Any research investigation progresses through repeated formulation and testing of hypotheses regarding the phenomenon under consideration, in a cyclical manner. In order to reach an objective decision as to whether a particular hypothesis is confirmed by a set of data, we must have an objective procedure for either rejecting or accepting that hypothesis. Objectivity is emphasized because one of the requirements of the scientific method is that one should arrive at scientific conclusions by methods which are public and which may be repeated by other competent investigators. This objective procedure would be based on the information we obtain in our research and on the risk we are willing to take that our decision with respect to the hypothesis may be incorrect.
The general steps involved in testing hypotheses are the following. (i) Stating the null hypothesis (ii) Choosing a statistical test (with its associated statistical model) for testing the null hypothesis (iii) Specifying the significance level and a sample size (iv) Finding the sampling distribution of the test statistic under the null hypothesis (v) Defining the region of rejection (vi) Computing the value of test statistic using the data obtained from the sample(s) and making a decision based on the value of the test statistic and the predefined region of rejection. An understanding of the rationale for each of these steps is essential to an understanding of the role of statistics in testing a research hypothesis which is discussed here with a real life example.
(i) Null hypothesis : The first step in the decision-making procedure is to state the null hypothesis usually denoted by H0. The null hypothesis is a hypothesis of no difference. It is usually formulated for the express purpose of being rejected. If it is rejected, the alternative hypothesis H1 may be accepted. The alternative hypothesis is the operational statement of the experimenter’s research hypothesis. The research hypothesis is the prediction derived from the theory under test. When we want to make a decision about differences, we test H0 against H1. H1 constitutes the assertion that is accepted if H0 is rejected.
To present an example, suppose a forest manager suspects a decline in the productivity of forest plantations of a particular species in a management unit due to continued cropping with that species. This suspicion would form the research hypothesis. Confirmation of that guess would add support to the theory that continued plantation activity with the species in an area would lead to site deterioration. To test this research hypothesis, we state it in operational form as the alternative hypothesis, H1. H1 would be that the current productivity level for the species in the management unit (m 1) is less than that of the past (m 0). Symbolically, m 1 < m 0. The H0 would be that m 1 = m 0. If the data permit us to reject H0, then H1 can be accepted, and this would support the research hypothesis and its underlying theory. The nature of the research hypothesis determines how H1 should be stated. If the forest manager is not sure of the direction of change in the productivity level due to continued cropping, then H1 is that m 1 ¹ m 0.
(ii) The choice of the statistical test : The field of statistics has developed to the extent that we now have, for almost all research designs, alternative statistical tests which might be used in order to come to a decision about a hypothesis. The nature of the data collected largely determines the test criterion to be used. In the example considered here, let us assume that data on yield of timber on a unit area basis at a specified age can be obtained from a few recently felled plantations or parts of plantations of fairly similar size from the management unit. Based on the relevant statistical theory, a test statistic that can be chosen in this regard is,
(3.1)
where
= Mean yield at a specified age from the recently felled plantations in the management unit.
s = Standard deviation of the yield of the recently felled plantations in the management unit.
n = Number of recently felled plantations from which the data can be gathered.
m 0 = Mean yield of plantations at the specified age in the management unit a few decades back based on a large number of past records.
The term ‘statistic’ refers to a value computed from the sample observations. The test statistic specified in Equation (3.1) is the deviation of the sample mean from the pre-specified value , m 0 , in relation to the variance of such deviations and the question is to what extent such deviations are permissible if the null hypothesis were to be true.
(iii) The level of significance and the sample size : When the null hypothesis and alternative hypothesis have been stated, and when the statistical test appropriate to the problem has been selected, the next step is to specify a level of significance (a ) and to select a sample size (n). In brief, the decision making procedure is to reject H0 in favour of H1 if the statistical test yields a value whose associated probability of occurrence under H0 is equal to or less than some small probability symbolized as a . That small probability is called the level of significance. Common values of a are 0.05 and 0.01. To repeat, if the probability associated with the occurrence under H0, i.e., when the null hypothesis is true, of the particular value yielded by a statistical test is equal to or less than a , we reject H0 and accept H1, the operational statement of the research hypothesis. It can be seen, then that a gives the probability of mistakenly or falsely rejecting H0.
Since the value of a enters into the determination of whether H0 is or is not rejected, the requirement of objectivity demands that a be set in advance of the collection of the data. The level at which the researcher chooses to set a should be determined by his estimate of the importance or possible practical significance of his findings. In the present example, the manager may well choose to set a rather stringent level of significance, if the dangers of rejecting the null hypothesis improperly (and therefore unjustifiably advocating or recommending a drastic change in management practices for the area) are great. In reporting his findings, the manager should indicate the actual probability level associated with his findings, so that the reader may use his own judgement in deciding whether or not the null hypothesis should be rejected.
There are two types of errors which may be made in arriving at a decision about H0. The first, the Type I error, is to reject H0 when in fact it is true. The second, the Type II error, is to accept H0 when in fact it is false. The probability of committing a Type I error is given by a . The larger is a , the more likely it is that H0 will be rejected falsely, i.e., the more likely it is that Type I error will be committed. The Type II error is usually represented by b , i.e., P(Type I error) = a , P(Type II error) = b . Ideally, the values of both a and b would be specified by the investigator before he began his investigations. These values would determine the size of the sample (n) he would have to draw for computing the statistical test he had chosen. Once a and n have been specified, b is determined. In as much as there is an inverse relation between the likelihood of making the two types of errors, a decrease in a will increase b for any given n. If we wish to reduce the possibility of both types of errors, we must increase n. The term 1 - b is called the power of a test which is the probability of rejecting H0 when it is in fact false. For the present example, guided by certain theoretical reasons, let us fix the sample size as 30 plantations or parts of plantations of similar size drawn randomly from the possible set for gathering data on recently realized yield levels from the management unit.
(iv) The sampling distribution : When an investigator has chosen a certain statistical test to use with his data, he must next determine what is the sampling distribution of the test statistic. It is that distribution we would get if we took all possible samples of the same size from the same population, drawing each randomly and workout a frequency distribution of the statistic computed from each sample. Another way of expressing this is to say that the sampling distribution is the distribution, under H0, of all possible values that some statistic (say the sample mean) can take when that statistic is computed from randomly drawn samples of equal size. With reference to our example, if there were 100 plantations of some particular age available for felling, 30 plantations can be drawn randomly in
2.937 x 1025 ways. From each sample of 30 plantation units, we can compute a z statistic as given in Equation (3.1). A relative frequency distribution prepared using specified class intervals for the z values would constitute the sampling distribution of our test statistic in this case. Thus the sampling distribution of a statistic shows the probability under H0 associated with various possible numerical values of the statistic. The probability associated with the occurrence of a particular value of the statistic under H0 is not the probability of just that value rather, the probability associated with the occurrence under H0 of a particular value plus the probabilities of all more extreme possible values. That is, the probability associated with the occurrence under H0 of a value as extreme as or more extreme than the particular value of the test statistic.
It is obvious that it would be essentially impossible for us to generate the actual sampling distribution in the case of our example and ascertain the probability of obtaining specified values from such a distribution. This being the case, we rely on the authority of statements of proved mathematical theorems. These theorems invariably involve assumptions and in applying the theorems we must keep the assumptions in mind. In the present case it can be shown that the sampling distribution of z is a normal distribution with mean zero and standard deviation unity for large sample size (n). When a variable is normally distributed, its distribution is completely characterised by the mean and the standard deviation. This being the case, the probability that an observed value of such a variable will exceed any specified value can be determined. It should be clear from this discussion and this example that by knowing the sampling distribution of some statistic we are able to make probability statements about the occurrence of certain numerical values of that statistic. The following sections will show how we use such a probability statement in making a decision about H0.
(v) The region of rejection : The sampling distribution includes all possible values a test statistic can take under H0. The region of rejection consists of a subset of these possible values, and is defined so that the probability under H0 of the occurrence of a test statistic having a value which is in that subset is a . In other words, the region of rejection consists of a set of possible values which are so extreme that when H0 is true, the probability is very small (i.e., the probability is a ) that the sample we actually observe will yield a value which is among them. The probability associated with any value in the region of rejection is equal to or less than a .
The location of the region of rejection is affected by the nature of H1. If H1 indicates the predicted direction of the difference, then a one-tailed test is called for. If H1 does not indicate the direction of the predicted difference, then a two-tailed test is called for. One-tailed and two-tailed tests differ in the location (but not in the size) of the region of rejection. That is, in one-tailed test, the region of rejection is entirely at one end (one tail) of the sampling distribution. In a two-tailed test, the region of rejection is located at both ends of the sampling distribution. In our example, if the manager feels that the productivity of the plantations will either be stable or only decline over time, then the test he would carry out will be one-tailed. If the manager is uncertain about the direction of change, it will be the case for a two-tailed test.
The size of the region is expressed by a , the level of significance. If a = 0.05, then the size of the region of rejection is 5 per cent of the entire space included under the curve in the sampling distribution. One-tailed and two-tailed regions of rejection for a = 0.05 are illustrated in Figure 3.1. The regions differ in location but not in total size.
(vi) The decision : If the statistical test yields a value which is in the region of rejection, we reject H0. The reasoning behind this decision process is very simple. If the probability associated with the occurrence under the null hypothesis of a particular value in the sampling distribution is very small, we may explain the actual occurrence of that value in two ways: first, we may explain it by deciding that the null hypothesis is false, or second, we may explain it by deciding that a rare and unlikely event has occurred. In the decision process, we choose the first of these explanations. Occasionally, of course, the second may be the correct one. In fact, the probability that the second explanation is the correct one is given by a , for rejecting H0 when in fact it is true is the Type I error.

Figure 3.1. Sampling distribution of z under H0 and regions of rejection for one-tailed and two-tailed tests.
When the probability associated with an observed value of a statistical test is equal to or less than the previously determined value of a , we conclude that H0 is false. Such an observed value is called significant. H0 , the hypothesis under test, is rejected whenever a significant result occurs. A significant value is one whose associated probability of occurrence under H0 is equal to or less than a .
Coming back to our example, suppose that the mean timber yield obtained from 30 recently felled plantations at the age of 50 years in a particular management unit is 93 m3/ha with a standard deviation of 10 m3/ha. If the past records had revealed that the mean yield realized from the same management unit a few decades back was 100 m3/ha at comparable age, the value of the test statistic in our case would be
![]()
Reference to Appendix 1 would show that the probability of getting such a value if the H0 were to be true is much less than 0.05 taken as the prefixed level of significance. Hence the decision would be to accept the alternative hypothesis that there has been significant decline in the productivity of the management unit with respect to the plantations of the species considered.
The reader who wishes to gain a more comprehensive understanding of the topics explained in this section may refer Dixon and Massey (1951) for an unusually clear introductory discussion of the two types of errors, and to Anderson and Bancroft (1952) or Mood (1950) for advanced discussions of the theory of testing hypotheses. In the following sections, procedures for testing certain specific types of hypotheses are described.
3.2 Test of difference between means
It is often desired to compare means of two groups of observations representing different populations to find out whether the populations differ with respect to their locations. The null hypothesis in such cases will be ‘there is no difference between the means of the two populations’. Symbolically,
. The alternative hypothesis is
i.e.,
or
.
Independent samples
For testing the above hypothesis, we make random samples from each population. The mean and standard deviation for each sample are then computed. Let us denote the mean as
and standard deviation as
for the sample of size
from the first population and the mean as
and standard deviation as
for the sample of size
from the second population. A test statistic that can be used in this context is,
(3.2)
where
, 
is the pooled variance given by
and
The test statistic t follows Student’s t distribution with
degrees of freedom. The degree of freedom in this particular case is a parameter associated with the t distribution which governs the shape of the distribution. Although the concept of degrees of freedom is quite abstruse mathematically, generally it can be taken as the number of independent observations in a data set or the number of independent contrasts (comparisons) one can make on a set of parameters.
This test statistic is used under certain assumptions viz., (i) The variables involved are continuous (ii) The population from which the samples are drawn follow normal distribution (iii) The samples are drawn independently (iv) The variances of the two populations from which the samples are drawn are homogeneous (equal). The homogeneity of two variances can be tested by using F-test described in Section 3.3.
As an illustration, consider an experiment set up to evaluate the effect of inoculation with mycorrhiza on the height growth of seedlings of Pinus kesiya. In the experiment, 10 seedlings designated as Group I were inoculated with mycorrhiza while another 10 seedlings (designated as Group II) were left without inoculation with the microorganism. Table 3.1 gives the height of seedlings obtained under the two groups of seedlings.
Table 3.1. Height of seedlings of Pinus kesiya belonging to the two groups
|
Plot |
Group I |
Group II |
|
1 |
23.0 |
8.5 |
|
2 |
17.4 |
9.6 |
|
3 |
17.0 |
7.7 |
|
4 |
20.5 |
10.1 |
|
5 |
22.7 |
9.7 |
|
6 |
24.0 |
13.2 |
|
7 |
22.5 |
10.3 |
|
8 |
22.7 |
9.1 |
|
9 |
19.4 |
10.5 |
|
10 |
18.8 |
7.4 |
Under the assumption of equality of variance of seedling height in the two groups, the analysis can proceed as follows.
Step1. Compute the means and pooled variance of the two groups of height measurements using the corresponding formulae as shown in Equation (3.2).
,

=
= 6.36

=
= 2.7
![]()
= ![]()
= 4.5372
Step 2. Compute the value of t using Equation (3.2)

= 11.75
Step 3. Compare the computed value of t with the tabular value of t at the desired level of probability for
= 18 degrees of freedom.
Since we are not sure of the direction of the effect of mycorrhiza on the growth of seedlings, we may use a two-tailed test in this case. Referring Appendix 2, the critical values are -2.10 and +2.10 on either side of the distribution. For our example the computed value of t (11.75) is greater than 2.10 and so we may conclude that the populations of inoculated and uninoculated seedlings represented by our samples are significantly different with respect to their mean height.
The above procedure is not applicable if the variances of the two populations are not equal. In such cases, a slightly different procedure is followed and is given below:
Step 1. Compute the value of test statistic t using the following formula,
(3.3)
Step 2. Compare the computed t value with a weighted tabular t value (t’) at the desired level of probability. The weighted tabular t value is computed as shown below.
(3.4)
where
,
,
and
are the tabular values of Student’s t at
and
degrees of freedom respectively, at the chosen level of probability.
For example, consider the data given in Table 3.1. The homogeneity of variances of the two groups can be tested by using F-test given in Section 3.3. In case the two variances are not equal, the test statistic t will be computed as,
= 11.76
= 2.26
Since the computed t value (11.76) is greater than the tabular value (2.26), we may conclude that the two means are significantly different. Here, the value of t’ remained the same as t1 and t2 because n1 and n2 are the same. This need not be the case always.
Paired samples
While comparing the means of two groups of observations, there could be instances where the groups are not independent but paired such as in the comparison of the status of a set of individuals before and after the execution of a treatment, in the comparison of say, the properties of bottom and top portion of a set of cane stems etc. In such situations, two sets of observations come from a single set of experimental units. Pairing of observations could occur on other grounds as well such as the case of pairs of stem cuttings obtained from different mother plants and the individuals of a pair subjected to two different treatments with the objective of comparing the effect of the two treatments on the cuttings. The point to be noted is that the observations obtained from such pairs could be correlated. The statistical test used for comparing means of paired samples is generally called paired t- test.
Let (x1, y1), (x2, y2), . . ., (xn, yn), be the n paired observations. Let the observations on x variable arise from a population with mean
and the observations on y variable arise from a population with mean
. The hypothesis to be tested is
. If we form di = xi - yi for i = 1, 2, …, n, which can be considered from a normal population with mean zero and known variance, the test statistic could be,
(3.5)
where
The test statistic t in Equation (3.5) follows a Student’s t distribution with
degrees of freedom. The computed value of t is then comparable with the tabular value of t for
degrees of freedom, at the desired level of probability.
For example, consider the data given in Table 3.2, obtained from soil core samples drawn from two different depth levels in a natural forest. The data pertain to organic carbon content measured at two different layers of a number of soil pits and so the observations are paired by soil pits. The paired t-test can be used in this case to compare the organic carbon status of soil at the two depth levels. The statistical comparison would proceed as follows.
Step 1. Get the difference between each pair of observations as shown in Table 3.2
Table 3.2. Organic carbon content measured from two layers of a set of soil pits from natural forest.
|
Organic carbon (%) |
|||
|
Soil pit |
Layer 1 (x) |
Layer 2 (y) |
Difference (d) |
|
1 |
1.59 |
1.21 |
0.38 |
|
2 |
1.39 |
0.92 |
0.47 |
|
3 |
1.64 |
1.31 |
0.33 |
|
4 |
1.17 |
1.52 |
-0.35 |
|
5 |
1.27 |
1.62 |
-0.35 |
|
6 |
1.58 |
0.91 |
0.67 |
|
7 |
1.64 |
1.23 |
0.41 |
|
8 |
1.53 |
1.21 |
0.32 |
|
9 |
1.21 |
1.58 |
-0.37 |
|
10 |
1.48 |
1.18 |
0.30 |
Step 2. Calculate mean difference and variance of the differences as shown in Equation (3.5).
=
=
= 0.181
= 0.1486
Step 3. Calculate the value for t by substituting the values of
and
in Equation (3.5).
The value we have calculated for t (1.485) is less than the tabular value, 2.262, for 9 degrees of freedom at the 5% level of significance. It may therefore be concluded that there is no significant difference between the mean organic carbon content of the two layers of soil.
3.3. Test of difference between variances
We often need to test whether two independent random samples come from populations with same variance. Suppose that first sample of
observations has a sample variance
and that second sample of
observations has a sample variance
and that both samples come from normal distributions. The null hypothesis to be tested is that the two samples are independent random samples from normal populations with the same variance. Symbolically,
where
are populations variances of two populations from which the two samples are taken. The alternative hypothesis is
The test statistic used to test the above null hypothesis is
(3.6)
where
is the larger mean square.
Under the null hypothesis, the test statistic may be shown to follow an F distribution with
degrees of freedom. The decision rule is that if the calculated value of the test statistic is smaller than the critical value of the F-distribution at the desired probability level, we accept the null hypothesis that two samples are taken from populations having same variance,
otherwise we reject the null hypothesis.
For example, let the variance estimates from two populations be
and
based on
=11and
= 8, observations from the two populations respectively. For testing the equality of population variances, we compute,

and compare with the critical value of F distribution for 10 and 7 degrees of freedom. Referring Appendix 3, the critical value of F is 3.14 at the probability level of .05. Here the calculated value is less than the critical value and hence we conclude that the variances are equal.
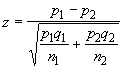
When the observations form counts belonging to particular categories such as ‘diseased’ or ‘healthy’, ‘dead’ or ‘alive’ etc. the data are usually summarized in terms of proportions. We may then be interested in comparing the proportions of incidence of an attribute in two populations. The null hypothesis set up in such cases is
and the alternative hypothesis is
(or
or
) where P1 and P2 are proportions representing the two populations. In order to test our hypothesis, we take two independent samples of large size, say
from the two populations and obtain two sample proportions
, respectively. The test statistic used is,
(3.7)
where q1 = 1 - p1, q2 = 1 - p2, This statistic follows a standard normal distribution.
As an example, consider an experiment on rooting of stem cuttings of Casuarina equisetifolia wherein the effect of dipping the cuttings in solutions of IBA at two different concentrations was observed. Two batches of 30 cuttings each, were subjected dipping treatment at concentrations of 50 and 100 ppm of IBA solutions respectively. Based on the observations on number of cuttings rooted in each batch of 30 cuttings, the following proportions of rooted cuttings under each concentration were obtained. At 50 ppm, the proportion of rooted cuttings was 0.5 and at 100 ppm, the proportion was 0.37. The question of interest is whether the observed proportions are indicative of significant differences in the effect of IBA at the two concentrations.
In accordance with our notation, here, p1 = 0.5 and p2 = 0.37. Then q1 = 0.5, q2 = 0.63. The value of n1 = n2 = 30. The value of the test statistic is,

Since the calculated value of z (1.024) is less than the table value (1.96) at 5% level of significance, we can conclude that there is no significant difference between proportion rooted cuttings under the two concentration levels.
In testing of hypothesis, sometimes our objective may be to test whether a sample has come from a population with a specified probability distribution. The expected distribution may one based on theoretical distributions like the normal, binomial or Poisson or a pattern expected under technical grounds. For instance, one may be interested in testing whether a variable like the height of trees follows normal distribution. A tree breeder may be interested to know whether the observed segregation ratios for a character deviate significantly from the Mendelian ratios. In such situations, we want to test the agreement between the observed and theoretical frequencies. Such a test is called a test of goodness of fit.
For applying the goodness of fit test, we use only the actual observed frequencies and not the percentages or ratios. Further, the observations within the sample should be non-overlapping and thereby independent. The expected frequency in each category should preferably be more than 5. The total number of observations should be large, say, more than 50.
The null hypothesis in goodness of fit tests is that there is no disagreement between the observed and theoretical distributions, or the observed distribution fits well with the theoretical distribution. The test statistic used is,
(3.8)
where Oi = Observed frequency in the ith class,
Ei = Expected frequency in the ith class.
k = Number of categories or classes.
The c
2 statistic of Equation (3.8) follows a c
2-distribution with k-1 degrees of freedom. In case the expected frequencies are derived from parameters estimated from the sample, the degrees of freedom is (k-p-1) (where p is the number of parameters estimated). For example, in testing the normality of a distribution m
and s
2 would be estimated from the sample by
and s2and the degrees of freedom would therefore reduce to (k-2-1).
The expected frequencies may be computed based on the probability function of the appropriate theoretical distribution as relevant to the situation or it may be derived based on the scientific theory being tested like Mendel’s law of inheritance. In the absence of a well defined theory, we may assume that all the classes are equally frequent in the population. For example, the number of insects caught in a trap in different times of a day, frequency of sighting an animal in different habitats etc. may be expected to be equal initially and subjected to the statistical testing. In such cases, the expected frequency is computed as
(3.9)
For example, consider the data given in Table 3.3. which represents the number of insect species collected from an undisturbed area at Parambikkulam Wildlife Sanctuary in different months. To test whether there are any significant differences between the number of insect species found in different months, we may state the null hypothesis as the diversity in terms of number of insect species is the same in all months in the sanctuary and derive the expected frequencies in different months accordingly.
Table 3.3. Computation of c 2 using the data on number of species of insects collected from Prambikkulam in different months.
|
Month |
O |
E |
|
|
Jan. |
67 |
67 |
0.00 |
|
Feb. |
115 |
67 |
34.39 |
|
Mar. |
118 |
67 |
38.82 |
|
Apr. |
72 |
67 |
0.37 |
|
May |
67 |
67 |
0.00 |
|
Jun. |
77 |
67 |
1.49 |
|
Jul. |
75 |
67 |
0.96 |
|
Aug. |
63 |
67 |
0.24 |
|
Sep. |
42 |
67 |
9.33 |
|
Oct. |
24 |
67 |
27.60 |
|
Nov. |
32 |
67 |
18.28 |
|
Dec. |
52 |
67 |
3.36 |
|
Total |
804 |
804 |
134.84 |
The calculated c 2 value is 134.84. Entering the c 2 table (Appendix 4) for (12-1) = 11 degrees of freedom and a = 0.05, we get the critical value of c 2 as 19.7. Therefore, we accept the null hypothesis and conclude that the occurrence of the number of insect species in different months is the same.
Analysis of variance (ANOVA) is basically a technique of partitioning the overall variation in the responses observed in an investigation into different assignable sources of variation, some of which are specifiable and others unknown. Further, it helps in testing whether the variation due to any particular component is significant as compared to residual variation that can occur among the observational units.
Analysis of variance proceeds with an underlying model which expresses the response as a sum of different effects. As an example, consider Equation (3.10).
, i =1, 2, …, t; j = 1, 2, …, ni (3.10)
where
is the response of the jth individual unit belonging to the ith category or group, m
is overall population mean, a
i is the effect of being in the ith group and
is a random error attached to the (ij)th observation. This constitutes a one-way analysis of variance model which can be expanded further by adding more and more effects as applicable to a particular situation. When more than one known source of variation is involved, the model is referred as multi-way analysis of variance model.
In order to perform the analysis, certain basic assumptions are made about the observations and effects. These are (i) The different component effects are additive (ii) The errors eij are independently and identically distributed with mean zero and constant variance.
Model (3.10) can also be written as
(3.11)
where ![]()
Under certain additional assumptions, analysis of variance also leads testing the following hypotheses that
for at least one i and j (3.12)
The additional assumption required is that the errors are distributed normally. The interpretation of the analysis of variance is valid only when such assumptions are met although slight deviations from these assumptions do not cause much harm.
Certain additional points to be noted are that the effects included in the model can be either fixed or random. For example, the effects of two well defined levels of irrigation are fixed as each irrigation level can be reasonably taken to have a fixed effect. On the other hand, if a set of provenances are randomly chosen from a wider set possible, the effects due to provenances is taken as random. The random effects can belong to a finite or an infinite population. The error effects are always random and may belong either to a finite or infinite population. A model in which all the effects are fixed except the error effect which is always taken as random is called a fixed effects model. Models in which both fixed and random effects occur are called mixed models. Models wherein all the effects are random are called random effects models. In fixed effects models, the main objectives will be to estimate the fixed effects, to quantify the variation due to them in the response and finally find the variation among the error effects. In random effects models, the emphasis will be on estimating the variation in each category of random effects. The methodology for obtaining expressions of variability is mostly the same in the different models, though the methods for testing are different.
The technique of analysis of variance is illustrated in the following with a one-way model involving only fixed effects. More complicated cases are dealt with in the Chapters 4 and 6 while illustrating the analyses related to different experimental designs.
Analysis of one-way classified data.
Consider a set of observations on wood density obtained on a randomly collected set of stems belonging to a set of cane species. Let there be t species with r observations coming from each species. The results may be tabulated as shown in the following table.
|
Species |
|||||||
|
|
1 |
2 |
. . |
i |
. . |
t |
|
|
y11 |
y21 |
yi1 |
yt1 |
||||
|
y12 |
y22 |
yi2 |
yt2 |
||||
|
. . |
TR> | ||||||
|
y1j |
y2j |
yij |
ytj |
||||
|
. . |
|||||||
|
y1r |
y2r |
yir |
ytr |
||||
|
Total |
y1. |
y2. |
yi. |
yt. |
y..= Grand total |
||
|
Mean |
|
|
|
|
|
||
Note: In the above table, a period (.) in the subscript denotes sum over that subscript.
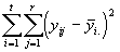
The theory behind the analysis of variance would look complex for a nonmathematical reader. Hence a heuristic derivation of the formulae is given here. Consider the r observations which belong to any particular species, say ith species. Their values may not be the same. This demonstrates the influences of many extraneous factors operating on the observations on stems of that species. This influence may be measured in terms of the deviations of the individual observations from their mean value. Squared deviations would be better as raw deviations are likely to cancel out while summing up. Thus the extent of random variation incident on the observations on the ith species is given by
=
(3.13)
The variation produced by the external sources in the case of each species is a reflection of the influence of the uncontrolled factors and we can obtain a pooled estimate of their influence by their sum. Thus the total variability observed due to extraneous factors also generally known as sum of squares due to errors (SSE) is given by
SSE =
(3.14)
Besides random fluctuations, different species may carry different effects on the mean response. Thus variability due to ith species reflected in the r observations is
(3.15)
Thus the variability due to differences between the species is given by
SS due to species = SSS =
(3.16)
which can be shown algebraically equivalent to
SSS =
(3.17)
The second term of Equation (3.17) is called the correction factor (C.F.).
(3.18)
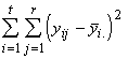
Finally, we have to find out the total variability present in all observations. This is given by the sum of the squares of deviations of all the responses from their general mean. It is given by
SSTO =
(3.19)
= 
= 
=
+
(3.20)
where 
Thus the total variability in the responses could be expressed as a sum of variation between species and variation within species, which is the essence of analysis of variance.
For computational purposes, the SSTO can also be obtained as
SSTO =
+
=
(3.21)
The partitioning of total variability, as due to species differences and as due to extraneous factors though informative, are by themselves not very useful for further interpretation. This is because, their values depend on the number of species and the number of observations made on each species. In order to eliminate this effect of number of observations, the observed variability measures are reduced to variability per observation, i.e., mean sum of squares. Since there are rt observations in all, yielding the total sum of squares, the mean sum of squares can of course be calculated by dividing total sum of squares by rt. Instead, this is divided by (rt-1), which is the total number of observations less one. This divisor is called the degrees of freedom which indicate the number of independent deviations from the mean contributing to the computation of total variation. Hence,
Mean sum of squares due to species = MSS =
(3.22)
Mean sum of squares due to error = MSE =
(3.23)
The computation of species mean square and error mean square are crucial for testing the significance of the differences between species means. The null hypothesis tested here is the population means of species are all equal, that is,
Under this hypothesis, the above two mean squares will be two independent estimates of the same random effect, i.e., MSS estimates the same variance as that the MSE does. The hypothesis of equal species effects can now be tested by F test where F is the ratio of MSS to MSE which follows F distribution with (t-1) and t(r-1) degrees of freedom. The significance of F can be determined in the usual way by using the table of F (Appendix 3). If the calculated value of F is larger than the tabled value, the hypothesis is rejected. It implies that at least one pair of species is significantly different with respect to the observations made.
The above results can be presented in the form of a table called analysis of variance table or simply ANOVA table. The format of ANOVA table is as follows.
Table 3.4. ANOVA table
|
Sources of variation |
Degrees of freedom (df) |
Sum of squares (SS) |
Mean squares
|
Computed F-ratio |
|
Between species |
t-1 |
SSS |
MSS |
|
|
Within species (error) |
t(r-1) |
SSE |
MSE |
|
|
Total |
tr-1 |
SSTO |
For the purpose of illustration, consider the data presented in Table 3.5. The data represent a set of observations on wood density obtained on a randomly collected set of stems belonging to five cane species.
The analysis of variance for the sample data is conducted as follows.
Step 1. Compute the species totals, species means, grand total and grand mean (as in Table 3.5). Here, the number of species = t = 5 and number of replication = r = 3.
Table 3.5. Wood density (g/cc) observed on a randomly collected set of stems belonging to different cane species.
|
|
Species |
|||||
|
1 |
2 |
3 |
4 |
5 |
Overall |
|
|
1 |
0.58 |
0.53 |
0.49 |
0.53 |
0.57 |
|
|
2 |
0.54 |
0.63 |
0.55 |
0.61 |
0.64 |
|
|
3 |
0.38 |
0.68 |
0.58 |
0.53 |
0.63 |
|
|
Total |
1.50 |
1.85 |
1.62 |
1.67 |
1.85 |
8.49 |
|
Mean |
0.50 |
0.62 |
0.54 |
0.56 |
0.62 |
0.57 |
Step 2. Compute the correction factor C.F using Equation (3.18).
C.F.
Step 3. Compute the total sum of squares using Equation (3.21).
SSTO = (0.58)2 + (0.53)2 + . . .+ (0.63)2 - ![]()
= 0.0765
Step 4. Compute the species sum of squares using Equation (3.17).
SSS = ![]()
= 0.0307
Step 5. Compute the error sum of squares as SSE = SSTO - SSS
SSE = 0.0765 - 0.0307
= 0.0458
Step 6. Compute the mean squares for species and error. These are obtained using Equations (3.22) and (3.23).
MSS = ![]()
= 0.0153
MSE = ![]()
= 0.0038
Step 7. Calculate the F ratio as
F = ![]()
= ![]()
= 4.0108
Step 8. Summarise the results as shown in Table 3.6.
Table 3.6. ANOVA table for the data in Table 3.5.
|
Sources of variation |
Degree of freedom (df) |
Sum of squares (SS) |
Mean squares
|
Computed F-ratio |
Tabular F |
|
Between species |
4 |
0.0307 |
0.0153 |
4.01 |
3.48 |
|
Within species |
10 |
0.0458 |
0.0038 |
||
|
Total |
14 |
0.0765 |
Compare the computed value of F with tabular value of F at 4 and 10 degrees of freedom. In this example, the computed value of F (1.73) is less than the tabular value (3.48) at 5% level of significance. It may thus be concluded that there are no significant differences among the means of different species.
As indicated in the previous section, the validity of analysis of variance depends on certain important assumptions. The analysis is likely to lead to faulty conclusions when some of these assumptions are violated. A very common case of violation is the assumption regarding the constancy of variance of errors. One of the alternatives in such cases is to go for a weighted analysis of variance wherein each observation is weighted by the inverse of its variance. For this, an estimate of the variance of each observation is to be obtained which may not be feasible always. Quite often, the data are subjected to certain scale transformations such that in the transformed scale, the constant variance assumption is realized. Some of such transformations can also correct for departures of observations from normality because unequal variance is many times related to the distribution of the variable also. Certain methods are available for identifying the transformation needed for any particular data set (Montgomery and Peck, 1982) but one may also resort to certain standard forms of transformations depending on the nature of the data. The most common of such transformations are logarithmic transformation, square root transformation and angular transformation.
3.7.1. Logarithmic transformation
When the data are in whole numbers representing counts with a wide range, the variances of observations within each group are usually proportional to the squares of the group means. For data of this nature, logarithmic transformation is recommended. A simple plot of group means against the group standard deviation will show linearity in such cases. A good example is data from an experiment involving various types of insecticides. For the effective insecticide, insect counts on the treated experimental unit may be small while for the ineffective ones, the counts may range from 100 to several thousands. When zeros are present in the data, it is advisable to add 1 to each observation before making the transformation. The log transformation is particularly effective in normalising positively skewed distributions. It is also used to achieve additivity of effects in certain cases.
3.7.2. Square root transformation
If the original observations are brought to square root scale by taking the square root of each observation, it is known as square root transformation. This is appropriate when the variance is proportional to the mean as discernible from a graph of group variances against group means. Linear relationship between mean and variance is commonly observed when the data are in the form of small whole numbers (e.g., counts of wildlings per quadrat, weeds per plot, earthworms per square metre of soil, insects caught in traps, etc.). When the observed values fall within the range of 1 to 10 and especially when zeros are present, the transformation should be,
. The transformation of the type
is also used for certain theoretical reasons.
3.7.3. Angular transformation
In the case of proportions, derived from frequency data, the observed proportion p can be changed to a new form
. This type of transformation is known as angular or arcsin transformation. However, when nearly all values in the data lie between 0.3 and 0.7, there is no need for such transformation. It may be noted that the angular transformation is not applicable to proportion or percentage data which are not derived from counts. For example, percentage of marks, percentage of profit, percentage of protein in grains, oil content in seeds, etc., can not be subjected to angular transformation. The angular transformation is not good when the data contain 0 or 1 values for p. The transformation in such cases is improved by replacing 0 with (1/4n) and 1 with [1-(1/4n)], before taking angular values, where n is the number of observations based on which p is estimated for each group.
As a case of illustration of angular transformation, consider the data given in Table 3.7 which represents the percentage of rooting obtained after sixth months of applying hormone treatment at different levels to stem cuttings of a tree species. Three batches, each of 10 stem cuttings, were subjected to dipping treatment in hormone solution at each level. The hormone was tried at 3 levels and the experiment had an untreated control. The percentage of rooting for each batch of cuttings was arrived at by dividing the number of cuttings rooted by the number of cuttings in a batch.
Table 3.7. Percentage of rooting obtained at the sixth month after applying the treatments.
|
Treatments |
||||
|
Batch of cuttings |
Control |
IBA at 10 ppm |
IBA at 50 ppm |
IBA at 100 ppm |
|
1 |
0 |
70 |
60 |
30 |
|
2 |
0 |
80 |
70 |
20 |
|
3 |
0 |
60 |
70 |
10 |
The data in Table 3.7 was transformed to angular scale using the function,
after replacing the ‘0’ values with (1/4n) where n =10.
The functional values of
for different values of p can also be obtained from Table (X) of Fisher and Yates (1963). The transformed data of Table 3.7 is given in Table 3.8.
Table 3.8. The data of Table 3.7 transformed to angular scale.
|
|
Treatments |
||||
|
Batch of cuttings |
Control |
IBA at 10 ppm |
IBA at 50 ppm |
IBA at 100 ppm |
Grand total |
|
1 |
0.99 |
56.79 |
50.77 |
33.21 |
|
|
2 |
0.99 |
63.44 |
56.79 |
26.56 |
|
|
3 |
0.99 |
50.77 |
56.79 |
18.44 |
|
|
Total |
2.97 |
171 |
164.35 |
78.21 |
416.53 |
In order to see if the treatments differ significantly in their effects, a one-way analysis of variance can be carried out as described in Section 3.6, on the transformed data. The results of analysis of variance are presented in Table 3.9.
Table 3.9. Analysis of variance of the transformed data in Table 3.8.
|
Sources of variation |
Degrees of freedom (df) |
Sum of squares (SS) |
Mean square
|
Computed F-ratio |
Tabular F at 5% level |
|
Between treatments |
3 |
6334.41 |
2111.47 |
78.96* |
4.07 |
|
Within treatments |
8 |
213.93 |
26.74 |
||
|
Total |
11 |
6548.34 |
* significant at 5% level.
Before concluding this section, a general note is added here. Once the transformation has been made, the analysis is carried out with the transformed data and all the conclusions are drawn in the transformed scale. However, while presenting the results, the means and their standard errors are transformed back into original units. While transforming back into the original units, certain corrections have to be made for the means. In the case of log transformed data, if the mean value is
, the mean value of the original units will be
instead of
. If the square root transformation had been used, then the mean in the original scale would be
instead of
where
represents the variance of
. No such correction is generally made in the case of angular transformation. The inverse transformation for angular transformation would be p = (sin q
)2.
In many natural systems, changes in one attribute are accompanied by changes in another attribute and that a definite relation exists between the two. In other words, there is a correlation between the two variables. For instance, several soil properties like nitrogen content, organic carbon content or pH are correlated and exhibit simultaneous variation. Strong correlation is found to occur between several morphometric features of a tree. In such instances, an investigator may be interested in measuring the strength of the relationship. Having made a set of paired observations (xi,yi); i = 1, ..., n, from n independent sampling units, a measure of the linear relationship between two variables can be obtained by the following quantity called Pearson’s product moment correlation coefficient or simply correlation coefficient.
(3.24)
where Cov (x,y) =
=
V(x) =
=
V(y) =
=
It is a statistical measure which indicates both the direction and degree of relationship between two measurable characteristics, say, x and y. The range of r is from -1 to +1 and does not carry any unit. When its value is zero, it means that there is no linear relationship between the variables concerned (although it is possible that a nonlinear relationship exists). A strong linear relationship exists when the value of r approaches -1 or +1. A negative value of r is an indication that an increase in the value of one variable is associated with a decrease in the value of other. A positive value on the other hand, indicates a direct relationship, i.e., an increase in the value of one variable is associated with an increase in the value of the other. The correlation coefficient is not affected by change of origin or scale or both. When a constant term is added or subtracted from the values of a variable, we say that the origin is changed. Multiplying or dividing the values of a variable by a constant term amounts change of scale.
As an example, consider the data on pH and organic carbon content measured from soil samples collected from 15 pits taken in natural forests, given in Table 3.10.