by
M.A. Andriasheva
Scientific Research Institute on Lake and River Fisheries
Leningrad, U.S.S.R.
In recent years, with the growing importance of pond fish culture, many countries pay greater attention to the process of fish domestication. This makes possible and at the same time necessitates the use of selection in fish rearing. Hybridization is one of the most effective ways of selection with a view to improving productive properties of fishes. The application of this method in fish culture, as well as in other branches of animal husbandry, is closely connected with two major aspects. Firstly, it is a direct use of the results of crossing, i.e. the effect of heterosis and favourable combination of some valuable features of parental forms in hybrids of the first generation (so-called commercial or utilizable crossing). Secondly, and a no less important point, the prolific hybrid forms can represent a valuable material for further selection (so called synthetic selection). It is to be noted that both in pisciculture and in breeding of other domestic animals the use of heterosis is of growing significance.
Fish culture is a very young branch of science in comparison with animal husbandry and agriculture. The practice of fish culture shows, however, that skillful application of hybridization methods makes it possible to obtain hybrid forms of fish with high economic value. It is promoted by a number of biological peculiarities of fish: high fecundity, external fertilization (which implies a possibility of artificial fertilization), relative simplicity of obtaining viable and even fertile distant hybrids, and strong, early manifestation of heterosis in hybrids of the first generation. This can be clearly illustrated by some hybrids of sturgeons, white fish, Tilapia, American catfishes, and various hybrids of cyprinids, including hybrids of the first generation that resulted from crossing common carp with eastern carp and the various groups bred during many years of selective work on these hybrids.
Fish culture is primarily concerned with hybrids which show in the most conspicuous way the merits of the hybrid organism; i.e. higher viability, accelerated rate of growth, and greater adaptability.
It has to be emphasized, nevertheless, that hybridization does not always lead to the improvement of qualities in offspring. The results of crossings can be quite variable and are conditioned by numerous factors. The results depend on the biology of parental lines (including their morphological and karyological characteristics), magnitudes and genetic structure of populations of initial groups, degree of remoteness, and the level of heterozygosity of the crossing forms. The success of crossings will be determined to a great extent by the knowledge of these particulars and a skillful selection of groups for obtaining a maximum possible effect of heterosis from crossing.
Therefore, it appears very important to have a clear idea about the nature of heterosis, the mechanism of selective action and a relationship between genotypic and paratypic variations.
It appears essential to define heterosis more precisely. It is generally understood by this term that the hybrid is superior in comparison to the parents in development or in the expression of other valuable features. Usually hybrids show accelerated growth and development, higher viability and greater resistance to unfavourable influence of environment and diseases. In natural populations, where the most important single criterion of an individual's value is its capability to leave a viable progeny (fitness), these manifestations of heterosis are of selective importance.
Along with occurrence of properties which raise the selective value of hybrids, we can see rather frequently the augmentation of size or of development in general, of various organs with lower adjustability and survival. The latter case is named by Dobzhansky (1952) as luxuriance (prosperity or gigantism) in contrast to heterosis proper (euheterosis) which is expressed in higher vitality and thus in higher selective value of hybrids.
In both cases the use of heterosis proves to be advantageous and can contribute to increase of productivity of animals and plants. It has to be taken into account, however, that specific features of display of heterosis can vary in species which have been cultivated by man for a long time. For instance, in the case of domestic animals and cultured plants, due to replacement of natural by artificial selection, the heterosis effect loses its selective character. Instead of a general increase in viability and fitness, its main feature can be expressed in acceleration of growth or even increase in size of individual organs and intensification of certain functions gradually in the second and following generations (Kirpichnikov, 1967). Therefore, a further and more complicated task of a selectionist is to fix the heterosis effect achieved in the first generation. The solution of this task can be feasible only in cases where the nature and origin of hybrid vigour are known.
Heterosis has been found in almost all living organisms from yeast to higher plants and mammals. Although widespread among organisms, heterosis shows a great similarity in different species. This leads to the assumption that there are some peculiarities common to all organic forms which cause heterosis. It seems advisable therefore to give here some basic data related to the nature of heterosis or hybrid vigour, even though they are based on experiments with various species of plants and animals other than fishes.
To clarify the genetic mechanism of heterosis, two hypotheses are usually considered; the hypothesis of combination in hybrids of favourable dominant factors, and the hypothesis of higher heterozygosity. The first, so called hypothesis of dominance (Jones, 1917), is based on a frequently observed correlation between dominance and favourable factors, as a result of overlapping of dominant genes over recessive genes in homologous chromosomes. The second hypothesis, that is, the idea of overdominance, was originally proposed by G.H. Shull and E.M. East and definitely formulated by Hull (1945). According to this hypothesis, heterozygosis by itself promotes survival and development power.
From a genetic point of view it means that there are loci, the display of which proves to be more conspicuous in the heterozygous state than in the homozygous (Aa>AA>aa). In recent years most researchers admit the possibility of action of both mechanisms, while some of them (Lewis, 1955; Pontecorvo, 1955) believe that dominance and overdominance cannot be demarcated very strictly because of the presence of pseudoalleles and genes which are located very close to each other and exert a similar influence on development. Moreover, it should be taken into consideration that, in the process of evolution, the significance of each of the proposed mechanisms does not remain unchanged and, in the long run, both genetic mechanisms of heterosis can amalgamate into one.
The prolonged controversy between the exponents of both these hypotheses was successfully settled by Haldane (1955), who put forward a biochemical theory of heterosis. According to this theory, heterosis is conditioned by higher biochemical supply versatility of the hybrid zygote. The reason is that the heterozygote contains relative but different (and supplementary to each other) genetic products, or forms absolutely new materials. According to Kirpichnikov (1960a), such biochemical enrichment of hybrids is characteristic of heterosis under the conditions of any genetic mechanism which underlies it. The better biochemical maintenance of development leads to intensification of metabolic processes in hybrid specimens. The latter feature appears to be basic and most specific in the display of heterosis.
Hence, heterosis is related to dominance as well as overdominance, the effects of which may differ. This fact is of great importance, both for the most rational selection of groups for commercial hybridization and for appropriate organization of selection work on hybrids.
The relative effect of dominance and overdominance depends on the dimension and genetic structure of a population, on the intensity and direction of selection, and on many other factors. For example, heterosis observed in crossings of more or less inbred forms is a result of increasing the number of dominant genes and minimizing the adverse effect of recessives.
The value of heterosis in such cases will increase in proportion to the coefficient of inbreeding of parental forms and in proportion to the degree of the hybrid's heterozygosity. When inbreeding forms are crossed, one can observe either a rise in viability and general acceleration of growth or, more often, an intensification of some functions; in other words, the degree of luxuriance of hybrids is exhibited more distinctly. Such one-sided expression of heterosis would apparently be more profound if the crossing involves strains and breeds which for a long period were subject to purposeful selection.
Heterosis which results from crossing of specimens from highly heterogeneous outbreeding populations cannot be interpreted as a mere combination of actions of dominant factors. It is more probable that heterosis occurred in the crossing of different geographical populations. Natural species and sub-species are attributed to another mechanism, first of all to overdominance. The overdominant effect is inherent in few genes, but it always has great importance in the creation of heterosis. The value of heterosis, like dominance, is closely related to the level of heterozygosis. Nevertheless, the manifestation of hybrid advantage is more general. More often it is expressed in higher viability and general adjustability, increased resistance to diseases and to unfavourable effects of environment. An early disclosure of these properties is characteristic of hybrid specimens.
Freshwater fishes have a number of biological peculiarities which facilitate the application of methods of commercial hybridization in pond fisheries. In addition, fishes manifest high fecundity, considerable magnitude of population, high level of natural heterozygosity, and explicit inbreeding depression in close breeding. The features determining higher heterozygosity of fish populations apparently condition the manifestation of heterosis in crossings of fishes. Taking these into account it appears possible to evolve a scheme of breeding best suited for obtaining and maintaining the maximum effect of heterosis under conditions of commercial hybridization.
In all probability, heterosis of hybrids of freshwater fishes is due to overdominance. As experimental evidence of this, one can apparently consider demonstrated cases of heterosis on the molecular level in salmon hybrids, in whitefish hybrids (Kusakina, 1959, 1964) and in sunfishes (Manwell et al., 1963). All authors revealed changes in the structure and properties of protein molecules of hybrid specimens. In salmon and whitefish the change was expressed in a non-specific rise of resistance of some hybrid proteins to the lethal effect of heat and alcohol, whereas in sunfishes it resulted in increased oxygen-combining properties of haemoglobin in the hybrids.
As indirect evidence of the significant role of the overdominance mechanism, one can compare the cases of obtaining a considerable heterosis effect in interstrain crosses with a low degree of inbreeding of initial lines, and the crossing of representatives of different species, subspecies and natural populations. As a rule, in moderately distant hybrids the heterosis effect shows a similarity, expressed in increased viability, higher rate of adaptability, and accelerated growth and development. The increased vitality is usually more conspicuous in the early stages of development. The results of numerous crossings in the subfamily Etheostomatinae is most illustrative of this (Hubbs, 1967). Out of 130 interspecific and intraspecific crossings, 75 percent of the hybrids proved to be more viable at the moment of hatching or at the time feeding began.
Higher viability of eggs and young fry, as well as a reduced number of inheritable malformations, were found in hybrids of cultured carp × wild carp. It must be noted that these differences between hybrid and natural forms become more pronounced under unfavourable conditions of rearing (Kirpichnikov, 1959; Andriasheva, 1966). When raised in ponds the hybrids are often more viable than their parents. The hybrids withstand wintering and are more heat resistant. The same characteristic has been observed in whitefish.
Many hybrids are more resistant to parasitic diseases. Hybrids of salmon and sea-trout, for example, are less susceptible to ichthyophthiriasis and bear it in a less severe form (Evropeitseva 1963). Hybrid carp bred at the Ropsha fish rearing farm are more resistant to infectious dropsy (Kirpichnikov et al., 1967).
Acceleration of growth and higher viability, which are characteristic of hybrids, are most distinct in the first months of rearing. The ability of hybrids to grow rapidly is especially conspicuous when conditions of nursing become unfavourable (abrupt variations in water temperature, over stocking, or malnutrition). In such circumstances the rate of growth (relative weight increment) of hybrid specimens becomes higher than of the fastest growing parents, even in cases where the young hybrids initially do not exceed the parental forms (Lemanova, 1965). Such a general, non-specific nature of heterosis is mainly characteristic of hybrids produced by moderately distant hybridization and mostly in the case of intraspecific crossings (subspecific, interpopulation, race, interstrain, interbred). In interspecific hybrids, advantages are chiefly expressed in accelerated growth rather than in higher viability, although the combination of these features in hybrids is observed in some cases.
If the degree of taxonomic relationship is higher (when individuals of different genera are crossed) the effect of heterosis is hardly perceptible. The most general result of distant hybridization is a combination of valuable (from economic point of view) features of parental forms in hybrids without noticeable increase in viability and, as a rule, with intermediate growth rate. Only on rare occasions can intergeneric crosses give rise to heterosis in growth, due to disturbances in maturation and fecundity of the organism and related economy of its resources. In fishes, hybridization of the aquarium species Platypoecilus (Xiphophorus) maculatus × Xiphophorus hellerii is a typical example.
The dependance of results of hybridization on the degree of phylogenetic distance of crossing forms is reflected in many data on commercial hybridization, which are discussed below. It must be mentioned, however, that because of non-compliance with methodological requirements in many experiments to determine the properties of hybrid forms, it is difficult to ascertain with adequate precision the presence and peculiarities of heterosis in different kinds of crossings.
Commercial hybridization implies crosses of species, subspecies, breeds and strains for the purpose of obtaining marketable hybrids of the first generation. These methods are now used with advantage in fish culture. In most cases, such crossings have yielded valuable hybrid forms, some of which are rather promising from the view point of economy for commercial rearing. They comprise both heterosis hybrids and hybrid forms with a favourable combination of parental features.
Scattered carp × wild carp (Kirpichnikov and Balkashina, 1935)
Explicit heterosis was advantageous, both in growth (age group O hybrids exceed cultured and wild carps by over 20–30 percent) and survival. Moreover, high resistance of hybrids to infectious dropsy is undoubted. By the second summer, growth heterosis disappears.
Galician carp × Taparavan carp (Saveljev, 1939)
Hybrids exceed the parental carp in weight by 37 percent, and under unfavourable rearing conditions the difference increases up to 110 percent. Mortality of hybrid fingerlings is 1.4 percent, whereas that of carp constitutes 24.8 percent. A large number of inherited malformations occur in Taparavan carp causing retardation in its growth and a high percentage of waste, especially in the wintering season.
Cultured carp × Amur wild carp (Kirpichnikov, 1938, 1943, 1959; Andriasheva, 1966; Karpenko, 1966).
Heterosis in weight growth of hybrid young is 5–10 percent higher than that of initial forms and in viability heterosis expresses itself most clearly under unfavourable conditions of rearing (difference is in the range of 30–50 percent) and at early stages of development (hybrid larvae survive better than parents by 10–20 percent). Later, these differences become less and heterosis appears to fade away, although during the first or second years the hybrids retain larger sizes than wild carp or cultured carp.
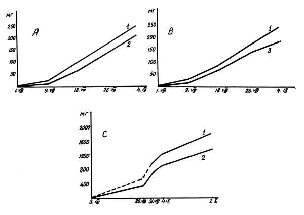
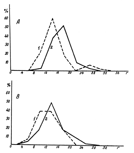
When crossed, the hybrids of the second generation of two different strains (Novgorod and Kursk) showed well-defined heterosis in interstrain hybrids of the third generation. Such hybrids are noted for fast growth and high survival. In this respect they exceed not only the hybrids of the third generation obtained from pure-breeding of Novgorod and Kursk hybrids of the second generation (Fig.1), but also the hybrids of the first generation (Fig.2). In crossing hybrids of the third generation of two different branches, the hybrid advantage is still maintained, which, however, becomes poorly expressed in hybrids of the fourth generation.
In the crossing of Ropsha carp with Ukrainian carp (Kuzema and Tomilenko, 1962) and in joint rearing of two-year-olds it was found that the interbred hybrid exceeds the Ukrainian carp in growth by 25 percent or more, while Ukrainian and Ropsha carp jointly reared in one pond did not differ from each other in their weight. Crossing Ropsha carp with indigenous Krasnodar carp of unknown origin, Kirpichnikov et al., (1967), found that the hybrids when reared to the same age as the parental types, weighed 3.49 g, being more than 1.5 times the weight of the indigenous ones (2.14 g), and also somewhat heavier than Ropsha carp (2.92 g). The mortality of fingerling of Ropsha carp was 33.6±1.2 percent, the mortality of the hybrids was 15.3±0.6 percent, and of the indigenous carp 46.9±0.6 percent.
Ictalurus punctatus × I. furcatus (channel catfish x blue catfish) (Giudice, 1966)
Equal numbers of hybrids and parent species were marked and reared together. All fishes were of similar age and size when stocked. The hybrids gained 11 percent more weight than the channel catfish and 32 percent more than the blue catfish in the second summer. After three growing seasons they had gained 32 percent more than the channel catfish and 41 percent more than the blue catfish.

Fig.1 Heterosis for the growth of the Ropsha hybrids of the third generation.
A and B - experiments in aquaria,
C - experiments in basins,
1 - hybrids between strains,
2 - Novgorod hybrids,
3 - Kursk hybrids (Ropsha, 1956)

Fig.2 Distribution of the hybrid fingerlings of the first and third generations by weight.
The third generation was marked with Ca45.
A - pond No5, B - pond No6; 1 - hybrids of the first
generation; 2 - scaly hybrids of the third generation
(Ropsha, 1956).
Ictiobus niger × I. cyprinellus (Giudice, 1964)
In this cross the hybrid forms exceed their parents by 30 percent in weight and 10 percent in length. The biggest hybrids were obtained by crossing I. niger × I. bubalus.
Esox niger × E. lucius (chain pickerel × northern pike) (Armbruster, 1966)
The weight of hybrids is intermediate, being 5.2 oz 72 days after hatching, whereas the northern pike weighed 8.5 oz and the chain pickerel 3.7 oz. The selectionist believes that negligible mortality of fingerlings can be attributed to the effect of hybrid power which did not influence the growth rate. Growth heterosis has been found also in crossing Esox lucius × E. masquinongy (Eddy, 1941; Black and Williamson, 1947).
Coregonus lavaretus ludoga × C. albula ladogensis (Lemanova, 1960; 1965)
Hybrids of cisco ripus × ludoga whitefish stand between the parents in size and weight, but are closer to ludoga which has a higher weight. The relative weight gain of hybrid young is considerably higher than that of the faster growing parent (ludoga), especially during the first two months of rearing in the nursery. Comparative experiments on survival of O group, carried out for three years, showed that these hybrids stocked with Ludoga suffered far less mortality than the latter (survival was 87 percent and 64 percent respectively). Hybrid advantage in growth and survival appeared more explicit under unfavourable conditions of rearing (die-off and overheating) and during the winter season.
Coregonus lavaretus ludoga × C. albula (ludoga × cisco) (Gorbunova, 1962)
Both hybrid forms outgrew the parental forms. The fingerlings reared in ponds had the following weight: cisco, 3.3 g; ludoga, 8 g; ludoga × cisco, 22.3 g; cisco × ludoga, 10.8 g. Promising results were achieved in Latvia in experimental work on hybrids of C. albula × C. lavaretus maraenoides (Kokina, 1966). For acclimatization of whitefish in the Ural area, hybrids of C. albula ladogenesis × C. lavaretus maraenoides were successfully stocked in natural water bodies (Pomerantsev and Nesterenko, 1960). The experiments with Coregonus nasus × C. peled are near completion. The high growth rate and noticeable fatness of many coregonid hybrids are attributed by some researchers to the extended feeding range of these forms due to changes in the shape of the mouth and in the structure of pharyngeal apparatus. Coregonid hybrids make a better use of the food supply, which makes them preferable for transplantation and pond fisheries.
Crossing of Tilapia spp.
In many cases both interspecific and intraspecific hybridizations reveal growth heterosis (Hickling, 1960). In crossing males of African strain of Tilapia hornorum zanzibarica (from Zanzibar) with females of Malayan line (from Malaysia) the growth of hybrids was better than of the pure strains. It is worth noting that, in this cross, as in some others (Tilapia mossambica × T. nilotica), almost the whole progeny (up to 100 percent) are males. This trend of fast growing all-male hybrids might be used successfully in pond fisheries because it permits control of populations and prevents overcrowding of the waterbody.
The results of crossing males of T. mossambica (from Zanzibar) with females of two different species of Tilapia allowed Hickling (1960) to assume that Zanzibar fishes have a genetic mechanism of sex determination which differs from that of the Indonesian fishes.
Male-dominant hybrids (up to 75–100 percent) were found also in crosses of sunfishes Lepomis gibosus × L. macrochirus. Growth heterosis in hybrids of Lepomis was established long ago (Hubbs and Hubbs, 1933).
A clear expression of heterosis in growth and vitality is not observed in all crossings. In many cases hybrids are characterized by intermediate growth rate with a bias towards either parental form (mostly to maternal form). The survival rate of hybrids, as a rule, is not higher than that of the parental forms.
These circumstances, however, do not reduce the economic value of hybrids if they favourably combine valuable features of the parental forms and have adequate viability. Such a situation can frequently be observed in bi-generic crosses. Sturgeon hybrids illustrate this situation.
Huso huso × Acipenser ruthenus (Nikoljukin and Timofeeva, 1954)
This hybrid represents a very valuable sturgeon which possesses parental features in their best combination, i.e. fast growth rate of anadromous H. huso with the ability for early maturation of A. ruthenus as well as its ability to live in fresh water, ponds in particular. The remarkable fecundity of hybrids of the first generation allowed Nikoljukin to use these and other sturgeon hybrids (sturgeon × sterlet; sterlet × stellate sturgeon) for further selection work.
Catla catla × Labeo rohita - crosses of Indian carps (Chaudhuri, 1959)
The progeny inherits the small head of L. rohita and the large body of C. catla, and thus gains an advantage over parental forms in the weight of the edible part. The F2 has been obtained already and is characterized by good growth. The interspecific hybrid of Labeo (L. rohita × L. calbasu) grows fast as well.
Hypophthalmichthys molitrix × Aristichthys nobilis - cross of silver carp with bighead (Vinogradov and Erokhina, 1964; Tang, 1964)
These intergeneric hybrids show a good growth rate, especially under the conditions of limited food supply in ponds. As in coregonid hybrids, this feature seems to be attributed to the intermediate structure of pharyngeal apparatus (Voropaev, 1968).
Cyprinus carpio × Carassius carassius (Nikoljukin, 1952)
Carp × crucian carp hybrids inherited the resistance of C. carassius and the high growth rate of common carp. The limited fecundity of hybrids made it possible for a long time to utilize only the first generation for the purpose of commercial fish farming. The fecundity was restored by application of a certain scheme of crossing of Ropsha hybrids with Chinese goldfish (Kuzema and Tomilenko, 1965).
This list of valuable hybrid forms, though far from complete, shows that commercial hybridization can be an effective means for increasing productivity of different fish species. The efficiency of hybridization can be increased considerably if the peculiarities of heterosis and other sequences of crossing are duly taken into account in the process of selecting particular groups for purposeful hybridization. If, for example, the main task of the selectionist is to increase the general resistance of fish (which is frequently met with when water bodies in new climatic zones are to be stocked, it appears more efficient to use hybrids of moderately distant crossings (subspecies, interpopulation, or interbreed). The effect of heterosis in such cases is most probable. The favourable combination of valuable parental features in hybrids can also be achieved through distant crosses - interspecific and even intergeneric.
In many cases when hybrid forms are prolific, their utilization is not limited to raising the first generation for marketing. The obtaining of such hybrids can be considered as a beginning of selection work. Such synthetic crossing is followed by long selection activity directed at fixing desirable features in a breed and maintaining the heterosis effect in the following generations. This work cannot be successfully fulfilled without applying genetic methods of selection (based on the knowledge of the nature of heterosis) and taking into account specific biological and genetic features of hybrid and parental forms.
The method of maintaining heterosis in a chain of successive generations was worked out by Kirpichnikov (1960b) who has been engaged for many years in creating new breeds of northern (Ropsha) carp. Heterosis of hybrids of the first generation resulted from crossing European cultured carp with wild carp and were used by him as initial material for selection of the breed. The aim of selection was to obtain a fast growing breed of carp suitable for conditions in the northern area. C. carpio haematopterus noted for its high winter resistance qualities, was selected for crossing with cultured carp, even though effect of heterosis was found also in crosses of carp with the Volga wild carp and the Taparavan carp.
Specific features of cultured and wild carp, as objects of selection, urged the scientists to review a widely applied scheme of commercial hybridization implying creation of highly inbred lines and their consecutive crossing and selection of the best combinations. This programme was formulated because of three interrelated factors:
the high level of natural heterozygosis in wild carp;
noticeable inbreeding depression in close breeding of carp followed by considerable retardation in growth; and
non-expedience of obtaining a high coefficient of inbreeding for carp because of slow maturation (in the north, in particular) and noticeable inbreeding depression.
It has been found that heterosis in carp can be rather considerable, even in crossings of specimens of relatively poor inbred strains. This means that even moderate inbreeding would lead to considerable differentiation of genetic systems and to genetic differences between strains. Their mutual crossing will be followed by increased heterozygosis and thus by heterosis.
If strains are subject to intensive selection, heterosis may be very strong, because selection, with special reference to growth and viability, will help in retention of heterozygosity and promote fixation and even increase hybrid power. Such a case of clearly manifested heterosis was observed in interstrain hybrids of the third generation obtained from crossing of fishes of different strains. The heterosis effect continued to manifest in successive generations, although to a lesser degree.
Fixation of the heterosis effect was a result of applying a scheme of carp propagation which can evidently be recommended for experiments with a wide number of species similar to carp from the standpoint of genetic structure of the population. The basic principle of this method is a combination of selection with a system of two-line breeding accompanied by periodic crosses between them. Such a scheme makes it possible to maintain a high level of heterozygosis in a breed and to use heterosis in each generation, both in synthetic selection and selection without distant crossings.
The significance of line selection and moderate inbreeding followed by crossings in carp culture was underlined by Kuzema (1950) and Shaskolsky (1954). Line breeding systems have been employed in the process of creation and improvement of Ukrainian carp breeds (Kuzema, 1953).
Heterosis in relation to growth and resistance, which had been noticed in crossings of Ukrainian carp with Ropsha carp, indicates the possibility of using the heterosis effect in successive generations and in crossings of different carp breeds.
It must be noted that selectionists-ichthyologists do not yet pay proper attention to the problem of maintaining and increasing the heterosis effect in successive generations, though the efficiency of such a method is quite evident.
Another aspect should be also stressed. It appears difficult sometimes to keep at one fish farm the broodstock intended for conducting commercial crossings. This may be impeded by the biology of selected species, particularly by their ability to live and reproduce under certain climatic conditions. Moreover, in many cases (especially in interbreeding) there is a danger of mixing parental stocks of initial forms with spawners of hybrid origin. In artificial breeding of hybrids one should not confine oneself to selection of groups for crossing with a view to rearing marketable hybrids of the first generation or to verify the possibility of using any scheme for fixing heterosis.
Industrial hybridization is and evidently will be of great importance in fish culture. It must be noted, however, that the experience accumulated in fish hybridization makes it necessary to be careful in recommending a method of commercial crossing. The main reason is the possible introduction of spawners of hybrid origin into the parental spawning stocks. In intraspecific crossings, mixing can easily occur due to a lack of phenotypic differences between initial groups. Thus, in many fish farms, some years after the beginning of work on hybrids of eastern carp, it was not possible to distinguish eastern carp from hybrids, and industrial hybridization lost its meaning.
Commercial crossings can be successful only in the case of well-controlled groups of parental stocks; such control can easily be exercised if fish farms receive ready spawners instead of young replacement stock. (Kirpichnikov, 1960b; Golovinskaya, 1962). Fish farms should also be supplied with hybrid larvae reared at specialized selection farms.
In case of remote hybridization, uncontrolled crossings of highly specialized species and the introduction into the parental stocks of hybrid fish can lead to loss of valuable properties of parents. It is especially dangerous when fertile hybrids have the opportunity (and even allowed) to go into natural water bodies. Before new hybrid forms are recommended for commercial propagation, it is necessary to carry out accurate experiments which will allow the evaluation of economic properties of new hybrids and to determine their advantage over both parental groups. Such work must be carried out on a large scale with multiple replication and repetition of hatching and rearing to permit statistical appraisal of the differences between hybrid and parental forms.
The basic requirements for conducting experiments intended for verifying heterosis should be maximum equalization of conditions for hatching eggs and rearing young and comparable stocking rates.
The establishment of a permanent regime of hatching (water temperature, content of oxygen and metabolic products in water), a precise count of the initial number of eggs, and measurements of levels of waste in the process of embryonic and post-hatching development are of great importance. The stocking for rearing requires equalization of initial weight of groups to be compared, otherwise the results of rearing would not be representative. It is desirable to apply both separate and joint schemes of rearing of all comparable combinations. Separate rearing should be effected in serial ponds with no less than three replications. Where there is lack of such ponds (which is the most important obstacle in hybridization work), pond rearing can be replaced by rearing in aquaria. Both parental forms should act as test variants (controls) in all such experiments.
It has to be noted, however, that in some cases; mainly in intergeneric hybridization, the comparison of hybrids with both parental forms appears difficult due to considerable differences in growth rate because of specific peculiarities in feeding, etc. (Huso huso and Acipensar ruthenus, is the most typical example).
It is absolutely necessary to distinguish between the meanings of heterosis and hybrid. In any individual case of hybridization it is necessary to make a very thorough comparison of hybrid and parental forms to ascertain the hybrid's advantages. The compliance with methodological requirements in such comparisons is of utmost significance because it makes it possible not only to detect certain features of hybrids and assess their properties in relation to economy, but it promotes also a deeper study of problems of heterosis as a whole.
All this indicates that industrial hybridization should be conducted only as specialized, selective genetic work. It should be ensured that there is compliance with the requirements of preliminary assessment of economic value of hybrids with strict control of the state of parental stocks and maintenance of purity of initial forms in natural water bodies.
Andriasheva, M.A., 1966 Heterosis at inter-specific crossings of carp. Izv.gosud.nauch.-issled.Inst.ozer.rech.ryb.Khoz., 61:62–79
Armbruster, D., 1966 Hybridization of the chain pickerel and nothern pike. Progve Fish Cult., 28 (2):76–8
Black, J.D. and L.O. Williamson, 1947 Artificial hybrids between muskellunge and northern pike. Trans.Wis.Acad.Sci.Arts Lett., 38:299–314
Chaudhuri, H., 1959 Experiments on hybridization of Indian carps. Proc.Indian Sci.Congr., 46(4):20
Dobzhansky, T.N., 1952 Nature and origin of heterosis. In Heterosis, edited by J.W.Gowen, Ames, Iowa State College Press, pp.218–23
Eddy, S., 1941 Muskellunge and musky hybrids. Conservat. Volunt.B(14):41–4
Evropeitseva, N.V., 1963 Experimental-ecological analisis of fry of hybrids of Salmo salar and Salmo trutta rearing in ponds. Ryb.Khoz.vnutr.vodoemov Latv. SSR, 7:297–309
Giudice, J.J., 1964 Production and comparative growth of three buffalo hybrids. Proc. Stheast.Ass.Game Commrs., 18:1–13
Giudice, J.J., 1966 Growth of a blue channel catfish hybrid as compared to its parental species. Progve Fish. Cult., 28,3:142–5
Golovinskaya, K.A., 1962 Selective breeding in pond fish culture. Rybovod.i Rybolov., 3:7–10
Gorbunova, L.A., 1962 Hybridization of white fishes as one of the ways of raising of productivity of Karelian lakes. Biol.vnutr.vodoemov Pribaltiki, Akad.Nauk SSR, 77–9 pp.
Haldane, J.B.S., 1955 On the biochemistry of heterosis and the stabilization of polymorphism. Proc.roy.Soc.London, (B) 144,(915):217–20
Hickling, C.F., 1960 The Malacca Tilapia hybrids. Genetics, 57(1):1–10
Hubbs, C.L., 1967 Geographic variations in survivals of hybrids between Etheostomatine fishes. Bull.Tex.mem.Mus.,13:1–72
Hubbs, C.L. and L.C. Hubbs, 1933 The increased growth predominant maleness and apparent infertility of hybrids Sunfishes. Pap.Mich.Acad.Sci., 17:613–41
Hull, F., 1945 Recurrent selection for specific combining ability in corn. J.Amer.Soc. Agron., 37:134–45
Jones, D.F., 1917 Dominance of linked factors as means of accounting to heterosis. Genetics, 2:466–79
Karpenko, I.M., 1966 Hybrids of wild carp and carp. Lvov. izd.“Kamenjar”, 83 p.
Kirpichnikov, V.S., 1938 Hybridization of fish and the problem of heterosis. Izv.Akad. Nauk.SSSR, ser.biol.,4:957–974
Kirpichnikov, V.S., 1943 Experimental systematics of wild carp. Izv.Akad.Nauk.SSSR, ser.biol., 4:189–220
Kirpichnikov, V.S., 1959 Hybridization of carp and Amur wild carp in Western Regions of the USSR. Tr.5 Pribalt.conf.po vnutr.vodoemam, Minsk, 227–41
Kirpichnikov, V.S., 1960a Genetical principles of heterosis. Sbornik pamjati N.I.Vavilova, izd. Akad.Nauk SSSR, 94–98
Kirpichnikov, V.S., 1960b Organization of selective breeding in carp culture. Nauchno-tekhn. bjul.gosud.nauchno-issled.inst.ozer.rech.ryb.Khoz., 11:38–40
Kirpichnikov, V.S., 1967 General theory of heterosis, I. Genetic mechanisms of heterosis. Genetics, 10:167–179
Kirpichnikov, V.S. and E.I.Balkashina, 1935 On fishery management utilization of the carp and Volga wild carp hybrids. Ryb. khoz. SSSR, 3:36–40
Kirpichnikov, V.S., et al., 1967 Comparative resistance of various races of carp to dropsy. Genetics, 7:57–70
Kokina, I., 1966 Results of crossing Coregonus lavaretus maraenoides and C. peled and C. lavaretus maraenoides and C.albula.Latv.PSR Zinat.Akad.Vest., 5(226):107–15
Kusakina, A.A., 1959 Cytological research of muscular tissue in some heterosis interspecific hybrids. Cytology, I, I,:111–9
Kusakina, A.A., 1964 On raised resistance of muscular proteins in heterosis hybrids of ripus and ludoga. Cytology, 6,4:493–5
Kuzema, A.I., 1950 Organized basis of stock improving of carp in fish farms in Ukrainian SSR. Trud.Inst.prodovogo i ozern.rybn.khoz.Ukr.SSR, 7:107–137
Kuzema, A.I., 1953 Ukrainian stocks of carp. Trud.Soveshch.Ikhtiol.Kom.,2:65–70
Kuzema, A.I. and V.G. Tomilenko, 1962 Reserves of raising of fish productivity in ponds. Trud.Ukr.nauchno-issled.Inst.ryb.khoz., 14:85–8
Kuzema, A.I., 1965 Production of new cyprinid fishes by remote hybridization. Nauch.Sb. ryb.Khoz.mezhved.Tem.,2:3–17
Lemanova, N.A., 1960 Comparative and experimental analysis of inter-specific hybrids of genus Coregonus. Otdal.gibrid.rast.i.zhivotn.Akad.Nauk.SSSR, 511–9
Lemanova, N.A., 1965 A study of diagnostic criteria, biology and gametogenesis of reciprocal hybrids C. albula × C. lavaretus ludoga. GosNIORKh, Leningrad, Dissert. na sois.uchen.stepeni candid.biol.nauk.
Lewis, F.R.S., 1955 Gene interaction, environment and hybrid vigour. Proc.roy.Soc., (B) 915 (144):178–85
Manwell, C., C.M. Baker and W. Childers, 1963 The genetics of hemoglobin in hybrids I.Molecular basis for hybrid vigour. Comp.Biochem.Physiol., 10(2):103–20
Nikoljukin, N.I., 1952 Interspecific hybridization of fish. Sarat.izd:178–207
Nikoljukin, N.I. and N.A. Timofeeva, 1954 Crossing of beluga and sterlet and rearing of hybrid fry. Trud.Saratov.otd.NIORKh, 3:54–80
Pomerantsev, G.P. and N.V.Nesterenko, 1966 On hybridization of white fishes in the Urals. Otdal.gibrid.rast.i zhivotn.:532–6
Pontecorvo, G., 1955 Gene structure and action in relation to heterosis. Proc.roy.Soc.(B) 144(915):171–7
Saveljev, V.I., 1939 Hybridization of the Taparavan wild carp and the culture carp. Izv. gosud.nauch.-issled.Inst.ozer.rech.ryb.Khoz.,22:93–101
Shaskolsky, D.V., 1954 Inbreeding of carp in commercial fish farms. Trud.VNIIPRKh,7:22–33
Tang, Y.A., 1964 Progress on hormone spawning of pond fishes in Taiwan. Proc.Indo-Pacific Fish.Coun.,II:1–5
Vinogradov, V.K. and L.V.Erokhina, 1964 Hybrids between the silver carp and bighead. Rybovod. i Rybolov., 5:11–3
Voropaev, N.V., 1968 Nutrition and growth of silver carp and bighead and their hybrids. Rybokhoz.osv.rast.-jadn.ryb (in press)