par/by
J. QUENSIÈRE
Hydrobiologiste, N'Djamena B.P. 65 (Tchad)
Cah. O.R.S.T.O.M., sér. Hydrobiol., vol. X, no 1, 1976: 3–18.
Résumé
Des enquêles mensuelles auprès des pêcheurs ont permis de suivre l'évolution de la pêche dans un bief du Chari entre septembre 1972 et décembre 1973. Les différents paramètres qui la caractérisent (prise par unité d'effort, effort total de pêche par engin, production totale) ont été estimés.
Les filets maillants dérivants, pratiquement les seuls engins utilisés durant cette période, présentent des prises par unité d'effort faibles dès le début des observations et qui atteignent des valeurs de l'ordre de 0,26 kg/h/100 m2 à l'étiage du fleuve.
Cette diminution d'abondance des captures est rapprochée des phénomènes hydrologiques provoqués par la sécheresse qui sévit sur le Sahel à la même époque. L'influence de ces phénomènes sur l'ichtyofaune est mise en évidence aux différentes étapes des cycles biologiques.
Parallèlement à cette baisse de rendement, on observe dans un premier temps une concentration des pêcheurs dans la partie aval de la zone d'étude puis une émigration progressive de ceux-ci vers des zones réputées plus riches. En avril 1973, toute activité de pêche professionnelle est suspendue sur la quasi-totalité du delta.
Une influence de la sécheresse sur la structure du peuplement existe également. Elle est mise en évidence par une analyse des captures mensuelles spécifiques, à l'aide de la méthode d'analyse factorielle des correspondances. Le peuplement à A. baremoze et A. dentex dominant est remplacé par un peuplement instable, principalement composé de Mochocidae, et de diversité plus grande.
Abstract
Monthly inquiries among fishermen allowed us to study fishing changes within Chari Delta from september (1972) till december (1973). Estimates for the main parameters (unit effort catch, total fishing effort, total catch) are given.
By far the main technique used was gillneting with driftnets. Unit effort catches were not very high at the beginning of the period and reach only 0,26/kg/h/100 m2 during low waters. Such a fall in catch is in connection with hydrological changes as it took place in Sahel at drought time. Drought influence on fish populations is shown at the mains stages within biological cycles. In connection with catch fall fishermen moves are noticed they first concentrate downstream and then left progressively for better fishing grounds (northern part of the Lake). By april 1973 there was no more professional fishing within Chari delta.
Drought influence on fish populations structures is studied by means of multivariate analysis (“Correspondances”). Alestes baremoze and Alestes dentex used to be the most important species from 1966 to 1971, they were then replaced by more unsteady fish populations-mostly Mochocidae-having a higher diversity.
* Reproduit avec l'autorisation de l'ORSTOM (Paris)

Fig. 1. — Carte de situation. Le tireté correspond à l'extension du Lac Tchad en novembre 1973.
En 1971 à la demande de la C.B.L.T., I'O.R.S.T.O.M. a inclus dans ses programmes une série d'études sur les pêcheries du bassin Tchadien.
Deux travaux publiés par Loubens et Franc en 1972 et Loubens en 1973 à la suite de périodes d'observations et d'échantillonnages respectivement de 8 et 12 mois font le point sur l'état d'avancement des recherches méthodologiques tant pour l'échantillonnage que pour l'exploitation des données. La présente étude fait suite aux deux précédentes en mettant surtout l'accent sur l'évolution des pêcheries pendant la période septembre 1972 - décembre 1973.
Durant cette période, de profondes transformations ont affecté le réseau hydrographique Tchadien. Les deux crues fortement déficitaires de 1972–1973 et de 1973–1974 ont provoqué une diminution brutale de la surface du lac Tchad dans le courant de 1972 et sa fragmentation dès les premiers mois de 1973 en plusieurs collections d'eau isolées les unes des autres par des zones exondées. Pendant cette période le Logone n'a pas eu de déversements dans les plaines d'inondations du Nord Cameroun (fig. 1) dont le rôle d'abri pour les alevins est important. Il s'agit donc d'une phase exceptionnelle au cours de laquelle l'évolution des facteurs physiques doit être largement prise en considération.
La zone d'étude choisie lors des précédents travaux est un bief de 12 km de long situé dans le delta, et s'étendant de Douara à Hadide (fig. 2). Cette zone a été considérée dans son ensemble aussi longtemps qu'elle est demeurée représentative des pêcheries locales. Elle fut ensuite réduite des deux tiers, la partie amont (zones 1 et 2, fig. 2) ayant été complètement abandonnée par les pêcheurs.
Quatre types d'engins ont été utilisés sur ce bief (1) :
Chaque pêcherie est caractérisée par deux paramètres :
D'où l'on déduit :
Du fait de la dispersion des pêcheurs donc des points de débarquements du poisson et de la forte variabilité des circuits de ramassage, il est très difficile d'estimer directement la production. L'effort de pêche et la prise par unité d'effort (p.u.e.) peuvent par contre être estimés avec une précision suffisante (Loubens, 1973).

Fig. 2. — Carte de la zone d'étude.
1. ÉVOLUTION DES PÊCHERIES
1.1. Méthodes d'échantillonnage
Les méthodes ayant déjà été exposées pour l'essentiel par Loubens (1973) nous nous bornerons à quelques rappels en indiquant éventuellement les modifications que nous avons cru bon d'apporter.
1.1.1. Effort de pêche
Filets dérivants
L'effort de pêche journalier sur l'ensemble du bief considéré est déterminé par dénombrements de pirogues. Ces dénombrements sont effectués toutes les heures pendant la période d'activité des pêcheurs. On porte sur un graphique les heures de la journée en abscisses et le nombre correspondant de pirogues en pêche en ordonnée. Le «temps de pêche» journalier, exprimé en «heure pirogue» correspond à la surface comprise entre la courbe et l'axe des abscisses. Connaissant le temps de pêche, il ne reste plus; pour connaître l'effort de pêche journalier qu'à déterminer la surface du filet moyen. Cette dernière est estimée à partir d'un échantillonnage des surfaces des filets utilisés dans le bief (tabl. I).
De septembre 1972 à décembre 1973, contrairement aux années précédentes, aucune activité de pêche nocturne n'a été enregistrée.
Tableau I
Surfaces des filets maillants (FM)
| Dates | S (m2) | Var | N | Intervalle de Sécurité (95 %) |
| FM dérivants à petitesmailles | ||||
| SEP 72 | 3,58 | 3,36 | 27 | 2,73 ≤ S ≤ 4,21 |
| OCT 72 | 2,96 | 1,711 | 17 | 2,28 ≤ S ≤ 3,66 |
| NOV 72 | 4,27 | 2,393 | 18 | 3,48 ≤ S ≤ 5,06 |
| DÉC 72 | 3,05 | 1,588 | 22 | 2,48 ≤ S ≤ 3,63 |
| JAN 73 | 3,22 | 1,031 | 44 | 3,09 ≤ S ≤ 3,69 |
| FÉV 73 | 3,76 | 1,494 | 31 | 3,30 ≤ S ≤ 4,22 |
| MAR 73 | 3,38 | 0,949 | 27 | 3,00 ≤ S ≤ 3,78 |
| AVR 73 | 2,24 | 0,333 | 13 | 1,88 ≤ S ≤ 2,60 |
| AOU 73 | 3,95 | 3,347 | 38 | 3,36 ≤ S ≤ 4,54 |
| SEP 73 | 3,30 | 1,316 | 12 | 2,54 ≤ S ≤ 4,06 |
| FM dérivants à grandes mailles | ||||
| OCT 72 | 3,40 | 1,538 | 7 | 2,16 ≤ S ≤ 4,64 |
| NOV 72 | 5,20 | 3,961 | 9 | 3,58 ≤ S ≤ 6,83 |
| OCT 73 | 3,32 | 0,991 | 13 | 2,68 ≤ S ≤ 3,94 |
| NOV 73 | 3,07 | 1,047 | 18 | 2,54 ≤ S ≤ 3,59 |
| DÉC 73 | 3,49 | 0,996 | 15 | 2,92 ≤ S ≤ 4,06 |
| FM dormants à petites mailles | ||||
| SEP 73 | 3,39 | 2,469 | 13 | 2,40 ≤ S ≤ 4,38 |
Deux sources de variations affectent les estimations de l'effort de pêche : d'une part la surface du filet moyen, d'autre part le temps de pêche en heure pirogue. Pour la surface du filet moyen, Loubens, en raison d'un échantillonnage insuffisant avait regroupé toutes les observations pour obtenir une valeur moyenne de surface de filet utilisable pour calculer les productions journalières de l'ensemble de l'année. La comparaison mois par mois des surfaces de filet moyen pour les deux périodes 1971–1972 et 1972–1973 fait apparaître une grande similitude de variations (fig. 3). Nous avons donc préféré considérer les surfaces moyennes mensuelles indiquées dans le tableau I plutôt que la surface moyenne annuelle (341 m2).

Fig. 3. — Moyennes mensuelles et intervalles de confiances des F.M. dérivants à petites mailles en 1971–1972 (d'après Loubens), et en 1972–1973.
Filets dormants
Pendant la période considérée, les filets dormants ont été pour la plupart ramenés au village pour démailler les poissons ce qui a grandement facilité l'étude des prises et la mesure des caractéristiques des filets correspondants.
La détermination de la durée de pêche a été obtenue par observation directe des pêcheurs. Elle est de 12 heures—exceptionnellement de 24 heures—Une relève est effectuée le matin au lever du jour une seconde le soir vers 17 heures.
Lignes de fond
Des difficultés pratiques n'ont pas permis une bonne estimation de l'effort total de pêche pour ces engins. En effet, ces derniers restent dans l'eau à poste fixe et sont peu repérables. Il est impossible d'en déterminer le nombre autrement que par interview. Les renseignements obtenus de cette façon présentent trop d'hétérogénéité pour être retenus. De même les efforts correspondants aux pêches échantillonnées sont l'objet de nombreux biais qui rendent les valeurs des p.u.e. peu sûres et de toutes façons inexploitables. Ces difficultés d'échantillonnage se seraient révélées fort gênantes si la production de ce type d'engin, estimée par l'importance des débarquements, n'était demeurée extrêmement faible durant la période d'étude (même entre avril et juillet 1973, alors que les autres engins avaient été abandonnés). Les estimations de production totale par mois ne sont donc pas sensiblement entachées d'erreur du fait de l'absence de données exploitables sur les lignes de fond.
1.1.2. Prise par unité d'effort de pêche
Les prises par unité d'effort de pêche (p.u.e.) sont calculées à partir d'un échantillon de captures. Les efforts de pêches correspondants ont été déterminés par mesure des engins et des temps de pêche. Le temps de pêche peut se déterminer directement par observation des pêcheurs et chronométrage des diverses opérations de pêche (pose du filet, dérive relève du filet) ou plus facilement quand le nombre de pêcheurs est important et/ou le lieu de pêche éloigné du point de débarquement par estimation d'un temps moyen de dérive à partir d'une dizaine d'observations effectuées au hasard.
Lorsque les rendements sont faibles les pêcheurs effectuent souvent plusieurs dérives successives avant de débarquer leurs poissons; il est alors nécessaire de demander aux pêcheurs le nombre d'opérations de pêche correspondant aux prises qu'ils déchargent. Un biais peut alors s'introduire dans l'estimation de l'effort de pêche, les réponses fournies étant absolument incontrôlables.
Les unités utilisées pour les p.u.e. sont ici :
1.1.3. Production
Les productions mensuelles sont calculées à partir de l'effort de pêche journalier estimé fj et de la prise par unité d'effort mensuelle moyenne u à partir de la relation :
P = N. fj. u
où N est le nombre de jours du mois. La production totale pour l'ensemble de la période (septembre 1972 à décembre 1973) s'obtient par addition.
La production de l'ensemble du bief pour les 13 mois d'étude se situe entre 500 et 700 tonnes soit le cinquième de la production totale estimée pour la précédente période d'étude (juillet 1971 – juillet 1972).
1.2. Évolution de l'effort de pêche
Les observations précédentes ont permis de montrer que les activités des pêcheurs du bief dépendent du cycle hydrologique et des migrations de poissons. Traditionnellement, les pêches aux filets dérivants à petites mailles sont exercées toute l'année. Elles subissent deux baisses d'activités; l'une aux hautes eaux vers octobre et l'autre aux basses eaux vers avril. Les pêches aux filets dérivants à grandes mailles s'observent de août à décembre. Celles des filets dormants de février à juillet. Les lignes de fond, enfin, sont utilisées d'avril à juillet.
Pendant la période septembre 1972 - décembre 1973, les filets dormants et les lignes n'ont fait que de brèves apparitions et toujours en très petit nombre. Il ne nous á pas été possible de déterminer l'effort de pêche de ces engins. Leur importance mineure nous a conduit à les négliger dans les calculs de production où de toutes façons ils entrent pour très peu. L'utilisation quasi exclusive des filets dérivants est une des caractéristiques de cette période d'observation (tabl. II et fig. 4).
De septembre à octobre 1972, on observe des efforts de pêche significativement supérieurs à ceux de 1971. Ceux-ci deviennent rapidement inférieurs ensuite, et après une courte période (novembre à janvier) où les efforts de 1971–1972 et 1972–1973 évoluent parallèlement on observe un effondrement de l'effort de pêche à partir de février 1973 qui aboutit en mai à un arrêt quasi complet de toute activité de pêche (fig. 4).

Fig. 4. — Effort de pêche journalier des F.M. dérivants à petites mailles en 1971–1972 (d'après Loubens) et en 1972–1973.
Tableau II
Efforts de pêche journaliers
(en heures de pirogue × 100 m2 FM)
| MOIS | FILETS DÉRIVANTS | |
| Petites mailles | Grandes mailles | |
| SEPT 72 | 2.041 | - |
| OCT 72 | 1.757 | 442 |
| NOV 72 | 668 | 304 |
| DÉC 72 | 1.112 | - |
| JAN 73 | 1.368 | - |
| FÉV 73 | 1.227 | - |
| MAR 73 | 200 | - |
| AVR 73 | 90 | - |
| AOU 73 | 294 | - |
| SEPT 73 | 102 | - |
| OCT 73 | - | 101 |
| NOV 73 | - | 104 |
| DÉC 73 | - | 303 |
Durant la même période on observe un glissement de la pêche vers le Lac. Les pêcheurs des zones 1 et 2 (fig. 2) se regroupent dans la zone 3 afin de disposer d'une hauteur d'eau suffisante pour utiliser leurs F.M. dérivants mais aussi parce qu'il leur semble que les poissons sont plus abondants près du Lac.
En fait les p.u.e. observées dans la zone 3 ne diffèrent pas significativement de celles observées dans la zone 1 (tabl. III).
Tableau III
Comparaison des p.u.e. observées dans les zones 1 et 3
| SEP. | OCT. | NOV. | |
| Zone 1 p.u.e. | 2,16 | 1,72 | 0,52 |
| S | 1,90 | 1,39 | 0,92 |
| Zone 3 p.u.e. | 1,73 | 2,63 | 0,49 |
| S | 1,42 | 2,39 | 0,63 |
| t (student) | 0,74 | 0,93 | 0,74 |
| T (95 %) | 2,06 | 2,13 | 2,12 |
Quoi qu'il en soit notre plan d'échantillonnage a dû être modifié. A partir de janvier 1973, l'étude des zones 1 et 2 a dû être abandonnée au profit de la zone 3 qui constituait le dernier groupement de pêcheurs avant le Lac.
Malgré ce rassemblement l'effort de pêche ne cesse de décroître de janvier à mai où il avoisine zéro. Trois causes peuvent être avancées pour expliquer ce phénomène :
En août, la pêche reprend un peu d'intensité. Les observations sont à nouveau possibles mais la population pêchante est complètement modifiée ; elle n'est plus composée de pêcheurs professionnels issus de nombreux ethnies comme en début d'année, mais d'amateurs, cultivateurs pour la plupart, qui pratiquent une pêche de complément. Peu outillés et peu avertis des techniques, ils n'exploitent pas au mieux les stocks présents, mais se contentent d'y prélever la quantité de poissons dont ils ont besoin pour nourrir leur famille ou pour un petit commerce d'appoint.
On note donc deux phases dans l'activité de pêche durant la période étudiée : dans un premier temps les populations de pêcheurs professionnels descendent vers le delta et accroissent leur effort de pêche pour essayer de compenser la faiblesse des rendements, mais devant le peu d'importance de ceux-ci et les difficultés qui apparaissent dans le bief, ils migrent vers des zones réputées plus riches. La pêche est suspendue au moment où les p.u.e. des filets dérivants à petites mailles devraient s'accroître du fait des migrations de reproduction. Les pêcheurs ont quitté le delta sans essayer de diversifier leurs moyens de pêche.
Dans un deuxième temps, la pêche reprend mais revêt alors un caractère totalement différent. Ce n'est plus une pêche d'exploitation mais une pêche de complément exercée avec plus ou moins de bonheur par des sédentaires, agriculteurs pour la plupart. Ce qui fait qu'à aucun moment une exploitation optimale du bief n'a été tentée en 1973.

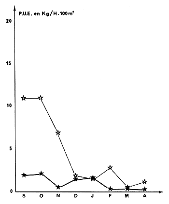
Fig. 5. — Prise par unité d'effort des F.M. dérivants à petites
mailles en 1971–1972 (d'après Loubens) et en 1972–1973.
1971–1972,
1972–1973.
1.3. Évolution des prises par unité d'effort
Les valeurs enregistrées au cours de cette étude (tableaux IV, V et VI) sont de beaucoup inférieures à celles observées en 1971–1972. Ces dernières étant déjà en baisse sensible par rapport aux années précédentes (Loubens, 1973) (fig. 5 et 6).
Pour comprendre l'effondrement des prises par unité d'effort en 1973 il est nécessaire de considérer tout d'abord la baisse observée en 1972. La zone d'étude est le lieu de passage des espèces migratrices. Ces dernières qui constituent la quasi totalité des prises effectuées dans le bief y sont particulièrement abondantes au moment de la crue du Chari qui coïncide avec la maturité sexuelle. Les migrateurs remontent alors le cours du fleuve pour aller se reproduire à proximité des plaines d'inondations qui bordent le Logone et dans le lit majeur du Chari en amont de N'Djamena.

Fig. 6. — Évolution des p.u.e. des F.M. dérivants à petites mailles de juillet 1971 à mai 1973.
En 1972, la crue exceptionnellement faible apparaît avec un mois de retard et n'apporte au Lac que 17,5.109m3 soit 46 % des apports d'une crue moyenne (1970–1971). Le Yaéré (1) n'est pas inondé ce qui a pour conséquence de ne pas offrir aux jeunes la zone de refuge où ils peuvent grandir à l'abri des prédateurs (2).
Par ailleurs, les eaux du Logone et du Chari, en inondant les plaines bordant leur it, y purifient leurs eaux qui en ressortent décantées et plus pauvres en matières dissoutes (influence de la végétation). Privées de ces bassins de décantations, les eaux de la crue 1972 se révèlent beaucoup plus chargées que celles des crues moyennes.
Des mesures effectuées sur le fer total montrent que les apports au Lac en 1972–1973 sont de 50 % supérieurs à ceux de l'année 1970–1971 (Lemoalle, 1974). Il en est de même pour le débit solide du Chari en aval de N'Djamena, (Chouret, Comm. pers.).
Il est vraisemblable que cette modification de la composition chimique de l'eau ainsi que la faiblesse du débit de crue aient provoqué des perturbations dans les comportements migratoires.
(1) Principales plaines d'inondation situées au Nord Cameroun (fig. 1).
(2) La plaine d'inondation est trop peu profonde et trop encombrée par la végétation pour permettre aux adultes d'y pénétrer ;
seuls, quelques cheneaux sont accessibles. Cependant la grande richesse de ces zones en alevins et en jeunes poissons montre que leur
bon nombre d'espèces viennent se reproduire à proximité.
Tableau IV
F.M. Dérivants à petites mailles: Pourcentage et p.u.e. en nombres
| 1972 | 1973 | |||||||||
| SEP. | OCT. | NOV. | DÉC. | JAN. | FÉV. | MAR. | AVR. | AOU. | SEP. | |
| Alestes baremoze | 30,2 | 44,0 | 43,8 | 29,2 | 77,7 | 55,4 | 40,6 | 15,1 | 1,6 | - |
| 3,11 | 4,87 | 1,09 | 2,30 | 6,74 | 1,14 | 0,91 | 0,34 | 0,11 | - | |
| Synodontis batensoda | 3,6 | 14,3 | 2,4 | 1,4 | 3,1 | 1,6 | 4,4 | - | 10,9 | 14,4 |
| 0,37 | 1,58 | 0,06 | 0,11 | 0,27 | 0,03 | 0,10 | - | 0,75 | 0,67 | |
| Synodontis membranaceus | 0,1 | - | 1,1 | - | 0,4 | - | 0,6Æ | 2,3 | 1,5 | 3,1 |
| 0,01 | - | 0,03 | - | 0,04 | - | 0,01 | 0,05 | 0,10 | 0,14 | |
| Alestes dentex | 49,8 | 38,4 | 36,0 | 39,2 | 5,2 | 12,1 | 1,7 | 2,3 | - | 1,5 |
| 5,12 | 4,25 | 0,89 | 3,09 | 0,45 | 0,25 | 0,04 | 0,05 | - | 0,07 | |
| Marcusenius cyprinoïdes | 4,7 | 0,5 | 2,4 | 1,8 | 2,2 | 0,3 | 2,2 | - | 48,5 | 22,2 |
| 0,48 | 0,06 | 0,06 | 0,14 | 0,19 | 0,01 | 0,05 | - | 3,35 | 1,03 | |
| Hyperopisus bebe | 9,5 | 1,3 | 1,3 | 0,9 | 0,2 | 0,7 | - | - | 14,5 | 43,8 |
| 0,98 | 0,14 | 0,03 | 0,07 | 0,02 | 0,01 | - | - | 1,00 | 2,04 | |
| Schilbe spp | 1,0 | 0,2 | 4,6 | 10,9 | 0,5 | 1,0 | 2,2 | 3,5 | 5,7 | 7,2 |
| 0,10 | 0,02 | 0,11 | 0,86 | 0,04 | 0,02 | 0,05 | 0,08 | 0,39 | 0,34 | |
| Eutropius niloticus | 0,7 | 0,2 | 0,5 | 5,6 | 0,3 | 4,5 | 1,1 | 4,7 | 7,8 | 0,5 |
| 0,07 | 0,02 | 0,01 | 0,44 | 0,03 | 0,09 | 0,03 | 0,11 | 0,54 | 0,02 | |
| Hydrocyon forskalii | 0,6 | 0,5 | 4,8 | 6,7 | 2,8 | 6,2 | 8,3 | 1,2 | 0,6 | 0,5 |
| 0,06 | 0,06 | 0,12 | 0,53 | 0,24 | 0,13 | 0,19 | 0,03 | 0,04 | 0,02 | |
| Synodontis, cf. schall | - | - | 0,8 | 0,4 | 2,6 | 3,9 | 7,8 | 17,4 | 3,3 | 1,5 |
| - | - | 0,02 | 0,03 | 0,23 | 0,08 | 0,17 | 0,39 | 0,23 | 0,07 | |
| % | ||||||||||
| Autres espèces | 0,0 | 0,6 | 2,3 | 3,9 | 5,0 | 15,3 | 31,1 | 53,5 | 5,6 | 5,3 |
| Nombre d'espèces | 9 | 10 | 14 | 20 | 24 | 22 | 19 | 15 | 23 | 15 |
| Nombre de pêches | 27 | 17 | 18 | 22 | 44 | 31 | 27 | 13 | 38 | 14 |
| Effort de pêches | 124,7 | 54,87 | 149,66 | 71,52 | 138,9 | 148,71 | 80,32 | 77,02 | 139,61 | 41,7 |
| p.u.e. en nombre | 10,28 | 11,06 | 2,49 | 7,89 | 8,68 | 2,05 | 2,24 | 1,11 | 6,91 | 4,65 |
Tableau V
F.M. dérivants à petites mailles: Pourcentage et p.u.e. en poids
| 1972 | 1973 | |||||||||
| SEP. | OCT. | NOV. | DÉC. | JAN. | FÉV. | MAR. | AVR. | AOU. | SEP. | |
| Alestes baremoze | 29,4 | 41,1 | 37,5 | 27,3 | 80,3 | 53,8 | 29,0 | 8,0 | 1,5 | - |
| 0,57 | 0,94 | 0,19 | 0,41 | 1,37 | 0,18 | 0,12 | 0,02 | 0,01 | - | |
| Synodontis batensoda | 3,8 | 11,9 | 2,5 | 1,9 | 3,6 | 1,8 | 3,9 | - | 12,1 | 15,3 |
| 0,07 | 0,26 | 0,01 | 0,03 | 0,06 | 0,01 | 0,02 | - | 0,11 | 0,9 | |
| Synodontis membranaceus | 0,3 | - | 3,9 | - | 0,9 | - | 3,4 | 5,0 | 5,7 | 11,7 |
| 0,01 | - | 0,02 | - | 0,02 | - | 0,01 | 0,01 | 0,05 | 0,07 | |
| Alestes dentex | 54,2 | 42,0 | 41,7 | 37,7 | 5,1 | 14,5 | 1,2 | 1,2 | - | 1,7 |
| 1,05 | 0,91 | 0,21 | 0,57 | 0,09 | 0,05 | 0,01 | (0,003) | - | 0,01 | |
| Marcusenius cyprinoïdes | 3,1 | 0,3 | 1,2 | 0,5 | 1,0 | - | 1,0 | - | 33,6 | 17,6 |
| 0,06 | (0,007) | 0,01 | 0,01 | 0,02 | - | (0,004) | - | 0,31 | 0,10 | |
| Hyperopisus bebe | 7,2 | 0,6 | 1,0 | 0,5 | 0,1 | 0,3 | - | - | 22,2 | 38,0 |
| 0,14 | 0,01 | 0,01 | 0,01 | (0,002) | (0,001) | - | - | 0,20 | 0,22 | |
| Schilbe spp | 1,0 | 0,1 | 4,0 | 9,6 | 0,2 | 0,7 | 1,9 | 2,1 | 7,2D | 9,3 |
| 0,02 | (0,002) | 0,02 | 0,14 | (0,003) | (0,002) | 0,01 | 0,01 | 0,07 | 0,06 | |
| Eutropius niloticus | 0,4 | 0,1 | 0,5 | 2,4 | 0,1 | 1,2 | 0,4 | 1,6 | 5,5 | 0,4 |
| 0,01 | (0,002) | (0,003) | 0,04 | (0,002) | (0,004) | (0,002) | (0,004) | 0,05 | (0,020) | |
| Hydrocyon forskalii | 0,6 | 0,6 | 4,2 | 9,1 | 2,1 | 4,6 | 6,6 | 0,4 | 0,9 | 0,6 |
| 0,01 | 0,01 | 0,02 | 0,14 | 0,04 | 0,02 | 0,03 | (0,001) | 0,01 | (0,004) | |
| Synodontis, cf. chall | - | - | 0,8 | 0,2 | 2,1 | 5,0 | 7,5 | 13,8 | 4,1 | 1,3 |
| - | - | (0,004) | (0,003) | 0,04 | 0,02 | 0,03 | 0,04 | 0,04 | 0,01 | |
| % | ||||||||||
| Autres espèces | 0,00 | 1,3 | 1,6 | 9,3 | 4,2 | 13,2 | 18,6 | 45,2 | 4,1 | 3,2 |
| p.u.e. en poids | 1,94 | 2,17 | 0,51 | 1,50 | 1,70 | 0,33 | 0,42 | 0,26 | 0,91 | 0,59 |
Tableau VI
F.M. dérivants à grandes mailles: Pourcentages et p.u.e. en nombre et poids
| Pourcentages et p.u.e. en nombre | Pourcentages et p.u.e. en poids | |||||||||
| 1972 | 1973 | 1972 | 1973 | |||||||
| OCT. | NOV. | OCT. | NOV. | DÉC. | OCT. | NOV. | OCT. | NOV. | DÉC. | |
| Synodontis membranaceus | 98,5 | 18,0 | 12,5 | 95,2 | 24,4 | 94,4 | 16,4 | 33,5 | 93,3 | 30,7 |
| 8,69 | 0,24 | 2,99 | 23,30 | 1,67 | 5,16 | 0,19 | 1,32 | 9,72 | 0,78 | |
| Synodontis batensoda | - | 4,0 | 86,1 | 0,7 | 12,2 | - | 1,0 | 61,8 | 0,3 | 4,8 |
| - | 0,05 | 20,6 | 0,17 | 0,84 | - | 0,01 | 2,43 | 0,03 | 0,12 | |
| Schilbe, spp | - | 1,0 | 0,2 | 0,2 | 34,3 | - | 0,3 | 0,2 | 0,1 | 20,0 |
| - | 0,01 | 0,05 | 0,05 | 2,35 | - | 0,00 | 0,01 | 0,01 | 0,51 | |
| Distichodus rostratus | 0,4 | 4,0 | - | - | 1,6 | 3,6 | 10,9 | - | - | 5,6 |
| 0,04 | 0,05 | - | - | 0,11 | 0,20 | 0,13 | - | - | 0,15 | |
| Mormyrus rume | - | 16,0 | 0,2 | 0,5 | 1,0 | - | 15,2 | 1,3 | 0,7 | 1,4 |
| - | 0,21 | 0,05 | 0,12 | 0,07 | - | 0,18 | 0,05 | 0,07 | 0,04 | |
| Citharinus citharus | - | 2,0 | - | - | 0,6 | - | 2,9 | - | - | 0,5 |
| - | 0,03 | - | - | 0,04 | - | 0,03 | - | - | 0,01 | |
| Hyperopisus bebe | - | 5,0 | - | 0,7 | 6,1 | - | 2,2 | - | 0,7 | 6,5 |
| - | 0,07 | - | 0,17 | 0,42 | - | 0,03 | - | 0,07 | 0,16 | |
| Mormyrops deliciosus | - | 2,0 | - | - | 3,5 | - | 1,8 | - | - | 8,9 |
| - | 0,03 | - | - | 0,24 | - | 0,02 | - | - | 0,23 | |
| Polypterus bichir | - | 6,0 | 0,1 | 0,2 | - | - | 7,7 | 1,0 | 1,0 | - |
| - | 0,08 | 0,02 | 0,05 | - | - | 0,09 | 0,04 | 0,10 | - | |
| Tetraodon fahaka | 0,4 | 0,8 | - | 0,1 | 0,3 | 0,5 | 9,4 | - | 0,2 | 1,4 |
| 0,04 | 0,11 | - | 0,02 | 0,02 | 0,03 | 0,11 | - | 0,02 | 0,04 | |
| % Autres espèces | 0,7 | 34,0 | 0,9 | 2,4 | 16,0 | 1,5 | 32,1 | 2,2 | 2,7 | 20,0 |
| Nombre de pêches | ||||||||||
| Nombre d'espèces | 5 | 22 | 10 | 18 | 26 | 7 | 9 | 13 | 18 | 15 |
| effort de pêche | 30,60 | 75,25 | 35,45 | 34,60 | 45,56 | |||||
| p.u.e. | 8,82 | 1,32 | 23,92 | 23,48 | 6,86 | 5,44 | 1,44 | 3,94 | 10,89 | 3,09 |
Ces remarques sont également valables pour 1972–1973 puisque là encore les plaines inondables ont été peu touchées par la crue (18.109 m3 seulement) mais en janvier 1973 un nouveau phénomène se surajoute aux précédents. Le niveau du Lac ayant continué à baisser, la cuvette Sud se sépare de la cuvette Nord et de l'Archipel Sud-Est. Les populations de migrateurs qui sont installés dans ces zones ne peuvent rejoindre le Chari et venir accroître les effectifs passant par le delta. Seules les populations séjournant dans la cuvette Sud participent au cycle normal. Or, la profondeur de cette cuvette étant devenue très faible (entre 10 et 70 cm sur sa plus grande superficie) la turbulence de l'eau maintient en suspension les sédiments et la matière organique du fond. Les accroissements de turbidité et de conductivité en résultant créent des conditions écologiques défavorables aux espèces d'un bon rapport commercial comme les Alestes (préférence d'eaux profondes et relativement claires) ou les Mormyridae (préférence marquée pour les faibles conductivités).
Il faut enfin noter que la diminution du volume d'eau en provoquant une surpopulation, accroît la vulnérabilité des poissons. La pêche continue alors à rééquilibrer la densité du peuplement en prélevant une quantité de poissons qui de toutes façons est appelée à disparaître. Les risques d'une surpêche éventuelle sont alors quasiment nuls. Il n'en sera évidemment pas de même quand le Lac regagnant ses anciennes limites, les stocks devront se reconstituer à partir des individus restants.
1.4. Evolution des productions
Ce sont les productions mensuelles et annuelles qui donnent l'image la plus frappante de l'évolution des pêcheries dans la zone d'étude entre septembre 1972 et décembre 1973 (tabl. VII et VIII).
Tableau VII
Productions mensuelles des filets dérivants
| 1972 | 1973 | ||||||||||||
| SEP. | OCT. | NOV. | DÉC. | JAN. | FÉV. | MAR. | AVR. | AOU. | SEP. | OCT. | NOV. | DÉC. | |
| Petites mailles | 109,560 | 133,70 | 10,041 | 62,874 | 72,085 | 11,340 | 2,601 | 0,699 | 8,302 | 1811 | - | - | - |
| Grandes mailles | - | 74,950 | 13,141 | 12,352 | 32,094 | 23,781 | |||||||
| Production totale | 109,560 | 208,120 | 23,182 | 62,874 | 72,085 | 11,340 | 2,601 | 0,699 | 8,302 | 1811 | 12,252 | 32,094 | 23,781 |
| % | 19,3 | 36,6 | 4,1 | 11,1 | 12,7 | 2,0 | 0,5 | 0,1 | 1,5 | 0,3 | 2,2 | 5,6 | 4,2 |
Détail de production par zone pour les petites mailles
| Mois | Zone 1 | Zone 2 | Zone 3 | Total |
| Septembre | 9.660 | 15.600 | 84.300 | 109.560 |
| Octobre | 8.170 | 26.800 | 98.200 | 133.170 |
| Novembre | 1.408 | 3.467 | 5.166 | 10.041 |
| Décembre | 851 | 12.995 | 49.028 | 62.874 |
Tableau VIII
Productions spécifiques mensuelles et totales en kg
| Espèces | SEP. | OCT. | NOV. | DÉC. | JAN. | FÉV. | MAR. | AVR. | AOU. | SEP. | OCT. | NOV. | DÉC. |
| A. baremoze | 352,13 | 594,48 | 37,65 | 173,02 | 569,47 | 58,74 | 7,62 | 56 | 1,19 | 0 | 0 | 0 | 0 |
| S. membranaceus | 5,85 | 707,57 | 4,45 | 0 | 6,78 | 0 | 87 | 35 | 4,74 | 2,15 | 41,42 | 303,64 | 73,03 |
| A. dentex | 122,17 | 516,84 | 40,52 | 240,86 | 36,47 | 15,62 | 31 | 8 | 0 | 31 | 0 | 0 | 0 |
| S. batensoda | 70,75 | 178,81 | 20,57 | 11,87 | 25,44 | 2,04 | 1,05 | 0 | 10,04 | 2,79 | 76,34 | 87 | 11,47 |
| Schilbe spp | 12,23 | 48 | 4,02 | 60,65 | 2,04 | 68 | 50 | 13 | 6,02 | 1,69 | 28 | 44 | 47,56 |
| H. bebe | 63,09 | 9,35 | 3,32 | 2,54 | 98 | 34 | 0 | 0 | 18,52 | 6,94 | 0 | 2,21 | 15,51 |
| H. forskalii | 11,92 | 8,19 | 6,47 | 57,67 | 14,84 | 5,09 | 1,73 | 3 | 73 | 9 | 0 | 47 | 2,63 |
| M. cyprinoïdes | 43,59 | 4,62 | 1,66 | 2,54 | 6,78 | 20 | 25 | 0 | 28,01 | 3,22 | 0 | 9 | 0 |
| D. rostratus | 0 | 26,86 | 13,78 | 0 | 0 | 0 | 0 | 0 | 0 | 0 | 0 | 0 | 13,72 |
| P. bichir | 0 | 0 | 10,10 | 9,33 | 2,80 | 5,43 | 3,65 | 1,59 | 1,19 | 0 | 1,27 | 3,08 | 0 |
| E. niloticus | 6,06 | 54 | 48 | 14,85 | 1,06 | 1,36 | 12 | 11 | 4,56 | 7 | 0 | 0 | 1,41 |
| S. cf. schall | 0 | 0 | 1,36 | 85 | 15,27 | 5,43 | 1,98 | 97 | 3,38 | 25 | 68 | 84 | 0 |
| M. rume | 0 | 0 | 16,24 | 0 | 68 | 0 | 3,28 | 0 | 1,37 | 15 | 1,62 | 2,37 | 3,38 |
| T. fahaka | 0 | 3,70 | 9,95 | 6,79 | 0 | 0 | 0 | 0 | 0 | 0 | 0 | 53 | 3,30 |
| M. deliciosus | 0 | 0 | 1,92 | 0 | 0 | 0 | 0 | 0 | 0 | 0 | 0 | 0 | 21,15 |
| L. senegalensis | 0 | 0 | 1,83 | 0 | 47 | 4,41 | 43 | 24 | 58 | 0 | 0 | 0 | 15,79 |
| Autres espèces | 40,771 | 2,976 | 5,750 | 4,777 | 3,777 | 1,406 | 4,22 | 2,93 | 2,69 | 45 | 1,92 | 6,40 | 28,86 |
| Totaux | 109,560 | 208,120 | 23,182 | 62,874 | 72,085 | 11,340 | 2,601 | 6,99 | 8,302 | 1,811 | 12,352 | 32,094 | 23,781 |
La production totale pour 1973 est de 165 tonnes soit 40,9 % de la production des mois de septembre à décembre 1972, 5,5 % de la production de la période août 1971 - juillet 1972.
La comparaison des périodes septembre-décembre pour les années 1971 à 1973 permet de voir l'importance des changements survenus (tabl. IX). En 1971 ainsi qu'en 1972 de nombreux professionnels de toutes origines pêchent sur le bief. Les filets à grandes mailles sont utilisés parallèlement aux filets à petites mailles, qui conservent une production importante. En 1973, seuls les pêcheurs occasionnels exploitent le bief. Les petits moyens qu'ils mettent en œuvre ne permettent pas d'utiliser deux sortes d'engins… ils abandonnent les petites mailles au profit des grandes en octobre afin de bénéficier des remontées de gros poissons (Synodontis membranaceus entre autre). La production des filets dérivants à petites mailles est quasi nulle.
Les captures sont régulièrement décroissantes de janvier à avril. Les mois habituellement les plus productifs ne sont pas exploités (mai à août).
Tableau IX
Comparaison productions des derniers quadrimestres
de 1971–1972 et 1973
| Période | Sept.à Déc. 1971 | Sept. à Déc. 1972 | Sept. à Déc. 1973 |
| Pêcheries | |||
| Dérivants à grandes mailles | 230 000 kg | 88 091 kg | 68 227 kg |
| Dérivants à petites mailles | 686 000 kg | 315 645 kg | 1 811 kg |
| Total | 916 000 kg | 403 736 kg | 70 038 kg |
Les rendements sont certes plus faibles que les autres années pour la période de janvier à avril mais la différence n'explique pas à elle seule la défection des pêcheurs. Ce sont les conditions de pêche de plus en plus difficiles sur le bief qui les ont incités à chercher d'autres endroits où la pêche soit plus facile et aussi plus rentable.
Pour l'ensemble de la période septembre 1972-décembre 1973, 72,5 % des prises sont effectuées à l'aide de filets dérivants à petites mailles, le reste est produit par les filets à grandes mailles. Les filets dormants et les lignes ont une production négligeable.
Pour l'année 1973 seule, les dérivants à petites mailles ne représentent plus que 58,7 % des prises. Les grandes mailles utilisées seulement pendant 3 mois sont d'un rapport beaucoup plus important.