(如加工商和批发商)如何采购投入品和销售产品,以及农场和农食企业是否与消费者进行对接,为消费者创造表达消费偏好的条件,并满足这些偏好需求。本章还明确了粮食供应链变革的主要推动因素,如信贷、消费者需求、价格、物流、风险认知、技术、政策发展和冲击农业粮食体系的各种干扰因素。虽然重点讨论的是粮食供应链韧性,但必须认识到,影响非粮初级生产的冲击和压力也可能通过以非粮初级产品作为投入品的经济部门进行传播和产生影响。
认识到世界各地有不同类型的粮食供应链(分为传统型、过渡型和现代型),供应链内部有不同规模的企业,本章描述了有助于在冲击期间进行调整并有助于增强韧性的商业战略和优先行动领域。本章提供了世界各地的实际案例,并提出了政策方向和干预措施建议,以期构建和加强粮食供应链的韧性。
随着冲击的强度和频率增加,5 以及为快速发展的城市提供服务的供应链变得更长、更复杂还可能更脆弱,粮食供应链的韧性正在获得越来越多的关注。应对各种干扰,保障供应链参与者的生计以及人民的粮食安全和营养,是打造有韧性农业粮食体系的最终目标。
粮食供应链涵盖了供应链内外各行动方开展的相互关联的活动,这一点十分关键。各方都容易受到各种风险、冲击和压力的影响。除了与粮食供应链连接之外,农民、加工商和分销商还依赖侧链行动方在农业粮食体系之外提供投入品以及物流和运输服务。这些活动所面临的冲击和压力可能会扰乱粮食供应链。
初级生产者和其他粮食供应链参与者利用资源、创新和技术为自身利益生产、加工和分销食物。他们的目标是在信贷限制和风险的制约下改善福祉。为保持经济活力,他们既要有效利用资源,也要有能力抵御冲击和压力。然而,粮食供应链参与者的相互关联性意味着粮食供应链上任一环节的韧性都取决于供应链上的整体表现。一部分行动方做出的决定会对其他行动方产生影响。供应链中任一细分市场受到的冲击几乎都不会只存在于该细分市场,而是很可能会传导至上下游的其他细分市场,并对其产生影响。COVID-19疫情期间,封锁导致消费者收入减少,食物需求降低,进而波及了上游供应链参与者(从供应商到批发商,最终到生产者)。因此,粮食供应链是一个复杂的社会经济系统,在不同层面、不同距离和不同时间相互作用,在解决韧性问题时必须通盘考虑所有因素。6
粮食供应链与投入品和服务供应链密不可分,如果农业粮食体系要高效运转并提供充足和安全的营养食物,这三条供应链都必须具有抵御冲击和压力的能力。供应链的结构会左右冲击和压力对供应链造成的影响以及供应链做出的反应。
图7是三条供应链的示意图。该图显示了农产品是如何在上游农场层面进行生产,然后供应给中游农食企业,经过加工后运往下游零售商。几乎所有粮食供应链都要经历这三个环节,且各个环节都从投入品和服务供应链获取投入品和服务。这些相互关联的供应链中任一环节受到冲击都可能对粮食供应链的运转产生负面影响。供应商面对干扰因素做出的反应决定着粮食供应链的整体运转情况。有韧性的供应商恢复速度更快,还能增强粮食供应链的整体韧性。
投入品和服务供应链在每个阶段都与粮食供应链互动。投入品供应链提供变量投入品(如种子、化肥、燃料和劳动力)和准固定投入品(如农业机械、研磨机和易腐食物冷藏设备)。服务供应链包括提供投入品、产出和要素的行动方和活动(如运输和储存服务经营者),将生产和消费联系起来。例如,在尼日利亚,一批第三方物流供应商将75%的玉米收成从北方农民那里运送到近1000公里外南方批发商手中。同样,几乎所有批发商都依赖同一批储存服务供应商。8
甚至劳动力和信贷也可被视作供应链,而不仅仅是生产要素,因为许多影响劳动力和信贷供应的决策和行动不受直接供应者的控制。劳动力的供应可能取决于人员的远距离流动性和招聘做法,因而易受各种干扰因素的影响,比如COVID-19疫情期间对交通、招聘和出行的限制。8 正规和非正规信贷服务随社会经济条件发生变化,除政府的货币和财政政策外,信贷服务供应还可能受到金融冲击和其他危机的影响。
大多数关于农业粮食体系韧性的研究和政策讨论都集中在农场环节投入品供应链上。4 然而,农场环节只是食物经济的一小部分,占比从16%到37%不等,2 其他是收获后、加工和分销环节。3、4 每个中游环节还依赖于劳动力、水、实物投入品和设备的投入品供应链。3、4
任一侧链中断都可能对粮食供应链以及非粮农业产生破坏性影响。这一事实表明,农业粮食体系可能会因运输和工业等其他系统的中断而受到负面影响。以能源行业为例:石油运输船交通中断的冲击可能会减少燃料供应,导致粮食供应链运行中断。以COVID-19疫情为例:最初几周劳动力流动限制导致多个国家水果采收受到严重影响;一些国家将木材生产归类为非必需品,板条箱生产停止,阻碍了水果供应;许多国家政府宣布批发市场是必需行业,但将大部分物流供应链归类为非必需,给粮食供应链造成了重大干扰。9
食物由供应链生产、加工和分销,而社会经济、生物物理和技术领域的变革不断推动着粮食供应链转型。例如,技术创新、人口结构变化和经济发展刺激了新粮食供应链的建立或现有供应链的转型,决定了第1章提出的传统型、过渡型和现代型这三大类农业粮食体系的形成。
该分类法可帮助政策制定者确定各粮食供应链之内的总体优先行动领域,因为各领域面临冲击和压力时的脆弱性程度各不相同。粮食供应链脆弱性和韧性很大程度上由其结构特征和产品属性决定,中小农食企业供应链面临冲击时的境遇与以大企业为主的供应链不同。与谷物等行业供应链相比,新鲜农产品供应链更容易受到短期市场波动的影响,特别是在不具备冷藏条件的情况下。最适当的韧性战略需根据各粮食供应链面对不同风险的脆弱性而分别制定。10 在讨论冲击和压力如何影响粮食供应链之前,我们先回顾各类供应链的关键特征。
传统型粮食供应链较短,中间商数量较少。主要涉及本地小规模生产者生产的季节性食物,在本地进行销售。主粮占比较高,而收获后环节高附加值农产品占比较低。产品通常在家里简单加工,如水果干燥、研磨成粉或乳制品加工。由于不需要长途运输,而且主要是小微农产品加工企业(中小农食企业中规模最小的一类),所以批发和物流供应链的规模都比较小。食物加工主要由女性完成:在许多非洲国家,女性平均每天花四个小时捣碎谷物。11 传统型体系因缺乏产品多样性、质量和安全标准以及规模经济而受到制约。使用劳动密集型技术,现货交易市场占主要地位,且极少签订合同。只有当政府通过半官方机构补贴谷物生产,从而向不断增长的城市人口供应主粮时,供应链参与者数量才会增加。8
过渡型供应链较长,有许多中游中间商,如加工商、批发商和零售商,他们提高了附加价值,促进了食物在农村和城市之间的流动。短供应链仍然在乳制品和叶菜等极度易腐产品市场占据主要地位。附加值产品在收获后环节(批发、加工、物流和零售)占比较大,但中小农食企业仍占主要地位。随着外出务工的兴起,女性劳动时间的机会成本增大,因此加工食品(主要由中小农食企业生产和零售)也成为了重要的食物来源。家庭加工(例如传统型供应链的人工捣碎谷物)已让位于专营碾磨业务的中小农食企业和部分新兴大公司。8 中小农食企业与微型企业(这类微型企业很多,大多数是售卖预制食品的街头小贩)并存;11 COVID-19疫情期间的出行限制对这些企业的影响特别大(插文12)。
鉴于中小农食企业(特别是为低收入和中等收入国家弱势低收入人口服务的企业)在农业粮食体系和粮食供应链中的关键作用,需对中小农食企业韧性问题予以特别关注。中小农食企业帮助农民对接市场,提高当地农产品附加值,并为女性和青年创造就业机会。据粗略估计,在南亚和撒哈拉以南非洲,国内供应链占食物消费的75%至90%,其中约80%通过以中小农食企业为主的供应链供应,其余通过大型企业供应。10
中小农食企业往往是劳动密集型企业,对易腐和应季食物的风险管理能力有限。12 在高度相互依赖的背景之下,13、14 供应链任何一个环节中断都可能导致破坏性的连锁反应。但中小农食企业也有一个独特的优势:扎根于当地社区,能够更好地对运输、食品加工和分销等服务进行调整,以适应当地需求,15 在农村基层进行重要投资。
COVID-19疫情造成的供需冲击给中小农食企业带来了毁灭性打击,千百万供应链劳工失去了工作和生计。16 中小农食企业具有劳动密集型作业、资源匮乏、主要经营易腐产品、季节性生产和更易受天气影响等特点,因此劳动力短缺和运输中断对中小农食企业产生了严重负面影响。12 不同产品受到的影响不同。例如,巴基斯坦的封锁措施下,果蔬价值链中断最为严重。由于无法采收和运输,大量新鲜果蔬只能烂在地里。17
由于企业对客户需求的预测和客户实际需求之间存在差异,需求侧也出现风险,导致出现成本高昂的短缺状况以及销售额和市场份额的损失。最近一项针对17个国家363家中小农食企业的调查发现,超过90%的企业报告销售额下滑,在获取投入品和支付员工工资方面面临困难。18 此外,由于其非正规性,政府的刺激和复苏计划向大企业倾斜,许多中小农食企业被排除在外。19、20
过渡型供应链内小规模初级生产者和中小农食企业数量众多,其关键特征之一就是碎片化。虽然也使用机器,但由于劳动力成本低,他们主要使用劳动密集型技术。定制采收及其他农艺和贸易服务能够支持小规模粮食和非粮产品生产者获取集约化技术、劳动技能和服务。例如,贸易商为印度尼西亚芒果生产者提供喷雾器,流动服务组为中国稻农提供联合收割机。21、22 现货市场关系仍占主要地位,但国内和出口供应链中签约模式开始兴起。
谷物和其他主粮在整个食物经济中的占比大大降低,因为随着收入的增加,人们对淀粉类主食的消费减少,转为摄入更多营养丰富、造价较高的加工食物。因此,食物生产多样化程度提高,特别是动物和园艺产品。这类产品供应链相对较长,运输和冷藏储存要求更严格,面临干扰时也更加脆弱。易腐粮食供应链较长,质量标准执行难度通常较高,因而食品安全成为紧要问题。
现代型供应链服务于规模庞大的城市人口。视初级生产的情况,现代型供应链可长可短,都可以满足居民的食物需求。随着主食需求降低,现代型供应链主要提供易腐食物,如园艺和动物产品。可以是本地产品,也可以远离城市进行生产,然后冷冻或冷藏运输。随着动物产品需求增加,食物供应面对动物疫病、抗微生物药物耐药性和食品安全问题的脆弱性也在增加。
超市和大型加工商直接交易,在某些情况下也会直接向生产者购买或在批发市场采购,但这种情况发生概率低于过渡型阶段。供应商也普遍更能遵守冷藏、包装和自愿质量标准。供应链参与方众多,且跨国公司占据主要地位。如果中小农食企业实现多元化生产,或是大公司因交易成本过高无法在偏远或欠发达地区经营,中小农食企业就可以保持竞争力。主要使用资本密集型技术,全球定位系统(GPS)和无人机等信息化工具更为常见。水果和蔬菜产业存在现货交易,但签约模式则在其他产业占据主要地位。现代型供应链的下游是餐饮服务部门,包括正规餐厅和快餐连锁店。
过去三十年来,虽然分布尚不均衡,但低收入地区已产生现代型供应链。南部非洲、东亚和东南亚以及拉丁美洲的食品行业跨国公司和大型超市随处可见,但撒哈拉以南非洲的其他地区和南亚还处于初始阶段。现代型供应链在国际贸易中也占据主要地位。
农业粮食体系及其粮食供应链面临各种各样的冲击和压力。这些冲击和压力来自社会经济和自然环境,有自然产生的,也有人为导致的。要加强供应链韧性,减轻冲击和压力的影响并从中恢复,关键在于明确可能对粮食供应链造成冲击的因素。
三类粮食供应链(传统型、过渡型和现代型)之间的显著差异意味着,相同的冲击或压力所产生的影响可能大相径庭。任何粮食供应链的脆弱性和韧性都将至少部分取决于其自身特点。图8简要说明了粮食供应链脆弱性和冲击抵御力的总体水平。冲击和压力的影响除了取决于冲击本身的性质外,还取决于供应链的脆弱性和韧性。例如,政府应对COVID-19传播的限制性政策影响了劳动力流动,粮食供应链各环节农民、加工商和分销商的劳动力供应,以及相关投入品和服务供应链(见图7)。但是,这些政策对三类供应链产生的影响有所不同。传统型供应链较短,受到的影响可能最小,因为这类供应链不需要高度的流动性。中游投入品和服务供应中断对传统型供应链造成的冲击也较小,往往只需为数不多的几家中间商(主要是本地中间商)即可运行。
近期关于粮食供应链的文献梳理了一些很有意思的案例,介绍了当现代型和过渡型供应链(长链)受到COVID-19疫情影响而出现中断后,传统型供应链如何成为替代方案发挥作用。。23-28 随着各国之间和国家内部关闭边境和限制出行,许多消费者只能选择传统食物部门。传统食物部门对大规模加工厂和运输的需求较低,而且主要雇佣本地劳动力。29 尽管传统型供应链资金有限,但事实证明许多这类供应链响应迅速,特别是在国力更强、基础设施更为健全的高收入国家。24、25、28
与传统型供应链相比,过渡型和现代型供应链可能会受到中游业务冲击(涵盖从粮食初级生产到最终交付给消费者等各个阶段的多种冲击)的严重影响。过渡型供应链和现代型供应链之间也存在差异,这些差异导致冲击和压力对他们产生的影响不同。现代型供应链主要由大型企业组成;与过渡型供应链中的中小农食企业相比,大企业更容易获得资金。由于经营大型企业涉及的资本量较大,可在各市场间轻松切换,提高资本劳动比率,减少对雇佣劳动力的依赖。10、30 因此,现代型粮食供应链比过渡型供应链更能抵御COVID-19的冲击(主要是劳动力流动和贸易限制),因为现代型供应链是全球化运作,能够在地理和时间上根据中断情况进行调整,还能在某种程度上优化产品结构。10 然而,由于冷藏和机械化作业能耗较高,现代型供应链极易受到能源部门冲击的影响。
过渡型粮食供应链中存在大量中小农食企业,且高度依赖劳动力,因而特别容易受到劳动力供应冲击的影响。澳大利亚、埃及、巴基斯坦和坦桑尼亚联合共和国的案例研究表明,这一现象在COVID-19疫情暴发初期采取限制措施时体现得非常突出。17、20 中小农食企业的产品、目的地市场的多样性和应对冲击的整体能力各不相同,受影响程度也不同。运输风险可能会影响到所有的中小农食企业,但澳大利亚12 和埃及20 的案例研究表明,此种风险对易腐食品企业的影响尤大。在埃及,经营国内业务且向多个市场出口新鲜水果的中小农食企业在疫情中遭受的风险较小,因为他们可以将产品从一个出口市场转移到另一个出口市场,或者转回国内市场。20
气候风险和冲击与农业粮食部门高度相关,也以不同方式影响粮食供应链。传统型粮食供应链高度依赖本地投入品和本地农产品市场,最容易受到气候冲击的影响。传统型供应链中的小企业和小规模生产者缺乏大公司的成本优势。没有规模经济,传统型供应链的生产成本更高,导致竞争力减弱,会受到外生供需问题的冲击(过渡型供应链也面临该风险。27
过渡型和现代型供应链不太容易受到本地冲击的影响,因为这些供应链的投入品来源和产品市场更多元化。现代型供应链通常比过渡型供应链更不容易受到气候和环境冲击的影响,因为大型公司采取保护措施更加方便,例如面向初级供应商的生物安全措施。
各国政策和社会经济条件存在较大差异,且对粮食供应链的风险、脆弱性和韧性至关重要。一项关于COVID-19疫情对澳大利亚、巴基斯坦和坦桑尼亚联合共和国影响的研究发现,虽然这三个国家开展食品加工的中小农食企业都面临着投入品价格上涨、买家流失和熟练工人短缺的情况,但巴基斯坦和坦桑尼亚的中小农食企业还面临着极大的资金压力和贷款难的问题,而澳大利亚却不存在这个问题。结果,巴基斯坦和坦桑尼亚联合共和国的许多小型加工厂关停了,而澳大利亚的加工厂却没有,澳大利亚政府为食物部门提供了有针对性的支持,这是许多中小农食企业得以生存的关键。同一项研究指出,中小农食企业在适应能力方面存在显著差异。坦桑尼亚联合共和国和巴基斯坦的中小农食企业由于对替代方案缺乏了解,还维持着传统的商业做法,而大多数澳大利亚中小农食企业已转向电子商务和全渠道零售,迅速实施了保持社交距离和佩戴口罩等COVID-19卫生措施。澳大利亚中小农食企业所具备的能力(部分得益于公众支持)使企业能够从最初的冲击中迅速恢复,维持并多元发展自身业务,并对创新进行投资。如表3所示,巴基斯坦和坦桑尼亚联合共和国的这类替代方案非常有限。17
传统型和过渡型粮食供应链还更脆弱,因为这些供应链主要由高度非正规企业组成。小规模、非正规或半正规的企业大多以家庭为基础,是包括所有者和雇工在内的许多社会弱势群体的主要收入来源。因此,这类供应链不可能消失,即使是被视作违法或遭到国家压制时也是如此。31 然而,正如COVID-19疫情封闭期间所出现的情况,这类供应链受冲击的风险很高。其非正规性也导致国家统计数据中不能体现传统型供应链上的许多行动方,这意味着未能将冲击的全部影响记录下来,而且这些企业无法参与至关重要的社会保护计划。32 虽然没有关于粮食供应链企业非正规程度的官方统计数据,但一些估计值表明,低收入国家可能在这方面面临严重挑战。据估计,低收入国家约90%的粮食供应链行动方(包括初级生产者)都是非正规经营。非正规性在中等收入国家并不普遍,但占比仍相对较高,约为50%。32
研究粮食供应链韧性问题时要注意供应链不仅仅是其行动方或活动的总和。相反,供应链是一个动态网络,其中的行动方和活动在创新和新技术、人口和收入变化以及合同和市场关系等因素的推动下不断转型。农食企业的社会经济特征及其与转型过程的互动方式在很大程度上决定了企业面对冲击和压力时预防、预测、吸收、适应和转型的能力。转型的过程始终有赢家和输家。同样,冲击和压力可能会对供应链中一些行动方产生灾难性影响,同时为其他行动方创造转型和优化的机会。有韧性的粮食供应链中不一定所有行动方都具有韧性。遭到破坏的情况下仍然能够继续经营和交付产品的供应链即被视作具有韧性(无论行动方个体面临怎样的处境)。8
要对粮食供应链进行管理,仅考虑业务增长和优化目标以及应用传统风险管理工具是不够的。为有效构建韧性,须认识到冲击、压力及其对粮食供应链的影响可能高度不可预测,还须保持适应和转型途径的畅通。转型能力虽不是本报告的重点,但尤为重要;转型能力提供的全新视角,有助于在危机中探索机会,明确克服困难的方法,推动向前发展,提高未来面对挑战时的韧性。33、34
在为农食企业构建粮食供应链韧性方面,政策和干预措施的设计面临艰难抉择。首先,这通常涉及高昂的投资,需要在韧性和效率之间进行权衡取舍。由于小规模生产者和中小农食企业获得信贷的渠道有限,政策和干预措施的设计面临的问题更多。第二个需要权衡取舍的方面是韧性和包容性:让一部分供应链行动方具备韧性,可能就会让其他行动方破产。本章后续内容将讨论这些战略问题,审视构建粮食供应链韧性的激励因素,以及如何在权衡取舍的同时做出韧性投资决策。还将讨论会对粮食供应链的战略实施能力产生重要影响的政府政策和干预措施,重点讨论公共政策的作用。
各粮食供应链中的农食企业在经济规模、投入构成、技术使用和产出方面各不相同,产品范围从大宗商品到本地特色产品和差异化产品不等,承担风险和进行韧性投资的能力也不同。这些能力取决于人力资本水平、获取信息和信贷的机会以及留存收益,所有这些通常都随着规模的大小而发生变化。35 企业利用这些能力实现多元化(例如,投入品、物流和下游市场)或根据业务情况建设丰余作为韧性建设战略。
生产差异化产品的企业(围绕质量等特点而非成本展开竞争)在多元化投入品来源时,比采购无差异大宗商品的公司受到的限制更多。这是因为生产高质量产品需要复杂技术和特定资产,例如,只能用于特定产品的高成本机械,或者完全不适用于其他产品的投资。36 这会降低业务的整体灵活性,因为推出新产品时可能又要再次做出成本高昂的投资。生产优质产品的公司需要说服其投入品供应商进行所需的特定资产投资,通过激励措施和共同投资稳定供应商,从而使供应商遵守公司的标准并接受监督。
考虑到投入品来源多元化的限制,公司可探索多方发展供应商和从不同地区采购,同时投资于丰余。例如,农食企业可建立二级和三级供应商区域网络,当一级供应商地区遭遇气候冲击时提供备选方案。这就需要资金激励供应商开展特定资产投资,并在各级地区安排供应链基础设施。世界上最大的稻米加工企业泰国正大集团就采取了这种做法,在其主要设施的上游修建了两个港口,从而在台风发生时保障航运通道。只有最大规模的企业才能负担得起这种程度的多样性和丰余性,而中小农食企业,特别是那些处在碎片化供应链上的企业,则舍弃了效率和韧性。虽然这些中小农食企业在这类投资上面临着资金和物流限制,但仍保持着效率和竞争力。然而,这些企业的采购活动涉及的供应商数量较少,距离较近,如果供应商受到冲击,这些企业也将受到连带影响。
为了减少需要做出权衡取舍的情况,企业可能会与其他互补型公司(如中间商)建立投资伙伴关系,但这也并非对所有企业都可行。例如,在国内番茄市场上,企业可通过专业批发商进行采购,该批发商与低风险、高容量地区供应商有系统性联系,37 且与低交易成本地区供应商有合同关系。38 投资可能涉及搜索成本、建立采购或投入品网络(包括社会资本投资)、仓库和船舶泊位等耐用品支出,以及市场费用。大多数中小农食企业面临着双重挑战,既要抵御冲击,又要与大企业竞争,这些成本费用对他们来说是个问题。
企业还可以通过在韧性和包容性之间进行权衡取舍来实现多元化。大型食品加工企业可进行多样化生产,纳入中游供应投入品和其他因素,或者扩大初级产品的生产,从而减少对小规模生产者的依赖。小规模生产者容易受到气候或植物病害等冲击的影响。二十世纪九十年代,肯尼亚和津巴布韦就经历了这样的转型。当时蔬菜出口商一半的产品来自自己的种植园,另一半来自其他大规模农场。39 这是出口商韧性与经济包容性权衡取舍的结果:小规模生产者被剥夺了进入盈利市场的机会,而大公司却能够灵活运作。
粮食供应链企业可以多元拓展物流业务,以避免受到港口关闭和飓风对过境地区造成破坏的冲击。这就需要投资于私人基础设施或购置公共基础设施空间(例如,造船厂、加油站和港口专用空间),以及对车辆和集装箱的投资,而此类投资对于大多数中小农食企业来说是遥不可及的。
企业可能还需要应对粮食供应链下游发生的冲击。COVID-19疫情期间,食品供应商面临在商店购物或在餐馆就餐顾客人数骤减的情况,许多供应商通过发展电子商务与快递公司合作实现多元化,快递公司则迅速做出调整,适应送货上门的需求。虽然许多国家在疫情发生前就已经出现电子商务的趋势,但疫情的暴发使其快速发展,10 不过发展速度则因各地基础设施、管理能力和人力资本的不同而存在差异。17
公共基础设施是上述战略的关键,如道路、排水管线、输电线、自来水、灌溉设施和港口。公共基础设施是避免或缓冲冲击的关键(具体取决于力度和丰余性的配置和级别)。在粮食供应链的上游,农业生产者抵御气候变化冲击的能力至少部分取决于基础设施的供应和质量。基础设施发达地区的农业生产者面对冲击的承受能力更强,特别是当农场能获得灌溉、技术和信息的情况下。
如果初级粮食生产者或农业领地能够抵御冲击,但食物、投入品和服务供应链中的合作伙伴不能抵御冲击,那么在粮食供应链连通和行动方相互依赖的作用下,冲击的连锁反应会增强,可能导致农民生计遭到严重破坏。这一点突显了粮食供应链各环节及相关投入品和服务供应链韧性的重要意义。投入品和服务供应侧链中行动方和企业的私人或集体基础设施(如收集站、大型卡车和温控仓库)应作为公共基础设施、道路、输电线和灌溉网络的重要补充。投资能力和风险承担力更高的企业更可能生存,并在与小企业的竞争中胜出,而投资失败的企业可能会被迫退出市场。气候变化或健康冲击(如COVID-19疫情)的高频发生,将进一步导致粮食供应链非农环节的竞争更加集中。以中小微企业为主的传统型和过渡型供应链可能会在以大型企业为主更发达的供应链面前节节败退。在韧性和包容性之间进行权衡取舍所面临的核心问题是:由于中小农食企业破产而导致失业率上升和生计丧失的社会成本,可能会超过大型企业韧性提高所创造的效益。
被挤出市场的农食企业、农民和农业领地会失去与城市和出口市场(其产品的主要市场)的关键纽带,落入贫困陷阱,市场和气候变化的双重作用还会尤其加剧资源和基础设施匮乏地区的脆弱性。韧性减弱时,需要政府支持,包括获得信贷,以解决基础设施故障问题,缓解脆弱企业和农场面临的限制,这不仅是为了投资建立韧性,也是为了在危机时期得以生存。
本节提到的权衡取舍很重要,因为效率和包容性都是农业粮食体系韧性的重要要素,其目标是为所有人保障粮食安全和营养,维持和改善农业粮食体系行动方的生计。权衡取舍问题需谨慎考量,将权衡取舍的程度降至最低,甚至尽可能地通过有利的环境、投资和政策将其转化为协同效应。
经济规模是粮食供应链参与者韧性的关键决定因素。中小农食企业和小规模生产者的资源有限,受到冲击时往往更难从中恢复。及时的支持(包括获得信贷)不仅能帮助他们度过危机,还能投资干预措施,解决脆弱性问题和建立系统韧性。低收入国家农业粮食体系主要为传统型和过渡型粮食供应链,加强公共基础设施和改善信贷与信息的获取可以为中小农食企业和小规模生产者创造效率和韧性的协同效应。
配置良好、完善且有丰余的公共基础设施有助于避免或缓解冲击的影响。例如,修建混凝土堤坝和排水管道可以帮助农民应对旱灾。基础设施还有助于抵御飓风和风暴等极端天气事件,防止道路被洪水淹没和粮食供应链流动受阻。40 改善基础设施一方面能够加强连通性,降低交易成本,另一方面还通过缓解气候冲击和加强农食企业的吸收能力,提高粮食供应链各环节的韧性。
除了对有形基础设施的投资外,在加强机构和人力资本方面大规模投资往往也是必不可少的。例如,牛海绵状脑病(“疯牛病”)危机期间,高收入国家大量消费者转向鸡肉和猪肉,美国那些实现了供应链可追溯性并对牛肉产品进行区分管理的牛肉企业生存机会更大。41 COVID-19疫情期间,南非植物检疫机构与私营部门的合作在应对欧洲(其主要市场)对柑橘产业临时新增的生物安全要求方面发挥了关键作用。42 疫情期间,能够迅速采用电子商务和数字化工具拓宽销售渠道的管理能力也很重要。17 数字基础设施、技术研发和有利的商业环境也是能够提供支持的关键领域。
加强粮食供应链韧性需要各国政府解决供应链中严重的非正规性问题,特别是在低收入国家。非正规食品企业对农村经济很重要;但由于其资源和资产有限,且缺乏获取信贷和社会保护的渠道,非正规食品企业(大多数是以家庭为基础的微型实体)面临掉队的风险。人们认为,基本生计型小规模企业家既没有发展的愿望,也没有进行再投资的资源。43 关于非正规部门的政策往往模棱两可,前后矛盾,导致出现各种形式的支持、压制和忽视。44 然而,来自卢旺达、塞内加尔和南非的调查显示,体制障碍和资源匮乏是阻碍这些企业发展的唯一原因,男性和女性企业家都面临这个问题,而且男性和女性企业家所表达的发展愿望程度几乎相同。43
政府可以促进粮食供应链内的协调和组织,使行动方能够加强韧性能力。一种方法是组建联合体,由中小农食企业集中资源,克服规模相关的限制,以更好地应对气候风险和其他冲击。虽无法完全避免气候风险,但通过网络内组织间关系或中小农食企业战略联盟,可利用社会资本减轻气候风险的负面影响。这种联合体间的互动可以建立关系、结构和认知资本,通过汇集资源促进更稳健和更有效的风险管理。45
中小农食企业个体可能无法获取现代技术、专门知识和设备,但可以通过集体行动和汇集资源实现。加强中小农食企业韧性的政策应鼓励共享资源和建立信任,创造协同效应,提高效率,避免重复行动,改善资源获取渠道。
鼓励协调和加强关系资本的方式之一是使用领地开发工具。46、47 一项关于疫情对中国中小农食企业影响的研究发现,以新企业的成立和现存企业的业绩来衡量,产业集群较集中的农村县受疫情封闭措施冲击的负面影响较小。在这些企业密集地区,现存企业共担风险,帮助同乡新企业克服障碍。48
联合体或其他形式的合作与协调可以增加小企业的规模、知名度和影响力,还可能帮助其获得私人和政府资金。在信贷市场不完善或不发达的国家,加强产业集群可以缓解中小农食企业受到的信贷限制。48 关系资本的效益还可以促进中小农食企业进入国际市场,开辟新业务领域。45 这种做法利于拓宽营销渠道,是危机时期加强韧性的宝贵途径。一项关于埃及中小农食企业业绩的研究发现,对个别目的地市场的高度依赖导致这些企业在快速变化和冲击突然来袭时脆弱不堪。研究建议,旨在加强中小农食企业韧性的国家政策应重点强化企业在国内市场的作用,同时促进出口市场多样化,制定促进中小农食企业全球市场竞争力的体制和监管框架。20 正如第2章所建议的,新建自由贸易区和扩大现有自由贸易区覆盖范围也将促进中小农食企业的市场多样化。
联合体和产业集群能够大力推进培训和人力资源开发计划,促进灾害风险和救灾措施的信息交流,45、48 还能加快数字技术的采用。通常,管理者对这类技术及其运行效益的认识有限,低收入国家尤其如此。17 采用这些技术将使中小农食企业能够在危机发生前和发生后进行即时数据交换,有助于开辟新营销渠道。然而,考虑到中小农食企业在采用创新和新技术方面的困难,政策制定者需要制定战略以支持中小农食企业提高竞争力和韧性。49、50
对食物由结构、技术和产品各不相同的各类供应链进行生产、加工和分销。当前粮食供应链发生的变化反映了社会经济条件和技术以及生物物理和环境条件的变化。51 生物学和信息技术方面的新发现,以及人口结构变化和社会经济发展正在不断改变供应链,并推动新供应链、新产品和新风险的出现。
虽然创新主要来自发达经济体,但全球化加速了世界各地对创新成果的采用。超市、冷藏技术、移动电话、计算机和电子商务都是推动农业粮食体系转型的重要因素。随着人口结构、收入、气候和社会文化发生改变,粮食供应链还将带来更多差异化产品。随着现代化和全球化的推进,面对气候变化、生物多样性丧失或疫情等系统性干扰,差异化可能会制造新的脆弱性,也可能会催生新的能力。粮食供应链行动方需要适应和转型,从而保持经济活力,积极融入农业粮食体系。与此同时,各国政府应该采取行动,创造转型的有利条件,既有环境可持续性,又有社会包容性。
食品和信息技术的创新进程正在提高人力资本和地方层面管理多重风险和适应变化的能力。升级后的研究和教育系统可以发挥关键作用,有助于建设从供应链中捕获价值和防范风险的能力。要加强学术机构和产业界的联系,以培养企业家精神,加强预防、预测、吸收、适应和转型的能力。促进价值链、市场准入和交付方面的制度、社会和金融创新也同样重要。
供应链内部和供应链之间各行动方的互动将是农业粮食体系应对冲击和压力的关键。农业生产者极易受到冲击的直接影响,也容易受到对供应商和客户冲击的影响。中间商面对冲击做出的适应调整也会影响初级农业生产者和消费者,而投入品和服务供应侧链遭到的冲击会波及粮食供应链所有行动方。尽管冲击和压力可危及其生存,但也可能有利于催生适应程度更高、更具韧性的供应链。供应链内部及其之间的相互作用十分重要,需采用统筹方法提高供应链应对冲击的总体能力。关键在于实施跨部门和部门内现行有效的全球政策框架,例如《2015-2030年仙台减少灾害风险框架》52 和《联合国关于韧性的共同指导意见》53。
COVID-19疫情表明,冲击一旦发生,人们就会面临应对和适应冲击的高昂成本。虽然全球供应链很好地应对和适应了危机,但吸收和应对危机的同时,生命和生计损失以及对经济的破坏也带来了巨大成本。低收入国家往往付出的代价最大。这突显了风险管理投资和韧性能力建设的紧迫性,特别是在应对气候变化、未来疫情和经济危机造成的破坏时,要最大限度减少权衡取舍和尽可能地发挥协同效应的潜力。
要进行规划和投资,确保粮食供应链具备五大能力:预防、预测、吸收、适应和转型,以应对冲击和压力。对基础设施(道路、储存和应急系统)和经济支持机制的投资至关重要。在某些情况下,长期冲击可能导致农场和中小农食企业迁址。制定计划时要考虑供应链中多方的选择和利益以及公共和私营部门管理多种风险的能力,这应该是主要优先事项。
家庭(第4章的重点)处于粮食供应链的末端,冲击对其食物需求、粮食安全和营养的影响程度各不相同。最脆弱的消费者是在粮食体系就业的家庭,如小农、渔民、牧民和无地农业劳工,以及城市穷人和面临严重不平等和边缘化问题的人群,如女性和土著人民。在任何社会中,这类家庭粮食安全的程度和稳定性都是农业粮食体系韧性的关键决定因素。下一章将分析这些家庭的生计状况以及他们获取充足和营养食物的途径。
第1章介绍农业粮食体系抵御能力分析框架,第2章分析国家和国家以下各级农业粮食体系的韧性。第3章继而分析粮食供应链和涉农企业的抵御能力。本章对这些分析作进一步补充,侧重于农村生计和家庭抵御能力。农村生计是农村人口谋生所需的能力、资产和活动,1 可能包括农业和非农业活动,但农业对大多数农村人口至关重要。
冲击和压力对生计、粮食安全和营养的影响主要在家庭内部显现,是抵御能力分析的重点所在。许多农户都在农业粮食体系中扮演着生产者的重要角色,要么从事初级农业,要么经营小型涉农企业。在大多数国家,数以亿计不同规模的家庭农场,以及依靠初级生产为生的渔民和牧民,构成了农业支柱。农户为改善生计从事多样化的多种活动,能够更好地应对压力和冲击并从中恢复,从而促进农业粮食体系更具韧性。农村生计在不破坏自然资源基础的情况下维持或增强能力和资产,也有助于建立更可持续的农业粮食体系。
本章重点探讨农户生计和农村地区较高的贫困发生率。对多维贫困的最新估计数据显示,在全球13亿多维贫困人口中,84.2%生活在农村地区。2 因此,30亿负担不起健康膳食的人口,以及另外10亿收入一旦下降三分之一也可能加入这一行列的人口(参见第2章),绝大多数可能生活在农村地区,并且在很大程度上直接或间接依靠农业为生。为此,鉴于农业在减贫和确保粮食安全和营养方面发挥核心作用,本章也重点探讨农村地区的农户(见术语表)。事实上,全球数十亿人的生计以种种方式与农业粮食体系相联系。准确了解家庭层面的脆弱性,以及家庭生计与农业粮食体系的各种联系,有助于制定政策,从而对面临冲击和压力的数亿人粮食安全和营养结果产生积极影响。
在实证分析基础上,本章首先讨论农村生计冲击和压力抵御能力的决定因素。随后重点关注农村地区农户和小规模生产者管理风险和建设冲击和压力应对能力的限制因素。本章继而提出解决方案,以期应对弱势家庭的需求,加强家庭抵御能力、效率和可持续性之间的协同作用。
由于冲击对家庭的影响是贫困和粮食不安全的一项主要驱动因素,冲击应对能力一直是大量研究和政策辩论的主题。影响家庭的可能是特异性冲击,即仅影响一个人或一个家庭,如生病或死亡,也可能是协变性冲击,即冲击范围广泛并且影响到许多人(如干旱、洪水、冲突或病虫害暴发)(见术语表)。3-5 家庭应对策略因冲击类型而异。面对特定冲击要确保在家庭和社区层面做好准备,而应对共同冲击可能需要更大的区域和人群共担风险。6 然而,无论是特定冲击还是共同冲击,家庭抵御能力(即预防、预测、吸收、适应和转变的能力)与社会经济地位(例如收入水平)、社会和支持网络以及社会保护制度和生产支持计划密切相关。
农村生计在很大程度上取决于农业和农业粮食活动。不仅会受到价格波动以及投入品和粮食供应链中断所造成的冲击(见第3章),还会受到洪水、干旱、土壤侵蚀和虫害等不利事件的影响。4 根据联合国开发计划署(开发署或UNDP)2014年《人类发展报告》,2000至2012年间,每年有超过2亿人(其中大多数生活在低收入国家)遭受环境灾害,尤其是洪水和干旱。7 干旱会减少当地粮食供应,提高市场价格,尤其会伤害以购买而非出售粮食为主的家庭。8 在马拉维,最近的一项研究表明,由于农作季节干旱和洪水等天气冲击,家庭粮食消费量减少9%。基础设施薄弱等压力会加剧天气冲击的负面影响。同一研究发现,极端天气事件和基础设施薄弱综合作用,导致食品消费下降17%。3 即便在非低收入国家,冲击也会对生计产生重大影响。一项使用1994至2004年面板数据的研究表明,超过50%的俄罗斯家庭受到冲击,不得不迅速大幅调整食品支出。受影响最大的是农户,他们获得信贷和保险等收入平滑机制支持的渠道有限。9
粮农组织最近的一项全球研究发现,在过去十年中,与气候、水文、生物和地球物理等所有灾害相关的经济损失平均每年约为1700亿美元。2008至2018年间进行的71次灾后需求评估收集的数据表明,在低收入和中低收入国家,农业(包括种植业、畜牧业、林业、渔业和水产养殖业)承受了大中型灾害总体影响的26%,在农业、工业、商业和旅游业综合损害和损失中占比高达63%。10
为应对这种风险环境,农村农户,尤其是低收入国家的农户,应采用一整套策略事前管理风险,事后应对冲击。他们要么种植多种农作物或饲养多种牲畜,要么参与农村非农经济,能够实现收入多样化。他们投资于降低风险的策略,例如灌溉、排水管理和虫害控制等,从而管理农业风险。为应对不利的气候条件,他们调整农业用地做法,减少水土流失和滑坡,改变种植组合和种植日期。一旦发生冲击,他们则使用储蓄、清算资产和借款等应对手段。一些农户通过正规保险公司购买保险,或使用基于社区网络的非正规家庭间保险。11
家庭使用任一种策略或综合应用多种策略的能力各不相同。抵御能力是动态过程,降低风险或应对冲击的策略不削弱家庭应对后续冲击的整体能力至关重要。风险管理和冲击应对决策很大程度上视农户社会经济福祉和支持计划情况而定。印度开展的全国家庭调查结果表明,非贫困家庭将采取预防措施,加强安全网,积极预测冲击。他们还更有可能从非正式信贷来源获得支持。对于贫困家庭,尤其是面临重度粮食不安全的极端贫困家庭,这些选择则更为有限。
为研究农户的抵御能力,联合国儿童基金会(儿基会或UNICEF)多指标类集调查(MICS)应用粮农组织的抵御能力指数测量和分析(RIMA)模型(插文13)在23个国家开展了46次家庭调查收集数据(每个国家调查两次)(国家名单见附件4)。农村地区的一些家庭可能并不从事农业,而仅靠非农业活动为生。调查结果表明,提高农户长期抵御能力主要依靠教育、收入多样化以及正式和非正式补助。对于农牧民家庭而言,提高抵御能力的最重要因素是更多获取学校、健康和卫生设施等基本服务。冲击,尤其是高强度冲击,会导致抵御能力长期下降。价格冲击似乎对家庭抵御能力的不利影响最大,比健康和环境冲击等更频繁的冲击产生的影响更大。12
2008年,粮农组织率先推出了抵御能力指数测量和分析模型,这是一种严格分析家庭应对冲击和压力能力的定量方法。抵御能力指数测量和分析模型II是此模型加强版,直接通过抵御能力指数(RCI)衡量抵御能力。抵御能力指数测量和分析模型基于表中所列四个抵御能力支柱,这些支柱决定家庭粮食安全抵御能力,以抵御能力指数衡量。
抵御能力指数测量和分析模型还适用于农户(即从事农业、畜牧业或农牧业的家庭),涵盖对另外12个国家进行的17次调查(完整列表见附件4)。尽管调查对象都是农户,但某些家庭在一定程度上依靠农村非农经济维持生计。图9根据家庭抵御能力四大支柱 — 基本服务获取、资产、社会安全网和适应能力,总结了12个国家的调查结果,试图确定农户抵御能力的最重要因素(抵御能力指数测量和分析模型和四大支柱介绍见插文13)。调查结果从不同方面衡量:国家收入水平、国家是否受到长期危机影响、农业生态区和家庭主要生计来源。每个支柱使用从深绿到浅绿色的不同颜色标注,代表在决定农户抵御能力方面的重要性,最深的表示最为重要,最浅的表示最不重要。
在图9的分类中,约一半以上的家庭里生产性和非生产性资产是确保冲击后恢复能力的最重要支柱。在任何时候,资产都在维持家庭生计和创收方面发挥着重要作用。在危机期间,这可能是家庭的最后一道防线,农户可以变卖生产性和非生产性资产来缓冲冲击带来的影响。但如果资产太少,这种策略可能会导致一些家庭,尤其是最贫困家庭陷入贫困陷阱。
图9显示,家庭适应能力也是抵御能力的重要支柱。家庭适应能力与家庭内部教育水平和人员能力建设密切相关,这些因素使家庭成员在劳动力市场上更具价值。获取诸如改善的卫生设施和水源以及获得学校、医院和农业市场等基本服务,对于支持抵御能力至关重要,尤其是在极度干旱地区和牧民家庭。
对于两组数据涵盖的35个国家(多指标类集调查涵盖23个国家,抵御能力指数测量和分析模型涵盖12个国家;见附件4),表4总结了家庭抵御能力的驱动因素,以及建设农户抵御能力所受的主要政策影响。
抵御能力指数测量和分析模型的分析还表明,在冲击期间和冲击发生后,主要由女性组成的农户所受损失最大。女性获得土地和其他资产的机会往往比男性少得多,而这恰恰是提高抵御能力的重要因素。她们的主要应对策略往往是变卖资产;从长远来看,这种做法风险较高,会降低创收能力。为女性提供更多获得社会保护和资产的机会,可以弥补这一不足。获得生产性资产有助于女性在受到冲击后补充生产资料,恢复生产,而不会对其粮食安全造成任何威胁。教育在加强女性抵御能力方面发挥关键作用,凸显扩大全民受教育机会的重要性,尤其对于女孩而言。受过更多教育的女性进入劳动力市场的机会更多,并且创收活动的可选方案更多。12
儿童也容易受到冲击和压力的影响。在营养方面,婴幼儿所受冲击最大。最近一项审查发现,共同冲击对低收入国家的儿童发育产生永久性影响,大多数研究表明,大范围冲击会增加两岁以下儿童发育迟缓和体重不足的发生率。14 造成重度营养不良(身高别体重不达标或消瘦状态)的证据不一,可能因为冲击后营养状况随着体重增长可以发生逆转,因此相关研究除非立即加以衡量,否则无法捕捉数据。发育迟缓的影响在很大程度上不可逆转:儿童身高无法如体重一般恢复正常水平。至于冲击对微量营养素缺乏的影响,相关证据非常有限,值得进一步研究。儿童营养状况与认知测试表现、学业成绩和成年后劳动力市场表现相关,15、16 表明冲击可能会给个人和社会带来巨大的长期经济成本。14
种植业、畜牧业、水产养殖、渔业和林业等农业生产风险重重。所有农业部门都依赖自然过程和有限自然资源,比食品加工和贸易更易受到自然灾害影响。农业日益面临各种新冲击、压力和风险因素,包括更频繁、更极端的气候事件、生物多样性侵蚀、新疾病、气候变化、自然资源退化、农业人口老龄化、季节性劳动力短缺、食品安全恐慌和商品价格波动等。17
然而,农户应对风险的能力并不相同。由于获得土地和水等资源、信息、技术、资本和资产的机会较为有限,小型企业经营者受到的限制更多。18、19 他们在遇到风险和冲击时承受着双重的脆弱性负担:除了农业固有风险,他们还面临在粮食供应链转型过程中无法获取生产性资产以及进入利润丰厚市场的风险(见第3章)。20
冲击对农户粮食安全和营养的影响还取决于他们对农业和粮食生产的参与程度。影响农业和粮食生产的冲击和压力,例如病虫害、干旱和粮食供应链中断,对粮食净生产家庭的影响更大(见术语表)。另一方面,粮食净消费家庭更多依赖非农经济,对他们而言,农作是一种兼职活动;作为消费者,他们更易受到影响购买力的冲击,例如价格飙升和经济危机。
无论农户如何分类,显然无法依靠单一策略建设应对冲击的抵御能力。由于缺乏多风险治理和相关政策和投资、市场失灵以及市场欠缺或不发达,农户大多数缺乏农业风险管理工具,尤其是经营小型企业的农户。在理想情况下,小农户可以使用风险分担工具,例如信贷、作物和牲畜保险以及远期、期权和期货,将风险转嫁到宏观经济中,从而更有效运作。然而,农业保险等工具需要政府积极支持(目前尚未在所有国家实现),而其他工具(例如期货和期权)所需的特定技能大多数农户都不具备,故只能在有限情况下使用,即使在高收入国家也是如此。
与其他食品生产部门相比,水产养殖和渔业的风险管理计划尤其不完善。21 尽管2018年水产养殖提供了52%供人类消费的鱼类,22 但该部门仍然比其他食品生产活动风险更高,产量和收入波动更大,并且对多种生物危害(疾病和食品安全事件)更加敏感。23-25 因此,如果发生冲击,低收入国家2050万人的生计可能会受到威胁,其中大多数是全职、兼职、或偶尔从事小规模水产养殖的工人。22 低收入国家的小规模渔户情况类似,他们在冲击或危机时期更容易受到严重影响;由于储蓄率低、信贷或保险设施不足,他们准备最不充分。26 他们的收入不可预测(取决于渔获情况),缺乏可用作抵押的资产,因而极难获得优惠的信贷或保险计划。27
由于缺乏风险分担工具而无法应对各种市场失灵,农户转而采用其他策略应对多重挑战。他们将生产组合多样化,以期在冲击发生之前降低风险,并减轻冲击造成的影响。冲击后的应对机制则是积累储蓄和资产。在农作层面,农户以全新方式重新配置和利用可得资源,应对自然、技术和社会因素之间不可预测的相互作用。28 这一过程帮助他们应对可预见和不可预见的变化,28 加强预防、预测、吸收、适应和转变的能力。
随着气候变化和灾害频发成为新常态,农户的抵御能力日益受到考验。一项对撒哈拉以南非洲牧民和农牧民气候抵御能力的评估发现,虽然他们的能力和知识有助于应对意外冲击和气候变化,但仍有许多改进空间(插文14)。最弱势群体更多承担着气候变化和灾害的真正负担。10 在COVID-19疫情期间,小规模生产者获得投入、劳动力和农田的机会减少,导致生产损失、家庭收入减少和营养水平下降。所受损害的严重程度取决于多个因素,如COVID-19传播时机,控制措施对农耕日历、投入价格和需求的干扰程度等。29-31
气候相关冲击导致作物、动物和资产损失,人民流离失所,水资源短缺,所有这些都会影响撒哈拉以南非洲牧民和农牧民的生计。随着这些冲击增强,产生的影响包括粮食安全恶化等,对最脆弱家庭的影响尤为严重。
粮农组织最近的一项评估着眼于安哥拉、布基纳法索、布隆迪、冈比亚、肯尼亚、莫桑比克、尼日尔、南苏丹和乌干达的小规模牧民和农牧民对气候变化的抵御能力。32 调查涉及1466位户主,其中20%是女性。
此项研究发现,虽然这些家庭对气候变化的抵御能力较弱,但优势和劣势并存。社会因素,包括信任与合作、家庭组成和生产类型等,是抵御能力的主要驱动因素。储蓄等其他因素则面临风险 — 一半受访者表示有一些储蓄,但三分之二的受访者表示储蓄较五年前减少。此项研究强调,遭遇意外冲击时,对金融资产以及种子和牲畜等实物资产的依赖能力下降。评估还发现其他领域存在薄弱环节,如农艺和生产做法、动物疾病控制、兽医服务获取和畜牧业养殖做法等领域,这表明需要改进动物育种、品种多样性、动物安全机制,改善牲畜营养。
资料来源:Hernandez Lagana & Savino,2018年。32
农业粮食体系抵御能力的最终目标是在面临任何损害时确保所有人获得充足、安全和营养的食物,并帮助农业粮食体系参与者维持生计。本章其余部分重点介绍潜在解决方案,从而为增强农户生计抵御能力的相关政策和干预措施提供指导。解决方案可分为三大类:体制解决方案、技术解决方案和跨领域政策干预。
农户抵御能力取决于环境因素和本地情况。干旱的经济影响取决于诸多当地因素:土壤质量、种植模式、灌溉基础设施以及信贷提供者和供应链合作伙伴的灵活度等。33 影响抵御能力的一大因素是产品、投入和信贷获取,这些在很大程度上取决于与城市中心和市场的实际距离。农户融入当地网络,并在特定的农业生态、社会经济和地域背景下与其他行动方进行正式和非正式的互动。这些互动构成了他们的生产和生计系统。17、34 生计和抵御能力还取决于如何与周围环境相互作用。社交网络对于贫困家庭的抵御能力至关重要,可以提供机会获得非正式信贷和储蓄机制,有助于应对紧急情况和冲击。然而,共同冲击会影响大多数家庭,社交网络可能无法提供支持。增强农村脆弱贫困人口抵御能力的政策和战略应建立在现有非正式安全网的基础之上,并解决薄弱环节,例如,鼓励社会网络正规化,并将其与生产性企业和金融服务相联系。27
生产者融入粮食供应链和横向投入品及服务供应链的方式各不相同(见第3章)。虽然自产自销是自给农民的主要目标,但对于在采购投入、信贷获取和产出销售方面与涉农企业密切联系的农户而言,重要性有所降低。大规模农户甚至可以提供就业机会和非正式信贷。小规模农户与粮食供应链联系较弱,严重依赖社区网络获得非正式信贷、信息、技术和营销渠道。由于小规模生产者地位边缘化,无法进入利润更高的市场,因而更易受到风险和冲击影响,无法有效高效地运作。小规模农户面临的制约因素损害生计,减少增长机会,从而削弱他们自身和农业粮食体系的抵御能力;他们存在三个薄弱之处,即规模小、资源获取途径有限和市场力量薄弱,而这些可能会形成恶性循环。
建立或加强生产者协会和合作社的政策可以通过以下方式打破这种循环并改善生计:筹集资源实现规模生产;提供渠道获取机器、设备和信贷等生产资源;增强市场力量。小规模生产者集体购买投入和销售产出,可以保护自身免受市场波动影响,降低投入价格,提高产出价格。粮农组织Dimitra俱乐部是以社区为基础的组织,往往建立在偏远或受冲突影响的地区,成员自愿汇聚一堂,讨论共同挑战并组织集体行动,改善农村社区生计,为农村人民特别是妇女赋权。35
与粮食供应链其他参与者协作也是管理市场风险的关键,有助于在小规模生产者和价值链其他参与者之间建立信任、网络、合作和信息交流。因而可通过合同农业36 等机制实现互惠互利,即从事农作、畜牧业和水产养殖的小规模农业生产者产出价格得到保障,加工商和分销商则获得质量满意的产品。37
采取更可持续的生产做法,是增强农户抵御能力的另一项重要战略。建议采取的做法与经营小型企业的农户密切相关。这些做法由于不需要大量进行风险投资,除惠及小规模生产者之外,还在增强抵御能力和提高生产力方面发挥协同作用。生态农业是一种可以帮助小规模生产者适应和减缓气候变化的方法。证据日益表明这种方法对环境、生物多样性、农民收入、气候变化适应以及应对多重冲击和压力的抵御能力大有裨益。然而,根据不同的方法和数据,以及不同的空间尺度和时间框架,从案例研究、孤立经验和实地观察中得出的证据仍然支离破碎。38
为克服缺乏系统数据的问题,粮农组织与大量合作伙伴开发了生态农业绩效评价工具。该工具运用创新框架,整理了生态农业为向更具可持续性和韧性的农业粮食体系转型提供支持的相关全球证据。39 其中,抵御能力是一项明确的衡量要素,从以下方面进行衡量:
▸ 生产系统整体多样性 — 作物、动物、树木和经济活动多样化;
▸ 经济抵御能力 — 生产和收入稳定性以及从冲击中恢复的能力;
▸ 社会抵御能力 — 减少社会机制的脆弱性;
▸ 环境抵御能力 — 农业生态系统适应气候变化的能力。
在五大洲25个应用生态农业绩效评价工具的国家中,生态农业与生物和经济多样性密切相关:农业生态农场越发达,作物、树木和动物以及经济活动越多样,就越能增强经济和环境抵御能力。抵御能力提高,往往能改善膳食质量和粮食安全。动物在增强抵御能力方面尤其发挥关键作用。40 生态农业绩效评价工具研究结果表明,发展程度较高的农业生态农场,适合当地条件的物种、品种和健康动物更为多样;生物多样性提高,土壤健康得到改善,这反过来又有助于提高生态抵御能力,加强生态系统服务。
马里应用生态农业绩效评价工具所作的一项评价表明,在净收入方面,发展程度较高的生态农业农场高于化学投入较高的传统农场。事实上,生态农业农场的成本低得多,因为更多依赖生物协同作用替代外部投入,41、42 例如粪便用作肥料,作物残留物用作牲畜饲料等。与此同时,生态农业农场生物多样性增加,能够提高抵御病虫害侵袭的能力。43
除了惠及农业生产者之外,生态农业如果广泛应用,还有助于扭转生物多样性丧失趋势,增强粮食和农业生物多样性。目前占主导地位的生产系统破坏生境、单一种植、过度使用化肥和化学品等投入物,使用少数几种物种、品种和变种替代多种作物和牲畜遗传资源,导致生物多样性丧失。44
以粮食和农业生物多样性为基础,生态农业能够产生多种协同效应,在提高环境可持续性的同时,实现有抵御能力的生计。生态农业模式还有助于稳定和提高产量,促进当地作物和动物品种生长,提高收入,促进家庭膳食多样化。45 粮食和农业生物多样性还为农村人民提供野生食物和其他资源(如用作燃料的木材),间接促进建立有抵御能力的农村生计。插文15列举了一些案例,说明生态农业与生物多样性相结合能够建设农村人口生计的抵御能力。
山区伙伴关系产品倡议(MPP)提供了具体案例,说明将农业做法与生态农业以及粮食和农业生物多样性相结合,能够在提高生产力、环境可持续性和建设抵御性生计方面发挥协同作用。该倡议旨在加强山区人民、山区经济和生态系统的抵御能力。这是一项认证和标签计划,促进本地和短供应链,确保生产者和消费者之间具备透明度和信任,初级生产者得到公平回报,农业生物多样性得到保护,传统技术得以传承。目前,该倡议在八个国家/地区运作,涉及20种产品。
其中一个突出产品案例是Jumla混合豆,这是在尼泊尔Sinja山谷海拔2300米处采用生态农业做法生产的。由于该产品具有较高的营养和文化价值,生产商能够将豆价提高25%以上,目前在全国各大超市销售;三年内产量翻了四倍,销量大幅增长。另一个案例是Melipona蜂蜜,这种蜂蜜为无刺蜜蜂所产,由六大蜜蜂协会在玻利维亚东科迪勒拉山脚下的玻利维亚Serranía del Iñao国家公园采集。这些蜜蜂完全适应当地环境,是重要的传粉者;蜜蜂物种损失会降低玻利维亚森林生物多样性。生产商能够将销售价格提高80%以上。
在这两个案例中,当地社区的粮食安全和营养都显著改善,惠及女性和青年,女性越来越愿意从事农业,青年能够继续接受教育。
气候智能型农业是另一种增强抵御能力的方法,旨在促进粮食安全、具有抵御能力的生计和具有气候抵御能力的农业。48、49 这一概念认识到,传统的主流农业无法可持续养活不断增长的全球人口,因为这种农业造成环境恶化和自然资源枯竭。50 回顾气候智能型农业在非洲的应用,不难看出这种农业模式带来多重惠益。能够帮助小规模农业生产者实施可持续土地管理、减缓荒漠化,提高抗旱能力,同时提高生产力和收入。还能提高农户适应气候变化的能力,尤其是以女性为户主的家庭。51
气候智能型农业的一个成功实施案例是苏丹北部州的Kodroka森林保护区。由于沙漠扩张、气候变化和水资源管理效率低下等多种因素综合作用,这里大部分森林已经严重退化。许多农民已经开始适应气候变化,例如调整种植和收获次数,从而适应夏季较长和降雨不可预测等情况。粮农组织与森林周边社区合作,在退化土地上间种作物和树木(如金合欢和桉树)。在几个收获周期内,这一地区再次变得葱郁多产。树木缓冲沙漠扩张,农作物改善农民生计,在适当时间间隔内适当采伐树木还能带来额外收入。52
许多农村生计不稳定,农民更易受到冲击,可能进一步削弱资产基础,损害有效应对未来冲击的能力。53 数亿农户陷入饥饿、贫困和生产力低下的局面,造成不必要的痛苦,阻碍农业发展和宏观经济增长。打破这一循环需要在两个互补领域采取行动,即社会保护和经济生产部门。在许多发展中国家,大多数贫困人口生活在农村地区,农业是最重要的生产部门。因此,将社会保护与农业发展相联系,是打破农村贫困循环的潜在有效手段。54
发展中国家制定社会保护政策,起初是为了帮助在1980和1990年代初期结构调整计划中利益受损的人群。现已超越福祉问题,日益重视降低风险和冲击对脆弱生计的有害影响,并支持经济和生产包容性。55制定对性别、营养和风险敏感且能够应对冲击的社会保护政策,有助于提高收入,弥补贫困家庭消费不足,促进他们投资和从事生产活动。社会保护与在气候风险管理战略中采用气候智能方法相结合,所发挥的作用尤其引人关注(见插文16总结的粮农组织研究结论)。
社会保护计划正日益成为减少家庭对多重冲击脆弱性的重要机制,如粮食短缺和气候冲击等。社会保护计划通过现金或实物资源补助,直接为面临粮食不安全的弱势家庭提供支持,还能够鼓励补助受益人投资于经济活动。粮农组织对乌干达难民社区的一项研究发现,现金和粮食补助均能帮助受益人稳定家庭粮食消费,降低对资产清算或负债等消极应对策略的依赖。在地块面积大,足以带来投资回报的条件下,现金补助也鼓励对农业活动进行投资。60
社会保护计划还能帮助贫困农民采取策略降低对气温上升、降雨不规律和新病虫害传播的敏感性,间接降低应对冲击的脆弱性。粮农组织在马拉维和埃塞俄比亚的一项研究表明,粮食援助为资源匮乏的农民扫清了各种阻力,使他们能够投资采用更好的气候智能型农业做法。61 小农户参与马拉维主要公共工程计划“社会行动基金”,更有可能在多个农作季节采用气候智能型(CSA)做法和技术,从而在中期实现更高的生产力回报。62 在埃塞俄比亚,参与生产安全网计划(PSNP)公共工程部分的家庭不太可能遭受农业损失、粮食短缺以及因干旱或其他冲击造成的作物歉收。63
这些经验表明,社会保护计划能够切实有效地支持家庭应对冲击和紧急情况。然而,这些计划很少辅以明确的抵御能力增强策略。打破孤岛效应,改善社会保护与增强抵御能力举措之间的协调性和连贯性,有助于改善资源利用,还有助于提高生产力和粮食安全。
大量证据表明,社会安全网能够有效保护福祉、资产和粮食安全。56-58 若能保证在可预测的时间间隔内常规提供,社会安全网还会影响生产,为生产提供一定程度的保险和流动性,有助于家庭把握经济机会。此外,社会保护可能对当地社区和经济产生积极的乘数效应。59
社会保护不断发展,囊括公共和私人举措,为社区、家庭和个人管理风险提供支持。具有三个组成部分:(i)社会援助(例如现金或实物补助和公共工程计划);(ii)社会保险;(iii)劳动力市场计划。64 社会保护救济提高收入和家庭整体能力,促进冲击后实现恢复。55 在社会保护救济已经建立的情况下,可以在相对较短的时间内向受益人提供其他社会援助,并扩大服务范围,帮助新的弱势家庭。65
COVID-19疫情期间社会保护应用的证据表明,各国均在一定程度上提高现有计划的保障水平,扩大了参保人群。新计划的数量已经相当可观,在疫情应对措施中,63%的现金补助计划是新推出的。66 这些应对措施在速度、覆盖面、保障水平和持续时间方面是否到位因区域和国家而异。平均而言,应对措施仅持续三个月,远少于危机持续时间,约40%的计划为一次性支付。66 社会保护体系较发达的国家更有能力保护人民收入不受影响,突显出正常时期必须加强对社会保护体系的投资,以便在危机时期更容易扩大保护范围,应对弱势群体的需求。67
社会保护能够支持小规模农户采用获利更高的生计策略;若非如此,由于此类策略风险更大,他们往往难以企及。54 社会保护为主要依赖农业的贫困农户提供替代方法,而无需采取减少资产等消极应对策略,因为这些策略会加剧脆弱性,破坏未来的创收能力。减轻对信贷、储蓄和流动性的限制,提供现金和实物支持,有助于降低农户脆弱性。定期且可预测的社会保护工具能够促进家庭更好地管理风险,并从事更加有利可图的生计和农业活动。如果设计得当,社会保护能够与生产活动和投资发挥协同效应,从而加强小规模生产者生计抵御能力和可持续性。68
提供社会保护和生产支持的计划具有很强的互补性,正日益在农村地区实施。粮农组织对2007-2018年间扶持政策的审查发现,这些计划有助于消除农村贫困。64 审查研究提出了进一步发挥协同作用的方法,具体如下:
▸ 在全球范围内,无条件现金补助和学校供餐计划是使用最广泛的社会援助计划。然而,很少有人关注需求最大的农村社区。国家计划应包括专门为应对农村贫困挑战而设计的组成部分。
▸ 大多数具有农业支持成分的社会援助计划都包括公共采购计划,主要是学校供餐计划和食品补贴;但社会保护与公共采购之间的联系仍有待加强。
▸ 除公共采购计划外,生产支持计划仍很少包含社会援助内容。应加强现金补助与与生产要素(例如投入品、信贷和灌溉)相关计划之间的联系。
▸ 农业保险计划呈增长趋势;考虑到在农村地区促进生产、减少贫困以及降低脆弱性方面的潜力,加快推广农业保险计划至关重要。
现有计划的重点要转向应对农村贫困的独特挑战,以及利用社会保护和生产支持计划之间的潜在联系。如赞比亚的一个案例研究所示,社会保护应与良好的农业方法和做法相联系,例如生态农业和气候智能型农业,从而发挥协同效应并增强两种支持产生的影响。69 考虑风险且应对冲击的社会保护计划能够与农业和农村发展方面的公共支出产生协同作用,从而使这两类支持更具包容性。有针对性的计划取得了积极成果,特别是在健康、营养和入学率方面。精心设计的计划还有助于防止使用童工,因为家庭更可能让孩子继续上学。扩大社会保护范围,涵盖小规模生产者,包括渔业和水产养殖业者以及非正规工人,应成为提高城乡地区弱势家庭抵御能力工作的重中之重。
应特别注意扩大对小规模渔民和非正规渔业工人的社会保护覆盖面。粮农组织的一项全面审查发现,这类人群面临多重风险,未受到充分保护或压根没有受到保护。与其他小规模农业活动相比,他们面临着特殊的经济脆弱性,以及巨大的社会脆弱性。因此,针对这些群体在国家和地方层面面临的各类特定挑战,需采取创新干预措施提供保护。70
为增强包容性,社会保护必须足够灵活,适应地域和部门流动性,促进家庭抓住跨部门和跨空间机遇。在经济快速增长的国家和地区,包容性尤为重要,因为结构转型可能会加剧不平等,将更多弱势和边缘化家庭排除在外。
除非伴随着生产力和经济可持续增长以及政府收入增长,否则此类计划成本太高,难以长期为继。需采取一种平衡方法:农业地域投资和政策必须立足于实现增长和创造就业,税收和社会保护必须着力减少不平等,增强包容性,同时确保计划的财政可行性和可持续性。
实现长期经济包容性需采取全面的社会保护体系,提出全方位的预防、保护、促进和变革措施,不仅应对农村贫困人口面临的各种脆弱性问题,还为生计提供支持。例如,撒哈拉以南非洲国家的现金补助计划帮助贫困和边缘化农户积累资产、为其赋权并开展经济生产活动。这进一步说明社会保护是改善生计的投资。补助水平、支付可预测性和规律性以及相关宣传类型等特征,是增强经济和生产影响的其他关键因素。将可预测、可靠的社会保护与农业支持干预措施(例如放宽生产性资产和培训获取渠道)相结合,能够最大限度地发挥影响,从而促进经济可持续包容进程取得成功。71
贫困和脆弱性具有地域性;一些地区如果与城市和出口市场失去重要联系,就会面临孤立和贫困的风险。这些地区需要对公共和私人基础设施进行投资,刺激价值链发展。从长远来看,促进获取信贷、生产性资产和技术培训对于发展农村生计和提高生产力至关重要;否则,社会保护计划不可持续。然而,经济包容需采取更长期和更全面的方法,在一定时期内逐步采取干预措施提供大力支持,从而逐步实现可持续生计。社会援助与社会保险相结合,能够显著增强农村生计抵御能力,确保农村贫困人口逐步走上经济包容性道路,从而减少对社会保护的需求。71
本章分析农村抵御能力的驱动因素。35个国家的实证结果表明,生产性和非生产性资产、收入多样化以及教育和卫生等基本服务获取机会,是家庭抵御能力的重要决定因素。因此,增加生产性和非生产性资产获取机会,支持农业和非农业收入多样化至关重要。扩大受教育机会也是基本干预措施,能够增强抵御能力,增加人们从事报酬丰厚的稳定工作的机会。人人享有饮用水、环境卫生和个人卫生(WASH)服务为增强家庭抵御能力发挥关键作用,尤其是往往生活环境恶劣的畜牧业从业人员。强烈建议牧民家庭采取干预措施,提高优质基础设施的实用性。
本章还从建设抵御性生计的相关文献中得出各种经验,旨在克服潜在的利弊权衡,产生协同效应,提高效率并促进小规模农业生产的可持续性。本章强调,采取集体行动加强小规模生产者与生产者协会和合作社等价值链其他参与者之间的网络和合作,是建立农村生计抵御能力的基石。生态农业、气候智能型农业和生物多样性保护也有助于增强对气候冲击的抵御能力,在维持农村生计的同时提高环境可持续性。
社会保护工具考虑定期、可预测的风险并应对冲击,加之生产支持计划,能够促进家庭更好管理风险,参与利润更高、更可持续的农业活动。保险或应急计划还能够在灾难发生后提供关键物资(例如农民的种子和牧民的牲畜),从而提供保护,启动恢复工作。
粮食安全和营养保障政策需考虑最易受到冲击和压力影响的人群以及非正规工作者;社会保护方案必须具有包容性。确保后者需采取创新措施,让家庭获得服务和信息,建立自信心。若发生冲击,全面的社会保护体系应为农村贫困人口提供不同类型的干预措施和计划,帮助他们从事体面生产活动,防止被迫退回自给模式。
主要由妇女和女童组成的家庭最为脆弱,在制定社会保护和支持计划时需给予更多关注。资源和生产性资产边缘化是造成脆弱性的主要原因,凸显有必要制定赋权计划,提供资源和教育获取机会,建立和增强抵御能力。婴幼儿是独一无二的脆弱群体:若发生影响粮食安全和营养的冲击,健康损害不可逆转。若社会安全网资源有限,应优先考虑婴儿和儿童,防止儿童发育迟缓、消瘦和其他形式的营养不良。
抵御性生计发展政策应考虑到目标家庭面临的具体情况和多重风险。政策措施不应简单取代家庭自身的抵御能力策略,这会使他们产生政策依赖性,从而在政策中止后更为脆弱。例如,限制食品价格的政策致使家庭过于依赖这种支持,可能丧失抵御能力。与之相反,维持宏观经济稳定的政策可以促进储蓄等自我保险机制,增强家庭抵御能力。
若农业经济占主导地位,则农村非农经济和其他城市部门的发展对于为农民和农村社区提供更具吸引力和更多样化的收入来源至关重要。如果农户经营的农场规模极小,经济上面临破产风险,则发展非农经济尤为重要。技术开发需要公共部门的大力参与,这样才能确保农业创新惠及低收入农民。此外,还要更加重视在降低风险的公共产品方面进行投资,例如灌溉排水系统、高产抗病作物品种等。
总之,农村生计抵御能力取决于当地具体情况,包括社会经济发展、环境和农业气候条件等。家庭抵御能力策略的顺利实施还需要制定多种干预措施,提高农业粮食体系各个层面的风险管理和抵御能力,包括针对粮食供应链、治理和机构的干预措施,此外还要具备支持措施实施所需的基础设施。这些内容将在本报告下一章、也是最后一章中进一步讨论。
纵观历史,农业粮食体系从来无法幸免于不同冲击和压力造成的伤害。疫情给许多国家的农业粮食体系带来了巨大冲击,尤其是贫困和弱势群体。政府的封城禁足措施减少了他们的就业和收入机会,导致食物支出减少。这反过来又对粮食供应链参与主体的生计产生了负面影响,从供应商到批发商、加工商、生产商,无不如此。由于收入和购买力受损,多达1.18亿人陷入食物不足的境地。疫情对粮食安全的影响既创造了需求,也催生了采取行动的动力,促使各国提高世界农业粮食体系的韧性,应对冲击和压力。需要制定政策,加强农业粮食体系的预防、预测、消化、适应和转型能力。为了结合背景认识政策重点,不妨暂时回到第1章的三个基本问题:
▸ 对什么有韧性?冲击和压力往往无法预见,通常出现在农业粮食体系内部和外部,并通过扰乱相关机构和主体的运行而损害其顺畅运转。
▸ 建设什么的韧性?重点是国家农业粮食体系,即粮食生产、储存、分销和消费环节中的所有主体和相互关联的增值活动。
▸ 为什么要建设韧性?建设韧性的目的是在发生任何干扰时,都能可持续地确保所有人获取充足、安全、有营养的食物。建设韧性,可改善农业粮食体系中生产者、中间商、消费者等所有主体的生计,促进可持续发展。
本章将讨论“如何建设韧性”这一关键问题。提高韧性面临的一大挑战是,对农业粮食体系作出任何变化,都可能产生意想不到的后果和反馈,影响体系的所有主体和活动,并可能产生积极或消极的结果。要调和相互冲突的目标,就需要制定政策(包括战略和预算),使不同主体(公共、私人、民间)的活动和决定保持一致,并促进创新和可持续的做法,提高韧性,解决营养不良、气候变化和包容性问题。1、2
第1章中的图2凸显了农业粮食体系中不同层次和主体之间的相互联系。决策者需要在本国农业粮食体系受到冲击而需要采取纠正性干预或紧急措施之前,就意识到这些联系。体系的整体表现取决于背景因素(包括机构和法规)与系统组成部分之间的这些联系和相互作用。各组成部分的特点不仅决定着其适应冲击的能力,而且决定了整个体系的消化能力,即本报告主要关注的韧性问题。例如,若粮食供应链在遭受冲击时能快速做出反应,切换贸易伙伴,就是韧性较强的表现,有助于建设更具韧性的农业粮食体系。为了快速有效地采取行动,需要供应链的不同参与者开展合作。在疫情期间,许多农业粮食企业开始与以前未在粮食部门经营的物流公司合作,转而启动了电子商务。
需要根据农业粮食体系可能面临的各种冲击和压力,以及这些冲击和压力在农业粮食体系中传导的不同方式,来制定韧性建设的方法。前几章的实证表明,为了建设农业粮食体系的韧性,在制定政策、战略和计划时,必须坚持三项指导原则:
韧性建设包括做好应对冲击的准备。在多种风险频发的环境中,韧性建设包括为可预测的和无法预见的冲击做好准备,因为这些冲击都充满不确定性。为防患于未然,要对体系的结构特性进行细致评估,包括评估通过途径多元化和连通化培养的消化能力(见第2章),以及由不同主体和响应方式培养的适应能力(见第3章)。这使得该系统即使在出现不可预见的干扰时也能保持运转。
韧性建设是一项全体系、多风险、多主体、多部门的举措。因此,需要对体系的每个组成部分及其面临的具体风险进行分析。这意味着要关注粮食供应链、小规模生产者和弱势家庭,并基于风险考量制定政策和做法,营造有利条件,以提高韧性。为了确保高效的农业粮食体系治理、体系各组成部分之间实现最佳协调,且与多个目标有效衔接,有必要厘清各种联系。
更广泛的政策问题会对韧性建设产生重要影响。有必要考虑在农业粮食体系之外采取基于风险考量的政策措施,例如促进性别平等和妇女包容,建设更完善、更包容的卫生体系、更可持续的能源体系,促进自然资源的可持续利用。这需要全面开展多风险评估,并在各部门和各层级内部和之间采取协调一致的政策和做法。
图10反映了农业粮食体系的复杂性,在应用这些原则和建设韧性时,需要认识到这一点。基于第1章的概念框架(图2),图10展示了农业粮食体系及其与背景因素的联系。红蓝色的同心圆表示第2-4章中讨论的农业粮食体系的不同组成部分 — 国家农业粮食体系、粮食供应链和家庭,以及这些组成部分在建设韧性方面面临的主要挑战。深浅不一的红色表示农业粮食体系对冲击和压力的准备情况,具体而言,反映农业粮食体系种缺乏有效手段应对冲击的不同组成部分和相关主体(如农业生产者和中小型农业企业、家庭和整个国家农业粮食体系)。外圈的箭头表示农业粮食体系以外的背景因素 — 气候、环境、宏观经济条件,以及其他部门的因素;此外还有机构、政策和法规。这些因素都会对农业粮食体系及其韧性产生重要影响。
因此,关于三项指导原则,图10中的红色阴影强调,目前缺乏手段应对冲击的农业粮食体系主体和环节必须积极筹备、防范冲击(第一条原则)。蓝色和红色的同心圆表示需要分析农业粮食体系的不同组成部分,以及第二条原则所包含的这些组成部分之间的联系。第三条原则提请注意更广泛政策问题的重要性,体现为外圈的背景因素。
本章基于这三项原则,探讨可以采取何种政策和投资,建设国家农业粮食体系以及单个粮食供应链、活动和主体的韧性。第一步,应重点减少整个农业粮食体系的风险和脆弱性,保障各项功能正常。重点应关注粮食来源和供应的多样性,以及密切相关的互联互通概念,确保粮食商品在动荡时期持续流动。本章接着讨论了农业生产者、农业企业、粮食供应链和弱势家庭在面对冲击和压力时,进行预防、预测、消化、适应和转变方面的韧性。然后,探讨了更广泛的政策环境和框架内的韧性考虑因素,最后提出结论,总结了本章提供的指导意见。
在设计政策和投资以提高农业粮食体系韧性时,需要考虑风险和不确定性。就风险而言,可就可能的结果给出概率分布;而就不确定性而言,由于缺乏信息,或者因为结果完全不可预见,发生某种结果的概率是未知的。管理风险通常需要尽量避免特定可识别的不利事件,并降低对这类事件的脆弱性,如做好抗旱准备。多风险管理战略要采取预防、减缓、准备三步走的综合办法,也有助于提高农业粮食体系的韧性,更好地应对不可预见的状况。
然而,农业粮食体系通常同时面临来自不同来源的不确定性和多重风险,因此,在管理风险的同时,必须以多种应对措施作为补充,形成充分的消化能力。培养消化能力是为了保证多样性,为农业粮食体系可能面临的冲击做好准备。培养消化能力不是定向发力,而是在破坏性事件发生后,提供应对选择方案。因此,将多样性与风险管理结合起来,有助于农业粮食体系的组成部分和主体适应不可预见的冲击,同时保持农业粮食体系的核心功能,并有可能向更可持续和有韧性的状态转型。
正如本报告中提到、并在第2章中强调的,面对多种风险和不确定性,参与主体和应对措施的多样性对农业粮食体系的韧性建设至关重要。多样性可以为学习和转型提供网络,防止风险、减缓冲击,并确保灵活应对不同的需求和机会。农业粮食体系的多样性特点是生产不同的商品、依赖不同的(国内和国外)供需来源。能够获取更多样化的投入来源和产出市场的粮食供应链脆弱性较低。同样,若有多个贸易伙伴,就可以从不同的供应来源“进口”粮食,或向不同的需求渠道“出口”粮食来增强韧性,从而稀释一个地区同时发生的冲击对其他地区和部门的影响。在当地民间社会,从合作社到社区支持的农业和城市农业,不同的市场渠道可以为公民提供粮食安全和营养。3 其他缓冲策略包括替代粮食来源,如粮食储备。4
第2章为平衡粮食自给自足和国际贸易所产生的潜在协同效应和权衡取舍提供了全新的视角;强调了在一个体系中留出丰余的重要性。一方面,农业生产者为国内市场生产粮食或向不同贸易伙伴出口粮食,可以从需求渠道的丰余中获益。另一方面,商店货架上摆满不同来源的食品,包括国产、进口和粮食储备,也会让消费者受益。
虽然内部供应在农业粮食体系中占很大比例,但从国产和进口来源获取营养丰富的食物组合是分散风险的重要战略,对小国而言尤其如此。对于农业底子薄,因而对粮食进口依赖程度较高的国家而言,通过从社会经济和气候条件不同的国家进口一篮子多样化的营养食物,来管理贸易上的互联互通,对于分散风险和降低对外部冲击的脆弱性至关重要。
然而,第2章中介绍的膳食来源灵活性指数(DSFI)表明,在采购营养食物方面,国际贸易对各国的影响存在差异:对许多低收入国家而言,进口为获得膳食能量提供了灵活的选择,但水果和蔬菜的选择却非常有限,部分原因是存在运输物流限制,且这类食品容易腐烂。在这些国家,可能需要制定政策并进行投资,促进营养食物的国际贸易,确保在危机时期的供应不受影响。1 贸易壁垒也会降低采购食品的灵活性。各国设立新的自由贸易区,并扩大现有自由贸易区的商品和产品覆盖面,可以让所有参与者互惠互利,增强韧性。
有人担心多样化道路的效率不及专业化和优化发展(如运输物流)。然而,农业粮食体系层面的多样化并不一定会限制效率。很多时候,不同类型的供应链和利益相关方可以填补特定的市场空白,并相互补充。这种广义上的多样化并不意味着生产者不应该走专业化道路。相反,多样化意味着在国家层面上不应该只专注于发展同一种产品,因为农业粮食体系在遭遇影响该特定产品的冲击时,会变得不堪一击。如果存在权衡取舍,为了作出适当的多样化选择,必须平衡损失效率会引发的成本与提高韧性会带来的好处(即可以增加收入、减少潜在冲击带来的损害和损失)。同时,还必须平衡短期损失与可能规模巨大的长期收益(即提高韧性后,更有能力管理不可预测的冲击)。5
选择最有效的多样化战略将增加从提高韧性中获取的收益。回到第2章提出的一套灵活性指标,参考其中关于防范冲击、降低脆弱性的信息,可以帮助决策者选择适当的战略,更准确地预判农业粮食体系每个组成部分的脆弱性,并据此采取行动,提高体系的消化能力(插文17)。
第2章介绍的膳食来源柔性指数(DSFI)和初级生产柔性指数(PPFI)(见插文3和5对其方法的简要描述),基于采购粮食和为初级生产者创造价值的多种途径,衡量农业粮食体系对冲击的消化能力。这些指标涵盖了150多个国家,但不反映每个国家每个途径的暴露程度和面对冲击时的脆弱性程度。这种方法无法预测威胁。然而,若政策制定者掌握了威胁情况、发生威胁的可能性以及受影响途径,就可以将其纳入决策流程,以得出一套风险调整的指标。
这些指标可以细分为一组不同途径的组成部分(见插文4图中的叠条),具体可以在指标公式中为每个组成部分增加遭受冲击的概率进行分类(见附件1的示例)。对于每一个组成部分而言,这些概率表明某一组途径可能不存在,因此在发生冲击时无法采用。举例来说,如果一国在遭受冲击时,可以随时调用库存,那么概率就是零;但如果无法调用库存,概率就是1。实际情况是,概率将介于两者之间。就库存而言,只有在供应量下降一定数量时才可以使用,在这种情况下,概率等于冲击不会导致供应量下降该数量的可能性。
因为一国在遭受冲击期间不可能随时可以动用所有途径,所以经风险调整后的这套指标会比本报告中提出的数值低,低多少取决于不同途径的(感知)可靠性。
在复杂的体系中,很难管理人们无法衡量的东西。这些指标有助于量化农业粮食体系的韧性,为如何改造体系以提高韧性提供重要指导。
除了与国际贸易伙伴保持联系,农业粮食体系还依赖与有形和其他基础设施的互联互通,如通信和运输网络,这对确保供应多样性和快速适应冲击至关重要。连通性良好的农业粮食体系可以切换供应来源和运输路线,促进粮食产品、农业投入和劳动力的商业化,打通知识和金融资源渠道,更快速轻松地克服冲击、恢复常态。通过基础设施与国际市场接轨,并保持稳健的商业关系,是互联互通的重要组成部分。
发展并维持稳健强大、多样化的国内粮食运输网络,有助于突破本国地理阻隔、在不同城市环境中获取粮食。同样,确保国际贸易互联互通的有形基础设施(港口、国际铁路系统等)非常重要。在疫情期间,许多政府积极提供支持,开展统筹协调,确保粮食转运畅通无阻。例如,国际海事组织(海事组织或IMO)呼吁各国政府将海员和海事人员视为提供基本服务的关键人员,免除对他们的行动限制,允许他们登船或离船,并过境到机场。6 在欧洲,私营港口和码头敦促欧盟成员国将港口视为关键的基础设施,并提供适当的支持,以避免货运中断,防止大量失业。7 中国为新鲜农产品开辟了绿色通道,并利用电子递送平台,解决小规模生产者进入城市社区面临的物流问题;同时,让消费者远离人流密集的食品市场,最大限度地降低感染风险。8
保证连通性也包括管理可能破坏连通性的风险。灾害和危机会严重影响农业和粮食供应链中的基础设施和服务,如道路、运输或储存设施。其结果可能是对人们的生计、环境和经济造成灾难性的破坏和损失。因此,必须评估、保护连通性,防范相关风险;规划、设计、开发对风险敏感且具有气候适应能力的新型基础设施。为适应气候变化,需要评估物理脆弱性。还应加强土地使用规划,预防或减少危害的风险。
互联互通还有另一个重要的风险相关层面:需要建立有效、广泛的食品安全管理体系,以确保整个农业粮食体系警惕食品安全问题。确保符合食品安全标准,有利于在遭受冲击的情况下切换粮食采购源。疫情突显了人类、动物和环境健康之间的密切联系,表明必须通盘考虑,综合施策。最近的研究表明,新出现和重新出现的传染病与生态因素、气候和人类行为的变化密切相关。9-11 据估计,75%的新发现或新出现传染病是人畜共患病(即从动物传染给人类)。12
需要建立更强大的国际机构,并加强合作,来检测并遏制传染病,保障食品安全。13 世卫组织为实现更好的公共卫生成果,在计划、政策、立法和研究方面采取了“同一个健康”举措,为世界提供了范例。14 该举措要求动植物健康、食品安全、营养和生物多样性、气候变化、林业和环境保护等各部门开展协调。还需要将性别平等以及经济和社会责任的原则纳入到规范和业务能力发展中。立法可以为促进和落实这些做法创造有利的环境,为加强农业和野生世界动植物健康以及为确保食品安全奠定法规基础。同时,通过机制来预防和控制环境污染、生物多样性丧失、森林退化和气候变化的影响,还有助于保护和恢复生态系统。15
正如第3章所述,国家农业粮食体系的韧性在很大程度上也取决于粮食供应链的多样性和连通程度,以及这些供应链上的农场和农业粮食企业如何采购投入品、如何销售产品。本节确定了提高粮食供应链韧性的主要政策干预措施。供应链有韧性不代表所有参与主体都有韧性。冲击和压力可能会对一些参与主体造成灾难性的损害,但也能为其他参与主体创造转型和发展的机遇。这种动态总是会带来赢家和输家:一些参与主体可能会成长,而另一些则可能会消亡。重要的一点是,若供应链具有韧性,冲击和压力会带来整体功能和交付效率的提高;此外,社会保护或利用现有粮食储备等措施,可将社会经济成本降到最低。
因此,在安排政策优先次序时,应重点考虑粮食供应链的韧性与效率、包容、公平之间的潜在权衡取舍。例如,在纳入重复和丰余(加强韧性)与尽量减少成本(短期增效)之间,可能存在权衡取舍。同样,如果在增强韧性时将弱势小规模农业生产者排除在外,那么粮食供应链可能具有韧性,但缺乏包容性。现在面临的挑战是如何实施正确的政策和干预措施组合,以帮助建设能力,优化权衡取舍,创造协同效应,从而实现有韧性、高效、包容的粮食供应链。
保持不同粮食供应链内部和之间的多样性,对确保农业粮食体系的韧性非常重要。第3章将粮食供应链分为三大类型:传统型、过渡型和现代型,每一种类型在面对冲击和压力时都有各自的优劣势。出台政策和干预措施以加强粮食供应链韧性时,应确保:
整合传统型、过渡型和现代型粮食供应链。这些供应链在国家农业粮食体系中发挥着不同的作用,但都可以作为应对不同冲击和压力的缓冲器。过渡型和现代型供应物理链跨度长,地理覆盖面广,更容易应对地方的冲击,确保直接受影响地区的粮食供应通畅无阻。在现代粮食供应链中占据主导地位的大型农业粮食企业有更多机会获取资本和资源,凭借雄厚的经济实力,能够在长期内抵御冲击。此外,它们在国际贸易中发挥着核心作用,这是实现粮食来源多样化的关键,可提高农业粮食体系的韧性,减缓国内遭受的冲击。
然而,在发生大规模冲击时,地方的传统型产业链,特别是那些基于小规模生产者和中小型农业企业的产业链,在提高粮食供应链的韧性方面也发挥着重要作用。例如,粮农组织发现,小村庄的农业粮食体系具有靠近生产区、供应链较短的优势,比那些处于较长供应链上服务于较大城市地区的体系,更能抵御冲击。16 这一点在疫情期间也十分明显:许多地方一级的供应链在应对需求变化方面相当灵活。17 中小型农业企业如果能够获得充足的信贷和基础设施,也可以变得成熟、高效、有韧性。
疫情为进一步激发热情、消费当地供应链提供的食物创造了机会。17 由于中间商数量少,配送时间短,当地粮食供应链往往能够为消费者提供更新鲜、更有营养的食物。此外,还可以带来看得见的发展和可持续效益,如减少化石燃料消耗、增加对当地经济的支持等。17-19 改善城乡基础设施,建设传统型粮食供应链参与主体使用数字工具的能力,可以在效率、包容性和可持续性之间创造协同效应,同时增强整个农业粮食体系的多样性。食物送货上门服务和其他电子平台通过各种数字工具将买家和卖家联系起来,在疫情期间加速发展,弥补了传统市场店铺的损失(见第3章)。
较短的现代型粮食供应链也可以加强未来食品(如微藻和人造肉)供应的多样性。这些食物在封闭环境中生产,在很多方面有利于韧性建设,即减少接触生物和非生物风险因素;通过分散、地方性的粮食供应链提供有营养的食物。虽然未来的食品技术发展有赖于大规模财政投资和新的技术专长,但可以满足地方一级的需求,为食品采购提供了新的渠道,对于农业资源有限的国家尤其如此。20
承认城乡接合体农场和企业的异质性。应对脆弱性并在不同规模上提高韧性,需要采取区域视角。例如,粮农组织最近的一项全球评估显示,受防疫出行限制影响,农业和粮食相关活动出现了劳动力短缺问题,具体因城市聚集区的大小而有很大差异。一般来说,在5000到25000人的小镇,工人的出行距离较短,受到的影响较小,而居民人数超过500万的城市则更容易受到冲击。16
多样性也是生产者层面韧性的一个特征,农业很可能继续由不同规模的单位组成。纵观历史,农业生产者已经学会了如何应对多种并发冲击的影响,这些冲击可能是短暂的,也可能是持久的。由于生产者的复原能力与农场的特点以及他们与周围环境的互动方式密切相关,因此政策和干预措施需要关注农业体系运行的区域背景。21 为了提高生产者的韧性,需要发挥他们自身的优势,并解决制约生产力增长的关键问题,如信贷和市场准入受限。政策也应避免取代生产者自己的策略,防止对政策产生依赖。
考虑到背景和异质性。不同类型的农业生产者、农业粮食企业和粮食供应链对冲击和压力的暴露或脆弱性程度各不相同。在出台减少脆弱性的措施时,包括发展多样化生计和替代生计手段,需要因地制宜、因企而异。在遭受灾害和与气候有关冲击的高风险地区,防范灾害风险、采取适应气候变化的良好做法、技术和创新都有助于减少脆弱性的根源问题。农场和/或企业以及地区层面的耐候型做法和技术有助于提高产量,支持生产的可持续性,提高多样性,并减少气候冲击和压力造成的歉收风险。22
有助于减少农业粮食体系脆弱性和风险的做法包括推广耐涝、耐旱、耐盐碱条件的作物、牲畜、树木和鱼类品种。23 土壤和用水做法,如发展保育性农业、农林业、饲料保护、改进种子储存条件,都是健全耐候性做法的范例。24、25 2019年,有学者对减少灾害风险的良好做法开展了效益成本比研究,结果发现产生的效益平均比农民此前在有害条件下使用的做法高2.2倍。26
任何粮食供应链的表现都取决于两大因素:一是不同参与主体 — 也包括相关投入品和服务供应链(见第3章)主体所做的众多决定;二是这些决定在不同条件下的互动和变化方式。在设计和实施粮食供应链韧性建设战略时,需要为各主体营造有利的环境。建设供应链韧性的关键有利条件包括:
利用信息通信技术(ICT)和数字工具发展物流。中央及地方政府应与私营部门、非政府组织和国际发展机构发挥重要作用,支持采用这些技术。适当规模的信息通信技术可以为检测早期风险迹象、及时预测、采取预警策略、采取多样化应对措施提供工具。27 信息通信技术和数字工具还可以极大地促进农业部门的信息获取,为大幅提高农业推广、咨询服务和学习的有效性铺平道路。28 同时,还有助于决策者在自然资源、耕作体系、病虫害防治等方面做出知情决策。疫情暴发以来,全球出现了一股新趋势,即在农民和消费者之间建立更多的线上直销渠道,如电子商务,这可以改善包括水果和蔬菜在内的新鲜食品的获取。29
提高风险管理和预警能力。采取综合办法建设农业粮食体系的韧性,有助于预测冲击的可能性,以及冲击对生活、生计、粮食安全和营养的影响。要素包括农业气候监测、灾害和危机风险及脆弱性评估(包括病虫害)以及农业损害和损失数据等内容。30-32 为了加强知晓风险和危机的决策,各级政府应与学术界、研究中心和私营部门协调,提供这类数据供整个农业粮食体系分析。33 预警系统通常将监测和风险评估与沟通和准备系统及流程结合起来,以便采取预期行动,减轻灾害和危机的影响。34 公私合作对于建立预警系统,应对并发或长期累积的多种灾害以及任何潜在的连带影响至关重要。多重风险的预警系统应与可操作的警报相结合,以触发立即行动和应急机制。这意味着需要通过明确的预期行动和应急计划,将预警系统与一系列政府机构和地方利益相关方联系起来,并提供资金,以便基于预警系统采取必要的行动。
开展包容性治理,加强机构能力,更好地管理风险。治理是各种进程的组合,公共和私人主体通过这些进程表达他们的利益,界定问题并排列优先次序,并作出、实施、监测和执行决定。35 包容性治理是准备工作的核心,重点是发展知识和能力,以便有效应对冲击和压力。治理工作应结合对风险和潜在危机的合理分析以及早期预警系统,对于确保在必要时作出快速、适当的响应并恢复常态至关重要。34 除了这些国家层面的政策工具,还应该制定地方层面的多风险管理战略,以解决潜在的脆弱性和风险驱动因素,根据当地情况加强机构能力。只要不同层次的管理机构通力合作,就能在面对风险和不确定性时采取协调行动,并在适当的层面上灵活处理问题。36 一个例子是“城市-区域粮食体系办法”,该办法认识到城市中心和农村地区之间的联系,同时确认经济、环境和社会可持续性之间密切相关,且需要采取多部门视角看待问题(见粮农组织,2021)。37
为粮食供应链量身打造国家灾害和风险管理工具。在国家法律、政策、法规和粮食供应链战略中设计这些工具,将使利益相关方能够在部门内和部门间有效协作。提高从多个市场和地区采购的多样性(见第2章),支持多部门决策方法,并制定减少特定风险(如天气相关风险、生物风险)的规程,有助于利益相关方降低多种冲击和压力的风险和不利影响。投入品来源和销售网络的多样化也有可能在发生冲击时改善粮食供应。政府监管机构也需要确保现有产品和服务保持优质,并由繁荣、有竞争力的私营部门提供。如上文所述,世卫组织的“同一个健康”举措与粮食供应链的韧性建设密切相关,因为在提高生产力的同时,还能减少粮食供应链上的生物威胁风险。该举措整合农业粮食和卫生部门,通过改善虫害和疾病预防以及国家和全球卫生风险预警与管理,包括适当使用抗微生物药物以减轻抗微生物药物耐药性,更有效地协调虫害防治和疾病突发应对行动。25
销售战略创新和广泛参与。为了在长期内打造可持续、有韧性的农业粮食体系,必须提高粮食供应链持续有效地供给粮食的能力。寻找适当规模的市场渠道对中小规模生产者和许多中小型农业企业来说尤其具有挑战性。他们往往规模太小,无法通过大型垂直整合的杂货店连锁店经济地分销产品,但他们的体量对于直接面向消费者的渠道(如农贸市场)来说又太大。38 营造有利的环境,并鼓励粮食供应链上的参与主体开展协调,可以帮助他们克服与规模有关的市场准入限制。促进小规模生产者和小型企业积极参与生产者协会、合作社、联合体和涉农产业集群,通过政策营造有利环境以促进协调,可以帮助他们进入市场,并采用提高韧性和效率的商业战略。
将粮食从农村和分散的农业地区长途运输到城市需求中心往往成本较高,特别是冷藏或冷冻粮食商品。大多数小规模农业生产者缺乏获取和使用这些物流的专业知识、资本或信贷渠道。他们的分销系统往往是零散的,与现代粮食供应链的集中网络相比,效率较低,39 导致本地生产的粮食更加昂贵。提高物流效率可以降低成本,扩大消费者对缺乏超市地区出产粮食的获取渠道。一旦疫情结束,改善物流对帮助小规模生产者和中小型农业企业保持竞争力尤为重要,特别是许多消费者已经享受到一站式购物、送货上门和增值产品的便利。40 可以通过以下方法来改善物流:优化路线和调度,合并送货路线;发展物流中心(插文18);采用适当的车辆类型和尺寸以满足供应链目标;准时频繁地交货;外包运输服务;横向协作;以及优化物流设施的区位(即仓库的最佳数量和位置)。17
位于吉尔吉斯斯坦Kemin的物流中心是粮农组织在2018年设立的一个试点项目。该中心确保学校可持续地获得当地生产的农作物,进而改善校餐营养,增加小农收入,并促进该地区的经济发展。物流中心向Chui省Kemin的29所学校供应当地生产的多样化营养食物,以改善12000名学童的膳食,并为至少50名小农提供销售市场。物流中心集采购、储存和质量控制于一体,库存容量为250吨,仓库面积为270平方米,拥有农产品冷藏设备和实验室质控设施。还有一辆配备了保温箱的卡车,在向当地最偏远地区的学校运送农产品时,可以保证质量。
物流中心是将农业、营养和社会保护领域的措施集中于一个项目的范例。一项中期经济分析发现,该物流中心的模式可以在五年内实现可持续的投资回报;此外,该中心对储存的农产品收取5%的费用,以补偿储存和配送服务的成本。通过增强互联互通和储存能力,中心可以提高韧性,并在当地生产者和学校之间建立具有成本效益的供应链,同时达到食品质量标准。
资料来源:Shuvaeva和Belova,2019。41
更广泛地获取商业工具,提高敏捷性和灵活性。政策还需要注重帮助生产者和农业企业采用能增强韧性的商业工具。建议的措施包括:
韧性生计即使面对冲击,也能确保获取粮食,因此是韧性农业粮食体系的关键组成部分。在最容易受到冲击的家庭中,那些从事小规模种植业、畜牧业、牧业、渔业和水产养殖等初级生产活动的家庭,将从上一节所述的物流支持、生产创新和粮食供应链的包容性治理中受益最多。除了为这些家庭提供支持外,重要的是确保所有人在物质和经济上都能获取健康的膳食。本报告估计,除了近30亿人无法负担健康膳食外,如果冲击导致人们的收入缩水1/3,1 还会有大约10亿人面临无力负担健康膳食的风险。即使是高收入国家的家庭也可能受到冲击,损害粮食安全。45
然而,低收入国家的家庭会遭受更大的影响。农村贫困人口是面临最大挑战的群体之一。他们高度依赖个体经营和家庭劳动,以及基于自然资源的生计。他们受到市场运转不畅的制约,缺乏信贷、保险和适当的公共服务,如卫生和教育。这使得农村家庭极易受到冲击,例如:意外的天气和环境灾害;气候变化影响;金融和经济危机。46 这种冲击会影响到他们的生计,并可能破坏他们的资产基础和有效管理风险的能力。47 在建立小规模生产者和弱势家庭的抵御能力时,政策制定者应努力做到以下几点:
促进更好地管理风险,提高家庭抗御能力。对于从事小规模种植业、畜牧业、牧业、渔业和水产养殖的农业和农村家庭,以及在非正规粮食部门谋生的城市和农村家庭,如食品加工工人或街头食品摊贩而言,这尤为重要。为了确保政策行之有效,应该解决不同农业粮食体系参与主体的具体弊端,特别关注妇女、青年和原住民,并设计有针对性的措施,培养他们在面对冲击时预防、预测、消化、适应和转型的能力。
根据第4章的“抵御能力指数测量和分析”,其他可以提高农村生计韧性的关键干预措施包括:拓宽生产性和非生产性资产的获取渠道,支持农业和非农业收入的多样化,以及改善社会服务(如教育和卫生)的获取渠道。最后一条措施与生活在恶劣条件下的家庭高度相关,例如,那些从事放牧业的家庭。在实施这些干预措施的同时,应采取行动加强地方机构和传统支持网络,加强地方知识,改善基础设施,并为投入品和市场准入提供扶持性服务。加强农村咨询服务将有助于满足小规模生产者对如何最好地管理作物、土壤、水、养分、病虫害等方面的咨询需求。
强烈建议针对主要由妇女和女童组成的家庭出台政策和干预措施,因为她们在冲击期间和结束后付出的代价最为沉重。由于获取土地和其他资产等资源的机会有限,她们在受到冲击时更有可能采取消极的应对策略,如变卖家产;从长远来看,这种策略具有风险,不可持续。如果通过扩大妇女和女童获取生产性资产和体面就业的机会来增强她们的权能,她们就可以消化冲击并在事后迅速恢复,其粮食安全状况不至于遭受破坏或耗尽资产。教育在加强妇女的抵御能力方面发挥着关键作用,表明必须扩大全民,特别是女童受教育的机会。受过更多教育的妇女能更好地进入劳动力市场,并能扩大创收选择。
在关注参与初级生产的家庭时,区分净生产和净消费粮食的家庭也很重要。净生产粮食的家庭需要支持,重点要关注他们作为生产者所从事活动的商业层面,促进他们融入包容的粮食供应链。对于净消费家庭而言,政策需要加强和保证他们的购买力,促进收入来源和生计的多样化。
随着极端气候事件越发频繁、越发明显,生产者将面临越来越大的风险。让小规模生产者更多地使用农业气候预警系统以减少灾害风险是很重要的,可能需要提供培训和补贴,保证他们能用得起。扩大小规模生产者的作物和天气保险投保范围,可让他们更有能力申请生产贷款,参与风险更大、回报更高的农业活动。
设计社会保护政策,提高家庭在遭受冲击时的韧性。社会保护计划可帮助弱势家庭避免采取消极应对策略,这类消极做法不利于生计,也会损害应对未来风险和冲击的能力。对于弱势农村家庭,包括从事小规模渔业和水产养殖活动的家庭,以及非正式工人和城市贫民而言,社会保护计划尤其重要。如果设计的社会保护计划能敏感地考虑性别平等、致力于改善营养状况,并对多种风险和冲击作出反应,那么社会保护计划不仅可以向退休群体等常规受益人提供支持,还可以在冲击发生之前、期间和之后,向高风险和易受危机影响的人群提供支持。社会保护计划可以根据潜在受益人的新需求扩大福利,帮助填补贫困家庭的消费空白,并使他们能够投资并参与生产性活动。社会保护体系还可以设立预警系统触发型应急基金,制定标准操作程序,增加保护丰余量。48
这样,在发生冲击时,社会保护政策可以保障粮食供应和获取,并防止粮食供应链产生连锁反应。例如,埃塞俄比亚推出了“生产力安全网计划”(PSNP),重点关注长期缺乏粮食保障的家庭,在可预测的基础上连续五年发放现金或粮食,同时提供财政和技术支持。目的是帮助这些家庭建立资产,使其在未来的危机中得以维持生计,同时促进农村基础设施的建设。49 第4章的“抵御能力指数测量和分析”结果显示,获取及时的社会保护尤其有助于妇女和女童应对冲击,使她们能够避免采取消极的应对机制。如果设计合理,社会保护体系可以与生产性支持计划和投资产生协同效应,增强小规模生产者生计的韧性和可持续性。50 强烈建议开展工作,实施政策改革,加强社会保护和生产支持计划之间的联系。
一系列更广泛的政策问题和优先重点(有些超出了农业粮食体系的范畴)可以对农业粮食体系韧性建设政策产生重要影响:
保证人们有经济能力获取健康膳食也应成为优先重点,不仅限于低收入国家。第2章概述了世界上很大比例的人口无力负担健康膳食,或在收入遭受冲击时无力负担的风险,上文进一步回顾了这一点。这种脆弱性是收入有限和健康膳食成本较高两大因素共同造成的。因此,增加收入、促进农业粮食体系转型,使健康膳食更容易获取是关键。图6描绘了四类广泛的国家概况:一极是高收入国家,可负担性问题有限;另一极是低收入国家,特别是亚洲和撒哈拉以南非洲的低收入国家:80%以上的人口无法获取健康膳食,急需提高可负担性,确保不受冲击影响。在许多国家,主要是中等收入国家,许多能够负担得起健康膳食的人们仍然面临风险。一国的政策重点和所需投资将取决其在这个谱系中所处的位置。一些国家可能更侧重于解决结构性问题,如收入水平和分配,而其他国家可能更注重风险管理和多样化。
政策必须直接影响到粮食农业体系参与主体的适应能力,特别是家庭。疫情给世界的一大教训是,家庭的粮食安全韧性取决于农业粮食体系以外的政策和措施。上一节提到了社会安全网对农村和城市贫困群体的重要性。显著影响家庭韧性的其他主要政策领域包括有力、包容的健康保险和医疗服务。从长远来看,教育和培训对于加强家庭的韧性也至关重要。出台更广泛政策,促进性别平等和妇女融入,将对家庭层面的韧性产生重大影响,并在农业粮食体系内产生更广泛的影响,因为妇女在农业粮食体系所有部门的参与度在不断提高。就业促进政策可加强生计和收入,对整个农业粮食体系产生积极影响。
需要制定政策,通过管理环境来促进农业粮食体系的可持续性。人口和环境压力与日俱增,未来何时突发冲击和压力也存在巨大的不确定性,因此,农业粮食体系的韧性已成为国际社会的一大重要关切。建立农业粮食体系的韧性必须成为确保可持续性的组成部分,在长期内尤其如此。农业粮食体系不应加剧气候变化和自然资源退化,而应参与保护环境。将生物多样性纳入农业粮食政策的主流,对于保护生态系统的健康和多样性至关重要,是减少气候相关危害(如干旱、洪水和风暴)不利影响的关键。健康和多样化的生态系统可以提供基本的环境服务,如淡水、清洁空气、肥沃的土壤和授粉,可促进粮食安全和有韧性的生计,51 防止气候风险以及地球物理和生物威胁。促进健康、多样化生态系统的措施包括采取基于自然的解决方案,在应对社会挑战的同时保护、可持续地管理和恢复生态系统。52 诸如流域管理、景观方法、农业生态耕作和气候智能型农业等做法非常有助于取得双赢的结果 — 不仅可以确保农业粮食体系更具韧性,而且可以促进收益不菲的长期投资。53、54
灌木丛、果园、树篱、草原、池塘、水池、季节性水河和湿地等绿色基础设施也可以减少各农业粮食体系之间和内部的脆弱性和风险,同时支持环境的可持续发展。55 原住民和当地社区往往处于自然资源管理的中心,他们与环境保持着密切的联系,依赖环境和自然资源获得生计,因此,这些社区的韧性与环境状况和资源管理有着密不可分的联系。56
政策需要保持连贯协调,以便将韧性建设纳入国家各部门规划的主流。与其他领域一样,在解决农业粮食体系的需求时,确保政策的一致性至关重要。COVID-19疫情被认为是由动物传播病毒引发的人类卫生危机,其全球影响和防疫措施突出表明:为了保护健康,并防止农业粮食体系受到冲击,需要动物、人类、植物和环境各相关部门采取协调行动:即采取“同一个健康”举措。57
还必须认识到,制定的政策可能事与愿违。为避免实施的限制措施损害农业粮食体系参与者,政策制定者必须把握农业粮食体系的运行和各主体的互动方式。例如,在疫情期间,南非将木材部门视为非必要部门,这损害了使用木箱销售产品的水果种植者的利益。相反,在那些农业被认为是必要行业的国家,农业保持了一定能过的韧性。墨西哥将农业部门视为优先部门,粮食价格保持相对稳定。58
在出台补贴和其他农业支持工具方面,政策的一致性很重要。补贴固然可以为农业生产者提供直接和短期的救济,但也可能削弱他们适应冲击的能力。虽然生产者可能在中短期内得到保护,但这可能是以降低整个农业粮食体系的韧性为代价的,其负面影响会重新转嫁到生产者身上。阿拉伯叙利亚共和国就发生了这样的情况。政府持续补贴生产者价格和灌溉密集型作物(小麦和棉花)的生产,导致地下水开采过度,含水层极度枯竭。当2007-2008年近东区域发生严重干旱时,叙利亚农民无法适应。2008年,政府取消了对灌溉用柴油的补贴,导致价格一夜之间飙升300%,使情况雪上加霜。59、60 结果,成千上万的农业家庭放弃农场,移居到了城市。据联合国估计,这场危机在2009年导致30多万人流离失所,Hassakeh和Deir ez-Zor地区60-70%的村庄荒废。61、62 这则案例带来的根本教训是,需要仔细评估影响农业粮食体系政策和干预措施的长期可持续性,以及对单个主体和整个体系韧性的影响。
另一个问题涉及到社会保护计划的可持续性,这是为弱势群体建设韧性生计的一个重要组成部分。这些计划、补贴和任何支持农业粮食体系韧性的政策,都需要具有财政可持续性。
为了应对韧性建设的政策一致性和协调性挑战,所有部门和政府机构的各个层面都必须参与进来。必须更加重视国家和国家以下各级政策和行动的纵向协调需要。地方政府在应对冲击和建设韧性方面的作用尤为重要。粮农组织为评估疫情对城市粮食体系的影响而进行的调查清楚地表明,地方政府在解决对粮食安全和营养的负面影响方面发挥着关键作用。16 为地方政府赋权可以大大降低冲击发生后暴发粮食安全危机的可能性。
虽然许多想法正在被纳入一些国家农业风险管理政策框架的主流,但却鲜少成为提高部门和跨部门韧性的整体战略的一部分。有必要将韧性建设纳入农业粮食政策和各部门的主流。韧性应该是一项政策目标,而不仅仅是实现其他目标的一个工具。农业和政府机构应进行跨部门合作,以更好地预测压力,如水的枯竭和新出现的人畜共患疾病,这些都可能最终损害农业粮食体系。有学者就澳大利亚抗旱、加拿大抵御自然灾害以及意大利和荷兰防范动植物健康风险开展了具体的案例研究,提供了各国构建韧性概念的具体实例。63
COVID-19疫情为农业粮食体系的韧性建设创造了新的表述空间。本报告提出应建设韧性,就是要为冲击和未来的未知挑战做好准备,通过发展农业粮食体系的能力来预防、预测、消化、适应冲击,并实施转型。这种准备的首要目标是管理压力和冲击,确保所有人都能持续获取充足、有营养的食物。应通过有效手段和工具,加强农业粮食体系的抵御能力,促进整个体系朝着可持续、包容的方向转型,进一步做好准备。
本章重新探讨了建设有韧性的国家农业粮食体系的整体框架(在第1章中提出),并为政策、战略和计划提出了三项指导原则。这些原则提倡准备、合作、协调、包容、公平,旨在促进将韧性目标纳入政策框架的主流,并激励农业粮食体系的不同组成部分和参与主体适应动态的变化。
表5总结了管理农业粮食体系风险和不确定性的不同切入点,以及需要考虑的背景因素。同时,区分了应对不确定性的切入点(难以预见的冲击)和适应管理特定风险的切入点(更可预测的冲击)。
可以通过以下政策和干预措施提高农业粮食体系的抵御能力:鼓励多样性、连通性和灵活性;促进粮食供应链和网络的对话、透明度和集体学习;确保弱势家庭在收入受到影响时,也能够获取健康的膳食。本章认识到可能存在权衡取舍,建议评估多样性和贸易在农业粮食体系中应对冲击和压力的关键作用,帮助参与主体调整其管理韧性的战略。
一国农业粮食体系的韧性则取决于一条条供应链上各主体的韧性。因此,本章还确定了能够提高这些主体韧性的关键干预措施,包括:制定粮食运输和销售的创新战略,利用信息通信技术,保持多样性,以及促进包容性治理和广泛参与。公共政策还需要注重帮助小规模生产者、中小企业和弱势家庭获取他们所需的商业工具,提高他们的韧性。
本期《粮食及农业状况》的目标之一是,在联合国粮食体系峰会之后,促进关于如何建立有韧性的农业粮食体系开展对话和辩论。本出版物旨在帮助指导采取实地行动建立有韧性的农业粮食体系,从而为利用这些体系的力量来做出切实贡献,推动实现所有17个可持续发展目标(SDG)。建设韧性是一项必要条件,与实现可持续发展目标和整个《2030年可持续发展议程》有着内在的联系。农业粮食体系的韧性与实现可持续发展目标2(零饥饿)直接相关,也是实现其他几个可持续发展目标的关键,包括那些以社会经济为重点的目标和其他与环境可持续性有关的目标。到2030年为全人类创造和平与繁荣(可持续发展目标16:和平、正义及强大机构),将有助于预防许多不利因素,或至少显著减缓产生的影响。由此可见,农业粮食体系的韧性建设被植入了一个更为宽泛的背景之中。
初级生产灵活性指数有助于了解一国初级部门从农业产出中产生价值的所有不同途径。如果拥有许多不同的途径,那么该国初级部门就具备较大冲击消化能力。这取决于两大因素:(i)农产品的多样化程度;(ii)农产品的市场准入水平。初级生产灵活性指数使用这两个因素来衡量各种农产品的生产多样性,并基于每种农产品的占比及其最终目的地(国内或出口),衡量其满足国内或国外市场需求的潜力。该指数表明一个普通生产者有可能种植哪些农产品,以及农产品最终是进入国内市场还是出口市场。数值越高,表明产生农业价值和将初级农产品投入市场的途径越多(即需求渠道冗余),因此消化冲击的能力越强。图A1.1描述了这些途径。
因此,初级生产灵活性指数是衡量选择生产何种农产品的可能性和需求渠道冗余度的综合指标。本分析使用信息熵作为衡量生产和销售何种产品不确定性的标准。初级生产灵活性指数的表达方式可以根据衡量信息或缺乏信息的标准尺度,即香农熵1 (定义见下文),从第一原理得出。
假设X是一个离散的随机变量,取有限的可能值x1,x2,...,xn,概率分别为p1,p2,...,pn,得出
,则与x实际值的不确定性相关的信息熵是:
信息熵可以解读为信息中能揭示随机变量所取值的实质信息。信息熵有三个重要属性(见Shannon,1948):1
连续性 — 熵值在概率上是连续的;
单调性 — 如果所有的pi都相等(pi = 1/N),那么H是N 的单调递增函数;
递归性 — 如果一个选择被分解成两个连续的选择,原始的H是两个H单值的加权和。
其中pi是图A1.1中某一层次的路径比例(i/N)除以发现的路径总数(N),H是概率集的熵。
信息熵是唯一一个满足所有三个属性的函数。第三个属性特别重要,因为可以用来计算国内和出口市场不同农产品粮食单位(以价值计算)的信息熵。
以一个国内生产M种农产品的国家为例,假设p1是销售单价(美元)来自生产特定农产品i的概率。如果该国不出口粮食(仅为图A1.1中树状图的左边分支),与该国国内生产多样性相关的信息熵是:
如果假设这M种农产品也可以出口,那么信息熵就会增加。增加的量可以根据递归性属性计算得出,即信息熵与图A1.1中的排序无关。整体的信息熵可以表示如下:
其中,pi是进入国内市场(i = 1)或出口(i = 2)的粮食价值份额,pij是农产品j在国内销售(i = 1;j = N1)或出口(i = 2;j = N2)时产生的价值份额,pijk是国家k在出口(i = 2;j = N2;k = N2j)时的价值份额。
注意,pi、pij和pijk 的总和都是1,因为这些值都是作为粮食价值份额计算的,无论是出口、本地销售、来自某种农产品(出口和本地市场消费),还是来自某进口国。初级生产灵活性指数方程可以进一步分解为图A1.1中描述的不同贡献率,具体如下:
满足国内市场之需的国内生产多样性贡献率:
出口多样性贡献率:
销量平衡贡献率(国内市场或出口):
在图3(第2章)中,y轴的值反映出口多样性,气泡反映销售平衡,x轴的值表示满足国内市场之需的国内生产多样性。
本分析的输入数据来自粮农组织统计数据库的产量、生产者价格和详细的贸易矩阵数据。2 粮农组织统计数据库的产量数据分别使用生产者价格和特定农产品、国家和年份的蛋白质转换系数(基于自粮农组织统计数据库的食物平衡表)从质量转换为价值和蛋白质(吨)。食物平衡表未列出某些蛋白质的含量,本研究视情况使用了分区域、区域、大陆或全球平均数。为了考虑到数据的短期年际波动,所有初级生产灵活性指数值都取2016-2018年的平均值。数据也在0和1之间进行了归一化处理。
由于活体动物都以头数记录,本研究首先将动物的数量转换为近似的重量,使用特定国家、动物和年份的牲畜原始产量数据,然后使用食物平衡表中上一级产品营养成分含量转换为蛋白质数值或吨数。贸易统计数据没有具体说明交易活体动物目的是宰杀食用,还是生产牛奶。本报告假定,一旦动物被进口到一个国家,就将在生命周期结束时被宰杀食用,因此将所有进口的活体动物都算作肉类。
膳食来源灵活性指数有助于了解将单位粮食(以营养结果表示)提供给消费者的所有不同途径。如果有许多不同的膳食来源,则表明粮食体系有较强的能力消化供应冲击。
图A1.2中以树状图表示单位粮食(以千卡热量计算)到达消费者手中的三种可能途径:(i)国内生产的粮食;(ii)进口粮食;(iii)从上一年结转的粮食库存(进口或国内生产,公共和私营)。国内生产的粮食按目的地(当地市场或出口)进一步分类,随后按商品分类。进口也进一步按贸易伙伴和进口多样性进行分析。进口粮食和国内生产或储存粮食之间的平衡可衡量贸易在供应和来源多样性方面的作用。
与初级生产灵活性指数一样,膳食来源灵活性指数表达式可以按照衡量信息或缺乏信息的指标香农熵1,从第一原理推导出来。1香农熵具有连续性、单调性和递归性这三个重要特性。
根据上述情况和图A1.2,膳食来源灵活性的基本熵指数可定义为:
其中pi是国内可获得的粮食份额(i = 1)或进口粮食份额(i = 2)。pij是单位粮食在国内生产(i = 1;j = 1)或来自缓冲库存(i = 1;j = 2)或进口(i = 2;j = N2)来自j国的概率。pijk是单位粮食满足国内市场(i = 1;j = 1;k = 1)需求或出口(i = 1;j = 1;k = 2)的概率;如果来自缓冲库存(i = 1;j = 2;k = N12),则来自农产品k;如果来自进口(i = 2;j = N2;k = N2j),则来自农产品k。而pijkl是一旦知道一单位粮食是进入国内市场(i = 1;j = 1;k = 1;l = N111)还是要出口(i = 1;j = 1;k = 1;l = N112),就来自农产品l的概率。
注意,pi、pij、pijk和pijkl的总和都是1,因为这些值都是作为粮食营养组成份额计算的,无论是进口、自库存(如果国内有)、出口(如果国内生产)、来自某种农产品(库存、进口、出口和本地市场),还是来自某个出口国。
膳食来源灵活性指数方程可以进一步分解为图A1.2中描述的不同贡献率,具体如下:
满足国内市场之需的国内生产多样性贡献率:
出口多样性贡献率:
库存多样性贡献率:
进口和贸易伙伴多样性的贡献率:
采购平衡的贡献率(内部或外部):
在图4(第2章)中,y轴的值由表达式1)和2)的贡献率相加得出,而x轴的值由表达式4)和5)的贡献率相加得出。气泡的大小代表库存多样性的贡献率。
分析所用的输入数据来自粮农组织统计数据库的粮食平衡表和详细的贸易矩阵。2 缓冲库存的数据来自粮农组织统计数据库的供应利用账户;2 农业市场信息系统(AMIS);3 粮农组织的全球粮食及农业信息及预警系统(GIEWS);4 以及美国农业部的生产、供应和分配(PSD)数据库。5 这些数据的使用情况如下:当粮农组织统计数据库中缺乏供应利用账户信息时,本研究采用其余三个数据来源的平均值。然而,众所周知,库存数据极其难以准确估计。本研究涵盖2016年至2018年的时间。
粮农组织统计数据库的食物平衡表数据使用特定产品、国家和年份的转换系数(也基于食物平衡表)从质量转换为膳食能量(千卡)、脂肪(吨)和蛋白质(吨)。对于水果和蔬菜,使用了这两种食品组的重量(吨)。贸易矩阵数据也转换为营养成分,使用粮农组织统计数据库对特定上一级产品的食物平衡表数据。例如,牛肉的营养成分含量从报告国的“牛肉”数值中得出。由于活体动物都以头数记录,本研究首先将动物的数量转换为近似的重量,使用特定国家、动物和年份的牲畜原始产量数据,然后使用相应上一级产品的营养成分含量转换为千卡、吨蛋白质和吨脂肪。
为了考虑到数据的短期年际波动,所有膳食来源灵活性指数值都取2016-18年的平均值。数据也在0和1之间进行了归一化处理。香料、非粮食物品和酒精未纳入分析。
关于威胁的信息,无论是客观存在,还是感觉或有,都可以纳入分析范围,以得出一套风险调整后的指标。由于初级生产灵活性指数和膳食来源灵活性指数可以细分为不同的组成部分,因此在有数据的情况下,可以纳入不同途径的冲击概率信息。膳食来源灵活性指数的组成部分是:(i)进口和贸易伙伴多样性的贡献率;(ii)国内生产多样性的贡献率;(iii)库存的多样性。因此,指数可以表示为:
(1)DSFI = DSFI(进口)+ DSFI(国内生产)+ DSFI(库存)
如果有国家一级的信息,能得出导致这些不同贡献率的途径可能失败的概率,那么就有可能将风险调整后的膳食来源灵活性指数定义如下:
(2)DSFI风险 = (1 - p进口).DSFI(进口)+ (1 - p国内).DSFI(国内生产)+(1 - p库存).DSFI(库存)
其中,概率p表示一组途径可能行不通、因此在发生冲击时不能作为替代解决方案的可能性。
另外,这种概率可以解读为多样性贡献中无法依赖的比例。例如,若p库存等于0,即表示库存随时可用,并在供应受到冲击的情况下投放。另一方面,若p库存等于1,即表示库存无法使用。实际情况介于两者之间。例如,只有当供应冲击超过某个阈值时,才会投放库存。在这种情况下,p库存的值是供应冲击不符合投放库存要求的概率。风险调整后的膳食来源灵活性指数总是低于未调整的值。低多少取决于不同途径的可靠性,或是认为的可靠性。
中游灵活性指数可以采用与初级生产灵活性指数和膳食来源灵活性指数相同的原理,通过衡量加工食品、采购(国内或进口)和产出市场(内部或外部)的多样性来编制。指数值越高,表明产生和销售加工食品途径(以价值计算)越多。中游灵活性指数表明一个普通的食品加工商可能会生产哪些加工食品,最终是进入国内市场还是出口市场,以及供开展食品生产的投入品来自内部还是外部。因此,可有效评估食品加工部门的灵活性。至于初级生产灵活性指数和膳食来源灵活性指数,可以用信息熵来衡量这种不确定性。
如图A1.3所示,中游灵活性指数比初级生产灵活性指数(图A1.1)和膳食来源灵活性指数(图A1.2)复杂,因为投入和产出市场都起作用。另一项挑战是缺乏数据,特别是关于食品加工投入品的来源(内部或外部)和价格。这意味着许多生产途径未计算在内,低估了指标,从而低估了加工部门的韧性。
在本报告中,对运输网络韧性的分析可以作为中游韧性这一更广泛概念的替代指标。然而,估计中游灵活性指标将填补一个重要的空白,突出表明需要使用更多优质数据来扩大分析。
健康的膳食不仅提供充足的卡路里,而且能为健康积极的生活提供充足的所有基本营养素,确保消费来自不同食物类别的各种食品。健康膳食的成本取自2021年《粮食安全和营养状况》报告。6 关于成本方法和数据来源的完整说明,见粮农组织等(2020年)附件3。7
为了估计在冲击造成收入减少三分之一的情况下可能无力负担健康膳食的人数,我们将所需收入定义为获取健康膳食、满足其他非食物需求(如住房)以及在遭受冲击的情况下能保证50%收入缓冲的收入。我们利用世界银行PovcalNet界面的2019年收入分布,将这一收入水平与特定国家的估计收入分布进行比较。8 当膳食的成本(包括缓冲)超过特定国家平均收入的63%时,即视为难以负担。据观察,低收入国家最贫困人口平均将63%的收入用于购买食物,因此,63%是贫困线中可确信为购买食物预留的收入比例。9-12 2019年,143个国家的这一负担能力指标的计算方法如下:
(1 + 0.5)x 膳食成本 / 0.63
举例来说,若某个国家的健康膳食成本是每天3美元,为了满足食物和非食物需求,个人每天最低收入必须达到4.76美元。为了在收入减少三分之一的情况下继续满足这些需求,该个人的收入至少必须达到7.14美元。
这一衡量指标可用来估计冲击导致收入减少1/3因而无力负担健康膳食群体的比例。根据世界银行的世界发展指标,将百分比乘以每个国家的2019年人口,可得出有可能无力负担这种膳食的人数。13
图6(第2章)列出了这一测量的结果,即有可能无力负担健康膳食的人口比例(纵轴)与收入不减也无力负担健康膳食的人口比例(横轴)的交叉点。
Nelson等(2021)开发了三项国家指标,以反映粮食体系运输网络遭受冲击的结构脆弱性:(i)距离远近的韧性;(ii)路线冗余度;(iii)相对绕行成本。14 下文将详细介绍这些指标。
距离远近的韧性是衡量粮食运输网络韧性的一项指标,与粮食矩阵有关,即粮食从生产地到消费地的分配方式。g 粮食矩阵可估算作物产地(作物生产地)和目的地(作物消费地)之间的吨数。这些区域是所有城市周围的服务地区。模型中的总吸引力基于作物的总供应量(以吨位计,不包括出口)。这个总量按比例分配给每个区的人口。本报告对具体的农作物作了区分,因为每种农作物可能有不同的运输要求。例如,高度易腐食品(如水果)的运输距离可能比不易腐烂的食品(如大米)的运输距离短。此分布函数描述了在A点和B点之间运输粮食的倾向,不考虑产量和吸引力,分别如下:
f(c)=e-βc
其中c是原产地和目的地之间的运输成本,β是分布函数的斜率。
运输时间是反映运输成本的最佳指标。系数描述了吸引力随着运输时间(成本)下降的速度。原则上,就地供应是最经济的做法。然而,由于市场机制和消费者偏好等因素,分配函数可以有一个相对较小的β。
不管β值多大,当生产和消费之间存在平衡时,粮食体系就更具韧性。当生产区和消费区相同时,作物不需要远程运输。因此,粮食体系对网络冲击有更大的抵御能力,因为有可能就地供应。相反,如果生产地离消费地很远,即使β值很大,运输时间也较长,网络面对冲击就越发脆弱。换言之,当平均运输时间超过生产和消费平衡的最佳情况时,粮食体系的韧性就会降低。距离远近的韧性指标的计算方法:在生产和消费平衡的最佳情况下的平均运输时间,除以实际情况下的平均运输时间,在实际情况下,作物生产地不同区域的消费者之间隔着一定的运输距离。
在分析结果时,这个韧性指标与国家规模之间存在明显的相关性。例如,一个小国的平均运输距离因为国土面积小而较短,因此距离远近的韧性也较高。同样,小国的平均绕行时间会比较短,但相对绕行时间平均会比较长。这只是因为长途运输一般有较多的替代路线。这些路线模式与投资所建运输网络的实际韧性无关,而是与地理环境有关。为了调整这一点,本分析将距离远近的韧性乘以运输作物总吨位的平方根,再除以平均规模因子,使两个指标的数量级保持相同。这样做是为了对各国距离远近的韧性进行有意义的比较。
这个指标计算方式如下:
因此,这是第二个基于路线的韧性指标。比率越高,表明运输网络的韧性越大。对大多数国家来说,比率在0.80以上,表明有很多替代路线可供选择。然而,对索马里来说,比率在0.31左右;换言之,69%的运量只能走唯一的路线,表明韧性非常低。
该指标计算出关闭20条重要路线中的1条会多运输多少吨位/多耗费多少分钟。选择最重要的路线需要:(i)封闭每个有交通的路线,并计算被封闭路线的起点和终点节点之间替代路线的运输时间(成本);(ii)将这个运输时间乘以该路线的强度。得出的值越高,表明封闭路线的影响就越大。本研究选择了具有最高影响值的路线。然而,我们不能简单地选择强度最高的20条路线,因为这样可能会选出最重要通道沿线的一些路线,类似多次进行类似的封闭。因此,本研究选择了影响值最高的路线的所有原点-目的地关系。并重复进行了操作:未考虑前一次迭代中已经选定的原产地-目的地关系上的运输;并迭代回第一步,重复这一程序,直到选出20条路线。这种基于路线的韧性指标,称为相对绕行成本,是正常情况下的吨位-分钟数与移除20条高强度路线中一条的情况之间的平均相对差(百分比)。
关闭高强度路线(在相对绕行成本指标中)将对延迟运输后的粮食消费人口产生影响。对人口的影响纯粹是考察受粮食运输延误影响的人口数量,估计方法是依次考虑每条封闭的路线,并确定该路线被移除时涉及哪些(原产地-目的地)节点对(即服务地区),以及节点是原产地还是目的地服务地区(如果货物在该路线上双向流动,可以是两者)。然后,在不重复计算的情况下,根据每个服务地区的已知人口,计算出所有路线关闭时目的地服务地区(消费者)受影响的平均人数。这个指标不考虑延迟运输的粮食数量,也就是说,无论延迟运输的粮食数量如何,服务地区受影响的人数都不变。
1. United Nations Economic Commission for Europe (UNECE), FAO, Organisation for Economic Co-operation and Development (OECD), World Bank & Statistical Office of the European Communities (Eurostat). 2007. Rural households’ livelihood and well-being. Statistics on rural development and agriculture household income. New York, United Nations. 533 pp. (also available at http://www.fao.org/3/am085e/am085e.pdf).
2. FAO. 2019. Proceedings of the International Symposium on Agricultural Innovation for Family Farmers - Unlocking the potential of agricultural innovation to achieve the Sustainable Development Goals. J. Ruane, ed. Rome. 120 pp. (also available at http://www.fao.org/3/ca4781en/CA4781EN.pdf).
3. Tendall, D.M., Joerin, J., Kopainsky, B., Edwards, P., Shreck, A., Le, Q.B., Kruetli, P., Grant, M. & Six, J. 2015. Food system resilience: Defining the concept. Global Food Security, 6: 17–23.
4. FAO. 2021. Agroecology Knowledge Hub – Practices. In: FAO [online]. Rome. [Cited 7 April 2021]. http://www.fao.org/agroecology/knowledge/practices/en/
5. FAO. 2019. The State of the World’s Biodiversity for Food and Agriculture 2019. In: FAO [online]. Rome. [Cited 17 June 2021]. http://www.fao.org/state-of-biodiversity-for-food-agriculture/en
6. FAO. 2021. Climate-Smart Agriculture. In: FAO [online]. Rome. [Cited 21 June 2021]. http://www.fao.org/climate-smart-agriculture/en/
7. FAO. (forthcoming). Future of food and agriculture - Drivers and triggers of transformation. Rome.
8. United Nations. 2020. UN Common Guidance on Helping Build Resilient Societies. Draft. New York. 64 pp. (also available at https://www.sparkblue.org/basic-page/un-common-guidance-helping-build-resilient-societies
9. United Nations. 2016. Report of the open-ended intergovernmental expert working group on indicators and terminology relating to disaster risk reduction. New York. 41 pp. (also available at https://www.undrr.org/publication/report-open-ended-intergovernmental-expert-working-group-indicators-and-terminology).
10. CAC. 1969. General Principles of Food Hygiene. Rome. 35 pp. (also available at http://www.fao.org/fao-who-codexalimentarius/sh-proxy/en/?lnk=1&url=https%253A%252F%252Fworkspace.fao.org%252Fsites%252Fcodex%252FStandards%252FCXC%2B1-1969%252FCXC_001e.pdf).
11. HLPE. 2020. Food security and nutrition: building a global narrative towards 2030. A report by the High Level Panel of Experts on Food Security and Nutrition of the Committee on World Food Security. Rome. 91 pp. (also available at http://www.fao.org/3/ca9731en/ca9731en.pdf).
12. FAO, IFAD, UNICEF, WFP & WHO. 2021. The State of Food Security and Nutrition in the World 2021. Transforming food systems for food security, improved nutrition and affordable healthy diets for all. FAO. 240 pp. (also available at http://www.fao.org/documents/card/en/c/cb4474en).
13. FAO. 2014. Developing sustainable food value chains – Guiding principles. Rome. 75 pp. (also available at http://www.fao.org/3/i3953e/i3953e.pdf).
14. FAO. 2010. Bioenergy and food security. The BEFS analytical framework. Environment and Natural Resources Management Series No 16. Rome. 91 pp. (also available at http://www.fao.org/3/i1968e/i1968e.pdf).
15. Bahri, T., Vasconcellos, M., Welch, D.J., Johnson, J., Perry, R.I., Ma, X. & Sharma, R., eds. 2021. Adaptive management of fisheries in response to climate change. FAO Fisheries and Aquaculture Technical Paper No. 667. Rome, FAO. (also available at http://www.fao.org/documents/card/en/c/cb3095en/).
16. Low, B., Ostrom, E., Simon, C. & Wilson, J. 2002. Redundancy and diversity: do they influence optimal management? In F. Berkes, J. Colding & C. Folke, eds. Navigating social-ecological systems: Building resilience for complexity and change, pp. 83–114. Cambridge, Cambridge University Press.
17. Stone, J. & Rahimifard, S. 2018. Resilience in agri-food supply chains: a critical analysis of the literature and synthesis of a novel framework. Supply Chain Management, 23(3): 207–238.
18. United Nations. 2017. Adopting an analytical framework on risk and resilience: a proposal for more proactive, coordinated and effective United Nations ACTION. New York. 10 pp. (also available at https://unsceb.org/sites/default/files/imported_files/RnR_0.pdf).
19. Väänänen, E., Dale, L. & Dickson, B. 2017. Anticipate, Absorb, Reshape: Current progress on three key capacities for climate resilience. Briefing Paper. United Nations Climate Resilience Initiative: Anticipate, Absorb, Reshape – A2R. 12 pp. (also available at https://static1.squarespace.com/static/5651e0a2e4b0d031533efa3b/t/5911b65e725e256f43f30e18/1494333030141/A2R_infobrief_web_singlepages.pdf).
20. Cutter, S.L., Barnes, L., Berry, M., Burton, C., Evans, E., Tate, E. & Webb, J. 2008. A place-based model for understanding community resilience to natural disasters. Global Environmental Change, 18(4): 598–606.
21. Oxfam. 2017. The future is a choice: The Oxfam framework and guidance for resilient development. 43 pp. (also available at https://policy-practice.oxfam.org/resources/the-oxfam-framework-and-guidance-for-resilient-development-604990/).
22. Béné, C., Wood, R.G., Newsham, A. & Davies, M. 2012. Resilience: New Utopia or New Tyranny? Reflection about the potentials and limits of the concept of resilience in relation to vulnerability reduction programmes. IDS Working Paper 405. Brighton, Institute of Development Studies.
23. Organisation for Economic Co-operation and Development (OECD). 2014. Guidelines for Resilience Systems Analysis: How to analyse risk and build a roadmap to resilience. Paris, OECD Publishing. 47 pp.
24. Intergovernmental Panel on Climate Change (IPCC). 2012. Managing the risks of extreme events and disasters to advance climate change adaption. A Special Report of Working Groups I and II of the Intergovernmental Panel on Climate Change. New York, USA, and Cambridge, UK, Cambridge University Press. 582 pp.
25. Walker, B., Holling, C.S., Carpenter, S. & Kinzig, A. 2004. Resilience, adaptability and transformability in social–ecological systems. Ecology and Society, 9(2): 5.
26. ActionAid. 2016. Resilience handbook – A guide to integrated resilience programming. ActionAid International. 66 pp.
27. Gitz, V. & Meybeck, A. 2012. Risks, vulnerabilities and resilience in a context of climate change. In A. Maybeck, J. Lankoski, S. Redfern, N. Azzu & V. Gitz, eds. Building resilience for adaptation to climate change in the agriculture sector. Proceedings of a Joint FAO/OECD Workshop, pp. 19–36. Rome, FAO. (also available at http://www.fao.org/3/i3084e/i3084e.pdf).
28. FAO. 2003. Enhancing Support for Sustainable Rural Livelihoods. Committee on Agriculture, 17th Session. Rome. (also available at http://www.fao.org/3/Y8349e/Y8349e.htm).
29. Zseleczky, L. & Sivan, Y. 2014. Are shocks really increasing? A selective review of the global frequency, severity, scope, and impact of five types of shocks. 2020 Conference Paper No. 5. Washington, DC, IFPRI.
30. Montanari, S. & Kocollari, U. 2020. Defining the SME: A multi-perspective investigation. In A. Thrassou, D. Vrontis, Y. Weber, S.M.R. Shams & E. Tsoukatos, eds. The changing role of SMEs in global business, pp. 61–82. Palgrave Studies in Cross-disciplinary Business Research, in association with EuroMed Academy of Business. Palgrave Macmillan, Cham. (also available at https://doi.org/10.1007/978-3-030-45835-5_4).
31. Buculescu (Costică), M.-M. 2013. Harmonization process in defining small and medium-sized enterprises. Arguments for a quantitative definition versus a qualitative one. Theoretical and Applied Economics, 9(586): 103–114. (also available at https://ideas.repec.org/a/agr/journl/vxxy2013i9(586)p103-114.html).
32. Khalil, C.A., Conforti, P. & Gennari, P. 2017. Defining smallholders to monitor target 2.3. of the 2030 Agenda for Sustainable Development. FAO Statistics Working Paper Series. Rome, FAO. 43 pp. (also available at http://www.fao.org/publications/card/en/c/e7f3e6f7-59ee-42e7-9cce-36c18af2daea/).
33. Bujones, A., Jaskiewicz, K., Linakis, L. & McGirr, M. 2013. A framework for analyzing resilience in fragile and conflict-affected situations. Columbia University SIPA and USAID. 59 pp.
34. FAO. 2018. Sustainable food systems: concept and framework. [online]. Technical Brief. [Cited 1 August 2020]. www.fao.org/3/ca2079en/CA2079EN.pdf
35. FAO. 1989. The State of Food and Agriculture 1989. World and regional reviews. Sustainable development and natural resource management. Rome. 171 pp. (also available at http://www.fao.org/3/a-t0162e.pdf).
1. FAO. 2021. FAOSTAT. New Food Balance Sheets. In: FAO [online]. Rome. [Cited 12 July 2021]. http://www.fao.org/faostat/en/#data/FBS
2. Townsend, T. 2019. Natural fibres and the world economy. In: Discover Natural Fibres Initiative [online]. [Cited 12 July 2021]. https://dnfi.org/coir/natural-fibres-and-the-world-economy-july-2019_18043/
3. FAO. 2021. FAOSTAT. Forestry Production and Trade. In: FAO [online]. Rome. [Cited 12 July 2021]. http://www.fao.org/faostat/en/#data/FO
4. FAO. 2021. FAOSTAT. Value of Agricultural Production. In: FAO [online]. Rome. [Cited 12 July 2021]. http://www.fao.org/faostat/en/#data/QV
5. World Bank. 2021. Employment in agriculture (% of total employment) (modeled ILO estimate). In: The World Bank [online]. Washington, DC. [Cited 12 May 2021]. https://data.worldbank.org/indicator/SL.AGR.EMPL.ZS
6. Townsend, R., Benfica, R.M., Prasann, A., Lee, M. & Shah, P. 2017. Future of food: shaping the food system to deliver jobs. Washington, DC, World Bank Group. (also available at http://documents.worldbank.org/curated/en/406511492528621198/Future-of-food-shaping-the-food-system-to-deliver-jobs).
7. FAO, IFAD, UNICEF, WFP & WHO. 2020. The State of Food Security and Nutrition in the World 2020. Transforming food systems for affordable healthy diets. Rome, FAO. 320 pp. (also available at https://doi.org/10.4060/ca9692en).
8. Béné, C. 2020. Resilience of local food systems and links to food security – A review of some important concepts in the context of COVID-19 and other shocks. Food Security, 12(4): 805–822.
9. United Nations. 2020. UN Common Guidance on Helping Build Resilient Societies. Draft. New York. 64 pp. (also available at https://www.sparkblue.org/basic-page/un-common-guidance-helping-build-resilient-societies
10. Béné, C., Wood, R.G., Newsham, A. & Davies, M. 2012. Resilience: New Utopia or New Tyranny? Reflection about the potentials and limits of the concept of resilience in relation to vulnerability reduction programmes. IDS Working Paper 405. Brighton, Institute of Development Studies.
11. FAO. 2021. The impact of disasters and crises on agriculture and food security: 2021. Rome. 211 pp. (also available at http://www.fao.org/documents/card/en/c/cb3673en).
12. FAO, IFAD, UNICEF, WFP & WHO. 2021. The State of Food Security and Nutrition in the World 2021. Transforming food systems for food security, improved nutrition and affordable healthy diets for all. Rome, FAO. 240 pp. (also available at http://www.fao.org/documents/card/en/c/cb4474en).
13. Food Security Information Network (FSIN) & Global Network Against Food Crises. 2021. Global report on food crises: Joint analysis for better decisions. Rome, FSIN. 304 pp. (also available at https://www.fsinplatform.org/sites/default/files/resources/files/GRFC%202021%20050521%20med.pdf).
14. Iddir, M., Brito, A., Dingeo, G., Fernandez Del Campo, S.S., Samouda, H., La Frano, M.R. & Bohn, T. 2020. Strengthening the immune system and reducing inflammation and oxidative stress through diet and nutrition: Considerations during the COVID-19 crisis. Nutrients, 12(6): 1562.
15. International Food Policy Research Institute (IFPRI). 2014. Resilience for food and nutrition security. Washington, DC. 211 pp. (also available at http://ebrary.ifpri.org/utils/getfile/collection/p15738coll2/id/128437/filename/128648.pdf).
16. United Nations. 2019. World population prospects 2019. In: United Nations [online]. New York. [Cited 12 July 2021]. https://population.un.org/wpp/
17. FAO. 2018. The future of food and agriculture 2018 – Alternative pathways to 2050. Rome. 224 pp. (also available at www.fao.org/3/I8429EN/i8429en.pdf).
18. Hodson, E., Niggli, U., Kaoru, K., Lal, R. & Sadoff, C. 2020. Boost nature positive production at sufficient scale – A paper on Action Track 3. United Nations Food Systems Summit 2021 Scientific Group. 16 pp. (also available at https://www.un.org/sites/un2.un.org/files/3-action_track_3_scientific_group_draft_paper_26-10-2020.pdf).
19. Springmann, M., Clark, M., Mason-D’Croz, D., Wiebe, K., Bodirsky, B.L., Lassaletta, L., de Vries, W. et al. 2018. Options for keeping the food system within environmental limits. Nature, 562: 519–525.
20. Capalbo, S.M., Seavert, C., Antle, J.M., Way, J. & Houston, L. 2018. Understanding tradeoffs in the context of farm-scale impacts: An application of decision-support tools for assessing climate smart agriculture. In L. Lipper, N. McCarthy, D. Zilberman, S. Asfaw & G. Branca, eds. Climate smart agriculture, pp. 173–197. Natural Resource Management and Policy, vol. 52. Springer International Publishing. (also available at http://link.springer.com/10.1007/978-3-319-61194-5_9).
21. Holling, C.S. 1973. Resilience and stability of ecological systems. Annual Review of Ecology and Systematics, 4: 1–23.
22. Tendall, D.M., Joerin, J., Kopainsky, B., Edwards, P., Shreck, A., Le, Q.B., Kruetli, P., Grant, M. & Six, J. 2015. Food system resilience: Defining the concept. Global Food Security, 6: 17–23.
23. Hertel, T., Elouafi, I., Ewert, F. & Tanticharoen, M. 2021. Building resilience to vulnerabilities, shocks and stresses – Action Track 5. United Nations Food Systems Summit 2021 Scientific Group. 20 pp. (also available at https://www.un.org/sites/un2.un.org/files/5-action_track-5_scientific_group_draft_paper_8-3-2021.pdf).
24. HLPE. 2020. Food security and nutrition: building a global narrative towards 2030. A report by the High Level Panel of Experts on Food Security and Nutrition of the Committee on World Food Security. Rome, FAO. 91 pp. (also available at http://www.fao.org/3/ca9731en/ca9731en.pdf).
25. FAO. 2016. Combatting fusarium wilt disease of banana. FCC-EMPRES Information Sheets No. 7. Rome. (also available at http://www.fao.org/3/i5874e/i5874e.pdf).
26. HLPE. 2017. Nutrition and food systems. A report by the High Level Panel of Experts on Food Security and Nutrition of the Committee on World Food Security. Rome, FAO. 151 pp. (also available at www.fao.org/3/a-i7846e.pdf).
27. Ricciardi, V., Ramankutty, N., Mehrabi, Z., Jarvis, L. & Chookolingo, B. 2018. How much of the world’s food do smallholders produce? Global Food Security, 17: 64–72.
28. Dury, S., Bendjebbar, P., Hainzelin, E., Giordano, T. & Bricas, N., eds. 2019. Food systems at risk. New trends and challenges. Rome, FAO, CIRAD and European Commission. 132 pp. (also available at http://agritrop.cirad.fr/593617/).
29. Roxy, M.K., Modi, A., Murtugudde, R., Valsala, V., Panickal, S., Prasanna Kumar, S., Ravichandran, M., Vichi, M. & Lévy, M. 2015. A reduction in marine primary productivity driven by rapid warming over the tropical Indian Ocean. Geophysical Research Letters, 43(2): 826–833.
30. Kumar, P.S., Pillai, G.N. & Manjusha, U. 2014. El Nino Southern Oscillation (ENSO) impact on tuna fisheries in Indian Ocean. SpringerPlus, 3(1): 591.
31. FAO, IFAD, UNICEF, WFP & WHO. 2018. The State of Food Security and Nutrition in the World 2018. Building climate resilience for food security and nutrition. Rome, FAO. 183 pp. (also available at http://www.fao.org/3/i9553en/i9553en.pdf).
32. Darnhofer, I., Fairweather, J. & Moller, H. 2010. Assessing a farm’s sustainability: insights from resilience thinking. International Journal of Agricultural Sustainability, 8(3): 186–198.
33. FAO. 2018. Mongolia. Impact of Early Warning Early Action: Protecting the livelihoods of herders from a dzud winter. Rome. 29 pp. (also available at http://www.fao.org/3/ca2181en/CA2181EN.pdf).
34. FAO. 2018. Horn of Africa. Impact of Early Warning Early Action: Protecting pastoralist livelihoods ahead of drought. Rome. 25 pp. (also available at http://www.fao.org/3/ca0227en/CA0227EN.pdf).
35. FAO. 2019. The Sudan. Impact of Early Warning Early Action: Protecting agropastoralist livelihoods ahead of drought. Rome. 7 pp. (also available at http://www.fao.org/3/ca4653en/ca4653en.pdf).
36. FAO. 2019. Madagascar. Impact of Early Warning Early Action: Protecting farming livelihoods from drought and food insecurity. Rome. 25 pp. (also available at http://www.fao.org/3/ca3933en/ca3933en.pdf).
37. FAO. 2019. Colombia. Impact of Early Warning Early Action: Boosting food security and social cohesion on the frontline of the migration crisis. Rome. 21 pp. (also available at http://www.fao.org/3/ca6818en/ca6818en.pdf).
38. FAO. 2020. The Philippines. Impact of Early Warning Early Action: Exploring the interplay between El Niño-induced drought, conflict and gender. Rome. 25 pp. (also available at http://www.fao.org/3/ca9371en/ca9371en.pdf).
39. FAO. 2021. Bangladesh. Impact of Anticipatory Action: Striking before the floods to protect agricultural livelihoods. Rome. 31 pp. (also available at http://www.fao.org/3/cb4113en/cb4113en.pdf).
40. Cottrell, R.S., Nash, K.L., Halpern, B.S., Remenyi, T.A., Corney, S.P., Fleming, A., Fulton, E.A. et al. 2019. Food production shocks across land and sea. Nature Sustainability, 2: 130–137.
41. FAO, IFAD, UNICEF, WFP & WHO. 2017. The State of Food Security and Nutrition in the World 2017. Building resilience for peace and food security. Rome. 119 pp. (also available at http://www.fao.org/3/a-I7695e.pdf).
42. FAO. 2019. Rural transformation – Key for sustainable development in the Near East and North Africa. Overview of Food Security and Nutrition 2018. Rome. 85 pp. (also available at http://www.fao.org/documents/card/en/c/ca3817en/).
43. United Nations Framework Convention on Climate Change (UNFCCC). 2020. Loss and damage. Online guide [online]. New York. [Cited 12 July 2021]. https://unfccc.int/sites/default/files/resource/Online_Guide_feb_2020.pdf
44. FSIN & Global Network Against Food Crises. 2020. 2020 Global report on food crises: Joint analysis for better decisions. Rome, FSIN. 240 pp. (also available at http://www.fao.org/publications/card/en/c/CA8786EN/).
45. FAO. 2020. Climate change: Unpacking the burden on food safety. Food Safety and Quality Series No. 8. Rome. 176 pp. (also available at http://www.fao.org/documents/card/en/c/ca8185en/).
46. Vilar-Compte, M., Sandoval-Olascoaga, S., Bernal-Stuart, A., Shimoga, S. & Vargas-Bustamante, A. 2014. The impact of the 2008 financial crisis on food security and food expenditures in Mexico: a disproportionate effect on the vulneable. Public Health Nutrition, 18(16): 2934–2942.
47. Organisation for Economic Co-operation and Development (OECD). 2020. Food supply chains and COVID-19: Impacts and policy lessons [online]. Paris. [Cited 12 July 2021]. https://read.oecd-ilibrary.org/view/?ref=134_134305-ybqvdf0kg9&title=Food-Supply-Chains-and-COVID-19-Impacts-and-policy-lessons
48. FAO. 2020. How is COVID-19 affecting the fisheries and aquaculture food systems. Rome. (also available at http://www.fao.org/3/ca8637en/CA8637EN.pdf).
49. Anonymous. 2021. Kenyans are starting to drink their own coffee. The Economist [online]. [Cited 5 May 2021]. https://www.economist.com/middle-east-and-africa/2021/04/08/kenyans-are-starting-to-drink-their-own-coffee?frsc=dg%7Ce
50. Béné, C., Bakker, D., Chavarro, M.J., Even, B., Melo, J. & Sonneveld, A. 2021. Impacts of COVID-19 on people’s food security: Foundations for a more resilient food system. Discussion Paper. Montpellier, France, CGIAR. 81 pp. (also available at https://doi.org/10.2499/p15738coll2.134295).
51. Steffen, W., Richardson, K., Rockström, J., Cornell, S.E., Fetzer, I., Bennett, E.M., Biggs, R. et al. 2015. Planetary boundaries: Guiding human development on a changing planet. Science, 347(6223): 1259855 [online]. [Cited 12 July 2021]. DOI: 10.1126/science.1259855
52. Aiyar, A. & Pingali, P.L. 2020. Pandemics and food systems – towards a proactive food safety approach to disease prevention and management. Food Security, 12(4): 749–756.
53. United Nations. 2019. World urbanization prospects 2018. In: United Nations [online]. New York. [Cited 12 July 2021]. https://population.un.org/wup/
54. Anderies, J.M., Folke, C., Walker, B. & Ostrom, E. 2013. Aligning key concepts for global change policy: robustness, resilience, and sustainability. Ecology and Society, 18(2): 8 [online]. [Cited 12 July 2021]. http://dx.doi.org/10.5751/ES-05178-180208
55. Brand, F.S. & Jax, K. 2007. Focusing the meaning(s) of resilience: resilience as a descriptive concept and a boundary object. Ecology and Society, 12(1): 3 [online]. [Cited 12 July 2021]. http://www.ecologyandsociety.org/vol12/iss1/art23/
56. Rees, W.E. 2010. Thinking resilience. In R. Heinberg & D. Lerch, eds. The Post Carbon Reader: Managing the 21st century’s sustainability crises, ch. 3. Santa Rosa, USA, Post Carbon Institute.
57. Maleksaeidi, H. & Karami, E. 2013. Social-ecological resilience and sustainable agriculture under water scarcity. Agroecology and Sustainable Food Systems, 37(3): 262–290.
58. Kummu, M., Kinnunen, P., Lehikoinen, E., Porkka, M., Queiroz, C., Röös, E., Troell, M. & Weil, C. 2020. Interplay of trade and food system resilience: Gains on supply diversity over time at the cost of trade independency. Global Food Security, 24: 100360.
59. Kahiluoto, H., Mäkinen, H. & Kaseva, J. 2020. Supplying resilience through assessing diversity of responses to disruption. International Journal of Operations & Production Management, 40(3): 271–292.
1. Béné, C. 2020. Resilience of local food systems and links to food security – A review of some important concepts in the context of COVID-19 and other shocks. Food Security, 12(4): 805–822.
2. Cardwell, R. & Ghazalian, P.L. 2020. COVID-19 and international food assistance: Policy proposals to keep food flowing. World Development, 135 : 105059.
3. Laborde, D., Martin, W., Swinnen, J. & Vos, R. 2020. COVID-19 risks to global food security. Science, 369(6503): 500–502 [online]. [Cited 12 July 2021]. DOI: 10.1126/science.abc4765
4. Fader, M., Gerten, D., Krause, M., Lucht, W. & Cramer, W. 2013. Spatial decoupling of agricultural production and consumption: quantifying dependences of countries on food imports due to domestic land and water constraints. Environmental Research Letters, 8(1): 014046.
5. Anonymous. 2021. Kenyans are starting to drink their own coffee. The Economist [online]. [Cited 5 May 2021]. https://www.economist.com/middle-east-and-africa/2021/04/08/kenyans-are-starting-to-drink-their-own-coffee?frsc=dg%7Ce
6. Yu, S. & Goh, B. 2021. As coronavirus sinks global demand, China’s exporters go online to tap domestic market. In: Reuters [online]. [Cited 12 July 2021]. https://www.reuters.com/article/us-health-coronavirus-china-exporters/as-coronavirus-sinks-global-demand-chinas-exporters-go-online-to-tap-domestic-market-idUSKBN23C0DL
7. Remans, R., Wood, S.A., Saha, N., Anderman, T.L. & DeFries, R.S. 2014. Measuring nutritional diversity of national food supplies. Global Food Security, 3(3–4): 174–182.
8. FAO. 2017. Water for sustainable food and agriculture: A report produced for the G20 Presidency of Germany. Rome. 27 pp. (also available at www.fao.org/3/a-i7959e.pdf).
9. Zhang, Y., Chen, H.Y.H. & Reich, P.B. 2012. Forest productivity increases with evenness, species richness and trait variation: a global meta-analysis. Journal of Ecology, 100(3): 742–749.
10. Hooper, D.U., Adair, E.C., Cardinale, B.J., Byrnes, J.E.K., Hungate, B.A., Matulich, K.L., Gonzalez, A., Duffy, J.E., Gamfeldt, L. & O’Connor, M.I. 2012. A global synthesis reveals biodiversity loss as a major driver of ecosystem change. Nature, 486(7401): 105–108.
11. Renard, D. & Tilman, D. 2019. National food production stabilized by crop diversity. Nature, 571(7764): 257–260.
12. Sicuro, B. 2021. World aquaculture diversity: origins and perspectives. Reviews in Aquaculture, 13(3): 1619–1634.
13. Metian, M., Troell, M., Christensen, V., Steenbeek, J. & Pouil, S. 2020. Mapping diversity of species in global aquaculture. Reviews in Aquaculture, 12(2): 1090–1100.
14. Herrero, M., Thornton, P.K., Power, B., Bogard, J.R., Remans, R., Fritz, S., Gerber, J.S. et al. 2017. Farming and the geography of nutrient production for human use: a transdisciplinary analysis. The Lancet Planetary Health, 1(1): e33–e42 [online]. [Cited 12 July 2021]. https://doi.org/10.1016/S2542-5196(17)30007-4
15. Khoury, C.K., Bjorkman, A.D., Dempewolf, H., Ramirez-Villegas, J., Guarino, L., Jarvis, A., Rieseberg, L.H. & Struik, P.C. 2014. Increasing homogeneity in global food supplies and the implications for food security. Proceedings of the National Academy of Sciences, 111(11): 4001–4006 [online]. [Cited 12 July 2021]. https://doi.org/10.1073/pnas.1313490111
16. Bennett, E., Carpenter, S.R., Gordon, L., Ramankutty, N., Balvanera, P., Campbell, B., Cramer, W. et al. 2014. Toward a more resilient agriculture. Solutions: For a Sustainable and desirable Future, 5(5): 65–75.
17. Kummu, M., Kinnunen, P., Lehikoinen, E., Porkka, M., Queiroz, C., Röös, E., Troell, M. & Weil, C. 2020. Interplay of trade and food system resilience: Gains on supply diversity over time at the cost of trade independency. Global Food Security, 24: 100360.
18. Dolfing, A.G., Leuven, J.R.F.W. & Dermody, B.J. 2019. The effects of network topology, climate variability and shocks on the evolution and resilience of a food trade network. PLoS ONE, 14(3): e0213378 [online]. [Cited 12 July 2021]. https://doi.org/10.1371/journal.pone.0213378.
19. Puma, M.J., Bose, S., Chon, S.Y. & Cook, B.I. 2015. Assessing the evolving fragility of the global food system. Environmental Research Letters, 10(2): 024007.
20. FAO. 2020. The State of World Fisheries and Aquaculture 2020. Sustainability in action. Rome. 244 pp. (also available at http://www.fao.org/documents/card/en/c/ca9229en/).
21. D’Odorico, P., Laio, F. & Ridolfi, L. 2010. Does globalization of water reduce societal resilience to drought? Geophysical Research Letters, 31(13): L13403.
22. Suweis, S., Carr, J.A., Maritan, A., Rinaldo, A. & D’Odorico, P. 2015. Resilience and reactivity of global food security. Proceedings of the National Academy of Sciences, 112(22): 6902–6907 [online]. [Cited 12 July 2021]. https://doi.org/10.1073/pnas.1507366112
23. FAO & WHO. 2019. Sustainable healthy diets – Guiding principles. Rome. 37 pp. (also available at http://www.fao.org/3/ca6640en/ca6640en.pdf).
24. Distefano, T., Laio, F., Ridolfi, L. & Schiavo, S. 2018. Shock transmission in the international food trade network. PLoS ONE, 13(8): e0200639 [online]. [Cited 12 July 2021]. https://doi.org/10.1371/journal.pone.0200639
25. Fair, K.R., Bauch, C.T. & Anand, M. 2017. Dynamics of the global wheat trade network and resilience to shocks. Scientific Reports, 7(1): 7177 [online]. [Cited 12 July 2021]. https://doi.org/10.1038/s41598-017-07202-y
26. d’Amour, C.B., Wenz, L., Kalkuhl, M., Steckel, J.C. & Creutzig, F. 2016. Teleconnected food supply shocks. Environmental Research Letters, 11(3): 035007.
27. Tamea, S., Laio, F. & Ridolfi, L. 2016. Global effects of local food-production crises: a virtual water perspective. Scientific Reports, 6(1): 18803 [online]. [Cited 12 July 2021]. https://doi.org/10.1038/srep18803
28. Nelson, A., de By, R., Thomas, T., Girgin, S., Brussel, M., Venus, V. & Ohuru, R. (forthcoming). The resilience of domestic transport networks in the context of food security – a multi-country analysis. Background paper for The State of Food and Agriculture 2021. FAO Agricultural Development Economics Technical Study No. 14. Rome, FAO.
29. Pyatkova, K., Chen, A.S., Butler, D., Vojinović, Z. & Djordjević, S. 2019. Assessing the knock-on effects of flooding on road transportation. Journal of Environmental Management, 244: 48–60.
30. Timmer, C.P. 2000. The macro dimensions of food security: economic growth, equitable distribution, and food price stability. Food Policy, 25(3): 283–295.
31. FAO, IFAD, UNICEF, WFP & WHO. 2021. The State of Food Security and Nutrition in the World 2021. Transforming food systems for food security, improved nutrition and affordable healthy diets for all. Rome, FAO. 240 pp. (also available at http://www.fao.org/documents/card/en/c/cb4474en).
32. Chao, S. 2012. Forest peoples – Numbers across the world. Moreton-in-Marsh, UK, Forest Peoples Programme. (also available at https://www.forestpeoples.org/sites/fpp/files/publication/2012/05/forest-peoples-numbers-across-world-final_0.pdf).
33. FAO & United Nations Environment Programme (UNEP). 2020. The State of the World’s Forests 2020. Forests, biodiversity and people. Rome, FAO. 188 pp. (also available at http://www.fao.org/3/ca8642en/CA8642EN.pdf).
34. Seekell, D., Carr, J., Dell’Angelo, J., D’Odorico, P., Fader, M., Gephart, J., Kummu, M. et al. 2017. Resilience in the global food system. Environmental Research Letters, 12(2): 025010.
35. World Bank. 2021. COVID-19 High Frequency Phone Survey of Households 2020-2021, Living Standards Measurement Study Plus. In: The World Bank [online]. Washington, DC. [Cited 12 July 2021]. https://microdata.worldbank.org/index.php/catalog/3860
36. BRAC International. 2020. Rapid food and income security assessment: How are BRAC International volunteers and programme participants coping with COVID-19. 7 pp. (also available at https://www.bracuk.net/wp-content/uploads/2020/04/Covid-FS-Rapid-Assessment-BI_20200404.pdf).
37. Gomes, C.M., Favorito, L.A., Henriques, J.V.T., Canalini, A.F., Anzolch, K.M.J., Fernandes, R. de C., Bellucci, C.H.S. et al. 2020. Impact of COVID-19 on clinical practice, income, health and lifestyle behavior of Brazilian urologists. International Brazilian Journal of Urology, 46(6): 1042–1071.
38. World Bank. 2021. PovcalNet: an online analysis tool for global poverty monitoring. In: World Bank [online]. Washington, DC. [Cited 12 July 2021]. http://iresearch.worldbank.org/PovcalNet/
39. World Bank. 2021. World Development Indicators: Population, total [online]. Washington, DC. [Cited 1 June 2021]. https://data.worldbank.org/indicator/SP.POP.TOTL
40. World Bank. 2020. Global consumption database - food and beverages. In: World Bank [online]. Washington, DC. [Cited 12 July 2021]. https://datatopics.worldbank.org/consumption/sector/Food-and-Beverages
41. World Bank. 2021. The gradual rise and rapid decline of the middle class in Latin America and the Caribbean. Washington, DC. (also available at https://openknowledge.worldbank.org/handle/10986/35834).
42. FAO, IFAD, UNICEF, WFP & WHO. 2020. The State of Food Security and Nutrition in the World 2020. Transforming food systems for affordable healthy diets. Rome, FAO. 320 pp. (also available at https://doi.org/10.4060/ca9692en).
43. Reardon, T. & Swinnen, J. 2020. COVID-19 and resilience innovations in food supply chains. In: IFPRI Blog [online]. [Cited 12 July 2021]. https://www.ifpri.org/blog/covid-19-and-resilience-innovations-food-supply-chains
1. FAO. 2021. FAOSTAT. In: FAO [online]. Rome. [Cited 12 July 2021]. http://faostat.fao.org
2. Yi, J., Meemken, E.-M., Mazariegos-Anastassiou, V., Liu, J., Kim, E., Gómez, M.I., Canning, P. & Barrett, C.B. 2021. Post-farmgate food value chains make up most of consumer food expenditures globally. Nature Food, 2(6): 417–425.
3. Reardon, T. 2015. The hidden middle: the quiet revolution in the midstream of agrifood value chains in developing countries. Oxford Review of Economic Policy, 31(1): 45–63.
4. Reardon, T., Echeverria, R., Berdegué, J.A., Minten, B., Liverpool-Tasie, S., Tschirley, D. & Zilberman, D. 2019. Rapid transformation of food systems in developing regions: Highlighting the role of agricultural research and innovations. Agricultural Systems, 172: 47–59.
5. Godfray, H.C.J., Crute, I.R., Haddad, L., Lawrence, D., Muir, J.F., Nisbett, N., Pretty, J., Robinson, S., Toulmin, C. & Whiteley, R. 2010. The future of the global food system. Philosophical Transactions of the Royal Society B: Biological Sciences, 365(1554): 2769–2777.
6. Stone, J. & Rahimifard, S. 2018. Resilience in agri-food supply chains: a critical analysis of the literature and synthesis of a novel framework. Supply Chain Management, 23(3): 207–238.
7. FAO. 2017. The State of Food and Agriculture 2017. Leveraging food systems for inclusive rural transformation. Rome. 160 pp. (also available at http://www.fao.org/3/a-i7658e.pdf).
8. Reardon, T. & Zilberman, D. 2021. The economics of food system resilience – conceptual overview and evidence. Background paper for The State of Food and Agriculture 2021. Making agri-food systems more resilient to shocks and stresses. Rome, FAO (unpublished).
9. Liverpool-Tasie, S., Omonona, B., Sanou, A., Ogunleye, W., Padilla, S. & Reardon, T. 2017. Growth and transformation of food systems in Africa: Evidence from the poultry value chain in Nigeria. Feed the Future Innovation Lab for Food Security Policy Research Brief. Michigan State University. 6 pp.
10. Reardon, T. & Swinnen, J. 2020. COVID-19 and resilience innovations in food supply chains. In: IFPRI Blog [online]. [Cited 12 July 2021]. https://www.ifpri.org/blog/covid-19-and-resilience-innovations-food-supply-chains
11. Reardon, T., Tschirley, D., Liverpool-Tasie, L.S.O., Awokuse, T., Fanzo, J., Minten, B., Vos, R. et al. 2021. The processed food revolution in African food systems and the double burden of malnutrition. Global Food Security, 28: 100466.
12. Ali, I., Nagalingam, S. & Gurd, B. 2017. Building resilience in SMEs of perishable product supply chains: enablers, barriers and risks. Production Planning and Control, 28(15): 1236–1250.
13. Handayati, Y., Simatupang, T.M. & Perdana, T. 2015. Agri-food supply chain coordination: the state-of-the-art and recent developments. Logistics Research, 8(1): 5.
14. Ali, I., Nagalingam, S. & Gurd, B. 2018. A resilience model for cold chain logistics of perishable products. The International Journal of Logistics Management, 29(3): 922–941.
15. Kelly, S. & Ilie, E.T. 2021. Engaging with small and medium agrifood enterprises to guide policy making. Rome, FAO. 78 pp. (also available at https://doi.org/10.4060/cb4179en).
16. Lu, Y., Wu, J., Peng, J. & Lu, L. 2020. The perceived impact of the Covid-19 epidemic: evidence from a sample of 4807 SMEs in Sichuan Province, China. Environmental Hazards, 19(4): 323–340.
17. Ali, I. 2021. Risk and resilience in SMEs of agri-food supply chains amid the COVID-19 pandemic: A cross-country comparison. Background paper for The State of Food and Agriculture 2021. Making agri-food systems more resilient to shocks and stresses. Melbourne, Australia, School of Business and Law, CQUniversity (unpublished).
18. Global Alliance for Improved Nutrition (GAIN), World Food Programme (WFP), Scaling Up Nutrition (SUN) & Business Network. 2020. Impacts of COVID-19 on small- and medium-sized enterprises in the food system – Results of an online survey [online]. [Cited 12 July 2021]. https://www.gainhealth.org/resources/reports-and-publications/impacts-covid-19-small-and-medium-sized-enterprises-food-system-results-of-an-online-survey
19. Jola-Sanchez, A.F. 2020. Humanitarian response to COVID-19: A discussion of challenges in disaster management for developing countries. Mosbacher Institute for Trade, Economics and Public Policy. (also available at https://hdl.handle.net/1969.1/187866).
20. Abu Hatab, A., Lagerkvist, C. & Esmat, A. 2021. Risk perception and determinants in small- and medium-sized agri-food enterprises amidst the COVID-19 pandemic: Evidence from Egypt. Agribusiness, 37(1): 187–212.
21. Qanti, S.R., Reardon, T. & Iswariyadi, A. 2017. Triangle of linkages among modernising markets, sprayer-traders, and mango farming intensification In Indonesia. Bulletin of Indonesian Economic Studies, 53(2): 187–208.
22. Zhang, X., Yang, J. & Reardon, T. 2017. Mechanization outsourcing clusters and division of labor in Chinese agriculture. China Economic Review, 43: 184–195.
23. Thulasiraman, V., Nandagopal, M.S.G. & Kothakota, A. 2021. Need for a balance between short food supply chains and integrated food processing sectors: COVID-19 takeaways from India. Journal of Food Science and Technology [online]. [Cited 12 July 2021]. https://doi.org/10.1007/s13197-020-04942-0
24. Hobbs, J.E. 2020. Food supply chains during the COVID-19 pandemic. Canadian Journal of Agricultural Economics, 68(2): 171–176.
25. Thilmany, D., Canales, E., Low, S.A. & Boys, K. 2021. Local food supply chain dynamics and resilience during COVID-19. Applied Economic Perspectives and Policy, 43(1): 86–104.
26. Fei, S., Ni, J. & Santini, G. 2020. Local food systems and COVID-19: an insight from China. Resources Conservation and Recycling, 162: 105022.
27. Hobbs, J.E. 2021. Food supply chain resilience and the COVID-19 pandemic: What have we learned? Canadian Journal of Agricultural Economics, 69(2): 189–196.
28. Marusak, A., Sadeghiamirshahidi, N., Krejci, C.C., Mittal, A., Beckwith, S., Cantu, J., Morris, M. & Grimm, J. 2021. Resilient regional food supply chains and rethinking the way forward: Key takeaways from the COVID-19 pandemic. Agricultural Systems, 190: 103101.
29. FAO, IFAD, UNICEF, WFP & WHO. 2021. The State of Food Security and Nutrition in the World 2021. Transforming food systems for food security, improved nutrition and affordable healthy diets for all. Rome, FAO. 240 pp. (also available at http://www.fao.org/documents/card/en/c/cb4474en).
30. Reardon, T., Heiman, A., Lu, L., Nuthalapati, C.S.R., Vos, R. & Zilberman, D. 2021. “Pivoting” by food industry firms to cope with COVID-19 in developing regions: E-commerce and “copivoting” delivery intermediaries. Agricultural Economics, 52(3): 459–475.
31. FAO. 2007. Promises and challenges of the informal food sector in developing countries. Rome. 34 pp. (also available at http://www.fao.org/3/a1124e/a1124e00.pdf).
32. Béné, C., Bakker, D., Rodriguez, M.C., Even, B., Melo, J. & Sonneveld, A. 2021. Impacts of COVID-19 on people’s food security: Foundations for a more resilient food system. Discussion Paper. Montpellier, France, CGIAR. 81 pp. (also available at https://doi.org/10.2499/p15738coll2.134295).
33. Conz, E., Denicolai, S. & Zucchella, A. 2017. The resilience strategies of SMEs in mature clusters. Journal of Enterprising Communities: People and Places in the Global Economy, 11(1): 186–210.
34. Darnhofer, I. 2020. Farm resilience in the face of the unexpected: lessons from the COVID-19 pandemic. Agriculture and Human Values, 37(3): 605–606.
35. Sandmo, A. 1971. On the theory of the competitive firm under price uncertainty. The American Economic Review, 61(1): 65–73. (also available at https://www.jstor.org/stable/1910541).
36. Riordan, M.H. & Williamson, O.E. 1985. Asset specificity and economic organization. International Journal of Industrial Organization, 3(4): 365–378.
37. Hernandez, R., Belton, B., Reardon, T., Hu, C., Zhang, X. & Ahmed, A. 2018. The “quiet revolution” in the aquaculture value chain in Bangladesh. Aquaculture, 493: 456–468.
38. Barrett, C.B., Bachke, M.E., Bellemare, M.F., Michelson, H.C., Narayanan, S. & Walker, T.F. 2012. Smallholder participation in contract farming: Comparative evidence from five countries. World Development, 40(4): 715–730.
39. Dolan, C. & Humphrey, J. 2000. Governance and trade in fresh vegetables: The impact of UK supermarkets on the African horticulture industry. The Journal of Development Studies, 37(2): 147–176.
40. Ingram, J. 2011. A food systems approach to researching food security and its interactions with global environmental change. Food Security, 3(4): 417–431.
41. Jin, H.J., Skripnitchenko, A. & Koo, W.W. 2004. The effects of the BSE outbreak in the United States on the beef and cattle industry. Center for Agricultural Policy and Trade Studies, Department of Agribusiness and Applied Economics, North Dakota State University.
42. Meyer, F., Reardon, T., van der Merwe, M., Jordaan, D., Delport, M. & van der Burgh, G. 2021. Hotspots of vulnerability: Analysis of food value chain disruptions by COVID-19 policies in South Africa. Agrekon, 60(4).
43. Knox, A.J., Bressers, H., Mohlakoana, N. & De Groot, J. 2019. Aspirations to grow: when micro- and informal enterprises in the street food sector speak for themselves. Journal of Global Entrepreneurship Research, 9(1): 38.
44. Young, G. & Crush, J. 2019. Governing the informal food sector in cities of the global south. Discussion Paper No. 30. Hungry Cities Partnership. 23 pp.
45. Ali, I. & Gölgeci, I. 2020. Managing climate risks through social capital in agrifood supply chains. Supply Chain Management, 26(1): 1–16.
46. Gálvez Nogales, E. 2010. Agro-based clusters in developing countries: staying competitive in a globalized economy. Agricultural Management, Marketing and Finance Occasional Paper No. 25. Rome, FAO. 105 pp. (also available at http://www.fao.org/3/i1560e/i1560e.pdf).
47. Gálvez Nogales, E. & Webber, M. 2017. Territorial tools for agro-industry development – A sourcebook. Rome, FAO. 368 pp. (also available at http://www.fao.org/3/i6862e/i6862e.pdf).
48. Dai, R., Mookherjee, D., Quan, Y. & Zhang, X. 2021. Industrial clusters, networks and resilience to the Covid-19 shock in China. Journal of Economic Behavior and Organization, 183: 433–455.
49. Zambon, I., Cecchini, M., Egidi, G., Saporito, M.G. & Colantoni, A. 2019. Revolution 4.0: Industry vs. Agriculture in a future development for SMEs. Processes, 7(1): 36.
50. Barcaccia, G., D’Agostino, V., Zotti, A. & Cozzi, B. 2020. Impact of the SARS-CoV-2 on the Italian agri-food sector: An analysis of the quarter of pandemic lockdown and clues for a socio-economic and territorial restart. Sustainability, 12(14): 5651.
51. FAO. 2020. Enabling sustainable food systems: Innovators’ handbook. Rome. 262 pp. (also available at http://www.fao.org/documents/card/en/c/ca9917en/).
52. United Nations. 2015. Sendai Framework for Disaster Risk Reduction 2015–2030. Geneva. 35 pp. (also available at https://www.preventionweb.net/files/43291_sendaiframeworkfordrren.pdf).
53. United Nations. 2020. UN Common Guidance on Helping Build Resilient Societies. Draft. New York. 64 pp. (also available at https://www.sparkblue.org/basic-page/un-common-guidance-helping-build-resilient-societies
1. FAO. 2003. Enhancing Support for Sustainable Rural Livelihoods. Committee on Agriculture, 17th Session, Rome. (also available at http://www.fao.org/3/Y8349e/Y8349e.htm).
2. United Nations Development Programme & Oxford Poverty and Human Development Initiative. 2020. Charting pathways out of multidimensional poverty: Achieving the SDGs. New York. (also available at http://hdr.undp.org/sites/default/files/2020_mpi_report_en.pdf).
3. Kankwamba, H. 2020. Economic disruptions, markets and food security. Bonn, Germany, University of Bonn. (Dissertation) (also available at https://bonndoc.ulb.uni-bonn.de/xmlui/handle/20.500.11811/8870).
4. Pradhan, K.C. & Mukherjee, S. 2018. Covariate and idiosyncratic shocks and coping strategies for poor and non-poor rural households in India. Journal of Quantitative Economics, 16(1): 101–127.
5. Dercon, S. & Hoddinott, J. 2005. Livelihoods, growth, and links to market towns in 15 Ethiopian villages. FCND Discussion Paper 194. Washington, DC, IFPRI. 34 pp.
6. Bhattamishra, R. & Barrett, C.B. 2008. Community-based risk management arrangements: an overview and implications for social fund programs. SP Discussion Paper No. 0830. World Bank. (also available at https://documents1.worldbank.org/curated/en/511011468157517454/pdf/463330NWP0Box334086B01PUBLIC10SP00830.pdf).
7. United Nations Development Programme (UNDP). 2014. Human Development Report 2014: Sustaining human progress: Reducing vulnerabilities and building resilience. New York. (also available at http://hdr.undp.org/en/content/human-development-report-2014).
8. Devereux, S. 2007. The impact of droughts and floods on food security and policy options to alleviate negative effects. Agricultural Economics, 37(s1): 47–58.
9. Notten, G. & Crombrugghe, D. de. 2012. Consumption smoothing in Russia. Economics of Transition, 20(3): 481–519. (also available at https://papers.ssrn.com/abstract=2079408).
10. FAO. 2021. The impact of disasters and crises on agriculture and food security: 2021. Rome. 211 pp. (also available at http://www.fao.org/documents/card/en/c/cb3673en).
11. Reardon, T. & Zilberman, D. 2021. The economics of food system resilience – conceptual overview and evidence. Background paper for The State of Food and Agriculture 2021. Making agri-food systems more resilient to shocks and stresses (unpublished).
12. d’Errico, M., Pinay, J., Luu, A., & Jumbe, E. 2021. Drivers and stressors of resilience to food insecurity: evidence from 35 countries. Background paper for The State of Food and Agriculture 2021. FAO Agricultural Development Economics Working Paper 21-09. Rome, FAO.
13. Harmer, A. & Macrae, J., eds. 2004. Beyond the continuum: The changing role of aid policy in protracted crises. HPG Research Report No. 18. London, Overseas Development Institute.
14. Debebe, Z.Y. & Raju, D. 2020. Covariate shocks and child undernutrition: A review of evidence from low- and middle-income countries. Policy Research Working Paper No. 9273. Washington, DC, World Bank. (also available at https://openknowledge.worldbank.org/handle/10986/33875).
15. Grantham-McGregor, S., Cheung, Y.B., Cueto, S., Glewwe, P., Richter, L. & Strupp, B. 2007. Developmental potential in the first 5 years for children in developing countries. The Lancet, 369(9555): 60–70.
16. Alderman, H., Hoddinott, J. & Kinsey, B. 2006. Long term consequences of early childhood malnutrition. Oxford Economic Papers, 58(3): 450–474.
17. Meuwissen, M.P.M., Feindt, P.H., Spiegel, A., Termeer, C.J.A.M., Mathijs, E., Mey, Y. de, Finger, R. et al. 2019. A framework to assess the resilience of farming systems. Agricultural Systems, 176: 102656.
18. Khalil, C.A., Conforti, P. & Gennari, P. 2017. Defining smallholders to monitor target 2.3. of the 2030 Agenda for Sustainable Development. FAO Statistics Working Paper Series. Rome, FAO. 43 pp. (also available at http://www.fao.org/publications/card/en/c/e7f3e6f7-59ee-42e7-9cce-36c18af2daea/).
19. Dixon, J., Tanyeri-Abur, A. & Wattenbach, H. 2004. Framework for analysing impacts of globalization on smallholders. In J. Dixon, K. Taniguchi, H. Wattenbach & A. Tanyeri-Arbur, eds. Smallholders, globalization and policy analysis. Rome, FAO. (also available at http://www.fao.org/3/y5784e/y5784e02.htm).
20. Brooks, J., Cervantes-Godoy, D. & Jonasson, E. 2009. Strategies for smallholders in developing countries: Commercialisation, diversification and exit. European Association of Agricultural Economists, 111th Seminar, June 26–27, 2009, Canterbury, UK. (also available at https://ideas.repec.org/p/ags/eaa111/52867.html).
21. Watson, J.R., Armerin, F., Klinger, D.H. & Belton, B. 2018. Resilience through risk management: cooperative insurance in small-holder aquaculture systems. Heliyon, 4(9): e00799 [online]. [Cited 12 July 2021]. https://doi.org/10.1016/j.heliyon.2018.e00799
22. FAO. 2020. The State of World Fisheries and Aquaculture 2020: Sustainability in action. Rome. 244 pp. (also available at http://www.fao.org/documents/card/en/c/ca9229en/).
23. Arthur, R., Bondad-Reantaso, M.G., Campbell, M.I., Hewitt, C.I., Phillips, M.J. & Subasinghe, R.P. 2008. Understanding and applying risk analysis in aquaculture. A manual for decision-makers. FAO Fisheries and Aquaculture Technical Paper No. 519/1. Rome, FAO. 113 pp. (also available at http://www.fao.org/3/i1136e/i1136e.pdf).
24. Flaten, O., Lien, G. & Tveterås, R. 2011. A comparative study of risk exposure in agriculture and aquaculture. Acta Agriculturae Scandinavica, Section C — Food Economics, 8(1): 20–34.
25. Engle, C.R. 2010. Risk analysis in production aquaculture research. In Aquaculture economics and financing: Management and analysis, pp. 197–206. John Wiley & Sons, Ltd. (also available at https://onlinelibrary.wiley.com/doi/abs/10.1002/9780813814346.ch16).
26. Karmakar, K. G., Mehta, G.S., Ghosh, S.K. & Selvaraj, P. 2011. Review of the development of microfinance services for coastal small scale fisheries and aquaculture for South Asia countries (including India, Bangladesh and Sri Lanka) with special attention to women. FAO, Rome. (also available at http://www.fao.org/apfic/publications/detail/en/c/419583/).
27. Pomeroy, R., Arango, C.A., Lomboy, C.G. & Box, S. 2020. Financial inclusion to build economic resilience in small-scale fisheries. Marine Policy, 118: 103982 [online]. [Cited 12 July 2021]. DOI: 10.1016/j.marpol.2020.103982.
28. Darnhofer, I. 2021. Resilience or how do we enable agricultural systems to ride the waves of unexpected change? Agricultural Systems, 187: 102997.
29. FAO. 2020. Impact of COVID-19 on agriculture, food systems and rural livelihoods in Eastern Africa. Accra, Ghana. 9 pp. (also available at http://www.fao.org/documents/card/en/c/cb0552en).
30. FAO. 2021. Impact de la crise covid-19 sur les secteurs de la pêche et de l’aquaculture dans les pays du Maghreb. Tunis, Tunisia. 8 pp. (also available at http://www.fao.org/documents/card/en/c/cb2991fr).
31. FAO. 2020. Farmers and agribusinesses at risk under COVID-19: What role for blended finance funds? Rome. 11 pp. (also available at http://www.fao.org/documents/card/en/c/ca9753en).
32. Hernandez Lagana, M. & Savino, L. 2018. Climate resilience assessment of small-scale pastoralists and agro-pastoralists in sub-Saharan Africa. An assessment of pastoral and agro-pastoral communities in Angola, Burkina Faso, Burundi, Gambia, Kenya, Mozambique, Niger, Uganda and South Sudan. Rome, FAO (unpublished).
33. Diogo, V., Reidsma, P., Schaap, B., Andree, B.P.J. & Koomen, E. 2017. Assessing local and regional economic impacts of climatic extremes and feasibility of adaptation measures in Dutch arable farming systems. Agricultural Systems, 157: 216–229.
34. Giller, K.E. 2013. Can we define the term ‘farming systems’? A question of scale. Outlook on Agriculture, 42(3): 149–153.
35. FAO. 2019. Dimitra Clubs in action. Special Edition of the Dimitra Newsletter. Rome. 64 pp. (also available at http://www.fao.org/3/i7865en/i7865en.pdf).
36. FAO and International Institute for Sustainable Development (IISD). 2018. Model agreement for responsible contract farming - with commentary. Rome, FAO. 68 pp. (also available at http://www.fao.org/3/ca1772en/CA1772EN.pdf).
37. Murekezi, P., Menezes, A. & Ridler, N. 2018. Contract farming and public–private partnerships in aquaculture: Lessons learned from East African Countries. FAO and Fisheries Aquaculture Technical Paper 623. Rome, FAO. 57 pp. (also available at http://www.fao.org/3/ca0134en/ca0134en.pdf).
38. Mottet, A., Bicksler, A., Lucantoni, D., De Rosa, F., Scherf, B., Scopel, E., López-Ridaura, S. et al. 2020. Assessing transitions to sustainable agricultural and food systems: A Tool for Agroecology Performance Evaluation (TAPE). Frontiers in Sustainable Food Systems, 4: 579154 [online]. [Cited 12 July 2021]. https://bit.ly/35TGbTK
39. FAO. 2019. Tool for Agroecology Performance Evaluation (TAPE) – Test version: Process of development and guidelines for application. Rome. 94 pp. (also available at http://www.fao.org/documents/card/en/c/ca7407en/).
40. FAO. 2018. Livestock and agroecology: How they can support the transition towards sustainable food and agriculture. Rome. 16 pp. (also available at http://www.fao.org/publications/card/en/c/I8926EN/).
41. Institut de recherche et de promotion des alternatives en développement (IRPAD). (forthcoming). Évaluation des performances de l’agroécologie et cartographie des marches territoriaux dans la region de Kayes au Mali. Report of Letter of Agreement in support a the GEF preparation grant. Eds. Goïta M. & Ouattara O. Bamako, Mali, IRPAD.
42. Lucantoni D., Mottet A., Bicksler A., Sy M.R, Veyret-Picot M., Vicovaro, M. & Goïta M. (forthcoming). Evidence on the multidimensional performance of agroecology in Mali, using the Tool for Agroecology Performance Evaluation – TAPE. Rome, FAO.
43. FAO. 2018. The 10 elements of agroecology: Guiding the transition to sustainable food and agricultural systems. Rome. 15 pp. (also available at http://www.fao.org/documents/card/en/c/I9037EN/).
44. FAO. 2019. The State of the World’s Biodiversity for Food and Agriculture 2019. In: FAO [online]. Rome. [Cited 17 June 2021]. http://www.fao.org/state-of-biodiversity-for-food-agriculture/en
45. DuVal, A., Mijatovic, D. & Hodgkin, T. 2019. The contribution of biodiversity for food and agriculture to the resilience of production systems: Thematic Study for The State of the World’s Biodiversity for Food and Agriculture. Rome, FAO. 88 pp. (also available at http://www.fao.org/documents/card/en/c/ca5008en/).
46. FAO. 2018. Future Smart Food: Rediscovering hidden treasures of neglected and underutilized species for Zero Hunger in Asia [online]. Rome. [Cited 17 June 2021]. http://www.fao.org/family-farming/detail/en/c/1154249/
47. Li, X., El Solh, M. & Siddique, K., eds. 2019. Mountain agriculture: Opportunities for harnessing Zero Hunger in Asia. Bangkok, FAO. 322 pp. (also available at http://www.fao.org/documents/card/en/c/ca5561en/).
48. Capalbo, S.M., Seavert, C., Antle, J.M., Way, J. & Houston, L. 2018. Understanding tradeoffs in the context of farm-scale impacts: An application of decision-support tools for assessing climate smart agriculture. In L. Lipper, N. McCarthy, D. Zilberman, S. Asfaw & G. Branca, eds. Climate smart agriculture, pp. 173–197. Natural Resource Management and Policy, vol. 52. Springer International Publishing. (also available at http://link.springer.com/10.1007/978-3-319-61194-5_9).
49. Steenwerth, K.L., Hodson, A.K., Bloom, A.J., Carter, M.R., Cattaneo, A., Chartres, C.J., Hatfield, J.L. et al. 2014. Climate-smart agriculture global research agenda: scientific basis for action. Agriculture and Food Security, 3(1): 11.
50. Brohm, K.-A. & Klein, S. 2020. The concept of climate smart agriculture – a classification in sustainable theories. International Journal for Quality Research, 14: 291–302.
51. Nyasimi, M., Amwata, D., Hove, L., Kinyangi, J. & Wamukoya, G. 2014. Evidence of impact: Climate-smart agriculture in Africa. Working Paper No. 86. Copenhagen, CGIAR. (also available at https://cgspace.cgiar.org/bitstream/handle/10568/51374/WP86.pdf).
52. FAO. 2020. Building resilient farming communities to boost local economies and promote rural employment. Thirty-fifth Session of FAO Regional Conference for the Near East. (also available at http://www.fao.org/3/nc214en/nc214en.pdf).
53. FAO. 2015. The State of Food and Agriculture 2015. Social protection and agriculture: breaking the cycle of rural poverty. Rome. 129 pp. (also available at http://www.fao.org/3/i4910e/I4910E.pdf).
54. Croppenstedt, A., Knowles, M. & Lowder, S.K. 2018. Social protection and agriculture: Introduction to the special issue. Global Food Security, 16: 65–68.
55. Dorward, A., Sabates-Wheeler, R., MacAuslan, I., Buckley, C., Kydd, J & Chirwa, E. 2006. Promoting agriculture for social protection or social protection for agriculture: strategic policy and research issues. Discussion Paper. Future Agricultures Consortium
56. Gilligan, D.O., Hoddinott, J. & Taffesse, A.S. 2009. The impact of Ethiopia’s productive safety net programme and its linkages. The Journal of Development Studies, 45(10): 1684–1706.
57. HLPE. 2012. Social protection for food security. A report by the High Level Panel of Experts on Food Security and Nutrition of the Committee on World Food Security. Rome, FAO. 96 pp. (also available at http://www.fao.org/fileadmin/user_upload/hlpe/hlpe_documents/HLPE_Reports/HLPE-Report-4-Social_protection_for_food_security-June_2012.pdf).
58. Devereux, S. 2016. Social protection for enhanced food security in sub-Saharan Africa. Food Policy, 60: 52–62.
59. Lowder, S.K., Bertini, R. & Croppenstedt, A. 2017. Poverty, social protection and agriculture: Levels and trends in data. Global Food Security, 15: 94–107.
60. Mastrorillo, M., Scognamillo, A., Ginet, C., Pietrelli, R., D’Errico, M. & Ignaciuk, A. (forthcoming). Evaluating the impacts of cash versus food social transfers on agricultural self-reliance capacity in refugee-hosting districts of Uganda. FAO Agricultural Development Economics Working Paper. Rome, FAO.
61. Sitko, N.J., Scognamillo, A. & Malevolti, G. 2021. Does receiving food aid influence the adoption of climate-adaptive agricultural practices? Evidence from Ethiopia and Malawi. Food Policy: 102041 [online]. [Cited 17 July 2021]. https://doi.org/10.1016/j.foodpol.2021.102041.
62. Ignaciuk, A. & Scognamillo, A., Sitko, N. 2021. Leveraging social protection to advance climate-smart agriculture: evidence from Malawi. FAO Agricultural Development Economics Working Paper 21-04. FAO Agricultural Development Economics Working Paper 21–04. Rome, FAO. 40 pp. (also available at http://www.fao.org/documents/card/en/c/cb3649en).
63. Ginet, C., Ignaciuk, A., Pietrelli, R., Scognamillo, A. & Mastrorillo, M. (forthcoming). Building resilience to weather shock through social protection: evidence from the implementation of PSNP public work programme in Ethiopia. FAO Agricultural Development Economics Working Paper. Rome, FAO.
64. Carrasco Azzini, G. 2020. Social assistance and productive support policies implementation in rural areas: Are social protection policies designed to reach the rural poor? Rome, FAO. 50 pp. (also available at http://www.fao.org/documents/card/en/c/cb1541en).
65. Béné, C., Bakker, D., Rodriguez, M.C., Even, B., Melo, J. & Sonneveld, A. 2021. Impacts of COVID-19 on people’s food security: Foundations for a more resilient food system. Discussion Paper. Montpellier, France, CGIAR. 81 pp. (also available at https://doi.org/10.2499/p15738coll2.134295).
66. Gentilini, U., Almenfi, M., Orton, I. & Dale, P. 2020. Social protection and jobs responses to COVID-19 : A real-time review of country measures. Washington, DC, World Bank. (also available at https://openknowledge.worldbank.org/handle/10986/33635).
67. International Labour Organization (ILO). 2020. Social protection responses to the COVID-19 pandemic in developing countries: Strengthening resilience by building universal social protection [online]. Geneva. [Cited 17 June 2021]. http://www.ilo.org/secsoc/information-resources/publications-and-tools/Brochures/WCMS_744612/lang--en/index.htm
68. Tirivayi, N., Knowles, M. & Davis, B. 2016. The interaction between social protection and agriculture: A review of evidence. Global Food Security, 10: 52–62. (also available at https://doi.org/10.1016/j.gfs.2016.08.004).
69. Nesbitt-Ahmed, Z. & Pozarny, P., Z. 2021. Qualitative research on impacts of the Zambia Home Grown School Feeding and Conservation Agriculture Scale Up Programmes. Rome, FAO. 80 pp. (also available at https://doi.org/10.4060/cb4442en).
70. Béné, C., Devereux, S., & Roelen, K. 2015. Social protection and sustainable natural resource management: initial findings and good practices from small-scale fisheries. In: FAO [online]. Rome. [Cited 17 June 2021]. http://www.fao.org/family-farming/detail/en/c/384497/
71. FAO. 2020. The contribution of social protection to economic inclusion in rural areas. Rome. 32 pp. (also available at http://www.fao.org/3/cb2458en/CB2458EN.pdf).
1. FAO, IFAD, UNICEF, WFP & WHO. 2021. The State of Food Security and Nutrition in the World 2021. Transforming food systems for food security, improved nutrition and affordable healthy diets for all. Rome, FAO. 240 pp. (also available at http://www.fao.org/documents/card/en/c/cb4474en).
2. Brouwer, I.D., McDermott, J. & Ruben, R. 2020. Food systems everywhere: Improving relevance in practice. Global Food Security, 26: 100398.
3. Kahiluoto, H. 2020. Food systems for resilient futures. Food Security, 12(4): 853–857.
4. Kummu, M., Kinnunen, P., Lehikoinen, E., Porkka, M., Queiroz, C., Röös, E., Troell, M. & Weil, C. 2020. Interplay of trade and food system resilience: Gains on supply diversity over time at the cost of trade independency. Global Food Security, 24: 100360.
5. Kahiluoto, H. & Kaseva, J. 2016. No evidence of trade-off between farm efficiency and resilience: Dependence of resource-use efficiency on land-use diversity. PLoS ONE, 11(9): e0162736 [online]. [Cited 13 July 2021]. https://doi.org/10.1371/journal.pone.0162736
6. International Maritime Organization (IMO). 2020. IMO urges keyworker exemptions for crew changes and repatriations. In: IMO [online]. London. [Cited 12 April 2021]. https://www.imo.org/en/MediaCentre/PressBriefings/Pages/09-seafarers-COVID19.aspx
7. Pape, M. 2020. EU shipping and ports facing coronavirus. At a Glance. European Parliamentary Research Service. European Union. (also available at https://www.europarl.europa.eu/RegData/etudes/ATAG/2020/651907/EPRS_ATA(2020)651907_EN.pdf).
8. Fan, S., Teng, P., Chew, P., Smith, G. & Copeland, L. 2021. Food system resilience and COVID-19 – Lessons from the Asian experience. Global Food Security, 28: 100501.
9. Wilcox, B.A. & Colwell, R.R. 2005. Emerging and reemerging infectious diseases: Biocomplexity as an interdisciplinary paradigm. EcoHealth, 2(4): 244.
10. Liu, Q., Xu, W., Lu, S., Jiang, J., Zhou, J. Shao, Z., Liu, X. et al. 2018. Landscape of emerging and re-emerging infectious diseases in China: impact of ecology, climate, and behavior. Frontiers of Medicine, 12(1): 3–22. (also available at https://doi.org/10.1007/s11684-017-0605-9).
11. Weiss, R.A. & McMichael, A.J. 2004. Social and environmental risk factors in the emergence of infectious diseases. Nature Medicine, 10(12): S70–S76.
12. Taylor, L.H., Latham, S.M. & Woolhouse, M.E. 2001. Risk factors for human disease emergence. Philosophical Transactions of the Royal Society of London B Biological Sciences, 356(1411): 983–989.
13. Orden, D. 2020. Resilience test of the North American food system. Canadian Journal of Agricultural Economics, 68(2): 215–217.
14. WHO. 2017. One Health. In: WHO [online]. Geneva. [Cited 13 July 2021]. https://www.who.int/news-room/q-a-detail/one-health
15. FAO. 2020. One Health legislation: Contributing to pandemic prevention through law. Rome. 10 pp. (also available at https://doi.org/10.4060/ca9729en).
16. FAO. 2020. Cities and local governments at the forefront in building inclusive and resilient food systems: Key results from the FAO survey “Urban Food Systems and COVID-19”. Policy Brief. Rome. 16 pp. (also available at http://www.fao.org/3/cb0407en/CB0407EN.pdf).
17. Marusak, A., Sadeghiamirshahidi, N., Krejci, C.C., Mittal, A., Beckwith, S., Cantu, J., Morris, M. & Grimm, J. 2021. Resilient regional food supply chains and rethinking the way forward: Key takeaways from the COVID-19 pandemic. Agricultural Systems, 190: 103101.
18. Brunori, G. & Galli, F., eds. 2013. Short food supply chains as drivers of sustainable development. Evidence Document. Document developed in the framework of the FP7 project Foodlinks. Laboratorio di studi rurali Sismondi. (also available at https://orgprints.org/id/eprint/28858/1/evidence-document-sfsc-cop.pdf).
19. Ackerman, K., Conard, M., Culligan, P., Plunz, R., Sutto, M.-P. & Whittinghill, L. 2014. Sustainable food systems for future cities: The potential of urban agriculture. The Economic and Social Review, 45(2): 189–206. (also available at https://www.esr.ie/article/view/136).
20. Tzachor, A., Richards, C.E. & Holt, L. 2021. Future foods for risk-resilient diets. Nature Food, 2(5): 1–4.
21. Meuwissen, M.P.M., Feindt, P.H., Spiegel, A., Termeer, C.J.A.M., Mathijs, E., Mey, Y. de, Finger, R. et al. 2019. A framework to assess the resilience of farming systems. Agricultural Systems, 176: 102656.
22. Giller, K.E., Hijbeek, R., Andersson, J.A. & Sumberg, J. 2021. Regenerative agriculture: An agronomic perspective. Outlook on Agriculture, 50(1): 13–25 [online]. [Cited 13 July 2021]. https://doi.org/10.1177/0030727021998063
23. Alvar-Beltrán, J., Elbaroudi, I., Gialletti, A., Heureux, A., Neretin, L. & Soldan, R. 2021. Climate resilient practices: Typology and guiding material for climate risk screening. Rome, FAO. 30 pp. (also available at http://www.fao.org/3/cb3991en/cb3991en.pdf).
24. Bioversity International. 2017. Mainstreaming agrobiodiversity in sustainable food systems: Scientific foundations for an agrobiodiversity index. Rome. 157 pp. (also available at https://www.bioversityinternational.org/fileadmin/user_upload/online_library/Mainstreaming_Agrobiodiversity/Mainstreaming_Agrobiodiversity_Sustainable_Food_Systems_WEB.pdf).
25. FAO, World Organisation for Animal Health (OIE) & WHO. 2019. Taking a multisectoral, One Health approach: A tripartite guide to addressing zoonotic diseases in countries. Rome, FAO, Paris, OIE and Geneva, WHO. 151 pp. (also available at http://www.fao.org/3/ca2942en/ca2942en.pdf).
26. FAO. 2019. Disaster risk reduction at farm level: Multiple benefits, no regrets: Results from cost–benefit analyses conducted in a multi-country study, 2016–2018. Rome. 160 pp. (also available at http://www.fao.org/publications/card/en/c/CA4429EN/).
27. Han, Y., Chong, W.K. & Li, D. 2020. A systematic literature review of the capabilities and performance metrics of supply chain resilience. International Journal of Production Research, 58(15): 4541–4566 [online]. [Cited 13 July 2021]. https://doi.org/10.1080/00207543.2020.1785034
28. World Bank. 2017. ICT in agriculture: Connecting smallholders to knowledge, networks, and institutions. Washington, DC, World Bank. (also available at https://openknowledge.worldbank.org/handle/10986/27526).
29. Blay-Palmer, A., Santini, G., Halliday, J., Malec, R., Carey, J., Keller, L., Ni, J., Taguchi, M. & van Veenhuizen, R. 2021. City region food systems: Building resilience to COVID-19 and other shocks. Sustainability, 13(3): 1325.
30. FAO, IFAD, UNICEF, WFP & WHO. 2018. The State of Food Security and Nutrition in the World 2018. Building climate resilience for food security and nutrition. Rome. 183 pp. (also available at http://www.fao.org/3/i9553en/i9553en.pdf).
31. FAO. 2017. Averting risks to the food chain: A compendium of proven emergency prevention methods and tools. Rome. 103 pp. (also available at http://www.fao.org/3/i6538e/i6538e.pdf).
32. FAO. 2019. UN Climate Resilience – A2R study on ‘Tracking progress on climate resilience for agriculture and food systems at national, subnational and local levels’. Rome. UN Climate Resilience Initiative A2R. 5 pp. (also available at https://static1.squarespace.com/static/5651e0a2e4b0d031533efa3b/t/5dee29d1ce1e084cec9b590e/1575889365403/Summary+of+the+A2R+study+for+DC+days_+final.pdf).
33. FAO. 2021. The impact of disasters and crises on agriculture and food security: 2021. Rome. 211 pp. (also available at http://www.fao.org/documents/card/en/c/cb3673en).
34. United Nations. 2016. Report of the open-ended intergovernmental expert working group on indicators and terminology relating to disaster risk reduction. New York. 41 pp. (also available at https://www.undrr.org/publication/report-open-ended-intergovernmental-expert-working-group-indicators-and-terminology).
35. FAO. 2019. Policy support and governance gateway. In: FAO [online]. Rome. [Cited 13 July 2021]. http://www.fao.org/policy-support/governance/en/
36. Halloran, A., Wood, A. & Sellberg, M. 2020. What can the COVID-19 pandemic teach us about resilient Nordic food systems? [online]. Nordic Council of Ministers. [Cited 13 July 2021]. https://pub.norden.org/nord2020-038
37. FAO. 2021. City region food systems programme: Reinforcing rural–urban linkages for resilient food systems. In: FAO [online]. Rome. [Cited 13 July 2021]. http://www.fao.org/in-action/food-for-cities-programme/overview/crfs/en/
38. Lyson, T.A., Stevenson, G.W. & Welsh, R., eds. 2008. Food and the mid-level farm: Renewing an agriculture of the middle [online]. The MIT Press. [Cited 13 July 2021]. https://direct.mit.edu/books/book/4212/Food-and-the-Mid-Level-FarmRenewing-an-Agriculture
39. Gebresenbet, G. & Bosona, T. 2012. Logistics and supply chains in agriculture and food. In A. Groznik & Y. Xiong, eds. Pathways to supply chain excellence, pp. 125–146. (also available at https://www.intechopen.com/books/pathways-to-supply-chain-excellence/logistics-chains-in-food-and-agriculture-sector).
40. Hobbs, J.E. 2020. Food supply chains during the COVID-19 pandemic. Canadian Journal of Agricultural Economics, 68(2): 171–176.
41. Shuvaeva, O. & Belova, E. 2019. Contribution of the social protection to reducing poverty and ensuring food security in Kyrgyz Republic. Analysis of cost and benefits, effectiveness of investment in nutrition-sensitive social protection. FAO’s pilot programs in Kyrgyzstan (unpublished).
42. Arslan, A., McCarthy, N., Lipper, L., Asfaw, S., Cattaneo, A. & Kokwe, M. 2015. Climate smart agriculture? Assessing the adaptation implications in Zambia. Journal of Agricultural Economics, 66(3): 753–780.
43. Asfaw, S., McCarthy, N., Lipper, L., Arslan, A. & Cattaneo, A. 2016. What determines farmers’ adaptive capacity? Empirical evidence from Malawi. Food Security, 8(3): 643–664.
44. Mäkinen, H., Kaseva, J., Virkajärvi, P. & Kahiluoto, H. 2015. Managing resilience of forage crops to climate change through response diversity. Field Crops Research, 183: 23–30.
45. Notten, G. & Crombrugghe, D. de. 2012. Consumption smoothing in Russia. Economics of Transition, 20(3): 481–519. (also available at https://papers.ssrn.com/abstract=2079408).
46. FAO. 2015. The State of Food and Agriculture 2015. Social protection and agriculture: breaking the cycle of rural poverty. Rome. 129 pp. (also available at http://www.fao.org/3/i4910e/i4910e.pdf).
47. Carrasco Azzini, G. 2020. Social assistance and productive support policies implementation in rural areas: Are social protection policies designed to reach the rural poor? Rome, FAO. 50 pp. (also available at http://www.fao.org/documents/card/en/c/cb1541en).
48. FAO & Red Cross Red Crescent Climate Centre. 2019. Managing climate risks through social protection – Reducing rural poverty and building resilient agricultural livelihoods. Rome, FAO. (also available at http://www.fao.org/3/ca6681en/CA6681EN.pdf).
49. Hertel, T., Elouafi, I., Ewert, F. & Tanticharoen, M. 2021. Building resilience to vulnerabilities, shocks and stresses – Action Track 5. United Nations Food Systems Summit 2021 Scientific Group. 20 pp. (also available at https://www.un.org/sites/un2.un.org/files/5-action_track-5_scientific_group_draft_paper_8-3-2021.pdf).
50. Tirivayi, N., Knowles, M. & Davis, B. 2016. The interaction between social protection and agriculture: A review of evidence. Global Food Security, 10: 52–62. (also available at https://doi.org/10.1016/j.gfs.2016.08.004).
51. Miralles-Wilhelm, F. 2021. Nature-based solutions in agriculture: Sustainable management and conservation of land, water and biodiversity. Virginia, USA, FAO and The Nature Conservancy. 68 pp. (also available at http://www.fao.org/documents/card/en/c/cb3140en).
52. International Union for Conservation of Nature (IUCN). 2021. Nature-based solutions. In: Commission on Ecosystem Management [online]. [Cited 16 April 2021]. https://www.iucn.org/commissions/commission-ecosystem-management/our-work/nature-based-solutions
53. FAO. 2020. The State of Food and Agriculture 2020: Overcoming water challenges in agriculture. Rome. 178 pp. (also available at http://www.fao.org/documents/card/en/c/cb1447en/).
54. Hallstein, E. & Iseman, T. 2021. Nature-based solutions in agriculture: Project design for securing investment. Virginia, USA, FAO and The Nature Conservancy. 67 pp. (also available at http://www.fao.org/3/cb3144en/cb3144en.pdf).
55. Iseman, T. & Miralles-Wilhelm, F. 2021. Nature-based solutions in agriculture: The case and pathway for adoption. Virginia, USA, FAO and The Nature Conservancy. 52 pp. (also available at http://www.fao.org/3/cb3141en/cb3141en.pdf).
56. Cutter, S.L., Barnes, L., Berry, M., Burton, C., Evans, E., Tate, E. & Webb, J. 2008. A place-based model for understanding community resilience to natural disasters. Global Environmental Change, 18(4): 598–606.
57. FAO. 2021. One Health. In: FAO [online]. Rome [Cited 10 March 2021]. http://www.fao.org/one-health/en/
58. Sánchez, M.V., Cicowiez, M. & Ortega, A. 2021. Inversión pública productiva en la agricultura para la recuperación económica con bienestar rural: un análisis de escenarios prospectivos para México. Economía del desarrollo agrícola de la FAO – Estudio técnico 11. Rome, FAO. 92 pp. (also available at http://www.fao.org/3/cb4562es/cb4562es.pdf
59. Sadiddin, A. 2013. An assessment of policy impact on agricultural water use in the northeast of Syria. Environmental Management and Sustainable Development, 2(2): 2164–7682.
60. Ababsa, M. 2013. Crise agraire, crise foncière et sécheresse en Syrie (2000–2011). Maghreb - Machrek, 215(1): 101–122.
61. Office for the Coordination of Humanitarian Affairs (UNOCHA). 2010. Syria drought response plan 2009–2010. Mid-term review. New York. (also available at https://reliefweb.int/report/syrian-arab-republic/syria-drought-response-plan-2009-2010-mid-term-review).
62. Weinthal, E., Zawahri, N. & Sowers, J. 2015. Securitizing water, climate, and migration in Israel, Jordan, and Syria. International Environmental Agreements: Politics, Law and Economics, 15(3): 293–307.
63. Organisation for Economic Co-operation and Development (OECD). 2020. Strengthening agricultural resilience in the face of multiple risks. Paris. 144 pp. (also available at https://www.oecd-ilibrary.org/agriculture-and-food/strengthening-agricultural-resilience-in-the-face-of-multiple-risks_2250453e-en).
1. Shannon, C.E. 1948. A mathematical theory of communication. Bell System Technical Journal, 27(3): 379–423.
2. FAO. 2021. FAOSTAT. In: FAO [online]. Rome [Cited 12 July 2021]. http://faostat.fao.org
3. Agricultural Market Information System. 2021. Supply and Demand Balance [online]. [Cited 1 July 2021]. http://statistics.amis-outlook.org/data/index.html#DOWNLOAD_STANDARD
4. FAO. 2021. GIEWS – Global Information and Early Warning System on Food and Agriculture [online]. Rome. [Cited 12 July 2021]. http://www.fao.org/giews/data-tools/en/
5. United States Department of Agriculture (USDA). 2021. Production, Supply and Distribution [online]. Washington, DC. [Cited 1 June 2021]. https://apps.fas.usda.gov/psdonline/app/index.html#/app/home
6. FAO, IFAD, UNICEF, WFP & WHO. 2021. The State of Food Security and Nutrition in the World 2021. Transforming food systems for food security, improved nutrition and affordable healthy diets for all. Rome, FAO. 240 pp. (also available at http://www.fao.org/documents/card/en/c/cb4474en).
7. FAO, IFAD, UNICEF, WFP & WHO. 2020. The State of Food Security and Nutrition in the World 2020. Transforming food systems for affordable healthy diets. Rome, FAO. 320 pp. (also available at https://doi.org/10.4060/ca9692en).
8. World Bank. 2021. PovcalNet: an online analysis tool for global poverty monitoring. In: World Bank [online]. Washington, DC. [Cited 12 July 2021]. http://iresearch.worldbank.org/PovcalNet/
9. INDDEX Project. 2021. Data4Diets: building blocks for diet-related food security analysis. In: International Dietary Data Expansion Project [online]. [Cited 12 July 2021]. https://inddex.nutrition.tufts.edu/data4diets
10. Smith, L.C. & Subandoro, A. 2007. Measuring food security using household expenditure surveys. Washington, DC, IFPRI. (also available at https://ebrary.ifpri.org/digital/collection/p15738coll2/id/125275).
11. Lele, U., Masters, W.A., Kinabo, J., Meenakshi, J.V., Ramaswami, B., Tagwireyi, J., Bell, W.F.L. & Goswami, S. 2016. Measuring food and nutrition security: An independent technical assessment and user’s guide for existing indicators. Measuring Food and Nutrition Security Technical Working Group. Rome, WFP. (also available at https://reliefweb.int/sites/reliefweb.int/files/resources/1_FSIN-TWG_UsersGuide_12June2016.compressed.pdf).
12. Moltedo, A., Troubat, N., Lokshin, M. & Sajaia, Z. 2014. Analyzing food security using household survey data. Washington, DC, World Bank. (also available at https://openknowledge.worldbank.org/bitstream/handle/10986/18091/9781464801334.pdf;sequence=1).
13. World Bank. 2021. World Development Indicators: Population, total [online]. Washington, DC. [Cited 1 June 2021]. https://data.worldbank.org/indicator/SP.POP.TOTL
14. Nelson, A., de By, R., Thomas, T., Girgin, S., Brussel, M., Venus, V. & Ohuru, R. (forthcoming). The resilience of domestic transport networks in the context of food security – a multi-country analysis. Background paper for The State of Food and Agriculture 2021. FAO Agricultural Development Economics Technical Study No. 14. Rome, FAO.