معدّل انتشار النقص التغذوي
التعريف
يُعرَّف النقص التغذوي بأنه الحالة التي يكون فيها استهلاك الأغذية المعتاد للفرد غير كافٍ لتوفير كمية الطاقة الغذائية اللازمة لعيش حياة طبيعية وموفورة النشاط والصحة.
كيفية الإبلاغ
يُمثّل المؤشر (الذي يُسمى «معدّل انتشار النقص التغذوي») تقديرًا للنسبة المئوية للأفراد الذين يعانون من النقص التغذوي من مجموع السكان. ويُبلّغ عن التقديرات الوطنية كمتوسطات متحرِّكة تغطي فترة ثلاث سنوات، للحد من انخفاض مستوى موثوقية تقديرات بعض البارامترات بسبب العناصر التي لا يتوافر بشأنها سوى النزر اليسير من المعلومات الكاملة والموثوقة. ومن ذلك على سبيل المثال الاختلافات من سنة إلى أخرى في مخزونات السلع الغذائية، وهي أحد مكوّنات ميزانيات الأغذية السنوية لمنظمة الأغذية والزراعة. ومن جهة أخرى، يُبلّغ عن المجاميع الإقليمية والعالمية كتقديرات سنوية، نظرًا إلى أنه من المتوقع عدم وجود ارتباط بين أخطاء التقدير المتوقع، وبالتالي يُتوقع أن تقلّ الأخطاء إلى مستويات مقبولة عند تجميعها عبر البلدان.
وتُنقح السلسلة الكاملة لقيم معدّل انتشار النقص التغذوي مع إصدار كل طبعة جديدة من هذا التقرير لكي تُعبِّر عن البيانات والمعلومات الجديدة التي حصلت عليها منظمة الأغذية والزراعة منذ إصدار الطبعة السابقة. وبما أنّ هذه العملية تشمل في العادة تنقيحات للقيم السابقة في كامل سلسلة معدّل انتشار النقص التغذوي، يُنصح القراء بعدم مقارنة السلاسل بين الطبعات المختلفة من هذا التقرير وينبغي دائمًا الرجوع إلى الطبعة الحالية من التقرير، بما فيها قيم السنوات الماضية.
المنهجية
تُحسب تقديرات معدّل انتشار النقص التغذوي لدى السكان عن طريق وضع نموذج توزيع احتمالي لمستويات المتناول من الطاقة الغذائية المعتادة (المعبَّر عنها بكيلو سعرة حرارية للفرد يوميًا) للشخص العادي، من خلال دالة كثافة الاحتمال البارامترية f(x) 1، 2 ويُحسب المؤشر كاحتمال تراكمي لانخفاض المتناول المعتاد من الطاقة الغذائية (x) عن الحد الأدنى من متطلبات الطاقة الغذائية (أي الحد الأدنى من نطاق متطلبات الطاقة المناسبة للفرد العادي التمثيلي للسكان) كما هو موضّح في الصيغة الواردة أدناه:

حيث θ هو متجه البارامترات الذي يميِّز دالة كثافة الاحتمال البارامترية. ويُفترض أن التوزيع لوغاريتمي طبيعي، وبالتالي فهو يتميَّز بكامله ببارامترين اثنين فقط، وهما: متوسط استهلاك الطاقة الغذائية ومعامل التباين.
مصدر البيانات
استُخدمت مصادر بيانات مختلفة لتقدير مختلف بارامترات النموذج.
الحد الأدنى من متطلبات الطاقة الغذائية
تُحدَّد متطلبات الطاقة البشرية للفرد في فئة معيَّنة من فئات الجنس/العمر على أساس المتطلبات المعيارية لمعدّل الأيض الأساسي لكل كيلوغرام من كتلة الجسم، مضروبًا بالوزن المثالي لشخص سليم في فئة الجنس/العمر تلك استنادًا إلى طوله، ومن ثم مضروبًا بمعامل لمستوى النشاط البدني مراعاةً للنشاط البدني.ضض وبالنظر إلى أن مؤشرات كتلة الجسم ومستويات النشاط البدني تتفاوت بين الأفراد النشطين والأصحاء من الجنس والعمر نفسيهما، ينطبق نطاق لمتطلبات الطاقة على كل جنس وفئة عمرية من السكان. ويُحتسب الحد الأدنى من متطلبات الطاقة الغذائية للشخص العادي من السكان، وهو البارامتر المستخدم في صيغة انتشار النقص التغذوي، كالمتوسط المرجّح لنطاقات الحد الأدنى للطاقة الغذائية لكل جنس وفئة عمرية، باستخدام نسب السكان في كل فئة كأوزان ترجيحية. وعلى غرار الحد الأدنى من متطلبات الطاقة الغذائية (المستخدم لتقدير أحد مكوّنات معامل التباين على النحو المبيّن أدناه)، يُقدّر متوسط المتطلبات من الطاقة الغذائية باستخدام متوسط القيمة الدنيا والقيمة العليا لفئة «أسلوب الحياة النشط أو المعتدل النشاط».3
وتتاح المعلومات عن الهيكل السكاني بحسب الجنس والعمر المطلوبة لحساب الحد الأدنى من متطلبات الطاقة الغذائية لمعظم بلدان العالم ولكل سنة في تقرير التوقعات السكانية في العالم الذي تصدره إدارة الأمم المتحدة للشؤون الاقتصادية والاجتماعية، وينقح كل سنتين. وتستخدم هذه الطبعة من حالة الأمن الغذائي والتغذية في العالم تنقيح عام 2024 لتقرير التوقعات السكانية في العالم.4
واشتُقت المعلومات المتعلقة بمتوسط الطول في كل فئة من فئات الجنس والعمر للبلد المعيّن من دراسات استقصائية ديمغرافية وصحية حديثة، أو من دراسات استقصائية أخرى تجمع بيانات عن مقاييس الجسم البشري لدى الأطفال والأشخاص البالغين. وحتى في الحالات التي لا تعود فيها تلك الدراسات الاستقصائية إلى السنة نفسها المشمولة بتقديرات معدّل انتشار النقص التغذوي، يُتوقع لتأثير التغييرات الطفيفة المحتملة في متوسط الطول عبر السنين على الحد الأدنى من متطلبات الطاقة الغذائية، وبالتالي على هذه التقديرات، أن يكون ضئيلًا جدًا.
استهلاك الطاقة الغذائية
في الظروف المثالية، يمكن تقدير استهلاك الطاقة الغذائية من بيانات استهلاك الأغذية المستمدة من الدراسات الاستقصائية للأسر المعيشية التي تُمثّل المستوى الوطني (مثل الدراسات الاستقصائية لقياس مستويات المعيشة أو الدراسات الاستقصائية لاستهلاك الأسرة المعيشية ونفقاتها). ولكنّ عددًا قليلًا جدًا فقط من البلدان يُجري هذه الدراسات الاستقصائية سنويًا. وبالتالي، في تقديرات المنظمة لمعدّل «انتشار النقص التغذوي» للرصد العالمي، تُقدَّر قيم استهلاك الطاقة الغذائية من إمدادات الطاقة الغذائية المبلَّغ عنها في ميزانيات الأغذية التي تجمعها منظمة الأغذية والزراعة لمعظم البلدان في العالم.5
ومنذ إصدار الطبعة الأخيرة من هذا التقرير، تم تحديث مجال ميزانيات الأغذية على أساس قاعدة البيانات الإحصائية الموضوعية في منظمة الأغذية والزراعة بقيم جديدة للسلسلة حتى عام 2022 لجميع البلدان. وبالإضافة إلى ذلك، وفي الوقت الذي اختتم فيه هذا التقرير، تم تحديث سلسلة ميزانيات الأغذية حتى عام 2023 بالنسبة إلى البلدان البالغ عددها 72 بلدًا، المختارة كأولوية بسبب مساهمتها الكبيرة في مجموع عدد الأشخاص عدد من يعانون النقص التغذويفي العالم: إثيوبيا والأرجنتين والأردن وأفغانستان وإكوادور وألبانيا وإندونيسيا وأنغولا وأوغندا وأوكرانيا وبابوا غينيا الجديدة وباكستان والبرازيل وبنغلاديش وبنن وبوركينا فاسو وبيرو وتايلند وتوغو وتونس وجمهورية أفريقيا الوسطى والجمهورية العربية السورية وجمهورية الكونغو الديمقراطية وجمهورية إيران الإسلامية وجمهورية تنزانيا المتحدة وجمهورية كوريا الشعبية الديمقراطية وجمهورية مصر العربية وجنوب أفريقيا وجنوب السودان ودولة بوليفيا المتعددة القوميات ورواندا وزامبيا وزمبابوي وسري لانكا والسنغال والسودان وسيراليون والصومال والعراق وغانا وغواتيمالا وغينيا وغينيا - بيساو والفلبين وفييت نام والكاميرون كوبا وكوت ديفوار والكونغو وكينيا وليبيا وليبيريا ومالي وماليزيا ومدغشقر والمغرب وملاوي والمملكة العربية السعودية وموزامبيق وميانمار ونيبال والنيجر ونيجيريا ونيكاراغوا وهايتي والهند وهندوراس واليابان واليمن.
ويُمثّل متوسط نصيب الفرد من إمدادات الطاقة الغذائية في عام 2023 (للبلدان الأخرى غير المذكورة أعلاه) وفي عام 2024 (لجميع البلدان) تنبؤات آنية أُجريت على أساس توقعات السوق القصيرة الأجل التي وضعتها منظمة الأغذية والزراعة لتسترشد بها البوابة الإلكترونية لحالة الأغذية في العالم7 وتُستخدم في حساب قيم عامي 2023 و2024 من استهلاك الطاقة الغذائية لكل بلد.
عوامل الهدر
تشمل هذه الطبعة من التقرير تحديث عوامل الهدر المستخدمة لحساب متطلبات الطاقة الغذائية وذلك بأن طُرحت من إمدادات الطاقة الغذائية لجميع البلدان النسبة المئوية للمهدر. وقدرت النسب المئوية للمهدر من الأغذية على مستوى التوزيع باستخدام بيانات ميزانيات الأغذية المتاحة في قاعدة البيانات الإحصائية الموضوعية في منظمة الأغذية والزراعة.
وباستخدام النسب المئوية الواردة في وثيقة منظمة الأغذية والزراعة عن الفاقد الغذائي والهدر الغذائي في العالم7 يُحسب المهدر من السعرات الحرارية لكل مجموعة غذائية، باستثناء أن عوامل الهدر المستخدمة للحبوب هي 2 في المائة لجميع الأقاليم. وأخيرًا، يُحسب مجموع المهدر من السعرات الحرارية كنسبة مئوية من مجموع السعرات الحرارية لكل سنة ولكل بلد. وتتاح البيانات حتى عام 2022. وتستخدم لعامي 2023 و2024 قيمة عام 2022.
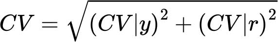
معامل التباين
يُشتق معامل التباين لاستهلاك الطاقة الغذائية المعتاد لدى السكان باعتباره المتوسط الهندسي لمكوّنين يُطلق عليهما على التوالي معامل التباين بالنسبة إلى الدخل (CV|y) ومعامل التباين بالنسبة إلى المتطلبات (CV|r):

ويُشير المكوّن الأول (معامل التباين بالنسبة إلى الدخل CV|y) إلى تباين نصيب الفرد من الاستهلاك بين الأسر المعيشية المنتمية إلى طبقات اجتماعية ديمغرافية، وبالتالي يُشار إليه على أنه معامل التباين “بالنسبة إلى الدخل”، في حين أن المكوّن الثاني (معامل التباين بالنسبة إلى المتطلبات CV|r) يُعبِّر عن التباين بين الأفراد بسبب الاختلافات في نوع الجنس والعمر وكتلة الجسم ومستوى النشاط البدني التي يمكن أن توجد بين الأفراد أنفسهم في الأسرة المعيشية. وبالنظر إلى أن هذه هي العناصر نفسها التي تُحدد المتطلبات من الطاقة، يُشار إلى المكوّن الثاني باسم معامل التباين «بالنسبة إلى المتطلبات».
معامل التباين بالنسبة إلى الدخل (CV|y)
عندما تُتاح بيانات موثوقة عن استهلاك الأغذية من الدراسات الاستقصائية للأسر المعيشية الممثلة على المستوى الوطني، يمكن تقدير معامل التباين بالنسبة إلى الدخل (CV|y) مباشرة. ومنذ إصدار آخر طبعة من هذا التقرير، تمت معالجة 25 دراسة استقصائية جديدة من البلدان الأربعة عشر التالية لتحديد معامل التباين بالنسبة إلى الدخل: الأردن (2022) وبنن (2022) وبوركينا فاسو (2022) وبيرو (2023) وتايلاند (2016 و2017 و2018 و2019 و2020 و2021 و2023) وتوغو (2022) وجورجيا (2022 و2023) والصومال (2022) وغينيا - بيساو (2022) وكازاخستان (2021 و2023) وكمبوديا (2021 و2023) ومنغوليا (2022 و2023) وميانمار (2015) والهند (2022 و2024). وبذلك يصل مجموع الدراسات الاستقصائية إلى 169 دراسة من 71 بلدًا يستند فيها تقدير معامل التباين بالنسبة إلى الدخل إلى بيانات مستمدة من دراسات استقصائية وطنية.
وعندما لا تتوافر بيانات مناسبة من الدراسات الاستقصائية، تُستخدم بيانات مقياس المعاناة من انعدام الأمن الغذائي التي جمعتها منظمة الأغذية والزراعة منذ عام 2014 لتقدير التغييرات في معامل التباين بالنسبة إلى الدخل بين عامي 2017 (أو من العام الذي أُجري فيه آخر دراسة استقصائية لاستهلاك الأغذية، إذا كانت أحدث) و2024 بالاستناد إلى الاتجاه الملحوظ في انعدام الأمن الغذائي الشديد. وتستند التوقعات إلى افتراض أن التغيُّرات الملحوظة في مدى انعدام الأمن الغذائي الشديد على أساس مقياس المعاناة من انعدام الأمن الغذائي قد تكون مؤشرًا على تغيُّرات مكافئة في معدّل انتشار النقص التغذوي. وما دام من غير الممكن تفسير هذه التغيُّرات الضمنية في معدّل انتشار النقص التغذوي تفسيرًا كاملًا من خلال تأثير التغيُّرات «في جانب العرض» في إمدادات الأغذية، يمكن أن تُعزى هذه التغيُّرات بثقة إلى ما يُلاحظ من تغيُّرات في معامل التباين بالنسبة إلى الدخل التي قد تحدث في الوقت نفسه. ويكشف تحليل تقديرات معدّل انتشار النقص التغذوي التاريخية عن أنه، في المتوسط، وبمجرد التحكم في الاختلافات في استهلاك الطاقة الغذائية والحد الأدنى من متطلبات الطاقة الغذائية ومعامل التباين بالنسبة إلى المتطلبات (CV|r) تُفسِّر الاختلافات في معدّل التباين بالنسبة إلى الدخل نحو ثلث الاختلافات في معدّل انتشار النقص التغذوي زمنيًا ومكانيًا. وبالاستناد إلى ذلك كله، تُقدَّر التغييرات في معامل التباين بالنسبة إلى الدخل في كل بلد من البلدان المشمولة ببيانات مقياس المعاناة من انعدام الأمن الغذائي المتاحة والتي ربما تكون قد حدثت منذ عام 2017 أو تاريخ آخر دراسة استقصائية متاحة، باعتباره التغيير الذي سيوِّلد ثلث نقطة مئوية للتغيير في معدّل انتشار النقص التغذوي لكل نقطة مئوية ملحوظة من التغيير في انتشار انعدام الأمن الغذائي الشديد. وبالنسبة إلى جميع البلدان الأخرى التي تفتقر إلى أي أدلة داعمة، يُحتفظ بمعامل التباين بالنسبة إلى الدخل ثابتًا في آخر تقدير متاح. وعلى غرار التقارير الأربعة السابقة، تطلبت التنبؤات الآنية لمعامل التباين بالنسبة إلى الدخل للأعوام 2020 و2021 و2022 و2023 معالجة خاصة لمراعاة تأثيرات جائحة كوفيد-19 (انظر المواد التكميلية للفصل الثاني).
معامل التباين بالنسبة إلى المتطلبات (CV|r)
يُمثّل معامل التباين بالنسبة إلى المتطلبات تفاوت توزيع المتطلبات من الطاقة الغذائية لفرد افتراضي عادي يُمثّل مجموعة السكان الأصحاء، وهو ما يعادل أيضًا معامل التباين لتوزيع المتناول من الطاقة الغذائية لفرد افتراضي عادي في حال كان كل فرد في مجموعة السكان يحصل على تغذية مثالية. ويُفترض لأغراض التقدير أن توزيع المتطلبات من الطاقة الغذائية لهذا الفرد الافتراضي العادي طبيعي، ويمكن تقدير انحرافيه المعياري استنادًا إلى أي من الشريحتين المعروفتين من النسب المئوية. ونستخدم الحد الأدنى من متطلبات الطاقة الغذائية ومتوسط المتطلبات من الطاقة الغذائية المشار إليهما أعلاه لتقريب الشريحة المئوية الأولى والشريحة المئوية الخمسين.9، 8 وبالتالي فإن قيمة معامل التباين بالنسبة إلى المتطلبات تُشتق باعتبارها التوزيع الطبيعي المعياري التراكمي العكسي للفرق بين الحد الأدنى من متطلبات الطاقة الغذائية ومتوسط المتطلبات من الطاقة الغذائية.
التحديات والقيود
في حين أن المعاناة أو عدم المعاناة من النقص التغذوي تُمثّل حالة تنطبق رسميًا على الأفراد، ونظرًا إلى أن البيانات تتوافر في العادة على نطاق واسع، لا يمكن تحديد الأفراد الذين يعانون فعليًا من نقص تغذوي في مجموعة معيّنة بصورة موثوقة. وبالاستناد إلى النموذج الإحصائي المبيّن أعلاه، لا يمكن حساب المؤشر إلّا بالرجوع إلى السكان أو إلى مجموعة من الأفراد تتوافر بشأنهم عيّنة تمثيلية بالقدر الكافي. وبالتالي فإن معدّل انتشار النقص التغذوي يُمثّل تقديرًا للنسبة المئوية من الأفراد الذين يعانون من هذه الحالة في تلك المجموعة، ولكن لا يمكن تفصيله بدرجة أكبر.
ونظرًا إلى الطابع الاحتمالي للاستدلال وهوامش عدم اليقين المقترنة بتقديرات كل بارامتر من بارامترات النموذج، فإن دقة تقديرات معدّل انتشار النقص التغذوي منخفضة عمومًا. وفي حين أن من غير الممكن حساب هوامش الخطأ الذي يشوب تقديرات معدّل انتشار النقص التغذوي بصورة رسمية، تتجاوز هوامش الخطأ هذه 5 في المائة في معظم الحالات. ولهذا السبب، لا ترى منظمة الأغذية والزراعة تقديرات معدّل انتشار النقص التغذوي التي تقل عن 2.5 في المائة موثوقة بما يكفي للإبلاغ عنها.
ومن المهم ملاحظة أن الحدود العليا والسفلى بشأن تقديرات نقطة معدّل انتشار النقص التغذوي في الفترة بين 2020 و2024 ينبغي ألا تفسّر على أنها فترات ثقة إحصائية. بل إنها تمثل سيناريوهات مختلفة تستخدم لتوقع قيم معامل التباين بالنسبة إلى الدخل، وهامش عدم اليقين بشأن عوامل الهدر في الفترة بين عامي 2020 و2024، وهامش عدم اليقين بشأن التنبؤ الآني باستهلاك الطاقة الغذائية في العامين 2023 و2024 (انظر المواد التكميلية للفصل الثاني).
القراءات الموصى بها:
Cafiero, C. 2014. Advances in hunger measurement: traditional FAO methods and recent innovations. FAO Statistics Division Working Paper, No. 14–04. Rome, FAO. https://openknowledge.fao.org/handle/20.500.14283/i4060e
FAO. 1996. Methodology for assessing food inadequacy in developing countries. In: The Sixth World Food Survey, pp. 114–143. Rome. https://www.fao.org/4/w0931e/w0931e16.pdf
منظمة الأغذية والزراعة. 2003. موجز وقائع – قياس وتقدير درجة الحرمان من الغذاء ونقص التغذية. الندوة العلمية الدولية، روما، 26-28 يونيو/حزيران 2002. روما. https://openknowledge.fao.org/handle/20.500.14283/y4250a
منظمة الأغذية والزراعة. 2025. قياس الجوع والأمن الغذائي واستهلاك الأغذية. في: منظمة الأغذية والزراعة. [ورد ذكره في 25 يونيو/حزيران 2025]. https://www.fao.org/measuring-hunger/ar
Naiken, L. 2002. Keynote paper: FAO methodology for estimating the prevalence of undernourishment. Rome, FAO. https://www.fao.org/4/y4249e/y4249e06.htm
Wanner, N., Cafiero, C., Troubat, N. & Conforti, P. 2014. Refinements to the FAO methodology for estimating the prevalence of undernourishment indicator. FAO Statistics Division Working Paper, No. 14–05. Rome, FAO. https://openknowledge.fao.org/handle/20.500.14283/i4046e
معدّل انتشار انعدام الأمن الغذائي بحسب مقياس المعاناة من انعدام الأمن الغذائي
التعريف
يُشير انعدام الأمن الغذائي، بحسب ما يُقاس بواسطة هذا المؤشر، إلى محدودية فرص الحصول على الأغذية على مستوى الأفراد أو الأسر المعيشية بسبب نقص الأموال أو الموارد الأخرى. وتُقاس شدّة انعدام الأمن الغذائي باستخدام بيانات تم جمعها بواسطة نموذج استقصاء مقياس المعاناة من انعدام الأمن الغذائي، وهو عبارة عن مجموعة من ثمانية أسئلة تطلب من المجيبين التبليغ ذاتيًا عن الظروف والتجارب المقترنة عادةً بمحدودية فرص الحصول على الأغذية. ولأغراض الرصد السنوي لأهداف التنمية المستدامة، تُطرح الأسئلة في ما يخص الأشهر الإثني عشر التي سبقت الدراسة الاستقصائية.
ويتم التحقّق من المعلومات المستمدة من نموذج استقصاء مقياس المعاناة من انعدام الأمن الغذائي بواسطة تقنيات إحصائية متطورة تستند إلى نموذج «راش» (Rasch) من أجل ضمان الاتساق الداخلي، ويجري تحويلها إلى قياسات كمية على مقياس الشدة الذي يتراوح بين مستويات متدنية إلى مرتفعة. وبالاستناد إلى الأجوبة على أسئلة نموذج استقصاء مقياس المعاناة من انعدام الأمن الغذائي، يُسند للأفراد أو الأسر المعيشية التي تم استجوابها في دراسة استقصائية تمثيلية وطنية احتمال الانتماء إلى فئة من الفئات الثلاث التالية: (1) التمتع بالأمن الغذائي أو المعاناة من انعدام الأمن الغذائي بصورة هامشية؛ (2) أو المعاناة من انعدام الأمن الغذائي المعتدل؛ (3) أو المعاناة من انعدام الأمن الغذائي الشديد، كما تحدده العتبتان الموضوعتان على المستوى العالمي. وقد قامت منظمة الأغذية والزراعة، بالاستناد إلى بيانات مقياس المعاناة من انعدام الأمن الغذائي التي تم جمعها خلال ثلاث سنوات من 2014 إلى 2016، بوضع المقياس المرجعي للمعاناة من انعدام الأمن الغذائي الذي يُستخدم كمعيار عالمي لقياسات انعدام الأمن الغذائي المستندة إلى التجارب، ولوضع عتبتين مرجعيتين للشدة.
ويُحسب المؤشر 2-1-2 من مؤشرات أهداف التنمية المستدامة من مجموع احتمالات الوقوع في فئتي انعدام الأمن الغذائي المعتدل وانعدام الأمن الغذائي الشديد. ويُحسب مؤشر منفصل، هو انعدام الأمن الغذائي الشديد (FIsev)، من خلال مراعاة فئة انعدام الأمن الغذائي الشديد فقط.
كيفية الإبلاغ
تُقدِّم منظمة الأغذية والزراعة في هذا التقرير تقديرين لانعدام الأمن الغذائي على مستويين مختلفين من الشدة، هما انعدام الأمن الغذائي المعتدل أو الشديد (FImod+sev) وانعدام الأمن الغذائي الشديد (FIsev). ويتم الإبلاغ عن تقديرين اثنين لكل مستوى من هذين المستويين:
- معدّل انتشار الأفراد (كنسبة مئونة) من السكان الذين يعيشون في أسر معيشية يعاني فيها شخص بالغ واحد على الأقل من انعدام الأمن الغذائي؛
- عدد الأفراد المقدر بين السكان الذين يعيشون في أسر معيشية يعاني فيها شخص بالغ واحد على الأقل من انعدام الأمن الغذائي.
مصدر البيانات
يُطبَّق منذ عام 2014 نموذج استقصاء مقياس المعاناة من انعدام الأمن الغذائي المؤلف من ثمانية أسئلة في عينات وطنية تُمثِّل السكان البالغين (الذين يُعرّفون بأنهم يبلغون سن 15 عامًا أو أكثر) في ما يزيد على 140 بلدًا من البلدان المشمولة باستطلاع غالوب العالمي (Gallup© World Poll) الذي يشمل أكثر من 90 في المائة من سكان العالم. وفي عام 2024، أجريت المقابلات عبر الهاتف ووجهًا لوجه. وتم الإبقاء على المقابلات عبر الهاتف في بعض البلدان التي كانت تُطبّق فيها طريقة العمل هذه في عام 2020 نظرًا إلى الخطر الكبير لانتشار الفيروس على مستوى المجتمع خلال جائحة كوفيد- 19 من جراء جمع البيانات وجهًا لوجه.
ويستخدم استطلاع غالوب الاستقصاءات الهاتفية في بلدان أمريكا الشمالية وأوروبا الغربية وبعض أنحاء آسيا وبلدان مجلس التعاون لدول الخليج العربية. وفي بلدان أوروبا الوسطى والشرقية وفي جزء كبير من أمريكا اللاتينية وتقريبًا في كل آسيا والشرق الأدنى وشمال أفريقيا، يستخدم إطار مخصص للمنطقة لإجراء المقابلات وجهًا لوجه.
وفي معظم البلدان، تشمل العيّنات نحو 000 1 فرد، مع عينات أكبر في الصين (القاريّة) (500 3)، والهند (000 3)، والاتحاد الروسي (000 2). ولم تجمع أي بيانات في الصين (القاريّة) في عام 2024.
واستُخدمت بيانات الدراسات الاستقصائية المقدَّمة من الحكومات الوطنية لحساب تقديرات معدّل انتشار انعدام الأمن الغذائي في 82 بلدًا بما يُغطي أكثر من ثلث سكان العالم، عن طريق تطبيق الطرق الإحصائية لمنظمة الأغذية والزراعة للتحقق داخليًا من صحة النتائج الوطنية وتعديلها وفقًا للمعيار المرجعي العالمي نفسه. وتُستخدم البيانات بمجرد التحقق من صحتها لإثراء السلسلة الوطنية أو تحديثها (انظر النقاط أدناه). وعندما يمثّل سكان بلد ما نسبة كبيرة من سكان المنطقة، قد يؤدي ذلك إلى تنقيح السلسلة الإقليمية والإقليمية الفرعية أو إعادة تنقيحها بأثر رجعي. ولهذا السبب، ينبغي تجنب إجراء مقارنات بين التقييمات عبر مختلف إصدارات هذا التقرير، وينبغي التعامل مع الإصدار الحالي باعتباره النسخة المرجعية.
واستخدمت في هذه الطبعة من التقرير بيانات الدراسات الاستقصائية المقدمة من الحكومات الوطنية في البلدان والأقاليم الاثنين والثمانين التالية: الاتحاد الروسي وأرمينيا وإسرائيل وإسواتيني وأفغانستان وإكوادور والإمارات العربية المتحدة وأنتيغوا وبربودا وإندونيسيا وأنغولا وأوروغواي وأوغندا وإيطاليا وبابوا غينيا الجديدة وباراغواي وباكستان وبالاو والبرازيل وبليز وبنن وبوتسوانا وبوركينا فاسو وبوروندي وبيلاروس وتايلند وترينيداد وتوباغو وتشاد وتوغو وتونغا وتيمور-ليشتي وجمهورية أفريقيا الوسطى والجمهورية الدومينيكية وجمهورية تنزانيا المتحدة وجمهورية كوريا وجنوب أفريقيا وجنوب السودان وزامبيا وساموا وسانت فنسنت وجزر غرينادين وسانت كيتس ونيفيس وسانت لوسيا وسري لانكا والسنغال والسودان وسيراليون وسيشيل وشيلي وغانا وغرينادا وغيانا وغينيا-بيساو وفانواتو والفلبين وفلسطين وفيجي وفييت نام وقيرغيزستان وكابو فيردي وكازاخستان والكاميرون وكندا وكوت ديفوار وكوستاريكا كولومبيا وكيريباس وكينيا وقبرص وليسوتو ومالي والمكسيك وملاوي ومنغوليا وموريتانيا وموزامبيق وناميبيا وناورو والنيجر ونيجيريا وهندوراس والولايات المتحدة الأمريكية واليمن واليونان ويتناول التقرير البيانات الوطنية لهذه البلدان للسنة أو السنوات التي تتاح فيها هذه البيانات. وفي ما يتعلق بالسنوات المتبقية، اتبعت الاستراتيجية التالية:
- عندما تكون البيانات الوطنية متاحة لمدة تتجاوز السنة، يطبّق الاستيفاء الخطي للسنوات المتبقية.
- في حال لم تكن البيانات متاحة سوى لسنة واحدة، يتم استنباط بيانات السنوات المتبقية على النحو التالي:
- –يتم الإبلاغ باستخدام بيانات منظمة الأغذية والزراعة إذا كانت متوافقة مع الدراسات الاستقصائية الوطنية؛
- –أو بتقديرها استنادًا إلى الاتجاه الذي تشير إليه بيانات منظمة الأغذية والزراعة إذا كانت البيانات الوطنية غير متوافقة؛
- –أو بتقديرها استنادًا إلى اتجاه الإقليم الفرعي في حال لم تتوافر أي معلومات موثوقة أخرى؛
- –أو باعتبارها ثابتة عند مستوى الدراسة الاستقصائية الوطنية إذا تعذّر تقديرها على مستوى الإقليم الفرعي، أو في حال لم يكن اتجاه سائر الدراسات الاستقصائية أو الأقاليم الفرعية منطبقًا على الحالة الخاصة بهذا البلد مع مراعاة الأدلة التي يتم التوصل إليها تأييدًا لذلك الاتجاه (على سبيل المثال، تطور الفقر، والفقر المدقع، والعمالة، وتضخّم أسعار الأغذية)؛ وينطبق ذلك أيضًا على البلدان التي يكون فيها معدّل انتشار انعدام الأمن الغذائي منخفضًا جدًا (أقل من 3 في المائة على المستوى الشديد) أو مرتفعًا جدًا (أكثر من 85 في المائة على المستوى المعتدل أو الشديد).
وبالنظر إلى عدم تجانس المصادر الاستقصائية وصغر حجم عيّنة بعض الدراسات الاستقصائية التي أجرتها منظمة الأغذية والزراعة، يمكن للبيانات الجديدة أن تتسبب في بعض الأحيان في ارتفاع أو انخفاض كبير بصورة ملحوظة من سنة إلى السنة التالية. وفي هذه الحالات، يتمثل البروتوكول في البحث عن معلومات خارجية عن البلد (البيانات و/أو التقارير، ربما بالتشاور مع الخبراء القطريين، مثل الموظفين القطريين أو الإقليميين التابعين لمنظمة الأغذية والزراعة) لاستكشاف ما إذا كانت قد حدثت صدمات أو تدخلات كبيرة. وإذا كان الاتجاه تبرره أدلة داعمة، ولكنه يبدو مبالغًا فيه، يتم الإبقاء عليه ولكن مع تلطيفه (على سبيل المثال باستخدام متوسط السنوات الثلاث). ويمكن استخدام البروتوكول نفسه للسنوات المفقودة (أي الاحتفاظ بالمستوى ثابتًا أو استخدام الاتجاه الإقليمي الفرعي). وفي عام 2024، لم تُجمع أي بيانات عن مقياس المعاناة من انعدام الأمن الغذائي في الصين (القارية)، ولذلك تم الاحتفاظ بالاتجاه ثابتًا.
المنهجية
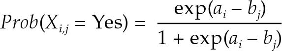
تم التحقق من صحة البيانات واستخدامها لبناء مقياس لشدة انعدام الأمن الغذائي باستخدام نموذج «راش» الذي يفترض أن احتمال ورود جواب تأكيدي عن المجيب i على السؤال j، هو دالة لوجستية للمسافة، وفق مقياس أساسي لدرجة الشدة، بين موقف المجيب ai وموقف المفردة bj.

من خلال تطبيق نموذج «راش» على بيانات مقياس المعاناة من انعدام الأمن الغذائي، يمكن تقدير احتمال التعرّض لانعدام الأمن الغذائي (piL) القابل للمقارنة بين البلدان عند كل مستوى من مستويات الشدة L (المعتدل أو الشديد، أو الشديد فقط) لكل مجيب i، حيث 0< piL <1.
ويُحسب معدّل انتشار انعدام الأمن الغذائي عند كل مستوى من مستويات الشدة (FIL) في مجموع السكان باعتباره المجموع المرجّح لاحتمال المعاناة من انعدام الأمن الغذائي لجميع المجيبين (i) في عيّنة ما:

حيث wi هي أوزان العينات بعد التقسيم الطبقي التي تُشير إلى نسبة الأفراد أو الأسر المعيشية في مجموع السكان على المستوى الوطني الذين يمثلهم كل سجل في العينة.
وبما أن العيّنة في استطلاع غالوب© العالمي تقتصر على الأفراد في سن 15 عامًا وما فوق، تخص تقديرات معدّل الانتشار الناتجة مباشرة من هذه البيانات السكان في سن 15 عامًا وما فوق. ومن أجل التوصّل إلى معدّل الانتشار وعدد الأفراد (من جميع الأعمار) في مجموع السكان، يلزم تقدير عدد الأشخاص الذين يعيشون في أسر معيشية يعاني فيها شخص بالغ واحد على الأقل من انعدام الأمن الغذائي. وينطوي ذلك على إجراء متعدد الخطوات مفصَّل في الملحق 1-باء- ملاحظات منهجية بشأن مؤشرات الأمن الغذائي والتغذية من طرق تقدير مُعدّلات انعدام الأمن الغذائي القابلة للمقارنة الذي يعاني منه البالغون في جميع أنحاء العالم (انظر «القراءات الموصى بها» أدناه).
وتُحسب البيانات المجمَّعة الإقليمية والعالمية لانعدام الأمن الغذائي على المستويات المعتدلة أو الشديدة، وعلى المستويات الشديدة، FILr، على النحو التالي:

حيث تُشير r إلى الإقليم، وFI L,c هي قيمة انعدام الأمن الغذائي FI على المستوى L المقدَّر للبلد c في الإقليم، وNc هو حجم المجموعة السكانية ذات الصلة. وعندما لا يتاح أي تقدير لمستوى انعدام الأمن الغذائي FIL لبلد ما، يُفترض أن القيمة تُساوي المتوسط المرجّح بحسب السكان للقيم المقدَّرة لسائر البلدان في الإقليم الفرعي نفسه. ولا يمكن الحصول على البيانات المجمَّعة الإقليمية إلاّ إذا شملت البلدان التي يتاح تقدير لها 50 في المائة على الأقل من سكان الإقليم.
وتُعرَّف العتبات العالمية للمقياس العالمي الموحَّد للمعاناة من انعدام الأمن الغذائي (مجموعة من قيم بارامترات المفردات مستندة إلى النتائج المستمدة من جميع البلدان المشمولة باستطلاع غالوب© العالمي في الفترة 2014-2016) وتحوَّل إلى قيم مقابلة في المقاييس المحلية. ويمكن الإشارة إلى عملية معايرة مقياس كل بلد مقارنةً بالمقياس العالمي الموحَّد للمعاناة من انعدام الأمن الغذائي بأنه متكافئ، ويسمح بإنتاج مقاييس قابلة للمقارنة دوليًا لشدة انعدام الأمن الغذائي لدى كل مجيب، وكذلك لمعدّلات الانتشار الوطنية القابلة للمقارنة.
وتكمن المشكلة في أن شدة انعدام الأمن الغذائي لا تملك مرجعًا مطلقًا يمكن تقييمها على أساسه عندما تعرّف بأنها سمة مستترة. ويمكّن نموذج «راش» من تحديد الموقع النسبي الذي تحتله مختلف المفردات على مقياس يُحتسب بالوحدات اللوغاريتمية وحيث يوضع «الصفر» بصورة تقديرية ليتوافق عادةً مع متوسط الشدة المقدّرة. ويفترض ذلك أن الصفر على المقياس يتغيّر مع كل تطبيق. ويتطلب إنتاج القياسات القابلة للمقارنة على مرّ الزمان وبين مختلف المجموعات السكانية، وضع مقياس مشترك لاستخدامه كمرجع وإيجاد الصيغة اللازمة لتحويل القياسات من مقياس إلى آخر. وكما هي الحال مع تحويل درجات الحرارة بين مقاييس مختلفة (مثل الدرجة المئوية وفاهرنهايت)، لا بدّ من تحديد النقاط الثابتة. ووفقًا لمنهجية مقياس المعاناة من انعدام الأمن الغذائي، تتمثّل هذه النقاط الثابتة في مستويات الشدة المتصلة بالمفردات التي يمكن اعتبار موقعها النسبي على مقياس الشدة متساويًا مع المفردات ذات الصلة في المقياس المرجعي العالمي. ومن ثم يمكن رسم «خريطة» نقل القياسات من مقياس إلى آخر عبر إيجاد الصيغة التي تساوي بين المتوسط والانحراف المعياري لمستويات الشدة الخاصة بالمفردات المشتركة.
التحديات والقيود
عندما تستند تقديرات معدّل انتشار انعدام الأمن الغذائي إلى بيانات مقياس المعاناة من انعدام الأمن الغذائي التي تُجمع من استطلاع غالوب© العالمي وتبلغ فيها أحجام العينات الوطنية نحو 000 1 فرد في معظم البلدان، قلّما تتجاوز نطاقات الثقة 20 في المائة من معدّل الانتشار الذي جرى قياسه (أي أن مُعدّلات الانتشار بنحو 50 في المائة لها هوامش خطأ تبلغ 5 في المائة تقريبًا). ومع ذلك، تقل نطاقات الثقة كثيرًا عندما تُقدَّر مُعدّلات الانتشار الوطنية باستخدام عينات أكبر، وللتقديرات التي تُشير إلى البيانات المجمَّعة لبلدان متعددة. وللحد من أثر تباين العينات من سنة إلى أخرى، تُعرض التقديرات على المستوى القطري كمتوسطات لفترات مدتها ثلاث سنوات وتحتسب كمتوسطات لجميع السنوات التي أتيحت بيانات عنها في فترات السنوات الثلاث التي تناولتها الدراسة.
وتمثّل الدراسات الاستقصائية التي تجريها الحكومات الوطنية المصدر المفضل للإبلاغ عن تقديرات معدّل انتشار انعدام الأمن الغذائي استنادًا إلى استقصاء مقياس المعاناة من انعدام الأمن الغذائي. ولكن بيانات هذه الدراسات الاستقصائية قد لا تتاح سنويًا، وقد تتاح البيانات لمنظمة الأغذية والزراعة، ولكن مع تأخير يصل إلى سنوات. وفي حالة عدم وجود دراسات استقصائية وطنية سنوية، تسترشد السلسلة الزمنية بالاستراتيجية المبينة أعلاه (انظر «مصدر البيانات»). وقد يؤدي ذلك إلى إعادة تنقيح السلسلة بأثر رجعي.
القراءات الموصى بها
Cafiero, C., Viviani, S. & Nord, M. 2018. Food security measurement in a global context: The food insecurity experience scale. Measurement, 116: 146–152. https://www.sciencedirect.com/science/article/pii/S0263224117307005
FAO. 2016. Methods for estimating comparable rates of food insecurity experienced by adults throughout the world. Rome. https://openknowledge.fao.org/handle/20.500.14283/i4830e
منظمة الأغذية والزراعة. 2025. قياس الجوع والأمن الغذائي واستهلاك الأغذية. في: منظمة الأغذية والزراعة. [ورد ذكره في 25 يونيو/حزيران 2025]. https://www.fao.org/measuring-hunger/ar.
كلفة النمط الغذائي الصحي
التعريف
تُعرَّف كلفة النمط الغذائي الصحي بأنها كلفة شراء أرخص الأغذية المتاحة محليًا التي قد تشكّل نمطًا غذائيًّا يلبي متطلبات الطاقة والخطوط التوجيهية بشأن النظم الغذائية القائمة على الأغذية لشخص مرجعي في حدود ميزانية طاقة تبلغ 2 330 سعرة حرارية في اليوم.
كيفية الإبلاغ
المؤشر (الذي يسمى «كلفة النمط الغذائي الصحي») هو تقدير لمتوسط الحد الأدنى للكلفة التي يجب أن ينفقها الشخص في بلد ما لشراء أرخص الأغذية المتاحة محليًا اللازمة لتركيبة نمط غذائي صحي. ومن أجل المقارنة بين البلدان، تُحوّل كلفة النمط الغذائي الصحي من وحدات العملة المحلية إلى الدولار الدولي باستخدام أسعار الصرف على أساس تعادل القوة الشرائية للاستهلاك الخاص. وبالتالي، يتم الإبلاغ عن كلفة النمط الغذائي الصحي المشترك كمتوسط لتعادل القوة الشرائية للدولار للشخص الواحد في اليوم.
مصدر البيانات
تُحسب أسعار الأصناف في كل مجموعة غذائية لازمة لاتباع نمط غذائي صحي باستخدام بيانات أسعار الأغذية بالتجزئة المستمدة من برنامج المقارنات الدولية الذي ينسقه البنك الدولي الذي يقدر تعادل القوة الشرائية استنادًا إلى مجموعة من العناصر الموحدة دوليًا معبرًا عنها بوحدات العملة المحلية.10 ولأغراض المقارنات الدولية، تحوَّل الأسعار بوحدات العملة المحلية إلى الدولار الدولي باستخدام معاملات تحويل تعادل القوة الشرائية للاستهلاك الخاص التي يقوم بحسابها الفريق المعني ببيانات التنمية التابع للبنك الدولي ويتم الإبلاغ عنها في قاعدة بيانات مؤشرات التنمية في العالم.11 ولتحديث كلفة النمط الغذائي الصحي في سنوات الفجوة التي لا تتوفر فيها جولات برنامج المقارنات الدولية، تستخدم بيانات مؤشر أسعار الاستهلاك العام ومؤشر أسعار الاستهلاك للأغذية التي تنشرها منظمة الأغذية والزراعة.12
المنهجية
طريقة تحديد سلة النمط الغذائي الصحي
بالنظر إلى أن الأغذية المختارة لنمط غذائي صحي تختلف باختلاف السياق المحلي، وضعت البلدان خطوطًا توجيهية بشأن النظم الغذائية القائمة على الأغذية للتوصية بالعادات الغذائية الصحية التي تعبّر عن السياق الثقافي الخاص بها والأغذية المتاحة محليًا. ولكن، ليست لدى جميع البلدان خطوط توجيهية بشأن النظم الغذائية القائمة على الأغذية، وغالبًا ما تفتقر البلدان التي لديها خطوطًا توجيهية بشأن النظم الغذائية القائمة على الأغذية إلى توصيات قابلة للقياس الكمي من حيث كميات الأغذية والسعرات الحرارية. ولمعالجة هذا القصور في البيانات ووضع معيار عالمي للنمط الغذائي الصحي يعبّر عن القواسم المشتركة في النظم الغذائية القائمة على الأغذية في جميع أنحاء العالم، تم اختيار عشرة معايير كمية للنمط الغذائي الصحي في جميع أنحاء العالم، تمثّل مناطق العالم المختلفة وتم تجميعها في السنوات الأخيرة. وأنشئت سلة عناصر النمط الغذائي الصحي لوضع هذا المعيار العالمي. وتستند هذه السلة إلى متوسط نسب المجموعات الغذائية عبر الخطوط التوجيهية بشأن النظم الغذائية القائمة على الأغذية باستخدام متوسط كميات المجموعات الغذائية الموصى بها في الخطوط التوجيهية العشرة بشأن النظم الغذائية القائمة على الأغذية المحددة كميًا. وقد وحددت هذه السلة لتلبية متناول من الطاقة الغذائية قدره 330 2 سعرة حرارية في اليوم، ويتألف من العناصر محليًا من ست مجموعات غذائية هي: النشويات الأساسية؛ والخضروات؛ والفواكه؛ والأغذية الحيوانية المصدر؛ والبقول والجوزيات والبذور؛ والزيوت والدهون. وعلى وجه التحديد، صُممت السلة لتوفير 160 1 سعرة حرارية من المواد الغذائية النشوية، و110 سعرة حرارية من الخضروات، و160 سعرة حرارية من الفواكه، و300 سعرة حرارية من الأغذية الحيوانية المصدر، و300 سعرة حرارية من البقول والجوزيات والبذور، و300 سعرة حرارية من الزيوت والدهون. وقُدّرت كلفة النمط الغذائي الصحي بالنسبة إلى 173 بلد للفترة بين عامي 2017 و2024.
طرق حساب الكلفة المرجعية عندما تتاح بيانات برنامج المقارنات الدولية
لحساب أرخص نمط غذائي صحي، في كل زمان ومكان، يُدرج كل عنصر من العناصر الغذائية لبرنامج المقارنات الدولية في مجموعته الغذائية، وتُحدد أرخص العناصر التي تفي بمتطلبات سلة عناصر النمط الغذائي الصحي. ويُحدد لكل بلد ما مجموعه 11 عنصرًا من أرخص عناصر الأغذية في سلة النمط الغذائي الصحي في كل بلد: عنصران من المواد الغذائية النشوية، وثلاثة للخضروات، واثنان للفواكه، واثنان للأغذية الحيوانية المصدر، وواحد للبقول والجوزيات والبذور، وواحد للزيوت والدهون. وتُحسب الكلفة اليومية لكل مجموعة غذائية على أنها سعر الحصول على العناصر المختارة في تلك المجموعة مضروبًا بالكمية التي تحتوي على محتوى الطاقة التي تتطلبها سلة النمط الغذائي لتلك المجموعة. وأخيرًا، من خلال جمع كلفة المجموعات الغذائية الست، تحدد كلفة النمط الغذائي الصحي في كل بلد.
طرق حساب الكلفة بالاستقراء عندما لا تتاح بيانات برنامج المقارنات الدولية
يشكّل حاليًا برنامج المقارنات الدولية المصدر الوحيد للبيانات المتعلقة بأسعار التجزئة للعناصر الغذائية الموحدة دوليًا، ولا تتاح هذه البيانات إلّا مرة كل ثلاث أو أربع سنوات، وهو ما لا يسمح بتحديث سنوي لكلفة النمط الغذائي الصحي. وقد صدرت آخر سلسلة من بيانات برنامج المقارنات الدولية في عام 2024 وهي تشير إلى أسعار عام 2021. ولتحديث مؤشر الكلفة بالرجوع إلى السنوات الفاصلة بين دورات نشر بيانات برنامج المقارنات الدولية، يُطبَّق مؤشرات الاستهلاك للأغذية التي تنشرها منظمة الأغذية والزراعة على كلفة النمط الغذائي الصحي في عام 2021 لتقدير الكلفة في السنوات التي لا تتاح فيها جولات برنامج المقارنات الدولية. وتتعقب مجموعة البيانات هذه التغيرات في مؤشرات أسعار الاستهلاك الشهرية العامة وأسعار الاستهلاك للأغذية على المستوى الوطني بالرجوع إلى سنة الأساس 2015. وتحسب مؤشرات أسعار الاستهلاك السنوية كمتوسطات هندسية لمؤشرات أسعار الاستهلاك الشهرية الاثني عشر خلال عام واحد. وتُقدّر كلفة النمط الغذائي الصحي للسنوات المفقودة بضرب الكلفة الفعلية لكل بلد لعام 2021، معبرًا عنها بوحدات العملة المحلية (LCU) بمؤشر أسعار الاستهلاك للأغذية (FCPI)، وأخيرًا القسمة على قيمة تعادل القوة الشرائية:

حيث = السنوات من 2017 إلى 2024، باستثناء سنة 
وفي هذا العام، وللمرة الأولى، تم الإبلاغ عن مؤشرات كلفة الأنماط الغذائية الصحية والقدرة على تحمل كلفتها حتى السنة السابقة للتقرير. وقد أمكن ذلك بفضل توفر بيانات عام 2024 في الوقت المناسب في ما يخص مؤشرات أسعار الاستهلاك للأغذية التفصيلية، وبيانات توزيع الدخل التي يستخدمها البنك الدولي للتنبؤ الآني بالفقر وعوامل تحويل تعادل القوة الشرائية. ومع ذلك، في ما يتعلق بعوامل تعادل القوة الشرائية، ومع أن البيانات مستمدة من قاعدة بيانات مؤشرات التنمية في العالم، فإن المعلومات غير متاحة عن 43 بلدًا في عام 2024 وعن 5 بلدان في عام 2023 (انظر الملحق 1 - ألف الجداول الإحصائية الخاصة بالفصل الثاني، الجدول ألف-1-5- كلفة النمط الغذائي الصحي، 2017-2024). ولذلك، قُدّرت قيم تعادل القوة الشرائية لهذه البلدان في الفترة بين عامي 2023 و2024 باستخدام طريقة الاستقراء التي يستخدمها البنك الدولي في مؤشرات التنمية في العالم13، على النحو التالي:

حيث مؤشر أسعار الاستهلاك العام (CPI)، و مؤشر أسعار الاستهلاك العام للبلد الأساسي (في هذه الحالة، الولايات المتحدة الأمريكية).
وفي ما يتعلق بالبلدان الخمسة عشر التي لا تتاح بشأنها بيانات قيم تعادل القوة الشرائية، تطبق القيمة المفترضة لتعادل القوة الشرائية باستخدام نموذج المتوسط المتحرك المتكامل ذي الانحدار الذاتي مع متغير تفسيري خارجي (ARIMAX) (انظر الملحق 1 - ألف الجداول الإحصائية الخاصة بالفصل الثاني، الجدول ألف1-5). وتماشيًا مع منهجية مؤشرات البنك الدولي للتنمية العالمية في ما يتعلق باستقراءات تعادل القوة الشرائية، تُدرج النسبة بين مؤشر الاستهلاك العام في بلد ما ومؤشر أسعار الاستهلاك في الولايات المتحدة الأمريكية في مواصفات النموذج باعتبارها مؤشرًا رئيسيًا للتنبؤ بقيم تعادل القوة الشرائية. وعلاوة على ذلك، يضاف نصيب الفرد من الناتج المحلي الإجمالي ونصيب الفرد من الإنفاق الاستهلاكي للأسر المعيشية كمتغيرين مشتركين خارجيين، وتُطبَّق على كلتا السلسلتين منهجية التجانس السلس التي وضعها Holt-Winter، لسد الفجوات، إذا لزم الأمر. ويسمح نهج نموذج ARIMAX بتقدير عدة مواصفات نموذجية لكل بلد، تشمل مكوّن الانحدار الذاتي ومكوّن التكامل والمتوسط المتحرك ومزيجًا من الثلاثة معًا. ويتم اختيار أفضل المواصفات عندما يكون المعامل المقدَّر لنسبة مؤشرات أسعار الاستهلاك على الأقل ذا دلالة إحصائية، وتلي ذلك الدلالة الإحصائية لبارامترات نموذج ARIMAX. بالنسبة إلى البلدان والأقاليم التي تكون فيها سلاسل تعادل القوة الشرائية غير طبيعية بمرور الوقت، تبيّن أن نسبة مؤشر أسعار الاستهلاك هي المعامل الوحيد ذو الدلالة الإحصائية الذي يؤثر على تقلّب قيم تعادل القوة الشرائية. وعلى العكس من ذلك، يكون للاتجاه التاريخي لتعادل القوة الشرائية في البلدان التي يقلّ فيها تقلّب سلاسل تعادل القوة الشرائية أيضًا دور في التنبؤ بقيم تعادل القوة الشرائية، فضلًا عن تقديرات المعاملات لنصيب الفرد من الناتج المحلي الإجمالي و/أو نصيب الفرد من الإنفاق. ويحسب نموذج ARIMAX تنبؤات القيم على أساس أفضل المواصفات المختارة لكل بلد/إقليم.
التحديات والقيود
لا تتاح بيانات عن أسعار الأغذية الموحدة دوليًا كل عام للسماح بإجراء رصد سنوي. ومن قيود الطريقة المستخدمة لتحديث كلفة النمط الغذائي الصحي أن التغيّرات في الكلفة تعتمد على مؤشرات أسعار الاستهلاك للأغذية ولا تعبّر عن التغيّرات في أسعار الأغذية الخاصة بكل عنصر، ولا عن أي تغيّرات تفاضلية في أسعار المجموعات الغذائية المختلفة.غغ وتستكشف منظمة الأغذية والزراعة، بالتعاون مع البنك الدولي، كيفية توسيع نطاق الإبلاغ عن الأسعار على مستوى العناصر أو الأسعار على مستوى المجموعات الغذائية، للسماح بإجراء رصد لكلفة النمط الغذائي الصحي على فترات أقصر وبدقة أكبر.
وتُحسب المجاميع الإقليمية والعالمية لكلفة النمط الغذائي الصحي باستخدام متوسط حسابي للكلفة في بلدان كل مجموعة.
القراءات الموصى بها
Bai, Y., Conti, V., Herforth, A., Cafiero, C., Ebel, A., Rissanen, M.O., Masters, W.A & Rosero Moncayo, J. 2024. Methods for monitoring the cost of a healthy diet based on price data from the International Comparison Program. FAO Statistics Working Paper Series, No. 24-43. Rome, FAO. https://doi.org/10.4060/cd3037en .
Herforth, A., Bai, Y., Venkat, A., Mahrt, K., Ebel, A. & Masters, W.A. 2020. Cost and affordability of healthy diets across and within countries – Background paper for The State of Food Security and Nutrition in the World 2020. FAO Agricultural Development Economics Technical Study, No. 9. Rome, FAO. https://doi.org/10.4060/cb2431en
Herforth, A., Venkat, A., Bai, Y., Costlow, L., Holleman, C. & Masters, W.A. 2022. Methods and options to monitor the cost and affordability of a healthy diet globally – Background paper to The State of Food Security and Nutrition in the World 2022. FAO Agricultural Development Economics Working Paper 22-03. Rome, FAO. https://doi.org/10.4060/cc1169en
عدم القدرة على تحمّل كلفة نمط غذائي صحي
التعريف
يُقصد بعدم القدرة على تحمّل كلفة نمط غذائي صحي عدم قدرة الأسرة المعيشية أو الفرد على دفع مبلغ المال اللازم للحصول على مزيج أقلّ كلفة من الأطعمة المتاحة محليًا التي تلبي متطلبات نمط غذائي صحي، بعد احتساب جزء الدخل الذي يتعين عليهم الاحتفاظ به للحصول على جميع الاحتياجات الأساسية بخلاف الأغذية.
كيفية الإبلاغ
المؤشر الرئيسي (المسمى «معدّل انتشار عدم القدرة على تحمل الكلفة») هو تقدير النسبة المئوية للأفراد من السكان الذين يقل دخلهم المتاح، بعد خصم المبلغ اللازم للحصول على جميع السلع والخدمات الأساسية غير الغذائية، عن الحد الأدنى لكلفة النمط الغذائي الصحي. ويتم الحصول على التقديرات الوطنية من خلال مقارنة توزيعات الدخل الخاصة بكل بلد مقابل عتبة (r) يتم الحصول عليها من خلال جمع كلفة النمط الغذائي الصحي مع الكلفة ذات الصلة للاحتياجات الأساسية غير الغذائية (n). وبالإضافة إلى معدّل انتشار عدم القدرة على تحمّل الكلفة، يُحسَب أيضًا عدد الأشخاص العاجزين عن تحمّل كلفة نمط غذائي صحي بضرب معدّل انتشار عدم القدرة على تحمّل الكلفة بحجم السكان المرجعي.
وتنقح السلسلة الكاملة (2017-2024) لتقديرات معدّل انتشار عدم القدرة على تحمّل الكلفة وعدد الأشخاص العاجزين عن تحمّل كلفة نمط غذائي صحي مع كل طبعة جديدة من هذا التقرير لكي تُعبّر عن بيانات الكلفة الجديدة والبيانات السكانية الجديدة وتوزيعات الدخل المحدَّثة. وبما أن هذه العملية تنطوي في العادة على تنقيحات بأثر رجعي لكامل سلسلة معدّل انتشار عدم القدرة على تحمّل الكلفة وعدد الأشخاص العاجزين عن تحمّل كلفة نمط غذائي صحي، يُنصح القراء بالامتناع عن مقارنة السلاسل بين الطبعات المختلفة من هذا التقرير وينبغي الرجوع دائمًا إلى الطبعة الحالية من التقرير، بما في ذلك قيم السنوات الماضية.
المنهجية
لتقدير معدّل انتشار عدم القدرة على تحمّل الكلفة بين السكان، تُحسب عتبة الكلفة اليومية للفرد لكل بلد. ونظرًا إلى الافتقار إلى المعلومات اللازمة لتحديد السلع والخدمات الأساسية غير الغذائية في كل بلد، فإن الاختلافات في الإنفاق غير الغذائي تستند إلى المجموعات الأربع التي وضعها البنك الدولي لتصنيف البلدان بحسب مستوى الدخل. ولذلك، فإن عتبة الكلفة اليومية للفرد الواحد تجمع بين كلفة النمط الغذائي الصحي في بلد ما والكلفة الأساسية للاحتياجات غير الغذائية لمجموعة الدخل التي ينتمي إليها البلد . وتُحدد عتبة الكلفة الناتجة على النحو التالي:

حيث هي كلفة النمط الغذائي الصحي في بلد ما، هي كلفة المواد غير الغذائية الأساسية لمجموعة الدخل . ويُعبّر عن القيمة النهائية معبرًا عنها بقيمة العملة في سنة مرجعية لخط الفقر، وهي حاليًا 2017 دولار على أساس تعادل القوة الشرائية، وتُحسب i بضرب قيمة خطوط الفقر الدولية للبنك الدولي بحصة من الإنفاق الإجمالي تخصص للسلع والخدمات الأساسية غير الغذائية الخاصة بكل مجموعة من مجموعات الدخل، على النحو التالي:
وتحدد حصص الدخل التي ستخصص للسلع والخدمات غير الغذائية بالرجوع إلى الحصص التي تُبلّغ عنها الأسر المعيشية التي تنتمي إلى الشريحة الخمسية الثانية من توزيع الدخل في البلدان المنخفضة الدخل والبلدان المتوسطة الدخل من الشريحة الدنيا، وحصص الدخل للبلدان المنتمية إلى الشريحة الخمسية الأولى في حالة البلدان المتوسطة الدخل من الشريحة العليا والبلدان المرتفعة الدخل. وتُستمد هذه الحصص من بيانات الدراسات الاستقصائية للأسر المعيشية التي قام البنك الدولي بتجميعها مؤخرًا، بما في ذلك المعلومات المتعلقة بالاستهلاك الحقيقي بحسب الشريحة الخمسية للدخل في 71 بلدًا من مختلف مجموعات الدخل.
وفي حين أن كلفة السلع الأساسية غير الغذائية مٌعبّر عنها بالفعل وفقًا لقيم تعادل القوة الشرائية لعام 2017، تُحوَّل كلفة النمط الغذائي الصحي من قيمها الحالية إلى قيم تعادل القوة الشرائية لعام 2017 باستخدام الصيغة التالية:

حيث t = 2017، باستثناء عام 2021، وتحسب
باستخدام مؤشر أسعار الاستهلاك العام.
وأخيرا، تُقارن عتبة الكلفة ، معبرًا عنها بتعادل القوة الشرائية لعام 2017، بتوزيعات الدخل في كل بلد والتي تُعبّر عن دخل الأسرة المعيشية المتاح للإنفاق لتقدير النسبة المئوية للسكان الذين يقلّ دخلهم عن تلك العتبة، على النحو المبين في الصيغة الواردة أدناه:

مصدر البيانات
تُستمد البيانات المتعلقة بتوزيعات الدخل من منصة الفقر وعدم المساواة التابعة للبنك الدولي، وهي تغطي نحو 150 بلدًا حتى عام 2024. 14
وتُحسب المجاميع الإقليمية والعالمية لمعدل انتشار عدم القدرة على تحمل الكلفة كمتوسطات مرجّحة بعدد السكان لمعدّل انتشار عدم القدرة على تحمّل الكلفة في البلدان التي تتاح بيانات بشأنها، على النحو التالي:

حيث تشير إلى الإقليم أو المجاميع الأخرى، و هي قيمة معدّل انتشار عدم القدرة على تحمّل الكلفة المقدرة للبلد في المجموع، و هي حجم السكان المقابل. ولا يُحسب المجموع الإقليمي إلّا إذا كانت البلدان التي يتاح لها تقدير تغطي ما لا يقلّ عن 50 في المائة من السكان المشمولين بالمجموع.
ثم يحسب عدد الأشخاص العاجزين عن تحمّل كلفة نمط غذائي صحي () بضرب المتوسط - المحسوب للبلدان التي تتاح بيانات بشأنها - في الحجم الإجمالي للسكان في جميع البلدان التي تنتمي إلى هذا المجموع.

ويتم تقدير عدد الأشخاص العاجزين عن تحمّل كلفة نمط غذائي صحي العالمي بضرب معدّل انتشار عدم القدرة على تحمّل الكلفة لكل منطقة من مناطق العالم الخمس بإجمالي حجم السكان في كل منطقة. وينبغي تجنب حساب التقديرات في العالم باعتبارها مجموع تقديرات عدد الأشخاص العاجزين عن تحمّل كلفة نمط غذائي صحي في مجموعات البلدان الأخرى، مثل التقديرات القائمة على مستويات الدخل. وتُستمد البيانات السكانية من تنقيح عام 2024 لتقرير التوقعات السكانية في العالم.4
التحديات والقيود
أدخلت في هذه الطبعة من التقرير تحسينات على الطريقة المستخدمة لمراعاة تفاوت كلفة الاحتياجات غير الغذائية باختلاف البلدان. ومع ذلك، ونظرًا إلى نقص المعلومات الخاصة بكل بلد، فإن الفرق في الإنفاق غير الغذائي يرتبط بمجموعات الدخل، ولا يرتبط بعد بالبلدان. وعلاوة على ذلك، وإلى جانب الحاجة إلى تطبيق التصحيح لمراعاة الاختلافات بين البلدان، هناك جانب مهم آخر يتمثل في مراعاة تفاوت كلفة الحد الأدنى من مستوى المعيشة اللائق ((r = c + n) أيضًا داخل كل بلد. وبالنسبة إلى البلدان الكبيرة والمتنوعة على وجه الخصوص، قد يؤدي عدم مراعاة هذه الاختلافات واستخدام عتبة كلفة محددة بقيمة المتوسط الوطني إلى تحيز في تقديرات عدم القدرة على تحمّل الكلفة. وسيتوقف اتجاه هذا التحيّز ومداه على اتجاه وحجم الارتباط المحتمل بين مستويات الدخل والعتبة الصحيحة الخاصة لكل موقع.
القراءات الموصى بها
Bai, Y., Herforth, A., Cafiero, C., Conti, V., Rissanen, M.O., Masters, W.A. & Rosero Moncayo, J. 2024. Methods for monitoring the affordability of a healthy diet. FAO Statistics Working Paper Series, No. 2444. Rome, FAO. https://doi.org/10.4060/cd3703en
Herforth, A., Bai, Y., Venkat, A., Mahrt, K., Ebel, A. & Masters, W.A. 2020. Cost and affordability of healthy diets across and within countries – Background paper for The State of Food Security and Nutrition in the World 2020. FAO Agricultural Development Economics Technical Study, No. 9. Rome, FAO. https://doi.org/10.4060/cb2431en
الهزال لدى الأطفال دون الخامسة من العمر
التعريف
يُعرّف الهزال بأنه انخفاض الوزن (بالكيلوغرام) إلى الطول (بالسنتيمتر) عن انحرافين معياريين اثنين مقارنة بالقيمة المتوسطة لمعايير منظمة الصحة العالمية لنمو الطفل.
كيفية الإبلاغ
يُبلَّغ عن النسبة المئوية للأطفال الذين تتراوح أعمارهم بين صفر و59 شهرًا والذين يقلّ وزنهم إلى طولهم عن انحرافين معياريين اثنين مقارنةً بالقيمة المتوسطة لمعايير منظمة الصحة العالمية لنمو الطفل. وتستند التقديرات الإقليمية والعالمية الواردة في هذا التقرير إلى تقرير المستويات والاتجاهات في سوء التغذية لدى الأطفال: التقديرات المشتركة بين منظمة الأمم المتحدة للطفولة ومنظمة الصحة العالمية والبنك الدولي بشأن سوء تغذية الأطفال - النتائج الرئيسية لطبعة عام 2025. 43 وتُنقّح سلسلة المجاميع بكاملها في كل طبعة جديدة. ويُنصح القراء بالامتناع عن مقارنة السلاسل الإقليمية والعالمية مع الطبعات السابقة من التقرير.
المنهجية
المستوى القطري
تحتوي مجموعة بيانات التقديرات المشتركة لسوء التغذية على التقديرات المحددة، والخطأ المعياري، حيثما وجد، وحدود الثقة التي تبلغ 95 في المائة، وحجم العيّنة غير المرجّح. وترد في مجموعة بيانات التقديرات المشتركة، حيثما تتاح بيانات جزئية، التقديرات التي أُعيد حسابها للتقيّد بالتعريف القياسي العالمي. وعندما لا تتاح بيانات جزئية، تُستخدم التقديرات المبلَّغ عنها، إلّا في الحالات التي يلزم إجراء تعديلات من أجل توحيد ما يلي:
- استخدام مرجع بديل للنمو من معايير منظمة الصحة العالمية لنمو الطفل لعام 2006؛
- والفئات العمرية التي لا تشمل الفئة العمرية الكاملة من صفر إلى 59 شهرًا؛
- ومصادر البيانات التي كانت ممثلة على المستوى الوطني فقط للسكان المقيمين في المناطق الريفية.
المجاميع الإقليمية والعالمية
استُخدمت بيانات معدّل انتشار الهزال المستمدة من مصادر البيانات الوطنية في مجموعة بيانات التقديرات المشتركة لسوء التغذية الصادرة في مايو/أيار 2025 لإنشاء تقديرات إقليمية وعالمية في الفترة بين عامي 1990 و2025، باستخدام النموذج الإقليمي الفرعي المتعدد المستويات للتقديرات المشتركة بشأن سوء التغذية لدى الأطفال وتطبيق أوزان السكان للأطفال دون سن الخامسة من تنقيح عام 2024 لتقرير التوقعات السكانية في العالم.4
مصادر البيانات
تشكّل الدراسات الاستقصائية للأسر المعيشية الممثلة على المستوى الوطني، ومنها على سبيل المثال الدراسات الاستقصائية الديمغرافية والصحية، والدراسات الاستقصائية العنقودية المتعددة المؤشرات، والدراسات الاستقصائية الموحدة لرصد وتقييم الإغاثة والانتقال، والدراسات الاستقصائية لقياس مستوى المعيشة مصادر البيانات التمثيلية الوطنية الأكثر شيوعًا التي تجمع على وجه التحديد بيانات عن تغذية الأطفال مصنّفة بحسب طول الأطفال دون سن الخامسة ووزنهم وعمرهم، ويمكن استخدامها لوضع تقديرات لمعدّل انتشار الهزال على المستوى الوطني. وتشمل أيضًا مصادر البيانات الإدارية (المستمدة على سبيل المثال من النظم الروتينية أو نظم المراقبة) حيثما تكون التغطية السكانية مرتفعة.
وبالنظر إلى إمكانية جمع الدراسات الاستقصائية القطرية خلال أي موسم، فإن تقديرات معدّل الانتشار المستمدة من أي دراسة استقصائية قد تبلغ مستوى عالٍ أو منخفضًا، أو قد يقع في مكان ما بينهما إذا امتدت عملية جمع البيانات لعدة مواسم. وبالتالي، فإن معدّل انتشار الهزال يجسّد حالة الهزال في وقت معين وليس على مدار عام كامل. ومن الصعب، بسبب الاختلافات في المواسم أثناء إجراء الدراسات الاستقصائية، استخلاص استنتاجات بشأن الاتجاهات.
التحديات والقيود
توصى البلدان بأن تبلّغ دوريًا عن الهزال على فترات تتراوح بين ثلاث وخمس سنوات؛ غير أن البيانات تكون متاحة بوتيرة أقل في بعض البلدان. وعلى الرغم من بذل ما أمكن من جهود للوصول بإمكانية مقارنة الإحصاءات بين البلدان وعلى مرّ الزمن إلى أقصى حدودها، قد تختلف البيانات القطرية من حيث طرق جمع البيانات والتغطية السكانية وطرق التقدير المستخدمة. وتشوب تقديرات الدراسات الاستقصائية مستويات من عدم اليقين بسبب وجود أخطاء في اختيار العينات وأخطاء غير مرتبطة باختيار العينات (أخطاء القياسات التقنية وأخطاء التسجيل وغيرها). ولم يُعالَج بصورة كاملة أي من مصدرَي الخطأ عند استنباط التقديرات على المستويات القطرية أو الإقليمية والعالمية.
القراءات الموصى بها
de Onis, M., Blössner, M., Borghi, E., Morris, R. & Frongillo, E.A. 2004. Methodology for estimating regional and global trends of child malnutrition. International Journal of Epidemiology, 33(6): 1260–1270. https://doi.org/10.1093/ije/dyh202
UNICEF (United Nations Children’s Fund), WHO & World Bank. 2024. The UNICEF-WHO-World Bank Joint Child Malnutrition Estimates (JME) standard methodology. New York, USA. https://iris.who.int/bitstream/handle/10665/379080/9789240100190-eng.pdf?sequence=1
UNICEF, WHO & World Bank. Levels and trends in child malnutrition: UNICEF/WHO/World Bank Group Joint Child Malnutrition Estimates. Key findings of the 2025 edition. New York, USA, Geneva, Switzerland and Washington, DC. https://data.unicef.org/resources/JME, https://www.who.int/teams/nutrition-and-food-safety/monitoring-nutritional-status-and-food-safety-and-events/joint-child-malnutrition-estimates/latest-estimates, https://datatopics.worldbank.org/child-malnutrition
منظمة الصحة العاليمة. 2014. خطة التنفيذ الشاملة الخاصة بتغذية الأمهات والرّضع وصغار الأطفال. جينيف، سويسرا. https://www.who.int/publications/i/item/WHO-NMH-NHD-14.1
WHO. 2024. Nutrition Landscape Information System (NLIS) country profile indicators: interpretation guide. Second edition. Geneva, Switzerland. https://www.who.int/publications/i/item/9789241516952
التقزّم لدى الأطفال دون الخامسة من العمر
التعريف
يعرّف التقزّم بأنه انخفاض الطول (بالسنتيمتر) إلى السن (بالأيام) عن انحرافين معياريين اثنين مقارنةً بالقيمة المتوسطة في معايير منظمة الصحة العالمية لنمو الطفل.
كيفية الإبلاغ
يُبلَّغ عن النسبة المئوية للأطفال الذين تتراوح أعمارهم بين صفر و59 شهرًا والذين يقلّ طولهم إلى سنّهم عن انحرافين معياريين اثنين مقارنةً بالقيمة المتوسطة في معايير منظمة الصحة العالمية لنمو الطفل. وتستند التقديرات الواردة في هذا التقرير إلى تقرير المستويات والاتجاهات في سوء التغذية لدى الأطفال: التقديرات المشتركة بين منظمة الأمم المتحدة للطفولة ومنظمة الصحة العالمية والبنك الدولي بشأن سوء التغذية لدى الأطفال - النتائج الرئيسية لطبعة عام 2025. 43 وتُنقّح سلسلة المجاميع بكاملها في كل طبعة جديدة. ويُنصح القراء بالامتناع عن مقارنة السلاسل الإقليمية والعالمية مع الطبعات السابقة من التقرير.
المنهجية
المستوى القطري
تحتوي مجموعة بيانات التقديرات المشتركة لسوء التغذية على التقديرات المحددة، والخطأ المعياري، حيثما وجد، وحدود الثقة التي تبلغ 95 في المائة، وحجم العيّنة غير المرجّح. وترد في مجموعة بيانات التقديرات المشتركة، حيثما تتاح بيانات جزئية، التقديرات التي أُعيد حسابها للتقيّد بالتعريف القياسي العالمي. وعندما لا تتاح بيانات جزئية، تُستخدم التقديرات المبلَّغ عنها، إلّا في الحالات التي يلزم إجراء تعديلات من أجل توحيد ما يلي:
- استخدام مرجع بديل للنمو من معايير منظمة الصحة العالمية لنمو الطفل لعام 2006؛
- والفئات العمرية التي لا تشمل الفئة العمرية الكاملة من صفر إلى 59 شهرًا؛
- ومصادر البيانات التي كانت ممثلة على المستوى الوطني فقط للسكان المقيمين في المناطق الريفية.
واستنادًا إلى مجموعة بيانات التقديرات المشتركة لسوء التغذية الصادرة في مايو/أيار 2025، وضع نموذج لمعدّل انتشار التقزّم باستخدام مقياس احتمال لوغاريتمي (نسبة الاحتمالات الترجيحية) من خلال نموذج مختلط مقيد بضوابط تنظيمية وممتد زمنيًا مع حد خطأ متغيّر. وجرى قياس جودة النماذج كميًا باستخدام معايير ملاءمة النموذج التي تحقق التوازن بين تعقد النموذج وقرب الملاءمة من البيانات المرصودة. وتتميز الطريقة المقترحة بخصائص مهمة تشمل الاتجاهات الزمنية غير الخطية، والاتجاهات الإقليمية، والاتجاهات الخاصة بكل بلد، والبيانات المتعلّقة بالمتغيّرات المشتركة، وحد الخطأ المتغيّر. وتألفت بيانات المتغايرات المشتركة من مؤشر اجتماعي ديمغرافي خطي وتربيعي،ظظ ومتوسط إمكانية الوصول إلى النظام الصحي خلال السنوات الخمس الماضية.
ونَشرت التقديرات المشتركة لسوء التغذية في عام 2025 تقديرات منمذجة قطرية سنوية متعلقة بالتقزّم تغطي الفترة بين عامي 2000 و2024 في 162 بلدًا ومنطقة. ووضعت أيضًا تقديرات قطرية منمذجة في ما يخص 43 بلدًا إضافيًا، واقتصر استخدامها على إعداد المجاميع الإقليمية والعالمية.
المجاميع الإقليمية والعالمية
استُمدت من تنقيح عام 2024 لتقرير التوقعات السكانية في العالم4 المجاميع العالمية والإقليمية لجميع السنوات في الفترة بين عامي 1990 و2024 كمتوسطات قطرية مرجّحة بحسب عدد السكان دون سن الخامسة في البلدان باستخدام تقديرات قائمة على النماذج في ما يخص 205 بلدان ومناطق. وتشمل هذه البلدان 162 بلدًا ومنطقة نُشرت تقديراتها. وتشمل أيضًا 43 بلدًا من البلدان التي استخدمت تقديرات منمذجة أنشئت لوضع المجاميع الإقليمية والعالمية، ولكن لم تُعرض التقديرات المنمذجة لكل بلد.
مصادر البيانات
تشكّل الدراسات الاستقصائية للأسر المعيشية الممثلة على المستوى الوطني (مثل الدراسات الاستقصائية الديمغرافية والصحية، والدراسات الاستقصائية العنقودية المتعددة المؤشرات، والدراسات الاستقصائية الموحدة لرصد وتقييم الإغاثة والانتقال، والدراسات الاستقصائية لقياس مستوى المعيشة)، مصادر البيانات التمثيلية الوطنية الأكثر شيوعًا التي تجمع على وجه التحديد بيانات عن تغذية الأطفال مصنفة بحسب طول الأطفال دون سن الخامسة ووزنهم وعمرهم، ويمكن استخدامها لوضع تقديرات لمعدّل انتشار الهزال على المستوى الوطني. وتشمل أيضًا مصادر البيانات الإدارية (المستمدة على سبيل المثال من النظم الروتينية أو نظم المراقبة) حيثما تكون التغطية السكانية مرتفعة.
التحديات والقيود
توصى البلدان بأن تبلّغ دوريًا عن التقزّم على فترات تتراوح بين ثلاث وخمس سنوات؛ غير أن البيانات تكون متاحة بوتيرة أقل في بعض البلدان. وعلى الرغم من بذل كل الجهود الممكنة للوصول بإمكانية مقارنة الإحصاءات بين البلدان وعلى مرّ الزمن إلى أقصى حدودها، قد تختلف البيانات القطرية من حيث طرق جمع البيانات والتغطية السكانية وطرق التقدير المستخدمة. وتشوب تقديرات الدراسات الاستقصائية مستويات من عدم اليقين بسبب وجود أخطاء في اختيار العينات وأخطاء غير مرتبطة باختيار العينات (أخطاء القياسات التقنية وأخطاء التسجيل وغيرها). ولم يُعالَج بصورة كاملة أي من مصدرَي الخطأ عند استنباط التقديرات على المستويات القطرية أو الإقليمية والعالمية.
القراءات الموصى بها
Brauer, M., Roth, G.A., Aravkin, A.Y., Zheng, P., Abata, K.H., Abate, Y.H., Abbafati, C. et al. 2024. Global burden and strength of evidence for 88 risk factors in 204 countries and 811 subnational locations, 1990-2021: a systematic analysis for the Global Burden of Disease Study 2021. The Lancet, 403(10440): 2162-2203. https://doi.org/10.1016/S0140-6736(24)00933-4. Erratum. The Lancet, 404(10449): 244. https://doi.org/10.1016/S0140-6736(24)01458-2.
McLain, A.C., Frongillo, E.A., Feng, J. & Borghi, E. 2019. Prediction intervals for penalized longitudinal models with multisource summary measures: An application to childhood malnutrition. Statistics in Medicine, 38(6): 1002–1012. https://doi.org/10.1002/sim.8024
UNICEF, WHO & World Bank. 2024. The UNICEF-WHO-World Bank Joint Child Malnutrition Estimates (JME) standard methodology. New York, USA. https://iris.who.int/bitstream/handle/10665/379080/9789240100190-eng.pdf?sequence=1
UNICEF, WHO & World Bank. 2025. Levels and trends in child malnutrition: UNICEF/WHO/World Bank Group Joint Child Malnutrition Estimates. Key findings of the 2025 edition. New York, USA, Geneva, Switzerland and Washington, DC. https://data.unicef.org/resources/JME, https://www.who.int/teams/nutrition-and-food-safety/monitoring-nutritional-status-and-food-safety-and-events/joint-child-malnutrition-estimates/latest-estimates, https://datatopics.worldbank.org/child-malnutrition
منظمة الصحة العاليمة. 2014. خطة التنفيذ الشاملة الخاصة بتغذية الأمهات والرّضع وصغار الأطفال. جينيف، سويسرا. https://www.who.int/publications/i/item/WHO-NMH-NHD-14.1
WHO. 2024. Nutrition Landscape Information System (NLIS) country profile indicators: interpretation guide. Second edition. Geneva, Switzerland. https://www.who.int/publications/i/item/9789241516952
WHO & UNICEF. 2019. Recommendations for data collection, analysis and reporting on anthropometric indicators in children under 5 years old. Geneva, Switzerland and New York, USA. https://www.who.int/publications/i/item/9789241515559
الوزن الزائد لدى الأطفال دون الخامسة من العمر
التعريف
يُعرّف الوزن الزائد بأنه زيادة الوزن (بالكيلوغرام) إلى الطول (بالسنتيمتر) على انحرافين معياريين اثنين مقارنةً بالقيمة المتوسطة لمعايير منظمة الصحة العالمية لنمو الطفل.
كيفية الإبلاغ
يُبلَّغ عن النسبة المئوية للأطفال الذين تتراوح أعمارهم بين صفر و59 شهرًا الذين تزيد نسبة وزنهم إلى طولهم عن انحرافين معياريين اثنين مقارنةً بالقيمة المتوسطة لمعايير منظمة الصحة العالمية لنمو الطفل. وتستند التقديرات الواردة في هذا التقرير إلى تقرير المستويات والاتجاهات في سوء التغذية لدى الأطفال: التقديرات المشتركة بين منظمة الأمم المتحدة للطفولة ومنظمة الصحة العالمية والبنك الدولي بشأن سوء التغذية لدى الأطفال - النتائج الرئيسية لطبعة عام 2025. 43 وتُنقّح سلسلة المجاميع بكاملها في كل طبعة جديدة. ويُنصح القراء بالامتناع عن مقارنة السلاسل الإقليمية والعالمية مع الطبعات السابقة من التقرير.
المنهجية
المستوى القطري
تحتوي مجموعة بيانات التقديرات المشتركة لسوء التغذية على التقديرات المحددة، والخطأ المعياري، حيثما وجد، وحدود الثقة التي تبلغ 95 في المائة، وحجم العيّنة غير المرجّح. وترد في مجموعة بيانات التقديرات المشتركة، حيثما تتاح بيانات جزئية، التقديرات التي أُعيد حسابها للتقيّد بالتعريف القياسي العالمي. وعندما لا تتاح بيانات جزئية، تُستخدم التقديرات المبلَّغ عنها، إلّا في الحالات التي يلزم إجراء تعديلات من أجل توحيد ما يلي:
- استخدام مرجع بديل للنمو من معايير منظمة الصحة العالمية لنمو الطفل لعام 2006؛
- والفئات العمرية التي لا تشمل الفئة العمرية الكاملة من صفر إلى 59 شهرًا؛
- ومصادر البيانات التي كانت ممثلة على المستوى الوطني فقط للسكان المقيمين في المناطق الريفية.
واستنادًا إلى مجموعة بيانات التقديرات المشتركة لسوء التغذية الصادرة في مايو/أيار 2025، وضع نموذج لمعدّل انتشار الوزن الزائد باستخدام مقياس احتمال لوغاريتمي (نسبة الاحتمالات الترجيحية) من خلال نموذج مختلط مقيد بضوابط تنظيمية وممتد زمنيًا مع حد خطأ متغيّر. وقيست جودة النماذج كميًا باستخدام معايير ملاءمة النموذج التي تحقق التوازن بين تعقد النموذج وقرب الملاءمة من البيانات المرصودة. وتتميز الطريقة المقترحة بخصائص مهمة تشمل الاتجاهات الزمنية غير الخطية، والاتجاهات الإقليمية، والاتجاهات الخاصة بكل بلد، والبيانات المتعلّقة بالمتغيّرات المشتركة، وحدّ الخطأ المتغيّر. وتساهم جميع البلدان التي تتوافر لها البيانات، في التقديرات المتعلّقة بالاتجاه الزمني العام وأثر بيانات المتغايرات المشتركة على معدّل الانتشار. وتألفت بيانات المتغايرات المشتركة من مؤشر ديمغرافي خطي وتربيعي.
ونَشرت التقديرات المشتركة لسوء التغذية في عام 2025 تقديرات منمذجة قطرية سنوية متعلقة بالتقزّم تغطي الفترة بين عامي 2000 و2024 في 162 بلدًا ومنطقة. ووضعت أيضًا تقديرات قطرية منمذجة في ما يخص 43 بلدًا إضافيًا، واقتصر استخدامها على إعداد المجاميع الإقليمية والعالمية.
المجاميع الإقليمية والعالمية
استُمدت من تنقيح عام 2024 لتقرير التوقعات السكانية في العالم 4 المجاميع العالمية والإقليمية لجميع السنوات في الفترة بين عامي 1990 و2024 كمتوسطات قطرية مرجّحة بحسب عدد السكان دون سن الخامسة في البلدان باستخدام تقديرات قائمة على النماذج في ما يخص 205 بلدان ومناطق. وتشمل هذه البلدان 162 بلدًا ومنطقة نُشرت تقديراتها. وتشمل أيضًا 42 بلدًا من البلدان التي استخدمت تقديرات منمذجة أنشئت لوضع المجاميع الإقليمية والعالمية، ولكن لم تُعرض التقديرات المنمذجة لكل بلد.
مصادر البيانات
تشكّل الدراسات الاستقصائية للأسر المعيشية الممثلة على المستوى الوطني (مثل الدراسات الاستقصائية الديمغرافية والصحية، والدراسات الاستقصائية العنقودية المتعددة المؤشرات، والدراسات الاستقصائية الموحدة لرصد وتقييم الإغاثة والانتقال، والدراسات الاستقصائية لقياس مستوى المعيشة)، مصادر البيانات التمثيلية الوطنية الأكثر شيوعًا التي تجمع على وجه التحديد بيانات عن تغذية الأطفال مصنفة بحسب طول الأطفال دون سن الخامسة ووزنهم وعمرهم، ويمكن استخدامها لوضع تقديرات لمعدّل انتشار الهزال على المستوى الوطني. وتشمل أيضًا مصادر البيانات الإدارية (المستمدة على سبيل المثال من النظم الروتينية أو نظم المراقبة) حيثما تكون التغطية السكانية مرتفعة.
التحديات والقيود
توصى البلدان بأن تبلّغ دوريًا عن التقزّم على فترات تتراوح بين ثلاث وخمس سنوات؛ غير أن البيانات تكون متاحة بوتيرة أقل في بعض البلدان. وعلى الرغم من بذل كل الجهود الممكنة للوصول بإمكانية مقارنة الإحصاءات بين البلدان وعلى مرّ الزمن إلى أقصى حدودها، قد تختلف البيانات القطرية من حيث طرق جمع البيانات والتغطية السكانية وطرق التقدير المستخدمة. وتشوب تقديرات الدراسات الاستقصائية مستويات من عدم اليقين بسبب وجود أخطاء في اختيار العينات وأخطاء غير مرتبطة باختيار العينات (أخطاء القياسات التقنية وأخطاء التسجيل وغيرها). ولم يُعالَج بصورة كاملة أي من مصدرَي الخطأ عند استنباط التقديرات على المستويات القطرية أو الإقليمية والعالمية.
القراءات الموصي لها
Brauer, M., Roth, G.A., Aravkin, A.Y., Zheng, P., Abata, K.H., Abate, Y.H., Abbafati, C. et al. 2024. Global burden and strength of evidence for 88 risk factors in 204 countries and 811 subnational locations, 1990-2021: a systematic analysis for the Global Burden of Disease Study 2021. The Lancet, 403(10440): 2162-2203. https://doi.org/10.1016/S0140-6736(24)00933-4. Erratum, The Lancet, 404(10449): 244. https://doi.org/10.1016/S0140-6736(24)01458-2
McLain, A.C., Frongillo, E.A., Feng, J. & Borghi, E. 2019. Prediction intervals for penalized longitudinal models with multisource summary measures: An application to childhood malnutrition. Statistics in Medicine, 38(6): 1002–1012. https://doi.org/10.1002/sim.8024
UNICEF, WHO & World Bank. 2024. The UNICEF-WHO-World Bank Joint Child Malnutrition Estimates (JME) standard methodology. New York, USA. https://iris.who.int/bitstream/handle/10665/379080/9789240100190-eng.pdf?sequence=1
UNICEF, WHO & World Bank. 2025. Levels and trends in child malnutrition: UNICEF/WHO/World Bank Group Joint Child Malnutrition Estimates. Key findings of the 2025 edition. New York, USA, Geneva, Switzerland and Washington, DC. https://data.unicef.org/resources/JME, https://www.who.int/teams/nutrition-and-food-safety/monitoring-nutritional-status-and-food-safety-and-events/joint-child-malnutrition-estimates/latest-estimates, https://datatopics.worldbank.org/child-malnutrition
منظمة الصحة العاليمة. 2014. خطة التنفيذ الشاملة الخاصة بتغذية الأمهات والرّضع وصغار الأطفال. جينيف، سويسرا. https://www.who.int/publications/i/item/WHO-NMH-NHD-14.1
WHO. 2024. Nutrition Landscape Information System (NLIS) country profile indicators: interpretation guide. Second edition. Geneva, Switzerland. https://www.who.int/publications/i/item/9789241516952
WHO & UNICEF. 2019. Recommendations for data collection, analysis and reporting on anthropometric indicators in children under 5 years old. Geneva, Switzerland and New York, USA. https://www.who.int/publications/i/item/9789241515559
الرضاعة الطبيعية الخالصةالوزن الزائد لدى الأطفال دون الخامسة من العمر
التعريف
تُعرَّف الرضاعة الطبيعية الخالصة للأطفال الرُضع الذين تقلّ أعمارهم عن 6 أشهر بأنها الحصول على حليب الأم فقط من دون أي أطعمة أو سوائل أخرى، ولا حتى المياه.
كيفية الإبلاغ
يُبلَّغ عن النسبة المئوية للرُضع الذين تتراوح أعمارهم بين صفر و5 أشهر الذين يتغذون حصريًا من حليب الأم من دون أي أطعمة أو سوائل أخرى، ولا حتى المياه - خلال الساعات الأربع والعشرين السابقة للدراسة الاستقصائية.
واستُمدت التقديرات الواردة في هذا التقرير من قاعدة البيانات العالمية لليونيسف بشأن تغذية الرضع والأطفال الصغار.15
المنهجية
المستوى القطري
يُعرّف هذا المؤشر بأنه تناول حليب الأم من دون أطعمة أو سوائل أخرى، ولا حتى المياه. وتستند التقديرات إلى استرجاع بيانات تغذية شريحة من الأطفال الرضع من عمر صفر إلى 5 أشهر في اليوم السابق.

وتشمل الرضاعة الطبيعية تلقي الطفل الرضيع الحليب مباشرة من الثدي، والحليب المستخرج من الثدي وحليب الثدي المتبرع به. ولا تدخل الأدوية الموصوفة طبيًا ومحاليل الإماهة الفموية والفيتامينات والمعادن ضمن الأغذية أو السوائل. ولكن تُحسب السوائل العشبية والأدوية التقليدية المماثلة على أنها سوائل، ولا يُعتبر الأطفال الرضع الذين يستهلكون هذه السوائل العشبية والأدوية التقليدية متلقين رضاعة طبيعية خالصة.
المجاميع الإقليمية والعالمية
وضعت التقديرات الإقليمية والعالمية للرضاعة الطبيعية الخالصة لعام 2012 باستخدام أحدث التقديرات المتاحة لكل بلد في الفترة بين عامي 2005 و2012. وبالمثل، وُضعت تقديرات عام 2023 باستخدام أحدث التقديرات المتاحة لكل بلد في الفترة بين عامي 2017 و2023. وتُحسب التقديرات العالمية والإقليمية كمتوسطات مرجّحة لمعدّل انتشار الرضاعة الطبيعية الخالصة في كل بلد، باستخدام العدد الإجمالي للرضع الذين تتراوح أعمارهم بين صفر و5 أشهر (أي نصف السكان الذين يبلغ عمرهم صفرًا) من تنقيح عام 2023 لتقرير التوقعات السكانية في العالم (2012 لخط الأساس و2023 للحالي) كأوزان ترجيحية.4 تُعرَض التقديرات في الحالات التي تمثّل فيها البيانات المتاحة 50 في المائة على الأقل من مجموع عدد الرضع الذين تتراوح أعمارهم بين صفر و5 أشهر في المناطق المقابلة، ما لم يُذكر خلاف ذلك.
مصادر البيانات
تجمع البيانات من خلال الدراسات الاستقصائية للأسر المعيشية الممثلة على المستوى الوطني مثل الدراسة الاستقصائية الديمغرافية والصحية والدراسة الاستقصائية العنقودية المتعددة المؤشرات. وتستند التقديرات إلى أسئلة عن السوائل والأطعمة التي تناولها الأطفال الذين تتراوح أعمارهم بين صفر و23 شهرًا في الساعات الأربع والعشرين السابقة للدراسة الاستقصائية.
التحديات والقيود
في حين أن نسبة عالية من البلدان تجمع بيانات عن الرضاعة الطبيعية الخالصة، هناك افتقار بصفة خاصة للبيانات المقدَّمة من البلدان المرتفعة الدخل. ويوصى بالإبلاغ دوريًا عن الرضاعة الطبيعية الخالصة على فترات تتراوح بين ثلاث وخمس سنوات. غير أن بيانات بعض البلدان تتوافر بشكل أقلّ تواترًا، ما يعني أن التغييرات في أنماط الرضاعة لا تُكتشف في كثير من الأحيان لعدة سنوات بعد حدوث التغيير.
ويمكن أن تتأثر المتوسطات الإقليمية والعالمية تبعًا للبلدان التي تتاح لديها بيانات عن الفترات التي يشملها هذا التقرير.
ويمكن أن يؤدي استخدام تغذية اليوم السابق كأساس إلى المبالغة في تقدير نسبة الرُضع الذين يتلقون رضاعة طبيعية خالصة، لأن بعض الأطفال الرُضع الذين يتلقون سوائل أو أطعمة أخرى بشكل غير منتظم قد لا يكونون قد تلقونها في اليوم السابق للدراسة الاستقصائية.
القراءات الموصى بها
NICEF. 2024. Infant and young child feeding. في: UNICEF. [ورد ذكره في 30 أبريل/نيسان 2025]. https://data.unicef.org/topic/nutrition/infant-and-young-child-feeding
منظمة الصحة العاليمة. 2014. خطة التنفيذ الشاملة الخاصة بتغذية الأمهات والرّضع وصغار الأطفال. جينيف، سويسرا. https://www.who.int/publications/i/item/WHO-NMH-NHD-14.1
WHO. 2024. Nutrition Landscape Information System (NLIS) country profile indicators: interpretation guide. Second edition. Geneva, Switzerland. https://www.who.int/publications/i/item/9789241516952
منظمة الأغذية والزراعة و ومنظمة الأمم المتحدة للطفولة (اليونيسف). 2021. مؤشرات تقييم ممارسات تغذية الرضّع وصغار الأطفال: التعاريف وطرق القياس. جينيف، سويسرا. https://iris.who.int/bitstream/handle/10665/377997/9789240037595-ara.pdf?sequence=1.
انخفاض الوزن عند الولادةفقر الدم لدى النساء اللاتي تتراوح أعمارهن بين 15 و 49 عامًًا
التعريف
يعرّف انخفاض الوزن عند الولادة بأنه الوزن الذي يقلّ عن 500 2 غرام.
كيفية الإبلاغ
يُبلَّغ عن النسبة المئوية للمواليد الجدد الذين يقلّ وزنهم عن 500 2 غرام (أقلّ من 5.51 رطلًا) عند الولادة. واستمدت التقديرات الواردة في التقرير من طبعة عام 2023 من التقديرات المشتركة بين منظمة الأمم المتحدة للطفولة ومنظمة الصحة العالمية بشأن انخفاض الوزن عند الولادة.16 وبالنظر إلى أن سلسلة التقديرات بكاملها تُنقّح مع إصدار كل طبعة جديدة، يُنصح القراء بالامتناع عن مقارنة السلسلة مع الطبعات السابقة.
المنهجية
المستوى القطري
جمعت بيانات تمثّل انخفاض الوزن عند الولادة على المستوى الوطني، بما في ذلك مصادر البيانات الاستقصائية والإدارية في الفترة بين عامي 2000 و2020 من 158 بلدًا. وطُبقت معايير جودة البيانات وطرق التعديل لوضع المجموعة النهائية من البيانات القطرية التي ستدرج في عملية النمذجة. واُراجع البيانات القطرية قبل إدخالها في مجموعة البيانات للتأكد من تغطيتها وجودتها، وتعديلها لمراعاة التحيزات الناجمة عن عدم توفر بيانات عن وزن المواليد وعن تجميع البيانات. ويتطلّب إدراج البيانات المتعلقة بأوزان المواليد المتاحة من البيانات الإدارية أن تغطي البيانات ما لا يقلّ عن 80 في المائة من تقديرات المواليد الواردة في تنقيح عام 2022 لتقرير التوقعات السكانية في العالم17. ولكي يتم إدراج الدراسات الاستقصائية للأسر المعيشية الوطنية في مجموعة البيانات، يجب أن تتوفر فيها الشروط التالية:
- أن تبيّن الوزن عند الولادة في مجموعة البيانات لما لا يقلّ عن 30 في المائة من العيّنة؛
- أن تتضمن ما لا يقلّ عن 200 وزن عند الولادة في مجموعة البيانات؛
- ألّا تشمل أي إشارة تدلّ على تكديس كبير للبيانات، ويعني ذلك أن: (1) أقل من 55 في المائة من جميع الأوزان عند الولادة يمكن أن توازي الأوزان الثلاثة الأكثر تواترًا عند الولادة (أي إذا كانت الأوزان الثلاثة الأكثر تواترًا عند الولادة هي 000 3 و500 3 و500 2 غرام، يجب أن تمثّل مجتمعة أقل من 55 في المائة من جميع الأوزان عند الولادة في مجموعة البيانات)؛ (2) وأقل من 10 في المائة من جميع الأوزان عند الولادة تتخطى 500 4 غرام؛ (3) وأقل من 5 في المائة من الأوزان عند الولادة تتراوح بين أقلّ من 500 غرام وأكثر من 000 5 غرام؛
- أن تكون قد عُدّلت لمراعاة الأوزان غير المتوافرة عند الولادة وتكدس التقديرات.
وأجريت التوقعات الخاصة بتقديرات معدّل انتشار نقص الوزن عند الولادة على المستوى الوطني باستخدام نموذج الانحدار البازي المتعدد المستويات. ويناسب هذا النموذج مقياس الاحتمال اللوغاريتمي (نسبة الاحتمالات الترجيحية) للتأكد من أن النسب محصورة بين صفر وواحد، ثم تحوّل بصورة ارتدادية وتُضرب في 100 للحصول على تقديرات معدّل الانتشار.
وراعت الاعتراضات الهرمية العشوائية الخاصة بكل بلد (بلدان المنطقة الواقعة داخل النطاق العالمي) الارتباط داخل المناطق وفي ما بينها. واستُخدمت الشرائح المقيدة بضوابط تنظيمية لتحقيق تجانس زمني عبر السلسلة الزمنية، ويعني ذلك أنها تُعبر عن الاتجاهات الزمنية غير الخطية على المستوى القطري من دون تغيير عشوائي يؤثر على الاتجاه. وتمثلت المتغيرات المشتركة النهائية المشمولة بالنموذج في الآتي: الدخل القومي الإجمالي للفرد على أساس تعادل القوة الشرائية،أأأ ومعدّل انتشار نقص الوزن لدى الإناث البالغات، ومعدّل الإلمام بالقراءة والكتابة بين الإناث البالغات، ومعدّل انتشار وسائل منع الحمل الحديثة، والنسبة المئوية لسكان المناطق الحضرية.
واستُخدمت فئات جودة البيانات لتطبيق تحوّلات التحيُّز ومكوّنات التباين الإضافية. وطُبقت تحولات التحيُّز على البيانات الإدارية المأخوذة من الفئات الأقل جودة والتي اقتربت من التحيّز المتوقع من التراكم الذي أُخذ بالفعل في الاعتبار عند تكييف الدراسة الاستقصائية. واعتمد التباين الإضافي على فئة جودة البيانات الإدارية والوزن الترجيحي بين البيانات الإدارية والبيانات الاستقصائية، إن وجدت.
وأجريت اختبارات تشخيصية قياسية لتقييم التقارب وكفاءة أخذ العينات. وأجري تحقق متبادل، بمتوسط 200 تقسيم عشوائي لبيانات الاختبار بنسبة 20 في المائة وبيانات التدريب بنسبة 80 في المائة. وأُجريت تحليلات للحساسية شملت فحص المتغايرات المشتركة، وطريقة التحيز، وتحقيق التجانس الزمني، والمقدمات غير المفيدة. وركبت جميع النماذج في برنامج R الإحصائي وحزمتي «rjags” وااR2jags”. 19، 18
وشمل النموذج جميع نقاط البيانات القطرية المسجّلة عبر السنوات والبالغ عددها 2040 نقطة بيانات مستوفية لمعايير الإدراج، ونتجت عن ذلك تقديرات سنوية تغطي الفترة بين عامي 2000 و2020 مع فواصل زمنية موثوقة بنسبة 95 في المائة للبلدان والمناطق البالغ عددها 195 منطقة لديها بيانات عن انخفاض الوزن عند الولادة أو بيانات عن المتغايرات المشتركة. لم يتم الإبلاغ إلّا عن التقديرات الخاصة بالبلدان والمناطق التي لديها بيانات. بالنسبة إلى البلدان السبعة والثلاثين (من أصل 195) التي لا تتوافر عنها بيانات أو لا تستوفي معايير الإدراج، استُخدم النموذج النهائي للتنبؤ بتقديرات معدّل انتشار انخفاض الوزن عند الولادة استنادًا إلى الاعتراضات القطرية والاتجاهات الزمنية المقدرة من المتغايرات المشتركة على مستوى المنطقة والبلد لجميع بيانات البلدان عبر السنوات.
المجاميع الإقليمية والعالمية
حُسبت المجاميع الإقليمية والعالمية باستخدام جميع التقديرات المستمدة من جميع البلدان والمناطق البالغ عددها 195 بلدًا ومنطقة مرجّحة بحسب تقديرات المواليد الأحياء لتلك السنة من تنقيح عام 2022 لتقرير التوقعات السكانية في العالم.17
مصادر البيانات
يمكن استخلاص تقديرات تمثيلية على المستوى الوطني لمعدّل انتشار انخفاض الوزن عند الولادة من مجموعة من المصادر التي يمكن تعريفها بشكل عام على أنها بيانات إدارية وطنية أو دراسات استقصائية تمثيلية للأسر المعيشية. والبيانات الإدارية الوطنية هي تلك المستمدة من النظم الوطنية، بما في ذلك نظم التسجيل المدني والإحصاءات الحيوية، ونظم المعلومات الوطنية لإدارة الصحة وسجلات المواليد. كما أن الدراسات الاستقصائية الوطنية للأسر المعيشية، مثل الدراسات الاستقصائية الديمغرافية والصحية، والدراسات الاستقصائية العنقودية المتعددة المؤشرات التي تحتوي على معلومات عن الوزن عند الولادة بالإضافة إلى المؤشرات الرئيسية ذات الصلة، بما في ذلك تصوّر الأمهات للحجم عند الولادة، هي أيضًا مصدر مهم للبيانات عن انخفاض الوزن عند الولادة، خاصة في السياقات التي تسجل فيها أوزان المواليد و/أو التي يمثل فيها تكدس البيانات مشكلة.
التحديات والقيود
يتمثل أحد القيود الرئيسية لرصد انخفاض الوزن عند الولادة على مستوى العالم في نقص بيانات الوزن عند الولادة للعديد من الأطفال في العالم. وهناك تحيز ملحوظ، إذ تقلّ احتمالات تسجيل الوزن عند الولادة للأطفال المولودين لأمهات وأسر معيشية ريفية أفقر وأقلّ تعليمًا مقارنةً بنظرائهم الأغنى والأكثر ثراءً في المناطق الحضرية المولودين لأمهات أكثر تعليمًا. ولم يدرج ما يقرب من واحد من كل ثلاث دراسات استقصائية محتوية على بيانات عن وزن المواليد، ويرجع ذلك بشكل أساسي إلى البيانات المفقودة أو ضعف جودة البيانات، ومعظمها من البلدان المنخفضة الدخل في المناطق التي ترتفع فيها مخاطر انخفاض الوزن عند الولادة.
وبالنظر إلى أن الأطفال الحديثي الولادة الذين يولدون ناقصي الوزن لديهم عوامل خطر انخفاض الوزن عند الولادة، فإن التقديرات التي لا تمثل هؤلاء الأطفال قد لا تعبّر عن القيمة الحقيقية. وعلاوة على ذلك، تنخفض جودة البيانات بسبب الإفراط في تكديس مضاعفات 500 غرام أو 100 غرام في البيانات الواردة من البلدان المنخفضة والمتوسطة الدخل، ما قد يؤدي إلى زيادة التقليل من تقديرات الوزن المنخفض عند الولادة. وتهدف الطرق المطبقة في قاعدة البيانات الحالية إلى معالجة هذه المسألة من خلال إجراء تعديلات لمراعاة البيانات المفقودة عن أوزان المواليد والأخطاء الناجمة عن تكديس البيانات في التقديرات الاستقصائية. ويتمثل أحد قيود الطرق الحالية في أن البيانات على المستوى الفردي غير متوافرة للبيانات الإدارية، ولا يمكن تعديل هذه البيانات مباشرة لإزالة التحيّز الناتج عن البيانات المكدسة والمفقودة.
قد لا تكون التجمعات الجغرافية المستخدمة في النمذجة مناسبة للقيم الإقليمية الوبائية أو الاقتصادية الشاذة. وإجمالًا، ربما تأثرت التقديرات المتعلقة بسبعة وثلاثين بلدًا (من أصل 195) من البلدان التي لا توجد لها بيانات مدخلات. وبالإضافة إلى ذلك، قد تكون حدود الثقة للتقديرات الإقليمية والعالمية صغيرة على نحو مصطنع نظرًا لأن نحو نصف البلدان المنمذجة كان لها تأثيرها العشوائي على كل تنبؤ من تنبؤات إعادة أخذ العينات، وبعضها كان إيجابيًا والبعض الآخر كان سلبيًا، ما يجعل عدم اليقين النسبي على المستويين الإقليمي والعالمي أقل من ذلك على المستوى القطري.
القراءات الموصى بها
Blanc, A. & Wardlaw, T. 2005. Monitoring low birth weight: An evaluation of international estimates and an updated estimation procedure. Bulletin World Health Organization, 83(3): 178–185. https://www.ncbi.nlm.nih.gov/pmc/articles/PMC2624216
Chang, K.T., Carter, E.D., Mullany, L.C., Khatry, S.K., Cousens, S., An, X., Krasevec, J. et al. 2022. Validation of MINORMIX approach for estimation of low birthweight prevalence using a rural Nepal dataset. The Journal of Nutrition, 152(3): 872–879. https://doi.org/10.1093/jn/nxab417
Okwaraji, Y.B., Krasevec, J., Bradley, E., Conkle, J., Stevens, G.A., Gatica-Domínguez, G., Ohuma, E.O. et al. 2024. National, regional, and global estimates of low birthweight in 2020, with trends from 2000: a systematic analysis. The Lancet, 403(10431): 1071–1080. https://doi.org/10.1016/S0140-6736(23)01198-4
UNICEF & WHO. 2023. Low birthweight. في: UNICEF. [ورد ذكره في 28 أبريل/نيسان 2025]. https://data.unicef.org/topic/nutrition/low-birthweight
UNICEF & WHO. 2023. Joint low birthweight estimates. في: WHO. [ورد ذكره في 28 أبريل/نيسان 2025]. https://www.who.int/teams/nutrition-and-food-safety/monitoring-nutritional-status-and-food-safety-and-events/joint-low-birthweight-estimates .
السمنة لدى البالغينالسمنة لدى البالغين
التعريف
تُعرّف السمنة لدى البالغين بأنها مؤشر كتلة الجسم ≥ 30 كلغ/م2. ومؤشر كتلة الجسم هو نسبة الوزن إلى الطول المستخدمة في العادة لتصنيف الحالة التغذوية للأشخاص البالغين. ويُحسب مؤشر كتلة الجسم باعتباره وزن الجسم بالكيلوغرام مقسومًا على مربع طول الجسم بالأمتار (كلغ/م2). وتشمل السمنة الأفراد الذين يساوي مؤشر كتلة جسمهم 30 كلغ/م2 أو أكثر.
كيفية الإبلاغ
يُبلَّغ عن النسبة المئوية للسكان الذين تزيد أعمارهم على 18 سنة ويبلغ مؤشر كتلة جسمهم ≥ 30 كلغ/م2 مرجحًا بحسب نوع الجنس وموحدًا بحسب العمر. وتستند التقديرات الواردة في التقرير إلى منظمة الصحة العالمية (2024).44 وتُنقّح سلسلة التقديرات بكاملها مع كل تحديث جديد. ويُنصح القراء بالامتناع عن مقارنة السلسلة الحالية بالتحديثات السابقة.
المنهجية
المستوى القطري
طُبق نموذج انحدار هرمي بايزي، تم تركيبه باستخدام عينة من سلسلة خوارزميات ماركوف مونت كارلو، مع الاستدلال باستخدام عينات لاحقة من خوارزميات ماركوف مونت كارلو لتقدير الاتجاهات في انتشار فئات مختلفة من مؤشر كتلة الجسم بحسب نوع الجنس والعمر والبلد والسنة في الفترة بين عامي 1990 و2022. وقُسمت البلدان إلى 20 منطقة و8 مناطق كبرى، استنادًا إلى الخصائص الجغرافية والدخل القومي في المقام الأول. وكان للنموذج هيكل هرمي استندت فيه تقديرات كل بلد وكل سنة إلى بيانات البلد، إن وجدت، وبيانات من سنوات أخرى داخل البلد نفسه ومن بلدان أخرى، ولا سيّما البلدان التي لديها بيانات لفترات زمنية مماثلة داخل المنطقة نفسها وداخل المنطقة الكبرى. وشمل النموذج اتجاهات زمنية غير خطية من خلال مزيج من المسارات العشوائية الخطية والتربيعية، وكلها نمذجة هرمية. وجرت نمذجة الارتباط العمري لمؤشر كتلة الجسم باستخدام تجزئة مكعبة للسماح بالأنماط العمرية غير الخطية التي قد تختلف من بلد لآخر. وأجريت نمذجة هرمية لمعاملات الشرائح، ما أتاح لها بالتغيّر بمرور الوقت لكي تعبّر عن الارتباطات العمرية المتغيّرة. وأجري توحيد قياسي للعمر بأخذ المتوسطات المرجّحة للتقديرات المحسوبة تبعًا للجنس والعمر، باستخدام الأوزان العمرية من الشريحة السكانية القياسية بحسب معايير منظمة الصحة العالمية.20
المجاميع الإقليمية والعالمية
تُحسب تقديرات معدّل الانتشار على المستويين العالمي والإقليمي كمتوسطات مرجّحة للسكان في البلدان المكوّنة.
مصادر البيانات
تشكّل الدراسات السكانية إلى جانب قياسات الطول والوزن، مثل الدراسات الاستقصائية للأسر المعيشية الممثلة على المستوى الوطني معظم مصادر البيانات لرصد السمنة لدى البالغين.
التحديات والقيود
يمثّل مؤشر كتلة الجسم مقياسًا غير كامل لحجم دهون الجسم وتوزيعها، ولكنه متاح على نطاق واسع في الدراسات الاستقصائية القائمة على السكان، ويُستخدم في الممارسة الإكلينيكية؛ كما أنه مرتبط أيضًا بقياس امتصاص الأشعة السينية المزدوجة الطاقة الأكثر تعقيدًا وكلفة.
وكانت لدى بعض البلدان مصادر بيانات قليلة، ولم يكن لدى ثلاثة بلدان مصدر بيانات. واستندت تقديرات هذه البلدان بدرجة أكبر إلى بيانات من بلدان أخرى من خلال التسلسل الجغرافي.
وكانت هناك أيضًا اختلافات في توافر البيانات بحسب الفئة العمرية، مع توافر عدد أقل من البيانات للمسنين (≥65 سنة)، ما زاد من عدم اليقين في التقديرات الخاصة بتلك الفئة العمرية.
القراءات الموصى بها
Ahmad, O.B., Boschi-Pinto, C., Lopez, A.D., Murray, C.J., Lozano, R. & Inoue, M. 2001. Age standardization of rates: A new WHO standard. GPE Discussion Paper Series 31. Geneva, Switzerland, WHO. https://cdn.who.int/media/docs/default-source/gho-documents/global-health-estimates/gpe_discussion_paper_series_paper31_2001_age_standardization_rates.pdf
NCD-RisC (NCD Risk Factor Collaboration). 2024. Worldwide trends in underweight and obesity from 1990 to 2022: a pooled analysis of 3663 population-representative studies with 222 million children, adolescents, and adults. The Lancet, 403(10431): 1027–1050. https://doi.org/10.1016/S0140-6736(23)02750-2
WHA (World Health Assembly). 2013. Sixty-sixth World Health Assembly – Follow-up to the Political Declaration of the High-level Meeting of the General Assembly on the Prevention and Control of Non-communicable Diseases. https://apps.who.int/gb/ebwha/pdf_files/WHA66/A66_R10-en.pdf?ua=1
WHO. 2022. Updated Appendix 3 of the WHO Global NCD Action Plan 2013-2030 – Technical Annex (version dated 26 December 2022). Geneva, Switzerland. https://cdn.who.int/media/docs/default-source/ncds/mnd/2022-app3-technical-annex-v26jan2023.pdf?sfvrsn=62581aa3_5.
WHO. 2024. Noncommunicable Diseases Data Portal. في: WHO. [ورد ذكره في 8 أبريل/نيسان 2024]. https://ncdportal.org.
WHO. 2024. Nutrition Landscape Information System (NLIS) country profile indicators: interpretation guide. Second edition. Geneva, Switzerland. https://www.who.int/publications/i/item/9789241516952
WHO. 2024. Global Health Observatory data repository: Prevalence of obesity among adults, BMI ≥ 30, age-standardized – Estimates by country. [تمّ الاطلاع على الموقع في 24 يوليو/تموز 2024]. https://www.who.int/data/gho/data/indicators/indicator-details/GHO/prevalence-of-obesity-among-adults-bmi-=-30-(age-standardized-estimate)-(-). Licence: CC-BY-4.0..
فقر الدم لدى النساء اللاتي تتراوح أعمارهن بين 15 و49 عامًافقر الدم لدى النساء اللاتي تتراوح أعمارهن بين 15 و 49 عامًًا
التعريف
يُعرّف فقر الدم لدى النساء اللاتي تتراوح أعمارهن بين 15 و49 عامًا بأنه النسبة المئوية للنساء بين 15 و49 عامًا اللاتي يقلّ لديهن تركيز الهيموغلوبين عن 120غرام/لتر للنساء غير الحوامل والنساء المرضعات وعن 110غرامات/لتر للنساء الحوامل، بعد تعديلها لمراعاة الارتفاع عن سطح البحر والتدخين.
كيفية الإبلاغ
يُبلَّغ عن للنساء اللاتي تتراوح أعمارهن بين 15 و49 عامًا اللاتي يقل تركيز الهيموغلوبين لديهن عن 110 غرامات/لتر بالنسبة إلى النساء الحوامل وعن 120 غرامات/لتر بالنسبة إلى النساء غير الحوامل. وتستند التقديرات الواردة في التقرير إلى: منظمة الصحة العالمية (2025). وتُنقّح سلسلة التقديرات بكاملها مع كل طبعة جديدة. ويُنصح القراء بالامتناع عن مقارنة السلسلة الحالية بالطبعات السابقة.
المنهجية
المستوى القطري
تضمنت طبعة عام 2025 من تقديرات فقر الدم لدى النساء اللاتي تتراوح أعمارهن بين 15 و49 عامًا، بحسب حالة الحمل، مصادر بيانات من قاعدة بيانات المُغذّيات الدقيقة، وهي جزء من نظام معلومات الفيتامينات والتغذية المعدنية التابع لمنظمة الصحة العالمية، ومن بيانات مجهولة المصدر على المستوى الفردي تغطي الفترة بين عامي 1995 و2023. وعُدّلت البيانات المتعلقة بتركيزات الهيموغلوبين في الدم لمراعاة الارتفاع عن سطح البحر عند الاقتضاء (أي بالنسبة إلى البلدان التي يعيش فيها سكان على ارتفاعات عالية)، وأجريت تعديلات لمراعاة للتدخين كلما أمكن. واستبعدت قيم الهيموغلوبين غير المعقولة بيولوجيًا (أقل من 25 غ/لتر أو أكثر من 200 غ/لتر).
واستُخدم نموذج بايزي هرمي مختلط لتقدير الاتجاهات لكل بلد في كل سنة، استنادًا إلى بيانات من السنة ذاتها للبلد نفسه، ومن سنوات أخرى للبلد نفسه، ومن بلدان أخرى في الإقليم ذاته. وقد أولى النموذج اهتمامًا أكبر للمناطق التي تتوفر عنها بيانات محدودة، واهتمامًا أقل للمناطق الغنية بالبيانات. وقد جرى تمثيل الاتجاهات على أنها خطية بالإضافة إلى اتجاهات غير خطية سلسة على المستويات القطرية والإقليمية والعالمية. واستندت التقديرات أيضًا إلى متغيّرات مشتركة مثل مؤشر الحالة الاجتماعية الديمغرافية، وإمدادات اللحوم، ومعدّل انتشار الوزن الزائد. ويمكن الرجوع إلى مزيد من المعلومات في وثيقة المعلومات الأساسية، المنهجية القياسية لمنظمة الصحة العالمية لتقدير المؤشر 2-2-3 من مؤشرات أهداف التنمية المستدامة بشأن انتشار فقر الدم لدى النساء اللاتي تتراوح أعمارهن بين 14 و49 عامًا، بحسب حالة الحمل.21
وحسّنت هذه الطبعة طريقة معالجة بيانات وخز الشُعيرات الدموية وجهاز HemoCue®301 بسبب احتمال وجود أخطاء في القياس والتحيز. واستُخدم متوسط تركيزات الهيموغلوبين لتقليل الأخطاء في الدم الشعيري، بينما استُخدمت جميع البيانات المتاحة لتقييم الدم الوريدي. وأُدرج مؤشر لجهاز HemoCue®301 في النموذج لمراعاة التحيز المشتبه به في قياسات جهاز HemoCue®301 وتحسين توقعات معدّل انتشار فقر الدم.
وقد وفر ذلك تقديرات متسقة لمستويات الهيموغلوبين وانتشار فقر الدم، استنادًا إلى عتبات منظمة الصحة العالمية لعام 1989 (<110 غ/لتر للنساء الحوامل، <120 غ/لتر للنساء غير الحوامل).22 وعلى الرغم من عدم استخدام أحدث المعايير من عام 2024 بسبب البيانات المحدودة المتاحة على المستوى الفردي لإجراء إعادة التحليل،23 فإن أعمال التحديث جارية في إطار التحضير للجولة التالية والتي ستشمل الحدود المحدثة.
المجاميع الإقليمية والعالمية
تحسب تقديرات معدّل الانتشار العالمي والإقليمي كمتوسطات مرجّحة للسكان في البلدان المكوّنة.
مصادر البيانات:
مصدر البيانات المفضل هو الدراسات الاستقصائية القائمة على السكان. ويمكن استخدام البيانات المستمدة من نظم المراقبة في بعض الظروف، لكن التشخيصات المسجّلة عادةً ما تكون أقلّ من الواقع. وتجمع قاعدة بيانات المُغذّيات الدقيقة24 التابعة لشبكة منظمة الصحة العالمية للمُغذّيات الدقيقة وتلخص البيانات عن حالة المُغذّيات الدقيقة للسكان من مصادر أخرى مختلفة، بما في ذلك البيانات التي تجمع من المؤلفات العلمية ومن الجهات المتعاونة، بما في ذلك المكاتب الإقليمية والقطرية لمنظمة الصحة العالمية ومنظمات الأمم المتحدة ووزارات الصحة والمؤسسات البحثية والأكاديمية والمنظمات غير الحكومية. وبالإضافة إلى ذلك، تجمع بيانات مجهولة المصدر على المستوى الفردي من دراسات استقصائية متعددة البلدان، بما في ذلك الدراسات الاستقصائية الديمغرافية والصحية ودراسات استقصائية لمؤشرات الملاريا ودراسات استقصائية للصحة الإنجابية.
التحديات والقيود
على الرغم من ارتفاع نسبة البلدان التي لديها بيانات استقصائية تمثيلية وطنية بشأن فقر الدم، لا يزال هناك قصور في الإبلاغ عن هذا المؤشر، ولا سيّما في البلدان المرتفعة الدخل. وبالإضافة إلى ذلك، لم تشمل هذه الجولة من التقديرات سوى المصادر التي كان معروفًا فيها أسلوب القياس. ونتيجة لذلك، قد لا تُغطي التقديرات التباين الكامل بين البلدان والأقاليم، وقد تميل بالتالي إلى “الانكماش” نحو المتوسطات العالمية عندما تكون البيانات متفرقة.
القراءات الموصى بها
Stevens, G.A., Paciorek, C.J., Flores-Urrutia, M.C., Borghi, E., Namaste, S., Wirth, J.P., Suchdev, P.S., Ezzati, M., Rohner, F., Flaxman, S.R. & Rogers, L.M. 2022. National, regional, and global estimates of anaemia by severity in women and children for 2000–19: a pooled analysis of population-representative data. The Lancet Global Health, 10(5): e627–e639. https://doi.org/10.1016/S2214-109X(22)00084-5.
منظمة الصحة العالمية. 2011. استخدام تركيز الهيموغلوبين لتشخيص فقر الدم وتقييم وخامته. نظام المعلومات الخاص بالتغذية بالفيتامينات. جينيف، سويسرا. https://iris.who.int/bitstream/handle/10665/85839/WHO_NMH_NHD_MNM_11.1_ara.pdf.
منظمة الصحة العاليمة. 2014. خطة التنفيذ الشاملة الخاصة بتغذية الأمهات والرّضع وصغار الأطفال. جينيف، سويسرا. https://www.who.int/publications/i/item/WHO-NMH-NHD-14.1
WHO. 2025. Global nutrition Targets 2030 to improve maternal, infant and young child nutrition. Dashboard. في: WHO. [ورد ذكره في 6 يونيو/حزيران 2025]. https://data.who.int/dashboards/nutrition?m49=004.
WHO. 2025. Nutrition Data Portal في: WHO. [ورد ذكره في 8 مايو/أيار 2025]. https://platform.who.int/nutrition/nutrition-portals.
WHO. 2025. Vitamin and Mineral Nutrition Information System (VMNIS). في: WHO. [ورد ذكره في 8 مايو/أيار 2025]. https://www.who.int/teams/nutrition-and-food-safety/databases/vitamin-and-mineral-nutrition-information-system.
WHO. 2025. WHO global anaemia estimates, 2025 edition. في: WHO. [ورد ذكره في 8 مايو/أيار 2025]. https://www.who.int/data/gho/data/themes/topics/anaemia_in_women_and_children.
WHO. 2025. WHO standard methodology to estimate SDG 2.2.3 indicator on anaemia prevalence in women 15-49 years, by pregnancy status. 2000-2023. Geneva, Switzerland. [ورد ذكره في 6 يونيو/حزيران 2025]. https://www.who.int/teams/nutrition-and-food-safety/monitoring-nutritional-status-and-food-safety-and-events/global-anaemia-estimates/methodology-for-the-global-anaemia-estimates.