The computational steps in the analysis of variance are :
Step1. Construct the outline of the analysis of variance as presented in Table 4.22.
Step 2. Determine the number of real factors (k) each at two levels, whose complete set of factorial treatments is equal to the number of treatments (t) included in the experiment (i.e., 2k = t). Then select the specific set of k real factors from the original set of n factors and designate all (n - k) factors not included in the set of k as dummy factors. For our example, the t = 16 treatment combinations correspond to a complete set of 2k factorial combinations, with k = 4. For simplicity, the first four factors A, B, C and D are designated as the real factors and E as the dummy factor.
Table 4.22. Schematic representation of ANOVA of a 25-1 FFD in RCBD into 2 replications.
|
Source of variation |
Degree of freedom (df) |
Sum of squares (SS) |
Mean square |
Computed F |
|
Block |
r-1=1 |
SSR |
MSR |
|
|
A |
1 |
SSA |
MSA |
|
|
B |
1 |
SSB |
MSB |
|
|
C |
1 |
SSC |
MSC |
|
|
D |
1 |
SSD |
MSD |
|
|
E |
1 |
SSE@ |
MSE@ |
|
|
AB |
1 |
SSAB |
MSAB |
|
|
AC |
1 |
SSAC |
MSAC |
|
|
AD |
1 |
SSAD |
MSAD |
|
|
AE |
1 |
SSAE |
MSAE |
|
|
BC |
1 |
SSBC |
MSBC |
|
|
BD |
1 |
SSBD |
MSBD |
|
|
BE |
1 |
SSBE |
MSBE |
|
|
CD |
1 |
SSCD |
MSCD |
|
|
CE |
1 |
SSCE |
MSCE |
|
|
DE |
1 |
SSDE |
MSDE |
|
|
Error |
15 |
SSE |
MSE |
|
|
Total |
(r 25-1)-1 |
SSTO |
@
This SS is sum of squares due to factor E and is not to be confused with sum of squares due to error (SSE) given in the same table later. The error degree of freedom can be obtained by subtracting the degree of freedom for block and the factorial effects from the total degree of freedom.Step 3.Arrange the t treatments in a systematic order based on the k real factors; Treatments with fewer number of letters are listed first. For example, ab comes before abc, and abc comes before abcd, and so on. Note that if treatment (1) is present in the set of t treatments, it always appears as the first treatment in the sequence. Among treatments with the same number of letters, those involving letters corresponding to factors assigned to the lower-order letters come first. For example, ab comes before ac, ad before bc, and so on. All treatment-identification letters corresponding to the dummy factors are ignored in the arrangement process. For our example, factor E is the dummy factor and, thus, ae is considered simply as a and comes before ab. In this example, the systematic arrangement of the 16 treatments is shown in the first column of Table 4.23. Note that the treatments are listed systematically regardless of their block allocation and the dummy factor E is placed in parenthesis.
Step 4. Compute the t factorial effect totals: Designate the t treatment totals as the initial set or the T0 values. For our example, the systematically arranged set of 16 T0 values is listed in the second column of Table 4.23. Next, group the T0 values into t/2 successive pairs. For our example, there are 8 successive pairs : the first pair is 1.42 and 1.54, the second pair is 1.56 and 1.73, and the last pair is 1.97 and 1.96. Add the values of the two treatments in each of the t/2 pairs constituted and enter in the second set or the T1 values. For our example, the first half of the T1 values are computed as :
= 1.42 + 1.54
3.29 = 1.56 + 1.73
….
….
3.93 = 1.97 + 1.96
Subtract the first value from the second in each of the t/2 pairs constituted under T0 to constitute the bottom half of the T1 values. For our example, the second half of the T1 values are computed as :
-0.12 = 1.42 - 1.54
-0.17 = 1.56 - 1.73
….
….
0.01 = 1.97 - 1.96
The results of these tasks are shown in the third column of Table 4.23.
Reapply tasks done to generate the column T1, now using the values of T1 instead of T0 to derive the third set or the T2 values. For our example, results of the tasks reapplied to T1 values to arrive at theT2 values are shown in the fourth column of Table 4.23. Repeat task (n - 1) times where n is the total number of factors in the experiment. Each time, use the newly derived values of T. For our example, the task is repeated two more times to derive T3 values and T4 values as shown in the fifth and sixth columns of Table 4.23.
Table 4.23. Application of Yates’ method for the computation of sums of squares of a 25-1 FFD with data in Table 4.21
|
Treat-ment |
T0 |
T1 |
T2 |
T3 |
T4 |
Factorial Effect Identification |
|
|
|
|
Initial |
Final |
||||||
|
(1) |
1.42 |
2.96 |
6.25 |
12.97 |
27.52 |
(G) |
(G) |
23.667 |
|
a(e) |
1.54 |
3.29 |
6.72 |
14.55 |
-1.5 |
A |
AE |
0.070 |
|
b(e) |
1.56 |
3.30 |
6.77 |
-0.87 |
-0.82 |
B |
BE |
0.021 |
|
ab |
1.73 |
3.42 |
7.78 |
-0.63 |
0.04 |
AB |
AB |
0.000 |
|
c(e) |
1.52 |
3.24 |
-0.29 |
-0.45 |
-1.48 |
C |
CE |
0.068 |
|
ac |
1.78 |
3.53 |
-0.58 |
-0.37 |
0.14 |
AC |
AC |
0.001 |
|
bc |
1.55 |
3.85 |
-0.39 |
0.11 |
-0.42 |
BC |
BC |
0.006 |
|
abc(e) |
1.87 |
3.93 |
-0.24 |
-0.07 |
0.44 |
ABC |
D |
0.006 |
|
d(e) |
1.57 |
-0.12 |
-0.33 |
-0.47 |
-1.58 |
D |
DE |
0.078 |
|
ad |
1.67 |
-0.17 |
-0.12 |
-1.01 |
-0.24 |
AD |
AD |
0.002 |
|
bd |
1.62 |
-0.26 |
-0.29 |
0.29 |
-0.08 |
BD |
BD |
0.000 |
|
abd(e) |
1.91 |
-0.32 |
-0.08 |
-0.15 |
0.18 |
ABD |
C |
0.001 |
|
cd |
1.80 |
-0.10 |
0.05 |
-0.21 |
0.54 |
CD |
CD |
0.009 |
|
acd(e) |
2.05 |
-0.29 |
0.06 |
-0.21 |
0.44 |
ACD |
B |
0.006 |
|
bcd(e) |
1.97 |
-0.25 |
0.19 |
-0.01 |
0.00 |
BCD |
A |
0.000 |
|
abcd |
1.96 |
0.01 |
-0.26 |
0.45 |
-0.46 |
ABCD |
E |
0.007 |
Step 5. Identify the specific factorial effect that is represented by each of the values of the last set (commonly referred to as the factorial effect totals) derived in Step 4. Use the following guidelines: The first value represents the grand total (G). For the remaining (t - 1) values, assign the preliminary factorial effects according to the letters of the corresponding treatments, with the dummy factors ignored.
For example, the second T4 value corresponds to treatment combinations a(e) and, hence, it is assigned to the A main effect. The fourth T4 value corresponds to treatment ab and is assigned to the AB interaction effect, and so on. The results for all 16 treatments are shown in the seventh column of Table 4.23. For treatments involving the dummy factor, adjust the preliminary factorial effects derived as follows. Identify all effects involving the dummy factor that are estimable through the design. For our example, the estimable effects involving the dummy factor E consist of the main effect of E and all its two-factor interactions AE, BE, CE and DE. Identify the aliases of all effects listed as ‘preliminary’. The alias of any effect is defined as its generalized interaction with the defining contrast. The generalized interaction between any two factorial effects is obtained by combining all the letters that appear in the two effects and cancelling all letters that enter twice. For example, the generalized interaction between ABC and AB is AABBC or C. For our example, the defining contrast is ABCDE, the aliases of five effects involving the dummy factor E are: E=ABCD, AE=BCD, BE=ACD, CE=ABD and DE=ABC.
The two factorial effects involved in each pair of aliases (one to the left and another to the right of the equal sign) are not separable (i.e., cannot be estimated separately). For example, for the first pair, E and ABCD, the main effect of factor E cannot be separated from the A BCD interaction effect and, hence, unless one of the pair is known to be absent there is no way to know which of the pairs is the contributor to the estimate obtained.
Replace all preliminary factorial effects that are aliases of the estimable effects involving the dummy factors by the latter. For example, because ABCD (corresponding to the last treatment in Table 4.23) is the alias of E, it is replaced by E. In the same manner, BCDE is replaced by A, ACDE by B and so on. The final results of the factorial effect identification are shown in the eighth column of Table 4.23.
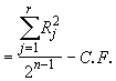
Step 6. Compute an additional column in Table 4.23 as
where r is the number of replications and n is the number of factors in the experiment. The value in this column corresponding to G in the previous column will be the correction factor. The rest of the values in this column will be the sum of squares corresponding to the effects identified in the previous column.
Step 7. Compute the SS due to other effects to complete the ANOVA. Let yij represent the response obtained with the ith treatment in the jth replcation.
(4.32)
=
= 23.6672
SSTO
(4.33)
![]()
= 0.2866
SSR
(4.34)
![]()
= 0.0006
SST
(4.35)
![]()
= 0.2748
SSE = SSTO - SSR - SST (4.36)
= 0.2866 - 0.2748 - 0.0006
= 0.01
Step 8. Compute the mean square for each source of variation by dividing each SS by its df. The MS corresponding to each factorial effect will be the same as its SS in this case because the df of such effects is one in each case.
Step 9. Compute the F value corresponding to each term in the analysis of variance table by dividing the MS values by the error MS values. The final analysis of variance is shown in Table 4.24.
Table 4.24. ANOVA of data of Table 4.21 corresponding to a 25-1 factorial experiment.
|
Source of variation |
Degrees of freedom |
Sum of squares |
Mean square |
ComputedF |
Tabular F 5% |
|
Replication |
1 |
0.0006 |
0.0006 |
0.86ns |
4.54 |
|
A |
1 |
0.000 |
0.000 |
0.00 ns |
4.54 |
|
B |
1 |
0.006 |
0.006 |
8.57* |
4.54 |
|
C |
1 |
0.001 |
0.001 |
1.43 ns |
4.54 |
|
D |
1 |
0.006 |
0.006 |
8.57* |
4.54 |
|
E |
1 |
0.007 |
0.007 |
10.00* |
4.54 |
|
AB |
1 |
0.000 |
0.000 |
0.00 ns |
4.54 |
|
AC |
1 |
0.001 |
0.001 |
1.43 ns |
4.54 |
|
AD |
1 |
0.002 |
0.002 |
2.86 ns |
4.54 |
|
AE |
1 |
0.070 |
0.070 |
100.00* |
4.54 |
|
BC |
1 |
0.006 |
0.006 |
8.57* |
4.54 |
|
BD |
1 |
0.000 |
0.000 |
0.00 ns |
4.54 |
|
BE |
1 |
0.021 |
0.021 |
30.00* |
4.54 |
|
CD |
1 |
0.009 |
0.009 |
12.86* |
4.54 |
|
CE |
1 |
0.068 |
0.068 |
97.14* |
4.54 |
|
DE |
1 |
0.078 |
0.078 |
111.43* |
4.54 |
|
Error |
15 |
0.010 |
0.0007 |
||
|
Total |
31 |
0.2866 |
* Significant at 5% level, ns = nonsignificant at 5% level
Step 11.Compare each computed F value with the corresponding tabular F values, from Appendix 3, with f1 = df of the numerator MS and f2 = error df. The results show that main effects B, D and E and the two factor interactions AE, BC, BE, CD, CE and AE are highly significant and main effects A and C and the two factor interactions AB, AC, AD and BD are non significant.
Comparison of means
The procedure described in section 4.4.2 for comparison of means in the case of complete factorial experiments is applicable to the case of FFD as well but remembering the fact that means of only up to two-way tables can only be compared using the multiple comparison procedure in the case of 25-1 factorial experiment.
The split plot design is specifically suited for a two-factor experiment wherein levels of one of the factors require large plot size for execution and also show large differences in their effects. In such a situation, the experiment will consist of a set of large plots called main plots in which levels for the main plot factor are assigned. Each main plot is divided into subplots to which the second factor, called the subplot factor, is assigned. Thus, each main plot becomes a block for the subplot treatments (i.e., the levels of the subplot factor). The assignment of the main plot factor can, in fact, follow any of the patterns like the completely randomized design, randomized complete block, or latin square design but here, only the randomized complete block is considered for the main plot factor because it is perhaps the most appropriate and the most commonly used design for forestry experiments.
With a split plot design, the precision for the measurement of the effects of the main plot factor is sacrificed to improve that of the subplot factor. Measurement of the main effect of the subplot factor and its interaction with the main plot factor is more precise than that obtainable with a randomized complete block design. On the other hand, the measurement of the effects of the main plot treatments (i.e., the levels of the main plot factor) is less precise than that obtainable with a randomized complete block design.
4.6.1. Layout
There are two separate randomization processes in a split plot design-one for the main plots and another for the subplots. In each replication, main plot treatments are first randomly assigned to the main plots followed by a random assignment of the subplot treatments within each main plot.
For illustration, a two-factor experiment involving four levels of nitrogen (main plot treatments) and three eucalyptus clones (subplot treatments) in three replications is used. Here, fertilzer levels were chosen for the main plots mainly for the convenience in its application, easiness in controlling the leaching effect and to detect the presence of possible interaction between fertilizers and the clones. The steps in the randomization and layout of a split plot design are shown, using a as the number of main plot treatments, b as the number of subplot treatments, and r as the number of replications.
Step 1. Divide the experimental area into r = 3 blocks, each of which is further divided into a = 4 main plots, as shown in Figure 4.9.
Step 2. Following the RCBD randomization procedure with a = 4 treatments and r = 3 replications randomly assign the 4 nitrogen treatments to the 4 main plots in each of the 3 blocks. The result may be as shown in Figure 4.10.
Step 3. Divide each of the ra = 12 main plots into b = 3 subplots and following the RCBD randomization procedure for b = 3 treatments and ra = 12 replications, randomly assign the 3 clones to the 3 subplots in each of the 12 main plots. The result may be as shown in Figure 4.11.
|
Main plots |
Main plots |
Main plots |
|||||||||||
|
1 |
2 |
3 |
4 |
1 |
2 |
3 |
4 |
1 |
2 |
3 |
4 |
||
|
Replication I |
Replication II |
Replication III |
|||||||||||
Figure 4.9. Division of the experimental area into three blocks (replications) each consisting of four main plots, as the first step in laying out of a split plot experiment involving three replications and four main plot treatments.
|
n3 |
n1 |
n0 |
n2 |
n1 |
n0 |
n3 |
n2 |
n0 |
n1 |
n2 |
n3 |
||
|
Replication I |
Replication II |
Replication III |
|||||||||||
Figure 4.10. Random assignment of four nitrogen levels (n0, n1, n2 and n3) to the four main plots in each of the three replications of Figure 4.9.
|
n3 |
n1 |
n0 |
n2 |
n1 |
n0 |
n5 |
n2 |
n0 |
n1 |
n2 |
n3 |
||
|
v2 |
v1 |
v1 |
v2 |
v1 |
v3 |
v3 |
v1 |
v4 |
v3 |
v3 |
v1 |
||
|
v1 |
v3 |
v2 |
v3 |
v3 |
v1 |
v2 |
v2 |
v2 |
v4 |
v2 |
v3 |
||
|
v3 |
v2 |
v3 |
v1 |
v2 |
v2 |
v1 |
v3 |
v1 |
v1 |
v4 |
v2 |
||
|
Replication I |
Replication II |
Replication III |
|||||||||||
Figure 4.11. A sample layout of a split plot design involving three eucalyptus clones(v1, v2 and v3) as subplot treatments and four nitrogen levels (n0, n1, n2 and n3) as main plot treatments, in three replications.
Note that the field layout of a split plot design as illustrated by Figure 4.11 has the following important features: (i) The size of the main plot is b times the size of the subplot. In our example with 3 varieties (b = 3) the size of the main plot is 3 times the subplot size (ii) Each main plot treatment is tested r times whereas each subplot treatment is tested ar times. Thus, the number of times a subplot treatment is tested will always be larger than that for the main plot and is the primary reason for more precision for the subplot treatments relative to the main plot treatments. In our example, each of the 4 levels of nitrogen is tested 3 times but each of the 3 clones is tested 12 times.
4.6.2. Analysis of variance
The analysis of variance of a split plot design is divided into the main plot analysis and the subplot analysis. The computations are shown with the data from a two-factor experiment in eucalyptus involving two silvicultural treatments (pit size) and four fertiliser treatments. The data on height of plants after one year of planting are shown in Table 4.25.
Table 4.25. Data on height (cm) of Eucalyptus tereticornis plants from a field trial under split plot design.
|
|
Height (cm) |
||
|
Fertiliser |
Replication I |
Replication II |
Replication III |
|
|
Pit size (30 cm x 30 cm x 30 cm) - p0 |
||
|
f0 |
25.38 |
61.35 |
37.00 |
|
f1 |
46.56 |
66.73 |
28.00 |
|
f2 |
66.22 |
35.70 |
35.70 |
|
f3 |
30.68 |
58.96 |
21.58 |
|
|
Pit size (40 cm x 40 cm x 40 cm) - p1 |
||
|
f0 |
19.26 |
55.80 |
57.60 |
|
f1 |
19.96 |
33.96 |
31.70 |
|
f2 |
22.22 |
58.40 |
51.98 |
|
f3 |
16.82 |
45.60 |
26.55 |
Let A denote the main-plot factor (pit size) and B, the subplot factor (fertiliser treatments). Carry out the analysis of variance as follows:
Step 1. Construct an outline of the analysis of variance for a split plot design as follows.
Table 4.26. Schematic representation of ANOVA of a split plot experiment.
|
Source of |
Degree of |
Sum of |
Mean square |
|
|
variation |
freedom (df) |
squares (SS) |
|
Computed F |
|
Replication |
r - 1 |
SSR |
MSR |
|
|
A |
a - 1 |
SSA |
MSA |
|
|
Error (a) |
(r - 1)(a - 1) |
SSEa |
MSEa |
|
|
B |
b - 1 |
SSB |
MSB |
|
|
AB |
(a - 1)(b - 1) |
SSAB |
MSAB |
|
|
Error (b) |
a(r - 1)(b - 1) |
SSEb |
MSEb |
|
|
Total |
rab - 1 |
SSTO |
Step 2. Construct two tables of totals as:
(i) The replication x factor A two-way table of totals, with the replication totals, Factor A totals and grand total : For our example, the replication x pit size table of totals ((RA)ki), with the replication totals (Rk), pit size totals (Ai) and the grand total (G) computed, is shown in Table 4.27.
Table 4.27. The replication x pit size table of height totals computed from data in Table 4.25.
|
Pit size |
Rep. I |
Rep. II |
Rep. III |
(Ai) |
|
p0 |
168.84 |
222.74 |
122.28 |
513.86 |
|
p1 |
78.26 |
193.76 |
167.83 |
439.85 |
|
Rep. total (Rk) |
247.10 |
416.50 |
290.10 |
|
|
Grand total (G) |
953.70 |
(ii) The factor A x factor B two-way table of totals, with factor B totals : For our example, the pit size x fertilizer treatment table of totals (AB), with the fertilizer treatment totals (Bj) computed, is shown in Table 4.28.
Table 4.28. The pit size x fertilizer treatment table of height totals computed from data in Table 4.25
|
Fertilizer treatment |
||||||
|
Pit size |
f0 |
f1 |
f2 |
f3 |
||
|
p0 |
123.73 |
141.29 |
137.62 |
111.22 |
||
|
p1 |
132.66 |
85.62 |
132.60 |
88.97 |
||
|
Total (Bj) |
256.39 |
226.91 |
270.22 |
200.19 |
||
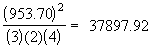
Step 3. Compute the correction factor and sums of squares for the main plot analysis as follows. Let yijk refer to the response observed ith main plot, jth subplot in the rth replication.
(4.37)
= ![]()
SSTO = 
(4.38)
= [(25.38)2 + (46.56)2 + … + (26.55)2] - 37897.92
= 6133.10
SSR =
(4.39)
= ![]()
= 1938.51
SSA =
(4.40)
=![]()
= 228.25
SSEa =
(4.41)
= ![]()
= 1161.70
Step 4. Compute the sums of squares for the subplot analysis as:
SSB =
(4.42)
= ![]()
= 488.03
SSAB =
(4.43)
=
- 37897.92 - 488.03 - 1161.70
= 388.31
SSEb = SSTO - SSR - SSA - SSB - SSAB-SSEa (4.44)
= 6133.10 - 1938.51 - 228.25 - 488.03 - 388.31
= 3090.00
Step 5. For each source of variation, compute the mean square by dividing the SS by its corresponding df. The F value for each effect that needs to be tested is to be computed by dividing each mean square by the corresponding error term as shown in Table 4.26.
Step 6. Enter all values obtained from Steps 3 to 5 in the ANOVA table as shown in Table 4.29; and compare each of the computed F values with its corresponding tabular F values and indicate its significance or otherwise by the appropriate asterisk notation. For each effect whose computed F value is not less than 1, obtain the corresponding tabular F value, from Appendix 3, with f1 = df of the numerator MS and f2 = df of the denominator MS, at the prescribed level of significance. For example, the tabular F value for testing the AB effect is 3.49 at 5% level of significance for 3 and 12 degrees of freedom.
Table 4.29. ANOVA of data in Table 4.20 from a split plot design
|
Source of |
Degree of |
Sum of |
Mean |
Computed |
Tabular F |
|
variation |
freedom |
squares |
square |
F |
5% |
|
Replication |
2 |
1938.51 |
969.26 |
||
|
A |
1 |
228.25 |
228.25 |
0.3930ns |
4.75 |
|
Error (a) |
2 |
1161.70 |
580.85 |
||
|
B |
3 |
488.03 |
162.68 |
0.6318ns |
3.49 |
|
AB |
3 |
388.31 |
129.44 |
0.5027ns |
3.49 |
|
Error (b) |
12 |
3090.00 |
257.50 |
||
|
Total |
23 |
37897.92 |
ns Nonsignificant at 5% level
Step 7. Compute the two coefficients of variation, one corresponding to the main plot analysis and another corresponding to the subplot analysis.
(4.45)
![]()
(4.46)
=
The value of cv(a) indicates the degree of precision attached to the main plot factor. The value of cv(b) indicates the precision of the subplot factor and its interaction with the main-plot factor. The value of cv(b) is expected to be smaller than that of cv(a) because, as indicated earlier, the factor assigned to the main plot is expected to be measured with less precision than that assigned to the subplot. In our example, the value of cv(b) is smaller than that of cv(a) but both of them were high enough to mask any possible treatment differences turning the all the factor effects in the ANOVA nosignificant.
4.6.3. Comparison of treatments
In a split plot design, there are four different types of pair comparisons. Each requires its own set of LSD values. These comparisons are:
Type-(1). Comparisons between two main plot treatment means averaged over all subplot treatments.
Type-(2). Comparison between two subplot treatment means averaged over all main plot treatments.
Type-(3). Comparison between two subplot treatment means at the same main plot treatment.
Type-(4). Comparison between two main plot treatment means at the same or different subplot treatments (i.e., means of any two treatment combinations).
Table 4.30 gives the formula for computing the appropriate standard error of the mean difference (
) for each of these types of pair comparison.
Table 4.30. Standard error of the mean difference for each of the four types of pair comparison in a split plot design.
|
Type of pair comparison |
|
|
|
Type-(1) : |
Between two main plot means (averaged over all subplot treatments) |
|
|
Type-(2) : |
Between two subplot means (averaged over all main plot treatments) |
|
|
Type-(3) : |
Between two subplot means at the same main plot treatment |
|
|
Type-(4) : |
Between two main plot means at the same or different subplot treatments |
|
Note : Ea = MSEa, Eb = MSEb, r = number of replications, a = number of main plot treatments, and b = number of subplot treatments.
When the computation of s_d involves more than one error term, such as in comparisons of Type-(4), the tabular t values from Appendix 2 cannot be used directly and weighted tabular t values are to be computed. The formula for weighted tabular t values in such a case is given below.
Weighted tabular t value =
(4.47)
where ta is the t value for Error (a) df and tb is the t value for Error (b) df.
As an example, consider the 2 x 4 factorial experiment whose data are shown in Table 4.25. Although the analysis of variance (Table 4.29) shows all the three effects (the two main effects and the interaction effect) as nonsignificant, for the purpose of illustration, consider the case where there is a significant interaction between pit size and fertiliser indicating the variation in fertilizer effect with the changing pit size. In such a case, comparison between the means of pit size levels pooled over all fertilizer levels or that between fertilizer levels averaged over all levels of pit size will not be valid. The more appropriate comparisons will be those between fertilizer means under the same pit size levels or between pit size means at same fertilizer level. Thus the steps involved in the computation of the LSD for comparing two subplot means at the same main plot treatment are:
Step 1.Compute the standard error of the difference between means following the formula for Type-(3) comparison of Table 4.30.
![]()
= ![]()
Step 2. Following the formula
compute the LSD value at 5% level of significance using the tabular t value with 12 degrees of freedom of Error(b).
![]()
Step 3.Construct the pit size x fertilizer two-way table of mean differences in height as shown in Table 4.31. Compare the observed differences in the mean height among the fertilzer levels at each pit size with the LSD value computed at Step 2 and identify significant differences if any.
Table 4.31. Difference between mean height of eucalyptus plants with four fertilizer levels at the pit size of 30 cm x 30 cm x 30 cm based on the data in Table 4.25.
|
Difference in mean height (cm) at p0 |
||||
|
f0 |
f1 |
f2 |
f3 |
|
|
f0 |
0.00 |
-5.86 |
-4.63 |
4.17 |
|
f1 |
0.00 |
1.23 |
10.03 |
|
|
f2 |
0.00 |
8.80 |
||
|
f3 |
0.00 |
|||
|
Difference in mean height (cm) at p1 |
||||
|
f0 |
f1 |
f2 |
f3 |
|
|
f0 |
0.00 |
15.68 |
0.02 |
14.56 |
|
f1 |
0.00 |
-15.66 |
-1.12 |
|
|
f2 |
0.00 |
14.54 |
||
|
f3 |
0.00 |
|||
Theoretically, the complete block designs, such as RCBD are applicable to experiments with any number of treatments. However, these complete block designs become inefficient as the number of treatments increases, because the blocks loose their homogeneity due to the large size. An alternative class of designs for single-factor experiments having a large number of treatments is the incomplete block designs. As the name implies, each block in an incomplete block design does not contain all treatments and so a reasonably small block size can be maintained even if the number of treatments is large. One consequence of having incomplete blocks in the design is that the comparison of treatments appearing together in a block will be made with greater precision than those not doing so. This difficulty can be circumvented by seeing that in the overall design, every pair of treatments appear together in some block or other equal number of times. Such designs are called balanced designs. Since it calls for large number of replications to achieve complete balance, one may go for partially balanced designs wherein different levels of precision for comparison are admitted for different groups of treatments. One commonly used class of incomplete block designs in forestry experiments is the class of lattice designs wherein the number of treatments is a perfect square and the blocks can be grouped into complete sets of replications. A special case of lattice designs is the simple lattice designs which is discussed in the following.
4.7.1. Simple lattice design
Simple lattice design is also called double lattice or square lattice design. As the number of treatments is to be a perfect square, the design may be constructed for number of treatments such as 9, 16, 25, 36, 49, 64, 81, 121 etc. This design needs two replications and is only a partially balanced design in the sense that the treatments form two groups and the degree of precision of treatment comparison differs between these two groups. The construction and layout of the design are exemplified for the case of 25 treatments.
Step 1. Assign numbers 1 to 25 to the treatments at random. This is necessary to avoid any kind of bias of unknown origin affecting treatment effects.
Step 2. Arrange the treatment numbers from 1 to 25 in the form of a square as given in Figure 4.12.
|
1 |
2 |
3 |
4 |
5 |
|
6 |
7 |
8 |
9 |
10 |
|
11 |
12 |
13 |
14 |
15 |
|
16 |
17 |
18 |
19 |
20 |
|
21 |
22 |
23 |
24 |
25 |
Figure 4.12. Initial arrangement of treatments in simple lattice design
Step 3. Group the treatments by rows. This results in the groupings (1, 2, 3, 4, 5), (6, 7, 8, 9, 10), (11, 12, 13, 14, 15), (16, 17, 18, 19, 20) and (21, 22, 23, 24, 25). Each block will now constitute a group of treatments for one block and five such blocks constitute one complete replication. This special way of row-wise grouping is generally known as X-grouping or A-grouping.
Step 4. Again group the treatments by columns. This results in the groupings (1, 6, 11, 16, 21), (2, 7, 12, 17, 22), (3, 8, 13, 18, 23), (4, 9, 14, 19, 24) and (5, 10, 15, 20, 25). Each group will now constitute a group of treatments for one block and five such blocks will constitute one complete replication. This special way of column-wise grouping is generally known as Y-grouping or B-grouping.
The X-grouping and Y-grouping ensure that treatments that have occurred together in the same block once do not appear together in the same block again. The above two sets of groupings will appear as in Figure 4.13 before randomization is done.
Replication I ( X- grouping )
|
Block No. 1 |
1 |
2 |
3 |
4 |
5 |
|
Block No. 2 |
6 |
7 |
8 |
9 |
10 |
|
Block No. 3 |
11 |
12 |
13 |
14 |
15 |
|
Block No. 4 |
16 |
17 |
18 |
19 |
20 |
|
Block No. 5 |
21 |
22 |
23 |
24 |
25 |
Replication II ( Y-grouping)
|
Block No.6 |
1 |
6 |
11 |
16 |
21 |
|
Block No.7 |
2 |
7 |
12 |
17 |
22 |
|
Block No.8 |
3 |
8 |
13 |
18 |
23 |
|
Block No.9 |
4 |
9 |
14 |
19 |
24 |
|
Block No.10 |
5 |
10 |
15 |
20 |
25 |
Figure 4.13. Two replications of a simple lattice design before randomizaion
Step 5.Within each replication, the treatment groups are allocated at random to the different blocks. This randomization is to be done separately for each replication. The allocation of treatments to plots within each block should also be randomized. The randomization should be done separately for each group independently for each replication. Finally while laying down the replications in the field, the X and Y replications should themselves be randomized over the field locations. This procedure of treatment and replication allocations ensures elimination of any kind of unknown systematic variations affecting the treatment effects. As a result of complete randomization the actual layout plan might appear as shown in Figure 4.14.
|
Block No. 5 |
25 |
24 |
21 |
23 |
22 |
|
Block No. 4 |
20 |
19 |
18 |
17 |
16 |
|
Block No. 1 |
5 |
4 |
1 |
3 |
2 |
|
Block No. 3 |
13 |
14 |
15 |
12 |
11 |
|
Block No. 2 |
6 |
9 |
7 |
10 |
8 |
|
Block No. 6 |
16 |
6 |
1 |
21 |
11 |
|
Block No. 9 |
19 |
4 |
9 |
14 |
24 |
|
Block No. 7 |
7 |
2 |
17 |
22 |
12 |
|
Block No. 10 |
5 |
20 |
25 |
10 |
15 |
|
Block No. 8 |
23 |
3 |
8 |
18 |
13 |
Figure 4.14. Randomized layout plan of simple lattice design.
If the blocks within each replication are contiguous, under certain conditions, this will allow the analysis of the whole experiment as a RCBD. It was mentioned already that simple lattice design requires a minimu m of two replications, one with X-grouping and other with Y-grouping of the treatments. If more than two replications are desired for this design, then it should be in multiples of two only, as both groups (X and Y) will have to be repeated equal number of times. The procedures of treatment allocations remain the same as above.