“Tomar muestras” es un sistema empleado en casi todas las investigaciones pesqueras y de la muestra obtenida deseamos ser capaces de generalizar sobre la población que se investiga; por ejemplo, habiendo medido una muestra de Haplochromis mloto del lago Malawi, deseamos poder decir algo específico de, supongamos, la gama de tallas de todos los H. mloto de ese lago. Para poder hacerlo tenemos que tomar la muestra con gran cuidado.
En primer lugar tenemos que definir lo que entendemos por una población. En el ejemplo citado, eran todos los H. mloto del lago Malawi, pero puede definirse como todos los sujetos o materiales a propósito de los cuales deseamos generalizar a partir de nuestra muestra. Por tanto, en un caso la población puede ser todo el pescado de una especie particular descargado en un puerto determinado en una semana dada; por ejemplo, todos los Alestes baremose descargados en Wanseko, lago Sessesako Mobutu (lago Alberto), Uganda, entre el 17 y el 30 de marzo de 1974. En otro caso podría tratarse de todos los peces de una especie determinada en una laguna también determinada. Aún en otro caso podría ser todo lo pescado al arrastre en un solo lance y descargado en cubierta.
La eficacia de todo plan de muestreo está en relación con la posibilidad de que ofrezca una generalización satisfactoria de la población a partir de la muestra o muestras. Existen dos razones principales de que las muestras puedan no permitir ser exactos en los que decimos acerca de las poblaciones. Estos son el error del muestreo al azar y el error sistemático.
Cuando tomamos una muestra no es probable que represente exactamente la población de la que proviene. Por ejemplo, si hacemos unmuestreo de la talla del pescado descargado, nuestra muestra al azar puede contener una mayor proporción de ejemplares grandes de la que encontraríamos si midiéramos todo el pescado descargado. ¿A que se debe esto? Cuando obtenemos una muestra al azar de una población, damos a todos los ejemplares que la componen la misma oportunidad de ser seleccionados como parte de esa población, pero el azar puede ser motivo - y generalmente lo es - de que estén excesivamente representados ejemplares de algunos tipos e insuficientemente los de otros. Este es el error del muestro al azar. Este error puede reducirse obteniendo muestras mayores y en ciertos casos haciendo el muestreo de otra manera (por ejemplo, muestreo estratificado). Que el error de muestreo al azar nos impida hacer una generalización aplicable a la población, dependerá del grado de precisión que pretendamos de nuestra generalización. Por ejemplo, si deseamos estimar la proporción de diferentes tallas de una captura para, digamos, asesorar a una empresa elaboradora de pescado de la composición aproximada de la captura, es probable que nosotros y ellos quedáramos satisfechos con respuestas que serían menos precisas de las que desearíamos obtener si los resultados del muestreo se iban a emplear como datos fundamentales en una evaluación científica de una población íctica, que posteriormente sería empleada para fijar un cupo de captura.
Hay tendencias que las causan los errores sistemáticos. Por ejemplo, si el tablero de medir está mal graduado y todas las tallas registradas son 1 cm mayores que las reales, se introducirá un error sistemático de 1 cm. Este es un ejemplo de error sistemático. Otro error menos evidente podría ocurrir si sólo se midiera el pescado de la parte superior de las cajas, porque el pescador puede haber puesto en ella ejemplares seleccionados por su talla para hacer creer al comprador que las cajas contienen más pescado grande que el que tienen en realidad. Podría ocurrir lo contrario: que en las cajas no se pusiera pescado grande porque el pescador se lo reservaba a compradores favorecidos.
En ambos casos tendríamos errores sistemáticos, porque ninguna muestra nos permitiría generalizar con precisión sobre el pescado descargado. El error sistemático no lo suprime la obtención de muestras mayores, porque se debe a un método fundamentalmente incorrecto de obtener una muestra de la población. Puede aceptarse un error sistemático conocido en un plan de muestreo. Por ejemplo, el reconocimiento con artes de arrastre para determinar la proporción relativa de pescado de dos especies distintas, puede estar afectado de error sistemático porque el arte podría pescar mejor una, que otra especie. No obstante, los resultados de tal estudio serían perfectamente utilizables sisupiéramos que es dos veces más fácil capturar una especie que la otra. Desgraciadamente, el que hace el estudio no sabe que los resultados que obtiene sufren de un error sistemático que es difícil detectar, como lo demuestra el ejemplo siguiente:
Un investigador que saca ejemplares aislados de una pila, casi siempre recoge primero los mayores, lo que es motivo de que la talla media de la muestra sea sistemáticamente mayor que la de la pila, que en este caso es la población objeto de muestreo.
Gulland (1966) describre tipos de errores sistemáticos cometidos por un investigador que cuando quiso estimar la talla media del arenque descargado obtenía muestras de pescado en el mercado de Lowestoft. Siempre llegaba temprano al mercado y sacaba las muestras de lo primero que se descargaba por la mañana. Más tarde se descubrió que los primeros desembarques procedían de embarcaciones que habían pescado más cerca de la costa, donde lo pescado era por término medio más pequeñ que lo procedente de aguas más profundas. Por eso la media de la muestra era sistemáticamente más pequeña que la de la población (la talla media de todo el pescado descargado ese día).
Las muestras de pescado obtenidas siempre de la misma embarcación porque el laboratorio está en buenas relaciones con la tripulación, es posible que adolezcan de error sistemático porque cada patrón tiene sus preferencias en cuanto a los lugares de pesca y distintas maneras de armar y trabajar el arte.
Se encontraron errores sistemáticos debidos a diferencias entre los investigadores durante el programa CIEM de 1957-58 de marcado de arenque (Aasen et al., 1961), que comunicaron que, en circunstancias idénticas (marcado de la misma captura a bordo del mismo barco, etc.), tres grupos de marcadores obtenían constantemente porcentajes sensiblemente diferentes de captura de los peces marcados.
Es igualmente bien conocido que distintas personas obtienen resultados diversos examinando los mismos otolitos. Hay mucha subjetividad en lo que concierne a la determinación de la fase de madurez de las gónadas. El importantísimo error sistemático del sistema que empleamos para el muestreo de la captura a bordo, se debe al empleo de artes que sólo seleccionan determinados grupos de tallas. Esto se examina más a fondo en la sección 9.
El error sistemático sólo se puede encontrar si todo el sistema de muestreo desde la captura hasta el análisis en el laboratorio, se estudia en todos sus detalles; si se descurbren las razones, se pueden corregir los datos, por ejemplo, añadiendo 1 cm a la talla de todo el pescado que se ha medido a bordo con un tablero que comienza en 1 cm en lugar de cero.
Este no es en libro de texto de estadística, de los que existen muchos para los interesados en la materia. Los conceptos estadísticos relacionados con el muestreo los describe con pormenores Gulland (1966). No obstante, hay que conocer cuatro términos estadísticos para tener una cierta idea del muestreo.
Supongamos que obtuvimos una muestra muy pequeña de 16 ejemplares; los medimos y obtuvimos los resultados siguientes:
| talla (cm) | 4 | 5 | 6 | 7 | 8 | 9 | |
| número de medidas | 2 | 1 | 2 | 6 | 4 | 1 |
El media se calcula sumando todas las tallas y dividiendo por el número de pescados:
| (4 + 4 + 5 + 6 + 7 + 7 + 7 + 7 + 7 + 7 + 8 + 8 + 8 + 8 + 9)/ | |
| 2 + 1 + 2 + 6 + 4 +1 | |
| o más sencillamente | (4 × 2 + 5 × 1 + 6 × 2 + 7 × 6 + 8 × 4 + 9 × 1)/ |
| 2 + 1 + 2 + 6 + 4 + 1 | |
| lo que equivale a | 8 + 5 + 12 + 42 + 9/16 = 108/16 = 6,75 cm |
que es el media de estas observaciones.
Esta serie de cálculos se puede expresar en la formula matemática:

(pronunciado “sigma”), que significa simplemente “la suma de” o “adicionar todas las
observaciones” y ∑x adicionar todas las observaciones que hemos llamado x; x se llama la
variable. Si dividimos estos por n, el número de pescados en nuestra muestra, tenemos
(pronunciado x barra) que es el media.
Podemos tomar otra muestra de 8 pescados y obtener los resultados siguientes:
| talla (cm) | 4 | 5 | 7 | 7 | 8 | 9 | 10 | |
| número de medidas | 4 | 2 | 2 | 2 | 2 | 2 | 2 | |
∑x = 108, n = 16 de aquí = 108/16 = 6,75 cm | ||||||||
Estas dos series de observaciones tienen el mismo media pero parecen muy diferentes. En la primera serie casi todo el pescado era de 7 y 8 cm; en la segunda serie un solo grupo de tallas (5 cm) había sido objeto de más de una observación. Por esto el media no nos dice mucho del número en cada grupo de tallas en la muestra. Para describirlo mejor tenemos que calcular la varianza y la desviación típica.
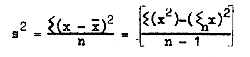
La estimación de la varianza se define como la suma de los cuadrados de las desviaciones de esto media dividida por el número total de observaciones menos una y normalmente se expresa s². Se escribe Δ² (sigma cuadrado) cuando es la varianza de una población y no de una muestra. En estenografía estadística:

(x -
) es lo que se desvía una observación del media, (x -
)² es el cuadrado de la
desviación y ∑ significa “sumarlos todos” como en la sección 2.3.1. La desviación típica es
la raíz cuadrada de la varianza.
Para la primera serie de observaciones de la sección 2.3.1.

= 2,06
s = ± 1,43 cm
| Fig. 2.1 | (a) Histograma basado en unos pocos peces medidos en unidades de 10 mm |
| (b) Histograma basado en muchos peces medidos en unidades de 5 mm | |
| (c) Número infinito de peces medidos en unidades infinitamente pequeñas. Curva normal |
Los tres puntos significan que no se deseaba introducir el cuadrado de las desviaciones de todas las observaciones. Esta es una manera dilatoria y molesta de calcular la varianza y puede demostrarse que:

Esta formula facilita mucho el cálculo, en particular si se tiene una máquina de calcular. Es muy importante observar el significado de los paréntesis: ∑(x²) significa que hay que adicionar todos los valores de x²; (∑x²) significa que hay que adicionar todos los valores de x y elevar al cuadrado el resultado. Volviendo a tomar la primera muestra de la sección 2.3.1.
∑ (x)² = 4² + 4² + 5² + 6² + 6² + 7² - - - - + 7² + 8² + 8² + 8² + 8² + 9² = 760
(∑x)² = (4 + 4 + 5 + 6 + 6 +7 + - - - - + 7 + 8 + 8 + 8 + 8 + 9)² = (108)² = 11 664

que es exactamente el mismo resultado obtenido por el método largo de cálculo.
Muchas de las observaciones hechas por los halieutólogos, como el número de pescados
en cada grupo de talla de una muestra o el de los que hay de cada edad en un grupo de talla,
forman histogramas como él de la Fig. 2.1a. Si se redujeran los intervalos de clase en
tal histograma (5 mm en vez de 10 mm) y se aumentara el número de pescados medidos, se
suavizarían los contornos del histograma (Fig. 2.1b). Si se continuara este proceso
indefinidamente, se obtendría una curva en forma de campana como en la Fig. 2.1c, que se
llama curva normal. Se define enteramente por su desviación media y normal; la última
describe su amplitud (Fig. 2.2). Para tal curva hay una relación entre la desviación de la
media, en este caso Δ porque la curva normal describe toda la población, y la frecuencia
con que estas desviaciones deben ocurrir. En particular, el 95 por ciento de los individuos
debería encontrarse entre ± 1,96 Δ, del media. Si a continuación midiéramos un pescado de
la misma especie a que se refiere la curva y viéramos que su talla media era mayor o menor
que ± 1,96 Δ, podríamos decir que tenemos una confianza del 95 por ciento de que no pertenece
a la población descrita por la media
y la desviación normal Δ. Si tomáramos una
muestra de n pescados y determináramos su media (=
) podríamos decir que no proviene de la
misma población que el original si su medio fuera mayor o menor que 1,96dgr;/n que la de
.
(± 1,96 Δ) describe los límites de confianza del 95 por ciento de una distribución normal.
Si quisiéramos ser más precisos y describir los límites de confianza entre los cuales
estaríamos un 99 por ciento seguros de donde se encuentra el media, tendríamos que trabajar
con ± 2,5Δ/
.
La exactitud con que se pueda saber si una muestra procede de una población descrita
por
o por Δ depende de la raíz cuadrada de las observaciones que se hayan hecho. Esto
tiene una gran efecto en el muestreo de pescado. Si hemos medido 10 pescados, la exactitud
con que podríamos describir el media sería s/
, en la que s se refiere a la desviación
normal de la muestra de 10 pescados. Si ahora medimos 50 pescados, la exactitud con que
podríamos describir los límites de la media disminuiría en la proporción
=
3,16/7,07 =
0,45. Si medimos 100 pescados en vez de 10 disminuiría a 0,32; en el caso de 200 pescados
en vez de 10, quedaría reducida a 0,22. Al duplicar el número de medidas de 50 a 100 aumentamos
la exactitud con que podemos definir la media en una gran cantidad, pero al medir otros
100 no la aumentamos ni en la proporción del número de pescados medido, ni en el tiempo que
hubiéramos tardado.
Fig. 2.2 Tres curvas normales: (a) con desviación típica pequeña; (b) con desviación grande; y (c) con desviación pequeña pero positiva a la derecha de la media real (es decir: la media de c debería ser la misma que la de las curvas a y b)
Cuando se muestrea una población heterogénea (es decir: una formada por peces de tallas muy diversas), puede aumentarse - en ocasiones mucho - la exactitud y reducirse el riesgo de error sistemático dividiéndola en secciones relativamente homogéneas llamadas estratos, cada uno de los cuales se muestrea por separado y se obtienen estimaciones de la talla media. Posteriormente estas pueden combinarse para lograr una estimación de toda la población. La varianza de esta estimación también puede lograrse combinando las varianzas de las estimaciones dentro de cada estrato. Como los estratos tenderán a ser pequeños - los estratos son relativamente homogéneos, por lo que la varianza dentro de cada uno es menor, posiblemente mucho menor, que la de la población en conjunto - también será pequeña la varianza de la estimación combinada final.
El pescado se descarga con frecuencia por clases fácilmente utilizables para el muestreo. Gulland (1966) da un ejemplo de la aplicación del muestro estratificado a una partida de eglefino descargado en el mercado de Aberdeen, Escocia. El eglefino, llegó en clases o estratos: grande, mediano, entre mediano y pequeño y pequeño. Un plan de muestreo que aprovechaba estos estratos dió por resultado una varianza de la talla media que era la séptima parte de la obtenida no empleando los estratos: 0,0285 contra 0,197.
Hasta ahora hemos examinado principalmente los aspectos teóricos del muestreo. Lo más frecuente es que los programas de muestreo tengan que efectuarse en circunstancias que no permiten aplicar la teoría a la práctica con mucho detalle. En las secciones que siguen se describen algunas de estas dificultades prácticas y lo que se puede hacer para vencerlas.
¿Cuantos pescados se van a medir? En cierto modo esta pregunta ha sido contestada en
la sección 2.3.1, en la que hemos dicho que la exactitud con que se puede definir los
límites de confianza del media, aumenta con la raíz cuadrada del número de observaciones.
Cuando se descarga pescado sin clasificar, podríamos decidir que 100 ejemplares nos darían
la exactitud necesaria. Si encontráramos una caja con 80 pescados solamente, sería mejor
medir una caja en vez de dos de las descargadas por un barco y dedicar nuestra actividad a
otra cosa, porque el duplicar las medidas reduciría nuestros límites de confianza a solamente
0,71 de los que obtendríamos si midiéramos una caja. Sin embargo, el pescado podría descargarse
en cajas que contuvieran 300 ejemplares y para evitar errores sistemáticos podría
ser necesario medirlos todos, aun cuando la medida de los últimos 200 añadiría muy poco a
la exactitud de nuestra estimación de
.
La dimensión de la muestra también dependerá de la varianza de la gama de tallas del pescado en la caja. Después de muestrear una pequeña cantidad, esto se conocerá dentro de ciertos límites y el tamaño de la muestra se ajustará de manera correspondiente.
Si el pescado se descarga por clases, en ese caso hay que medir algunos ejemplares de cada una, porque de lo contrario se introduce el error sistemático. En este caso la varianza total de todas las muestras de todas las clases será la menor, si el número de pescados medidos de cada clase (n) es proporcional al producto del número total de pescado en la clase (N) y la desviación normal del media (s), es decir: nαNs. Normalmente las clases de pescado grande contienen una mayor gama de tallas, pero menos pescados, que las de pescado pequeño. Por ejemplo, si la desviación típica de la clase “grande” es ±5 cm, el número total de pescados en la clase es 1 000, la desviación típica de la clase “pequeño” es ±2 cm y el número total de pescados en ella de 8 000 en ese caso la proporción de muestreo de grandes a pequeños será de 5 000:16 000. Ninguno de estos factores se conocerá para ninguna clase hasta que se haga el muestreo, pero los valores probables se sabrán de los programas de muestreo de ensayo en los mercados.
Normalmente se muestrean varias descargas en la misma ocasión y esto también influye en la elección del número de pescados que se va a medir. Es probable que la variación entre lo descargado por diversos barcos sea mayor que la que existe entre las clases del mismo barco, por la sencilla razón de que es posible que pescaran en distintos caladeros, mientras que la composición por tallas en una caja de una clase es probablemente análoga a la de cualquier otra caja de la misma clase del mismo barco. Por lo tanto, lo mejor es medir pescados del mayor número de barcos posible, pero es muy lento moverse entre barcos. Gulland (1966) ha calculado que la mejor asignación de tiempo de muestreo, es decir, la que de la menor varianza en función del número de muestras distintas es

en la que sw = varianza dentro del barco
sb = varianza entre barcos
tb = tiempo transcurrido yendo de un barco a otro
tw = tiempo transcurrido examinando un pescado
Como casi todos los programas de muestreo requieren que se eleve el peso de la muestra medida al de la captura total de la clase, generalmente se miden unidades de peso completas, bien en total o sobre la base de medir un pescado y rechazar el siguiente. De esta manera, en la práctica la unidad según la cual se ha medido el pescado es el tamaño mínimo de la muestra.
En la mayoría de los programas de investigación pesquera, la cantidad de muestreo que se efectúa raramente lo deciden los criterios estadísticos, sino la disponibilidad de mano de obra, a la que pone límite la cantidad de dinero que un gobierno está dispuesto a gastar. Por tanto, se trata de emplear la mano de obra disponible de la mejor manera posible, organizando los programas de muestreo como se describe en esta sección, de manera que las observaciones con la menor varianza se obtengan con el mínimo esfuerzo. Todavía no se ha encontrado el “mejor” programa de muestreo. La razón es que al halieutólogo le interesa principalmente determinar el número de pescados en un grupo de edad o la curva de crecimiento de una especie y aun no se han descrito las estadísticas para calcular la varianza de estas observaciones.
El muestreo a bordo presenta muchas dificultades, además de las relacionadas con el trabajo en una plataforma inestable. Dado que la captura es muy diversa no se clasifica en especies o grupos y clases de especies, como se hace en el mercado. Si es un barco industrial, el investigador tiene que trabajar de manera que no obstaculice la actividad normal y con frecuencia dispone de muy poco tiempo para obtener sus muestras.
En un barco investigador el halieutólogo encargado normalmente ejerce una cierta autoridad sobre la pesca, porque decide cuanto equipo se va a emplear y cuanto tiempo va a estar en el agua. Los problemas del muestreo aumentan en proporción con la cantidad pescada. El ideal sería pescar todo lo necesario para formar una muestra fácil de manejar. Varios lances en cada uno de los cuales se pesca una cantidad de manipulación sencilla (de 100 a 200 ejemplares de las especies que más interesan) son mejores que un solo lance en el que se capturan 5 toneladas o más. No obstante, las tripulaciones se cansan de maniobrar constantemente el arte y esto pone límite a lo que puede hacer el investigador.
En un barco para investigaciones el halieutólogo encargado debe tener autoridad sobre la que se hace con la captura. No se debe hacer nada hasta que haya dado instrucciones. La captura raramente se compone de una especie y se si trabaja con un arte de fondo, el pescado vendrá mezclado con piedras, desechos, etc.
Lo primero que hay que hacer es separar el pescado y colocar juntos en cajas los de la misma especie o grupos de especies si no pueden distinguirse fácilmente. Esta operación introduce immediatamente un error sistemático, porque se ha observado que inconscientemente la gente selecciona primero los ejemplares mayores, más atractivos y menos espinosos. Estos se pondrán en la primera caja que se va a llenar; la última contendrá principalmente los pescados mas pequeños de la especie. Sería posible tratar cada caja como un estrato y aplicarle la técnica de muestreo estratificado. Supongamos, por ejemplo que hay cuatro cajas y que todas contienen la misma especie. Una posible solución sería (véase también la Fig. 2.3).
Primera caja, pescado grande: | pesar el pescado y medirlo todo. |
Segunda caja, pescado mediano: | sacar el pescado uno a uno y colocarlo alternativamente en dos cajas; los pescados 1, 3, 5, etc., van en una caja, los pescados 2, 4, 6, etc., en la otra. El pescado de ambas cajas se pesa, el de una se mide y las medidas se multiplican por el factor del peso total dividido por el peso del pescado medido. |
Tercera caja, pescado pequeño: | se saca el pescado uno a uno y cada tercero se pone en una de tres cajas; los pescados 1, 4, 7, etc., van a la primera caja; los pescados 2, 5, 8, etc., a la segunda y los pescados 3, 6, 9, etc., a la tercera. Se pesa el pescado de todas las cajas, los primeros de una se miden y la medida se multiplica por el peso total dividido por el del pescado medido. |
Cuarta caja, pescado muy pequeño: | se saca el pescado uno a uno y cada cuarto se pone en una de 4 cajas; los pescados 1, 5, 9, etc., se ponen en la primera caja, los pescados 2, 6, 10, etc., en la segunda, los pescados 3, 7, 11, etc., en la tercera y los pescados 4, 8, 12, 16, etc., en la cuarta. Se pesa el pescado de todas las cajas, se mide el de una y la medida se multiplica por el peso total dividido por el del pescado medido. |
Si la captura de una especie es mayor que ésta de, digamos, nueve cajas, el sistema anterior puede ser demasiado dilatorio y será necesario preparar de otra manera una muestra manejable. Dividir la captura en grupos de cuatro con la mayor exactitud posible. Con nueve cajas la mejor división sería una serie de 4, otra de 3 y otra de 2 (Fig. 2.3). Se toma el mismo número de cajas vacías como haya en la serie original y se pone la cuarta parte del pescado en la primera caja vacía, otra cuarta en la segunda, otra cuarta en la tercera y otra cuarta en la cuarta caja vacía. Se repite con la segunda, tercera y cuarta cajas llenas, poniendo el pescado en las cajas vacías hasta que se llenan. Esto se hace de nuevo con la serie de tres cajas, poniendo la tercera parte del pescado en cada caja vacía. Cuando originalmente hay dos cajas con pescado, es mejor hacer la división en dos partes, poniendo el primero y tercer cuartos de la primera caja llena en la primera caja vacía y el segundo y cuarto cuartos en la segunda caja vacía. Lo mismo debe hacerse con el pescado de la segunda caja llena.
De cada una de estas series de cajas recien llenadas, se selecciona una para tomar medidas o se repite la operación hasta que se obtiene una muestra del pescado del tamaño requerido. Se pesa todo el pescado y las medidas de la talla del muestreado se eleva al peso total de lo que se ha pescado.
Fig. 2.3 Submuestreo en un arrastrero industrial: cada línea en las fases 1 y 2
representa la división de parte de los cestos llenos (½, ⅓, o ¼,) según
el número de cestos al comienzo de cada fase) en cestos vacíos. La línea
doble indica que la primera y tercera cuartas partes están en un cesto
vacío y la segunda y la tercera en otro. Los cestos llenos al comienzo
de la fase se representan con líneas diagonales
Fig. 2.4 Muestreo de grandes capturas
La captura se puede dividir entre las cajas pesándola, pero a menos que la mar esté llana, pesar a bordo es inexacto, por lo que la división se hace con casi igual precisión echando el pescado en las cajas y calculando cuando están una tercera o una cuarta parte llenas.
Esto tiene por objeto eliminar todo error sistemático que se haya podido introducir al recoger el pescado originalmente de la cubierta.
Si el pescado se clasifica por grupos, la separación por especies y la de machos y hembras puede hacerse al medirlo.
La elección de las cajas que se van a retener y las que se van a descartar puede hacerse arbitrariamente, porque todas las cajas deben contener la misma mezcla de pescados. También puede hacerse echando unos dados sin error sistemático después de numerar las cajas o empleando una tabla de números colocados al azar (Tabla 2.1). Para utilizar esta tabla hay que atribuir un número de 00 a 99 a cada caja, comenzar con un número cualquiera de la tabla y leer horizontal o verticalmente hasta que se llega a uno de los números de la caja; seleccionar el pescado de esta caja para medirlo. Si hay más de 100 cajas que muestrear, digamos 200, los números en la columna de la izquierda pueden emplearse para asignar los pares de números al azar, tomando 1, 3, 5, etc., para referirse de 0 a 99 y 2, 4, 6, etc., para referirse de 100 a 199. Si hay mas de 200 cajas 1, 4, 7, etc., se referirían de 0 a 99; 2, 5, 8, etc., de 100 a 199 y 3, 6, 9, etc., de 200 a 299, etc.
Véase la Tabla 2.1 en la página siguiente.
Los investigadores a bordo de un barco industrial tendrán que ajustar su muestreo al trabajo de la tripulación, a menos que el barco se haya fletado, en cuyo caso el investigador encargado tendrá la misma autoridad que si estuviera en su barco investigador.
La captura puede ser muy grande, por lo que se deberá tratar de muestrearla de manera que dé el menor error sistemático. En la Fig. 2.4 se indican dos maneras para obtener una muestra de una pila de pescado. Representa la vista de arriba a abajo de la captura de un arte de arrastre. Es posible tomar originalmente una muestra grande, pero no medirla toda porque la tripulación necesita el pescado para eviscerarlo. La muestra grande debera ser submuestreada, por ejemplo, mezclándola con una pala y conservando una caja que se haya llenado poniendo cada segunda, tercera o cuarta palada (según las dimensiones de la muestra original) del pescado que se va a medir en ella. Este tipo de muestreo puede tener que emplearse en una barco investigador cuando se ha pescado mucho.
Otra manera de proceder en grandes barcos industriales en los que el pescado se eviscera y lava, consiste en medirlo cuando sale de la lavadora. En primer lugar el investigador tiene que decidir, examinando la cuantía de la captura, que proporción desea medir; supongamos que sea la vigésima; en ese caso separa cada vigésimo pescado que sale de la lavadora. Esto es muy sencillo si solo es mide una especie.
Hay dos hechos importantes que se han de tener presentes cuando se trabaja en un barco industrial: primero no perturbar a la tripulación; segundo, adaptar la técnica de muestreo de manera que encaje en la actividad del barco, con lo que el error sistemático será el menor posible. Si no puede evitar el error sistemático, anótese el que cree que lo es.
Todos los halieutólogos deben obtener muestras del pescado que estudian, pero el que se interese en el efecto de la pesca en los peces, en la conservación y en asesorar a su gobierno sobre la política pesquera, debe obtener sus datos de manera que, a partir de ellos, pueda construir un modelo para predecir lo que ocurrirá en la pesquería que estudia. Los datos que obtenga deben describir con la mayor precisión posible la población íctica de que proceden. Para ello deberá recogerlos con precisión. En esta sección se trata de la recopilación de estadísticas de captura y esfuerzo.
| Primer millar | ||||||||||
|---|---|---|---|---|---|---|---|---|---|---|
| 1–4 | 5–8 | 9–12 | 13–16 | 17–20 | 21–24 | 25–28 | 29–32 | 33–36 | 37–40 | |
| 1 | 23 15 | 75 48 | 59 01 | 83 72 | 59 93 | 76 24 | 97 08 | 86 95 | 23 03 | 67 44 |
| 2 | 05 54 | 55 50 | 43 10 | 53 74 | 35 08 | 90 61 | 18 37 | 44 10 | 96 22 | 13 43 |
| 3 | 14 87 | 16 03 | 50 32 | 40 43 | 62 23 | 50 05 | 10 03 | 22 11 | 54 38 | 08 34 |
| 4 | 38 97 | 67 49 | 51 94 | 05 17 | 58 53 | 78 80 | 59 01 | 94 32 | 42 87 | 16 95 |
| 5 | 97 31 | 26 17 | 18 99 | 75 53 | 08 70 | 94 25 | 12 58 | 41 54 | 88 21 | 05 13 |
| 6 | 11 74 | 26 93 | 81 44 | 33 93 | 08 72 | 32 79 | 73 31 | 18 22 | 64 70 | 68 50 |
| 7 | 43 36 | 12 88 | 59 11 | 01 64 | 56 23 | 93 00 | 90 04 | 99 43 | 64 07 | 40 36 |
| 8 | 93 80 | 62 04 | 78 38 | 26 80 | 44 91 | 55 75 | 11 89 | 32 58 | 47 55 | 25 71 |
| 9 | 49 54 | 01 31 | 81 08 | 42 98 | 41 87 | 69 53 | 82 96 | 61 77 | 73 80 | 95 27 |
| 10 | 36 76 | 87 26 | 33 37 | 94 82 | 15 69 | 41 95 | 96 86 | 70 45 | 27 48 | 38 80 |
| 11 | 07 09 | 25 23 | 92 24 | 62 71 | 26 07 | 06 55 | 84 53 | 44 67 | 33 84 | 53 20 |
| 12 | 43 31 | 00 10 | 81 44 | 86 38 | 03 07 | 52 55 | 51 61 | 48 89 | 74 29 | 46 47 |
| 13 | 61 57 | 00 63 | 60 06 | 17 36 | 37 75 | 63 14 | 89 51 | 23 35 | 01 74 | 59 93 |
| 14 | 31 35 | 28 37 | 99 10 | 77 91 | 89 41 | 31 57 | 97 64 | 48 62 | 58 48 | 69 19 |
| 15 | 57 04 | 88 65 | 26 27 | 79 59 | 36 82 | 90 52 | 95 65 | 46 35 | 06 53 | 22 54 |
| 16 | 09 24 | 34 42 | 00 68 | 72 10 | 71 37 | 30 72 | 97 57 | 56 09 | 29 82 | 76 50 |
| 17 | 97 95 | 63 50 | 18 40 | 89 48 | 83 29 | 52 23 | 08 25 | 21 22 | 53 26 | 15 87 |
| 18 | 93 73 | 25 95 | 70 43 | 78 19 | 88 85 | 56 67 | 16 68 | 26 95 | 99 64 | 45 69 |
| 19 | 72 62 | 11 12 | 25 00 | 92 26 | 82 64 | 35 66 | 65 94 | 34 71 | 68 75 | 18 67 |
| 20 | 61 02 | 07 44 | 18 45 | 37 12 | 07 94 | 95 91 | 73 78 | 66 99 | 53 61 | 93 78 |
| 21 | 97 83 | 98 54 | 74 33 | 05 59 | 17 18 | 45 47 | 35 41 | 44 22 | 03 42 | 30 00 |
| 22 | 89 16 | 09 71 | 92 22 | 23 29 | 06 37 | 35 05 | 54 54 | 89 88 | 43 81 | 63 61 |
| 23 | 25 96 | 68 82 | 20 62 | 87 17 | 96 65 | 02 82 | 35 28 | 62 84 | 91 95 | 48 83 |
| 24 | 81 44 | 33 17 | 19 05 | 04 95 | 48 06 | 74 69 | 00 75 | 67 65 | 01 71 | 65 45 |
| 25 | 11 32 | 25 49 | 31 42 | 36 23 | 43 86 | 08 62 | 49 76 | 67 42 | 24 52 | 32 45 |
Reproducida de Tracts for Computers by Professor E.S. Pearson, No. XXIV, Department of Statistics, University College, University of London
Normalmente, además del halieutólogo, las estadísticas pesqueras las necesitan, por ejemplo, los economistas. Por lo tanto, hay que obtener estadísticas que satisfagan las necesidades de todos. No obstante, es usual que las necesidades de los halieutólogos sean mayores que las de los demás y que un sistema propuesto por un economista no sirva para un investigador pesquero. Por lo tanto, los investigadores tienen que encargarse de la manera de recopilar las estadísticas y del personal que las recopila.
Generalmente, de recopilar estadísticas se encarga el personal de menos antigüedad de la organización pesquera, que con frecuencia trabaja en lugares aislados y en malas condiciones. Sin embargo, el trabajo del biólogo halieútico altamente calificado y el asesoramiento que ofrece, dependen de la manera en que estos jóvenes desempeñan sus funciones. Si lo hacen mal, no hay análisis, por complicado que se haga con ordenadores, que ofrezca resultados correctos. Si los datos originales contienen errores sistemáticos, las respuestas que se obtengan estarán equivocadas. El personal que recoge estadísticas debe ser contratado con gran cuidado, bien preparado y estrechamente supervisado, para estar seguros de que hace su trabajo adecuadamente. Trabajará mejor si se le hace sentirse parte de la organización a la que pertenece, se entrevista períodicamente con los halieutólogos y, lo que tiene más importancia, se le dice como se emplea la información que obtiene.
Sin embargo, en muchos países la recogida de estadísticas pesqueras no es siempre la responsabilidad del biólogo halieútico. Con frecuencia, el sistema para obtener estadísticas lo ha proyectado inicialmente un economista, por lo que no es infrecuente ver un laboratorio de halieutología dotado de personal idóneo, tratando de trabajar con los datos fundamentales más insuficientes.
Se ha de tener presente que los resultados finales de todo estudio de evaluación de poblaciones guarda relación directa con la calidad de los datos básicos originales.
Puede parecer absurdo decir que el halieutólogo tiene que conocer las especies con las que trabaja, pero esto no es siempre tan fácil como se cree. En algunos lugares puede ser muy difícil separar las especies y el investigador puede no haberse dado cuenta de que aplica el mismo nombre a dos especies distintas. Si se tiene la menor duda, conviene preservar ejemplares de referencia y consultar con un especialista en sistemática lo antes posible durante la investigación.
Las especies distintas deberían estar representadas por estadísticas especiales, para lo que se obtienen estadísticas separadas. Muchas de las categorías estadísticas actualmente en uso en la estadística pesquera, no son representativas de especies determinadas, sino de generos y aun de grupos de familias. En algunos casos las especies se agrupan porque las capturas son pequeñas; esta norma debería evitarse siempre que fuera posible, porque se pierde información que podría ser de utilidad si una de las especies del grupo adquiriese importancia posteriormente. En otros casos las especies pueden agruparse porque es defícil distinguirlas entre lo capturado.
Como parte de las actividades de su Programa Ordinario, la FAO prepara una serie de fichas de identificación de especies con fines estadísticos. Se intenta llegar a preparar una ficha para cada especie de importancia comercial que figura en cada una de las zonas principales de pesca reconocidas en la carta mundial de la FAO “Principales zonas de pesca para fines estadísticos”. Se confía que la serie de fichas de identificación de especies contribuirá a mejorar la situación actual, poniendo al alcance del investigador halieútico no especializado un medio práctico para identificar las especies de valor comercial más comunes en su zona. La Fig. 2.5 es un ejemplo de una ficha para la región mediterránea.
La FAO también prepara una clasificación uniforme de animales y plantas acuáticos con fines estadísticos (FAO, 1972).
| CLUP Sardi 1 | |
| 1971 |
FICHES FAO D'IDENTIFICATION DES ESPECES
| FAMILLE: CLUPEIDAE | ZONE DE PECHE 37 (Médit. et m. Noire) |
| Sardina pilchardus (Walbaum, 1792) |
| SYNONYMES ENCORE UTILISES: | clupea pilchardus Walbaum, 1792 Sardina pilchardus Sardina Walbaum, 1792 |
NOMS VERNACULAIRES:
| FAO - An : | European pilchard |
| Es : | Sardina europea |
| Fr : | Sardine européenne |
| NATIONAUX - | ALBN: | Sardelë | GREC: | Sardélla | MONC: | Sardina |
| ALGR: | Sardin' | ISRL: | Sardin zefoni | ROUM: | Sardea | |
| BULG: | Sardina | ITAL: | Sardina | SYRI: | Sardîn | |
| CYPR: | Sardella | LIBA: | Sardine mabroum | TUNS: | Sardina | |
| EGYP: | Sardina | LIBY: | Särdin mabrum | TURQ: | Sardalya | |
| ESPA: | Sardina | MALT: | Sardina kahla | URSS: | Sardina | |
| FRAN: | Sardine | MARC: | Sardina | YOUG: | Srdjela |
CARACTERES DISTINCTIFS ET DIAGNOSE:
Corps à section transversale ovale; carène ventrale peu développée mais visible de la gorge à l'anus; nageoire dorsale débutant en avant de l'origine des nageoires pelviennes; opercule présentant des stries rayonnantes très prononcées; mâchoire supérieure dépourvue d'échancrure médiane; mâchoire inférieure n'atteignant pas le bord postérieur de l'oeil; dos verdâtre, quelquefois olivâtre, flancs dorés devenant blanc-argenté ventralement; une rangée horizontale de taches sombres peu accentuées sur les côtés du corps.
Autres caractères marquants: écailles grandes, argentées et caduques ne recouvrant pas la tête; ligne latérale invisible; les deux derniers rayons de la nageoire anale plus forts et plus longs que les précédents; une écaille longue et modifiée sur chacun des lobes de la nageoire caudale.
DIFFERENCES AVEC LES ESPECES LES PLUS SIMILAIRES DE LA REGION:
Sardinella aurita et S. maderensis: diffère de S. pilchardus par l'absence de stries rayonnantes sur l'opercule et de points sombres sur les côtés du corps.
Fig. 2.5(a) Ejemplo de ficha de la FAO para la identificación de especies
Sprattus sprattus: diffère de S. pilchardus par la présence d'une carène ventrale
très développée, formée d'une rangée d'écailles pointues s'étendant de la gorge à l'anus;
l'absence d'écailles modifiées sur la nageoire caudale; la position de la nageoire
dorsale qui débute un peu en arrière de l'origine des nageoires pelviennes et l'absence
de rayons plus développés que les autres à la nageoire anale. | ![]() S. sprattus |
Alosa alosa et A. fallax nilotica: diffèrent de S. pilchardus par la présence
d'une échancrure médiane à la mâchoire supérieure et l'absence de rayons plus
développés que les autres à la negeoire anale. | ![]() E. encrasicolus |
Engraulis encrasicolus: diffèrent de S. pilchardus par le museau proéminent
et la mâchoire supérieure longue, dépassant très nettement l'oeil. | |
| TAILLE: | |
Maximum: 22 cm en Méditerranée, 17 cm en mer Noire et 25 cm dans l'Atlantique;
commune: 10 à 25 cm en Méditerranée, 6 à 8 cm dans la mer Noire. | |
| DISTRIBUTION GEOGRAPHIQUE ET HABITUDES: | |
Cette espèce est commune dans le bassin ouest
méditerranéen et dans l'Adriatique, rare dans le
bassin est, la mer de Marmara et la mer Noire;
elle est présente dans l'Atlantique est, du cap
Blanc au Dogger Bank dans la mer du Nord. | ![]() |
Pélagique et migratrice, cette espèce forme
des bancs en eau peu profonde (15 à 35 m la nuit
et 25 à 55 m le jour). | |
Elle se nourrit de phyto et de zooplancton de
petite taille. | |
| LIEUX DE PECHE ACTUELS: | |
Eaux côtières du plateau continental. | |
CAPTURES, ENGINS DE PECHE PRINCIPAUX ET FORMES PRINCIPALES D'UTILISATION:
Des statistiques séparées sont recueillies pour cette espèce en Algérie (1970: 17 000 tonnes), Egypte, France (1970: 23 000 tonnes), Grèce, Italie (1970: 44 000 tonnes), Malte, Maroc, Espagne (1970: 32 000 tonnes), Tunisie, Turquie et Yougoslavie (1970: 11 000 tonnes); le total rapporté pour les pays de la zone du CGPM en 1970 s'est élevé à 157 000 tonnes. D'autres pays incluent probablement cette espèce dans de plus vastes catégories statistiques.
Elle est capturée à la senne tournante et au lamparo (pêche au feu), au filet maillant, à la senne de plage, avec des filets fixes et parfois au chalut (côtes méditerranéennes françaises).
Elle est essentiellement commercialisée sous forme de conserves à l'huile ou à la sauce tomate; une partie importante est également conservée dans le sel et le vinaigre ou vendue fraîche.
No es fácil obtener datos de capturas y esfuerzo de pesca. Aun cuando la ley obliga al pescador a dar información, no siempre dará la exacta si sabe que no se puede comprobar si dice la verdad o miente. Normalmente, no se puede verificar, por lo que hay que depender de lo que dice y por esto vale la pena captarse su amistad. Dígale para que quiere la información. Escuche con interés a sus respuestas y prepárese para enterarse de sus problemas. Si hay una legislación pesquera, por ejemplo, sobre dimensiones de mallas o tallas mínimas del pescado descargado, asegúrele que no es usted la persona encargada de su aplicación. Es difícil ser amigo un día y policía el siguiente. “En todo lo que se haga hay que proceder con humorismo. Digálo que tenga que decir, pero dígalo con una conrisa (Bazigos, 1973).
Lo primero que queremos saber es el peso de cada especie que se descarga. Esto y el valor de la captura son las dos cantidades que también interesan al economista halieútico. Es imposible fijar reglas sobre como obtener esta información, porque dependerá de como se descarga la captura. En los grandes puertos de Inglaterra, el colector de estadísticas puede obtener esta información poniéndose de acuerdo con el armador del arrastrero para que le facilite una hoja de ventas con los pesos y el valor por especies. En algunos otros puertos el colector tiene que contar las cajas de dimensiones uniformes en las que se descarga el pescado y anotar los precios pagados en las subastas. En el otro extremo están las pesquerías como las de los lagos de Africa, en las que el colector de estadísticas tiene que acercarse a cada canoa y pesar el mismo la captura. En algunos casos los lugares de descarga están alejados y la captura tiene que anotarse en un lugar central. En el apéndice 2.1 se describen tres tipos de pesquerías y el método de anotar las capturas de cada una.
Existen maneras normalizadas de anotar las capturas y la FAO ha preparado definiciones uniformes de los términos fundamentales empleados. Estos aparecen en la Tabla 2.2 que procede de la FAO, Circular de Pesca No. 248 “Capturas y desembarques nominales: definiciones y notas” (FAO, 1973a).
La FAO, Circular de Pesca No. 428 también describe métodos uniformes para anotar los datos cuando se plantean problemas, como, por ejemplo, cuando el pescado se transborda del barco de la nación que lo ha capturado al de la nación que lo ha comprado en el puerto de una tercera nación. También comprende una lista de clasificaciones estadísticas uniformes de animales y plantas acuáticos.
Como se ha dicho en la sección 1, es esencial saber cuanto esfuerzo de pesca se ha destinado a capturar la cantidad de pescado descargado, porque permite calcular un índice de abundancia. Si no se sabe el esfuerzo, es imposible decir si un aumento de las descargas de 20 000 a 40 000 toneladas de un año al siguiente se debe a que el pescado es el doble de abundante y el esfuerzo de pesca se ha mantenido constante, o si la abundancia de pescado se ha mantenido constante y el esfuerzo de pesca se ha duplicado. Es también posible que la cantidad de pescado se redujera a la mitad y que el esfuerzo de pesca aumentara cuatro veces.
Los datos de esfuerzo de pesca se recogen generalmente al mismo tiempo que los de captura, es decir: en el punto de descarga para los barcos que desembarcan pescado fresco o en un diario de a bordo. El diario puede ser la única solución para los barcos que descargan infrecuentemente pescado congelado. En el apéndice 2.1 se dan tres ejemplos de recogida de datos de esfuerzo de pesca.
Existen muchas maneras de recoger tales datos. La FAO ha publicado una lista de clasificaciones y definiciones internacionales empleadas en las estadísticas de flotas pesqueras, equipo de pesca y esfuerzo de pesca; en el apéndice 2.2 se dan las notas sobre las estadísticas de esfuerzo de pesca.
| Conceptos | Definiciones | Sinónimos | Peso de base |
|---|---|---|---|
| Descargas | El peso del pescado y sus derivados llegados a tierra, es decir: el peso real de las cantidades desembarcadas. Representa el peso neto del pescado eviscerado, fileteado, congelado, curado, enlatado, o transformado en harina y aceite en el momento de la descarga | Peso desembarcado | Peso desembarcado |
| Captura nominal | El equivalente en peso en vivo de lo descargado | Cantidad desembarcada, peso del pescado fresco; cantidad desembarcada, peso del pescado fresco entero | Peso en vivo |
| Capturas | Salvo indicación en contrario el término “capturas” designa normalmente la pesca nominal, es decir: el equivalente en peso en vivo de la desembarcada | Cantidad desembarcada peso del pescado fresco; cantidad desembarcada, peso del pescado fresco entero | Peso en vivo |
| Capturas brutas | Peso de todo el pescado | Pesca real | Peso en vivo |
| Capturas desechadas | La parte de la captura bruta tirada al mar como pescado entero en el momento de la pesca | Desechos | Peso en vivo |
| Captura retenida | Parte de la pesca bruta que, como pescado entero, no se desecha | … | Peso en vivo |
La diferencia entre pesca “retenida” y “descagada” se debe a:
(a) consumo por la tripulación
(b) uso como cebo
(c) eliminación de pescado entero por deterioración u otras razones
(d) eliminación de vísceras, cabezas y otras partes durante la elaboración
(e) pérdida o absorción de líquidos.
(a), (b) y (c) explican la diferencia entre “captura retenida” y “captura nominal”.
(d) y (e) explican la diferencia entre “descargas” y “captura nominal”.
La expresión “descargas” no se usa en las estadísticas internacionales como sinónimo de “número de llegadas” o “viajes”.
Los datos sobre “capturas brutas”, “capturas desechadas” y “capturas retenidas” generalmente sólo se encuentran los diarios de los patrones o de algún tripulante que anotan estimaciones de la pesca. Estas estimaciones pueden variar de los resultados (“captura nominal”) obtenidos al convertir las cantidades desembarcadas a su equivalente a peso en vivo.
El punto importante que no hay que olvidar al preparar las estadísticas de esfuerzo de pesca es seleccionar un índice de medida del esfuerzo que guarde la mayor relación posible con la abundanica de la población. En el caso de un arrastrero, el número de horas que el arte está en el agua es mejor que el número de días transcurridos en el caladero, porque puede ocurrir que durante varios de esos días no pesque por causa del mal tiempo. A su vez, “días en el caladero” es mejor que “días fuera de puerto” porque el último no tiene en cuenta los días que el barco está en ruta yendo y viniendo del caladero. Por otro lado, un cerquero que puede buscar durante varios días con el sonar antes de encontrar un cardumen que después pesca en unas pocas horas, debe emplear “días en el caladero” que es un índice mucho mejor de esfuerzo de pesca, porque la abundancia de pesca está relacionada con el tiempo de búsqueda. Lo que se tarda en capturar un cardumen una vez que se ha localizado, no guarda relación con la abundancia de cardumenes.
Es difícil asegurarse de que los datos de esfuerzo de pesca son comparables en períodos largos. Normalmente, las unidades de pesca son mejores cada año. En Gran Bretaña han aumentado el tonelaje y la potencia de los arrastreros y como ambos lo han hecho al mismo ritmo, son comparables, por lo que “toneladas-horas” (es decir: tonelaje bruto por horas pescando) es un buen índice de esfuerzo de pesca que, además, toma en consideración el aumento del rendimiento. Por otro lado, la potencia de los motores de los arrastreros holandeses que pescan con arte de arrastre de vara, ha aumentado en proporción mucho mayor que el tonelaje. Esta mayor potencia se emplea para arrastrar un arte de vara mayor, a más velocidad. En este caso, el aumento del rendimiento está relacionado con la potencia del motor y no con el tonelaje.
En la pesca con redes de enmalle el empleo de uno u otro material influirá en el rendimiento y, por lo tanto, en el esfuerzo de pesca efectivo. Las redes de enmalle de nylon monofilamente sin nudos pescan más que las de multifilamentos anudadas y estas, a su vez, más que las de algodón.
Estos cambios son evidentes y mas o menos cuantificables por la experiencia, en tanto que algunos factores que influyen en el esfuerzo de pesca no lo son. El empleo de sonar en los cerqueros facilita la búsqueda, tanto más cuanto más hábil sea el patrón. Una ecosonda puede hacer el barco más eficiente si se emplea a tiempo y bien, pero sólo si hay pocos peces; si estos abundan su empleo es inútil. El cambio del coeficiente de armadura de las redes de enmalle puede hacerlas más eficaces. Estos ejemplos se dan para demostrar la dificultad de obtener datos significativos de esfuerzo de pesca. Este es un problema que los expertos tratan aun de solucionar pero si se siguen las reglas fundamentales citadas en esta sección, la información recogida será importante.
Es esencial saber de donde proviene la pesca. Por ejemplo, a la Gran Bretaña llega bacalao de todos los bancos del norte del Atlántico, que procede de distintas poblaciones que no se mezclan. La única manera de relacionar el efecto de la pesca con lo que ocurre en cada población es anotar el banco donde se efectuó la pesca. Esto plantea pocos problemas si el barco ha pescado en un solo lugar, pero los grandes arrastreros congeladores pueden estar en la mar tres meses y más, durante los cuales han podido trabajar en diversas partes del mundo. En este caso, normalmente sólo es posible obtener una estimación del patrón o capitán en cuanto a la cantidad pescada en cada lugar. Como en el caso de la anotación de la captura, el método de registrar la zona de pesca dependerá de la naturaleza de la pesquería.
En el apéndice 2.1 se dan tres ejemplos.
Es importante anotar la zona de pesca de una manera uniforme y la FAO ha propuesto una serie de zonas principales para fines estadísticos (Tabla 2.3) y una serie de rectángulos estadísticos con este mismo fin (Fig. 2.6).
| CLAVE PARA INDICAR LA DIMENSION DE LOS RECTANGULOS | CLAVE PARA INDICAR EL CUADRANTE | ||||||
| Clave | Latitud | Longitud | Clave | Cuadrante del Globo | |||
| 1 | 10' | × | 10' | ||||
| 2 | 20' | × | 20' | 1 | NE | Nordeste | |
| 3 | 30' | × | 30' | ||||
| 4 | 30' | × | 1° | 2 | SE | Sudeste | |
| 5 | 1° | × | 1° | ||||
| 6 | 5° | × | 5° | 3 | SW | Sudoeste | |
| 7 | 10° | × | 10° | ||||
| 8 | 20° | × | 20° | 4 | NW | Noroeste | |
| 9 | 30° | × | 30° | ||||

Fig. 2.6 Sistema de cuadrículas (basadas en las latitudes y longitudes) para identificar rectángulos estadísticos (de FAO, 1973b)
| AGUAS CONTINENTALES | ZONAS MARINAS | ||
|---|---|---|---|
| 01 | Africa | Océano Atlántico y mares adyacentes | |
| 02 | América, del norte y central | 18 | Océano Artico |
| 03 | América, sur | 21 | Atlántico, noroeste |
| 04 | Asia | 27 | Atlántico, nordeste |
| 05 | Europa | 31 | Atlántico, centro occidental |
| 06 | Oceanía | 34 | Atlántico, centro oriental |
| 07 | U.R.S.S. | 37 | Mediterráneo y mar Negro |
| (08) | (Antártica) | 41 | Atlántico, sudoeste |
| 47 | Atlántico, sudeste | ||
| 48 | Atlántico, Antártico | ||
| Océano Indico y mares adyacentes | |||
| 51 | Océano Indico, occidental | ||
| 57 | Océano Indico, oriental | ||
| 58 | Océano Indico, Antártico | ||
| Océano Pacífico y mares adyacentes | |||
| 61 | Pacífico, noroeste | ||
| 67 | Pacífico, nordeste | ||
| 71 | Pacífico, centro occidental | ||
| 77 | Pacífico, centro oriental | ||
| 81 | Pacífico, sudoeste | ||
| 87 | Pacífico, sudeste | ||
| 88 | Pacífico, Antártico | ||
El sistema de la FAO permite registrar las capturas por medio de cuadrados estadísticos muy pequeños (10' de latitud × 10' de longitud). Si los datos se anotan de esta manera, la pesquería puede examinarse detalladamente, pero usualmente sólo se obtiene información de importancia de zonas mucho mayores. Es importante que cualesquiera que sean las divisiones estadísticas que se empleen, correspondan a las realidades de la pesquería. Los pescadores facilitarán información según los nombres que den a las zonas de pesca y es más fácil anotar esta información si los cuadrados estadísticos corresponden lo más posible a las zonas de los pescadores. Además, cada zona deberá corresponder a la distribución total o parcial de una población.
Deseamos saber cuando se ha efectuado la pesca, generalmente dentro de una semana o de un mes. Normalmente no es difícil obtener datos de captura con esta precisión, excepto en el caso de barcos que han estado en la mar mucho tiempo, cuando puede ser necesario suponer que todo se pescó en un mes determinado o dividir la captura arbitrariamente entre los meses que el barco ha estado en la mar, a menos que en el diario se haya anotado la información, la que puede emplearse para analizar la abundancia estacional, los movimientos migratorios y, en algunos casos, obtener datos de crecimiento.
En toda esta sección se ha insistido en la necesidad de obtener la información de una manera uniforme. La razón es que son internacionales la mayoría de las pesquerías marinas y muchas de agua dulce. Es posible que muchas naciones exploten una población y anoten los datos. Aunque se puede aprender mucho de los datos nacionales, la evaluación de las poblaciones exige datos internacionales y el problema de combinar los de varios origenes se complica mucho si no tienen la misma forma.
El peso del pescado debe expresarse en toneladas métricas, peso nominal. Si no se expresa de esta manera, es fácil convertirlo, a condición de que las unidades en que se describió originalmente se expresan con exactitud. Es mejor escribir “captura nominal, toneladas métricas” si es así como se presentan los datos. Si se escribe “descargas”, conviene decir que se emplea en el sentido descrito por la FAO (1973a) y, en caso contrario, explicar el sentido que se le ha dado. “Toneladas métricas” impide la confusión con “toneladas cortas (EE.UU.)”. Estos parecen ser detalles sin importancia, pero el descuidarlos hace que los investigadores tengan que trabajar horas enteras para determinar el verdadero significado de las estadísticas de capturas publicadas.
Se emplean coeficientes de conversión para transformar las cantidades anotadas como peso desembarcado en el equivalente en peso en vivo. Estos coeficientes (que indican los índices de “rendimiento”) deberían ser compilados en todas las oficinas nacionales y examinas constantemente. Es posible que se tengan que revisar de vez en cuando por haber cambiado la composición por tallas de las capturas, la manipulación, elaboración, etc. Es importante que estos coeficientes se mantengan uniformes con un número fijo de decimales. Cuando se trata de grandes descargas un cambio del tercer decimal puede causar enormes diferencias en el resultado final. Se debe publicar una lista de los decimales empleados y anunciar si se cambian.
Son evidentes las dificultades de combinar los datos de varias naciones que no han empleado el mismo desglose estadístico de zonas de pesca. Los cuadros estadísticos deben corresponder, por lo menos, con la distribución de la población, aunque normalmente puede obtenerse una idea más clara de la pesquería si se emplean zonas menores de pesca. No obstante, deben uniformarse para ser de utilidad. La Fig. 2.7 es un ejemplo de cuatro naciones cada una de las cuales tiene sus propias subdivisiones de una zona de pesca basadas en la población. Son patentes las dificultades, digamos, de analizar los movimientos de norte a sur a partir de una información combinada. El ejemplo es hipotético, pero se acerca mucho a lo que ocurre con los datos sobre especies demersales del mar del Norte.
Muy raramente se pueden obtener datos de esfuerzo de pesca de una manera uniforme internacionalmente aceptada, porque son distintas las flotas de las naciones. Hasta la fecha, esta ha sido una dificultad insoluble para conservar la pesca regulando el esfuerzo.
Fig. 2.7 Ejemplo de distintas divisiones de la misma subàrea por cuatro naciones
Name of Vessel ……………………… | |
Date of Sailing……………197 | Date of Landing 197…………… |
It is well known that most of the important stocks of fish in the North Atlantic are being heavily fished. So that the Fisheries Laboratory can follow the fate of each stock, forecast the likely future trends in the abundance of the stock, and advise on conservation measures when necessary, it is essential to have the best possible information on present catches. In particular we want to know where (according to the area shown on the chart) and when the catches were made, what type of fish were caught, and the amount of fishing (number of hauls, and average length of haul). Would you please write this information on the chart in the appropriate position? For example, if the trip is split with 43 hauls at NW Iceland and 21 hauls at NE Iceland write:-
where possible please indicate locality of greatest catch within areas:- X
Fig. 2.8(a) Carta de los bancos de pesca que usan los patrones de pesca para comunicar la información
Fig. 2.8(b)
| Name of Vessel | Day | 1 | |
| Month and Year | 2 | ||
| Port | 3 | ||
| Registered Letter and No. | Nationality of Vessel | 4 | |
| Vessel No. | 5 | ||
| Particulars of main fishing ground Other fishing grounds | Gross Tonnage | 6 | |
| Registered Length | 7 | ||
| Method of Propulsion | 8 | ||
| Method of Capture | 9 | ||
| Region | 10 | ||
| Rectangle | 11 | ||
| No. of lines or drift nets | No. of Hours Fishing | 12 | |
| No. of Days Absent | 13 | ||
| No. of hauls | No. of Voyages | 14 | |
| Average duration of haul | Serial No. (For Ministry use only) | ||
| Code | Cwt. | £ | ||
| Bream | 1-01-0 | |||
| Brill | Large | 1-02-1 | ||
| Small | 1-02-3 | |||
| Unsorted | 1-02-4 | |||
| Catfish | 1-03-0 | |||
| Cod | Large | 1-04-1 | ||
| Medium | 1-04-1 | |||
| Small | 1-04-3 | |||
| Unsorted | 1-04-4 | |||
| Conger Eels | 1-05-0 | |||
| Dabs, Long Rough | 1-33-0 | |||
| Dabs, other | 1-06-0 | |||
| Dory | 1-08-0 | |||
| Eels | 1-09-0 | |||
| Flounders or Flukes | 1-10-0 | |||
| Gurnards and Latchets | 1-11-0 | |||
| Haddock | Large | 1-12-1 | ||
| Medium | 1-12-2 | |||
| Small | 1-12-3 | |||
| Unsorted | 1-12-4 | |||
| Hake | Large | 1-13-1 | ||
| Medium | 1-13-2 | |||
| Small | 1-13-3 | |||
| Unsorted | 1-13-4 | |||
| Halibut | Large | 1-14-1 | ||
| Medium | 1-14-2 | |||
| Small | 1-14-3 | |||
| Unsorted | 1-14-4 | |||
| Lemon Soles | Large | 1-15-1 | ||
| Small | 1-15-3 | |||
| Unsorted | 1-15-4 | |||
| Ling | 1-16-0 | |||
Fig. 2.9(a) Formularios empledados en el reino Unido para anotar las descargas
| Code | Cwt. | £ | ||
| Megrims | Large | 1-17-1 | ||
| Small | 1-17-3 | |||
| Unsorted | 1-17-4 | |||
| Monks or Anglers | 1-18-0 | |||
| Mullet, Grey | 1-35-0 | |||
| Mullet, Red | 1-19-0 | |||
| Plaice | Large | 1-20-1 | ||
| Medium | 1-20-2 | |||
| Small | 1-20-3 | |||
| Unsorted | 1-20-4 | |||
| Pollock | 1-21-0 | |||
| Redfish | 1-22-0 | |||
| Saithe (Coalfish) | 1-23-0 | |||
| Skates and Rays | 1-24-0 | |||
| Soles | Large | 1-25-1 | ||
| Medium | 1-25-2 | |||
| Small | 1-25-3 | |||
| Unsorted | 1-25-4 | |||
| Torsk (Tusk) | 1-26-0 | |||
| Turbot | Large | 1-27-1 | ||
| Small | 1-27-3 | |||
| Unsorted | 1-27-4 | |||
| Whiting | 1-28-0 | |||
| Witches | Large | 1-29-1 | ||
| Small | 1-29-3 | |||
| Unsorted | 1-29-4 | |||
| Livers, Raw | 1-30-1 | |||
| Livers Oils | 1-30-2 | |||
| Roes | 1-31-0 | |||
| All other | 1-32-0 | |||
| Total Demersal | ||||
| Herrings | 2-51-0 | |||
| Macked | 2-52-0 | |||
| Pilchards | 2-53-0 | |||
| Spart | 2-54-0 | |||
| Horse Mackerel | 2-55-0 | |||
| Silver Smelt (Sparling) | 2-56-0 | |||
| Whitebait | 2-57-0 | |||
| Total Wet Fish | ||||
| Crabs | 5-71-0 | |||
| Crayfish | 5-72-0 | |||
| Lobsters | 5-73-0 | |||
| Norway Lobsters | 6-81-0 | |||
| Prawns | 6-82-0 | |||
| Shrimps | 6-83-0 | |||
| Cockles | 6-84-0 | |||
| Escallops and Queens | 6-86-0 | |||
| Mussels | 6-86-0 | |||
| Periwinkles | 6-87-0 | |||
| Whelks | 6-88-0 | |||
| Squids | 6-90-0 | |||
| Oysters(Hundreds) | Native | 5-74-1 | ||
| Mixed | 5-74-2 | |||
| Portuguese | 5-74-3 | |||
| Total Value | ||||
Remarks:
Fig. 2.9(b)
Fig. 2.9(c)
Fig. 2.9(d)
| Ministry of Agriculture, Fisheriés and Food Methods of Capture | Code No. 2.0 | ||
|---|---|---|---|
| TRAWLING | DREDGING | ||
| Bottom trawling - 1 vessel | 01 | Hand dredging | 60 |
| " " - 2 vessel | 02 | Power " | 61 |
| Suction " | 62 | ||
| Nephrops trawling | 06 | 63 | |
| Midwater trawling - 1 vessel | 11 | ||
| " " - 2 vessel | 12 | POTTING | |
| " " - 3 " | 13 | ||
| " " - 4 " | 14 | Pots, top-opening | 65 |
| 15 | " , side-opening | 66 | |
| " , other or mixed | 67 | ||
| Beam trawling - 1 trawl | 21 | ||
| " " - 2 trawl | 22 | ||
| " " - 3 " | 23 | LINNING | |
| SEINING | Lines (by numbers of hooks in 100s) | 70 | |
| Lines (by number of lines) | 71 | ||
| Danish seining | 26 | Lines hand-held, feathering | 72 |
| Fly seining | 27 | 73 | |
| Unspecified seining | 28 | 74 | |
| Hand picking, access by boat | 75 | ||
| Purse-seining - 1 vessel | 31 | " " , " " land | 76 |
| " " - 2 vessels | 32 | " " , divers | 77 |
| " " - 3 " | |||
| Ring-netting - 1 vessel | 41 | FOR H-FORMS | |
| " " - 2 vessels | 42 | ||
| " " - 3 " | 43 | Foreign carriers | 100 |
| 44 | |||
| 45 | |||
| Drift netting | 46 | INDUSTRIAL FISHING | |
| Trammel netting | 47 | ||
| Tangle " | 48 | When the gear used is known to be specifically for Industrial Fishing ADD 100 to the above codes, e.g. industrial pair-trawlers, midwater trawl, Code = 112 | |
| Hoop " | 49 | ||
| Stake " access by boat | 50 | ||
| " " " " land | 51 | ||
| 52 | |||
| Shank " towed by boat | 53 | ||
| " " " " tractor | 54 | ||
| 55 | |||
| Eel traps | 56 | ||
Fig. 2.9(e) Clave para los métodos de captura utilizados en el Reino Unido
Aasen, O. et al., 1961 ICES Herring tagging experiments in 1957 and 1958. Rapp.P.-V.Réun.Cons. Perm.Int.Explor.Mer, 152:50 p.
Bazigos, G.P., 1973 Training courses on fishery statistical surveys (inland waters). Rome, FAO, UNDP/SF/ZAM 11. FSS.T./1:59 p.
FAO, Department of Fisheries, 1972 Fishery Economics and Institutions Division, Coordinating Working Party on Atlantic Fishery Statistics (CWP), Northwest Atlantic (Area 21-ICNAF) and Northeast Atlantic (Area 27-ICES): classification of aquatic animals and plants for statistical purposes. FAO Fish.Circ., (441):66 p.
FAO, Department of Fisheries, 1973 Current Statistics and Economic Data Section, “Nominal catches” and “landings”: definitions and notes. FAO Fish.Circ., (428):17 p.
FAO, Department of Fisheries, 1973a Fishery Economics and Institutions Division, Coordinating Working Party on Atlantic Fishery Statistics (CWP), A compendium of notes on an international standard classification of fishing areas for statistical purposes. FAO Fish.Circ., (372):73 p.
Gulland, J.A., 1966 Manual of sampling and statistical methods for fisheries biology. Part 1. Sampling methods. FAO Man.Fish.Sci., (3):pág.var.
EJEMPLOS DE OBTENCION DE DATOS DE CAPTURA Y ESFUERZO
Existen muchas maneras de obtener información sobre capturas y esfuerzos. Como es lógico, se tienen que organizar sistemas totalmente distintos para satisfacer condiciones completamente diferentes. Por ejemplo, un gran arrastrero congelador puede descargar una vez cada tres meses en un puerto importante, pero una canoa que pesque con redes de deriva descarga todos los días en una aldea aislada.
También será distinto el personal disponible para hacer el trabajo y su competencia, por lo que el programa de obtención debe organizarse de manera que satisfaga todas las condiciones existentes.
Los tres ejemplos siguientes sirven para demostrar algunos de los métodos que pueden emplearse para hacer frente a situaciones distintas:
| (i) | desembarques en grandes puertos, por ejemplo, del Reino Unido; |
| (ii) | una pesquería lacustre africana; |
| (iii) | una pesquería con redes de cerco de jareta. |
Esta sección describe los métodos empleados cuando las descargas de pescado se concentran en unos pocos puertos importantes en los que existen condiciones ideales para obtener datos de captura y esfuerzo exactos y completos. Los métodos empleados para obtener estadísticas de desembarques pueden dividirse en dos clases, cada una de las cuales presenta un problema distinto:
| (i) | descargas de pescado fresco conservado en hielo; la duración máxima de este tipo de viaje es de unos 21 días; |
| (ii) | descargas de pescado que se ha congelado a bordo del pesquero, bien entero o inmediatamente después de elaborarlo; los viajes pueden durar hasta seis meses. |
Se supone que el pescado fresco se descarga a una hora fija todos los días y que un grupo de colectores basado en el puerto puede obtener toda la información necesaria mediante la observación directa. El peso y especies de todo el pescado desembarcado puede verse y anotarse, junto con el tipo de arte empleado en la pesca. Se entrevista al patrón y a los marineros para obtener detalles de la zona de pesca y el tiempo que se ha estado pescando durante el viaje. Durante la entrevista también se obtiene otra información de interés, por ejemplo, el pescado pequeño que se ha tirado al agua, etc. Se asiste a las ventas para conocer el valor del pescado desembarcado.
Este sistema produce los resultados deseados con muy poca ayuda de la industria, salvo la buena disposición del patrón y los marineros de revelar detalles del viaje, pero es evidente que exije un gran esfuerzo por parte del personal colector basado en el puerto. Normalmente hay varias maneras abreviadas de hacerlo, pero requieren que en el sistema se incorpore una comprobación doble para asegurarse de que no pierde exactitud.
De estas maneras, la más conveniente es emplear las notas de ventas que dan el peso y el valor de la captura. Casi todas las empresas pesqueras preparan para cada barco, el día de la descarga, una nota de ventas con el valor y el peso de cada especie. La legislación de algunos países obliga a las empresas a facilitar esta información, pero con frecuencia se puede obtener extraoficialmente sin recurrir a la ley. Normalmente esto da por resultado una mejora de los datos y una mayor comprensión entre la industria y el investigador. La elección de acuerdos oficiales o extraoficiales depende mucho de las condiciones locales y de las relaciones del gobierno con la industria.
Otro método de obtener detalles del patrón y los marineros es facilitarles una hoja de datos para que la llenen durante la pesca. En la Fig. 2.8a-b se dan ejemplos basados en las divisiones de las zonas de pesca por caladeros. En teoría, estas hojas dan la información más detallada, pero se presentan muchos problemas. Normalmente, durante la pesca los patrones están demasiado ocupados para llenar la hoja y es posible que mucho de su contenido lo escriban de memoria mucho más tarde. Con frecuencia las hojas se olvidan por completo y si no se recojen del barco, vuelven a la mar en el viaje siguiente y se pierden. Un sistema de hojas puede dar buenos resultados, pero hay que estar pendientes del mismo constatemente. Es mucho mas fácil si la hoja se prepara de manera que el patrón conserve un ejemplar en la forma que juzgue útil.
Esta presenta problemas especiales porque los arrastreros congeladores hacen viajes largos y con frecuencia trabajan en distintas zonas de pesca. La descarga mecánica de bloques congelados dura muchos días y no es posible anotar las cantidades por observación directa. La información sobre el peso descargado se debe obtener de los armadores. El esfuerzo de pesca solamente se puede conocer con la colaboración de patrones y armadores. En los arrastreros ingleses se han empleado hojas de datos en forma de cartas de las zonas de pesca (Fig. 2.8a-b). Algunas empresas pesqueras requieren de sus patrones que llenen un diario de pesca detallado, que puede emplearse para obtener información sobre el esfuerzo de pesca.
Los formularios empleados en Inglaterra y Gales para registrar los pesos del pescado desembarcado se muestran en la Fig. 2.9. El formulario de la Fig. 2.9c-d ha sido concebido de manera que los datos que registra pueden pasarse a un operador de perforadora que prepara el papel o las cintas magneticas que se utilizan en la elaboración por calculadoras. Permite registrar información sobre el esfuerzo de pesca en cuatro caladeros distintos, junto con datos sobre el desglose de la captura por caladero y las cantidades de pescado de diferentes especies desembarcadas (Fig. 2.9d). El formulario es complicado porque ha sido ideado para registrar la información de las muchas actividades pesqueras diferentes de Inglaterra y Gales.
Esta sección se basa en los problemas de obtener estadísticas de una pesquería que explotan principalmente embarcaciones pequeñas, con frecuencia una sóla con su tripulación, que descarga en numerosos lugares desperdigados y que vende - en el mejor de los casos - por medio de un sistema de comercialización vagamente organizado. Esto es típico de muchos lagos africanos. En este caso, el problema de recopilar estadísticas es principalmente de organización. Aunque las estadísticas fundamentales siguen siendo de captura y esfuerzo, generalmente la cuestion es determinar cómo usar el personal disponible para obtenerlas con la mayor eficacia. Por lo tanto, esta sección no sólo trata de todas las estadísticas que pueden recopilarse en la primera venta o su equivalente, sino también de la recogida y uso de estadísticas obtenidas en otros puntos de la cadena de distribución.
Para evaluar la pesca con redes de enmalle es normalmente necesario conocer mucho mejor los artes empleados que los de cualquier otra pesca, porque la red de enmalle es muy selectiva. Por lo tanto, al obtener las estadísticas es esencial, de ser posible, estratificar la captura por dimensiones de la malla, a menos que la única información que se necesite sea la captura total.
Los datos básicos que hay que obtener son:
zona pescada
tiempo dedicado a la pesca
clase de embarcación
| Clase de embarcación | Licencia No. | ||
|---|---|---|---|
Dimensión de la malla | 1½ pulgadas (38 mm) | 2 pulgadas (50 mm) | 3 pulgadas (76 mm) |
Número de redes | 10 | 15 | 7 |
Especies | No. peso | No. peso | No. peso |
Esta es sólo una disposición sugerida para un formulario de registro de capturas.
Peso registrado en el lugar de desembarque
(a) Clasificación antes de la venta. Aunque no es normal, las capturas pueden clasificarse por especies y venderse en recipientes uniformes. Esto simplifica la obtención de datos de captura total por especies, pero puede hacer muy difícil relacionar la captura con la dimensión de la malla de la red de enmalle que se empleó. Si hay clasificación por categorías, la de tallas puede guardar una estrecha relación con las dimensiones de la malla, particularmente si son pequeñas.
(b) Sin clasificar antes de la venta. La situación más probable es que cada patrón venda la pesca directamente al comprador y que no haya clasificación antes de la transacción. En este caso la información requerida puede obternerla un colector de estadísticas nombrado especialmente y cuya misión consiste en estar presente en cada desembarque. Cuando las descargas son numerosas puede no ser posible muestrear cada embarcación, para lo cual hay que recurrir a un programa de submuestreo. Cada n barcos (por ejemplo, el primero, el cuarto, el septimo, el decimo, etc.) se muestrean y las muestras se elevan por N7n, en la que N es el número total de barcos que descargan. De esta manera se evitará la tendencia a obtener muestras de los barcos con las capturas menores (saltando los que las tienen grandes) y a no hacer caso de los que no tienen nada.
Un método de submuestreo abarcará los casos en que una gran comunidad pesquera está rodeada de otras más pequeñas, en los que no es práctico tener un colector de estadísticas. En este caso hay que dejar un margen para la posibilidad de que una parte desconocida de los barcos de cada comunidad no se emplea en la pesca.
| - | Sea el número de barcos muestreados en la comunidad principal | = n |
| el total de barcos que descarga pescado en la comunidad principal | = N | |
| el total de barcos de la comunidad principal | = M | |
| el total de barcos de las comunidades menores | = m | |
| - | y el peso medio descargado por cada barco muestreado | = w |
| el peso total descargado en la comunidad principal | = Nw | |
| proporción de barcos de pesca de la comunidad principal | = N/M | |
| proporción estimada de pesqueros en las comunidades menores | ![]() | |
| peso total estimado descargado en todas las comunidades | ![]() | |
![]() |
La proporción N/M puede determinarse mensualmente, mientras que (m) es probable que pudiera hacerse con menos frecuencia. Los barcos de las comunidades pequeñas deberían pescar en los mismos lugares que los de la grande, porque de lo contrario no es probable que (w) sea igual. Si se emplea más de una clase de barco, el cálculo tiene que hacerse por separado para cada una. La mejor manera de emplear el personal es que tome muestras continuamente durante todo el año en los grandes puertos y enviar el personal complementario a los puertos pequeños cuando se disponga de él.
La elección de comunidades en las que se va a tomar muestras puede hacerse asignando a cada una un número y empleando una tabla de números aleatorios (véase la sección 2.6.1) para determinar cual se va a visitar. De esta manera se evitan los errores sistemáticos en que podría incurrirse si el acceso a una comunidad es más fácil que a otra y si existen mejores relaciones con una que con otra.
Las comunidades pesqueras pueden ser tan transitorias, inaccesibles o desperdigadas, que sea imposible que los colectores trabajen como se ha indicado. En muchos casos sólo se pueden obtener estadísticas de la captura total en lugares alejados del de primera venta. En el tipo de pesquería que se estudia, ocurre con frecuencia que la captura total tiene que ser transportada por unas pocas rutas, que por diversas razones se vigilan en distintos lugares, por ejemplo, en puntos de control en las carreteras, en los terminales ferroviarios, en las aduanas. Estos lugares son ideales para calcular la captura total. Tomando, por ejemplo, un control de carreteras, se puede preparar un programa de muestreo basado en los factores siguientes:
| (i) | peso medio del pescado en una caja; |
| (ii) | número medio de cajas por camión; |
| (iii) | número medio de camiones que pasan por el control en una unidad de tiempo. |
Para determinar la composición por especies será necesario en algún punto sacar muestras de las cajas para ver las especies. El contenido de las cajas puede no ser siempre de las mismas especies, por ejemplo, es posible que las especies distintas no se mezclen nunca, por lo que no sólo es necesario calcular cuantas cajas del mismo grupo de especies transporta el camión, sino también la proporción en que estas cajas varían estacionalmente. Como puede no ser posible examinar las cajas en los camiones, la composición por especies quizás se tenga que determinar visitando el lago de vez en cuando y esta información aplicarla a la obtenida en los puntos de control. A la cantidad total obtenida puede ser necesario añadir una estimación del consumo local. De no hacer esto, los resultados podrían sufrir de error sistemático, porque lo probable es que el pescado enviado en camión sea el de más valor. Esta información sobre la captura total no puede relacionarse directamente con las dimensiones de malla de la red de enmalle con que se pescó.
En la pesca con redes de enmalle la unidad básica es una red y existen diversas maneras de calcular el número de redes empleado simultáneamente. En las comunidades pesqueras donde hay colectores de estadísticas, el número de redes empleado puede calcularse de diversas maneras:
| (i) | contando el número de redes de iguales dimensiones de malla cuando se anota la descarga total, lo que puede hacerse, de ser necesario, obteniendo submuestras como se recogen muestras de la descarga total (sección 2.2, este apéndice); | ||
| (ii) | muestreo a intervalos - a intervalos dados se cuenta el número de redes empleado por una muestra de barcos y se calcula el número medio de redes por embarcación. Esto, multiplicado por el número total de embarcaciones da el número total de redes empleadas. El número de barcos puede determinarse como sigue: | ||
| (a) | censo directo en el lugar de pesca, lo que plantea problemas de acceso; | ||
| (b) | otorgación de licencias, lo que plantea problemas de ocultación; | ||
| (c) | reconocimiento aéreo, que no tiene problemas de acceso u ocultación y es rápido y sencillo. | ||
Las unidades de pesca se tienen que dividir en clases según su capacidad media de llevar redes. En 1961–62, dos clases principales de embarcaciones pescaban en el lago Sesseseku (lago Alberto): canoas de tronco ahuecado y diversos modelos de casco construido. Estos últimos podían llevar hasta cinco veces más redes que las canoas. Un recuento aéreo de las canoas dió su esfuerzo de pesca potencial, porque se conocía el número de barcos de casco construido y se sabía que llevaban cinco veces más redes. Cuando la pesca era buena y todos los pescadores podían comprar tantas redes como su embarcación era capaz de emplear, la comparación era válida, pero cuando la pesca era mala, el número de redes dependía del dinero que tuviera el pescador, en cuyo caso la comparación era inválida. La potencia motriz se ha de tener en cuenta si influye en el rendimiento de pesca.
Puede no ser posible contar el número de redes en uso directo en cualquier momento; por ejemplo, las redes se pueden dejar caladas constantemente y visitarlas solamente para retirar la captura. Puede hacerse un censo indirecto del número de redes en uso, de localizarse las tiendas de minoristas que las venden en un lugar determinado. Los datos de ventas de redes dan una idea del número empleado en el lago y son de mayor utilidad si se sabe lo que dura una red de enmalle.
Muchos factores influyen en la capacidad de pesca de las redes de enmalle y entre estos están:
| (i) | Dimensiones de las mallas: Como las redes de enmalle son muy selectivas, lo que capturen dependerá mucho de las dimensiones de las mallas. Al dar la medida de las mallas, debe siempre definirse si se refiere a la distancia entre dos nudos adyacentes o a la que media entre dos nudos opuestos de la misma malla cuando están totalmente estirados en el sentido de la tracción de la red (la dirección N de la terminología de la Organización internacional de normalización). Para las redes sin nudos esta medida es la distancia entre los centros de dos uniones opuestas de la misma malla cuando están estiradas a lo largo de su eje mayor. |
| (ii) | Materiales: La capacidad de pesca de una red puede variar mucho con el material empleado en su construcción. Probablemente uno de los mejores ejemplos de esto es la diferencia entre el nylon monofilamento y multifilamento. |
| (iii) | Con o sin nudos: Generalmente esto está relacionado con (ii). Con frecuencia, aunque no siempre, las redes de monofilamento no están anudadas, pero sí lo están las de multifilamento. |
| (iv) | Dimensiones de la red: La mejor definición es el número de mallas en cada dirección, pero ésta es una estadística muy difícil de obtener. Si los paños se hacen a máquina y se venden en tamaños normales, de modo que una red de enmalle de una malla determinada sea siempre igual, en ese caso no hace falta registrar el tamaño de la red; todo lo que se necesita es el número de redes de una andana, lo cual da su longitud. Ocurre a veces que las redes se unen verticalmente; si esto lo hacen unos pescadores y otros no, puede ser necesario anotar el número total de redes de tamaño normal en una andana y si se arman vertical u horizontalmente, aunque una andana de 10 redes normales (sn) de longitud y 2 sn de altura no es probable que tenga la misma capacidad de pesca que otra de 20 sn de longitud y 1 sn de altura. La situación se simplifica a menudo porque las redes tienden a normalizarse en el óptimo, por ejemplo, para pescar en toda la columna de agua desde la superficie hasta el fondo en lugares someros. En este caso la altura de la red no tiene importancia. |
| (v) | Coeficiente de armadura: Este se define como la relación de la longitud de la relinga superior ocupada por la red si se montara con las mallas cuadradas y la que ocupa como realmente se arma. La capacidad de pesca de una red puede alterarse considerablemente cambiando el coeficiente de armadura, pero usualmente éste se normaliza hacia el óptimo y por lo tanto se puede hacer caso omiso. Es una estadística difícil de recopilar y de encluir en el análisis. |
| (vi) | Color: Se sabe que el color de la red influye en su capacidad de pesca. |
| (vii) | Número de embarcaciones en la flota: Si la flota tiene que buscar los peces que forman bancos compactos, cuanto mayor sea más fácil será la búsqueda. Por otro lado al aumentar la flota disminuirá la posibilidad de cada barco de pescar en la zona de mayor abundancia y con ello el rendimiento del conjunto. |
| (viii) | Zona de pesca: Esta tendrá que ser definida con más exactitud que geográficamente o por pequeños cuadrados estadísticos. Por ejemplo, en una pesquería lacustre el pescador puede optar por pescar en lagunas protegidas y cerca o lejos de la costa. En cada una de estas dos últimas zonas tiene más opciones: emplear redes de enmalle flotantes o fijas en el fondo, lo que le ofrece una serie de posibilidades, todas las cuales le darán capturas compuestas de especies distintas. Además, puede haber desigualdades físicas entre las diversas partes del lago, que pueden tener relación con diferencias de la población. En cuanto sea posible, el programa de muestreo debe estratificarse de manera que tenga en cuenta estas diferencias. |
| (ix) | Intervalos entre halados: La capacidad total de pesca dependerá del número de períodos de tiempo que la red pesca. Con mucha frecuencia un período de tiempo es una noche, calándose las redes al atardecer y levantándolas la mañana siguiente, de modo que una noche-red se convierte en una unidad de pesca. Por otro lado, es posible que las redes se levanten con menos frecuencia, aunque una red que pasa dos noches en el agua entre visitas, no es probable que pesque tan bien como la que se levanta y limpia todas las noches. Normalmente el problema no es muy importante porque el método de trabajo tiende a uniformarse en el óptimo, especialmente cuando la captura se deteriora con rapidez. |
Los métodos para obtener la captura por unidad de esfuerzo dependen de como se determine la captura y el esfuerzo. Idealmente el mejor método es disponer de colectores de estadísticas en los principales lugares de desembarco, que recopilen con exactitud las de captura y esfuerzo por barco. El esfuerzo total puede evaluarse con bastante exactitud por medio de censos entre los barcos, y la captura total se determina indirectamente a partir del producto del esfuerzo y captura totales por unidad de esfuerzo.
Como con todas las estadísticas de captura y esfuerzo, la captura se tiene que referir a la unidad de esfuerzo necesario para lograr esa captura. En la pesca con redes de enmalle se presenta la complejidad de que con mucha frecuencia se emplean redes de mallas distintas. Como se ha dicho, las redes de enmalle son muy selectivas, por lo que para hacer una evaluación correcta es esencial determinar cuantas redes de cada tamaño de malla se están empleando.
Las tablas 2.4a-b establecen el tipo de programa de muestreo que puede ser necesario en la pesca con redes de enmalle. No comprende todas las complicaciones posibles.
Los progresos más notables en los métodos de captura en los últimos diez años han sido los relacionados con las técnicas de la pesca dirigida. La pesca con redes de cerco de jareta y al arrastre pelágica dependen de que las ecosondas y el sonar encuentren bancos de peces y de que se dirijan los artes hacia un banco determinado o un grupo de bancos. Por esto se parecen mucho los problemas de obtención de datos de cerqueros y arrastreros pelágicos.
Una pesca industrial rentable con redes de cerco de jareta o de arrastre pelágico depende de la abundancia de cardúmenes pelágicos. En la mayor parte de los casos, las especies pelágicas que se pescan con redes de cerco se destinan a la reducción a harina o aceite. Como el precio de la materia prima es por necesidad bajo, y con frecuencia fijo, las flotas de cerqueros deben pescar grandes cantidades en el menor tiempo posible. Existen, por tanto, alicientes para que los barcos de una flota cooperen en la reducción del tiempo de búsqueda y en la creación de técnicas que incrementen el rendimiento del barco (por ejemplo, el halador mecánico y el bombeo, que acortan el tiempo dedicado a meter la captura en el barco y dejan más para dedicarlo a la búsqueda).
La abundancia de peces demersales capturados por redes de fondo se calcula empleando la expresion “captura por tiempo de pesca”. Esta estadística implica que el número de peces capturado tiene ciertas relaciones con el área barrida por la red y que la captura depende más de las características de los barcos y su equipo que de las reacciones de los peces. En contraste, la pesca con redes de cerco depende más de las reacciones de los peces, ya que el arte es más o menos pasivo. La captura de un cerquero o un arrastrero pelágico depende muchísimo más de la pericia del patrón. La cantidad absoluta de la captura puede guardar poca relación con la verdadera abundancia de la población en el lugar.
Como la pesca se divide y los patrones cooperan, la clase de datos de esfuerzo obtenidos, deben acusar las diferencias en las dimensiones de los barcos que faenan, en el equipo, así como una estimación del tiempo pasado buscando cardúmenes.
Se necesitan los datos siguientes de los pesqueros y todos los cambios que ocurran se tienen que registrar:
| (i) | nombre del barco; | |
| (ii) | eslora; | |
| (iii) | capacidad de bodega; | |
| (iv) | motor (potencia); | |
| (v) | equipo: | |
| (a) | ecosonda | |
| (b) | sonar | |
| (c) | dimensiones de la red | |
| (d) | halador mecánico | |
| (e) | bomba para peces | |
| (f) | radioteléfono | |
| (g) | radiogoniómetro | |
| (h) | radar. | |
La eslora y la potencia del motor indican la distancia de un puerto a que puede trabajar un pesquero. La capacidad de la bodega permite juzgar si la captura descargada puede considerarse como un índice de abundancia. Por ejemplo, en los ultimos años, la capacidad de la bodega de las bolicheras peruanas es de unas 200 toneladas. Con frecuencia se pescan cantidades superiores a ésta y el exceso se suelta o se da a otro barco. Por esto, en un día cualquiera muchos barcos llegan a puerto con las bodegas llenas. Lo descargado por estos barcos no guarda relación con la abundancia de peces en el mar, pero el número de barcos con las bodegas llenas bien podria ser un índice de abundancia relativa. La captura que se desembarca por tonelada de capacidad de bodega, es una estimación más útil de la cantidad de barcos que pescan hasta el punto de saturación. De esta manera se revela la pericia del patrón. Generalmente son siempre los mismos barcos los que regresan a diario a puerto abarrotados de pescado.
En las pesquerías en desarrollo, la adquisición de barcos mejores y mayores con sonar y haladores mecánicos ha permitido aumentar las dimensiones de las redes. Las bombas para peces instaladas han facilitado la manipulación e incrementado el número de calamentos. El radioteléfono y el radiogoniómetro hacen más fácil la búsqueda por la flota y el radar permite pescar en mal tiempo y hacer ruta más exacta a los bancos de pesca más convenientes.
Como casi todo lo que se pesca con redes de cerco de jareta se manipula a granel, la información sobre la captura se puede obtener de dos maneras, pidiendo una estimación y otros datos aplicables al patrón o al piloto, o averiguando cuanto ha pagado la fábrica por el pescado que le han entregado. El peso de tal pescado puede ser muy inferior al estimado por el patrón, que a su vez puede ser mayor o menor que el real. En el caso de peces pelágicos pequeños, como la anchoveta peruana, se encuentran diferencias hasta del 20 por ciento. Hay pérdidas cuando se envía el pescado de la bodega a la planta, en las bombas para peces y hay además una deterioración general del pescado almacenado a granel. Si descargan a la vez muchos barcos, puede no ser posible hablar con todos los patrones, por lo que deben emplearse ambos métodos.
Para interpretar los datos de captura como un índice de la población de una pesquería en desarrollo, es esencial disponer de información sobre la distribución geográfica de tal población (o captura). Conviene saber a diario la posición pesquera de cada barco. Con flotas de pesqueros dirigidas por compañías, es normal que los patrones envien a diario comunicaciones que pueden emplearse para obtener esta información.
Se dice algunas veces que es imposible emplear las capturas de los cerqueros para estimar la abundancia de una población íctica. Esto puede ser verdad si se considera la captura que se descarga, porque estos pesqueros permanecen en la mar hasta que abarrotan las bodegas. En la pesca con boliches, se ha de tomar en consideración el tiempo dedicado a la búsqueda y al ser menor la abundancia de bancos de peces, aumentan la importancia del tiempo dedicado a la búsqueda y la cooperación entre patrones.
Otra estimación de la actividad pesquera puede darla el número de veces que se cala el arte, pero en esto influye demasiado la habilidad con que el patrón interprete el registro del sonar y la exactitud con que cale el arte en relación con el movimiento del cardumen.
Por ser compleja la interpretación del esfuerzo del cerquero, es importante conocer los detalles del tiempo dedicado a cada parte de la actividad de pesca:
Duración total del viaje
Número de caladas
Tiempo manipulando el arte: calamente, izado, vaciado, etc.
Viaje de ida y vuelta a los caladeros
Duración de la búsqueda en los bancos
Si se dispone de esta información sobre el desglose del esfuerzo, será posible interpretar mejor los datos.
Como se ha dicho repetidamente, el problema principal con los cerqueros para obtener un índice de abundancia es que se trata de una pesca dirigida. En la pesca de la anchoveta peruana el índice de abundancia empleado ha sido la captura por tonelada bruta de registro de capacidad de la flota por mes o día. El tonelaje bruto de registro de un barco condensa características como eslora, potencia de máquina, etc. Se pueden emplear varios métodos para calcular este parámetro en problemas de comparación.
Raramente se puede recomendar un solo método como el mejor para expresar la captura por unidad de esfuerzo en el caso de los cerqueros. Tal vez lo más simple sea la captura por tonelada de capacidad de la bodega, lo que da una estimación que comprende las características del barco y una idea del tiempo dedicado a la búsqueda y a la pesca, pero se ha de tener presente que para estudiar el efecto de la pesca en la población, el halieutólogo debe tener en cuenta el índice de abundancia a largo plazo. Al aumentar el rendimiento de la pesca, puede aumentar la zona de explotación de la población. Al principio de los años 60, casi toda la anchoveta peruana se pescaba a menos de 15 millas de la costa; para 1970 el área de explotación se extendía a 60 millas y al norte y sur de los lugares originales. Tal vez la captura por tonelada de capacidad de la bodega y por unidad de área pescada hubiera dado una estimación fiable de la abundancia, si en los primeros años se hubieran obtenido datos adecuados.
Tabla 2.4 Maneras de obtener datos de capturas y esfuerzo en una pesquería lacustre africana
NOTAS SOBRE LAS ESTADISTICAS DE ESFUERZO
Este apéndice procede de la FAO Fisheries Circular No. 429. Describe métodos de registrar el esfuerzo de pesca como lo recomienda la FAO.
(a) Número de horas o millares de anzuelos empleados
Número de horas pescando: Para los artes de arrastre de puertas se define come “total de horas durante las cuales el arte ha estado en el fondo pescando”; si los países no lo puede comunicar con exactitud deben dar la cantidad mas próxima posible, definiendo exactamente el grado de aproximación empleado.
Número de horas pescando: Para los barcos que llevan dorys, se define como “el número de horas que los dorys están alejados del buque madre multiplicado por el número de dorys”.
Millares de anzuelos empleados: Se define como “el número de anzuelos empleados en cada calada, multiplicado por el número de caladas”. La cifra puede redondearse al millar mas próximo.
Otro equipo de pesca: Número de horas que las redes de arrastre y de cerco, almadrabas, nasas, rastras, harpones, etc., se han empleado pescando; éste es el producto de multiplicar el número de horas de pesca por el de dispositivos.
(b) Número de izadas, arrastres, o calamentos hechos
Número de veces que el equipo de pesca se ha calado, arrastrado o izado, según la descripción que se aplique al equipo o técnica empleados.
(c) Número de días pescando
Número de días (período de 24 horas contado de medianoche a medianoche) durante los cuales se pescó.
En las pesquerías en la que la búsqueda es una parte importante de la actividad pesquera, los “días en los caladeros” en los que se buscó, pero no se pescó, deberán incluirse en los datos de días pescando.
Para tener en cuenta la inclusión del “tiempo buscando” en el número de días de pesca, los datos nacionales podrían afinarse todavía más como sigue: “número de días (períodos de 24 horas de medianoche a medianoche) durante los cuales el pesquero estuvo en los lugares de pesca, dedicado a la captura de peces (sin contar los días de viaje de ida y vuelta del puerto), menos el número de días de pesca perdidos por causa del mal tiempo, averías u otros factores”.
(d) Número de días en los lugares de pesca
Se define como el número de días (períodos de 24 horas de medianoche a medianoche) durante los cuales el barco estuvo en los lugares de pesca y comprende los días de pesca y búsqueda, así como todos los días en los que el barco estuvo en los caladeros.
(e) Número de días fuera de puerto
Son los días en que el barco estuvo en la mar, comprendido el día en que zarpó, pero no el de regreso.
Cuando se sabe que se pescó en todos los días del viaje, el número de “días en la mar” comprende no sólo el día de partida, sino también el de regreso a puerto.
Cuando en un viaje el pesquero faena en más de un “lugar de pesca” (como se define con fines estadísticos) una fracción apropiada del total de días en la mar deberá asignarse a cada “lugar de pesca”, en proporción con los días transcurridos en cada uno, de manera que el total de días transcurridos en la mar en cada viaje sea la suma del número de días asignado a las diferentes “zonas de pesca” visitadas.
(f) Número de viajes
Se cuenta como uno solo todo viaje durante el cual se pescó en un solo “lugar de pesca”.
Cuando en un solo viaje el pesquero visita más de un “lugar de pesca”, una fracción apropiada del viaje deberá asignarse a cada “lugar de pesca” en proporción con el número de días en que se pescó en cada uno, de manera que el número total de viajes para la zona estadística en conjunto será igual a la suma de los viajes a cada “lugar de pesca”.
(a) Tonelaje bruto medio
Se expresará en toneladas de registro brutas.
Los promedios deberán ser compensados, y se requieren en vista de la decisión de reducir la tarea de las oficinas nacionales eliminando de momento el desglose mensual de los datos anuales de medida del esfuerzo.
(b) Potencia media
Los datos deberán expresarse en “caballos al freno”. En el caso de máquinas de vapor, se daran los “caballos indicados”.
Las medias pueden ser ponderadas o no, indicándose la clase de promedio empleado. La ponderación se efectuará según el “número de viajes”.
(c) Eslora media total
Se indicará la eslora total, pero si esto no es posible y se emplea la de registro, se borra la palabra “total” y se pone “reg”. La eslora se expresa en metros (1 pie británico = 0,3048 m).
Estas esloras medias pueden ser ponderadas o no, indicándose cual se usa. La ponderación se efectuará basándose en el “número de viajes”.
(d) Número de unidades de pesca en actividad
El número de unidades de pesca en actividad incluirá todas las unidades dentro de la “clase de unidades de pesca” que hayan pescado por lo menos una vez en la zona de pesca.
En el caso de las parejas, ambos barcos forman una unidad.
Para las definiciones uniformes detalladas sobre las diversas clases de esfuerzo, véanse las secciones 1 y 2 de la parte D.
Se ruega a los países que indiquen por separado la amplitud en que los datos de esfuerzo de pesca que figuran en los formularios, se acercan o separan de esas definiciones uniformes detalladas.
Segun las prioridades indicadas continuación, se pide a las oficinas nacionales que indiquen los datos relativos a las clases de esfuerzo de pesca apropiadas.
El dar datos sobre la medida del tiempo del esfuerzo de pesca conviene observar las prioridades deseables siguientes:
Primera prioridad: | deberan darse al “número de horas pescando” o “millares de anzuelos”; así como el “número de lances, arrastres o calamentos”. |
Segunda prioridad: | “número de días en el caladero” o “número de días en la mar”. |
Tercera prioridad: | “número de viajes hechos”. |
Al dar detalles sobre la medida del esfuerzo de potencia de pesca, conviene observar las prioridades deseables siguientes:
Primera prioridad: | “tonelaje bruto medio” (ver sección 2.1). |
Segunda prioridad: | “potencia media (hp)” (ver sección 2.2). |
Tercera prioridad: | “eslora total media” (ver sección 2.3). |
Cuarta prioridad: | “número de unidades de pesca trabajando” (ver sección 2.4). |
Además, las oficinas nacionales deben indicar qué datos de esfuerzo no fueron anotados, sino que se obtuvieron por muestreo.