First draft prepared by
Philip G. Francis
Russet House, Shere Road
West Horsley, Surrey, Englandand
Dr. Robert J. Wells
Australian Government Analytical Laboratories
Pymble, Australia
IDENTITY
Chemical names: 9-Fluoro-6,7-dihydro-5-methyl-1-oxo-1H,5H-benzo[ij]-quinolizine-2-carboxylic acid.
Synonyms: R-802, Apurone.
Structural formula:
Molecular formula: C14H12NFO3
Molecular weight: 261.26
OTHER INFORMATION ON IDENTITY AND PROPERTIES
Pure active ingredient: Flumequine
Appearance: White microcrystalline powder
Melting point: 253-255°C
Solubility: Soluble in aqueous alkaline solutions and alcohol, insoluble in water
Optical rotation: Produced and used as a racemic mixture
RESIDUES IN FOOD AND THEIR EVALUATION
CONDITIONS OF USE
Flumequine is a first generation drug of the fluoroquinolone group of antibiotics. It is used primarily for the treatment of enteric infections in domestic species. Flumequine also has a limited use in man for the treatment of urinary tract infections.
PHARMACOKINETICS AND METABOLISM
Pharmacokinetics
Four calves were administered [14C]-flumequine intramuscularly. An initial injection of 12 mg/kg was followed by 9 further 12-hourly injections of 6 mg/kg. Urine, faeces and blood were collected during the treatment and after the final administration. Animals were sacrificed at 6, 24, 72 and 168 hours after the last treatment. The plasma level after the first administration rose steadily to reach a plateau at 2 hours post dosing (5.2-7.4 mg equiv/L) and then fell to 1.3-2.6 mg equiv/L immediately prior to the next injection. Steady state conditions, in which a consistent profile was achieved, was attained rapidly and unchanged by the 9th dose. After withdrawal of medication, the plasma radioactivity decreased slowly to about 0.2 mg equiv/L on the 7th day. Whole blood levels were akin to but lower than those in plasma. Between 48-63% of administered radioactivity was eliminated in the urine (47-61% in the first 24 hours) while faecal elimination accounted for a further 21-41%. Total recovery of radioactivity amounted to 85-96% at 168 h post dosing (Allan et al., 1995).
In a second experiment, all the parameters of the first experiment were kept the same with the exception that the administration of [14C]-drug was by the oral route. The plasma radioactivity profile parallelled that of i.m. experiment but values were lower. The plasma level after the first administration reached a plateau at 0.5 hours post dosing (2.5-5.8 mg equiv/L) and then fell to 0.8-1.5 mg equiv/L immediately prior to the next dose. Steady state conditions were attained rapidly and remained unchanged by the 9th dose. Whole blood levels were akin to but lower than those in plasma. Between 52-73% of administered radioactivity was eliminated in the urine (49-70% in the first 24 hours) while faecal elimination accounted for a further 21-36%. Total recovery of radioactivity amounted to 52-73% at 168 h post dosing (Allan et al., 1995).
Residues in plasma and various tissues were measured after the last administration for both i.m. and oral routes. Results of these studies are shown in Figures 1 and 2 in which the LOQs were 0.05 mg equiv/kg for liver, kidney and muscle, 0.14 mg equiv/kg for fat and 0.01 mg equiv/kg for plasma.
It can be concluded that flumequine is both rapidly absorbed after oral and intramuscular administration and most was rapidly eliminated within 168 h post-dosing.
Metabolism
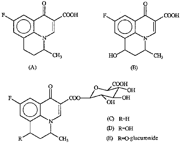
After enzymic hydrolysis, the two major substances isolated from kidney, muscle, fat, urine and faeces were either flumequine (A) or 7-hyroxyflumequine (B), suggesting that the major metabolite in all of these analytical matrices were the glucuronides of flumequine (C) or 7-hyroxyflumequine (D). The distribution and amount of identified metabolites of flumequine after enzymic hydrolysis in all matrices studied is shown in Table 1 (Allan et al., 1995).
Table 1. Metabolite Distribution in Various Tissues and Fluids Following 10 Doses of [14C]-Labelled Flumequine to Ruminant Calves, Initial Dose of 12 mg/kg BW Followed by Nine 12-Hourly Doses of 6 mg/kg BW
|
Analytical matrix |
Extraction efficiency for radioactivity |
% Radiolabelled (A) extracted |
% Radiolabelled (B) extracted |
|
Urine |
|
81-86# |
12-17# |
|
Faeces |
79-84%* |
72-82 |
16-27 |
|
Kidney |
86-98% |
50-68 |
28-37 |
|
Muscle |
99% |
98 |
|
|
Fat |
87-97% |
51-77 |
22-47 |
|
Liver |
54-63%* |
26-40· |
59-60· |
# measured after enzyme deconjugation;
* at 6 h after last administration;
· more polar metabolite(s) also formed
Specific Studies of the Metabolism of Flumequine in Calf Liver
In initial metabolism experiments discussed above, the efficiency of extraction of radioactivity from liver was low. It also decreased with time from about 60% at 6 h after withdrawal of drug to only 38% at 168 h post dosing. Extraction efficiency was markedly improved (>90%) after protease digestion but the resulting radiolabelled profile was not resolvable and the exact nature of the major metabolite at later time points could not be determined. A series of experiments were carried out to resolve this problem.
Metabolites were isolated from calf liver at different times after the last drug administration by extraction with both ethyl acetate and methanol. The efficiency of recovery of radioactivity was not significantly affected by enzymic deconjugation for early time points (6 and 24 h) but an increasing fraction of radioactivity was recovered in the ethyl acetate layer after deconjugation with Helix pomatia as time increased. About 20% of the isolated metabolite radioactivity could be ascribed to conjugated metabolites (Mas-Chamberlin et al., 1995).
Acceptable recoveries of the residual radioactivity remaining in tissue after solvent extraction were achieved using pronase digestion prior to repetition of the extraction process.
Radioprofiling of peaks obtained from HPLC identified, in addition to (A) and (B), 13 other metabolites (m1-m13). However, only (A), (B) and metabolite ml contributed significantly to total extractable radioactivity and ml was the major metabolite in liver associated with radioactivity at times of 24 h and after. Table 2 and 3 show results of metabolite distribution before and after pronase digestion, respectively.
Table 2. Time Dependence of the Three Major Metabolites of Flumequine in Calf Liver after Organic Extraction Following Deconjugation with H. pomatia
|
Time post dosing (h) |
Mean total radioactivity (mg equiv/kg) |
Mean total radioactivity analysed (%) (no protein digestion) |
Metabolite (%) |
||
|
m1 |
(A) |
(B) |
|||
|
6 |
7.73 |
65.5 |
9-15 |
42-58 |
9-13 |
|
24 |
5.41 |
51.0 |
25-41 |
10-34 |
2-12 |
|
72 |
4.19 |
48.2 |
26-43 |
ND |
6-9 |
|
120 |
3.98 |
41.1 |
52-57 |
ND |
ND |
|
168 |
3.00 |
48.5 |
35-63 |
ND |
0-22 |
ND = not detected
Table 3. Time Dependence of the Three Major Metabolites of Flumequine in Calf Liver after Organic Extraction Following Proteolysis and Deconjugation with H. pomatia
|
Time post dosing (h) |
Mean total radioactivity (mg equiv/kg) |
Mean total radioactivity analysed (%) (with protein digestion) |
Metabolite (%) |
||
|
m1 |
(A) |
(B) |
|||
|
6 |
7.73 |
14.8 |
53-100 |
ND |
ND |
|
24 |
5.41 |
19.4 |
45-72 |
ND |
ND |
|
72 |
4.19 |
21.0 |
46-53 |
ND |
ND |
|
120 |
3.98 |
21.5 |
47-65 |
ND |
ND |
|
168 |
3.00 |
20.1 |
47-100 |
ND |
ND |
ND = not detected
The concentration of flumequine decreased rapidly and was not observable after 24 h. 7-Hydoxyflumequine decreased somewhat more slowly until 72 h. Metabolite ml became dominant after 24 h in both non-digested and protein-digested samples. The chemical structure of this metabolite has not been determined and the suggestion that it could be an enzyme (H. pomatia) resistant glucuronide or sulfate has not been discounted.
TISSUE RESIDUE DEPLETION STUDIES
Cattle
Flumequine was administered twice daily by i.m. injection to 20 calves, 18 weeks old and weighing 192±5 kg, for 5 days (first dose of 12 mg/kg bw followed by doses of 6 mg/kg bw). Blood samples were collected before sacrifice and groups of 4 animals were sacrificed at 24, 36, 48, 72 and 96 h after the last dose. Concentrations of flumequine, measured in kidney, liver, muscle and fat are shown in Table 4 (Caizerques et al., 1995a).
It was concluded that flumequine was rapidly absorbed with highest residue concentrations occurring in kidney. Flumequine could be successfully monitored for 3 days following withdrawal of medication.
Table 4. Flumequine Concentration Ranges in Tissues and Fat of Calves (4 Animals at Each Time Point) after an Initial Injection of 12 mg/kg BW (i.m.) Followed by 12-Hourly Injections of 6 mg/kg BW for 5 Consecutive Days
|
Sacrifice time after last administration (h) |
Tissue concentrations (mg/kg) |
|||
|
Kidney |
Liver |
Muscle |
Fat |
|
|
24 |
1.53-0.68 |
0.34-0.14 |
0.80-0.05 |
0.28-0.12 |
|
36 |
0.70-0.28 |
0.16-0.06 |
0.07-0.05 |
< LOQ |
|
48 |
0.59-0.21 |
0.08-0.06 |
0.07-0.04 |
0.11-0.05 |
|
72 |
0.44-0.16 |
0.08-< LOD |
0.04-0.03 |
< LOQ |
|
96 |
0.12-0.06 |
< LOQ-LOD |
0.06-0.04 |
< LOQ-LOD |
LOQ = 0.05 mg/kg in liver, fat and kidney, 0.025 mg/kg in muscle;
LOD = 0.018 mg/kg.
Flumequine was orally administered twice daily to 16 calves, 8-12 weeks old and weighing 92 kg, for 5 days (first dose of 12 mg/kg bw, followed by doses of 6 mg/kg bw). Blood samples were collected before sacrifice and groups of 4 animals were sacrificed at 24, 36, 48 and 72 after the last dose. Concentrations of flumequine, measured in kidney, liver, muscle and fat are shown in Table 5 (Caizerques et al., 1995b).
It was concluded that flumequine was rapidly absorbed with highest residue concentrations occurring in kidney. Flumequine could be successfully monitored for 3 days following withdrawal of medication.
Table 5. Flumequine Concentration Ranges in Tissues and Fat of Calves (4 Animals at Each Time Point) after Oral Dosing with an Initial Administration of 12 mg/kg BW Followed by 12-Hourly Doses of 6 mg/kg BW for 5 Consecutive Days
|
Sacrifice time after last administration (h) |
Tissue concentrations (mg/kg) |
|||
|
Kidney |
Liver |
Muscle |
Fat |
|
|
24 |
2.77-0.82 |
1.47-0.70 |
0.43-0.18 |
1.04-0.15 |
|
36 |
1.06-0.29 |
0.64-0.24 |
0.18-0.06 |
0.15-0.11 |
|
48 |
0.95-0.23 |
0.53-0.17 |
0.16-0.09 |
0.48-0.24 |
|
72 |
0.33-0.13 |
0.29-0.07 |
0.17-0.06 |
0.15-0.08 |
LOQ = 0.05 mg/kg in liver, fat and kidney, 0.025 mg/kg in muscle;
LOD = 0.018 mg/kg.
Flumequine was orally administered twice daily to 24 pigs, 4 months old and weighing 52 kg, for 5 days (first dose of 15 mg/kg bw followed by nine doses of 7.5 mg/kg bw at 12-h intervals). Groups of 4 animals were sacrificed at 12, 24, 36, 48, 72 and 96 h after the last administration. Concentrations of flumequine, measured in kidney, liver, muscle and fat are shown in Table 6 (Guyonnet, J., 1995a).
It was concluded that flumequine was rapidly absorbed with highest residue concentrations occurring in kidney. Flumequine could be successfully monitored for 3 days following withdrawal of medication.
Table 6. Flumequine Concentration Ranges in Tissues and Fat of Pigs (4 Animals at Each Time Point) after Oral Dosing with an Initial Administration of 15 mg/kg BW Followed by 12-Hourly Administration of 7.5 mg/kg BW for 5 Consecutive Days
|
Sacrifice time after last administration (h) |
Tissue concentrations (mg/kg) |
|||
|
Kidney |
Liver |
Muscle |
Fat |
|
|
12 |
2.62-1.33 |
0.50-0.30 |
0.27-0.13 |
0.27-0.14 |
|
24 |
0.74-0.23 |
0.19-0.07 |
0.07-<LOQ |
0.06.-<LOQ |
|
36 |
0.70-0.08 |
0.18-<LOQ |
0.07-<LOD |
0.07-<LOQ |
|
48 |
0.82-0.06 |
0.30-<LOQ |
0.10-<LOD |
0.07-<LOQ |
|
72 |
0.26-0.07 |
0.08-<LOQ |
<LOQ-<LOD |
<LOQ-<LOD |
|
96 |
0.42-0.07 |
0.08-<LOQ |
<LOQ-<LOD |
<LOQ-<LOD |
LOQ = 0.05 mg/kg for all tissues;
LOD 0.024 mg/kg for muscle, 0.010 mg/kg for liver, 0.015 mg/kg for kidney, and 0.021 mg/kg for fat.
Chickens
Flumequine was continuously administered in drinking water once daily to 36 broilers for 5 days at doses of 12 mg/kg bw. Groups of 6 animals were sacrificed at 6, 24, 36, 48, 72 and 96 h after the last administration. Concentrations of flumequine, measured in kidney, liver, muscle and fat, measured by a validated HPLC method, are shown in Table 7. It was concluded that flumequine was rapidly absorbed with highest residue concentrations occurring in kidney. Flumequine could be successfully monitored for 3 days following withdrawal of medication (Guyonnet, J., 1995b).
Table 7. Flumequine Concentration Ranges in Tissues and Fat of Broiler Chickens (6 Birds at Each Time Point) Following Repeated Oral Administration of 12 mg/kg BW Flumequine per Day for 5 Consecutive Days
|
Sacrifice time after last administration (h) |
Tissue concentrations (mg/kg) |
|||
|
Kidney |
Liver |
Muscle |
Skin/fat |
|
|
6 |
3.55-1.84 |
3.00-1.94 |
1.81-1.23 |
1.10-0.48 |
|
24 |
2.91-1.60 |
2.63-1.64 |
1.68-1.15 |
0.98-0.39 |
|
36 |
0.33-0.12 |
0.22-0.12 |
0.19-0.11 |
0.12-<LOQ |
|
48 |
0.16-<LOD |
0.19-<LOQ |
0.17-0.04 |
0.12-<LOQ |
|
72 |
<LOQ-<LOD |
<LOQ-<LOD |
0.05-0.02 |
<LOQ |
|
96 |
<LOD |
<LOD |
<LOQ-<LOD |
<LOQ-<LOD |
LOQ =0.1 mg/kg in liver and kidney, 0.05 mg/kg in skin/fat and 0.025 mg/kg in muscle;
LOD = 0.010 mg/kg for muscle, 0.030 mg/kg for liver and kidney, and 0.015 mg/kg for fat.
Sheep
Flumequine was administered twice daily by i.m. injection to 20 sheep, with a first dose of 12 mg/kg bw, followed by nine 12-hourly doses of 6 mg/kg bw for 5 consecutive days. Groups of 4 animals were sacrificed at 18, 30, 48, 60 and 78 h after the last dosing. Concentrations of flumequine, measured in kidney, liver, muscle and fat are shown in Table 8. Conclusions were as for previous species (Sanders et al., 1995).
Table 8. Flumequine Concentration Ranges in Tissues and Fat of Sheep (4 Animals at Each Time Point) after an Initial Injection of 12 mg/kg BW (i.m.) Followed by 12-Hourly Injections of 6 mg/kg BW for 5 Consecutive Days
|
Sacrifice time after last administration (h) |
Tissue concentrations (m g/kg) |
|||
|
Kidney |
Liver |
Muscle |
Fat |
|
|
18 |
4204.0-186.7 |
1255.3-168.7 |
491.6-54.9 |
167.7-45.9 |
|
30 |
879.8-56.7 |
145.2-17.6 |
87.6-17.2 |
364.9-17.2 |
|
48 |
338.7-145.9 |
76.6-36.5 |
40.7-24.5 |
181.7-28.2 |
|
60 |
185.8-30.7 |
64.0-17.7 |
19.7-<LOQ |
116.6-11.4 |
|
78 |
62.5-24.7 |
19.3-<LOQ |
12.4-<LOQ |
171.9-7.7 |
LOQ = 5 m g/kg in muscle, liver, fat and kidney
Fish
Flumequine was administered as an oral premix on 5 consecutive days to 2 groups of 200 trout at 7.4°C or 16.4°C, respectively, at a rate of 12 mg/kg bw/day divided in two administrations at intervals of 12 hours. Concentrations of flumequine and 7-hyroxyflumequine, measured in muscle/skin in natural proportions by a validated HPLC method, are shown in Table 9. Expert conclusions noted that the absence of 7-hyroxyflumequine in any sample supported the in vivo study which demonstrated the absence of metabolism of flumequine by fish microsomes. This observation is clearly based on the assumption that flumequine is metabolised in fish and all mammals in the same manner. There were no residues of flumequine 14 days after withdrawal of medication at both study temperatures (Caizergues et al., 1995c).
Table 9. Flumequine Concentration Ranges in Skin/Muscle of Trout (10 Fish at Each Time Point) after Oral Administration of 12 mg/kg BW/day in 2 Administrations 12 Hours Apart for 5 Consecutive Days in 2 groups Maintained at 7.4°C and 16.4°C, Respectively
|
Sacrifice time after last |
Tissue concentrations (mg/kg) |
|
|
Temperature 7.4°C |
Temperature 16.4°C |
|
|
1 |
8.58-2.71 |
3.65-0.58 |
|
2 |
3.92-0.63 |
0.68-0.08 |
|
4 |
1.49-0.08 |
0.08-<LOQ |
|
7 |
0.13-0.06 |
<LOD |
|
14 |
<LOD |
<LOD |
|
21 |
<LOD |
NA |
LOQ = 0.05 mg/kg;
LOD = 0.018 mg/kg; NA = Not Assayed
METHODS OF ANALYSIS FOR RESIDUES IN TISSUES
A routine high performance liquid chromatographic method for flumequine and its metabolite 7-hydroxyflumequine using fluorescence detection was used to obtain data presented in the residue depletion studies above. Chromatography was performed after clean up by liquid-liquid extraction. The performance of the method in terms of linearity, accuracy, repeatability, quantification and lower limits of detection was carried out in house. The specificity of the method was not checked against some other quinolone antibiotics, except in sheep (Sanders and Delmas, 1995a). No formal interlaboratory studies have been performed to test reproducibility. This method is probably suitable for regulatory purposes if properly validated. Some methods, previously reviewed for oxolinic acid (Wells, 1995), have also been applied to flumequine.
APPRAISAL
Flumequine is well absorbed when administered orally or parenterally and is excreted in the urine and faeces as the glucuronide conjugates of the parent drug and 7-hydroxyflumequine. In a study with 14C-flumequine in calves, 86-99% of the radioactivity in kidney, muscle and fat was extractable and the only metabolites found were flumequine and 7-hydroxyflumequine. Flumequine comprised 50-98% of the total residues exception calf liver. Calf liver contained additional unidentified residues of which a new metabolite, ml, represented the major single metabolite 24 hours after the last dose and at all subsequent time points. At 24 hours flumequine comprised approximately 25% of total residues in calf liver. The metabolite ml, which exhibited no antimicrobial activity, was present in both free and protein bound fractions. Bound residues accounted for about 20% of total radioactivity at all time points after 24 hours. The major residue found in the edible tissues of sheep, pigs and chickens was parent drug together with minor amounts of the 7-hydroxy-metabolite. The only detected residue in trout was the parent drug.
Flumequine was administered orally to 16 calves. The initial dose of 12 mg/kg bw was followed by 9 doses of 6 mg/kg bw at 12-hour intervals. Four animals were sacrificed at each time points of 24, 36, 48 and 72 hours after the last treatment. Highest levels of flumequine were found in kidney, 0.82-2.77 mg/kg at 24 hours after the last treatment, declining to 0.13-0.33 mg/kg at 72 hours. Flumequine levels in liver declined from 0.7-1.47 mg/kg at 24 hours to 0.07-0.29 mg/kg at 72 hours after the final dose. Levels in muscle declined from 0.18-0.43 mg/kg at 24 hours to 0.06-0.17 mg/kg at 72 hours while fat levels declined from 0.15-1.04 mg/kg at 24 hours to 0.08-0.15 mg/kg at 72 hours.
In parallel studies with non-radioactive drug, calves, sheep and pigs were administered flumequine orally over five consecutive days. Calves and sheep were dosed initially with 12 mg/kg bw followed by nine doses of 6 mg/kg bw treatments at 12-hour intervals. Pigs received an initial dose of 15 mg/kg bw followed by nine doses of 7.5 mg/kg bw at intervals of 12 hours. Flumequine residues were monitored in tissues over time after the final dose with four animals being sacrificed at each time point. Table 10 shows the maximum flumequine residues found in each tissue at each time point for all three animal species. Residue values are corrected for recovery.
Flumequine was administered ad libitum in drinking water to 36 broilers for 5 days at a rate of 12 mg/kg bw/day. Groups of 6 animals were sacrificed at 6, 24, 36, 48, 72 and 96 hours after the last administration. After 6 hours, maximum flumequine residues in kidney, liver, muscle and fat/skin were 3.55, 3.00, 1.81 and 1.10 mg/kg, respectively. By 48 hours after withdrawal of medication, maximum values in these tissues had fallen to 0.16, 0.19, 0.17 and 0.12 mg/kg, respectively, and at 96 hours flumequine could not be detected in liver and kidney. In muscle and skin/fat the levels of flumequine were below the LOQ (0.025 mg/kg for muscle and 0.05 mg/kg for skin/fat) or were below the LOD (0.01 mg/kg for muscle and 0.015 mg/kg for skin/fat).
Flumequine was administered as an oral premix on 5 consecutive days to 2 groups of 200 trout maintained at about 7°C and 16°C, respectively, at a rate of 12 mg/kg bw/day divided in two administrations at intervals of 12 hours. Concentrations of flumequine were measured in muscle/skin, in natural proportions. One day after the last drug treatment, the maximum residue concentrations of flumequine found in the muscle/skin of the low temperature group were 8.58 mg/kg, declining to 1.49 mg/kg on the 4th day following drug withdrawal. Maximum residue levels in the high temperature group at the same times following withdrawal of drug were 3.65 and 0.08 mg/kg, respectively. There were no residues of flumequine 14 days after withdrawal of medication at both study temperatures.
Table 10. Maximum Flumequine Residue Concentrations in the Tissues of Cattle and Sheep Given a Single Dose of 12 mg per kg Body Weight Orally (Cattle) and Intramuscularly (Sheep), Followed by 9 Doses of 6 mg per kg Body weight at Intervals of 12 Hours, and in Tissues of Pigs Given a Single Dose of 15 mg per kg of Body Weight Orally, Followed by 9 Doses of 7.5 mg per kg of Body Weight at Intervals of 12 Hours
|
Withdrawal time |
Residue concentrations (mg/kg) | ||||
|
(h) |
Muscle |
Liver |
Kidney |
Fat | |
|
Cattle | |||||
|
|
24 |
0.43 |
1.47 |
2.77 |
1.04 |
|
|
36 |
0.18 |
0.64 |
1.06 |
0.15 |
|
|
48 |
0.16 |
0.53 |
0.95 |
0.48 |
|
|
72 |
0.17 |
0.29 |
0.33 |
0.15 |
|
Sheep | |||||
|
|
18 |
0.49 |
1.26 |
4.20 |
0.17 |
|
|
30 |
0.09 |
0.15 |
0.88 |
0.36 |
|
|
48 |
0.04 |
0.08 |
0.34 |
0.18 |
|
|
60 |
0.02 |
0.06 |
0.19 |
0.12 |
|
|
78 |
0.01 |
0.02 |
0.06 |
0.17 |
|
Pigs | |||||
|
|
12 |
0.27 |
0.50 |
2.62 |
0.27 |
|
|
24 |
0.07 |
0.19 |
0.74 |
0.06 |
|
|
36 |
0.07 |
0.18 |
0.70 |
0.07 |
|
|
48 |
0.10 |
0.30 |
0.82 |
0.07 |
|
|
72 |
<0.05 |
0.08 |
0.26 |
<0.05 |
|
|
96 |
<0.05 |
0.08 |
0.42 |
<0.05 |
A high performance liquid chromatographic method for flumequine and its metabolite, 7-hydroxyflumequine, using fluorescence detection was used to obtain data presented in the residue depletion studies above. Chromatography was performed after clean up by liquid-liquid extraction. The method, which was used only in the sponsor's laboratory, was acceptable in terms of linearity, accuracy, repeatability, quantification and lower limits of detection. The specificity of the method as used in sheep tissues was checked against a wide range of related quinolone antimicrobials which were found to interfere with the 7-hydroxyflumequine analysis, but not with flumequine determination. Limits of quantification were 0.1 mg/kg in chicken liver and kidney, 0.05 mg/kg for the liver, kidney and fat of calves, skin/fat of chicken, all pig tissues, and skin/muscle of trout, 0.025 mg/kg in calf and chicken muscle and 0.005 mg/kg in all sheep tissues.
Maximum Residue Limits
In calculating MRL values for flumequine, the following factors were considered:
· An ADI of 0-30 m g/kg, based on a toxicological end-point, was established by JECFA. This will yield a daily intake of 0-1800 m g/kg for a 60-kg person.· The parent drug was selected as the marker residue.
· Muscle and kidney were proposed as target tissues. For practical reasons, however, liver is the proposed target tissue for chickens in place of kidney.
· Based on data in calves only, non-extractable residues were 20 percent of the total residues.
· In calf muscle, kidney and fat, parent drug was approximately 80% of the extractable residues.
· The 7-hydroxyflumequine and unknown metabolite, ml, comprised 80% of the radioactivity in calf liver after 168 hours.
· There were no data provided on the amount of parent drug as a percentage of total residues in sheep, chickens, pigs or trout.
· In cattle muscle, kidney and fat, the parent drug consisted of 50 percent of the total residues. For liver tissue, parent drug consisted of approximately 25 percent of the total residues.
· No data were provided for milk or eggs.
The Committee recommended MRLs for flumequine of 500 m g/kg for cattle muscle, 1000 m g/kg for liver, 3000 m g/kg for kidney and 1000 m g/kg for fat, expressed as parent drug.
In the absence of data on the contribution of parent drug to total residues in sheep, chickens, pigs and trouts, the Committee recommended temporary MRLs of 500 m g/kg for muscle (for trouts including normal proportions of skin), expressed as parent drug. For the same reason temporary MRLs of 1000 m g/kg for liver, 3000 m g/kg for kidney and 1000 m g/kg for fat, expressed as parent drug, were recommended for sheep, chickens and pigs. No MRLs were recommended for milk and eggs.
From these values for the MRLs the calculated theoretical maximum daily intake of flumequine residues would be 1100 m g per day (Table 11).
Table 11. Theoretical Maximum Daily Intake (TMDI) of Flumequine Residues
|
Tissue |
MRL (m g/kg) |
Tissue Intake (g/day) |
TR/UD |
TMDI (m g) |
|
Muscle |
500 |
300 |
2 |
300 |
|
Liver |
1000 |
100 |
4 |
400 |
|
Kidney |
3000 |
50 |
2 |
300 |
|
Fat |
1000 |
50 |
2 |
100 |
|
Total |
|
|
|
1100 |
TR = Total residues; UD = Unchanged drug (flumequine)
The Committee requested the following information for evaluation in 2000:
· Studies with radiolabelled flumequine in pigs, sheep, chickens, and trout for estimation of the ratio of parent drug to total residues.
REFERENCES
Allan, S.J., Gifford, L.J., Dunsire, J.P., and Williams, S.G.P. (1995). The absorption, distribution, metabolism and extraction of [14C]-flumequine in ruminant calves, Inveresk Research International. Report No. 10629.
Mas-Chamberlin, C., Caizergues, Ph., Blanchet, M., Villard, N., and Bru, G. (1995). 14C-Flumequine and related metabolites in calf liver samples. Biotec Centre Study Code: SSN 95 024.
Caizergues, Ph., and Guyonnet, J. (1995a). Flumequine residue depletion study after repeated intramuscular doses in ruminant calves. Sanofi Santé Nutrition Animale, Ref., SSNA/MPK/9508.
Caizergues, Ph., and Guyonnet, J. (1995b). Flumequine residue depletion study after repeated oral doses in non-ruminant calves. Sanofi Santé Nutrition Animale, Ref., SSNA/MPK/9506.
Guyonnet, J. (1995a). Flumequine residue depletion study after repeated oral doses in pigs. Sanofi Santé Nutrition Animale, Ref., SSNA/MPK/9430.
Guyonnet, J. (1995b). Flumequine residue depletion study after repeated oral doses in broilers. Sanofi Santé Nutrition Animale, Ref., SSNA/MPK/9339.
Sanders, P. and Delmas, J.M. (1995). Depletion tissulaire de la flumequine après administrations intramusculaires de FlumiquilR suspension injectable 3% chez les ovins. CNEVA Fougères, Unité de Pharmacocinétique. Référence du rapport: Rc 95004.
Sanders, P. and Delmas, J.M. (1995a). Méthode de dosage de la flumequine et de la 7-hydroxyfluméquine dans le muscle, le foie, le rein et la grasse de mouton par Chromatographie Liquide Haute Performance. CNEVA Fougères, Unité de Pharmacocinétique. Référence: Ra 95-003.
Wells, R.J. (1995). Oxolinic acid monograph. FAO Food and Nutrition Paper 41/7, Rome 1995.