Распространенность недоедания
Определение
Недоедание определяется как состояние, при котором с привычно потребляемым количеством пищи человек не получает количества энергии, достаточного для поддержания нормальной, активной и здоровой жизни.
Как предоставляется информация о показателе
Этот показатель (обозначаемый как "распространенность недоедания" [РН]) рассчитывается как доля населения, страдающая от недоедания. Ввиду низкой достоверности оценки ряда основных параметров, обусловленной недостатком полной и достоверной информации по отдельным элементам, национальные оценки представлены в виде скользящего среднего за три года. Например, в таком виде представляются данные о таком элементе годовых продовольственных балансов ФАО (ПБ), как колебания запасов продовольственных товаров в разные годы. Сводные данные регионального и глобального уровней представлены в виде годовых оценок, поскольку, как предполагается, корреляция между возможными погрешностями отсутствует, таким образом, агрегирование данных по странам сводит такие погрешности к приемлемому уровню.
При подготовке каждого выпуска доклада вся серия данных по РН пересматривается с учетом всех новых данных и информации, полученных Организацией после публикации предыдущего выпуска. В процессе, как правило, проводится ретроспективный пересмотр всей серии данных о РН, поэтому читателям предлагается не сравнивать серии данных с содержанием предыдущих выпусков доклада и всегда ориентироваться только на последний выпуск; то же касается и данных за прошлые годы.
Методика
Для расчета распространенности недоедания в популяции вероятностное распределение энергетической ценности привычного рациона среднего человека (выраженной в ккал на человека в день) моделируется через параметрическую функцию плотности вероятности распределения f(x)1, 2. Показатель вычисляется как совокупная вероятность того, что энергетическая ценность обычного рациона (x) будет ниже минимальной потребности в пищевой энергии (МППЭ), то есть нижнего предела диапазона распределения энергетической ценности рациона, характерного для репрезентативного среднего представителя популяции, по формуле:

где θ – вектор параметров, характеризующий функцию плотности вероятности распределения. При выполнении актуализированных расчетов предполагается, что распределение является логарифмически нормальным и, соответственно, полностью характеризуется всего двумя параметрами: средним потреблением энергии с питанием (ПЭП) и коэффициентом вариации (CV).
Источник данных
Для расчета разных параметров данной модели используются различные источники данных.
Минимальная потребность в пищевой энергии (МППЭ)
Потребность представителя соответствующей половозрастной группы в энергии определяется как произведение нормативной потребности для базовой скорости метаболизма в расчете на один килограмм массы тела и идеальной массы тела здорового представителя той же половозрастной группы с поправкой на его вес с умножением полученного значения на коэффициент, характеризующий уровень физической активности (УФА)bb. В группах физически активных и здоровых людей одного пола и возраста значения индекса массы тела (ИМТ) и нормальные значения УФА могут варьироваться, поэтому для каждой половозрастной группы в популяции можно рассчитать только диапазон потребностей в энергии. МППЭ среднего представителя популяции (параметр, используемый в формуле расчета РН) определяется как взвешенное среднее нижних границ диапазонов потребностей в энергии для каждой половозрастной группы; в качестве весовых коэффициентов используются доли каждой группы в составе популяции. Как и МППЭ, показатель средней потребности в пищевой энергии (СППЭ), используемый (как описано ниже) для расчета одного их компонентов CV, рассчитывается по средним значениям УФА для категории "Активный или умеренно активный стиль жизни"3.
Необходимая для расчета МППЭ информация о структуре населения большинства стран мира в разбивке по полу и возрасту за каждый год публикуется в пересматриваемом каждые два года докладе Департамента ООН по экономическим и социальным вопросам "Мировые демографические перспективы". В настоящем выпуске доклада "Положение дел в области продовольственной безопасности и питания в мире" используются данные, представленные в докладе "Мировые демографические перспективы" за 2024 год4.
Источником информации о медианном росте по каждой половозрастной группе в странах служат результаты свежего демографического обследования и обследования состояния здоровья населения (ОДЗ) и других обследований, в рамках которых собираются антропометрические данные детей и взрослых. Даже если такие обследования относятся к году, за который РН не оценивается, можно предполагать, что влияние происходящих в промежутке незначительных изменений медианного роста на значение МППЭ и, соответственно, РН будет пренебрежимо мало.
Потребление энергии с питанием (ПЭП)
В идеале для расчета ПЭП могли бы использоваться данные о потреблении продовольствия, получаемые в рамках репрезентативных на национальном уровне обследований домохозяйств, таких как Исследование критериев оценки уровня жизни (ИКОУЖ) или обследования потребления и расходов домохозяйств. Однако на ежегодной основе такие обследования проводятся лишь в отдельных странах. Поэтому в рамках оценки РН ФАО рассчитывает ПЭП исходя из энергетической ценности рациона (ЭЦР); соответствующие данные публикуются в ПБ, которые ФАО готовит для большинства стран мира5.
После публикации прошлого выпуска доклада раздел ПБ в ФАОСТАТ был обновлен и для всех стран были опубликованы новые данные по сериям вплоть до 2022 года. Кроме того, на момент завершения работы над настоящим выпуском были добавлены данные за период до 2023 года в серии данных ПБ по следующим 72 странам, которые были отобраны в приоритетном порядке, так как в них проживает значительная доля от общего числа недоедающих в мире: Албания, Ангола, Аргентина, Афганистан, Бангладеш, Бенин, Боливия (Многонациональное Государство), Бразилия, Буркина-Фасо, Вьетнам, Гаити, Гана, Гватемала, Гвинея, Гвинея-Бисау, Гондурас, Демократическая Республика Конго, Египет, Замбия, Зимбабве, Индия, Индонезия, Иордания, Ирак, Иран (Исламская Республика), Йемен, Камерун, Кения, Колумбия, Конго, Корейская Народно-Демократическая Республика, Кот-д'Ивуар, Куба, Лесото, Либерия, Ливия, Мадагаскар, Малави, Малайзия, Мали, Марокко, Мозамбик, Мьянма, Непал, Нигер, Нигерия, Никарагуа, Объединенная Республика Танзания, Пакистан, Папуа – Новая Гвинея, Перу, Руанда, Саудовская Аравия, Сенегал, Сирийская Арабская Республика, Сомали, Судан, Сьерра-Леоне, Таиланд, Того, Тунис, Уганда, Украина, Филиппины, Центральноафриканская Республика, Чад, Шри-Ланка, Эквадор, Эфиопия, Южная Африка, Южный Судан, Япония.
Среднее значение ЭЦР на душу населения в 2023 году (по странам, не включенным в приведенный выше список) и в 2024 году (по всем странам) актуализировано на основе краткосрочных рыночных прогнозов ФАО, подготовленных для портала "Мировая продовольственная ситуация"6 и используемых для расчета ПЭП за 2023 и 2024 годы по каждой стране.
Коэффициенты порчи пищевой продукции
В этом выпуске доклада были обновлены коэффициенты порчи пищевой продукции, используемые для расчета ПЭП, для чего из показателя ЭЦР по всем странам была вычтена доля пищевой продукции, подвергающейся порче. Доля продукции, подвергающейся порче в торговле, рассчитывалась по данным ПБ в системе ФАОСТАТ.
Для расчета не потребленных по причине порчи калорий по каждой группе пищевой продукции и формирования совокупного показателя берутся данные в процентах, публикуемые в документе ФАО "Потери и порча пищевой продукции в мире"7; по-другому рассчитывается только коэффициент порчи зерновых, который для всех регионов принимается на уровне 2 процента. Наконец, устанавливается общее число не потребленных по причине порчи калорий, исчисляемое в процентах от общего количества калорий по каждой стране за каждый год. Данные опубликованы за период до 2022 года. Для расчета показателей за 2023 и 2024 годы брался показатель 2022 года.
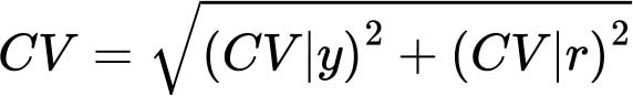
Коэффициент вариации (CV)
CV привычного ПЭП для популяции рассчитывается как геометрическое среднее значений двух компонентов, обозначаемых соответственно CV|y и CV|r:

Первый компонент (CV|y) отражает изменчивость подушевого потребления в домохозяйствах, принадлежащих к различным социально-демографическим слоям, и понимается как CV "по уровню доходов", а второй (CV|r) – различия между отдельными лицами, обусловленные половой принадлежностью, возрастом, массой тела и УФА членов одного и того же домохозяйства. Те же элементы определяют потребность в энергии, поэтому второй компонент называют CV "по уровню потребностей в энергии".
CV|y
При наличии достоверных данных о потреблении продовольствия по результатам репрезентативных на национальном уровне обследований домохозяйств CV по уровню дохода (Cv|y) можно рассчитать напрямую. После выхода в свет предыдущего выпуска доклада для обновления Cv|y была выполнена обработка 25 обследований по следующим 14 странам: Бенин (2022 год), Буркина-Фасо (2022 год), Грузия (2022 и 2023 годы), Гвинея-Бисау (2022 год), Индия (2022 и 2024 годы), Иордания (2022 год), Казахстан (2021 и 2023 годы), Камбоджа (2021 и 2023 годы), Монголия (2022 и 2023 годы), Мьянма (2015 год), Перу (2023 год), Сомали (2022 год), Таиланд (2016, 2017, 2018, 2019, 2020, 2021 и 2023 годы) и Того (2022 год). Таким образом, значение CV|y определено по данным 169 национальных обследований, проведенных в 71 стране.
При отсутствии отвечающих критериям данных обследований для прогнозирования изменения CV|y с 2017 года (или с года последнего обследования потребления продовольствия, если оно проводилось позже) до 2024 года используются данные по шкале восприятия отсутствия продовольственной безопасности (ШВОПБ), которые ФАО собирает с 2014 года, с учетом наблюдаемой динамики по показателю "острое отсутствие продовольственной безопасности". В основу прогнозов положено допущение, что измеренные по ШВОПБ масштабы острого отсутствия продовольственной безопасности могут указывать на эквивалентные изменения РН. Если такие изменения РН невозможно объяснить последствиями изменений в среднем объеме предложения продовольствия, то их можно с уверенностью отнести на счет незамеченных изменений CV|y, возможно, имевших место в то же время. Ретроспективный анализ оценок РН свидетельствует о том, что в среднем, с учетом расхождений в значениях ПЭП, МППЭ и CV|r, изменения CV|y позволяют объяснить порядка трети пространственных и временных различий РН. Исходя из сказанного выше, в каждой стране, по которой доступны данные по ШВОПБ, вероятная динамика CV|y за период с 2017 года или с даты последнего опубликованного обследования рассчитывается как изменения, которые приводили бы к изменению РН на треть процентного пункта всякий раз, когда распространенность острого отсутствия продовольственной безопасности меняется на один процентный пункт. Что касается остальных стран, по которым отсутствуют фактические данные, то по ним сохраняется постоянное значение CV|y, полученное по результатам последнего расчета. Как и в четырех предыдущих выпусках доклада, для формирования краткосрочного прогноза CV|y за 2020, 2021, 2022, 2023 и 2024 годы потребовались корректировки с учетом воздействия пандемии COVID-19 (см. дополнительные материалы к главе 2).
CV|r
CV по потребности в энергии (CV|r) отражает неоднородность распределения потребности в пищевой энергии у гипотетического среднего представителя здоровой популяции, и его значение также равно значению CV|y по распределению пищевой энергии, потребляемой гипотетическим средним человеком, при условии, что питание всех представителей популяции в полной мере соответствует потребностям. Для расчета показателя за норму принимается распределение потребности в пищевой энергии среднего гипотетического члена популяции, и тогда стандартное отклонение (СО) можно оценить на основе любых двух известных процентилей. По указанным выше значениям МППЭ и СППЭ аппроксимируются 1-й и 50-й процентили8, 9. После этого CV|r рассчитывается как обратное совокупное стандартное нормальное распределение разности значений МППЭ и СППЭ.
Проблемы и ограничения
Недоедание по определению является состоянием отдельного человека, но данные, как правило, публикуются в больших масштабах, что не позволяет достоверно установить, какие именно представители той или иной группы фактически недоедают. С помощью статистической модели, описанной выше, этот показатель можно рассчитать только в отношении популяции или группы лиц, по которым имеется достаточно репрезентативная выборка. Таким образом, распространенность недоедания рассчитывается как доля страдающих от этого состояния членов группы, но дальнейшая детализация данного показателя невозможна.
Ввиду вероятностного характера заключений и пределов неопределенности в отношении расчета каждого из используемых в модели параметров, точность оценок РН, как правило, невысока. Точно рассчитать предел погрешности при расчете РН не представляется возможным, но, как ожидается, в большинстве случаев его значение превысит 5 процентов. Поэтому ФАО считает значения РН ниже 2,5 процента недостаточно достоверными для публикации.
Важно отметить, что верхние и нижние пределы точечных оценок РН за 2020–2024 годы не следует интерпретировать как доверительные интервалы в целях статистики. Можно сказать, что они отражают различные сценарии, используемые для прогнозирования значений CV|y, пределов неопределенности в отношении коэффициентов порчи пищевой продукции за период с 2020 по 2024 год и пределов неопределенности для прогнозирования ЭЦР на 2023 и 2024 годы (см. дополнительные материалы к главе 2).
Рекомендуемая литература
Cafiero, C. 2014. Advances in hunger measurement: traditional FAO methods and recent innovations. FAO Statistics Division Working Paper, No. 14–04. Rome, FAO. https://openknowledge.fao.org/handle/20.500.14283/i4060e
FAO. 1996. Methodology for assessing food inadequacy in developing countries. См.: The Sixth World Food Survey, pp. 114–143. Rome. https://www.fao.org/4/w0931e/w0931e16.pdf
FAO. 2003. Summary of proceedings: Measurement and assessment of food deprivation and undernutrition. International Scientific Symposium, 26–28 June 2002, Rome. https://www.fao.org/4/y4250e/y4250e00.pdf
ФАО. 2025. Оценка масштабов голода, уровня продовольственной безопасности и моделей потребления пищевых продуктов. См.: ФАО. [По состоянию на 25 июня 2025 года]. https://www.fao.org/measuring-hunger/ru
Naiken, L. 2002. Keynote paper: FAO methodology for estimating the prevalence of undernourishment. Rome, FAO. https://www.fao.org/4/y4249e/y4249e06.htm
Wanner, N., Cafiero, C., Troubat, N. & Conforti, P. 2014. Refinements to the FAO methodology for estimating the prevalence of undernourishment indicator. FAO Statistics Division Working Paper, No. 14–05. Rome, FAO. https://openknowledge.fao.org/handle/20.500.14283/i4046e
ОТСУТСТВИЕ ПРОДОВОЛЬСТВЕННОЙ БЕЗОПАСНОСТИ, ИЗМЕРЯЕМОЕ ПО ШКАЛЕ ВОСПРИЯТИЯ ОТСУТСТВИЯ ПРОДОВОЛЬСТВЕННОЙ БЕЗОПАСНОСТИ
Определение
Отсутствие продовольственной безопасности, измеряемое с помощью данного показателя, указывает на ограниченный доступ отдельных людей или домохозяйств к продовольствию вследствие отсутствия денег или других ресурсов. Тяжесть отсутствия продовольственной безопасности измеряется на основе данных, собираемых с помощью опросного листа шкалы восприятия отсутствия продовольственной безопасности (ОЛ ШВОПБ), включающего восемь вопросов, в ответ на которые респонденты должны рассказать о собственных условиях и опыте, обычно связанных с ограниченным доступом к продовольствию. В целях мониторинга хода достижения ЦУР вопросы задаются в отношении двенадцати месяцев, предшествовавших опросу.
Полученная с помощью ОЛ ШВОПБ информация проверяется на внутреннюю согласованность с помощью сложных статистических методов, основанных на модели измерения Раша, и преобразуется в количественную оценку по шкале тяжести от низкой до высокой. Исходя из ответов отдельных лиц или домохозяйств на вопросы, полученных в ходе репрезентативного на национальном уровне обследования, они с определенной вероятностью относятся к одному из трех классов, определяемых по двум установленным на глобальном уровне пороговым показателям: i) лица, живущие в условиях продовольственной безопасности или минимального отсутствия продовольственной безопасности; ii) лица, страдающие от умеренного отсутствия продовольственной безопасности; iii) лица, страдающие от острого отсутствия продовольственной безопасности. На основе данных по ШВОПБ, собранных за три года (с 2014 по 2016 год), ФАО разработала справочную шкалу ШВОПБ, которая используется в качестве глобального эталона восприятия отсутствия продовольственной безопасности и берется за основу для установления двух пороговых значений его тяжести, упомянутых выше.
Показатель 1.2 ЦУР 2 определяется как сумма вероятностей того, что опрошенные будут отнесены к классам "лица, страдающие от умеренного отсутствия продовольственной безопасности", и "лица, страдающие от острого отсутствия продовольственной безопасности". В отношении лиц, живущих в условиях только острого отсутствия продовольственной безопасности, вычисляется отдельный показатель (FIsev).
Как предоставляется информация о показателе
В настоящем докладе ФАО приводит оценочные данные по двум уровням тяжести отсутствия продовольственной безопасности: умеренному или острому (FImod+sev) и острому (FIsev). По каждому из них публикуются два вида данных:
- распространенность, или доля представителей популяции, проживающих в домохозяйствах, в которых как минимум один взрослый сталкивается с проблемой отсутствия продовольственной безопасности; и
- расчетное число лиц, проживающих в домохозяйствах, в которых как минимум один взрослый сталкивается с проблемой отсутствия продовольственной безопасности.
Источник данных
С 2014 года по ОЛ ШВОПБ, в который входят восемь вопросов, проводятся обследования репрезентативных на национальном уровне выборок взрослого населения (в возрасте не младше 15 лет) более чем 140 стран, где проводится всемирный опрос Института Гэллапа© (ВОГ), – на них приходится более 90 процентов населения планеты. В 2024 году опрос проводился как по телефону, так и очно. Телефонные опросы проводились в ряде стран, где такой формат уже был опробован в 2020 году, когда в условиях пандемии COVID-19 сбор данных в очной форме создавал высокий риск передачи инфекции.
Институт Гэллапа© традиционно проводит телефонные опросы в странах Северной Америки и Западной Европы, в отдельных частях Азии и в странах Совета сотрудничества арабских государств Залива. В Центральной и Восточной Европе, во многих странах Латинской Америки, а также почти во всех странах Азии, Ближнего Востока и Африки проводятся очные опросы по территориальным выборкам.
В большинстве стран в выборку включаются приблизительно 1000 человек, но в ряде стран состав выборки больше: в Индии – 3000 человек, в континентальном Китае – 3500 человек, в Российской Федерации – 2000 человек. В 2024 году данные по континентальному Китаю не собирались.
Для расчета распространенности отсутствия продовольственной безопасности как минимум за один год в 82 странах, где проживает больше трети населения планеты, использовались результаты обследований, проведенных национальными правительствами, при этом для проверки национальных результатов на внутреннюю согласованность и их корректировки в соответствии с единым глобальным эталоном использовались разработанные ФАО статистические методы. После выверки данные использовались для формирования или обновления национальной серии (см. список ниже). Если население страны составляет значительную долю населения региона, результатом может стать пересмотр, в том числе ретроспективный, региональных и субрегиональных рядов. Поэтому следует избегать сравнения оценок, приведенных в разных изданиях настоящего доклада, и использовать для справки данные, приведенные в его последнем выпуске.
В этом выпуске использовались данные национальных государственных обследований, проведенных в следующих 82 странах: Ангола, Антигуа и Барбуда, Армения, Афганистан, Беларусь, Белиз, Бенин, Ботсвана, Бразилия, Буркина-Фасо, Бурунди, Вануату, Вьетнам, Гайана, Гана, Гвинея-Бисау, Гондурас, Гренада, Греция, Доминиканская Республика, Замбия, Израиль, Индонезия, Италия, Йемен, Кабо-Верде, Казахстан, Камерун, Канада, Кения, Кипр, Кыргызстан, Кирибати, Колумбия, Коста-Рика, Кот-д'Ивуар, Лесото, Мавритания, Малави, Мали, Мексика, Мозамбик, Монголия, Намибия, Науру, Нигер, Нигерия, Объединенная Республика Танзания, Объединенные Арабские Эмираты, Пакистан, Палау, Палестина, Папуа – Новая Гвинея, Парагвай, Республика Корея, Российская Федерация, Самоа, Сейшельские Острова, Сенегал, Сент Винсент и Гренадины, Сент-Китс и Невис, Сент-Люсия, Соединенные Штаты Америки, Судан, Сьерра-Леоне, Таиланд, Тимор-Лешти, Того, Тонга, Тринидад и Тобаго, Уганда, Уругвай, Фиджи, Филиппины, Центральноафриканская Республика, Чад, Чили, Шри-Ланка, Эквадор, Эсватини, Южная Африка, Южный Судан. Национальные данные по этим странам рассматриваются за год или годы, за которые они доступны. По остальным годам была принята следующая стратегия:
- при наличии национальных данных более чем за один год значения за остальные годы определялись методом линейной интерполяции;
- при наличии данных только за один год значения за остальные годы определялись следующим образом:
- –если данные ФАО были сочтены совместимыми с данными национального обследования, использовались данные ФАО;
- –если данные признавались несовместимыми, значения определялись по тренду, полученному на основе данных ФАО;
- –при отсутствии иной достоверной и своевременной информации значения определялись по тренду для субрегиона; либо
- –при невозможности рассчитать значения для субрегиона или применить тренды для субрегиона, рассчитанные по результатам других обследований, к ситуации в конкретной стране ввиду характера объективных данных, обосновывающих такой тренд (например, по изменению масштабов нищеты и крайней нищеты, занятости и продовольственной инфляции), значение, полученное по итогам национального обследования, считалось неизменным; то же относится и к странам, где распространенность отсутствия продовольственной безопасности очень низка (распространенность острого отсутствия ниже 3 процентов) или очень высока (распространенность умеренного или острого отсутствия выше 85 процентов).
Ввиду неоднородности источников данных обследований и малых выборок в ряде обследований ФАО новые данные иногда могут указывать на ощутимое увеличение или уменьшение значений от года к году. В таких ситуациях используется информация по стране из внешних источников (данные или доклады, по возможности подготовленные с участием страновых экспертов, например сотрудников страновых или региональных представительств ФАО), которые помогут установить, не имели ли место крупные потрясения и не принимались ли важные меры. Если выявленный тренд подтверждается фактическими данными, но кажется чрезмерно крутым, он сохраняется, но сглаживается (например, путем использования средних значений за три года). В иных случаях применяются подходы, используемые для годов, данные по которым отсутствуют (например, значение считается неизменным или рассчитывается по тренду для субрегиона). В 2024 году данные по ШВОПБ в Китае (континентальном) не собирались, поэтому тренд был принят неизменным.
Методика
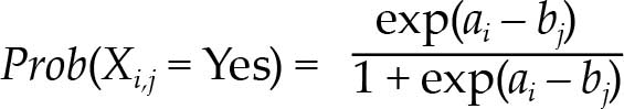
После проверки данных на их основании была построена шкала тяжести отсутствия продовольственной безопасности, для чего была использована модель Раша, согласно которой вероятность получения от респондента i положительного ответа на вопрос j представляет собой логарифмическую функцию расстояния по шкале тяжести от точки ai, соответствующей положению респондента, до точки bj, соответствующей положению данного пункта:

Обработка данных по ШВОПБ с применением модели Раша позволяет оценить сопоставимую по странам вероятность оказаться в ситуации отсутствия продовольственной безопасности (pi,L) на каждом уровне тяжести отсутствия продовольственной безопасности L (умеренное или острое либо только острое) по каждому респонденту i при условии, что 0 < pi,L < 1.
Распространенность отсутствия продовольственной безопасности каждой степени тяжести (FIL) в популяции рассчитывается как взвешенная сумма вероятностей подверженности острому отсутствию продовольственной безопасности всех респондентов (i) в выборке:

где wi – весовые коэффициенты выборок после стратификации, указывающие на долю лиц или домохозяйств в населении страны, представленную каждой записью в выборке.
В выборки ВОГ включаются только лица в возрасте 15 лет и старше, поэтому оценки распространенности, полученные непосредственно на основе этих данных, справедливы только для населения этой возрастной категории. Чтобы установить распространенность отсутствия продовольственной безопасности и число сталкивающихся с ней членов популяции всех возрастов, необходимо рассчитать число людей, проживающих в домохозяйствах, хотя бы один взрослый член которых, по оценкам, сталкивается с проблемой отсутствия продовольственной безопасности. Для этого применяется поэтапная процедура, описанная в Приложении 1B к публикации "Методы оценки сопоставимых уровней отсутствия продовольственной безопасности у взрослого населения во всем мире" (см. раздел "Рекомендуемая литература" ниже).
Сводные региональные и глобальные показатели распространенности умеренного или острого и только острого отсутствия продовольственной безопасности FIL,r, рассчитываются по формуле:

где r – регион, FIL,c – значение FI на уровне L для страны c в регионе, а Nc – численность соответствующей популяции. В случае отсутствия расчетных данных по FIL в стране этот показатель принимается равным взвешенному по численности популяции значению этого показателя в остальных странах того же субрегиона. Сводные показатели по регионам определяются только в том случае, если в странах, по которым имеются расчетные данные, проживает по меньшей мере 50 процентов населения региона.
Единые пороговые значения устанавливаются по стандартной глобальной шкале ШВОПБ (значения параметров для пунктов, основанных на результатах по всем странам, где ВОГ проводился в 2014–2016 годах) и пересчитываются в соответствующие значения по местным шкалам. Можно сказать, что процесс калибровки шкалы каждой страны по стандартной глобальной шкале ШВОПБ представляет собой "уравнивание", позволяющее получить сравнимые на международном уровне данные о тяжести отсутствия продовольственной безопасности для отдельных респондентов и сопоставимые национальные показатели распространенности.
Трудность заключается в том, что, когда проблема отсутствия продовольственной безопасности определяется как скрытый признак, то для нее нет абсолютного эталонного значения, по которому можно было бы оценить степень ее тяжести. Модель Раша позволяет определить относительное положение различных элементов на шкале с применением единиц логистического анализа, на которой "ноль" задан произвольно и, как правило, соответствует средней оценочной тяжести. Таким образом, в разных случаях "ноль" на шкале соответствует разным уровням. Чтобы получать сопоставимые показатели в динамике и по различным популяциям, необходимо сформировать общую шкалу, которая будет использоваться в качестве справочной, и вывести формулу, необходимую для пересчета показателей по разным шкалам. Как и при пересчете показателей температуры по разным шкалам (например, по Цельсию и Фаренгейту), необходимо определить "опорные" точки. В методике ШВОПБ такими точками считаются уровни тяжести, ассоциирующиеся с элементами, относительное положение которых на шкале можно считать равным положению на глобальной справочной шкале. Затем показатели по одной шкале пересчитываются в показатели по другой с использованием формулы, которая позволяет уравнять среднее значение и СО уровней тяжести общих элементов.
Проблемы и ограничения
При вычислении распространенности отсутствия продовольственной безопасности на основе данных по ШВОПБ, полученных в рамках ВОГ, который в большинстве стран проводится на выборке в 1000 человек, доверительные интервалы редко превышают 20 процентов измеряемой распространенности (то есть при распространенности около 50 процентов предел погрешности составляет до ±5 процентов). Однако в случаях, когда при расчете распространенности для отдельных стран, субрегионов и регионов используются более крупные выборки и когда рассчитываются совокупные показатели по нескольким странам, доверительные интервалы существенно сокращаются. В целях сокращения влияния межгодовой изменчивости выборки данные странового уровня были представлены в виде средних значений за все годы рассматриваемых трехлетних периодов, за которые данные доступны.
Предпочтительным источником информации для оценки распространенности отсутствия продовольственной безопасности по ШВОПБ считаются результаты обследований, проведенных национальными правительствами. Но они не всегда публикуются ежегодно, и данные могут поступать в ФАО с задержкой в несколько лет. В отсутствие ежегодных национальных обследований временной ряд составляется по методике, описанной выше (см. раздел "Источник данных"). Поэтому могут проводиться ретроспективные пересмотры рядов данных.
Рекомендуемая литература
Cafiero, C., Viviani, S. & Nord, M. 2018. Food security measurement in a global context: The food insecurity experience scale. Measurement, 116: 146–152. https://www.sciencedirect.com/science/article/pii/S0263224117307005
FAO. 2016. Methods for estimating comparable rates of food insecurity experienced by adults throughout the world. Rome. https://openknowledge.fao.org/handle/20.500.14283/i4830e
ФАО. 2025. Оценка масштабов голода, уровня продовольственной безопасности и моделей потребления пищевых продуктов. См.: ФАО. [По состоянию на 25 июня 2025 года]. https://www.fao.org/measuring-hunger/ru
Стоимость здорового рациона
Определение
Стоимость здорового рациона определяется как стоимость наименее дорогостоящих пищевых продуктов в наличии на местном рынке, которые могут быть составляющими рациона, соответствующего требованиям по энергетической ценности и рекомендациям по правильному питанию на основе имеющихся продуктов (РППИП) для репрезентативного лица, с балансом энергии 2330 ккал/день.
Как предоставляется информация о показателе
Показатель, обозначаемый как "стоимость здорового рациона" (СЗР), рассчитывается как средняя минимальная сумма, которую должны потратить жители страны, чтобы купить наименее дорогостоящие из доступных на местном рынке продуктов, необходимых для формирования здорового рациона. Чтобы обеспечить межстрановую сопоставимость показателя, стоимость здорового рациона конвертируется из местных валютных единиц (МВЕ) в международные доллары с использованием обменных курсов по паритету покупательной способности (ППС) для частного потребления. Таким образом, данные по СЗР представляются как средняя сумма в долларах по ППС на человека в день.
Источник данных
Источником данных о ценах на пищевые продукты каждой группы, необходимые для здорового питания, служат данные о розничных ценах на пищевые продукты, публикуемые в Программе международных сопоставлений (ПМС), координируемой Всемирным банком, в которой приводятся оценки ППС на основе стандартизированных на международном уровне товарных позиций, выраженные в МВЕ10. Для международных сопоставлений цены в МВЕ переводятся в международные доллары с использованием коэффициентов пересчета по ППС для частного потребления, которые рассчитываются Группой по данным о развитии Всемирного банка и вносятся в базу данных показателей мирового развития (ПМР)11. В годы, когда данные ПМС не публикуются, для обновления показателя "стоимость здорового рациона" используются данные публикуемого ФАО индекса потребительских цен (ИПЦ)12.
Методика
Метод определения корзины здорового рациона
Состав здорового рациона зависит от местных условий, поэтому страны разработали национальные РППИП в целях формирования у населения здоровых пищевых привычек с учетом культурного контекста и продуктов, которые можно приобрести на местных рынках. Но РППИП существуют не во всех странах, а там, где они издаются, в них часто не указывается рекомендуемое количество продуктов и килокалорий. Чтобы решить проблему нехватки данных и установить глобальный стандарт здорового питания, в котором нашли бы отражение общие черты рекомендаций по правильному питанию, разработанных в разных странах мира, были отобраны десять подготовленных в последние годы РППИП с указанием количественных параметров с учетом особенностей различных регионов планеты. Для установления такого глобального стандарта была сформирована корзина здорового рациона (КЗР). В нее были включены средние пропорции продуктов разных групп, упоминаемых в национальных РППИП, и использовались медианные количества продуктов, относящихся к группам, рекомендуемым в десяти РППИП с указанием количественных параметров. КЗР должна удовлетворять потребность в пищевой энергии в количестве 2330 ккал/день; в нее входят местные продукты шести групп: крахмалосодержащие основные продукты; овощи; фрукты; продукты животного происхождения; бобовые, орехи и семена; а также растительные масла и жиры. В частности, человек должен получать 1160 ккал из основных крахмалосодержащих продуктов, 110 ккал – из овощей, 160 ккал – из фруктов, 300 ккал – из продуктов животного происхождения, 300 ккал – из бобовых, орехов и семян, и 300 ккал – из растительных масел и жиров. Была рассчитана стоимость здорового рациона для 173 стран в период с 2017 по 2024 год.
Методы расчета контрольного показателя стоимости в годы, когда публикуются данные ПМС
Чтобы рассчитать стоимость наименее дорогостоящего здорового рациона на каждой территории в каждый период, все пищевые продукты по ПМС распределяют по группам и находят самые дешевые товарные позиции, удовлетворяющие требованиям для включения в КЗР. Для каждой страны отбирается 11 наименее дорогостоящих пищевых продуктов: два крахмальных основных продукта, три овоща, два фрукта, два продукта животного происхождения, по одному продукту в категориях "бобовые" и "орехи и семена" и один продукт в категории "растительные масла и жиры". Стоимость каждой продуктовой группы в день рассчитывается как стоимость приобретения отобранных продуктов, относящихся к этой группе, умноженная на количество энергии, которое человек должен получать из продуктов этой группы в составе КЗР. Наконец, рассчитывается стоимость здорового рациона в каждой стране, для чего суммируется стоимость всех шести групп пищевых продуктов.
Методы расчета стоимости путем экстраполяции в годы, когда данные ПМС не публикуются
В настоящее время ПМС служит единственным источником данных о розничных ценах на продовольствие по стандартизированным на международном уровне товарам, но эти данные публикуются только один раз в три четыре года, что не позволяет обновлять данные о стоимости здорового рациона ежегодно. Последняя серия данных ПМС была опубликована в 2024 году, и в ней были показаны цены 2021 года. Для обновления данных о стоимости здорового рациона в годы между выпусками ПМС показатель рассчитывается путем сопоставления стоимости по состоянию на 2021 год с данными ИПЦ на продовольственные товары, публикуемыми ФАО. В этом наборе данных отслеживаются ежемесячные изменения общего и продовольственного ИПЦ на национальном уровне по сравнению с базовым 2015 годом. Годовые ИПЦ рассчитываются как геометрическое среднее 12 ИПЦ, публикуемых ежемесячно в течение года. Для расчета стоимости здорового рациона (c(PPP)t) в годы между выпусками ПМС фактическая стоимость для каждой страны на 2021 год, выраженная в МВЕ, умножается на коэффициент индекса потребительских цен на продовольствие (ИПЦП), а затем делится на ППС по следующей формуле:

где t = с 2017 по 2024, за исключением 2021 года, и 
В выпуске этого года впервые показаны показатели стоимости и экономической доступности здорового рациона за период вплоть до года, предшествующего его выходу. Это удалось сделать благодаря своевременной публикации данных за 2024 год, включая подробный индекс потребительских цен на продовольствие, данные о распределении доходов, используемые Всемирным банком для подготовки краткосрочных прогнозов по масштабам проблемы нищеты, и коэффициенты пересчета ППС. Данные брались из базы данных ПМР, и тем не менее информация по коэффициентам пересчета ППС за 2024 год отсутствовала по 43 странам, а за 2023 год – по пяти странам (см. таблицу A1.5 в Приложении 1A). Поэтому значения ППС в этих странах за 2023 и 2024 годы рассчитывались методом экстраполяции13 по ПМР Всемирного банка с использованием формулы:

где CPI – общий индекс потребительских цен (ИПЦ), а CPI US – общий ИПЦ базовой страны (в данном случае Соединенных Штатов Америки).
Для 15 стран, по которым отсутствуют данные о ППС не менее чем за три года, показатели ППС были вычислены путем экстраполяции с применением модели авторегрессии проинтегрированного скользящего среднего с учетом внешней независимой переменной (АРИМАКС) (см. таблицу A1.5 в Приложении 1A). В соответствии с методикой экстраполяции ППС, используемой при формировании ПМР Всемирного банка, в качестве ключевого показателя, позволяющего прогнозировать значения ППС, в модели берется соотношение между общим ИПЦ страны и ИПЦ Соединенных Штатов Америки. Кроме того, в качестве внешних ковариат используются ВВП на душу населения и потребительские расходы домохозяйств на душу населения, а для заполнения пробелов к обоим рядам при необходимости применяется метод сглаживания Хольта – Винтерса. Подход АРИМАКС позволяет провести расчеты для каждой страны с использованием нескольких спецификаций модели, которые включают авторегрессию, интеграцию, скользящее среднее и сочетание этих трех компонентов. Оптимальная спецификация выбирается, когда статистически значимым оказывается как минимум расчетный коэффициент ИПЦ и статистическую значимость также имеют параметры АРИМАКС. В странах и на территориях с аномальными временными рядами ППС коэффициент ИПЦ считается единственным статистически значимым коэффициентом, влияющим на изменчивость значений ППС. Для прогнозирования значений ППС по странам и территориям с менее волатильными рядами данных по этому показателю также важны ретроспективный тренд ППС и оценки коэффициентов ВВП на душу населения и/или расходов на душу населения. С помощью модели АРИМАКС рассчитываются прогнозные значения для каждой страны или территории по спецификации, сочтенной оптимальной.
Проблемы и ограничения
Данные о стандартизованных на международном уровне ценах на продовольственные товары публикуются не каждый год, что не позволяет осуществлять ежегодный мониторинг. Ограничение метода, используемого для актуализации данных о стоимости здорового рациона, заключается в том, что изменения стоимости здорового рациона зависят от ИПЦ на продовольственные товары и не отражают ни изменений продовольственных цен на конкретные товарные позиции, ни различий в изменениях цен на различные группы пищевых продуктовbc. Стремясь обеспечить более частый и тщательный мониторинг стоимости здорового рациона, ФАО совместно со Всемирным банком изучает возможности представления расширенной информации о ценах на уровне отдельных товарных позиций или групп пищевых продуктов.
Сводные региональные и глобальные показатели стоимости здорового рациона рассчитываются как среднее арифметическое по странам каждой группы.
Рекомендуемая литература
Bai, Y., Conti, V., Herforth, A., Cafiero, C., Ebel, A., Rissanen, M.O., Masters, W.A & Rosero Moncayo, J. 2024. Methods for monitoring the cost of a healthy diet based on price data from the International Comparison Program. FAO Statistics Division Working Paper, No. 24–43. Rome, FAO. https://doi.org/10.4060/cd3037en
Herforth, A., Bai, Y., Venkat, A., Mahrt, K., Ebel, A. & Masters, W.A. 2020. Cost and affordability of healthy diets across and within countries – Background paper for The State of Food Security and Nutrition in the World 2020. FAO Agricultural Development Economics Technical Study, No. 9. Rome, FAO. https://doi.org/10.4060/cb2431en
Herforth, A., Venkat, A., Bai, Y., Costlow, L., Holleman, C. & Masters, W.A. 2022. Methods and options to monitor the cost and affordability of a healthy diet globally – Background paper to The State of Food Security and Nutrition in the World 2022. FAO Agricultural Development Economics Working Paper 22–03. Rome, FAO. https://doi.org/10.4060/cc1169en
Экономическая недоступность здорового рациона
Определение
Экономическая недоступность здорового рациона определяется как неспособность домохозяйства или отдельного человека заплатить сумму, необходимую для приобретения набора наименее дорогостоящих пищевых продуктов, доступных на местном рынке, которые отвечают требованиям для включения в здоровый рацион, за вычетом части дохода, которую они должны зарезервировать на удовлетворение остальных основных потребностей.
Как предоставляется информация о показателе
Основной показатель – "распространенность экономической недоступности" (РЭН) – рассчитывается как доля лиц в популяции, чей располагаемый доход, за вычетом суммы, необходимой для приобретения всех основных непродовольственных товаров и услуг, ниже, чем минимальная стоимость здорового рациона. Национальные показатели рассчитывают путем сравнения распределения доходов по странам с пороговым значением (r), для получения которого стоимость здорового рациона суммируется с соответствующими расходами на удовлетворение насущных потребностей, не относящихся к продовольствию (n). Наряду с РЭН рассчитывается число тех, кто не может себе позволить здоровый рацион (ЧЭН), для чего РЭН умножается на численность контрольной популяции.
В каждом выпуске настоящего доклада вся серия данных по показателям ЧЭН и РЭН за 2017–2024 годы пересматривается с учетом свежих данных о стоимости, демографических данных и актуальных сведений о распределении доходов. Поскольку в процессе, как правило, проводится ретроспективный пересмотр всей серии данных по ЧЭН и РЭН, читателям предлагается не сравнивать серии данных, приведенные в предыдущих выпусках доклада, и всегда ориентироваться только на последний выпуск; то же касается и данных за прошлые годы.
Методика
Для оценки РЭН среди населения каждой страны рассчитывается пороговое значение ежедневных расходов на душу населения. Ввиду отсутствия информации, необходимой для определения стоимости основных непродовольственных товаров и услуг в каждой конкретной стране, различия в расходах на нужды, не относящиеся к продовольствию, оцениваются с распределением стран на четыре группы по уровню дохода на основании классификации Всемирного банка. Поэтому для расчета порогового уровня ежедневных расходов на душу населения берутся данные о стоимости здорового рациона в стране i и базовых расходах на удовлетворение нужд, не относящихся к продовольствию, для группы по уровню дохода j, к которой относится страна i. Полученный пороговый показатель ri определяется по формуле:

где ci – стоимость здорового рациона в стране, а nj – стоимость основных непродовольственных товаров в группе стран по уровню дохода j. Итоговый показатель nj выражается в валюте, в которой рассчитывалась черта бедности за базовый год, – в настоящее время это доллары по ППС 2017 года; nj исчисляется путем умножения международных черт бедности Всемирного банка на долю суммарных расходов, которая должна быть зарезервирована на основные непродовольственные товары и услуги, которые обычно приобретает население стран каждой группы, в следующем порядке:

Сначала рассчитываются доли дохода, предназначенные для приобретения непродовольственных товаров и услуг – для этого используются данные, сообщенные домохозяйствами, которые в странах с низким уровнем доходах и странах с низким уровнем дохода и странах нижнего сегмента среднего уровня дохода входят во второй квинтиль, а в странах верхнего сегмента среднего уровня дохода и странах с высоким уровнем дохода – в первый квинтиль распределения доходов. Эти данные берутся из результатов обследований домохозяйств, проведенных Всемирным банком в последние годы, включая информацию о реальном потреблении по квинтилям дохода для 71 страны, относящейся к разным группам по уровню дохода.
Если стоимость основных непродовольственных товаров (nj) уже выражена в цифрах по ППС 2017 года, то стоимость здорового рациона пересчитывается из актуальных значений(ct) в значения по ППС 2017 года (ct2017 PPP) по следующей формуле:

где t = c 2017 по 2024, исключая 2021, и CPI
рассчитываются с помощью общего ИПЦ.
Наконец, пороговый показатель расходов ri, выраженный в единицах по ППС 2017 года, сравнивается с распределением доходов по странам xi с учетом располагаемого дохода домохозяйств, что позволяет установить долю населения, чей доход ниже этого порогового значения (см. формулу ниже):

Источник данных
Источником данных о распределении доходов служит платформа Всемирного банка "Нищета и неравенство", на которой публикуется информация примерно по 150 странам за период вплоть до 2024 года14.
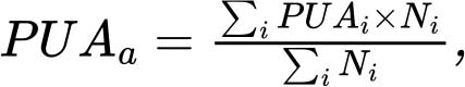
Сводные региональные и глобальные сводные показатели распространенности экономической недоступности по регионам и по всему миру рассчитываются как среднее арифметическое РЭН для стран, по которым имеются данные, взвешенное по численности населения, по следующей формуле:

где a – сводный показатель по региону или другой территории, PUAi – расчетное значение РЭН для страны i в составе сводного показателя, а Ni – численность населения. Сводные показатели по регионам определяются только в том случае, если в странах, по которым имеются расчетные данные, проживает по меньшей мере 50 процентов населения всей территории.
Затем рассчитывается число лиц, которые не могут позволить себе здоровый рацион (NUAa), для чего среднее расчетное значение PUAa по странам, по которым имеются данные, умножается на общую численность населения Na всех стран, к которым относится сводный показатель.

Глобальный показатель РЭН получают путем умножения РЭН в каждом из пяти регионов мира на численность населения каждого региона. Глобальный показатель ЧЭН не следует рассчитывать как сумму этих показателей для групп стран, объединенных по другим признакам, например по уровню дохода. Данные о численности населения были взяты из выпуска доклада "Мировые демографические перспективы" за 2024 год4.
Проблемы и ограничения
В настоящем выпуске доклада метод был уточнен исходя из того, что жители разных стран тратят разные суммы на удовлетворение потребностей, не относящихся к продовольствию. Однако ввиду отсутствия информации по конкретным странам эта разница пока учитывается только на уровне групп стран по уровню дохода, а не отдельных стран. Поэтому важно не только делать поправку на различия между отдельными странами, но и признавать, что минимальные расходы, обеспечивающие достойный уровень жизни (r=c+n), также варьируются в пределах каждой страны. Если не учитывать такие различия, особенно в крупных странах с разнообразными условиями, а использовать в качестве порогового значения r средний показатель по стране, то значение показателя экономической недоступности может оказаться искаженным. Характер и степень такого искажения зависят от характера и масштабов возможной корреляции между уровнем дохода и пороговым значением, корректно рассчитанным для конкретной местности.
Рекомендуемая литература
Bai, Y., Herforth, A., Cafiero, C., Conti, V., Rissanen, M.O., Masters, W.A. & Rosero Moncayo, J. 2024. Methods for monitoring the affordability of a healthy diet. FAO Statistics Working Paper Series, No. 24-44. Rome, FAO. https://doi.org/10.4060/cd3703en
Herforth, A., Bai, Y., Venkat, A., Mahrt, K., Ebel, A. & Masters, W.A. 2020. Cost and affordability of healthy diets across and within countries – Background paper for The State of Food Security and Nutrition in the World 2020. FAO Agricultural Development Economics Technical Study, No. 9. Rome, FAO. https://doi.org/10.4060/cb2431en
Истощение у детей в возрасте до пяти лет
Определение
Истощение диагностируется при соотношении массы тела (в кг) и роста/длины тела (в см) < –2 СО от медианного значения в соответствии с принятыми Всемирной организацией здравоохранения (ВОЗ) нормами роста детей.
Как предоставляется информация о показателе
Это доля детей в возрасте 0–59 месяцев, чей вес на –2 СО ниже медианного значения соотношения массы тела по возрасту в соответствии с принятыми ВОЗ нормами роста детей. Источником представленных данных послужил доклад ЮНИСЕФ, ВОЗ и Всемирного банка "Уровни и тенденции неполноценного питания среди детей: совместные оценки в отношении неполноценного питания детей. Основные выводы выпуска 2025 года"43. В каждом следующем выпуске все ряды сводных данных пересматриваются. Читателям предлагается не сравнивать региональные и глобальные серии с содержанием предыдущих выпусков доклада.
Методика
Страновой уровень
В наборе данных "Совместные оценки в отношении неполноценного питания детей" (СОНП) приводятся результаты точечной оценки, а также, при наличии, стандартная погрешность, 95 процентные доверительные интервалы и размер выборки без весовых коэффициентов. При наличии микроданных в наборе данных СОНП используются цифры, пересчитанные в соответствии с глобальным стандартным определением. При отсутствии микроданных используются расчетные данные без корректировки; исключение составляют случаи, когда корректировка необходима в целях стандартизации:
- для использования альтернативного справочного показателя роста, взятого из Стандартов роста детей ВОЗ 2006 года;
- для использования возрастных диапазонов, включающих не всю возрастную группу 0–59 месяцев; и
- для использования источников данных, репрезентативных на национальном уровне только в отношении населения сельских районов.
Сводные региональные и глобальные показатели
Для получения региональных и глобальных показателей распространенности истощения за период с 1990 по 2024 год были использованы соответствующие данные из национальных источников, представленные в наборе данных СОНП за май 2025 года, при этом использовалась субрегиональная многоуровневая модель СОНП и применялись весовые коэффициенты по численности детей в возрасте до пяти лет согласно данным, приведенным в выпуске доклада "Мировые демографические перспективы" за 2024 год4.
Источники данных
В качестве репрезентативных на национальном уровне источников данных используются репрезентативные для стран обследования домохозяйств, чаще всего – обследования домохозяйств (ОДЗ), кластерные обследования по множественным показателям (КОМП), обследования в рамках стандартного мониторинга и оценки оказания помощи и передачи ресурсов (СМАРТ) и ИКОУЖ, которые предусматривают отдельный сбор данных о питании детей, в том числе о росте, массе тела и возрасте детей до пяти лет, и могут использоваться как источники данных национального уровня о распространенности истощения. При большом охвате населения используются данные из административных источников (таких как системы регулярного сбора данных и системы наблюдения и надзора).
Поскольку страновые обследования могут проводиться в любой сезон, показатели распространенности по итогам любого обследования могут быть и высокими, и низкими, а если собираются данные за несколько сезонов, они могут находиться в середине диапазона. То есть сведения о распространенности истощения отражают ситуацию в конкретный момент времени, а не в течение всего года. Из-за сезонных колебаний показателей, приведенных в разных исследованиях, трудно делать выводы о тенденциях.
Проблемы и ограничения
Странам рекомендуется представлять данные об истощении каждые три пять лет, однако в ряде стран данные публикуются реже. Было сделано все возможное для обеспечения максимальной сопоставимости статистики по разным странам и периодам, и все же методы сбора данных, охват населения и методы оценки могут различаться, что может приводить к расхождениям в страновых данных. Данные обследований рассчитываются с разными уровнями неопределенности, обусловленными как ошибками выборки, так и погрешностями, не связанными с выборкой (технические ошибки измерения, ошибки регистрации и т. д.). До настоящего времени ни один из этих двух источников ошибок не учитывался в полной мере при подготовке данных на страновом, региональном и глобальном уровнях.
Рекомендуемая литература
de Onis, M., Blössner, M., Borghi, E., Morris, R. & Frongillo, E.A. 2004. Methodology for estimating regional and global trends of child malnutrition. International Journal of Epidemiology, 33(6): 1260–1270. https://doi.org/10.1093/ije/dyh202
UNICEF (United Nations Children’s Fund), WHO & World Bank. 2024. The UNICEF-WHO-World Bank Joint Child Malnutrition Estimates (JME) standard methodology. New York, USA. https://iris.who.int/bitstream/handle/10665/379080/9789240100190-eng.pdf?sequence=1
UNICEF, WHO & World Bank. Levels and trends in child malnutrition: UNICEF / WHO / World Bank Group Joint Child Malnutrition Estimates. Основные выводы выпуска 2025 года". New York, USA, Geneva, Switzerland and Washington, DC. https://data.unicef.org/resources/JME, https://www.who.int/teams/nutrition-and-food-safety/monitoring-nutritional-status-and-food-safety-and-events/joint-child-malnutrition-estimates/latest-estimates, https://datatopics.worldbank.org/child-malnutrition
ВОЗ. 2014. Комплексный план осуществления действий в области питания матерей, а также детей грудного и раннего возраста. Женева, Швейцария. https://iris.who.int/bitstream/handle/10665/113048/WHO_NMH_NHD_14.1_rus.pdf
WHO. 2024. Nutrition Landscape Information System (NLIS) country profile indicators: interpretation guide. Second edition. Geneva, Switzerland. https://www.who.int/publications/i/item/9789241516952
Отставание в росте у детей в возрасте до пяти лет
Определение
Отставание в росте определяется как соотношение роста/длины тела (в см) и возраста (в днях) <–2 СО от медианного значения в соответствии с принятыми ВОЗ нормами роста детей.
Как предоставляется информация о показателе
Это доля детей в возрасте 0–59 месяцев, показатель роста которых составляет –2 СО от медианного значения соотношения роста по возрасту в соответствии с принятыми ВОЗ нормами роста детей. Источником представленных данных послужил доклад ЮНИСЕФ, ВОЗ и Всемирного банка "Уровни и тенденции неполноценного питания среди детей: совместные оценки в отношении неполноценного питания детей. Основные выводы выпуска 2025 года"43. В каждом следующем выпуске все ряды сводных данных пересматриваются. Читателям предлагается не сравнивать региональные и глобальные серии с содержанием предыдущих выпусков доклада.
Методика
Страновой уровень
В наборе данных СОНП приводятся результаты точечной оценки, а также, при наличии, данные о стандартной погрешности, 95-процентные доверительные интервалы и размер выборки без учета весовых коэффициентов. При наличии микроданных в набор данных СОНП включаются цифры, пересчитанные в соответствии с глобальным стандартным определением. При отсутствии микроданных полученные оценки используются без корректировки; исключение составляют случаи, когда необходима стандартизация:
- для использования альтернативного справочного показателя роста, взятого из Стандартов роста детей ВОЗ 2006 года;
- для использования возрастных диапазонов, включающих не всю возрастную группу 0–59 месяцев; и
- для использования источников данных, репрезентативных на национальном уровне только в отношении населения сельских районов.
На основе набора данных СОНП за май 2025 года был выполнен анализ распространенности отставания в росте с применением логистической регрессии (логарифма отношения шансов) по смешанной модели продольного анализа со штрафом и неоднородным остаточным членом. Качество моделей выражалось в количественных единицах по критериям соответствия, которые позволяли в равной степени учитывать сложный характер модели и обеспечивать максимальное соответствие полученным данным. Предложенный метод имеет ряд важных характеристик, включая нелинейные временные тренды, региональные тренды, страновые тренды, ковариаты и разнородный остаточный член. Для оценки общего временного тренда и влияния ковариат на распространенность используется информация по всем странам, публикующим такие данные. Были использованы следующие ковариаты: линейный или квадратичный социодемографический индекс (СДИ)bd и средний доступ к системе здравоохранения в предыдущие пять лет.
В 2025 году в СОНП были опубликованы полученные с помощью моделей данные странового уровня о распространенности отставания в росте за период с 2000 по 2024 год для 162 стран и территорий. Кроме того, были опубликованы полученные с помощью моделей страновые данные еще для 43 стран, использованные исключительно для получения сводных показателей по регионам и по всему миру.
Сводные региональные и глобальные показатели
Сводные глобальные и региональные показатели за все годы в период с 1990 по 2024 год рассчитывались как средний показатель по соответствующим странам, взвешенный по численности детей в возрасте до пяти лет в этих странах согласно выпуску доклада "Мировые демографические перспективы" за 2024 год4 с использованием полученных с помощью модели оценок по 205 странам и территориям. Это оценки для 162 стран и территорий, чьи данные публикуются. Смоделированные оценки странового уровня по 43 из них использовались для расчета совокупных региональных и глобальных показателей, но здесь не приводятся.
Источники данных
В качестве репрезентативных на национальном уровне источников данных чаще всего используются репрезентативные для стран обследования домохозяйств (ОДЗ, КОМП, СМАРТ и ИКОУЖ), которые предусматривают отдельный сбор данных о питании детей, в том числе о росте и возрасте детей до пяти лет, и могут использоваться как источники данных национального уровня о распространенности отставания в росте. При большом охвате населения используются данные из административных источников (таких как системы регулярного сбора данных и системы наблюдения и надзора).
Проблемы и ограничения
Странам рекомендуется представлять данные об отставании в росте каждые три пять лет, однако в ряде стран данные публикуются реже. Было сделано все возможное для обеспечения максимальной сопоставимости статистики по разным странам и периодам, и все же методы сбора данных, охват населения и методы оценки могут различаться, что может приводить к расхождениям в страновых данных. Данные обследований рассчитываются с разными уровнями неопределенности, обусловленными как ошибками выборки, так и погрешностями, не связанными с выборкой (технические ошибки измерения, ошибки регистрации и т. д.). До настоящего времени ни один из этих двух источников ошибок не учитывался в полной мере при подготовке данных на страновом, региональном и глобальном уровнях.
Рекомендуемая литература
Brauer, M., Roth, G.A., Aravkin, A.Y., Zheng, P., Abata, K.H., Abate, Y.H., Abbafati, C. et al. 2024. Global burden and strength of evidence for 88 risk factors in 204 countries and 811 subnational locations, 1990-2021: a systematic analysis for the Global Burden of Disease Study 2021. The Lancet, 403(10440): 2162-2203. https://doi.org/10.1016/S0140-6736(24)00933-4. Erratum, The Lancet, 404(10449): 244. https://doi.org/10.1016/S0140-6736(24)01458-2
McLain, A.C., Frongillo, E.A., Feng, J. & Borghi, E. 2019. Prediction intervals for penalized longitudinal models with multisource summary measures: An application to childhood malnutrition. Statistics in Medicine, 38(6): 1002–1012. https://doi.org/10.1002/sim.8024
UNICEF, WHO & World Bank. 2024. The UNICEF-WHO-World Bank Joint Child Malnutrition Estimates (JME) standard methodology. New York, USA. https://iris.who.int/bitstream/handle/10665/379080/9789240100190-eng.pdf?sequence=1
UNICEF, WHO & World Bank. 2025. Levels and trends in child malnutrition: UNICEF / WHO / World Bank Group Joint Child Malnutrition Estimates. Key findings of the 2025 edition. New York, USA, Geneva, Switzerland and Washington, DC. https://data.unicef.org/resources/JME, https://www.who.int/teams/nutrition-and-food-safety/monitoring-nutritional-status-and-food-safety-and-events/joint-child-malnutrition-estimates/latest-estimates, https://datatopics.worldbank.org/child-malnutrition
ВОЗ. 2014. Комплексный план осуществления действий в области питания матерей, а также детей грудного и раннего возраста. Женева, Швейцария. https://iris.who.int/bitstream/handle/10665/113048/WHO_NMH_NHD_14.1_rus.pdf
WHO. 2024. Nutrition Landscape Information System (NLIS) country profile indicators: interpretation guide. Second edition. Geneva, Switzerland. https://www.who.int/publications/i/item/9789241516952
WHO & UNICEF. 2019. Recommendations for data collection, analysis and reporting on anthropometric indicators in children under 5 years old. Geneva, Switzerland and New York, USA. https://www.who.int/publications/i/item/9789241515559
Избыточная масса тела у детей в возрасте до пяти лет
Определение
Соотношение массы тела (в кг) и роста/длины тела (в см) > +2 СО от медианного значения в соответствии с принятыми ВОЗ нормами роста детей.
Как предоставляется информация о показателе
Это доля детей в возрасте 0–59 месяцев, чей вес на +2 СО превышает медианное значение соотношения роста по возрасту в соответствии с принятыми ВОЗ нормами роста детей. Источником представленных данных послужил доклад ЮНИСЕФ, ВОЗ и Всемирного банка "Уровни и тенденции неполноценного питания среди детей: совместные оценки в отношении неполноценного питания детей. Основные выводы выпуска 2025 года"43. В каждом следующем выпуске все ряды сводных данных пересматриваются. Читателям предлагается не сравнивать региональные и глобальные серии с содержанием предыдущих выпусков доклада.
Методика
Страновой уровень
В наборе данных СОНП приводятся результаты точечной оценки, а также, при наличии, данные о стандартной погрешности, 95-процентные доверительные интервалы и размер выборки без учета весовых коэффициентов. При наличии микроданных в набор данных СОНП включаются цифры, пересчитанные в соответствии с глобальным стандартным определением. При отсутствии микроданных полученные оценки используются без корректировки; исключение составляют случаи, когда необходима стандартизация:
- для использования альтернативного справочного показателя роста, взятого из Стандартов роста детей ВОЗ 2006 года;
- для использования возрастных диапазонов, включающих не всю возрастную группу 0–59 месяцев; и
- для использования источников данных, репрезентативных на национальном уровне только в отношении населения сельских районов.
На основе набора данных СОНП за май 2025 года был выполнен анализ распространенности избыточной массы тела с применением логистической регрессии (логарифма отношения вероятностей) по смешанной модели продольного анализа со штрафом и неоднородным остаточным членом. Качество моделей выражалось в количественных единицах по критериям соответствия, которые позволяли в равной степени учитывать сложный характер модели и обеспечивать максимальное соответствие полученным данным. Предложенный метод имеет ряд важных характеристик, включая нелинейные временные тренды, региональные тренды, страновые тренды, ковариаты и разнородный остаточный член. Для оценки общего временного тренда и влияния ковариат на распространенность используется информация по всем странам, публикующим такие данные. В качестве ковариат были взяты линейный или квадратичный СДИ.
В 2025 году в СОНП были опубликованы полученные с помощью моделей данные странового уровня о распространенности отставания в росте за период с 2000 по 2024 год для 163 стран и территорий. Кроме того, были опубликованы полученные с помощью моделей страновые данные еще для 42 стран, использованные исключительно для получения сводных показателей по регионам и по всему миру.
Сводные региональные и глобальные показатели
Сводные глобальные и региональные показатели за все годы в период с 1990 по 2024 год рассчитывались как средний показатель по соответствующим странам, взвешенный по численности детей в возрасте до пяти лет в этих странах согласно выпуску доклада "Мировые демографические перспективы" за 2024 год4 с использованием полученных с помощью модели оценок по 205 странам и территориям. Это оценки для 163 стран и территорий, чьи данные публикуются. Смоделированные оценки странового уровня по 42 из них использовались для расчета совокупных региональных и глобальных показателей, но здесь не приводятся.
Источники данных
В качестве репрезентативных на национальном уровне источников данных чаще всего используются репрезентативные для стран обследования домохозяйств (ОДЗ, КОМП, СМАРТ и ИКОУЖ), которые предусматривают отдельный сбор данных о питании детей, в том числе о росте, массе тела и возрасте детей до пяти лет, и могут использоваться как источники данных национального уровня о распространенности избыточной массы тела. При большом охвате населения используются данные из определенных административных источников (таких как системы регулярного сбора данных и системы наблюдения и надзора).
Проблемы и ограничения
Странам рекомендуется представлять данные об избыточной массе тела каждые три – пять лет, однако в ряде стран данные публикуются реже. Было сделано все возможное для обеспечения максимальной сопоставимости статистики по разным странам и периодам, и все же методы сбора данных, охват населения и методы оценки могут различаться, что может приводить к расхождениям в страновых данных. Данные обследований рассчитываются с разными уровнями неопределенности, обусловленными как ошибками выборки, так и погрешностями, не связанными с выборкой (технические ошибки измерения, ошибки регистрации и т. д.). До настоящего времени ни один из этих двух источников ошибок не учитывался в полной мере при подготовке данных на страновом, региональном и глобальном уровнях.
Рекомендуемая литература
Brauer, M., Roth, G.A., Aravkin, A.Y., Zheng, P., Abata, K.H., Abate, Y.H., Abbafati, C. et al. 2024. Global burden and strength of evidence for 88 risk factors in 204 countries and 811 subnational locations, 1990-2021: a systematic analysis for the Global Burden of Disease Study 2021. The Lancet, 403(10440): 2162-2203. https://doi.org/10.1016/S0140-6736(24)00933-4. Erratum, The Lancet, 404(10449): 244. https://doi.org/10.1016/S0140-6736(24)01458-2
McLain, A.C., Frongillo, E.A., Feng, J. & Borghi, E. 2019. Prediction intervals for penalized longitudinal models with multisource summary measures: An application to childhood malnutrition. Statistics in Medicine, 38(6): 1002–1012. https://doi.org/10.1002/sim.8024
UNICEF, WHO & World Bank. 2024. The UNICEF-WHO-World Bank Joint Child Malnutrition Estimates (JME) standard methodology. New York, USA. https://iris.who.int/bitstream/handle/10665/379080/9789240100190-eng.pdf?sequence=1
UNICEF, WHO & World Bank. 2025. Levels and trends in child malnutrition: UNICEF / WHO / World Bank Group Joint Child Malnutrition Estimates. Key findings of the 2025 edition. New York, USA, Geneva, Switzerland and Washington, DC. https://data.unicef.org/resources/JME, https://www.who.int/teams/nutrition-and-food-safety/monitoring-nutritional-status-and-food-safety-and-events/joint-child-malnutrition-estimates/latest-estimates, https://datatopics.worldbank.org/child-malnutrition
ВОЗ. 2014. Комплексный план осуществления действий в области питания матерей, а также детей грудного и раннего возраста. Женева, Швейцария. https://iris.who.int/bitstream/handle/10665/113048/WHO_NMH_NHD_14.1_rus.pdf
WHO. 2024. Nutrition Landscape Information System (NLIS) country profile indicators: interpretation guide. Second edition. Geneva, Switzerland. https://www.who.int/publications/i/item/9789241516952
WHO & UNICEF. 2019. Recommendations for data collection, analysis and reporting on anthropometric indicators in children under 5 years old. Geneva, Switzerland and New York, USA. https://www.who.int/publications/i/item/9789241515559
Исключительно грудное вскармливание
Определение
Исключительно грудное вскармливание младенцев в возрасте до шести месяцев определяется как получение ими только грудного молока, без прикорма и питья, даже без воды.
Как предоставляется информация о показателе
Это доля младенцев в возрасте от 0 до 5 месяцев, которые в течение 24 часов, предшествующих обследованию, получали исключительно грудное молоко без прикорма или питья, даже без воды.
Источником представленных данных послужила база данных ЮНИСЕФ по кормлению детей грудного и раннего возраста15.
Методика
Страновой уровень
Показатель определяется как грудное вскармливание без прикорма или питья, даже без воды. Рассчитывается на основе представленной респондентами информации о том, какую пищу получали входящие в представительную выборку грудные дети в возрасте от 0 до 5 месяцев в предыдущий день.

Получение грудного молока от кормилицы, кормление сцеженным грудным молоком и кормление человеческим молоком от донора также считаются грудным вскармливанием. Выписанные ребенку лекарства, раствор для пероральной регидратации, витамины и минералы не считаются жидкостью или прикормом. Однако травяные настои и подобные им традиционные средства народной медицины считаются жидкостями, и дети, употребляющие их, не считаются находящимися на исключительно грудном вскармливании.
Сводные региональные и глобальные показатели
Сводные региональные и глобальные оценки по исключительно грудному вскармливанию за 2012 год были сформированы с использованием самых свежих опубликованных данных по каждой стране за период с 2005 по 2012 год. Оценки за 2023 год также были сформированы на основе самых свежих доступных данных по каждой стране за период с 2017 по 2023 год (кроме пяти стран, по которым были взяты данные за 2024 год). Глобальные и региональные показатели рассчитывались как средневзвешенная доля находящихся на исключительно грудном вскармливании младенцев в каждой стране; в качестве весовых коэффициентов были использованы данные об общем количестве младенцев в возрасте от 0 до 5 месяцев (определенном как половина населения в возрасте нуля лет), приведенные в выпуске доклада "Мировые демографические перспективы" 2024 года (базовым периодом был выбран 2012 год, текущим – 2023 год)4. Если не указано иное, оценки приводятся только в случаях, когда имеющиеся данные репрезентативны как минимум для 50 процентов младенцев в возрасте от 0 до 5 месяцев, проживающих в соответствующем регионе.
Источники данных
Данные собираются с помощью репрезентативных для стран обследований домохозяйств, таких как ОДЗ и КОМП. Оценки формируются на основе ответов на вопросы о том, какие жидкости и пищу дети в возрасте 0–23 месяцев получали в течение 24 часов, предшествовавших обследованию.
Проблемы и ограничения
Данные по исключительно грудному вскармливанию собираются во многих странах, однако данных по странам с высоким уровнем дохода практически нет. Рекомендованная периодичность представления данных по исключительно грудному вскармливанию составляет три пять лет. При этом некоторые страны представляют данные реже, в результате чего об изменениях порядка кормления часто становится известно только через несколько лет после того, как изменения фактически происходят.
На средний показатель по регионам и по всему миру может влиять то, какие страны представили данные за периоды, рассматриваемые в настоящем докладе.
Использование питания, полученного младенцем в предшествующий обследованию день, как базового показателя может привести к завышению доли младенцев, получающих исключительно грудное вскармливание, поскольку младенец, получающий другие жидкости и прикорм нерегулярно, мог не получать их в день, предшествовавший обследованию.
Рекомендуемая литература
UNICEF. 2024. Infant and young child feeding. См.: UNICEF. [По состоянию на 30 апреля 2025 года]. https://data.unicef.org/topic/nutrition/infant-and-young-child-feeding
ВОЗ. 2014. Комплексный план осуществления действий в области питания матерей, а также детей грудного и раннего возраста. Женева, Швейцария. https://iris.who.int/bitstream/handle/10665/113048/WHO_NMH_NHD_14.1_rus.pdf
WHO. 2024. Nutrition Landscape Information System (NLIS) country profile indicators: interpretation guide. Second edition. Geneva, Switzerland. https://www.who.int/publications/i/item/9789241516952
WHO & UNICEF. 2021. Indicators for assessing infant and young child feeding practices: definitions and measurement methods. Geneva, Switzerland and New York, USA. https://www.who.int/publications/i/item/9789240018389
Низкая масса тела при рождении
Определение
Низкая масса тела при рождении определяется как масса тела ребенка при рождении менее 2500 г.
Как предоставляется информация о показателе
Это доля новорожденных с массой тела при рождении менее 2500 г (5,51 фунта). Источником представленных оценок послужило издание доклада ЮНИСЕФ и ВОЗ "Совместные оценки низкой массы тела при рождении"16. В каждом выпуске доклада весь ряд данных обновляется, поэтому читателям предлагается не сравнивать ряды данных с содержанием предыдущих выпусков.
Методика
Страновой уровень
Сопоставлялись репрезентативные для стран данные о низкой массе тела при рождении, включая данные обследований и административные данные по 158 странам за период с 2000 по 2020 год. При подготовке последнего набора страновых данных для расчетов с помощью модели были применены критерии качества данных и методы корректировки. Перед включением страновых данных о массе тела в набор проводится анализ их охвата и качества и вносятся необходимые поправки на погрешности по причине пропуска либо избыточного огрубления данных. Чтобы административные данные о массе тела при рождении можно было включать в набор данных, они должны охватывать не менее 80 процентов живорожденных младенцев за соответствующий год согласно данным, приведенным в публикации "Мировые демографические перспективы"17 за 2022 год. Для включения в набор данных национальных обследований домохозяйств они должны отвечать следующим критериям:
- указана масса тела при рождении как минимум для 30 процентов выборки;
- в наборе данных содержится как минимум 200 значений массы тела при рождении;
- отсутствуют следующие признаки избыточного огрубления данных, то есть: i) три наиболее распространенных значения веса могут составлять не более 55 процентов от общего числа значений (например, если чаще всего встречаются значения 3000 г, 3500 г и 2500 г, в совокупности они должны составлять не более 55 процентов от общего числа); ii) значения веса при рождении ≥4500 г должны составлять не менее 10 процентов от общего числа значений; iii) крайние значения диапазона (<500 г и >5000 г) должны составлять не более 5 процентов; и
- сделаны поправки на пропуск и огрубление данных о массе тела при рождении.
Распространенность низкой массы тела при рождении на национальном уровне прогнозировалась по модели байесовской многоуровневой регрессии. Моделирование проводилось с применением логистической регрессии (логарифма отношения вероятностей), что обеспечивало значение отношений в диапазоне от ноля до единицы, с последующим обратным преобразованием и умножением на 100 для получения оценок распространенности.
Корреляция внутри регионов и между ними корректировалась по иерархическим произвольным интерсептам для конкретных стран (страновые оценки внутри региональных оценок внутри глобальных оценок). Для сглаживания временных рядов по времени были использованы сплайны со штрафами, то есть нелинейные временные тренды странового уровня отображались без случайных вариаций, влияющих на тренд. В итоговую модель были включены следующие ковариатные данные: валовой национальный доход в ППС на человекаbe, распространенность недостаточной массы тела среди взрослых женщин, доля грамотных среди взрослых женщин, доля лиц, использующих современные методы контрацепции, и доля городского населения.
Для учета смещений и дополнительных членов дисперсии были использованы категории качества данных. Такие смещения учитывались при использовании административных данных низших категорий качества, что приблизительно соответствовало ожидаемой погрешности по причине огрубления данных, уже учтенной при корректировке данных обследований. Дополнительный член дисперсии определялся исходя из категории качества административных данных и весовых коэффициентов административных данных и данных обследований, если по стране были доступны данные из обоих источников.
Для оценки сходимости и эффективности выборок использовались стандартные диагностические проверки. Была осуществлена перекрестная проверка с усреднением по 200 произвольно выделенным пакетам, содержащим 20 процентов проверяемых данных и 80 процентов обучающих данных. Был проведен анализ чувствительности, который включал проверки по ковариатным данным, методикам определения смещения, сглаживанию по времени и неинформативным данным за предыдущие периоды. Все модели были включены в статистическое программное обеспечение R и входящие в комплекс R пакеты "rjags" и "R2jags"18, 19.
Расчеты по модели с использованием данных за 2040 страно-лет, отвечающих установленным критериям, позволили получить годовые оценки за период с 2000 по 2020 год с доверительным интервалом 95 процентов для 195 стран и территорий, по которым были доступны входные данные о низкой массе тела при рождении либо ковариатные данные. Приводятся только оценки для стран и территорий, по которым имелись данные. Для прогнозной оценки распространенности низкой массы тела при рождении в 37 странах (из 195), данные по которым отсутствовали либо не отвечали критериям, использовалась итоговая модель, построенная на основе интерсептов по странам и временных трендов, рассчитанных на основании ковариатных данных регионального и странового уровней за все страно-годы.
Сводные региональные и глобальные показатели
Сводные региональные и глобальные показатели были сформированы с использованием всех оценок по всем 195 странам и территориям, взвешенных по количеству живорожденных младенцев за соответствующий год согласно данным, приведенным в выпуске доклада "Мировые демографические перспективы" за 2022 год17.
Источники данных
Репрезентативные для стран оценки распространенности низкой массы тела при рождении могут быть получены из ряда источников, в общем определяемых как национальные административные данные или репрезентативные обследования домохозяйств. Национальными административными данными считаются данные, взятые из национальных систем, включая системы регистрации актов гражданского состояния и демографической статистики, национальные системы управленческой информации для целей здравоохранения и реестры рождений. Еще одним ценным источником данных о низком весе при рождении, особенно в ситуациях, когда вес новорожденных не регистрируется и/или существует проблема огрубления данных, служат национальные обследования домохозяйств (ОДЗ, КОМП), в рамках которых собирается информация о массе тела при рождении и о прочих показателях, включая размер при рождении, записанный со слов матерей.
Проблемы и ограничения
Серьезным ограничением для мониторинга распространенности низкой массы тела при рождении в мире является отсутствие данных по этому показателю в отношении значительной доли младенцев в мире. Масса тела детей, родившихся у малоимущих малообразованных матерей, проживающих в сельских районах, регистрируется реже, чем масса тела детей, родившихся в более благополучных с финансовой точки зрения городских семьях у высокообразованных матерей, что приводит к заметному смещению. В модель не была включена почти треть исследований, содержащих данные о массе тела при рождении, главным образом по причине пропуска или низкого качества данных, в основном по странам с низким уровнем дохода, находящимся в регионах с высоким риском низкой массы тела при рождении.
На детей, по которым отсутствуют данные о массе тела при рождении, воздействуют факторы риска низкой массы тела при рождении; показатели, рассчитанные без учета таких детей, могут быть заниженными по сравнению с фактическими цифрами. Кроме того, данные по странам с низким и средним уровнем дохода отличаются низким качеством и огрубляются до чисел, кратных 500 или 100 г, что также может приводить к недооценке распространенности низкой массы тела при рождении. Решить эту проблему призваны использованные при подготовке актуальной базы данных методы корректировки на пропуск данных о массе тела при рождении и огрубление данных обследований. Используемые методы имеют такие ограничения, как отсутствие данных на уровне отдельных лиц в составе административных данных и невозможность прямой корректировки таких данных для устранения смещения по причине огрубления и пропуска данных.
При группировке стран по географическому признаку для включения в модель могут не учитываться статистические выбросы по регионам в части эпидемиологических или экономических характеристик. Результатом могли стать погрешности в оценках для 37 стран без входных данных (из 195). Кроме того, могли быть искусственно занижены доверительные интервалы для региональных и глобальных оценок, поскольку при составлении прогнозов по методу "бутстрэп" примерно для половины стран, включенных в модель, отмечался специфический случайный эффект (в одних случаях положительный, в других – отрицательный), что вело к снижению относительной неопределенности на региональном и глобальном уровнях по сравнению со страновым.
Рекомендуемая литература
Blanc, A. & Wardlaw, T. 2005. Monitoring low birth weight: An evaluation of international estimates and an updated estimation procedure. Bulletin World Health Organization, 83(3): 178–185. https://www.ncbi.nlm.nih.gov/pmc/articles/PMC2624216
Chang, K.T., Carter, E.D., Mullany, L.C., Khatry, S.K., Cousens, S., An, X., Krasevec, J. et al. 2022. Validation of MINORMIX approach for estimation of low birthweight prevalence using a rural Nepal dataset. The Journal of Nutrition, 152(3): 872–879. https://doi.org/10.1093/jn/nxab417
Okwaraji, Y.B., Krasevec, J., Bradley, E., Conkle, J., Stevens, G.A., Gatica-Domínguez, G., Ohuma, E.O. et al. 2024. National, regional, and global estimates of low birthweight in 2020, with trends from 2000: a systematic analysis. The Lancet, 403(10431): 1071–1080. https://doi.org/10.1016/S0140-6736(23)01198-4
UNICEF & WHO. 2023. Low birthweight. См.: UNICEF. [По состоянию на 28 апреля 2025 года]. https://data.unicef.org/topic/nutrition/low-birthweight
UNICEF & WHO. 2023. Joint Child Malnutrition Estimates. См.: WHO. [По состоянию на 28 апреля 2025 года]. https://www.who.int/teams/nutrition-and-food-safety/monitoring-nutritional-status-and-food-safety-and-events/joint-low-birthweight-estimates
Ожирение у взрослых
Определение
Ожирение у взрослых определяется как индекс массы тела ≥ 30,0 кг/м2. ИМТ – это отношение веса к росту; этим показателем часто описывается состояние питания взрослых. Показатель рассчитывается делением веса тела в килограммах на квадрат роста в метрах (кг/м2). Страдающими от ожирения считаются лица, чей ИМТ составляет 30 кг/м2 и более.
Как предоставляется информация о показателе
Это доля населения в возрасте 18 лет и старше, чей ИМТ составляет 30,0 кг/м2 и более, взвешенная по полу и нормализованная по возрасту. Источником представленных данных служит публикация WHO (2024)44. В каждом следующем выпуске доклада все ряды данных обновляются. Читателям предлагается не сравнивать последнюю серию с содержанием предыдущих выпусков.
Методика
Страновой уровень
Для оценки тенденций распространенности различных категорий ИМТ в разбивке по полу, возрасту, стране и году за период с 1990 по 2022 год была применена иерархическая модель байесовской линейной регрессии с использованием выборки, сформированной методом Монте-Карло по схеме цепей Маркова (MCMC), а выводы были сделаны на основе выборок, сформированных методом MCMC из апостериорного распределения вероятностей. Страны были разделены на 20 регионов и восемь "суперрегионов", в основном по географическому положению и национальному доходу. Модель имела иерархическую структуру, то есть оценки для каждой страны и каждого года основывались на собственных данных страны, при наличии таковых, и на данных той же страны за другие годы и других стран, особенно тех, которые находятся в том же регионе и том же "суперрегионе" и по которым есть данные за аналогичные периоды времени. В модель были включены нелинейные временные тренды, для чего использовалась комбинация линейных свободных членов и свободных членов случайного блуждания второго порядка, которые моделировались иерархически. Возрастная корреляция ИМТ моделировалась с помощью кубического сплайна, что позволило учесть нелинейные возрастные закономерности, которые в разных странах могут быть неодинаковыми. Коэффициенты сплайнов моделировались иерархически, и допускалось их постепенное изменение с учетом возрастных корреляций. Для нормализации по возрасту брались средневзвешенные оценки с учетом возраста и пола, при этом использовались возрастные весовые коэффициенты стандартного населения ВОЗ20.
Сводные региональные и глобальные показатели
Глобальные и региональные показатели распространенности рассчитываются как среднее по странам, входящим в состав выделенных групп, взвешенное по численности населения.
Источники данных
Основными источниками данных для мониторинга ожирения среди взрослых служат исследования населения с измерением роста и веса, такие как репрезентативные на национальном уровне обследования домохозяйств.
Проблемы и ограничения
Индекс массы тела – не идеальный показатель количества и распределения жира в организме, но он публикуется в большом числе обследований населения и используется в клинической практике; кроме того, он может использоваться в сочетании с двухэнергетической рентгеновской абсорбциометрией – комплексным и более дорогостоящим методом.
По ряду стран источников данных было крайне мало, а по трем странам такие источники отсутствовали. Оценки по ним в значительной мере формировались на основе данных из других стран, для чего использовалась географическая иерархия.
Кроме того, доступные данные по разным возрастным группам были доступны в разном объеме, причем по пожилым (лицам в возрасте от 65 лет) данных было меньше, что повышало неопределенность оценок для этой возрастной группы.
Рекомендуемая литература
Ahmad, O.B., Boschi-Pinto, C., Lopez, A.D., Murray, C.J., Lozano, R. & Inoue, M. 2001. Age standardization of rates: A new WHO standard. GPE Discussion Paper Series 31. Geneva, Switzerland, WHO. https://cdn.who.int/media/docs/default-source/gho-documents/global-health-estimates/gpe_discussion_paper_series_paper31_2001_age_standardization_rates.pdf
NCD-RisC (NCD Risk Factor Collaboration). 2024. Worldwide trends in underweight and obesity from 1990 to 2022: a pooled analysis of 3663 population-representative studies with 222 million children, adolescents, and adults. The Lancet, 403(10431): 1027–1050. https://doi.org/10.1016/S0140-6736(23)02750-2
ВАЗ (Всемирная ассамблея здравоохранения). 2013. Шестьдесят шестая Всемирная ассамблея здравоохранения. Последующие меры в контексте Политической декларации Совещания высокого уровня Генеральной Ассамблеи по профилактике неинфекционных заболеваний и борьбе с ними. https://apps.who.int/gb/ebwha/pdf_files/WHA66/A66_R10-ru.pdf?ua=1
WHO. 2022. Updated Appendix 3 of the WHO Global NCD Action Plan 2013–2030 – Technical Annex (обновленная редакция от 26 декабря 2022 года). Geneva, Switzerland. https://cdn.who.int/media/docs/default-source/ncds/mnd/2022-app3-technical-annex-v26jan2023.pdf?sfvrsn=62581aa3_5
ВОЗ. 2024. Портал данных по неинфекционным заболеваниям. См.: ВОЗ. [По состоянию на 8 апреля 2024 года]. https://ncdportal.org
WHO. 2024. Nutrition Landscape Information System (NLIS) country profile indicators: interpretation guide. Second edition. Geneva, Switzerland. https://www.who.int/publications/i/item/9789241516952
WHO. 2024. Global Health Observatory data repository: Prevalence of obesity among adults, BMI ≥ 30, age-standardized – Estimates by country. [По состоянию на 24 июля 2024 года]. https://www.who.int/data/gho/data/indicators/indicator-details/GHO/prevalence-of-obesity-among-adults-bmi-=-30-(age-standardized-estimate)-(-). Лицензия: CC-BY-4.0.
Анемия у женщин в возрасте 15–49 лет
Определение
Анемия у женщин в возрасте 15–49 лет определяется как доля женщин в возрасте от 15 до 49 лет с содержанием гемоглобина в крови ниже 120 г/л (для небеременных и кормящих женщин) либо ниже 110 г/л (для беременных женщин), скорректированная по высоте над уровнем моря и склонности к курению.
Как предоставляется информация о показателе
Доля женщин в возрасте 15–49 лет с содержанием гемоглобина в крови ниже 110 г/л (для беременных женщин) либо ниже 120 г/л (для небеременных женщин). Источником представленных данных служит публикация WHO (2025)45. В каждом следующем выпуске доклада все ряды данных обновляются. Читателям предлагается не сравнивать последнюю серию с содержанием предыдущих выпусков.
Методика
Страновой уровень
В публикацию "Показатели распространенности анемии у беременных и небеременных женщин в возрасте 15–49 лет" 2025 года вошли данные, полученные из таких источников как база данных по питательным микроэлементам в рамках разработанной ВОЗ Информационной системы данных о содержании витаминов и минералов в продуктах питания (ИСВМ) и анонимизированные данные на уровне отдельных лиц за период с 1995 по 2023 год. При необходимости (т. е. если население страны живет на большой высоте над уровнем моря) значения концентрации гемоглобина в крови корректировались по высоте над уровнем моря, и по возможности выполнялась корректировка по склонности к курению. Биологически неправдоподобные значения концентрации гемоглобина (<25 г/л или >200 г/л) не учитывались.
Для оценки трендов по каждой стране и каждому году использовалась смешанная иерархическая модель Байеса, в которую включались данные по этой стране и этому году, а также данные за другие годы по той же стране и по другим странам в том же регионе. В модели в основном учитывались регионы с меньшим объемом данных и в меньшей степени – регионы с большим объемом данных. С помощью модели были получены линейные, а также сглаженные нелинейные тренды на страновом, региональном и глобальном уровнях. Кроме того, использовались такие ковариаты, как социально-демографический индекс, предложение мяса и распространенность избыточной массы тела. Более подробная информация приводится в справочном документе "Разработанная ВОЗ стандартная методика оценки показателя 2.3 ЦУР 2 (распространенность анемии у беременных и небеременных женщин в возрасте 15–49 лет)"21.
В этом выпуске была усовершенствована обработка данных, полученных путем взятия капиллярной крови, в частности с использованием системы HemoCue® 301, с учетом возможных погрешностей и смещения. Для сведения к минимуму погрешностей при анализе капиллярной крови использовались средние концентрации гемоглобина, а при анализе венозной крови – все имеющиеся данные. Для коррекции на предполагаемую погрешность измерений с помощью системы HemoCue® 301 и уточнения прогнозов распространенности анемии в модель был включен индикатор HemoCue® 301.
В результате были получены согласованные оценки содержания гемоглобина и распространенности анемии с применением пороговых значений, установленных в 1989 году (ниже 110 г/л для беременных женщин и ниже 120 г/л для небеременных женщин)22. Последние критерии 2024 года не использовались ввиду ограниченности данных на уровне отдельного человека, необходимых для проведения повторного анализа23, однако в настоящее время готовятся обновленные данные для следующих выпусков, в которых будут использоваться обновленные пороговые значения.
Сводные региональные и глобальные показатели
Глобальные и региональные показатели распространенности рассчитываются как среднее по странам, входящим в состав выделенных групп, взвешенное по численности населения.
Источники данных
Предпочтительным источником данных считаются обследования населения. При определенных обстоятельствах можно использовать данные систем эпиднадзора, но зарегистрированные в них показатели диагностики обычно занижаются. В базе данных по питательным микроэлементам24 ИСВМ ВОЗ собраны и обобщены данные о статусе населения с точки зрения питательных микроэлементов, полученные из других источников, в том числе из научной литературы и от партнеров, включая региональные и страновые бюро ВОЗ, учреждения системы Организации Объединенных Наций, министерства здравоохранения, научно-исследовательские и академические учреждения, а также неправительственные организации. Кроме того, использовались анонимные данные на уровне отдельного человека, собранные в рамках многострановых обследований, включая ОДЗ, многоиндикаторные обследования по малярии и обследования репродуктивного здоровья.
Проблемы и ограничения
Значительная доля стран представила данные репрезентативных на национальном уровне обследований по анемии, но данных по этому показателю недостаточно, особенно по странам с высоким уровнем дохода. Кроме того, в этом выпуске использовались данные только из таких источников, по которым был известен метод измерения. Поэтому оценки могут не в полной мере отражать различия по странам и регионам, а при скудости данных показатели сводятся к среднемировым.
Рекомендуемая литература
Stevens, G.A., Paciorek, C.J., Flores-Urrutia, M.C., Borghi, E., Namaste, S., Wirth, J.P., Suchdev, P.S., Ezzati, M., Rohner, F., Flaxman, S.R. & Rogers, L.M. 2022. National, regional, and global estimates of anaemia by severity in women and children for 2000–19: a pooled analysis of population-representative data. The Lancet Global Health, 10(5): e627–e639. https://doi.org/10.1016/S2214-109X(22)00084-5
ВОЗ. 2011. Концентрации гемоглобина для диагностики анемии и оценки ее тяжести. Информационная система данных о содержании витаминов и минералов в продуктах питания. Женева, Швейцария. https://iris.who.int/bitstream/handle/10665/112441/WHO_NMH_NHD_MNM_11.1_rus.pdf?sequence=5&isAllowed=y
ВОЗ. 2014. Комплексный план осуществления действий в области питания матерей, а также детей грудного и раннего возраста. Женева, Швейцария. https://iris.who.int/bitstream/handle/10665/113048/WHO_NMH_NHD_14.1_rus.pdf
WHO. 2025. Global nutrition Targets 2030 to improve maternal, infant and young child nutrition. Dashboard. См.: WHO. [По состоянию на 6 июня 2025 года]. https://data.who.int/dashboards/nutrition?m49=004
ВОЗ. 2025. Портал данных по питанию. См.: WHO. [По состоянию на 8 мая 2025 года]. https://platform.who.int/nutrition/nutrition-portals
ВОЗ. 2025. Информационная система данных о содержании витаминов и минералов в продуктах питания (ИСВМ). См.: ВОЗ. [По состоянию на 8 мая 2025 года]. https://www.who.int/teams/nutrition-and-food-safety/databases/vitamin-and-mineral-nutrition-information-system
WHO. 2025. WHO global anaemia estimates, 2025 edition. См.: WHO. [По состоянию на 8 мая 2025 года]. https://www.who.int/data/gho/data/themes/topics/anaemia_in_women_and_children
WHO. 2025. WHO standard methodology to estimate SDG 2.2.3 indicator on anaemia prevalence in women 15-49 years, by pregnancy status. 2000-2023. Geneva, Switzerland. [По состоянию на 6 июня 2025 года]. https://www.who.int/teams/nutrition-and-food-safety/monitoring-nutritional-status-and-food-safety-and-events/global-anaemia-estimates/methodology-for-the-global-anaemia-estimates