In looking for solutions aimed at reducing levels of catch and mortality for species or sizes and sexes of species that are discarded, several important questions need to be addressed:
Why are particular species or sizes and sexes of certain species caught and discarded?
What quantities of different species (sizes and sexes) are discarded?
What is the ultimate fate of discards?
What are the benefits of present discarding practices and what are their costs to the fishermen and society? Who causes the problems, who benefits from current practices, and who would benefit from the solutions?
Answers to these questions are necessary ingredients in formulating national goals and strategies to characterize and address identified impacts. Once these questions have been addressed and goals and priorities have been clarified, a range of options (potential solutions) can be considered to reduce either the bycatch levels or the mortality imposed on discards. In this chapter we attempt to address the factors that need to be evaluated when searching for options to reduce discard levels or the impacts of discarding. Potential solutions reported in the literature are also discussed.
Authors who have studied bycatch and discards in some detail have identified a wide spectrum of reasons fish and other marine life are captured and then discarded (Murawski 1991, 1992, 1993; Pikitch 1991, 1992; Northridge 1991a, 1991b; Saila 1983; Murray et al. 1992). Reasons identified by scientists can be categorized as follows: (1) physical-biological interaction, (2) economic, and (3) legal. We have added personal value considerations to this list. These categories are similar to the origins and causes of discards discussed in the bycatch report of the Commission of European Communities (1992).
The physical and biological reasons unwanted species are captured lies in the facts that (1) target and non-target species co-inhabit the ocean space coming under the influence of the harvesting systems employed, (2) the species encountered may behave differently to the fishing gear, and (3) the methods of gear deployment and the physical characteristics of the gear deployed are, for the most part, not species-or sex-specific and, in varying degrees, not size-specific. Thus, if passive gears are deployed using bait to attract fish, a variety of target and non-target species in the area under the influence of the bait may be attracted to the gear. If passive driftnets are used, all species and sizes of species which are within the range of sizes selected by the gear that cannot detect the gear are subject to capture. If, on the other hand, active gears like trawls or seines are deployed, the spectrum of species in the path of the trawl or encircled by the seine are candidates for capture and discard.
Of course, the size of hooks used, tunnel characteristics in pots, mesh size, geometry of the gears, and many other factors can vary the outcome of a gear component. Few gears and operational modes are always “clean.” Instead, the level of unwanted fish taken by gear types will vary considerably, depending on how gear is rigged and when and where it is deployed.
Investigators examining the basis for the capture and discard of marine fishes deal in some depth with underlying economic issues, and some note all discarding directly or indirectly involves economic issues. There is undoubtedly a good deal of truth in this observation. Economic factors underlying discards can involve discard of (1) species for which no reasonable market exists, (2) sizes or sexes of species not acceptable to markets, (3) physically damaged fish, (4) fish generating problems for other species within the catch (slime, abrasiveness, etc.), (5) species which deteriorate rapidly, (6) availability of space and refrigeration on vessels, and (7) high-grading.
High-grading refers to the discard of one species of fish while keeping a higher-value species, or more frequently the discard of certain sizes of fish in favor of sizes receiving higher prices (Gillis et al. in press). In reality, however, high-grading encompasses the entire fishing practice of selecting target species, areas, and sizes and sexes of species. It begins with the selection of a gear type and is an integral decision process throughout the fishing operation, including the selection of fishing areas, depths, and temperatures. Fishermen most often optimize their economic goals in selection of gear, operational modes, and on-deck selection of fish to be retained. This selection leads to a maze of fishing patterns targeting on both high- and low-value species. Most gear types will at times have high bycatch rates. The exception may well be those fishes predicated on high-volume production, such as clupeoid fishes for meal or roe and a few very selective gears like squid light fisheries. In such fisheries discards are rare (Guillory and Hutton 1982). The willingness to sort through large quantities of fish in order to select a small catch appears to be directly related to the value of the target catch, as in the shrimp fisheries where large amounts of fish are sorted through to retain a relatively small quantity of target catch.
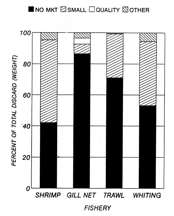
Murawski (1994), in his examination of discarding groundfish in the Gulf of Maine, identified three major reasons fishermen discard: (1) no market, (2) too small, and (3) poor quality of catch. “No market” and “too small” were by far the dominant reasons identified for discards (Figure 14). These results may be compared to those of Pikitch (1991) who found the most common reasons given for the discard of five species of rockfishes taken off the West Coast of the U.S. involved (1) minimum acceptable market sizes, (2) high-grading, (3) trip quota for species already exceeded, and (4) a variety of “other” factors (Figure 15). Laevastu and Favorite (1988) note similar problems, but add the issue of prohibited species.

figure 14 Reasons for discards in four Gulf of Maine groundfish fisheries from sea sampling trips conducted in 1991. Reasons are: No Mkt = species for which no market existed, Small = fish smaller than minimum legal size or minimum market size, Quality = fish of poor market quality, and Other = a variety of other reasons for discards. Source: Murawski 1993

figure 15 Reasons for discards in five West Coast groundfish fisheries from sea sampling trips conducted in 1991. Reasons are: Size = below minimum acceptable market size, High g = high grading of species catch, Quota = trip quota for species already exceeded, and Other = a variety of other reasons for discards. Source: Pikitch 1991.
One of the most controversial aspects of the bycatch issue within elements of the commercial fishing community is the mortality impact on discards of species caught by one fishery which are the target of another fishery.43 This problem frequently occurs when regulatory regimes require that for certain species, capture and retention be limited to a specific gear type. Thus, all captures of the species by other gears must be returned to the sea regardless of whether they are dead or alive.
Murawski (1994), commenting on this issue, states that “the incompatibility of regulations with the reality of the species mix contributes to the discard of economic species.”
43This problem differs between regions and is a growing problem in North America and Europe.
We have added to our list of factors governing why species are discarded the category “personal preference” in that a considerable amount of fishing does not involve commercially structured operations. U.S. recreational fisheries frequently generate a significant discard. Discarding in recreational fisheries generally reflects a person's decision not to keep the catch because the species captured is considered undesirable for a variety of reasons--the catch is too small, damaged, or illegal to retain. Thus, recreational fishing, like commercial operations, involves degrees of “high-grading.” A recreational fisherman with a limit of two fish may choose to discard a number of fish in order to catch and retain a larger fish of the same species. Selection of fish among a mixed catch also occurs in subsistence fisheries. In such instances, choices among species are frequently personal preferences which may vary sharply between fishermen and between regions (NRC 1993; Andrew and Pepperell 1992). Personal preferences may also involve discards in subsistence fisheries.
Fisher (1992) notes the formulation of any bycatch program must have observable scientific data as a basis for understanding discard impacts and for structuring effective management or technical solutions.
Of course, it has been the objective of this study to clarify the character and magnitude of discards occurring in various world fisheries. Although the number of observations on discard rates in various fisheries has increased in a dramatic manner over the past decade, comprehensive documentation regarding the biodiversity of species taken and discarded, as well as the biological, economic, and ecological impacts of discards, is infrequent. Even among datasets which provide such information, few are based on sampling extended over seasons and between years.
Murawski (1992) notes the collection and documentation of discard rates to date has involved use of at-sea observer data. Because of the expense, spatial limitations, and other factors, few fisheries have been sampled adequately and in a random manner. When observer coverage is low and spotty, crew behavioral patterns may bias the data. Murawski (1992) observes:
The skipper and crew always know they are being observed, and there may be a strong subconscious desire on the part of fishermen to clean up their act…. Scientifically supportable discard rates will require representative sampling of trips with which to characterize the fleets as a whole while observing a sufficient number of trips so that normal trip-to-trip variability can be taken into account.
The only major world fisheries where an observer program now provides such comprehensive fleet data are the trawl, line, and pot fisheries for demersal fishes off Alaska and the tuna purse seine fishery of the ETP. In Alaska, the cost of this extensive observer program is borne by the fishing vessel owner and in the ETP tuna fishery by nations or vessel owners.
The types of statistical information required to assess the consequences of discards in relation to stated management goals are for the most part identical to those collected for harvested species, that is, species diversity, numbers, weights, sizes, sex composition, abundance trends, and life history features. For exploited marketable species, discard information forms the basis to quantify the actual catch. Catch = landings by all vessel and gear classes + discards of all vessels and gear classes. On the other hand, the catches of unmarketable species can only be derived from the sum of the discards of vessels and gear classes fishing a particular stock/area, plus fish which are landed but not purchased44 (no record of landing).
Saila (1983) discusses in some detail the procedures for discard estimation, including the character of observations and estimating procedures. Data collected should allow investigators to estimate:
Total quantities of various species discarded
Size distribution of discard species
Percent of discard of total catch (numbers and weight)
Biodiversity of species discarded
CPUE of discarded species
Byacatch data may form the single most important database on the species distribution and abundance of unexploited species, as well as serve as an excellent source of information regarding species life history and behavior characteristics. Further, such data may contribute significantly to the understanding of species complexes and species interactions within different ocean ecosystems.
Chapter 1 of this report summarizes in some detail information on the fate of discards during fishing operations. There is general agreement among most Sfishing scientists that most, if not all, of the roundfish taken (cods, hakes, pollock, croakers, rockfishes, snappers, groupers) die as a result of distended air bladders and the inability to sound. Nevertheless, portions of the catches of flounders, sharks, some invertebrates, and other species not affected by rapid changes in depth or temperature may survive. Survival of discarded species may be sharply influenced by the nature of the gear used, the manner in which it is deployed, the time fished, the size of the overall catch, the composition of the catch, and the handling of the catch after capture. Thus, for some species, reduction in the discard mortality rate can be significantly effected through rapid return of the unwanted catch to the ocean, shortened fishing time, reduced catch levels, and improved on-deck handling procedures.
Knowledge of discard mortality rates is of importance in determining the consequences of catch-and-release strategies and whether or not realistic opportunities exist to improve the survival of discards. In a broader context, the fate of discards may also be an important question in terms of ecosystem impacts (Bricklemyer et al. 1989/1990). If solutions rest on the improved survival of discards, then the extant levels of discard mortality must be verified and potential actions to increase survival investigated.
What are the benefits of present discarding practices and what are their costs to the fishermen and society? Who causes the problems, who benefits from current practices, and who would benefit from the solutions?
Dealing with these questions in any detailed manner would in itself be the basis of a major treatise. To begin with, societal values differ between users, and many of the values associated with biological and ecological attributes and esthetic issues will be difficult to quantify. Nevertheless, this set of questions will ultimately require attention if discard management is to be formulated on a composite of well-thought-out bioeconomic and ethical values.
Under historical practices, fishermen must have assumed there were no benefits in altering fishing activity operational patterns or technology, in order to avoid discards. In essence, there were few, if any, perceived economic or other advantages in avoiding bycatch. The recent evolution of regulatory regimes in many regions of the world to deal with bycatch/discarding has obviously already altered fishing practices and confronted the fishing industry with incentives for change--even in the absence of more quantitative evaluation of benefits and costs. As we begin to identify the costs of change, the character of benefits, and those responsible for the problems, the beneficiaries will become more clear. In the interim, managers are likely to make a number of short changes without fully recognizing how such changes will impact biological, economic, ecological, and other societal goals.
The character and spectrum of solutions to discarding will depend in part on the nature of the problem being addressed, and on local fisheries and environmental policies. If the driving policy is rooted in achieving conservation goals, the solution may be confined to reduction in the bycatch of impacted species. Regulations proposed to address conservation problems aggravated by discards may differ significantly from those attempting to address issues of waste or ethical concerns. Solutions to economic transfer losses may depend on regional policies concerned with the losses imposed on one group vis-à-vis the gains resulting from added production of the group responsible for the bycatch (Amjoun and NRC 1991). In such cases, historical fisheries have been given protection from discards occurring in developing fisheries.
Regardless of the character of the discard problem, only a few functional alternatives are available:
Catching fewer numbers of the species or sizes and sexes of the species comprising the discard
Reducing the mortality of the species being discarded
Using a greater spectrum of the species or sizes of species caught and discarded
Over the past decade, various strategies have been used to attempt to deal with bycatch and discards, including (1) instituting incentives and disincentive programs, (2) making the use of certain gears in certain areas illegal, such as the pout box, (3) completely banning the use of a particular gear technology, like high seas driftnets, (4) permitting continued use of a gear type but regulating its discard catch efficiency, such as enforce mesh, hook, or escapement panel size restrictions, (5) establishing fishery-level discard quotas, as in the Bering Sea which has prohibited species catch quotas, and (6) utilizing time/area closures. In many cases, market opportunities for bycatch species have also been expanded, thereby increasing the retention and landings of catch fractions previously discarded.
Unfortunately, as witnessed by the bycatch and discard data presented in Chapter 1 of this volume, the aforementioned strategies have not yet addressed a majority of the bycatch and discard problems. Great quantities of non-target finfish and shellfish are being removed by global fisheries. On average, 0.32 mt of fish are estimated to be discarded into the sea for every metric ton landed for human consumption and other uses. In many cases we do not understand the implications of these removals well enough to claim they are harming biological or ecological systems. Nevertheless, there is a growing concern that users should search for those technologies, operational patterns, and management strategies which reduce bycatch to its lowest possible level while permitting the industries to produce protein needed to feed human populations. Such a goal (Murawski 1992; Alverson 1992; Commission of the European Communities 1992) has been suggested within the rationalization of the bycatch problem.
Reduction in discard levels through regulations making the use of certain gear types illegal, like high seas driftnets, or setting quotas on the quantities of bycatch to be taken, such as for North Pacific groundfish, can quickly terminate discard problems or limit the extent of discard mortality. Such regulations, however, may impose significant economic losses on those being regulated, reduce the availability of fish supplies, and increase operational costs of traditional users. From the standpoint of fishing interests, a preferable solution is the reduction in the capture and discard of species or sizes of species through use of more selective fishing gears, time/area fishing strategies, or vessel incentive programs.
From a historical perspective, fishery managers have attempted to minimize pre-recruit mortality through use of mesh sizes in trawls, seines, pots, and traps that release a significant number of the undersized target species (Armstrong et al. 1990; Dawson 1991; Caddy 1989). The functional aspect of gear selectivity is based on the escapement opportunity provided by the use of webbing, hooks, and pot tunnels of different sizes and shapes.
A comprehensive list of references concerned with selectivity of various fishing gears and methods of research in this field has recently been prepared by Prado (1992) for the FAO of the United Nations. The document is organized to examine selectivity issues associated with different fishing gears and to compare gears and research methods. Further, the report organizes selectivity references in terms of species and regions. A narrower and somewhat earlier review of selectivity of gillnets has been published by Hamley (1975).
Although considerable progress in the reduction of the capture of undersized fish can be attributed to increasing mesh sizes and other gear selectivity regulations, reduction in the overall quantity of bycatch has been offset by (1) increasing global fishery pressure (Alverson and Larkin 1992), (2) differentiated growth rates of target and non-target species, (3) the failure of mesh regulations to deal with the capture of many unwanted species, (4) the ease of altering gear at sea and avoiding gear selectivity regulations, and (5) failure, at times, of the fishing industry to be willing to adopt fishing methods proven to be more selective.
Shrimp mesh selectivity studies, as with numerous species of fish, have been carried out with the objective of allowing greater escapement of undersized shrimps (Chian et al. 1988; Kendall 1990; Valdemarsen 1989; van Zalinge et al. 1979; Clark 1960; Lemcke 1986; Simpson and Perez 1975; Tokai et al. 1990). Similarly, a wide variety of selectivity studies has been undertaken on dredges, pots, traps, and gillnets (Prado 1992). However, unless required by law, these experiments were only marginally successful in reducing the capture of undersized shrimp and other bycatch.
Attempts to overcome some problems associated with net selectivity and rigging of the gear of active fishing nets, such as trawls and seine, have over the past several decades been addressed by the introduction of “square mesh,” single-mesh codends, knotless and colored webbing, escape panels, and the manner in which the webbing is secured to riblines (Anon. 1988; Anon 1990; Averill and Carr 1987; Averill 1990; Bohl 1987; Bohl and Dahm 1991; Casey and Warnes 1987; Cooper 1989; Dahm 1990, 1991; DeAlteris et al. 1990; Fonteyne and Robet 1988; Hearn 1988; Hickey 1988; Hillis et al. 1991; Innes 1989; Isaksen and Valdemarsen 1986, 1988, 1990; Larsen 1988, 1990; Larsson et al. 1988; Larsvik and Ulmestrand 1991; Pikitch and Bergh 1988; Robertson 1986; Robertson et al. 1986; Thorsteinsson 1989, 1991; Ulmestrand and Larsson 1991; Walsh et al. 1989).
These studies have tended to confirm findings that escapement from trawls is impacted by webbing shape during fishing operations, in particular the mesh size and shape in the upper portions of the codend. In general, selectivity studies show the catch of undersized fish can be minimized by (1) using larger mesh, (2) ensuring the codend meshes remain open during fishing, (3) minimizing use of chaffing gear, particularly in the upper portions of the codend, and (4) in some instances using square mesh nets. The advantages of square mesh and other techniques to ensure that webbing configuration is optimal for escapement largely address issues of size selection, and species-specific selection problems are only indirectly dealt with by these adjustments.
Since the problem of bycatch and discards has escalated over the past two decades and been acknowledged as a major management issue, greater efforts have been directed towards reducing bycatch by taking advantage of the differential behavior of the range of species subject to the fishing gears deployed (Adlerstein and Trumble 1992; Watson 1989, 1992; Marasco and Laevestu 1992; Rose and Williams 1992; DeAlteris and Castro 1992; Laevestu and Alverson 1992; Fernö 1992; Glass et al. 1992; Ye 1992; Robertson 1992; Suuronen et al. 1992; Toivonen and Hudd 1992; Tschernig et al. 1992; Wardle 1992; Valdemarsen and Mikalsen 1991; Urquhart and Stewart 1992; Wray 1992). Studies of species behavior may help with species-specific selection. For example, square mesh side panels to reduce the catch of haddock and whiting and the use of large ground-rope bobbers allow small cod to escape under the net.
Examination of the historic evolution of bycatch reduction in shrimp trawls reveals a series of approaches were taken, including (1) use of separating panels made of horizontal or vertical webbing with side- and/or top-oriented escape chutes (excluder funnels) for finfish, (2) use of electrical sorting trawls, and (3) use of rigged selector grids. The purpose and objective of the sorting experiments have varied over time. In the early stages of panel trawl development, reduction in bycatch was seen as a means of reducing substantial sorting time. However, in the 1980s, conservation of turtles and reduction in the catch of certain species of groundfish became the primary basis for alternative gear designs (Andrew and Pepperell 1992).
Attempts to find solutions to discarding problems in shrimp fisheries based on behavioral differences date back almost thirty years. Boddeke (1965) and the FAO (1973), for example, reported on selective shrimp trawl attempts in Europe during the mid-1960s. These efforts were followed several years later by a series of experiments on the West Coast of the U.S. (Beardsley and High 1970). Experiments on the U.S. West Coast involving pandalid shrimp fisheries met with reasonably good results in terms of reduced catch of finfish species, although reports of the results are somewhat qualitative. Nevertheless, reduction in the target shrimp catch was perceived by fishermen to offset gains made in reducing the time required to sort. Further, lack of perceived conservation problems associated with the bycatch during the 1960s and early 1970s resulted in little continued industry or management agency interest in the adoption of the NMFS selective trawls.
During the 1980s, development of shrimp sorting trawls appeared to become contagious, and experiments using sorting trawls spread world wide (Anon. 1982; Anon. 1985a; Anon 1985c; Anon. 1988; Anon. 1991b; Ashcroft 1984; FAO 1985; Galbraith and Maine 1989; Griffin 1987; ICES 1985; Valdemarsen 1986; Isaksen and Valdemarsen 1986; Valdemarsen and Mikalsen 1991; West et al. 1984; Wardle and Hollingworth 1993; Wray 1990; Isaksen 1984; Karlsen 1983; Karlsen and Larsen 1988; Kenny et al. 1990; Larsen 1986; Schick 1991; Sea Fish Authority 1986; Sternin and Allsopp 1982). As a result, a variety of panel separators, funnel trawls, and other devices for sorting from bottom to top or top to bottom or having vertical separating qualities emerged for use in separating both northern and tropical species. Although many showed some promise, none seemed to attract wide-scale use by the world's fishing industry (FAO 1973; Watson et al. 1986).
U.S. experiments in the Gulf of Mexico shrimp fisheries were originally designed to examine use of netting panels to reduce finfish bycatch (Watson and Taylor 1990). Watson and Taylor (1990) note the early U.S. Pacific Northwest and European experimental shrimp separator nets were not effective in the Gulf of Mexico due to “filling and clogging of the separator panels.” Further reduced catches of target species were reported. Thus, early designs evolved to deal with northern shrimp were not considered directly applicable to the penaeid fisheries of the sub-tropical and tropical regions.45 Nevertheless, the concept of separator panels was not abandoned by U. S. investigators searching for a solution to the bycatch problem.
A significant effort was carried out by the U.S. National Marine Fisheries Service to address the Gulf shrimp fishery bycatch issue in 1974 (Watson and Taylor 1986).
The work resulted in a V-design vertical separator panel (Watson and McVea 1977). The “V” sorter net was reportedly designed to take advantage of behavioral differences between shrimp and finfish. In commercial tests, “V” separator trawls achieved from 60% to 80% separation of finfish. However, loss of target species catch and other problems led to the abandonment of the experiments in the late 1970s. Electrical trawls, which theoretically had considerable potential to resolve bycatch problems, never extended beyond a prototype. Major obstacles to acceptance of the electrical trawl system appeared to be the high cost of pulsar systems and conductor cables, as well as replacement costs of lost gear (Watson and Taylor 1986).
Perhaps the most significant event of the 1980s in the development of shrimp sorting devices in trawls based on behavioral differences has been the evolution of turtle exclusion devices (TEDs) in the U. S. (Watson and Taylor 1986, 1990; Anon. 1985d; Anon. 1991; Condrey and Day 1987; Conner 1987; Christian and Harrington 1987; McNeil 1964; Murphy and Murphy 1989). The first turtle excluder device resulted from the joint efforts of NMFS and Gulf commercial fishing interests (Watson and Seidel 1980). Since its development in the early 1980s, many types of TEDs have been developed and introduced to the fishing industry in response to federal and state regulations.46 The search for effective TEDs ultimately led to a variety of net designs incorporating finfish separation based on behavioral differences (Harrington 1992). Unique to most TED nets (hard TEDs) has been the use of rigid bar separators, funnels, or soft flaps for elimination of the turtles (Figure 16). The efficiency of the TED has been high, and the elimination of finfish has reached 60% for some net designs.

figure 16 Basic hard TED and factors influencing bycatch reduction rates, i.e., bar spacing, funnel or no funnel, and flap size. Source: Harrington 1992.
Regardless, they have not been easily accepted, and only a few types of nets are considered desirable by members of the industry (Harrington 1992). In an evaluation of excluder devices on shrimp catches in the Gulf of Mexico, Renaud et al. (1990) found significant differences between standard nets and nets rigged with TEDs, with lower shrimp and finfish catches occurring in the latter. The reduction in shrimp catch ranged from about 3% to 18%.
It is difficult to track whether or not the rigid grid concept used in TEDs gave inspiration to Norwegian researchers in their search for something better than panel separator shrimp trawls. Development of the rigid bar, solid grid separator trawl for pandalid shrimps--the so-called Nordmore grate (NG)--took place in the late 1980s and early 1990s (Olsen 1991; Isaksen et al. 1990, 1992). The rigid separator trawl seems to have solved many of the objections to separator webbing panels and to have increased separation efficiency, with only a small loss in shrimp catches. Separation success reaching 100% for cod and haddock older than 14–17 months and redfish older than 2–3 years has been reported (Isaksen et al. 1990). Again the NG has not always found strong support by fisheries, but its contribution to sorting out roundfish is generally accepted and supported by field experiments. Finally, the government of Norway has required its use in the country's northern shrimp fisheries, and the NG is being adopted in other world pandalid fisheries, such as Canada, Greenland, and the northern U.S. (Kenny et al. 1990; Isaksen et al. 1992). Results of shrimp sorting experiments using horizontal, vertical, and rigid spaced bars are provided in Table 40.
| Gear Type | Area Tested | Bycatch Reduction (%) | Target Species Loss(%) | Main Discard Species | Authors |
|---|---|---|---|---|---|
| PANEL NETS | |||||
| Horizontal | NW U.S. | 77 | >20 | smelts, rockfishes | High et al. (1969) |
| Vertical | Norway | 75–100 | 5–10 | cods, haddocks | Isaksen (1984) |
| V Design Vertical | US Gulf of Mexico | 38–45 | 6–12 | croakers/porgies | Watson (1982) |
| TEDS | |||||
| Collapsible Steel Grid | US Gulf of Mexico | 51 | ? | croakers/porgies | Watson et al. (1986) |
| Solid Fiberglass Grid | US Gulf of Mexico | 53 | ? | croakers/porgies | Watson et al. (1986) |
| 4" Georgia with Funnel | US Gulf of Mexico | 11 | ? | croakers/porgies | Harrington (1992) |
| 4" Georgia without Funnel | US Gulf of Mexico | 16 | ? | croakers/porgies | Harrington (1992) |
| 2.5" Georgia without Funnel | US Gulf of Mexico | 24 | ? | croakers/porgies | Harrington (1992) |
| Morrison | US Gulf of Mexico | 31 | ? | croakers/porgies | Harrington (1992) |
| Lettich | US Gulf of Mexico | 33 | ? | croakers/porgies | Harrington (1992) |
| Andrew 3" panel | US Gulf of Mexico | 43 | ? | croakers/porgies | Harrington (1992) |
| Andrew 4" panel | US Gulf of Mexico | 54 | ? | croakers/porgies | Harrington (1992) |
| NORDMORE GRATE | |||||
| Norway Experiment | Norway | 100* | 2.5 | cod/redfish | Isaksen (1990) |
| Canada and East Coast N.A. | Newfoundland | 75 | 6? | cod | Anon. (1992) |
| Nova Scotia | 94 | ? | cod/redfish | Brothers (1992) | |
| Quebec | 96 | ? | cod/redfish | Brothers (1992) |
* For cod and haddock >16–17 cm.
The recent successes with TEDs and the NG have raised hopes that further tests using the grid concept or other behavioral-based strategies can lead to improvements in “bycatch reduction devices” (BRDs) for groundfish trawls (Anon. 1982). With the growing concern over discards, research on an increasing number of different styles of separator trawls for groundfish species has surfaced in the late 1980s and early 1990s (Anon. 1987a; Anon. 1987b; Anon. 1987c; Boudreau 1991; Campos 1991; DeAlteris et al. 1990; Hillis and Carroll 1988; Larsen 1990; Watson et al. 1986). These experiments have reported success in separating different species, with the separation of flatfish proving the most difficult. Mori (1986) reviews a series of experiments involved in the development of selective trawls in the North Pacific region. Success was reported in the reduction of chinook salmon catches while maintaining the catch rates of pollock. In a number of experiments, salmon and other non-target species catches were reduced. However, target species catches were also lower.
Despite some 30 years of experiments with sorting trawls and the use of net selectivity to reduce the capture of undersized target and non-target species, the adoption and continued use of such gears has been limited until recently. Such gears have frequently been adopted only in response to regulations. Although theory would suggest behavioral differences will ultimately lead to significant gains in separation efficiency, in most instances such advances occur over lengthy periods of experimentation and have associated costs questioned by those being asked to adopt new systems. These costs must ultimately be weighed against the assessed damage of bycatch, but the apparent success of the NG and its adoption as a required fishing method in several areas of the world is encouraging.
By far the bulk of the fishery literature concerned with fishing gear behavior experiments directed toward solving discard problems is concerned with shrimp and bottomfish trawls. However, a small number of interesting studies associated with other gear types shows fisheries continued progress toward solving bycatch and discard problems. Selectivity studies on longline hooks have shown that a reduction in the small fish catch can be achieved by adjusting hook size (Yetman et al. 1991; Bjordal 1989), while studies by Lokkeborg (1990) suggest reduced catch of undersized cod can be achieved by using artificial bait. In this regard, the reduction in small fish (cod) in line fisheries has been reported to be attributable to increased bait size (McCracken 1963; Johannessen 1983; Ralston 1982). However, LØkkeborg (1990) suggests the selectivity may also be a function of discriminating between the different shapes of natural and artificial baits and other feeding behavior phenomena. Lokkeborg and Bjordal (1992) conclude hook size and bait are the major selective characteristics of line gear during fishing in any particular location.
An interesting solution to a bycatch problem involving seabirds has recently been reported by Lokkeborg and Bjordal (1992). Fishermen using longline gear off the coast of Finnmark, Norway, frequently encounter seabirds which attempt to remove bait from the hooks as the gear is set. This results in a significant bait loss and, at times, bird mortality. A simple bird “scarer” consisting of streams of yellow tarpaulin attached to the mainline by swivels at intervals of 5.5 meters was tested. In four skates (200 hooks/skate), the bait loss was 26.3% and 13% for mackerel bait and squid, respectively, using the scarer, while tests without the scarer resulted in 69% and 18.2% bait loss, respectively. No birds (fulmars) were taken when the scarer was used, while three birds were captured when the scarer was not employed. Similar techniques have evolved in Australian fisheries (Anon. 1991a, 1991b, and 1991c).
A variety of experiments using acoustic modifications to drift gillnets has been designed to attempt to reduce marine mammal catch (Dawson 1991a; Danns 1991; Snow et al. 1987), but results to date have not been encouraging. Dawson (1991a) notes “no species common in intensively gillnetted areas appears to avoid entanglement completely.” Nelsen and Lien (1992) note solutions are possible regarding the marine mammal fishery gear problem, but suggest “cooperative investigations, including gear technologists and fishermen, as well as marine mammalogists and experts in other areas, such as engineering and acoustics” may be needed. (See also “Other Perspectives on Incidental Take” in Young et al. 1993.)
Several rather unique gear alternatives with lower bycatch rates than trawls or various artisanal gears rates have been reported in recent years. In Mexico, a new fishing device called the “Suripera” has been introduced into the inshore shrimp fisheries, reducing bycatch on the east coast of the South Sea of Cortes to 20% of that taken by traditional castnets (Chavez 1992). Further, the nets are reported to be three times more efficient than the traditional castnets. However, the author concludes by noting “the scarce information available about the fishery operations is not conclusive and full characterization of this net has to be done in order to assess accurately the conditions for optional operations.”
In the Pohai Sea, a shrimp driftnet with “no bycatch was introduced in the early 1970s” (Ye 1992). The author notes that “with several years observation, the result with driftnets to fish Chinese shrimp is satisfactory.” The use of pots as an alternative harvesting mode has also been suggested for the Australian northern prawn fishery and in the southeastern U.S. (Whitaker 1992; Buckworth 1992).
A clear example of the potential benefits involving a combination of fishermen training and technological solutions to a major bycatch problem is reflected in the efforts to reduce dolphin mortalities in purse seines in the ETP. Major advances responsible for the dramatic decline in the number of dolphins killed include development of the backdown technique and efforts spent to modify the design of tuna seines. Modification resulting from these efforts include (1) adoption of the Medina panel, (2) use of skiffs to prevent collapse of seines, (3) use of speedboats to prevent net collapse, (4) use of rafts and swimmers to release trapped porpoises, (5) optimized set orientation and background maneuvering, (6) pear-shaped snap rings (National Research Council 1992), and (7) coordinated international education efforts (Platt, personal comm.). Recent estimates suggest the mortality imposed on porpoises caught in nets is only about two tenths of one percent (0.16%).
Ethical concerns and the decision of U.S. buyers to boycott tuna caught in association with porpoises has shifted sectors of the U.S. fishery from setting on dolphins to setting on logs or other floating objects and on free-swimming (non-associated) tunas. This shift has greatly increased the bycatch of juvenile yellowfin tunas and other fishes47, and the current practice may have a greater biological/ecological impacts (Hall/IATTC pers. comm.) than continued fishing on porpoises using the improved methods noted above.
Short of an outright ban on fishing, no action would likely contribute more to the resolution of bycatch problems than the reduction of fishing effort. Many of the world's fisheries are overcapitalized and regulated under open-access regimes. All too frequently, open-access, overcapitalized fisheries move toward shorter and shorter seasons as available quotas are rapidly being exhausted by more and more effort. The pressure on each fisher to harvest as much fish as possible before closure leaves little time to search for “bycatch-clean” fishing grounds, thus reducing aggregate bycatch takes, or to sort through the catch carefully and return non-target individuals quickly to the ocean, thereby reducing discard mortality rates. As an extreme example of this characteristic, fishers participating in the one-to two-day “seasons” now typical of the U.S. Pacific halibut fishery fish their gear to the last possible moment before severing the longline gear as the fishing period expires. Large quantities of gear that can continue to fish are left in the water (Wade 1993).
Murawski (1993), Alverson (1992a), and others have advocated an overhaul of the fishery management regime, including extensive reductions in fishing effort to reduce bycatch problems. If fishery resources are overexploited by an overcapitalized fleet, the benefits of such actions are clear. With less effort deployed, non-target species incidental to target species harvests decline along with lower target species removals. Depending on the method of effort control, harvests might proceed at a reduced pace because the race for fish could be less intense. In such instances, since fishing would not be as frenetic, more time should be available to search for grounds with fewer bycatch problems or to improve the effectiveness of the sorting process. While the race for fish may have slowed, it remains a race. Consequently, lost fishing time is still lost money, and so the bycatch benefits derived from a slower pace may be less than hoped for.
47 Other fishes includes the catch of turtles.
The effectiveness of an across-the-board reduction in effort is less apparent when target species harvests are successfully capped by catch quotas. In this instance, reductions in effort will be associated with little, if any, drop in target species removals. Aggregate bycatch removals before and after the effort reduction may differ somewhat from one another. Only the potential bycatch benefits tied to a more rational harvest pattern can be expected to emerge. As already mentioned, the degree to which these benefits accrue is largely a function of how individual fishermen respond to the presence of longer seasons. If they use the time to improve their target to non-target catch efficiency, bycatch removals could drop significantly. If they instead remain focused on their goal of maximum target catch rates, changes in bycatch removals probably will not be observed.
To date, few effort reduction programs have been implemented successfully. This paucity can be attributed to a number of reasons, not the least of which have been the economic impact to fisheries, costs to government, and political opposition allocating public resources to selected individuals. However, bycatch concerns broaden the fishery playing field considerably. New groups, in addition to traditional industry interests, are becoming active participants in the decision making process. Their concern over bycatch and its potential consequences, be they real or perceived, have been an important reason for the elevated level of attention these new groups are directing at fisheries. If this attention leads to effective measures to deal with bycatch, such as effort reduction programs, these changes will carry considerable benefits for other aspects of fisheries management as well. Bycatch has always been an artifact of the fishing process, but it is perhaps naive to assume that overfishing and overcapitalization of fisheries will be resolved in the foreseeable future. Thus, it becomes increasingly important to focus attention on all possible alternatives for achieving reduction in discard mortalities.
A number of authors, including Iudicello and Leape (in press), Hughes (1992), and Thornburgh (1992), have suggested bycatch and discard problems can best be resolved through placing responsibility at “the individual vessel level.” Hughes notes “Managers have many tools with which to regulate bycatch. Their favorite seems to be time and area closures plus mesh size.” But he further notes
More often than not, in Alaska, regulations which close chunks of fishing grounds to address some bycatch problem one or two years previously have created a multitude of new bycatch problems as a result of forced changes in fishery effort and normal yearly/seasonal changes in distribution and abundance of both target and bycatch species.
Hughes and others urge incentive/disincentive programs as a significant tool to reduce discard problems. Solutions are founded on the premise that given incentives, individuals will use their knowledge of gear and the fishing grounds to reduce the capture of unwanted species and maximize their catch of target species. Incentive/disincentive programs are a means by which the choices of individual fishers can be bent towards improvements of bycatch and other management problems. While they do have their deficiencies, namely in complex multispecies fisheries where incentives and disincentives are difficult to clearly identify, they have been and are being used to reduce bycatch rates substantially.
Until the late 1970s and 1980s, the Japanese and other foreign nations had more or less free access to the large groundfish resources of the Bering Sea and Gulf of Alaska. After passage of the Fishery Conservation and Management Act by the U.S. in 1976, however, U.S. domestic groundfish fleets began to grow. Priority access to U.S. groundfish resources was granted to U.S. fishermen. Foreign fishers were left with only the amount of resource U.S. fishermen could not harvest.
Accompanying this restricted foreign access to U.S. groundfish resources was the opportunity for comprehensive data collection programs on board foreign fishing vessels operating in the U.S. Exclusive Economic Zone. Trained fishery observers were placed aboard all foreign groundfish vessels in U.S. waters, the first in-depth insights into the nature and scope of the bycatch problem in these fisheries.
As discussed in other chapters of this volume, bycatch in the North Pacific groundfish fisheries includes several species of crab, halibut, and salmon which form the backbone of other valuable fisheries in the region. Now that on-board observers were collecting information quantifying the extent of this bycatch in the foreign groundfish fisheries, these U.S. fishing industry groups clamored for tighter controls on the foreign operations. U.S. fisheries managers responded to these demands which called for foreign fishing nations to reduce their bycatch rates to agreed-upon rates. Failure to drop their rates to the agreed-upon levels meant either immediate expulsion from the fishery or a low chance for quota access when application was made for the next fishing season. Incentives to fish cleanly and stay in the fishery were clear. Perhaps more important, not only were the disincentives to reduce bycatch rates obvious, but there was also little doubt they would be enforced.
The response by the Japanese to this system of incentives and disincentives was remarkable. In the following excerpt from a letter from the Japanese Fisheries Association to the North Pacific Fishery Management Council,48 it is clear when the incentives and disincentives are evident to individual fishers, significant improvements to the bycatch dilemma can be made:
The Japanese fishing master and captain for each vessel developed their own techniques for avoiding bycatch under Amendment 3.49 These techniques were developed based upon the physical conditions of the fishery and within a management framework which both encouraged and permitted bycatch levels to be reduced. Fishing methods were modified depending upon current physical conditions surrounding the fishery. These modifications were conventional. They included adjustments in trawling depth and speed, gear modifications and shifts in fishing times and areas. The Japanese do not believe there are any particular techniques or secrets which can be explained to the Council. The modifications were the result of experimentation and years of experience in the fishery.
But we do note changes in the fishery and its management which are substantially different from the mid-1980s. It is our understanding that some of the bycatch resources have increased in abundance which may affect bycatch rates. But more importantly, the bycatch management framework within which the U.S. fleet operates is quite different from the framework within which the Japanese fleet operated. The Japanese government and industry developed an internal allocation management framework which forced a reduction in bycatch rates but allowed the Japanese vessels to make the necessary adjustments in the most efficient manner.
Under the Japanese management framework, the national allocation for each directed and bycatch species was first allocated among three Japanese vessel associations with member vessels licensed to fish in the U.S. zone. Each association would then further allocate each species among the member vessels on a vessel-by-vessel basis. This vessel allocation system forced each vessel to maintain its bycatch within the vessel allocation for that species. There was no common pool for either directed or bycatch species from which a vessel could fish and there was no internal reserve established to provide relief should a vessel exceed its allocation. If the vessel allocation was exceeded for any one species for which the vessel had an allocation, the vessel had to return to port.
This rigid self-imposed allocation scheme helps explain why the Japanese bycatch rates were so low. Japanese fishing masters had to be conscious of their bycatch rates at all times to keep the bycatch well within the vessel allocation and ensure an adequate margin of safety for continued vessel operations. Otherwise, the vessel could be prematurely eliminated from the fishery with only a few bad tows. The result was an accumulated savings by the entire fleet. Similar savings would not seem possible under the current system wherein the total bycatch only is monitored and the fishery is closed when that bycatch allocation is reached.
A specific example may be more meaningful. In 1985 Japan received a 199 mt allocation of sablefish in the Bering Sea for bycatch only. This 199 mt was further allocated among the Japanese vessels licensed for the U.S. fishery. One particular smaller trawl vessel received an internal vessel allocation of 1.48 mt of sablefish for the entire year. The highest rate of incidence of sablefish, when taken, was experienced in the turbot fishery for which the vessel had an allocation of 508 mt. Through September of 1985 the turbot catch was 461.1 mt. Yet the total incidental catch of sablefish was only .84 according to the vessel reports and .695 according to the observer reports. By October 5th of that year the entire Japanese fleet had taken only about 56 mt of sablefish from the total 199 mt allocation. The system forced each vessel to minimize bycatch rates in order to ensure continued operations within vessel limits.
I can still recall severe internal repercussions resulting from this management system. If a vessel was approaching its bycatch allocation for a certain species, the pressure was really put on the vessel to make the adjustments necessary or leave the fishery when the vessel bycatch allocation was reached. Observer reports were also monitored carefully and we would immediately contact the observer program if we felt adjustments in the observer reports were warranted. It was also possible for vessel owners to purchase unused bycatch allocations from other Japanese vessels. But this opportunity was rare since the Japanese vessel operators did not want to give up any allocations received even though the vessel may have fished only a few days during the year. When all else failed, the vessel was ultimately forced out of the fishery when its allocation was utilized.
Although the system was severe on bycatch, it provided the opportunity for each vessel to develop its own fishing plan to ensure efficiency in the utilization of its allocations throughout the year. This opportunity was provided through the similar allocation of target species on a vessel-by-vessel basis. The Japanese management philosophy underlying this allocation system was to eliminate the competition for resources on the fishing grounds. Each vessel could develop its own season for fishing based upon a combination of marketing, resource and vessel allocation factors. The vessel could then pursue its fishery plan at its own pace without fear that target fisheries would be closed before its individual vessel allocations would be harvested.50
Of course, not all applications of an incentive/disincentive programs may be as successful as described above which draws on many aspects of the quota systems to be described in the following section. In complex multispecies fisheries it may simply be impossible to eliminate the bycatch of some non-target species. In some fisheries it may be difficult to find the appropriate mix of incentives and disincentives to achieve bycatch reduction goals. In still other instances, legal and due process realities may block the implementation of an effective incentive/disincentive program. Political maneuvering may impede the development of systems that are not only effective but are also fair. Furthermore, many require a comprehensive observer and data collection program that may be too costly to put into place in some fisheries.
What the example has shown us, however, is that if incentives and disincentives have tangible results for the individual fishermen, they have a good chance of working. The Japanese in the Northeast Pacific realized the penalty for failure to lower discard levels of halibut meant the elimination of an important source of revenue and protein. To them, it was far more costly not to reduce their bycatch than it was to act to improve their target/non-target catch ratios. The fact they were able to do so should not only be of great credit of the involved fishermen, but also be encouraging to those seeking a management strategy with a high chance of reducing aggregate bycatch removals while allowing the fishery to continue.
The opportunity for short-term economic gain is all too often at the heart of fishing practices that lead to waste and inefficiency. Long-term benefits that would accrue due to more restrained approaches are sacrificed for near-term financial opportunities. Next month's boat payments are of more immediate concern thannext year's stock size or the fishery's viability the year after that. Thus commences the free-for-all race for fish. Every fish I do not catch today is one more left for the next vessel to harvest tomorrow.
Unlike open entry management systems, ITQs attempt to address head-on the challenge of the short-term perspective of most fishers. By relating tomorrow's fishing opportunity to today's actions, ITQs begin to change the time horizons of fishers from short to longterm. In so doing, they may create the opportunity for resolution of the bycatch problem.
ITQs provide ownership rights to the fishery resource. As with other property, if it is well taken care of, its value will generally strengthen. If abused, its value may very well fall. ITQs are based on the premise that fishers who own a portion of the fishery resource will be prone to use it in a manner enhancing rather than detracting from its value. Effort limitation and all of its advantages are a necessary part of a successful ITQ program. The transferability of quota permits a distribution of fishing access to those who best can use it and to dismiss excess effort in favor of economic efficiency.
Although few ITQ systems have been implemented, those which are in place have been generally successful, aside from an often stormy period of transition and adaptation to the new approach. New Zealand's ITQ system is the broadest to date. While opinions differ on how successful it has been, it is generally agreed the system is working more or less as intended.
Most ITQs have been designed with the control of target catch in mind. Nevertheless, ready application of ITQs to bycatch management can be made. ITQs for bycatch might not only control the aggregate discard levels but also permit the distribution of bycatch to the most efficient users of the resource. If a given vessel runs out of bycatch quota, additional amounts can be purchased from boats with quota remaining. Of course, as remaining bycatch quota becomes more scarce, the per unit value of that quota increases and the true value of bycatch to the fishing process becomes evident. Boats which have not fished cleanly are now forced to purchase bycatch quota at market values in order to continue to fish. Vessels which have experienced low bycatch rates throughout the fishing season have quota remaining either to sell or to use themselves until the quota or the target species catch levels are reached.
Bycatch ITQ systems are thus an amalgamation of effort reduction and incentive/disincentive programs. At worst, effort is capped in order to introduce an ITQ. At best, it is reduced through buy-back programs. Strong and unavoidable economic incentives emerge to fish cleanly in order to continue to fish when other operations have been terminated. Disincentives linked to lost fishing opportunity are also obvious.
Unfortunately, there are also downsides of ITQ systems. Management and regulatory costs associated with them can prove expensive. Opportunities for entry of young fishers may be limited by the high costs of obtaining the necessary permits and quotas. igh-grading and mislabeling can be considerable. So the applicability of an ITQ system and its contribution to bycatch reduction must be assessed on a case-by-case basis.
But because of its inherent advantages (an implicit drop in fishing effort, tangible bycatch reduction incentives, definition of the true costs of bycatch, a transition from a short- to long-term planning horizon), from the perspective of reduced bycatch, ITQs appear to us to be an appropriate management strategy if they can be properly managed and enforced. Clearly, effort reduction and significant gains in lowering bycatch could be achieved, but without adequate incentives or disincentives, the success of effort reduction programs will be incomplete. And finally, if fishers perspectives remain on the shortterm, battles will continue to be fought about the appropriateness of particular incentives and disincentives.
This integrative capability makes ITQs all the more difficult to put into place. Managers who attempt to do so are attempting to bring not one or two pieces of the puzzle together, but rather the whole package. To do so successfully will require as much cooperation and consent from industry and non-industry groups and as little self-serving political maneuvering as possible.
In addition to bycatch reduction resulting from the employment of appropriate mesh, hooks, net designs, new fishing gears, and improved fishing methods, several authors suggest reductions in discards can be achieved through time/area control of fishing activities. It has been observed the collective experience of fishermen provides them with an opportunity to allocate their fishing activities in a manner that could significantly reduce bycatch levels (Alverson 1992a; Marasco and Laevestu 1992; Murawski 1992; NRC 1991a; Wilson 1992). The ability of fishermen to extract species from their environment at rates far in excess of their relative abundance in the biological community and to minimize bycatch of much more abundant species is reflected in Table 41, providing information on the percentage of target species taken in the catch versus the percentage of the demersal fish biomass each target species comprises in the Bering Sea. For example, the large-scale pollock trawl fishery in the Bering Sea on average captured 99% pollock with less than a 1% bycatch (in 1992), while as a species it constituted 42% of the demersal fish biomass. Fishermen targeting on Greenland turbot catch, on average, 64% turbot in the nets, although the species constitutes only 2% of the bottomfish biomass.
| Target Species | Target Species Percent of Total Catch in Each Target Fishery | Percent of Overall Demersal Species Biomass |
|---|---|---|
| Pollock | 99% | 42.0% |
| Yellowfin sole | 67% | 16.0% |
| Cod | 72% | 5.0% |
| Rock sole | 56% | 9.0% |
| Pacific Ocean perch | 16% | 0.9% |
| Greenland turbot | 64% | 2.0% |
Adlerstein and Trumble (1992) suggests that “time/area management can work under proper circumstances. It is most effective if a species (or complex) will clearly be absent from an area.” However, he also notes that “to the degree overlap occurs of protected species, the effectiveness of time/area closures declines.”
The report also observes that diel differences in distribution may sharply alter bycatch rates (Adlerstein 1992; Clark 1990).
Murawski (1992) notes the main objective of time/area management strategies should be to “take advantage of naturally occurring varieties in the degree of co-occurrence between target and bycatch species.” However, most authors, including Murawski, conclude “in practice it has been difficult to establish fishery times that will consistently meet the bycatch objectives.” In addressing the use of time/area solutions, Murawski (1992) concludes:
Any bycatch reduction plans involving time/area manipulation of the fishery must address the following considerations: (1) Will the proposed solution be economically viable? i.e., the bycatch problems may be mitigated, but the fishery may not be profitable. (2) Does the proposed solution result in consistently lower bycatch rates? (3) Can the program be effectively implemented and enforced?
Closed areas are used in many parts of the world to control bycatch mortalities. However, the contribution or effect on overall mortalities has only infrequently been addressed. Rijnsdorp and van Beek (1991) have evaluated the introduction of the “plaice box” in an area of the North Sea closed to trawling spring and summer. The report states “the plaice box in the German Bight, installed by the EC in 1989 to protect undersized plaice, has a beneficial effect on the survival of undersized soles.” The expected gain51 in sole recruitment resulting from the closure is estimated at 11%, and 14% if the closure were extended throughout the year. Chapter 9 notes a somewhat different consequence of a similar “cod box” which led to little evidence of conservation gains. Trumble (1992) states closed areas to foreign fishermen in the Bering Sea had little impact on bycatch rates.
Reductions in bycatch and discards may also follow implementation of regulations based on public, political, or managerial views that observed levels are unacceptable because of (1) the perceived biological or ecological impacts to ocean resources or the environment, (2) economic impacts generated by one sector of the industry on another, and (3) ethical concerns. The establishment of a series of declining bycatch quotas in the U.S. purse seine tuna fishery in the ETP reflected both conservation and ethical concerns. Elimination of the high seas driftnet fishery involved perceptions of waste and conservation and ecological issues, as well as ethical concerns. Results in such instances may be dramatic in terms of bycatch reduction, but also devastating to the involved user groups.
Regulatory reduction in bycatch levels may also take the form of established bycatch quotas for various sectors of the fishing fleets. In the Northeast Pacific, Gulf of Alaska, and Bering Sea, discards of certain species characterized as prohibited species are mandated by law to prevent “the surreptitious targeting of those highly valued species” (Wilson and Weeks 1992). For each identified prohibited species, such as salmon, halibut, crabs, and herring, sectors of the fleet have been allocated “prohibited species catch” (PSC). When the PSC is reached for a particular target species in a regulatory area, the fishery is closed, thus requiring the offending fleet to seek access in an alternate area or to terminate fishing activities. The socio-political discord between competing sectors of the fleet is often minimized by this approach, but the overall economic benefits that might flow from the fishing area may be significantly reduced (Amjoun and NRC 1991; Marasco 1992; Wilson and Weeks 1992). Further, the required discard of significant numbers of dead fish having high or low market value is considered by many users as socially unacceptable.
Although reduction of bycatch through gear elimination or fixed quotas may seem harsh to some sectors of society, it is deemed a necessary step by others to achieve their conservation and environmental goals. Iudicello and Leape (in press), in a paper examining regulatory measures for controlling bycatch, state:
From the conservationists' point of view all the organisms in the sea have a value--in place inchoate. In our view there has yet to be recognition that bycatch is a symptom of a larger problem: a fishery management system that is still in the development mode when it is time to be in the precautionary mode.
Finally, the amounts of discard may be aggravated by regulatory regimes which (1) use time/area controls to mitigate losses to one species, but do not consider bycatch and discard effects on other species in more intensely fished alternate areas or in the same areas by alternative fishing gears or methods, (2) allow fishing effort greatly to exceed that required to attain sustainable annual harvest levels, (3) allocate catch of a particular species to a single gear type without regard to, and the time/areal catch composition of, different gear types, and (4) promote “Olympic” type fishing activities.
Numerous authors (Murawski 1994; Alverson 1992a; Morrissey and Robles 1992; Thornburgh 1992; Andrew and Pepperell 1992; Gulland and Rothschild 1984; Saila 1983) have proposed that the discard problem can be resolved, at least in part, through broader use of the species being discarded. The solution to many world shrimp discard problems has focused on broader utilization of the discarded species (Snell 1978; Herzberg and Shapira 1978; Elsy 1986; Barratt 1986; Mocking and Machava 1985; Luna 1981; Musuishi 1981; Peterson 1981).
Considerable attention to this approach has occurred in tropical ports of Asia, South America, North America (Mexico) (Pauly and Neil 1992; Blake and Bostock 1991; Gordon and Blake 1991; Gordon 1991, 1988; Suwanrangsi 1988, 1986; Ordonez 1985; Bung-Orn 1982; Lemoine 1982), and historically in the fisheries of Asia. Nevertheless, this pattern has been deteriorating throughout much of Asia as more modern large shrimp vessels have been introduced into the fisheries of this region.
Ames (1993, pers. comm.), observing the expanding use of discards in world shrimp fisheries, comments:
Our work with the Bay of Bengal (Blake, Bostock, Gordon, etc.) was intended to clarify the economic feasibility of landing bycatch for sale, according to quality and size, as wet or dried fish or crude fish meal. Women's cooperatives did the sorting, salting, drying, and marketing, but unfortunately the sale price of the product was not sufficient to cover processing costs and the minimum price paid to the trawlers.
A different situation exists in Mozambique, where we are currently working. There has been a civil war in Mozambique for about twenty years, and there is a famine or serious food shortage in much of the country. Any quantity of fish, even a small batch of mixed species, can be sold readily, and there is a particular need for dried fish which can be transported inland. Shrimp trawling provides one of Mozambique's few sources of foreign exchange. Clearly, in this context landing the bycatch would help to meet the country's major needs. Accordingly, DANIDA is providing collector boats to bring bycatch ashore…. The bycatch is partly salted at sea and then it is landed at processing stations equipped with salting tanks and drying racks. The dried fish is sold at a profit, and there is clearly an unsatisfied demand for it…. Experienced fishermen seem very willing to take over the boats on contract. Since the DANIDA/ODA project was planned (in about 1986), fishermen with canoes have started to collect bycatch, and this is evidently more profitable than fishing. Dugout canoes go out to the trawlers and bring back quantities of up to 500 kg of bycatch. Traders buy the landed bycatch on the beach, for sale locally as wet fish or for salting and drying.
Since 1983 in northern Madagascar, FAO has carried out a small project for the utilization of bycatch assisting the coastal communities to collect the bycatch at sea and process and market it through traditional channels (Teutscher 1994, pers. comm.).
Expanding species use or utilization of smaller size fish could, on the other hand, negate certain conservation goals of management agencies if overfishing is already a problem for directed or non-target species or if the bycatch mortality is resulting in undesirable changes in the biotic complex of a region. There is also the ecological debate of whether discarding is a problem in terms of environmental degradation or whether discarding supports unnatural food supplies for certain marine populations.
In searching for measures to reduce levels of discards, all the tools available, including regulation of gear, establishment of time/area fishing patterns, adoption of new technologies, rationalization of management regimes, and overall control of fishing effort, must be considered. It is unlikely any single approach can be universally applied. In our view, national and international adoption of one single principle will go further and deal more expeditiously with the global bycatch issue than any other combination of possible solutions, that is, to reduce effort on overfished stocks. In this respect, Murawski (1993) notes: “One contributing factor to the seriousness of some bycatch problems is that in some cases whole communities of resources are subject to systematic overfishing.” The reduction of overall effort in these situations will not only improve yields of target species, but will also reduce the mortality on non-target species.
In the review of the Northeast Atlantic bycatch problem presented in Chapter 7 of our report we observe:
An alternate approach [other than gear, etc.] to bycatch problems may be using direct conservation measures (reduction-in capacity, effort of catch) to reduce the load of fishing mortality on target and incidental catches alike. This may be sufficient in some cases to reduce the impact of the bycatch to acceptable levels. In other cases it may increase the profitability of the fishery and serve to reduce the rate at which fishermen discount future benefits and losses. This approach may increase the time horizon of fishermen who may find technical measures more acceptable. Thus, this approach may increase the acceptability of measures intended either for the long-term benefits of fishermen or the marine environment.
Considering the current state of world fisheries and the obvious significant increase in the numbers of overfished stocks, many suffering from growth or recruitment overfishing (Figure 17) (Alverson and Larkin 1992; FAO 1992b; NOAA Status Report 1993), the highest probability of a significant short-term reduction in bycatch would seem to result from the conservation of currently overfished stocks, in particular those subject to growth overfishing.
Nevertheless, we urge that managers and nations seeking solutions to bycatch problems consider carefully the full spectrum of management options available. Governments should concentrate on an aggressive program and develop harvesting technologies, incentive/disincentive programs, and other strategies reducing harvest levels of unwanted or prohibited species, and discard mortalities. The record also clearly reflects sustained bycatch reduction involving development of new gear types is unlikely to come easily and must be based on (1) a fundamental understanding of the behavioral differences of species and the mechanical differences in the sorting that make selection possible, (2) operation requirements and limitation of vessel operators, (3) time, space, and environmental changes which may influence the nature of the results, and (4) persistent and dogged pursuit of the objectives (Pikitch 1992).

figure 17 World fish catch (metric tons) and numbers of overexploited and underexploited species, 1980–1991. Source: FAO and NRC. 66
Over the past fifteen years, bycatch has become a topic of discussion in a variety of scientific, technical, and political forums. It has emerged as the “fishery management issue of the 1990s” (Tillman 1992). It is, therefore, somewhat ironic that the term “bycatch” is so frequently undefined and misused by managers, politicians, advocacy groups, and frequently even fishery biologists. Its contemporary application among most of these groups is generally synonymous with the capture and discard of marine life by fishing fleets resulting in waste, unreported fishing mortality, and threat to the survival of populations of birds, marine mammals, and other sealife.
The definition of “bycatch” used in a vast majority of technical/scientific papers, often the factual bases for formulating conclusions on the extent of biological loss and unreported catches, is all species captured other than target species. Thus discards may constitute a small-to-significant fraction of the identified bycatch, depending on the nature of the fisheries and local customs. For example, Andrew and Pepperell (1992) and the authors of this paper estimate the upper range of bycatch taken in the world shrimp fisheries to be in excess of 16 × 106 metric tons.
Yet throughout much of Asia and many of the world's artisanal fisheries, a variable share of the shrimp bycatch may be species retained for food or industrial purposes. Although discards in tropical shrimp fisheries are generally high, it is considerably less than the total reported bycatch, so it is important not to associate estimates of total bycatch with world discards of marine fishes. Further, discard rates and numbers may misrepresent the impacts because for a number of species some fraction of the discard survives. Without good estimates of the biomass discarded, the fraction of which survive, unobserved mortality and other fish-related losses, and the landed catch of a particular species, it will be impossible to assess overall impacts of fishing. We need to know the portion of the natural turnover which is killed.
The codification of international bycatch and discard policies, which vary regionally, has in many instances been in response to conservation and environmental groups concerned with impacts on marine mammals, turtles, and seabirds. In this respect, the impacts may only indirectly involve discard rates; rather, the quality of the bycatch and discards, including issues of ethics, may sharply influence regional policies. Further, regional policies on bycatch and discards may also be more concerned with socio-political or socio-economic consequences of selected discards than with overall bycatch rates of a particular fishery.
In some instances, regulatory policies appear to have been emotionally driven (Burke et al. 1993; Miles 1992a) and developed in the absence of available scientific evidence, while in other instances, actions taken to curb discards resulted in counter-intuitive results. Nevertheless, the magnitude of the problem and the potential range of the consequences have brought bycatch and discards to the surface as a legitimate management issue requiring serious national and international attention. To date, most bycatch policy has focused on high-profile species, marine mammals, birds, and turtles. However, in the past several years, policy development has included issues involving biological and ecological impacts, biological waste, and economic losses.
In order to achieve a global estimate of discard, we have at times been forced to use total reported bycatch estimates and from these data “back-out” rather subjective estimates of retained species. Our best estimates suggest the global discard is 27.0 million mt--a rather staggering amount. This number may be an underestimate in that world recreational fishery discards are not included, the database for most areas of the world is incomplete, and discard weights are not included for marine mammals, seabirds, and turtles, and for many areas, the discard of invertebrates. The discard ratios and rates are likely to appear excessive to many readers, but it is not the intent of the authors to condemn those who harvest the oceans' living resources. However, it has been the authors' goal to clarify the character of world bycatch problems and where possible provide information that may be helpful to managers examining potential solutions. The level of losses for many fisheries may not be particularly excessive in light of other industries, based on the use of natural resources (NRC 1990). Rather, it is apparent a substantial opportunity is available for improvement in utilization of marine living resources and protection of overfished, threatened, or endangered species.
The potential for errors in calculating estimated bycatch and discards is enormous in light of reporting procedures in which some equate bycatch with (1) total discards,(2) secondary target species and discards, and, (3) selected species within the bycatch complex. Different operational definitions and failure to define what sector of the bycatch is involved may have in some instances complicated our analysis and made calculations less precise.
Although the major objective of our study has been to estimate regional and global levels of bycatch and discards, we recognize a considerable portion of the report deals with northern temperate fisheries. This was not the intent of the authors, but acquiring data from many developing areas of the world proved difficult. Our estimates are based on numerous research and observer records made throughout the world. Nevertheless, there is a paucity of data from many regions, and many observations involve data taken over short time spans by a small fraction of the fleets or even single sampling efforts made by research vessels. Further, the quantitative data used spans a number of years and may not accurately portray the present situation. These and other data problems noted in Chapter 1 of this report make it frivolous to attempt to establish hard statistical parameters around regional and gear type estimates. In reality, the estimates constitute “snapshots” based on collages of observations having various degrees of reliability taken over different seasons and years. The ultimate understanding of the true scope, distribution, and magnitude of the bycatch and discard problem will require extensive documentation and acquisition of additional data from many regions of the world.
Thus, we urge our global and regional discard estimates be used as a provisional “best guess” of the potential magnitude of the discard problem resulting from fishing in the world's oceans. Further, we would hope this “best guess” will stimulate fishery researchers to collect and report adequate data leading to a more precise estimate. It must also be recognized that some portion of discards survive and thus are not lost from the ecosystem. In terms of finfishes, we see little evidence discard survival constitutes a significant portion of the discard for many commercial and recreational finfish species. Nevertheless, survival of flounders, dabs, invertebrates, and fishes not affected by rapid change in depth shows some promise for improved survival under constrained operational practices and appropriate handling (Pikitch 1993, pers. comm.).
During the conduct of the study, the authors became increasingly interested in the current total biomass of fish and shellfish removed from the world's oceans or killed as a result of fishing activity. Current world catch data suggest landings of about 98 × 106 mt (FAO 1992). These landings are frequently gauged against scientific estimates of potential sustainable yield of conventional species from the world's oceans' wild stock of about 100 × 106 mt. As a result, a number of authors have noted current world landings approaching the estimated maximum sustainable yield for world marine fisheries.
In making such reflections, such authors frequently fail to recognize this global catch total includes freshwater and aquacultural production. On the other hand, current reported world commercial fisheries landings do not include (1) discard mortalities involved in commercial fisheries, (2)recreational fish catches and bycatches taken from marine waters, (3) fish killed as a result of contact with fishing gear, that is, mortalities resulting from fish passing through net webbing or resulting from hooking of fish which subsequently escape, (4)ghost fishing mortalities, (5) under-reporting, (6) substantial subsistence catches and discards, and (7) landed catches of commercial fishes which are not purchased (rejects).
Using the 1990 landing report for marine fishes (FAO 1992b), about 83 × 106 mt and a discard figure of levels of approximately 27.0 × 106 mt, we arrive at a world marine catch of 110 × 106 mt without considering the six other noted categories involving fishery-related mortalities in marine waters. Even though a significant fraction of discards may not involve marketable species, it seems very likely the aggregate fishery deaths from fishing may be significantly over the sustainable yield estimates of 100 × 106. Of course, the 100 × 106 mt questioned by many scientists may be unrealistic, but in what direction? The point raised, however, is the total marine losses resulting from fishing is much greater than suggested by landing records.
The consequences of bycatch and discards, varying between regions, include (1) significant biological waste, (2) biological overfishing of target and bycatch species, (3) economic losses imposed on target fisheries, (4) modification of biological community structures in ecosystems, and (5) impacts on severely depleted, threatened, or endangered species. These impact categories are similar to those outlined by Fowle and Upton (1992) at the International Conference on Shrimp Bycatch.
Results of this study suggest scientific evidence does exist to support assertions that significant biological losses and ecological shifts in the biotic communities occur as a result of bycatch. Reports of bycatch suggest major bycatch and discard problems occur throughout the Atlantic. Other fisheries of the world having high discard rates include (1) most tropical and subtropical shrimp fisheries, (2) trawl and seine bottom fisheries, as well as northern shrimp and Nephrops fisheries in the North and South Atlantic, (3) tuna seine fisheries in the ETP which set on logs,52 (4) North Pacific king and Tanner crab pot fisheries, as well as the yellowfin sole and rock sole trawl fisheries, and (5) a variety of pot fisheries for invertebrates throughout the world. For many of the above-noted fisheries, discards may equal or exceed in number or weight the quantities of what is landed and marketed. In total, millions of tons and billions of dollars of loss probably occur as a result of accidental capture and discard of unmarketable and marketable species. Much of the world's discarded fish appears to be small juveniles of commercially important species which, if left to mature, would produce significantly higher weight yields compared to the discarded weight. Finally, fishing discards impact a broad range of aquatic species other than finfish and shellfish species.
In the Northeast Pacific, the added fishing mortality resulting from discards does not appear significant for most gadoids, flounders, and other species, but the impacts of trawl, trap, and line fisheries on halibut is relatively large (about.08) and in terms of the allowed fishing mortality is about 0.3. Further, the potential impacts of the king and Tanner crab pot fishery on king crab populations may be significant, depending upon discard mortality. Reeves (1993) suggests Bering Sea red king crab discards amounted to about 16 million animals in 1990, more than five times the number landed. Many of these discards are sublegal (juvenile) individuals. The economic and biological implications of these discards, depending on discard mortality, may be a serious problem for red king crab stock dynamics and management.
In undertaking our study and discussing bycatch and discard problems with various elements of the fishing industry throughout the world, it quickly became apparent most commercial and recreational fishermen see bycatch as a problem confronting other gear types and user groups, but not themselves. Each user group tends to place itself on “high moral ground” and see other groups as the “culprits”. Further, most had strong personal feelings on the “dirty” character of various fishing gears, although few had ever seen or reviewed data on bycatch and discard rates, either for their own or for other fisheries.
The authors, too, had somewhat tainted and preconceived views regarding the magnitude of bycatch and discard rates we were likely to find for various fisheries. We were somewhat surprised the low bycatch and discard rates by gear type frequently involve high seas driftnets, both by weight/weight and number/number ratios. We noted the highest discard rates per number of squid taken, observed for the Japanese squid fishery, is 0.37, lower than for any other reported high gear-type fishery noted in the world except for American lobster pots (.22). Further, number-based bycatch rates for the remaining driftnet fisheries are lower than rates for all other gear-type fisheries throughout the world. High seas driftnet fisheries were commonly listed among the lowest observed bycatch rates by number.
Of course, we were not surprised by the high discard rates for shrimp and some trawl fisheries, but did not expect the very low discard rates for midwater trawls and the very high discard rates of sublegals in many invertebrate pot fisheries. With few exceptions, high and low rates occurred for each gear type, depending on area and times.
The fact that actual observations are often at odds with public perception is not surprising and is a reminder the perception of a gear's impact and whether it is “clean” or “dirty” has a strong qualitative overtone, in many instances, in terms of the character of the bycatch discarded. High seas squid driftnet fishing was in reality being condemned because of the take of birds, marine mammals, and turtles (some of which were considered endangered), plus the association with illegal salmon fishing in the areas to the north of the squid grounds. Further, documentation of the fishery was not transparent to other interested nations. Some of the phrases and words used to describe high seas gillnetting by the press have little basis in fact for many high seas driftnet fisheries. Nevertheless, they served to rally national and international political support to condemn the gear and have its use prohibited in ocean space beyond national jurisdictions. At the same time they created a perception that driftnets and gillnets are destructive fishing gears wherever they are deployed. As a consequence, driftnets and gillnets are now being condemned in areas under national jurisdiction, regardless of the character of their bycatch.
It is important to recognize the ratio of discarded catch to the retained catch frequently may have little to do with observed and documented biological or ecological impacts. Such impacts must be evaluated on a case-by-case basis in terms of the discard mortality imposed on target and non-target species populations. Low bycatch and discard rates may still generate serious impacts, particularly if the fisheries of concern involve significant and geographically dispersed fishing effort. Note, for example, the observed bycatch rate for turtles in the Gulf of Mexico and Southeast U.S. shrimp fisheries is very low and the actual encounter of turtles in the nets an infrequent event. However, the take in number of animals may be several tens of thousands, resulting in a discard mortality on turtles exceeding all other sources (Tillman 1992; National Research Council 1992).
Conversely, large observed bycatch of a species by number or weight may not constitute serious biological problems. For example, the large discard of pollock in the Bering Sea involves a very small fraction of the pollock population (on average < 1% of the exploitable biomass), and managers require the bycatch take to be tallied as a part of the authorized harvest. However, a much smaller catch of halibut in the same region by trawls, line, and pot gear has constituted a serious loss of fish that could be taken in the halibut line fishery. For both species a significant economic loss occurs to the involved fisheries.
The data suggest generic characterization of gear types as “clean” or “dirty” may easily run into counter-intuitive results. Note, for example, in the Bering Sea groundfish fisheries the discard rate for trawlers, on average (.15 kg/kg) is considerably lower than the average for longline fisheries (.22 kg/kg), yet just to the south in the Gulf of Alaska, the average discard rate for line fisheries is about the same as for trawls (.21 kg/kg for both gear types). Further, inter-gear observations may change from year to year.
Impacts of bycatch and discards at the population level must take into account numbers and weight discarded and the survival of the discards and equate the discard mortality in numbers or weight to the subject population. In this regard, the terms “dirty” or “clean”, based on observed rates, are rather meaningless, except as they may relate to the issues of biological wastage. Bycatch and discard problem represents too complex an issue to classify it neatly as “good and bad” or “clean and dirty,” based on ratios of discards to retained catch or on numbers, weights, or other absolute indices. Unfortunately, such classifications, combined with the “spin” placed on reported numbers or weights of discards by advocacy groups, the press, and politicians, often serve to condemn a particular fishery or gear and frequently may result in generic condemnation of such gear or fishery without regard to biological/environmental, economic, and cultural impacts. Further, this process is too often blemished by inaccuracies and misrepresentation of facts.
Taken out of context, a discussion of millions or billions of fish or thousands or millions of metric tons of catch serves as a powerful motivator of public opinion which, in turn, has a considerable impact on the evolution of fishery policies.
Efforts to find solutions to reduce bycatch and discards and maintain fish production have, in the past, involved the development of alternative technologies, time-area fishing patterns, incentives and disincentives, and the greater use of species taken. In greatly overcapitalized fisheries and those in which growth overfishing is obvious, the importance of controlling overall effort as a means of reducing bycatch and discards is apparent. However, the authors note quick, “easy-fix” solutions are unlikely and a dedicated national and international effort will be necessary to secure important conservation and economic goals associated with bycatch. Bycatch and discard reduction efforts should involve a clear and focused understanding of actual impacts and desired results. Reduction in bycatch for species suffering from overfishing or otherwise threatened or endangered should rank high among international goals.
In conclusion, the authors paraphrase the concluding observations of Iudicello and Leape (in press), in their paper entitled, “Regulatory Means for Controlling Bycatch.”
There needs to be a shift in the approach and accountability (in fisheries management): (1) Fishers need to prove that their current levels of bycatch in the short-term are unavoidable, and (2) management agencies need to use tools currently available and accept discarding as a problem to which government assistance should be directed. If conservation groups, governments and fishing groups commit to finding solutions, and there is a force of law behind policies directed towards reduction of discarding, a comprehensive program including (1) reduction in fishing on overfished stocks, (2) a combination of incentives and disincentives, and (3) new technologies as well as other alternatives could lead to significant reductions in the level of world's discards.
Finally, there is a growing global recognition that the world's fishing effort already exceeds what is necessary to harvest sustainable yields of marine fishes. The single action that will provide the greatest improvement to the bycatch and discard problem will be the reduction of these efforts levels. Without such control, other solutions to the bycatch and discard problem will be less effective and real success in our efforts to better manage the ocean's resources much more difficult.