![]() | FOOD AND AGRICULTURE ORGANIZATION OF THE UNITED NATIONS | ESN: FAO/WHO/UNU EPR/81/INF.4 September 1981 |
![]() | WORLD HEALTH ORGANIZATION | |
![]() | THE UNITED NATIONS UNIVERSITY |
INFORMATION PAPER NO.4
Joint FAO/WHO/UNU Expert Consultation on Energy and Protein Requirements
Rome, 5 to 17 October 1981
DIET AND THE PREGNANT AND LACTATING WOMAN
by
R.G. Whitehead and A.A. Paul MRC Dunn Nutrition Unit, Cambridge, U.K. and Keneba, The Gambia, West Africa
All expert committees responsible for defining recommended dietary allowances have reasoned that during pregnancy and lactation there should be a substantial increase in the intake of dietary energy, protein and other nutrients. The most recent group to consider the matter in detail has been the 1980 National Research Council Sub-committee of the USA (NRC, 1980) and their conclusions for pregnancy are summarized in Table 1, and for lactation in Table 2. What is not always realised is that these special increments make the recommendation for lactating mothers among the very highest of any sector of the community.
The amount of manual work a nursing mother does in contrast to that in the non-pregnant, non-nursing phase is obviously a major problem when one tries to define requirements, and this can differ considerably from community to community. In some societies in the world pregnancy and lactation are allowed to make no difference and women may continue with exhausting farming duties throughout. In other countries and social classes women are protected at this time and assume a more sedentary existence.
The incremental approach in defining RDAs
In the past RDAs for pregnancy and lactation have been derived on a simple incremental basis. It is instructive to consider the sort of assumptions that had to be made for lactation by the major committee setting dietary energy guidelines, the WHO/FAO Ad Hoc Expert Committee (WHO/FAO, 1973). They assumed the average mother should produce around 850 ml of milk per day up to 6 months. The total amount of extra dietary energy that would be required to make up this amount of milk is of the order of 135,000 kcal on the assumption that dietary energy is converted to milk energy with an efficiency of 90%. It was reasoned, however, that not all this energy would need to be supplied in the diet during lactation, since the mother should have laid down fat stores during pregnancy which could be utilized to partially fill the energy gap. On the assumption that the total fat store resulting from pregnancy was on average 36,000 kcal, it was concluded that the net extra need from the diet could be reduced to 100,000 kcal, or around 550 kcal/d. Since the energy needs of a moderately active woman were assumed to be normally 2,200 kcal/d, the total recommendation became 2,750 kcal/d.
It was realised, however, that if a mother breast feeds for longer than 6 months, and most in the developing world do so as a matter of course, the extra fat stores laid down in pregnancy would, by this theory, have become used up and thus, theoretically, the full dietary increment-amounting to some 750 kcal/d - would be needed beyond this time, bringing the total to 2950 kcal/d. Of equal importance, when a mother has to continue with heavy manual labour - again the usual situation in the developing world - baseline energy needs would be higher than 2,200 kcal/d. It is thus easy to see how the theoretical needs of lactating mothers in the developing world have been computed to be 3,300 kcal/d and more. This is why a mother can have, according to calculations based on current conventional views, by far and away the highest food needs of anyone in the whole family. As we shall see, however, there is a big gap between theory and reality.
The variability of maternal energy and nutrient requirements
The dietary demands of a less arduous life style such as we have in the UK are, theoretically, rather different. Only a minority of women lactate beyond 6 months and by and large most are not involved in heavy manual labour. These differences have been recognised in the latest NRC recommendations and a range of needs has been suggested. Thus, for example, women of 23 and over have been assumed to require anywhere between 2,100 and 2,900 kcal/d during lactation.
Comparable considerations have to be applied to pregnancy. Again, there must be a range of requirements depending on the life style of the mother. This variation cannot be over-stressed: it has all too often been ignored in the quest for the single recommended value which fits conveniently into a RDA table.
Specific nutrient needs for pregnancy and lactation
In the space available it is not possible to discuss in detail the specific needs for each individual nutrient, but one feature merits clarification. In general, a greater percentage increase in nutrient intake is recommended than for overall energy consumption (25%); according to NRC (1980) the increment for protein is 45%, for vitamin C 67%, for riboflavin 40% and for calcium, 50%. Thus, in terms of nutrient content per 1000 kcal, we are apparently recommending that a diet of better minimum quality is required for the reproduction-lactation cycle than under more normal times. This is something which needs to be examined much more carefully to see if it is indeed true. I fear one would be shutting one's eyes to reality not to recognise the improbability of a woman, especially one from poor socioeconomic circumstances, permitting herself to eat not only more food-but also food of higher quality than that of the rest of the family. Measured food intakes by pregnant and lactating women in the developing world
So much for theory - what happens in practice? Table 3 gives a summary of the food energy intakes of pregnant and lactating women from a number of countries in the developing world. It is quite apparent that these are dramatically lower than the recommended allowance, indeed some 40–60% lower. Nutrient intake data show similar massive discrepancies between theory and practice. Naturally the situation in the UK and other countries like ours, is different but by no means completely so and we can learn a lot from the way that women in the developing world appear to respond physiologically to protect both themselves and their babies from the worst effects of an inadequate diet. In spite of their very low intakes, and in spite of the fact that there is rarely a discernable increase in either energy or nutrient intake during pregnancy or lactation, most women in the developing world are able to deliver babies who are not dramatically smaller than those encountered in the UK, especially after differences in maternal height are taken into consideration. Furthermore, the amounts of milk they produce up to 6 months, although somewhat down, are still within the range of those measured in European and North American mothers. When it is remembered, moreover, that in the third world mothers continue to breast-feed up to 2 years, while their British counterpart has largely ceased by 6 months, their capacity for lactation is truly remarkable.
In view of the success of mothers from the developing countries, one is forced to ask the question, are the large increases in energy and nutrients recommended for pregnancy and lactation truly necessary? This is clearly a crucial consideration for national and international health planners, as well as those interested in the more fundamental aspects of nutritional science. In answering this question one extra factor, which is all too often ignored, must be borne in mind. Obvious though this should be, we must consider not only the role of the mother as a baby and milk producer, but also her wider role in life. She, like all other members of the community, is entitled to health, wellbeing and a fair share of joie de vivre.
Measured food intakes in wealthy countries
What happens to food intake in a country such as our own, where theoretical energy and nutrient needs to support pregnancy and lactation are likely to be lower than in the developing world but at the same time extra food is more readily available and within the reach of the majority of people's purchasing power? Table 4 provides data covering the past 20 years. While the older literature does suggest that some increase in food intake must have occurred during lactation, more recent studies are indicating that changes in food consumption are by no means to the extent recommended. Pregnancy seems to be accompanied by virtually no increase. In our own study of Cambridge women (Whitehead et al, 1981) for example, mean intake during the second two trimesters of pregnancy was only around 2,000 kcal/d, a level not significantly more than we have found with non-pregnant women and substantially less than the amount recommended by WHO/FAO (1973). Some increase was apparent during lactation (2,300 kcal/d) but once again, to a much smaller extent than recommended. Similar values have been recently reported by other authors (Table 4).
Energy balance, the outcome of pregnancy and lactational capacity
Although there are differences in magnitude, essentially the same physiological response can be seen in the Cambridge mothers as we have encountered in The Gambia. In spite of a lack of an increase in food energy intake, progress during pregnancy conformed to conventional standards of normality. As shown in Table 5, mean maternal weight gain was virtually the same as the standard amount of 12.5 kg, as was the amount of energy stored as fat. Mean birth weight was also normal for gestational age. In terms of energy balance, we then need to explain how it is possible that the average mother can increase her weight by 12.5 kg without increasing her energy intake.
Since the mothers were not demonstrably less active it would appear that, like their counterparts in the developing world, they must have been able to satisfy the additional needs of pregnancy either by subtle changes in activity or through an enhanced efficiency of metabolism.
A similar situation was also apparent during lactation. The basic milk output data for our mothers who went on to breast-feed their children are shown in Table 6. The amount of milk they were able to produce was indistinguishable from that which has been measured in a number of studies in other European and North American countries, including the now classical data of Wallgren (1944–5) collected in Sweden during the early 40s. Thus, as during pregnancy, the mothers were able to achieve a good physiological performance on considerably less food than conventionally believed to be adequate.
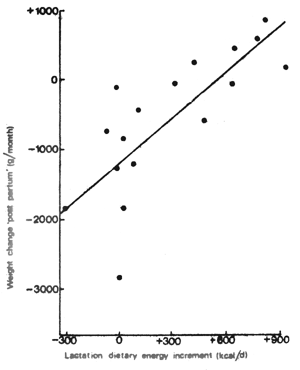
It is generally assumed that fat stored during pregnancy is the major additional source of energy which supports lactation: one source of the extra energy needed to synthesize the milk would be if the women were catabolising fat at an excessive rate and were thus losing weight more quickly. There was indeed a significant correllation between weight loss and overall energy intake during lactation (r = 0.56, p <0.01) and the relationship was even stronger when weight change was related to the increase in energy intake that occurred when mothers passed from pregnancy into lactation (r = 0.78, p <0.001). These data are shown in Fig. 1. It is readily apparent, however, that this quantitative relationship does not account for the total energy deficit, nor does it fit in with current theory concerning dietary needs during lactation and desirable rates of weight loss. For example, it can be predicted from the regression equation that if the mothers had all increased their food intake by 600 kcal/d to meet current recommended dietary allowances, they would lose no weight. For most women this would not be what they had been looking forward to! With the mean dietary energy increment for the group, 281 kcal/d, the mothers lost weight at an average of 570 g/month. Assuming that this was mostly at the expense of adipose tissue it can be calculated that this would provide only 124 kcal/d, still leaving on average 110 kcal of milk energy/d unaccounted for out of a total 515 kcal contained in a mean volume of 750 g milk produced each day.
Both pregnancy and lactation seem to be associated with a change in the overall physiology of the mother, with the result that the mother can metabolize dietary energy with a greater degree of efficiency. We have recently postulated that in The Gambia the extent of this ability to adapt is even greater than suggested by the UK observations (Prentice et al, 1981, in press).
Conclusion
What is the public health significance of our findings? It is obvious that we should be careful not to provide dietary advice to pregnant and lactating mothers following blindly current recommendations. In the UK it would appear that unless a mother is forced to be particularly active, no increase in food intake during pregnancy may be necessary. It could even be harmful if it led to unnecessary long-term obesity after the birth of her baby; there is little evidence that extra adipose tissue creates any particular advantage in terms of lactational capacity. Specific dietary advice to eat more in pregnancy should therefore be confined to those women where there is some contraindication in their clinical progress, principally a poor weight gain, otherwise they can be left to follow their own dietary inclinations. During lactation some extra food is certainly desirable, but in all probability the amount needed is not as much as we have been recommending. Clearly, however, we need to study this important subject in much greater detail before we can give advice which is less equivocal. The primary purpose of this paper is to provide a warning concerning the inadequacy of our present knowledge.
Table 1. Extra daily nutrient allowances for pregnancy (NRC 1980)
| Nutrient | Non-pregnant | Pregnant | Increase |
|---|---|---|---|
| Energy (kcal) | 2100 | 2400 | 300 |
| Protein (g) | 44 | 74 | 30 |
| Retinol (μg) | 800 | 1000 | 200 |
| Vitamin D (μg) | 7.5 | 12.5 | 5 |
| Vitamin E (mg) | 8 | 10 | 2 |
| Vitamin C (mg) | 60 | 80 | 20 |
| Riboflavin (mg) | 1.3 | 1.6 | 0.3 |
| Nicotinic acid (mg) | 14 | 16 | 2 |
| Vitamin B6 (mg) | 2.0 | 2.6 | 0.6 |
| Folate (μg) | 400 | 800 | 400 |
| Thiamin (mg) | 1.1 | 1.5 | 0.4 |
| Calcium (mg) | 800 | 1200 | 400 |
| Iron (mg) | 18 | S | S |
| Zinc (mg) | 15 | 20 | 5 |
Table 2. Extra daily nutrient allowances for lactation (NRC 1980)
| Nutrient | Non-pregnant,non-lactating | Lactating | Increase |
|---|---|---|---|
| Energy (kcal) | 2100 | 2600 | 500 |
| Protein (g) | 44 | 64 | 20 |
| Retinol (μg) | 800 | 1200 | 400 |
| Vitamin D (μg) | 7.5 | 12.5 | 5 |
| Vitamin E (mg) | 8 | 11 | 3 |
| Vitamin C (mg) | 60 | 100 | 40 |
| Riboflavin (mg) | 1.3 | 1.8 | 0.5 |
| Nicotinic acid (mg) | 14 | 19 | 5 |
| Vitamin B6 (mg) | 2.0 | 2.5 | 0.5 |
| Folate (μg) | 400 | 500 | 100 |
| Thiamin (mg) | 1.1 | 1.6 | 0.5 |
| Calcium (mg) | 800 | 1200 | 400 |
| Iron (mg) | 18 | S | S |
| Zinc (mg) | 15 | 25 | 10 |
Table 3. Reported energy intakes of poorly nourished child-bearing women (Prentice, 1980)
| Source | Country | Energy intake (kcal/day) |
|---|---|---|
| Pregnancy | ||
| Prentice (1980) (wet season) | The Gambia | 1350–1450 |
| Oomen and Malcolm (1958) | New Guinea | 1360 |
| Gopalan (1962) | India | 1400 |
| Venkatachalam (1962) | India | 1410 |
| Lechtig et al (1972) | Guatemala | 1500 |
| Gebre-Medhin and Gobezie (1975) | Ethiopia | 1540 |
| Rajalakshmi (1971) | India | 1570 |
| Mora et al (1978) | Colombia | 1620 |
| Prentice (1980) (dry season) | The Gambia | 1600–1700 |
| Arroyave (1975) | Guatemala | 1720 |
| Maletnlema and Bavu (1974) | Tanzania | 1850 |
| Demarchi et al (1966) | Iraq | 1880 |
| Bagchi and Bose (1962) | India | 1920 |
| Thanangkul and Amatayakul (1975) | Thailand | 1980 |
| Mata et al (1972) | Guatemala | 2060 |
| Lactation | ||
| Prentice (1980) (wet season) | The Gambia | 1200–1300 |
| Karmarkar et al (1963) | India | 1300 |
| Devadas and Murthy (1977) | India | 1400 |
| Karmarkar et al (1959) | India | 1440 |
| Arroyave (1975) | Guatemala | 1600 |
| Rajalakshmi (1971) | India | 1620 |
| Prentice (1980) (dry season) | The Gambia | 1600–1750 |
| Martinez and Chavez (1971) | Mexico | 1950 |
Note: See text for the RDA (WHO/FAO, 1973) of women breast feeding for extended periods of time and continuing with heavy manual labour throughout both pregnancy and lactation.
Table 4. Energy intakes of pregnant and lactating women from industrialized countries
| Source | Country | Energy intake (kcal/d) | ||
|---|---|---|---|---|
| Pregnancy | ||||
| Thomson (1958) | Scotland | 2503 | ||
| English and Hitchcock (1968) | Australia | 2090 | ||
| Lunell et al (1969) | Sweden | 2154 | ||
| Smithells et al (1977) | UK - Leeds | 1957 | ||
| Darke et al (1980) | UK | 2152 | ||
| Whitehead et al (1981) | UK - Cambridge | 1980 | ||
| Lactation | ||||
| English and Hitchcock (1968) | Australia | 2460 | ||
| Thomson et al (1970) | Scotland | 2716 | ||
| Naismith and Ritchie (1975) | UK - London | 2930 | ||
| Whichelow (1976) | UK - London | 2728 | ||
| Abrahamsson and Hofvander (1977) | Sweden | 2280 | ||
| Sims (1978) | USA | 2124 | ||
| Whitehead et al (1981) | UK - Cambridge | 2295 | ||
| Rattigan et al (1981) | Australia | 2306 | ||
Note: The RDA (WHO/FAO, 1973) for moderately active women during pregnancy is 2550 kcal/d during the second and third trimesters and 2750 kcal/d during the first 6 months of lactation.
Table 5. Energy intakes and body weight changes of 25 mothers during the second and third trimesters of pregnancy (Mean ± SEM)
| Energy intake, | 2nd trimester | (kcal/d) | 1950±76 |
| 3rd trimester | (kcal/d) | 2005±69 | |
| 2nd & 3rd trimester | (kcal/d) | 1978±70 | |
| Weight gain during pregnancya | (kg) | 12.6±0.8 | |
| Estimated maternal energy store | (kcal) | 39,416±5764 | |
| Birthweight | (kg) | 3.31±0.07 | |
Table 6. Milk intakes (ml/d) of fully and partially breastfed babies in Cambridge
| Month | Fully breastfed | Partially breastfed | ||||
|---|---|---|---|---|---|---|
| No. | Mean | SD | No. | Mean | SD | |
| Boys | ||||||
| 1–2 | 27 | 791 | 116 | 1 | 648 | - |
| 2–3 | 23 | 820 | 187 | 5 | 833 | 123 |
| 3–4 | 18 | 829 | 168 | 10 | 787 | 172 |
| 4–5 | 5 | 790 | 113 | 20 | 699 | 204 |
| 5–6 | 1 | 922 | - | 25 | 587 | 188 |
| 6–7 | 0 | - | - | 21 | 484 | 181 |
| 7–8 | 0 | - | - | 18 | 342 | 203 |
| Girls | ||||||
| 1–2 | 20 | 677 | 87 | 0 | - | - |
| 2–3 | 17 | 742 | 119 | 2 | 601 | - |
| 3–4 | 14 | 775 | 138 | 6 | 664 | 258 |
| 4–5 | 6 | 814 | 113 | 11 | 662 | 267 |
| 5–6 | 4 | 838 | 88 | 15 | 500 | 194 |
| 6–7 | 1 | 854 | - | 15 | 481 | 246 |
| 7–8 | 1 | 786 | - | 11 | 329 | 242 |
Legend for Figure
Fig. 1: Relation between the lactation dietary energy increment, and weight loss over the first 4 months post-partum, r = 0.78 p <0.001.

References
Arroyave, G. (1975). Nutrition in pregnancy in Central America and Panama. Am. J. Dis. Child., 129, 427.
Abrahamsson, L. and Hofvander, Y. (1977). Näringsintaget hos ammande mödrar. Resultat fran 3-dagars Kostregistrering av 25 mödrar i Uppsala. Näringsforskning, 21, 93.
Bagchi, K. and Bose, A.K. (1962). Effect of low nutrient intake during pregnancy on obstetrical performance and offspring. Am. J. Clin. Nutr., 11, 586.
Darke, S.J., Disselduff, M.M. and Try, G.P. (1980). Frequency distribution of mean daily intakes of food energy and selected nutrients obtained during nutrition surveys of different groups of people in Great Britain between 1968 and 1971. Br. J. Nutr., 44, 243.
Demarchi, M., Isa, A., Al-Saidi, S., Al-Azzawee, M., Ali, M. and Elmilli, N. (1966). Food consumption and nutrition status of pregnant women attending a Maternal Child Health Centre in Baghdad. J. Fac. Med. Baghdad, 8, 20.
Devadas, R.P. and Murthy, N.K. (1977). Nutrition of the preschool child in India. World Rev. Nutr. Diet. 27, 1.
English, R.M. and Hitchcock, N.E. (1968). Nutrient intakes during pregnancy, lactation and after the cessation of lactation in a group of Australian women. Br. J. Nutr. 22, 615.
Gebre-Medhin, M. and Gobezie, A. (1975). Dietary intake in the third trimester of pregnancy and birth weight of offspring among nonprivileged and privileged women. Am. J. Clin. Nutr., 28, 1322.
Gopalan, C. (1962). Effect of nutrition on pregnancy and lactation. Bull. WHO, 26, 203.
Karmarkar, M.G., Kapur, J., Deodhar, A.D. and Ramakrishnan, C.V. (1959). Studies on human lactation. Indian J. Med Res. 47, 344.
Karmarkar, M.G., Rajalakshmi, R. and Ramakrishnan, C.V. (1963). Studies on human lactation. I. Effect of dietary protein and fat supplementation on protein, fat and essential aminoacid contents of breast milk. Acta Paediatr. Scand., 52, 473.
Lechtig, A., Habicht, J.P., Yarbrough, C., Delgado, H., Guzman, G. and Klein, R.E. (1972). Influence of food supplementation during pregnancy on birth weight in rural populations of Guatemala. Proc. 9th Internat. Congr. Nutr., Mexico, 2, 44.
Lunell, N.O., Persson, B. and Sterky, G. (1969). Dietary habits during pregnancy. Acta Obster. Gynecol Scand., 48, 187.
Maletnlema, T.N. and Bavu, J.L. (1974). Nutrition studies in pregnancy. I. Energy, protein and iron intake of pregnant women in Kisarawe, Tanzania. East Afr. Med. J., 51, 515.
Martinez, C. and Chavez, A. (1971). Nutrition and development in infants of poor rural areas. I. Consumption of mother's milk by infants. Nutr. Rep. Int., 4, 139.
Mata, L.J., Urrutia, J.J. and Garcia, B. (1972). Malnutrition and infection in a rural village of Guatemala. Proc. 9th Internat. Congr. Nutr., Mexico, 2, 175.
Mora, J.O., de Navarro, L., Clement, J., Wagner, M., de Paredes, B. and Herrera, M.G. (1978). The effect of food supplementation on the calorie and protein intake of pregnant women. Nutr. Rep. Int., 17, 217.
Naismith, D.J. and Ritchie, C.D. (1975). The effect of breast-feeding and artificial feeding on body-weights, skinfold measurements and food intakes of forty-two primiparous women. Proc. Nutr. Soc., 34, 116A.
NRC (1980). Recommended dietary allowances. 9th revised edition. National Academy of Sciences, National Research Council: Washington, D.C.
Oomen, H.A.P.C. and Malcolm S. (1958). Nutrition of the Papuan child. Noumea, New Caledonia. South Pacific Commission Technical Paper No. 118.
Prentice, A.M. (1980). Variations in maternal dietary intake, birthweight and breast-milk output in The Gambia. In H. Aebi and R.G. Whitehead (eds.). Maternal Nutrition during Pregnancy and Lactation, pp. 167–183. (Berne: Hans Huber)
Rajalakshmi, R. (1971). Reproductive performance of poor Indian women on a low plane of nutrition. Trop. Geogr. Med., 23, 117.
Rattigan, S., Ghisalberti, A.V. and Hartmann, P.E. (1981). Breast-milk production in Australian women. Br. J. Nutr., 45, 243.
Sims, L.S. (1978). Dietary status of lactating women. 1. Nutrient intake from food and from supplements. J. Amer. diet. Ass., 73, 139.
Smithells, R.W., Ankers, C., Carver, M.E., Lennon, D., Schorah, C.J. and Sheppard, S. (1977). Maternal nutrition in early pregnancy. Br. J. Nutr., 38, 497.
Thanangkul, O. and Amatyakul, K. (1975). Nutrition of pregnant women in a developing country - Thailand. Am. J. Dis. Child., 129, 426.
Thomson, A.M. (1958). Diet in pregnancy. 1. Dietary survey technique and the nutritive value of diets taken by primigravidae. Br. J. Nutr., 12, 446.
Thomson, A.M., Hytten, F.E. and Billewicz, W.Z. (1970). The energy cost of human lactation. Br. J. Nutr., 24, 565.
Venkatachalam, P.S. (1962). A study of the diet, nutrition and health of the people of the Chimbu area (New Guinea highlands). Territory of Papua and New Guinea, Dept. Public Health Monogr. No. 4.
Whichelow, M.J. (1976). Success and failure of breast feeding in relation to energy intake. Proc. Nutr. Soc., 35, 62A.
Whitehead, R.G., Paul, A.A., Black, A.E. and Wiles, S.J. (1981). Recommended dietary amounts of energy for pregnancy and lactation in the United Kingdom. UNU Food and Nutr. Bull. (In press).
WHO/FAO (1973). Energy and Protein Requirements. Wld. Hlth. Org. Tech. Rep. Ser. No. 522. (Geneva: WHO)