by
Z.M. AKSUTINA
All-Union Research Institute of Marine Fisheries and Oceanography (VNIRO)
Moscow, U.S.S.R.
The distinguishing feature of modern biology is that it has turned from a descriptive science into a quantitative science through the application of statistical analysis and other mathematical approaches. Because of the variability of individuals and groups, sampling statistics must be used.
The great majority of the objects of study are more or less homogeneous (species, families, stocks and so on) and are characterized by a complex of common properties or characteristics. Let us consider a group of organisms having some common qualitative or quantitative character to be a general population. Depending on this common character, the general population might be a stock of pike-perch, or the whole fish population of the Black Sea. It could also be cod fingerlings, or salmon eggs, or the production of a fish farm, or the whole animal kingdom of earth.
In the majority of cases, to examine all the objects in a population with a view to studying any of its characteristics, is a tremendous or even an impossible task. Since it is not feasible to study the whole population the scientist examines only a part of its components - this is the statistical population or the population sampled or, in brief, the sample. For example, a drop of blood is sufficient to draw conclusions concerning all the blood in a patient; the strength of a year-class of fish is determined on the basis of individual samples taken from the stock of recruits in question; a few representative catches provide a picture of the entire fish population in a particular body of water. This method of studying populations is called sampling.
If all individuals in a population were alike it would be possible to obtain complete information on the whole population. However, the components of a population differ because the development of the animal organism is determined by a variety of internal and external conditions. There are no two absolutely identical organisms in nature (neither fishes nor cells).
The first objective of sampling is that the sample should represent the population being studied. Not every sample will represent the population under study. For example, schools of some fish species migrate, after spawning, with females at the head of a school, followed by the young, and with the males in the rear. A sample from the front of the school would not represent the whole school. In other words, the sample would not be representative.
The sample can represent the whole population only if it is sufficiently large and there has been appropriate randomization. However, even properly selected samples do not provide completely accurate information concerning the population. Owing to the fact that only part of the population has been examined, statistics derived from sample data have a probability distribution. Hence the estimation of the accuracy and reliability of such statistics is an integral part of the sampling method. The second objective of sampling, therefore, is to draw the most correct and reliable conclusions regarding the population that the sample data will provide.
Randomization is a necessary feature of the sampling method of investigation, without which the results of sampling would be indefinite and groundless.
According to the Law of Large Numbers a sample will be representative if it is sufficiently large and the principle of random sampling has been fulfilled, i.e. all members of the population have an equal chance of appearing in the sample. In spite of the seeming simplicity of these requirements, they prove difficult in practice. By introducing a personal bias the scientist frequently violates the principle of randomization. This may bring systematic error into the sample, and give distorted information concerning the population. The following example illustrates this point.
Numerical data on catches provide information about the unknown quantity of fish living in an area of water. If, when selecting stations for control fishing, more stations are placed in a region known for its large catches than on grounds where catches are poor, the resulting data will not be representative and will contain a systematic error which leads to over-estimation of the true abundance of fish.
To obtain representative information concerning the number of fish, the principle of randomization must be used in selecting stations for sample catches. If the distribution of fish in a body of water is random, the grid of fishing stations should evenly cover the whole area under survey (Fig 1). This method is followed by the Azov-Black Sea Research Institute for Marine Fisheries and Oceanography (Azcherniro) in assessing the stock of anchovies.

Fig. 1 Check catches distribution in Azov Sea.

Fig. 2 Check catches distribution in Solieni water bodies
The principle of random sampling is realized in the most reliable and convenient way by use of tables of random numbers for selecting fishing stations to assess fish abundance.
When this method is applied the chart of a body of water is ruled in squares, with the number of such squares 2 or 3 times the number of proposed stations. The squares are numbered, and the table of random numbers is used to select stations for controlled fishing.
Suppose the proposed number of stations is 36 and the number of squares plotted on the chart is 87 (Fig 2). Since we need only two-digit numbers (36 out of 87) every four digits of the table of random numbers can be considered as 2 two-digit numbers written side by side. For example, 1428 appears in the 8th line of the second column. Beginning with it we may select any order of succession upward or downward, to left or right, diagonally, or otherwise.
Going from left to right, and passing on to the next line, we obtain the following numbers of 36 squares: 14, 28, 17, (96), 84, 47, 05, 03, 56, 54, 32, (54), 73, 36, (95), (36), 19, 44, 51, 48, 45, 34, 21, (05), (03), 68, 78, (90), 24, (73), 42, 40, 86, 52, (94), 35, (14), 22, (98), 15, (51), (44). (76), 49, (86), 38, 61, 37, 80, 70, 53.
Numbers larger than the number of squares on the grid (87) or which have already been used (in parentheses above) should be discarded. Selected stations are marked on the chart and fishing is then carried out in these randomly selected stations (Fig 2).
We have employed this method of controlled fishing in the ponds of fish farms to assess the numbers of young fish. If the catch from any station is too big, only a part of it (a sub-sample) is taken for detailed study. Of course, the randomization principle must also be observed in selecting the sub-sample.
Randomization should be the basis of all sampling, unless it is physically impossible, because it provides the basis for estimating the reliability of the derived statistics.
In studying any qualitative or quantitative characteristic of a population, a sample of values, which usually are not all identical, is obtained. The most complete description of any characteristic of a population would be the set of all values of that particular characteristic. To obtain such information on the whole population is usually impossible. Even if the entire population can be studied, the data usually require summarization so as to be conveniently usable. Statistics is the estimate, obtained from a sample, of a numerical property, or parameter, of a population: examples are the mean value (or mathematical expectation), and the standard deviation, a measure of the extent of scattering of individual values around the mean.
Consequently the second objective of the sampling method amounts to obtaining representative estimates of characteristics of the population from data obtained by random sampling. The numerical value of any characteristic studied is called a variate.
In practise we use two types of sampling, which require different analyses. The first type is sampling which does not call for the division of the population into parts. A simple random sample of individuals is chosen. If each individual selected is returned to the population before the next is chosen, it makes it easier for all members to have the same chance of being selected; this is called sampling with replacement. Statistics for sampling with replacement are defined by the following equations:
1) Arithmetic mean
![]() | (1) |
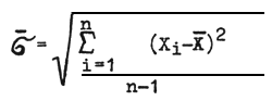
2) Standard deviation (of population as estimated from sample)
![]() | (2) |
The square of the standard deviation is called the variance.
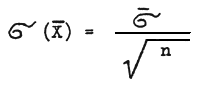
3) Standard deviation of arithmetic mean -
its standard error
![]() | (3) |
Where i = 1,2,3…, n = serial number of the variate
Xi = value of ith variate
n = number of variates in the sample
∑ = symbol for summation
In sampling without replacement a selected individual is not returned to the population before another individual is chosen. In this case the standard error becomes
![]() | (4) |
Where N = number in the population.
If the sample size (n) is small in comparison with the population size (N) the standard error of the mean of a sample without replacement practically coincides with that of a sample with replacement; that is:

It is usual to study populations which are very large in comparison with the sample. Therefore we ordinarily use formulae (1) – (3) even though sampling is without replacement.
The need for a large sample was emphasized as a requirement for representativeness of the sample. Representativeness depends primarily on the size of the sample, not on the ratio of the size of the sample to the size of the population.
For instance, when б remains unchanged, a 1 percent sample from a population of 100,000 individuals provides more information about the mean of the population

than a 2 percent sample from a population of 10,000

In the second type of sampling the population is divided into a number of sub-populations or strata which the investigator usually hopes or believes to be relatively homogeneous with respect to the characteristic to be studied, though a large population may be divided into parts merely to facilitate sampling. Samples are taken from each subpopulation at random.
The weighted mean is an estimate of the mean of the population:
![]() | (5) |
Where k = 1, 2, 3 …, m = number of subpopulations
Xk = arithmetic mean of the kth stratum
fk = weight of Xk
The weights (fk) may sometimes be selected rather arbitrarily, but they should ideally represent the number of individuals in each stratum, if those numbers are known or can be estimated. It is important that the standard error of the weighted mean depends only on the variance of the individuals within each stratum, the number of sample individuals drawn from each stratum, and the statistical weights fk; and it does not depend on the stratum means:
![]() | (6) |
Therefore, if the population is divided into relatively homogeneous strata, the population mean can be estimated from (5) considerably better than from a simple random sample using (1).
When the weight of the stratum mean value (Xk) is the number of observations (nk) in the stratum, formulae (5) and (6) become:
![]() | (7) |
and
![]() | (8) |
See example No.5 on page 10.
Arithmetical labour can be reduced if the sample data are first grouped into convenient class intervals, a series of intervals in the scale of observed values (Xk) with corresponding frequencies (nk) or relative frequencies (Wk):

Where k = 1, 2, 3 …, m = serial numbers of the data
| Xk | X1 | X2 | Xm | |
| nk | n1 | n2 | nm | |
| Wk | W1 | W2 | Wm |
Example 1 - Group the following sample of 100 lengths of Sardinella from the coastal area of Equatorial Africa (obtained by Professor A.N. Probatov) into convenient class intervals.
| 20.0 | 20.8 | 20.0 | 19.0 | 19.8 |
| 20.5 | 19.8 | 19.3 | 18.5 | 20.2 |
| 19.8 | 20.0 | 19.0 | 20.0 | 21.2 |
| 20.6 | 20.0 | 20.8 | 20.4 | 20.5 |
| 21.4 | 19.7 | 19.2 | 20.5 | 20.0 |
| 19.7 | 20.5 | 18.4 | 20.0 | 18.0 |
| 20.5 | 20.0 | 20.0 | 20.3 | 21.2 |
| 20.8 | 21.0 | 20.7 | 20.7 | 17.8 |
| 20.2 | 20.5 | 20.5 | 20.5 | 20.5 |
| 20.5 | 20.5 | 20.3 | 20.7 | 20.2 |
| 20.5 | 19.7 | 20.0 | 20.0 | 20.5 |
| 18.0 | 20.0 | 20.0 | 20.0 | 19.0 |
| 19.6 | 20.9 | 19.9 | 20.0 | 19.0 |
| 20.5 | 20.3 | 20.0 | 19.8 | 19.8 |
| 19.4 | 21.0 | 20.3 | 20.5 | 20.0 |
| 20.0 | 20.0 | 20.0 | 20.0 | 20.4 |
| 20.4 | 20.0 | 20.5 | 20.0 | 18.5 |
| 20.4 | 20.3 | 19.5 | 21.0 | 20.4 |
| 20.2 | 19.8 | 20.4 | 20.0 | 19.8 |
| 19.0 | 20.0 | 19.0 | 20.0 | 21.2 |
Table I
The body lengths of 100 Sardinella from the coastal area of Equatorial Africa grouped into classes.
| Ser. No. | Class (ak, bk) | ![]() | Frequency nk | Relative frequency wk |
| 1 | 17.8–18.2 | 18.0 | 3 | 0.03 |
| 2 | 18.2–18.6 | 18.4 | 3 | 0.03 |
| 3 | 18.6–19.0 | 18.8 | 5 | 0.05 |
| 4 | 19.0–19.4 | 19.2 | 3 | 0.03 |
| 5 | 19.4–19.8 | 19.6 | 13 | 0.13 |
| 6 | 19.8–20.2 | 20.0 | 31 | 0.31 |
| 7 | 20.2–20.6 | 20.4 | 28 | 0.28 |
| 8 | 20.6–21.0 | 20.8 | 10 | 0.10 |
| 9 | 21.0–21.4 | 21.2 | 4 | 0.04 |
| Totals | n = 100 | ∑ = 1.00 |
In arranging the classes we can specify several stages:
The range of all sample values of a characteristic is divided into M separate intervals. The number of classes depends somewhat on the magnitude (n) of the sample, and there is some advantage in making it an odd number. When the sample is limited, the whole range is usually divided into 5 to 9 classes, and when it is big enough (n ≥100) into 9–13 classes.
For example, the rounding error involved in classifying a sample of 100 into 9 classes increases the estimate of sample variance by only about 2.5 percent, the equivalent of discarding 2.5 variates.
The midpoint of an interval is taken as the xk for all the variates in that interval.
The frequency of xk is the number of variates, nk, which fall into that interval. Each variate is placed in the class whose lower limit is exceeded by the variate and whose upper limit is as large as or larger than the variate (Table I).
In the case of a grouped statistical series formulae (1) and (2) can also be written as:
![]() | (9) |
![]() | (10) |
Where m = number of classes
Formula (3) remains unchanged.
Now let us determine characteristics of the Sardinella length data sample, using columns 3 and 4 for determination of the mean length

If S represents a sample standard deviation, the standard deviation of the Sardinella lengths will be

To draw proper conclusions about the population on the basis of sample estimates one needs a proper basis on which to judge (with a given reliability) the precision of these estimates, and first of all the accuracy of the sample mean.
From the Law of Large Numbers it follows that, if a series of large samples are taken from a population, the arithmetic means of these samples tend to be distributed in a normal (Gaussian) distribution, even when the distribution of variates in the population is not normal (provided the variance of the distribution is finite).
Confidence limits for the unknown mathematical expectation (
) or true value
of the mean (with a given reliability, i.e., confidence probability - γ) in the case
of sampling a normal distribution, are given by the following inequality:
![]() | (11) |
Substituting for σ(x) the value obtained in formula (3), inequality (11) may be written as:
![]() | (12) |
Where
= unknown population mean
X = sample arithmetic mean
σ = sample standard deviation
n = number of data in the sample
σ(X) = standard error of the mean
tγ(K) = value of Student's distribution 1 given by
appropriate tables (appendix 1) with
confidence level (γ) and degrees of
freedom K = n - 1
The product tγ (K) x σ(x) = ε is sometimes called the accuracy of the sample
mean. The less the value of ε, the more precisely the population value (
) is
estimated by the sample mean (X).
Example 2. About 20,000 fish of one species are stocked in a fish rearing pond. Length measurements of 125 random specimens gave X = 17.1 cm, ε = 1.7 cm.
To determine confidence limits (12) for the mean length of fish in the pond we first find tγ(K) from the table in Appendix 1. Adopting a confidence level (γ) of 0.95:
t0.95 (124) = 1.98
Hence

or
16.8 cm <
<17.4 cm
Consequently, the mean length of fish in the pond is not less than 16.8 cm and
not more than 17.4 cm, with 95 percent confidence, and the estimated mean length is
X = 17.1 cm with accuracy
The effect of the size of the sample on the accuracy of the arithmetic mean is shown by examples 3 and 4.
Example 3. Sample weights of 16 oyster shells gave x = 150 g, σ = 8.0 g.
Assuming a confidence level γ = 0.90, we find t0.90 (15) = 1.75 and the confidence limits (12) are:

or
146.5 g <
< 154.3 g
The population mean weight of oyster shells is estimated to be 150 g with accuracy ε = 1.75 × 2 = 3.5 g.
If a higher reliability is needed, say γ = 0.95, then ε = 2.13 × 2 = 4.26 and the confidence limits for the mathematical expectation would be wider:
145.7 g <
< 154.3 g
Example 4. To obtain a more precise weight of oyster shells 400 specimens were weighed, yielding x = 152 g, σ = 10.0 g. With t0.95 (399) = 1.97, the confidence limits for the population mean weight of oyster shells are

or
151.0 g <
< 153.0 g
with accuracy ε = 1.97 × 0.5 = 1.0 g.
The improvement in accuracy from 4.26 g to 0.98 g, with the confidence level unchanged required an increase in sample size from 16 to 400 specimens, thus multiplying the work 25 times. This illustrates the consequences of insisting on great accuracy.
Let us now consider an example of calculating a weighted mean.
Example 5. In 3 independent observations of the number of contractions of the contractile vacuole of amoebae in a certain medium, 24 contractions per hour were observed during the first, 26 in the second, and 23 in the third. The first observation lasted 4 hours, the second 2 hours, and the third 3 hours. Standard deviations of the mean values obtained are 0.7, 0.9 and 0.8 contraction respectively, using a 1-hour count as the basic variate.
To find the average number of contractions per hour, a weighted mean is appropriate. Hence

where the weight, ti, is the duration of the ith observation.
The standard deviation of the weighted mean is

The accuracy of the weighted mean for γ = 0.90, assuming ε = tγ(K)σ(X) = 1.94 × 0.5 = 0.97. Determine the confidence limits (11) for the mean number of vacuole contractions per hour:
24.1 - 0.97 <
< 24.1 + 0.97
or
23 <
< 25.
Thus, with 90 percent reliability, the amoebae averaged not less than 23 and not more than 25 vacuole contractions per hour under the conditions of observation.
A sample size should be large enough to be representative; then randomization is provided.
What size sample may be considered sufficient for the purpose? In many investigations a sample size of 300–500 appears to be sufficient.
It is impossible to give a more definite answer, unless some data on the population obtained from previous statistical analyses are available. It is only possible to say that the sample should be as large as possible.
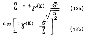
If the investigation has information obtained from a previous statistical analysis, it is possible to estimate approximately the size of sample which is necessary to obtain the mean, the accuracy being given γ reliability.
From the equation

Where σ - random standard deviation, obtained in previous analysis of the sample of n size.
ε - the given accuracy
γ - the given reliability
tγ(K) = tγ(n1 - 1), where t is the student distribution with reliability γ and sample size n1.
The value of n, obtained from formula (12b), is approximate.
Example 6. According to examples 3 and 4, in order to improve the accuracy from 3 g to 1 g of the mean weight of the shell, it was necessary to increase the size of the sample from 16 to 400 shells. What size should the sample be in order to obtain the mean weight of the shell with accuracy up to 2 g with reliability γ = 0.95?
To determine the necessary size of the sample, we shall use more accurate statistical data of example 4, when n1 = 400, σ = 10 g.
tγ(k) = tγ(n1 - 1) = t0.95 (399) = 1.97
The necessary accuracy, ε = 2 g, therefore:

Therefore, a sample size of 100 and reliability γ = 0.95 provide the desirable accuracy (ε = 2 g) of the mean weight of the shell.
Appendix 1
Table of t - Student's distribution
| n-1 | Confidence - γ | n-1 | Confidence - γ | ||||
| 0.90 | 0.95 | 0.99 | 0.90 | 0.95 | 0.99 | ||
| 1 | 6.31 | 12.71 | 63.60 | 21 | 1.72 | 2.08 | 2.83 |
| 2 | 2.92 | 4.30 | 9.3 | 22 | 1.72 | 2.07 | 2.82 |
| 3 | 2.35 | 3.18 | 5.84 | 23 | 1.71 | 2.07 | 2.81 |
| 4 | 2.13 | 2.78 | 4.60 | 24 | 1.71 | 2.06 | 2.80 |
| 5 | 2.02 | 2.57 | 4.03 | 25 | 1.71 | 2.06 | 2.79 |
| 6 | 1.94 | 2.45 | 3.71 | 26 | 1.71 | 2.06 | 2.78 |
| 7 | 1.90 | 2.37 | 3.50 | 27 | 1.70 | 2.05 | 2.77 |
| 8 | 1.86 | 2.31 | 3.36 | 28 | 1.70 | 2.05 | 2.76 |
| 9 | 1.83 | 2.26 | 3.25 | 29 | 1.70 | 2.04 | 2.76 |
| 10 | 1.81 | 2.23 | 3.17 | 30 | 1.70 | 2.04 | 2.75 |
| 11 | 1.80 | 2.20 | 3.11 | 40 | 1.68 | 2.02 | 2.70 |
| 12 | 1.78 | 2.18 | 3.06 | 50 | 1.67 | 2.01 | 2.68 |
| 13 | 1.77 | 2.16 | 3.01 | 60 | 1.67 | 2.00 | 2.66 |
| 14 | 1.76 | 2.15 | 2.98 | 80 | 1.67 | 1.99 | 2.64 |
| 15 | 1.75 | 2.13 | 2.95 | 100 | 1.66 | 1.98 | 2.63 |
| 16 | 1.75 | 2.12 | 2.92 | 120 | 1.66 | 1.98 | 2.62 |
| 17 | 1.74 | 2.11 | 2.90 | 200 | 1.65 | 1.97 | 2.60 |
| 18 | 1.73 | 2.10 | 2.88 | 500 | 1.65 | 1.96 | 2.59 |
| 19 | 1.73 | 2.09 | 2.86 | ∞ | 1.64 | 1.96 | 2.58 |
| 20 | 1.72 | 2.09 | 2.85 | ||||
Appendix 2
The table of critical values
| k2 - degrees of freedom for larger variances | ||||||||||
| 1 | 2 | 3 | 4 | 5 | 6 | 12 | 24 | ∞ | ||
| k1 - degrees of freedom for smallest variances | 1 | 161.4 | 199.5 | 215.7 | 224.6 | 230.2 | 234.0 | 243.9 | 249.0 | 254.3 |
| 2 | 18.5 | 19.2 | 19.2 | 19.3 | 19.3 | 19.3 | 19.4 | 19.5 | 19.5 | |
| 3 | 10.1 | 9.6 | 9.3 | 9.1 | 9.0 | 8.9 | 8.7 | 8.6 | 8.5 | |
| 4 | 7.7 | 6.9 | 6.6 | 6.4 | 6.3 | 6.2 | 5.9 | 5.8 | 5.6 | |
| 5 | 6.6 | 5.8 | 5.4 | 5.2 | 5.1 | 5.0 | 4.7 | 4.5 | 4.4 | |
| 6 | 6.0 | 5.1 | 4.8 | 4.5 | 4,4 | 4.3 | 4.0 | 3.8 | 3.7 | |
| 7 | 5.6 | 4.7 | 4.4 | 4.1 | 4.0 | 3.9 | 3.6 | 3.4 | 3.2 | |
| 8 | 5.3 | 4.5 | 4.1 | 3.8 | 3.7 | 3.6 | 3.3 | 3.1 | 2.9 | |
| 9 | 5.1 | 4.3 | 3.9 | 3.6 | 3.5 | 3.4 | 3.1 | 2.9 | 2.7 | |
| 10 | 5.0 | 4.1 | 3.7 | 3.5 | 3.3 | 3.2 | 2.9 | 2.7 | 2.5 | |
| 11 | 4.8 | 4.0 | 3.6 | 3.4 | 3.2 | 3.1 | 2.8 | 2.6 | 2.4 | |
| 12 | 4.8 | 3.9 | 3.5 | 3.3 | 3.1 | 3.0 | 2.7 | 2.5 | 2.3 | |
| 13 | 4.7 | 3.8 | 3.4 | 3.2 | 3.0 | 2.9 | 2.6 | 2.4 | 2.2 | |
| 14 | 4.6 | 3.7 | 3.3 | 3.1 | 3.0 | 2.8 | 2.5 | 2.3 | 2.1 | |
| 15 | 4.5 | 3.7 | 3.3 | 3.1 | 2.9 | 2.8 | 2.5 | 2.3 | 2.1 | |
| 16 | 4.5 | 3.6 | 3.2 | 3.0 | 2.8 | 2.7 | 2.4 | 2.2 | 2.0 | |
| 17 | 4.5 | 3.6 | 3.2 | 3.0 | 2.8 | 2.7 | 2.4 | 2.2 | 2.0 | |
| 18 | 4.4 | 3.6 | 3.2 | 2.9 | 2.8 | 2.7 | 2.3 | 2.2 | 1.9 | |
| 19 | 4.4 | 3.5 | 3.1 | 2.9 | 2.7 | 2.6 | 2.3 | 2.1 | 1.9 | |
| 20 | 4.4 | 3.5 | 3.1 | 2.9 | 2.7 | 2.6 | 2.3 | 2.1 | 1.8 | |
| 22 | 4.3 | 3.4 | 3.0 | 2.8 | 2.7 | 2.6 | 2.2 | 2.0 | 1.8 | |
| 24 | 4.3 | 3.4 | 3.0 | 2.8 | 2.6 | 2.5 | 2.2 | 2.0 | 1.7 | |
| 26 | 4.2 | 3.4 | 3.0 | 2.7 | 2.6 | 2.5 | 2.2 | 2.0 | 1.7 | |
| 28 | 4.2 | 3.3 | 3.0 | 2.7 | 2.6 | 2.4 | 2.1 | 1.9 | 1.6 | |
| 30 | 4.2 | 3.3 | 2.9 | 2.7 | 2.5 | 2.4 | 2.1 | 1.9 | 1.6 | |
| 40 | 4.1 | 3.2 | 2.8 | 2.6 | 2.4 | 2.3 | 2.0 | 1.8 | 1.5 | |
| 60 | 4.0 | 3.2 | 2.8 | 2.5 | 2.4 | 2.2 | 1.9 | 1.7 | 1.4 | |
| 120 | 3.9 | 3.1 | 2.7 | 2.5 | 2.3 | 2.2 | 1.8 | 1.6 | 1.3 | |
| ∞ | 3.8 | 3.0 | 2.6 | 2.4 | 2.2 | 2.1 | 1.8 | 1.5 | 1.0 | |
Null hypothesis is not rejected by
Appendix 3
The table of critical values
| k2 - degrees of freedom for largest variances | |||||||||||
| 1 | 2 | 3 | 4 | 5 | 6 | 8 | 12 | 24 | ∞ | ||
| k1 - degrees of freedom for smallest variances | 1 | 4052 | 4999 | 5403 | 5625 | 5764 | 5859 | 5981 | 6106 | 6234 | 6366 |
| 2 | 98.5 | 99.0 | 99.2 | 99.2 | 99.3 | 99.3 | 99.4 | 99.4 | 99.5 | 99.5 | |
| 3 | 34.1 | 30.8 | 29.5 | 28.7 | 28.2 | 27.9 | 27.5 | 27.1 | 26.6 | 26.1 | |
| 4 | 21.2 | 18.0 | 16.7 | 16.0 | 15.5 | 15.2 | 14.8 | 14.4 | 13.9 | 13.5 | |
| 5 | 16.3 | 13.3 | 12.1 | 11.4 | 11.0 | 10.7 | 10.3 | 9.9 | 9.5 | 9.0 | |
| 6 | 13.7 | 10.9 | 9.8 | 9.2 | 8.7 | 8.5 | 8.1 | 7.7 | 7.3 | 6.9 | |
| 7 | 12.3 | 9.6 | 8.4 | 7.8 | 7.5 | 7.2 | 6.8 | 6.5 | 6.1 | 5.6 | |
| 8 | 11.3 | 8.6 | 7.6 | 7.0 | 6.6 | 6.4 | 6.0 | 5.7 | 5.3 | 4.9 | |
| 9 | 10.6 | 8.2 | 7.0 | 6.4 | 6.1 | 5.8 | 5.5 | 5.1 | 4.7 | 4.3 | |
| 10 | 10.0 | 7.6 | 6.5 | 6.0 | 5.6 | 5.4 | 5.1 | 4.7 | 4.3 | 3.9 | |
| 11 | 9.6 | 7.2 | 6.2 | 5.7 | 5.3 | 5.1 | 4.7 | 4.4 | 4.0 | 3.6 | |
| 12 | 9.3 | 6.9 | 6.0 | 5.4 | 5.1 | 4.8 | 4.5 | 4.2 | 3.8 | 3.4 | |
| 13 | 9.1 | 6.7 | 5.7 | 5.2 | 4.9 | 4.6 | 4.3 | 4.0 | 3.6 | 3.2 | |
| 14 | 8.9 | 6.5 | 5.6 | 5.0 | 4.7 | 4.5 | 4.1 | 3.8 | 3.4 | 3.0 | |
| 15 | 8.7 | 6.4 | 5.4 | 4.9 | 4.6 | 4.3 | 4.0 | 3.7 | 3.3 | 2.9 | |
| 16 | 8.5 | 6.2 | 5.3 | 4.8 | 4.4 | 4.2 | 3.9 | 3.6 | 3.2 | 2.8 | |
| 17 | 8.4 | 6.1 | 5.2 | 4.7 | 4.3 | 4.1 | 3.8 | 3.5 | 3.1 | 2.6 | |
| 18 | 8.3 | 6.0 | 5.1 | 4.6 | 4.3 | 4.0 | 3.7 | 3.4 | 3.0 | 2.6 | |
| 19 | 8.2 | 5.9 | 5.0 | 4.5 | 4.2 | 3.9 | 3.6 | 3.3 | 2.9 | 2.5 | |
| 20 | 8.1 | 5.9 | 4.9 | 4.4 | 4.1 | 3.9 | 3.6 | 3.2 | 2.9 | 2.4 | |
| 22 | 7.9 | 5.7 | 4.8 | 4.3 | 4.0 | 3.8 | 3.5 | 3.1 | 2.8 | 2.3 | |
| 24 | 7.8 | 5.6 | 4.7 | 4.2 | 3.9 | 3.7 | 3.4 | 3.0 | 2.7 | 2.2 | |
| 26 | 7.7 | 5.5 | 4.6 | 4.1 | 3.8 | 3.6 | 3.3 | 3.0 | 2.6 | 2.1 | |
| 28 | 7.6 | 5.5 | 4.6 | 4.1 | 3.8 | 3.5 | 3.2 | 2.9 | 2.5 | 2.1 | |
| 30 | 7.6 | 5.4 | 4.5 | 4.0 | 3.7 | 3.5 | 3.2 | 2.8 | 2.5 | 2.0 | |
| 40 | 7.3 | 5.2 | 4.3 | 3.8 | 3.5 | 3.3 | 3.0 | 2.7 | 2.3 | 1.8 | |
| 60 | 7.1 | 5.0 | 4.1 | 3.6 | 3.3 | 3.1 | 2.8 | 2.5 | 2.1 | 1.6 | |
| 120 | 6.9 | 4.8 | 4.0 | 3.5 | 3.2 | 3.0 | 2.7 | 2.3 | 2.0 | 1.4 | |
| ∞ | 6.6 | 4.6 | 3.8 | 3.3 | 3.0 | 2.8 | 2.5 | 2.2 | 1.8 | 1.0 | |
Null hypothesis is rejected by
by
Z.M. AKSUTINA
All-Union Research Institute of Marine Fisheries and Oceanography (VNIRO)
Moscow, U.S.S.R.
The need for testing hypotheses arises in various branches of biology. In fish culture, the need may be to compare the effects of different chemical preparations, or of different environmental conditions on an organism, or to test whether two random samples could have come from the same population.
The null hypothesis is what is tested, i.e. the hypothesis of zero difference. Using a particular significance criterion, it is determined whether the sample data do, or do not, contradict the null hypothesis. For example, a significance criterion may be used to test whether two samples differ to a greater extent than can be reasonably ascribed to the vagaries of random sampling. In this case, the null hypothesis is that there is no difference between the populations from which the samples were drawn.
If the difference is greater than that expected from random sampling it is called significant, meaning that the difference between the populations sampled is probably not zero, i.e. the null hypothesis is rejected. If the difference between two statistical samples may reasonably be accounted for by the chances of random sampling, it is called non-significant, and there is insufficient reason to reject the null hypothesis at the chosen level of significance.
The null hypothesis can be rejected by a test of significance, but it is impossible to demonstrate the validity of the null hypothesis. A test can show only that the sample data do not contradict the hypothesis at the chosen significance level. If larger samples were to be taken, it might be found that they would reject the null hypothesis.
All decisions on whether the given data accord with the null hypothesis are of a probability character, and there is always a risk of coming to a wrong conclusion; the degree of risk being the level of significance used. The significance level employed may be any desired value.
The difference between the means of two random samples can be tested by means of Student's t-test.
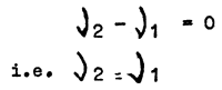
The null hypothesis is that the means (and variances) of the populations sampled are equal:

However, the difference between sample means will usually not equal O:
X2 - X1 ≠ 0
The difference is not significant if it lies within the confidence interval centered about zero.
If σ (X2 - X1) designates the standard error of the difference of the means, then when the difference is not significant:
|X2 - X1| <τγ(k) σ(X2 - X1)
or
![]() | (13) |
(This inequality may be compared with expressions (11) and (12) in paper 1).
If the contrary inequality is true, i.e. if:
![]() | (14) |
the difference cannot reasonably be explained as the result of random sampling, and the null hypothesis, of equality of the two population means, is rejected. For cases in which the null hypothesis is actually true, the risk of rejecting it (incorrectly) is β = | - γ
The test statistic
is called Student's t.
It was discovered by W. S. Gosset (“Student”) in 1908, in the case of a unique sample, and was later shown by Fisher (1924) to apply to the comparison of the means of two samples. It results when a quantity, whose mean is zero, is divided by its own standard error estimated from a sample.
The critical deviation t γ(k), introduced in (13) and (14) is found in tables of the t distribution (Appendix 1) the confidence being γ (or the significance level being β = 1 - γ) and the number of degrees of freedom being K. For the difference of means of two samples, the number of degrees of freedom is:
| k = (n1 - 1) + (n2 - 1) = n1 + n2 - 2 | (15) |
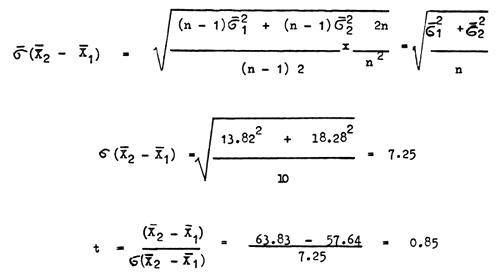
where n1 and n2 are the numbers of data in the two samples. The standard error of the difference between the means is given by:
![]() | (16) |
where σ1 and σ2 are the two sample estimates of the population variances, and it is assumed that the populations have equal variances and are approximately normal in distribution.
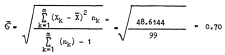
Example 7. Observations on shells of crabs living in deep and shallow waters are represented in the following table:
| ni | Mean shell length cm (Xi) | Standard error of the mean (σXi) | |
| Shallow water | 35 | 8.41 | 0.040 |
| Deep water | 29 | 8.59 | 0.050 |
The aim was to discover any possible effect of environment; consequently it is necessary first to determine whether the observed difference could be the result of random sampling flunctuations.
The standard error of the difference between the means is:
| and | ![]() |
with k = 35 + 29 - 2 = 62 degrees of freedom.
Assuming confidence level γ = 99%, the table gives t0.99 (62) = 2.66.
Consequently,
Therefore, the null hypothesis is rejected; the difference between the means is significant, and at least part of it may result from environmental differences.
The confidence level used may be freely chosen. In biology it is common to use the 95 percent level, but if rejection of the null hypothesis (as often as once in 20 cases in which it is true) seems too frequent, the 99 percent level is usually adopted. In exploratory work differences at the 90 percent or even the 80 percent level are regarded as suggestive - leads that are worth examining further.
Example 8. Statistics from an experiment on the effects of two diets on the weight of trout are given in the following table.
| Number of fish, (n) | Mean Weight (Xi) | Standard deviation (σi) | |
| Ration A | 10 | 57.64 | 13.82 |
| Ration B | 10 | 63.83 | 18.28 |
Using equation (16), which, with equal n's simplifies to

With confidence level γ = 0.95, the critical t0.95 (18) = 2.10, so the sample means do not differ significantly, and there is no reason to reject the null hypothesis. However, a different conclusion might be reached if larger samples were available.
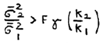
For comparison of the variances of two samples, the Fisher test is used, which depends only on the sample sizes n1 and n2, and uses the ratio of estimates σ22 and σ21
![]() | (17) |
If random samples come from the same normal distribution, or from normal distributions with equal variances, the null hypothesis is tested by the departure of F from unity.
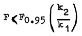
To facilitate tabulating the F distribution, F is always calculated by dividing the larger variance by the smaller. The tables give critical values of F (k2, k1) (Appendixes 2 and 3), for a chosen confidence level γ or level of significance б = 1 - γ and with degrees of freedom k1 = n1 - 1 and k2 = n2 - 1.
If the variance ratio is less than the critical value, i.e. if
![]() | (18) |
the null hypothesis is not rejected, and the disagreement between the variances is considered probably accidental. If:
![]() | (19) |
the null hypothesis is rejected and the difference between the sample variances σ21 and σ22 is considered significant.
Formulae (18) and (19) provide criteria for determining the significance of the difference between two independent samples in respect of their standard deviations or variances. The populations being sampled are assumed to be approximately normally distributed.
Example 9. Sample statistics on the diameter of ova of smelt (Osmerus eperlanus) from the Chudskoe Lake and from the Neva River are given in the following table:
| n1 | Xi(microns) | σi | |
| Chudskoe | 12 | 697.0 | 27.09 |
| Neva | 9 | 826.1 | 40.54 |
To test whether the sample standard deviations (or dispersions) are significantly different, we calculate
F = σ22/σ21 = 40.542/27.092 = 2.24
According to the tables (Appendixes 2 and 3) the critical value of

The value F = 2.24 is less than the critical value and so there is no significant difference between the dispersions.
Now the significance of the difference between the sample means can be tested. The standard error of the difference is:

Consequently, the value of t, the ratio of the difference of the means to the standard error of that difference, is equal to:

The critical value is t0.95 (19) = 2.09 and t0.99 (19) = 2.86
The test is whether
![]() | (20) |
and the difference between the means is significant. Thus the two kinds of smelt are significantly different in regard to average ovum diameter.
The null hypothesis should be carefully considered. Two samples may not differ significantly in their dispersions, and at the same time they may have significantly different sample means (example 3); or they may differ significantly in their dispersions but not in their means (although this is uncommon); or neither means nor dispersions may differ significantly.
Testing the significance of the difference between two samples begins with the F test for differences in dispersion. If there is no significant difference between the dispersions, the significance of the difference between the means may be tested using the t test.
Example 10 In an experiment to investigate the effect of natural food on the physiological state of trout, all fish were given an artificial diet before beginning the experiment. The trout under experiment were then given natural food, and the other group remained on the artificial diet. Blood haemoglobin concentration was determined three months later. The results were as follows:
| ni | Xi | σ2i | |
| Experimental group | 17 | 4.01 | 0.63 |
| Control group | 29 | 3.70 | 1.59 |
The variance ratio is:

the corresponding critical values being:

Thus,

Hence the sample variances differ enough to raise the question of how to proceed. Three courses are available. One is to regard the population variances as equal, in spite of the degree of inequality of the sample variances, and proceed as in Example 3. A second course is to conclude that the populations are different by virtue of having different variances, whether or not their means differ. The third course (which develops from the second) is to pursue the question of equality of the population means, using a statistical test of the different between sample means which takes explicit account of inequality of the population variances, such as the Fisher-Behrens test.
Fisher, R.A., 1924 On a distribution yielding the error functions of several well-known statistics. Proc.inter.Math.Congr., pp.805–13
“Student”, 1908 The probable error of the mean. Biometrika, 6 (1): 1–25