by/par
N.G. Willoughby and D. Tweddle
Fisheries Research Officers
Makhanga Research Unit
P/Bag Chiromo, Malawi
|
The lower valley of the Shire River has an extensive marshy floodplain which supports a heavy fishery. Of the 60 species present, three species make up 90 percent of the catch. The biology of these species and two other supporting species is briefly described. Most of the life cycle is subject to the seasonal drying of the marshes; breeding occurs during high water and feeding is also at a maximum at this time. Résumé Le cours inférieur de la Shire comporte une très vaste plaine d'inondation marécageuse; les poissons y font l'objet d'une exploitation intense. On y trouve 60 espèces; trois d'entre elles représentent 90 pour cent des prises. La communication donne des informations sur la biologie de cinq espèces, dont les trois principales. Leur cycle biologique est essentiellement influencé par l'assèchement saisonnier des marais; le frai a lieu en période de crue et les poissons ingèrent aussi un maximum de nourriture à cette époque. |
The River Shire is a major tributary of the River Zambesi, and flows for approximately 450 km between its source at the southern end of Lake Malawi and the River Zambesi which it joins 150 km from its mouth.
The marshes of the lower valley of the River Shire cover an area of approximately 650 km2 (Fig. 1). They are subject to considerable seasonal variation in area as a result of two factors - the local rains which occur between December and April, and a barrage at Liwonde which was built to regulate the level of Lake Malawi and consequently also regulates the flow of the River Shire. The marshes are usually relatively dry between August and November, and fill during December.
More than 60 species of fish occur in the lower reaches of the River Shire and its tributaries. In these notes, we only consider those species of commercial importance, but data on the overall species composition and distribution throughout the area will be published elsewhere. The gears most commonly used in the fishery are gillnets with stretched mesh sizes of 3 in (76 mm) and 2½ in (63 mm). Locally constructed longlines, castnets and traps are also widely employed. Three species are of importance in the marsh fishery which yields 10 000–15 000 t of fish annually. Two species of catfish, Clarias gariepinus (Burchell) and C. ngamensis Castelnau, and one cichlid, Sarotherodon mossambicus (Peters) make up 90 percent of this catch. Two other species, a mormyrid, Marcusenius macrolepidotus (Peters) and a schilbeid, Eutropius depressirostris (Peters) are of importance in the gillnet fishery, and are included in the data presented here.
Data on the ecology of the marsh species have been obtained using a wide range of gears set at three places around the Elephant Marsh (Fig. 1). These sites were chosen to cover the main habitat types available within the marsh system. Gears set at Chiromo sampled riverine habitats, those at Mchacha sampled extensive lagoon systems and those at Bdombo were set in both river channels and small lagoons.
The main gear used was gillnets made of multi-filament nylon and having stretched mesh sizes from 1–7 in (26–179 mm). The nets with 2–7 in meshes were 50 yd (46 m) long and 4 ft (1.2 m) deep when mounted by the half while those of 1 and 1½ in mesh were the same depth but half the length. They were set overnight for 12 nights each month between August 1974 and May 1976. All fish obtained were identified, measured and weighed, and selected ovaries, stomachs and bones or scales were removed for further analyses. Most work has been conducted on the species of commercial importance although much information has been collected on all the species present.

Fig. 1 Location of Shire Valley marshes and sampling sites
In addition to the gillnetting programme, longlines, castnets and locally constructed traps were used at each station. Perspex “Breder” traps covered with mosquito gauze and traps with ½ in mesh netting were also set in an attempt to collect data on juvenile fish. Although these failed in their main objective, they did provide a considerable amount of information on the smaller marsh species which do not occur in the commercial catch.
Clarias spp. were captured using electro-fishing gear for use in a tagging programme, and information on overall species composition and on the growth of juvenile Clarias was obtained at the same time.
Five species, Clarias gariepinus, C. ngamensis, Sarotherodon mossambicus, Marcusenius macrolepidotus and Eutropius depressirostris contributed 89 percent by weight to the catches made by the research gillnets (Table 1). The species compositions of the catches at the three sampling stations were very similar although it can be seen that the riverine fishery around Chiromo was more diverse than the lagoon systems of Mchacha and Ndombo where Sarotherodon played a more important role.
Changes in the seasonal abundances of the three most important species are shown in Fig. 2. The two species of Clarias displayed similar seasonal changes in abundance with reduced catches occurring in May/June and November each year, and peak catches in December/January and again in August/September. Sarotherodon were also abundant in August/September, but were virtually absent from catches in December. Marcusenius were abundant between July and October while Eutropius were fairly common throughout the year.
Tagging experiments to investigate the movement of Clarias within the marsh produced 40 returns from 238 tagged fish. Few specimens moved more than 5 km from their spaces of capture within 6 months of release (Fig. 3).
The two species of Clarias were aged by means of their vertebrae and the Sarotherodon from their scales. Length frequency analyses were also carried out on these species.
The growth rates of C. gariepinus and C. ngamensis have been studied in detail. Hyaline zones were formed on their vertebrae during the cold season (May-August) and it was possible to construct growth curves for the two species by back-calculation of the lengths at the time when the rings were laid down (Fig. 4).
In both species, the male growth rate was faster than the female and the majority of large specimens for each species were male. The largest specimen of C. gariepinus recorded in the last two years was a male 100 cm in total length and 8.5 kg in weight although larger specimens (up to 23 kg) are reputed to have been caught on longlines and handlines in the past. C. ngamensis is a smaller species with a slower growth rate, and the largest specimen caught was a male 55 cm in length weighing 1.5 kg.
Evidence corroborating the growth rate of C. gariepinus has been obtained from length frequency analyses and the growth of tagged fish.
Table 1
Abundance and distribution of commercially important species in lower Shire gillnet fishery (August 1974 to May 1976)
| Species | Chiromo | Mchacha | Ndombo | Total | Total No | Total Wt | ||||
| No | Wt (kg) | No | Wt (kg) | No | Wt (kg) | No | Wt (kg) | (%) | (%) | |
| Clarias gariepinus | 976 | 424.3 | 2 216 | 853.3 | 2 683 | 872.0 | 5 875 | 2 149.6 | 22 | 54 |
| Clarias ngamensis | 406 | 114.7 | 1 182 | 319.5 | 1 126 | 263.7 | 2 714 | 727.9 | 10 | 18 |
| Sarotherodon mossambicus | 717 | 38.6 | 3 405 | 192.6 | 2 792 | 180.7 | 6 914 | 411.9 | 26 | 10 |
| Marcusenius macrolepidotus | 1 145 | 74.4 | 813 | 46.9 | 1 475 | 68.5 | 3 433 | 189.8 | 13 | 5 |
| Eutropius depressirostris | 1 180 | 50.0 | 404 | 13.7 | 98 | 4.4 | 1 682 | 68.1 | 6 | 2 |
| Others | 3 429 | 275.2 | 2 111 | 119.2 | 991 | 65.8 | 6 531 | 460.2 | 24 | 11 |
| Total | 7 853 | 1 007.2 | 10 131 | 1 545.2 | 9 165 | 1 455.1 | 27 149 | 4 007.5 | - | - |

Fig. 2 Changes in the seasonal abundances of Clarias gariepinus, C. ngamensis and Sarotherodon mossambicus, August 1974–May 1976

Fig. 3 Movement of tagged Clarias

Fig. 4 Growth Curves of C. gariepinus and C. ngamensis. The Number of Fish of each Age and Sex are shown on the Figure

Fig. 5 Breeding Seasons of C. gariepinus, C. ngamensis and S. mossambicus
In Sarotherodon, from the limited numbers of scales examined so far, the period of reduced growth appears to be in October/November. This species reaches approximately 12 cm in its first year and 17 cm in its second.
No work has yet been done on Marcusenius or Eutropius.
The length/weight relationships of C. gariepinus, C. ngamensis and S. mossambicus have been calculated to be:
C. gariepinus log W = 3.1215 log L - 2.3212
C. ngamensis log W = 3.2849 log L - 2.5429
S. mossambicus log W = 2.9406 log L - 1.7484
(Where L is in cm; and W in g)
3.4.1 Breeding seasons
The breeding seasons for C. gariepinus, C. ngamensis and S. mossambicus are shown in Fig. 5. All these species bred most intensively during the rainy season although for the latter two species, a proportion of fish were in breeding condition throughout the year. Marcusenius were found in breeding condition in every month except October although the bulk of breeding occurred between January and March. Most of the breeding Eutropius were found in January and February although only a small proportion of the population was ripe at any one time.
3.4.2 Sex ratio
The sex ratios of the five important species are shown in Table 2. The abundance of Marcusenius females is probably an artefact as the personnel collecting the data often had difficulties in determining the sexes of Mormyridae. The other ratios are probably correct, and all show significant departures from unity.
Table 2
Sex ratios
| Species | Males | Females | Ratio |
| C. gariepinus | 2 498 | 2 294 | 1.09:1.00 |
| C. ngamensis | 1 324 | 1 098 | 1.21:1.00 |
| S. mossambicus | 2 511 | 2 312 | 1.09:1.00 |
| M. macrolepidotus | 639 | 1 272 | 0.50:1.00 |
| E. depressirostris | 564 | 755 | 0.75:1.00 |

Fig. 6 Fecundities of commercially important Species: a) C. gariepinus, b) C. ngamensis, c) E. depressirostris, d) M. macrolepidotus, e) S. mossambicus
3.4.3 Fecundities
The fecundities of all five species are shown as scatter diagrams in Fig. 6. The main numbers of eggs per gramme wet weight of ovary were found to be 1 000 for C. gariepinus, 1 350 for C. ngamensis, 2 950 for Eutropius, 625 for Marcusenius and 135 for Sarotherodon.
3.4.4 Sizes and ages at maturity
The minimum sizes at which the species mature can be seen from Fig. 6 to be 24 for C. gariepinus, 25 cm for C. ngamensis, 17 cm for Eutropius, 13 cm for Marcusenius and 13.5 cm for Sarotherodon. If larger samples were available, it is probable that smaller maturing individuals would be found. The average sizes at first maturity for specimens of each species is probably 2–3 cm larger than those given above. The majority of all specimens of all species studied matured for the first time at the end of their second year.
The stomach contents of all five species were analysed using the dominance method, and the results of this are expressed in Table 3. Both species of Clarias were omnivorous although C. gariepinus consumed considerably more fish and fewer insect larvae than C. ngamensis. Sarotherodon consumed large quantities of bottom deposits most of which consisted of humus (very small pieces of organic matter probably of plant origin) together with large quantities of inorganic matter. The humus consumed by Marcusenius was probably of Chironomid origin, and this species should be considered to be insectivorous. Although Eutropius seldom exceeded 25 cm in length, they were almost exclusively piscivorous consuming juvenile cichlids and Barbus while less than 10 cm long.
Table 3
Diets of commercially important species
| Species | No. examined | No. empty | Fresh plant | Filamentous Algae | Plant detritus | Humus | Mud | Chironomid Larvae | Dragonfly Nymphs | Molluscs | Fish | Etc. |
| C. gariepinus | 781 | 290 | 20 | 45 | 112a | 98 | 18 | 25 | 29 | - | 111 | 10 |
| C. ngamensis | 543 | 161 | 1 | 3 | 42 | 5 | 50 | 117a | 73 | 19 | 14 | 8 |
| S. mossambicus | 703 | 301 | 1 | 31 | 9 | 229a | 130 | 2 | - | - | - | - |
| M. macrolepidotus | 286 | 61 | - | - | - | 104a | - | 83 | 23 | - | - | - |
| E. depressirostris | 193 | 84 | - | - | 14 | 4 | - | 8 | 14 | - | 54 | 11 |

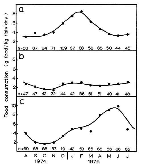
Fig. 7 Seasonal Variation in daily Food Intakes
| a) C. gariepinus | b) C. ngamensis |
| c) S. mossambicus |
The diet of C. gariepinus showed marked seasonal variation. Filamentous algae were only consumed during the high water period. During the low water period, bottom deposits formed a less important food source than at other times while fish became the most frequently consumed item. Juvenile cichlids were the most common prey although small Barbus and other Clarias were also taken. Most prey were between one eighth and one quarter of the length of the predator although one Clarias was more than half the length of the fish which consumed it. Little seasonal variation was apparent in the diets of the other species examined.
The daily food intake of C. gariepinus, C. ngamensis and S. mossambicus showed considerable seasonal variation (Fig. 7) with the former having its maximum food intake from December to May while the latter's was between April and June. Although the food intake was not necessarily of the same calorific or nutritional content throughout the year, the seasonal differences in consumption probably have significant effects upon the growth rates of these species.
The fluctuations in the abundance of Clarias and Sarotherodon are the result of two factors; the seasonal drying of the marsh and changes in the behaviour of the species. The peak in the abundance of all three species in August/September is almost certainly a result of the drying of the marsh, causing fish to be concentrated into smaller volumes of water and allowing them to be caught more easily. The peak catches of Clarias in December are probably a result of behavioural factors, as the marsh is high at this time, so that smaller catches might be expected. This month is the breeding season for Clarias and also a period of intensive feeding activity, and it is probable that the large numbers of fish are caught as a result of these activities. However, fewer Sarotherodon were caught even though it is also their breeding season at this time. It is thought that the poor catches are a result of reduced activity with the males remaining on the nests which they construct and the females staying in dense banks of vegetation to provide protection for the young. As the fish move very little, they are rarely available for capture by gillnets while breeding.
Low catches during May and June when the marsh levels are still high may be attributed to reduced activity during the cold weather. The water surface temperature is little more than 20°C during these months, but rises to 30°C in October, and is maintained at this level until March (R.E. Hastings pers. comm.).
The distributions of the five major species indicated that the riverine fishery at Chiromo was significantly more diverse than the lagoon fisheries of Mchacha and Ndombo. Three quarters of the fish weight landed at Chiromo were of the five species considered here, whereas at Mchacha these five made up 92 percent and at Ndombo 95 percent of the catch.
Large specimens of C. gariepinus are known to frequent the major river channels but are seldom taken by the local fishermen. This suggests that there should be populations of large Clarias which are not being exploited, yet subjective evidence suggests that there are fewer of these large fish present now than in 1968 (Ratcliffe 1972).
It is unlikely that significant migrations of Clarias occur. Fish probably move from the river channels into the nearest freshly flooded area for breeding purposes during the rains. The significant movement of a single specimen which travelled 47 km downstream from the tagging point was probably caused by a behavioural change as a result of tagging. M.N. Bruton (pers. comm.) also found little movement among the Clarias which he tagged in Lake Sibaya, South Africa.
Although conventional techniques for age determination are difficult for tropical species, several authors have attempted to interpret zones on vertebrae (Bishai and Gideiri 1965, Tweddle 1975), pectoral spines (van der Waal and Schoonbee 1975), scales (Bruton and Allanson 1974) and opercular bones (Lowe 1952) with some degree of success. C. gariepinus and C. ngamensis vertebrae showed fairly definite rings, and good correlation was found in C. gariepinus between growth rates determined by back-calculations from vertebral rings and by interpretation of length frequency data. Further corroboration of C. gariepinus growth estimates was obtained from juveniles caught during electro-fishing surveys and from tagging returns. Reduced growth in both species occurred during the cold season when the food consumption was also significantly reduced. Poor growth at this time of the year is probably due to a combination of the lower metabolic rate as a result of the cold and reduced food intake. The growth of female fish was found to be slower than that of males after the third year of life. The period of faster growth occurs during the breeding season, so the slower growth of females may be due to more energy being channelled into gonad development in females than in males.
The average lengths at first maturity agree well with the calculated lengths at the end of the second year. It appears that most Clarias therefore breed for the first time when they are two years old although some faster growing individuals might mature at the end of their first year.
Many tropical species breed at the beginning of the rainy season (Greenwood 1958, Kirk 1967, van der Waal 1974) and the fish studied in the Shire Valley are no exception to this. However, the breeding seasons of the Clarias are longer than might be expected from other data (van der Waal 1974) probably because the high marsh levels maintain suitable breeding habitats for a longer period than in many places. It is probable that some specimens of Sarotherodon could be found in breeding condition at most times of the year with a lull in breeding during the low marsh period of August/November.
Fecundities and sizes at maturity are similar to those found for C. gariepinus by van der Waal (1974) and for S. mossambicus by Bruton and Boltt (1975). The latter authors considered that they were working with a stunted population as a result of the extremes of environment offered by Lake Sibaya.
The variations in the levels of food consumption by C. gariepinus and S. mossambicus correspond closely with the periods of faster and slower growth for these species.
The predatory nature of C. gariepinus has been stressed by some authors, e.g., Groenewald (1964), but its feeding habits could best be described as opportunist. Considerable variability in the diet has been found in different areas (Greenwood 1958, Jubb 1967) and this ability to thrive on whatever food is available has probably been one of the factors which has allowed the wide distribution and success of this species.
Bishai, H.M. and Y.B.A. Gideiri, 1965 Studies on the biology of the genus Synodontis at Khartoum. I. Age and growth. Hydrobiologia, 26:85–97
Bruton, M.N. and B.R. Allanson, 1974 The growth of Tilapia mossambica Peters (Pisces: Cichlidae) in Lake Sibaya, South Africa. J. Fish Biol., 6:701–15
Bruton, M.N. and R.E. Boltt, 1975 Aspects of the biology of Tilapia mossambica Peters in a natural freshwater lake (Lake Sibaya, South Africa). J.Fish Biol., 7:423–45
Greenwood, P.H., 1958 The fishes of Uganda. The Uganda Society, Kampala, 124 p.
Groenewald, A.A.v.J., 1964 Observations on the food habits of Clarias gariepinus Burchell, the South African freshwater barbel (Pisces: Clariidae) in Transvaal. Hydrobiologia, 23:287–91
Jubb, R.A., 1967 Freshwater fishes of southern Africa. A.A. Balkema, Amsterdam, 248 p.
Kirk, R.G., 1967 The fishes of Lake Chilwa. J.Soc.Malawi, 20:1–4
Lowe, R.H., 1952 Report on the Tilapia and other fish and fisheries of Lake Nyasa, 1945–1947. Colon.Off.Fish.Pubn., 1:13–26
Ratcliffe, C., 1972 The fishery of the Lower Shire River area, Malawi. Fish.Dept.Bull. No. 3. Extn.Aids, Zomba, Malawi
Tweddle, D., 1975 Age and growth of the catfish Bagrus meridionalis Gunther in southern Lake Malawi. J.Fish.Biol., 7:677:85
Waal, B.C.W. van der, 1974 Observations on the breeding habits of Clarias gariepinus (Burchell) (Clariidae). J.Fish Biol., 7:23–7
Waal, B.C.W., 1975 van der and H.J. Schoonbee, Age and growth studies of Clarias gariepinus (Burchell) (Clariidae) in the Transvaal, South Africa. J.Fish Biol., 7:227–33
by/par
R.J. Muncy
1907 Ferndale Avenue
Ames, Iowa 50010, U.S.A.
|
Fishery biologists have offered various interpretations of the effects of ecological and biological factors on the fish stocks and catches from the Kafue River. In turn, these interpretations have influenced the evaluations of the present and future state of the Kafue River floodplain fishery. The body of knowledge concerning African river and floodplain fisheries has begun to grow as the result of work and reports of the Committee for Inland Fisheries of Africa to a level where generalized concepts have been put forth on factors affecting fisheries. Studies on the Kafue River fishery in recent years have indicated that water level conditions extending over the previous two years greatly affect catches in any single year. Catch statistics within the flood-plain statistical districts have varied significantly by districts, years and months as well as first order interactions of these three factors. Separating reasons for these differences as to stocks and/or fishing difference could prove very useful for future management practices. The biological implications of the water level effects on spawning, growth, and survival of future stocks suggest that scope of natural fluctuations should be incorporated into the Kafue River fishery management scheme unless future controlled water releases by the two impoundments greatly change the past ecological implications of water fluctuations on the fishes and the fishery. Résumé Les biologistes des pêches ont fourni diverses interprétations de l'incidence des facteurs écologiques et biologiques sur les stocks et les captures de poissons dans la Kafué. A leur tour, ces interprétations ont exercé une influence sur les évaluations de l'état présent et futur de la pêcherie de la plaine d'inondation de la Kafué. Les travaux et les rapports du Comité des pêches continentales pour l'Afrique ont permis d'accroître les connaissances sur les pêches des aires d'inondation et des cours d'eau africains, à un tel point que l'on a pu formuler des concepts généraux touchant les facteurs qui affectent ces pêches. Il ressort des études menées ces dernières années sur la pêcherie de la Kafué que les niveaux d'eau des deux années précédentes ont une grande incidence sur les captures d'une année donnée. Les statistiques des captures réalisées dans les zones statistiques de l'aire d'inondation ont varié notablement d'une zone, d'une année et d'un mois à l'autre, au même titre que les interactions de premier ordre de ces trois facteurs. En isolant les causes de ces différences selon qu'elles se rapportent aux stocks à la pêche, on apporterait une utile contribution aux futures méthodes d'aménagement. Les répercussions biologiques de l'incidence des niveaux d'eau sur la période génésique, la croissance et le taux de survie des stocks futurs permettent de penser que l'on devrait tenir compte de l'ampleur des fluctuations naturelles dans le plan d'aménagement de la pêcherie de la Kafué, à moins qu'à l'avenir les émissions d'eau des deux bassins de retenue ne modifient considérablement les effects écologiques des fluctuations de l'eau sur les poissons et la pêcherie. |
Fishery biologists have differed over the productivity and potential yields from major river fisheries. Gerking (1977) reported that large rivers of the world are not listed as heavy producers of freshwater fish for food. He states “Floods with the accompanying high turbidity, shifting bottom deposits and changing river channels, disturb normal fishing practices and cause unpredictable changes in abundance and species composition.” Gerking cited United States Mississippi River catch statistics which dropped 27 percent between 1950 and 1972; however, catches of less than 3 kg/ha for the Mississippi River are relatively low compared to 37.48 kg/ha/yr reported by Welcomme (1975) for 12 African floodplain fisheries and estimated values of 40–60 kg/ha/6 months (Welcomme, 1976). Gerking (1977) reports “Dams, channelization and pollution have changed many of world's great rivers … and where they once supported desirable fish in commercial quantities, the catches are reduced to a low level. Although large rivers will feed many people who live along their banks, they will never be a source which an increasing population can look upon as a reserve, waiting to be tapped.”
Welcomme (1976) reported that the floodplain fisheries of Africa contribute about 40 percent of the 1.1 million tons total of freshwater catches. Welcomme (1975) suggested that, although little studied, rivers possibly contribute nearly half of the total fresh-water fish caught in inland African waters. Hickling (1961) reported in his chapters on “The River Fisheries” and “The Flood Fisheries” that these fisheries “are the biggest freshwater fisheries in the world”.
It is toward the goals of better understanding the impact of flooding regimes upon the fish ecology and subsequent fishery that this paper is being presented; thereby, hopefully reducing Gerking's (1977) unpredictable changes in abundance and species composition which disturb normal fishing practices. Welcomme (1975) has given a detailed description of major African floodplain fisheries including the Kafue River. As yet many of the major changes attributed by Gerking (1977) to reduce yields in the major rivers in the Northern Hemisphere apparently have not impacted the major African river systems to that extent. Welcomme (1976) shows that flooding and floodplain characteristics are of major importance to increased theoretical catches from African floodplain fisheries.
Kafue River fishery data presented herein draws heavily upon published official Zambian data, previous reports and research publications. Data accumulated from 1951 through 1973 have been evaluated and tested against concepts set forth by Welcomme (1973 and 1975) for African floodplain fisheries. The views expressed in this paper are entirely those of the author.
The Kafue River arises in north-central Zambia and flows south-eastward through Itezhi Tezhi Gorge and then eastward along the flat gradient of Kafue Flats for 240 km. Flood peaks travel from Itezhi Tezhi to Kafue Rail Bridge (Kasaka) in about 80 to 90 days (University of Idaho, 1971). Entering Kafue Gorge's series of rapids and falls, the Kafue River drops more than 600 m in 32 km before entering the Zambezi River. The Kafue Gorge forms an effective barrier to most upstream fish movements. Dudley (1974) has published a more detailed description of Kafue River and Muncy (in press) presents U.S. Earth Resources Technical Satellite (ERTS-1) mosaic of four aerial photographs taken 916 km vertically above the Kafue River area.
The Kafue River fishery is generally related to the floodplain between Itezhi Tezhi and Kafue Township (Kasaka) but formerly important fisheries existed in Kafue Gorge and Busanga Swamp. Lukenga Swamp, located 350 km above Itezhi Tezhi, receives flood water from Kafue River and has developed into a major fishery in 1970's.
Williams (1960) presented the earliest review of Kafue River fishery. Pike and Carey (1965), University of Michigan (1971), Mabaye (1973), Kapetsky (1974a), Muncy (1973), Dudley (1974) and Welcomme (1975) have commented on the status and potential of the Kafue floodplain fishery.
Over-fishing, as well as under-utilization of the fishery potential of African fresh-water fisheries, has been raised many times in the past, especially for the Kafue River fishery. As early as 1955, smaller fish and a drop in catch per unit effort caused some concern but later assurance was given that gill nets over 76 mm mesh would not over-exploit major species prior to first spawning. Hickling (1961), in comparing Kafue River average catches in 1954-55-56-57 of 6.2 kg/ha to other Asian and African floodplain yields, stated “one night even suggest that the Kafue Flats are under-exploited.” FAO (1973), Mabaye (1973) and Welcomme (1973) reported the Kafue River floodplain greatly under-fished and suggest potential yield from 10 000 to 30 000 mt/yr versus average 5 984 mt/yr for 1961–72.
A major problem with consideration of terms “under-exploited and over-fishing”, as applied to the Kafue River floodplain fishery or other floodplain fisheries, is that these terms and resulting methodology have been derived mainly from steady-state fisheries with constant recruitment. Dudley (1974), Kapetsky (1974b), and University of Michigan (1971) show that neither constant recruitment nor constant growth rates can be applied to the Kafue River floodplain major cichlid species. Welcomme (1975, p.23) states that in general for African floodplain fisheries “year-classes from years of good flooding and slight draw-down show greater numerical strength, growth and survival than year-classes from years of poorer flood conditions”. Fixed or steady-state yield models fail to properly account for fluctuating populations and production variables. It is little wonder that various fishery biologists viewing Kafue River data have come to quite different conclusions over the past decade, even with several biologists expressing differing views following re-analysis of their data at later dates.
Traditionally catch statistics for the Kafue River floodplain fishery have been collected from four districts listed from Kafue Township upstream: (1) Lusaka, (2) Mazabuka, (3) Mumbwa, and (4) Namwala (Figure 1). Gill nets are fished throughout the year in all four districts with larger catches reported with more stable water conditions of June-September. Drawn netting is more important in period of low water during late August through December with greatest activity reported for upstream district of Namwala. Analysis of variance of catch statistics by months and districts for the years 1963–1970 indicated significant differences at 0.05 level between years, months, locations and all first-order interaction as well as significant differences at 0.01 level for all except the months × locations interaction. Locations (districts) accounted for the greatest difference, followed by years × location interaction, followed by year differences and then by monthly differences. Duncan range tests revealed that all four districts were significantly different (0.05) with order of higher catches being in Namwala, Mazabuka, Mumbwa and Lusaka, respectively. October and November had significantly higher catches, followed by December, September, August, July and June, than the remaining five months (Muncy, in press). Decreased draw net catches in the Namwala District (Figure 1) after 1966 apparently account for much of the highly significant (F = 16.62 df. 21:231) year × location interaction, which finding is in agreement with previous Chi Square test of interaction analysis reported by Muncy (1973) prior to closure of the Kafue Gorge Dam. Williams (1960) stated that one cannot compare statistically the annual total figures of the Kafue fishery because of natural differences in districts each season. Muncy (1973) noted a seasonal lag of one to two months in the peak catch between Namwala and Lusaka districts.

Figure 1 Annual fish catches for 1954–73 from the Kafue River, Zambia, with corresponding September-December water stages at Kusaka (Kafue Rail Bridge) gauging station. Catches for 1961–70 are sub-divided into district catches as well as the dip-net fishery. Two estimates are presented for 1967 annual catch as 2 894 mt (GRZ) and 5 552 mt (Muncy, 1973). Dashed lines for water stages in 1971–72 represent levels calculated as non-flooding by Kafue Gorge Dam
The decrease in the catch data for the Namwala District since 1967 is puzzling since catch per unit effort has remained highest in that district, but reported efforts have been decreased two-fold below that of other three districts. Dudley (1976), in a follow-up 1975 study to duplicate the University of Idaho (1971) 1969–70 study (Dudley, 1974), reported limnological conditions of mid-Kafue floodplain were similar to 1969–70, prior to construction of Kafue Gorge Dam. He reported that experimental gill net catches were significantly lower than in 1969–70 and growth of Sarotherodon andersoni and S. macrochir had changed slightly but previous correlations of improved growth with flood indices (Dudley, 1974; Kapetsky, 1974b) were not apparent in 1975 data.
In addition to determing the impact of ecological factors on actual catches and potential yields of African river fisheries, knowledge of the role that ecological factors have on fish populations is important in changing Gerking's (1977) “unpredictable changes in abundance and species composition” to more predictable changes and especially with mancaused changes by impoundment and controlled releases along major African rivers. Fishes in African rivers have evolved to respond to the natural flooding regimes; however, flooding undergoes short and long-term changes induced by varying weather patterns. Welcomme (1975) described the flood regimes of major African rivers, including citing Kapetsky's (1974b) study of Kafue River regime. Since the timing, pattern and magnitude of the flooding regime may vary considerably within any year or over a series of years, the impact of various flooding patterns on the fish populations and fishery of a particular river system is of major importance, especially if intensive development of a fishery or man-made changes in water patterns are under consideration. Obviously, water level patterns or flooding should be of a major factor upon the reproductive patterns, hatching, growth, natural mortality, and subsequent population structures and density of fish stocks. Welcomme (1976) reports very high correlation (r = 0.95) between recorded average catch statistics for African rivers and the basin area. He also shows that annual catch increases strongly linearly with increased floodplain area (r = 0.91). As he suggests, floodplains tend to be in lower reaches of major rivers and thus the two factors are probably somewhat inter-related. Another factor, which he did not consider for basin area of major rivers, is that the chance of non-flooding years may be reduced with expanded and probably varied watershed area, thus adding more stability to flooding and fish populations in those basins. A test of variation in annual catch statistics for Welcomme's river basins would help answer this point and prove instructive in planning for man-controlled water patterns. Examination of catch statistics for the Niger River versus Kafue and Shire Rivers (Welcomme, 1975, p.35) reveal that, even with major drop in Niger River catches after 1972, the coefficient of variation for catch data are 0.10 versus 1.11 and 0.27, respectively.
The University of Michigan (1971) pioneered in the analysis of effects of water level patterns on Kafue River fishery catches. Kapetsky (1974b) and Dudley (1974) expanded the analysis of water level indices to show growth response to hydrological regime by major cichlid species in Kafue River catches. The University of Michigan (1971, p.71) study reported:
Flood storage in a given year was not significantly related to total catch in same year
Area inundated in the previous year was positively correlated (r = 0.65) with catch in a given year
Neither storage volume nor area inundated from two years previously were correlated with catch.

Figure 2 Kafue River fishery catches for 1954–73 plotted against September-December Kasaka total water stages and connected by arrows to illustrated sequences of catches. Two sets of data are presented for 1971 and 1972, based upon water stages measured with (X) and without (0) Kafue Gorge Dam flooding. Catch data for 1967 is plotted, based upon Muncy (1973) estimate (0) of 5 552 mt and GRZ estimate (X) of 2 894 mt
Further analyses by University of Michigan (1971) revealed that natural logarithm of September-December flood storage termed “drawn-down factor (DDF)” was better correlated (r = 0.77) with catch of the following year than the DDF (r = 0.62); however, they did not mention that the better logarithmic plot would indicate some curvilinear relationships in the data. Using the University of Michigan (1971) DDF concept, Muncy (1973, in press) analysed various combinations of Kafue River annual catches against DDF for September-December of the same year, previous year, and two years previous as well as combination of these DDF. A plot (Figure 2) of annual catches versus DDF at Kasaka gauging station, corrected for 1971 and 1972 impoundment levels, shows graphically that catches in 1954–56 were not responsive to water levels and as reported by Williams (1960) fishing and water levels had little effect on stocks until after the major increase in fishing with advent of cheap nylon gill netting in 1957. From 1957 through 1973, catches were responsive to water levels in the previous two years and in the same year. Sequences with two years of increasing water storage levels resulted in increased catches in second years (1962 and 1969), but more importantly major increases in catches resulted in years with falling water levels following at least two years with increased water levels (1957–58 and 1963–64). Apparently in later years the stocks were reduced more rapidly during years of falling water levels; however, total catches do not show these greater catches. Gill net catch per unit has dropped four-fold and remained lower since 1960. Admittedly, the sequence of years is low but the relationship is visibly strong. University of Idaho (1971, p.64) predicted an outstandingly successful fishery in 1970 based upon the extent and height of 1969 flooding; however, catches dropped in 1970 and continued to drop through the drought years of 1972–73 (Figures 1 and 2).
Regression and correlation analyses by Muncy (in press) of 1954–72 catch data and sub-sets thereof versus water stages revealed highest correlation values for years 1957–69 which was in agreement with Williams (1960) observations that catches in 1954–56 were far below the Kafue River potential. In fact the smaller size fish causing concerns in 1955 catches as to possible over-fishing may have been the result of increased recruitment from 1953 although no records are available as to sizes of fishes but catch per effort (cpe) was the highest reported with 51 kg/100 m gill net in 1954. Total catches for 1957–58 years with falling water levels were the highest on record for the Kafue River but showed rapidly falling cpe to 24 to 10 kg/100 m. Adding catch data for years 1970–72 to correlation series decreased the correlation coefficients but this was not very surprising in view of the earlier reported results of major changes in the districts × years interactions. Simple regression and correlation analyses of 1961–70 catch data by districts (Muncy, 1973) showed the Namwala District with highest correlation (0.93) to water stages two years prior, Mumbwa to water levels of previous year (0.62) and Mazwbuka to water stages in same year (0.28). The regression of 1957–72 yearly Kafue River catches (y) in metric tons on September-December water levels in same year (Xn) plus previous year (Xn-2) was Ŷmt = 3807 + 0.054 Xn + 0.6884 Xn-1 + 0.585 Xn-2 (r = 0.736, R2 = 0.5429) and fitted for square root of catches and water levels was Ŷ square root = 57.8 + 0.0015 square root Xn + 0.0049 square root Xn-1 + 0.0046 square root Xn-2 (r = 0.772 R2 = 0.5963), indicating that water levels in previous two years had greater effects on increased catches than water levels in same year, but all three factors combined were important in estimating catches. Welcomme (1975) further refined the concept of effects of flooding on annual catches for Niger, Shire, and Kafue Rivers. For the Kafue River from 1958–1971, Welcomme reported best fit as CY = 2962 + 70.5442 (0.7HIy-1 + 0.3HIy-2) with (R2 = .57). Welcomme's comparisons of correlations and standard errors of estimates for three river systems indicated although there was no auto-correlation between catch and Flood Index of any years and year preceding it, the fish catch in year Y ïs better explained by flood history from the two preceding years than by either year on its own. Welcomme (1975) shows that the predictive results using his regression vary by about 23 percent for Kafue River and tend to estimate slightly high as the series of data increased for all three river systems.
Even though predictability of catch statistics has not been refined to a high degree of accuracy, the biological implications from analysing the effects of water levels over years on the catches of river fishes has been very important in defining the biological factors which should be studied for better management and removal of Gerking's (1977) “unpredictable changes”. Welcomme (1975, 1976) has advanced the state of knowledge of African river fisheries by his applications, testing, and expansions of the concepts of water regime variations and their impacts throughout the continent as well as deriving major concepts for cause and relationship principles. Kapetsky (1974a, 1974b) and Dudley (1974, 1976) have reported upon improved spawning, growth rates, and survival during years of higher water levels in Kafue River. Studies by University of Michigan (1971) and University of Idaho (1971) reported that high water levels in the previous year produced increased catches in following year; however, Muncy (1973) questioned the time span of their cause effect relationships and predictability. Later analyses by Kapetsky (1974b), Dudley (1976) and Welcomme (1975) tend to support the combined 2-year water cause and effect relationships in Kafue River for the successful spawning, growth, and survival of stocks into the catch statistics. Welcomme (1975, p.32) states “On biological grounds and from statistical data in Table X, it might be expected that the flood regime in both preceding years (Y-1 + y-2) might exert an effect on fish catch in year y.” In summarizing data for Kafue, Shire and Niger Rivers, Welcomme (1975, p.34) states “Thus, years of optimum catch follow one or more years of good flooding and where the amount of water remaining in the cistern during the dry season is relatively abundant.”
Many major African river systems have not been modified by man to the point where water regimes can be greatly changed. Even in those rivers already impounded, extreme fluctuation during droughts or major flooding probably are beyond man's control. Thus, man's major impact upon the fisheries may be by his role in harvest, either selective as to species or sizes and/or amounts upon the stocks. Prior to recent years, man's removal of fishes from major African river systems has been considered minimal and capable of major expansions with proper technology and increased fishing effort. Muncy (1973) questioned the availability of major under-utilized fisheries resources in Kafue River. True, there were under-utilized stocks of many smaller-size species; however, their exploitations with conventional netting would expose presently utilized stocks to higher exploitation at smaller sizes and ages. Welcomme (1975) reports that 8 out of 12 major African floodplain fisheries including the Kafue River “appear to be fished at a high level”. Kapetsky (1974b) states that production levels and fishery yields for Kafue River are lower in comparison with other tropical and temperate systems and may be limited by restrictions of space imposed by fluctuations in the hydrological regime and by low fertility of floodplain soils. Kapetsky states “Recent man-induced changes in the ecosystem, most importantly intensive exploitation of fishes, have resulted in lowered fish production.” Dudley (1976, p.44) reported that fishing in 1975 was more intense than in high water years but the major factors affecting spawning success seemed to be physical rather than fishing. Dudley stated “However, fishing could be sufficiently intense to be limiting overall catches. Future research on the Kafue floodplain should have, if possible, as top priority a project to estimate mortality due to fishing.”
I believe that the question of “over-fishing versus under-utilization of stocks” has somehow diverted research and attention away from important considerations for better management of African floodplain fisheries through increased knowledge of environmental and biological factors affecting stocks, and in turn man's use of these fisheries. Now that we think we understand better the cause and effect relationships between water levels and stocks and have indications that under low-water conditions man can more intensively exploit existing stocks, we need to direct efforts to testing and refining models for wise use of these fisheries resources under present and future predictable conditions. We have too many past examples where man's increased technological developments have over-exploited natural systems which had evolved in response to long-term ecological patterns. African river systems have finite limits within which proper management can definitely produce positive results; however, we cannot manage these naturally fluctuating systems as if the fluctuations did not really exist to produce good or poor series of catches. These inherent fluctuations make steady-state concepts and management incorrect along with question of “over-fishing versus under-utilization” to be of minor importances. For example, the previous high and low annual fish catch reported for the Kafue River (Figure 1) reveal a yield for 434 000 ha at peak flood (Welcomme, 1975, p.30) of 23.62 kg/ha (1958) versus 6.87 kg/ha (1960) compared to 13.79 kg/ha 13-year average (Welcomme, 1975, Table XII). Thus, we are working with at least a three-fold fluctuating of annual catch within only 3 years over a 20-year series of records. Average yields may be good planning goals but they may not be biological or economically sound if instability is inherently environmentally caused and in turn a biological related factor.
Harvest of a “resource” fished at a high level should be somewhat related to stock characteristics. Gulland (1973) points out “The outstanding and obvious (though often neglected) fact about natural fish population is that they are finite.” He further states “The first question that the administrator should ask of the fishery scientist, is therefore, how the present catches compare with the potential yield; are the stocks lightly exploited, with good possibilities of increased catches, or are they heavily exploited, and is the main problem of making the best use of these limited catches.” Of concern, to me, in relation to the Kafue River floodplain fishery along with the question of fluctuating annual catches versus average yield are the implications of steady-state production estimates of potential yields.
Kapetsky (1974b) reported high natural mortality rates during receding floodwaters and during low-water periods. Dudley (1976) suggested that fishing mortalities and removal of smaller-sized fishes were higher during 1975 field studies with low water conditions than during 1969–70 higher water conditions. Growth and spawning success have already been shown to vary with water level conditions (Dudley, 1976, 1974; Kapetsky, 1974a, 1974b) which in turn would affect time-spans for recruitment into fishery.
University of Michigan (1971), applying steady-state theory correlation analysis to effects of catches in one year versus next year for the 1957–69 Kafue River catch data, found no significant correlation (r = 0.32); however, Muncy (1973) found much higher correlations when limited expanding or declining population time series were examined. Kapetsky (1974b) in later analysis states “… more importantly intensive exploitation of fishes, have resulted in lowered fish productions.”
Recently a basically old concept of biological over-fishing has been examined for a number of fisheries by Cushing (1975). Biological over-fishing has been applied to the situations where reductions in fish stocks have depressed resulting reproduction potentials below the normal carrying capacity of the habitat even with fluctuating environmental conditions. The Beverton-Holt and Ricker models (Ricker, 1975) were evolved to examine the more normal relationship between spawning populations and reproduction and resulting yields. For the Kafue River fish stocks, there is no strong evidence at present that spawning stocks have been depressed to a point which reproductive response to improved water conditions has been hindered; however, questions have been raised as to whether total fishing effort in years of low water levels has not reduced stocks as well as total catches along with greater reliance on small fish from recent recruitment, thereby reducing growth potentials of successful year class in year with moderately expanded water levels. Several African fishery stocks have been biologically over-fished where there were restricted spawning areas. Mabaye (1973) reports such a situation for Lake Mweru's “Luapula Salmon”. He also suggests reduced fishing efforts in year when spawning stocks have been reduced by natural disasters.
Additional data and research are needed on the natural and fishing mortalities under various water level conditions in the Kafue River over additional years. The effects of controlled water releases from Itezhi Tezhi Dam (Muncy, 1973) may greatly modify future water regimes and resulting catches as compared to past data, thereby resulting in different water level patterns especially in hot-dry months of August-October.
Cushing, C.D. 1975 Marine ecology and fisheries. London, Cambridge Univ. Press. 278 p.
Dudley, R.G. 1974 Growth of Tilapia of the Kafue floodplain, Zambia: predicted effects of the Kafue Gorge Dam. Trans.Amer.Fish.Soc., 103(2):281–91
Dudley, R.G, 1976 Status of major fishes of the Kafue floodplain, Zambia, five years after completion of the Kafue Gorge Dam. Final report to the National Science Foundation Scientists and Engineers in Economic Development Program (USA), Grant #OIP75-09239:71 p.
FAO/UN 1973 A brief review of the current status of the inland fisheries of Africa. Afr.J.Trop.Hydrobiol.Fish., special issue 1:1–19
Gerking, S.D. 1977 Freshwater fish - a global food potential. Ambio. 6:39–43
Gulland, J.A. 1973 Resource studies in relation to the development of African inland fisheries. Afr.J.Trop.Hydrobiol.Fish., special issue 1:21–25
Hickling, C.F. 1961 Tropical inland fisheries. N.Y., John Wiley and Sons, Inc. London, Longmans. 287 p.1961
Kapetsky, J.M. 1974a The Kafue River floodplain: an example of preimpoundment potential for fish production, p.497–523. In E.K. Balon and A.G. Coche (Ed.) Lake Kariba: a man-made tropical system in Central Africa. The Hague, Dr. W. Junk Publ.
Kapetsky, J.M. 1974b Growth, mortality and production of five fish species of the Kafue River floodplain, Zambia. Ph.D. Dissertation, Univ., Mich. 205 p. (Dissertation Abst.Int.B Sci.& Engr., 35(12)1975:5853
Mabaye, A.B.E., 1973 The role of ecological studies in the rational management of fish stocks. Afr.J.Trop.Hydrobiol.Fish., special issue II:143–60
Muncy, R.J. 1973 A survey of the major fisheries of the Republic of Zambia, Rome, FAO, FI:DP 9/10 ZAM 511/3:69 p.
Muncy, R.J. Floodplain fishery of the Kafue River, Zambia, Africa. Afr.J.Trop. Hydrobiol.Fish., 4(2): (in press)
Pike, E.G.R. and T.G. Carey 1965 The Kafue Floodplain. P.76–84. In M.A.E. Mortimer (Ed.) The Fish and Fisheries of Zambia. Ndola, Zambia, Falcon Press
Ricker, W.E. 1975 Computation and interpretation of biological statistics of fish populations. Bull.Fish.Res.Bd.Can., 191:382 p.
University of Idaho et al., 1971 The ecology of fishes in the Kafue River. Report prepared for FAO/UN acting as executing agency for UNDP. Moscow, Idaho, University of Idaho, FI:SF/ZAM 11 Tech.Rep. 2:66 p.
University of Michigan et al., 1971 The fisheries of the Kafue River Flats, Zambia, in relation to the Kafue Gorge Dam. Report prepared for FAO/UN acting as executing agency for UNDP. Ann Arbor, Michigan, University of Michigan, FI:SF/ZAM 11:Tech.Rep.1:161 p.
Welcomme, R.L. 1973 A brief review of the floodplain fisheries of Africa. Afr.J.Trop. Hydrobiol.Fish., special issue I:67–76
Welcomme, R.L. 1975 The fisheries ecology of African floodplains. CIFA Tech.Pap. 3:51 p.
Welcomme, R.L. 1976 Some general and theoretical considerations on the fish yield of African rivers. J.Fish.Biol., 8:351–64
Williams, N.V. 1960 A review of the Kafue River fishery. Rhod.Agric.J., 57:86–92
by/par
K.S. Gilmore
Fisheries Officer
Ministry of Agriculture
Gabarone, Botswana
|
Botswana's greatest potential for fishery development lies within its only permanent natural water body, the Okavango Delta. With an annual offtake of 1 200 m.t per annum, future development should stress expansion of rural-based village level fisheries. Recent studies indicate low fish productivity for the resource as a whole. Further investigation on the biology and ecology of the stocks is needed before rational development can begin. Résumé Le plus grand potentiel de développement des pêches du Botswana réside dans le delta de l'Okavango, seule nappe d'eau naturelle permanente dont dispose ce pays. Compte tenu des prises qui atteignent 1 200 tonnes par an, les plans futurs de développement devraient faire une large place à l'expansion des pêcheries au niveau des villages. Les études récentes indiquent que la productivité en poisson est faible pour la ressource dans son ensemble. L'on devra effectuer de nouveaux travaux sur la biologie et l'écologie des stocks avant de pouvoir entreprendre une mise en valeur rationnelle. |
Botswana's greatest fishery resource potential lies within the natural waters of the Okavango River Delta, its only permanent body of water. The Okavango system originates in the highlands of Angola and flows southward into the northwest region of the Kalahari Desert where it forms a vast floodplain some 10 000 km2 in area. The delta forms a flat cone with a slope of about 1 in 36 000 (Wilson and Dincer, 1976). Irregularities in topography provide for characteristic floodplains (melapo), river channels and lagoons (madiba). The delta is subject to an annual flood cycle that begins as a wave at the top of the delta in January and peaks at the base of the delta below the Thalamakane fault line in June. The flood moves very slowly, with most of the flow taking place outside the main river channels (Wilson and Dincer, 1976). Of the total inflow (16 × 109 m3/annum), only 22 percent reaches the base of the delta as outflow. Recent re-evaluation of existing data indicates that the Okavango is oligothropic in nature and that primary productivity is lower than similar systems in Africa (Thompson, 1974).
There are approximately 80 species of fish inhabiting the Okavango (Jubb and Gaigher, 1971); however, in any given community it is uncommon to find more than 20 species in common residence. Early investigators found that Okavango fish communities were dominated by predators, and that the biomass in any given habitat would be skewed away from the herbivores (Maar, 1965). It is now known that past surveys relied on the use of gill net data which selected disproportionately the more robust predaceous fishes in the community. Recent data collected from seine net hauls in a selected lagoon in the lower delta indicate that the food ranges of resident species is well balanced between herbivorous and piscivorous groups (Fox, 1976). Growth in the Okavango is slow, and may be attributed in part to the fact that the peak of the annual flood cycle occurs at the coldest time of the year throughout much of the delta.
It is estimated from official census that approximately 54 000 people live along the western and southern fringes of the delta in often isolated villages of less than 500 inhabitants. The major occupations are either cattle or crop production. Throughout the delta subsistence arable agriculture is practised by 70–90 percent of the resident population. Cattle production is practised on a traditional cattle post system away from the Tsetse fly-infested delta interior. Fishing is common throughout and is considered to be a major activity on a seasonal basis. Unlike crops and cattle, the number of persons employed in fishing at any given time is difficult to assess. Nevertheless, it is estimated that approximately 400 mt is harvested from the Okavango and related areas on a subsistence basis.
The majority of Okavango fishermen are either Bayei or Hmbukushu tribesmen who fish in conjunction with a variety of subsistence activities, e.g. agriculture, hunting and gathering, etc. Fishing commences with the onset of the annual flood depending upon the method employed. The traditional methods have evolved over time to suit local conditions and habitats fished. A weir-like device, nteta, is set along small streams that are flood plain feeders. It is the major traditional method and accounts for about 50 percent of the offtake. Nteta fishing peaks with the period of falling water, depending upon duration and extent of flooding. Dry season methods are used to a lesser extent and include botanical poisons, basket traps and spears. Traditional methods are rarely used exclusively for lagoon habitats. The most popular, and the only introduced method of catch, is the gill net which is used only in riverine and lagoon areas. Commercially manufactured nets are available in a mesh size of 115 mm. Nets of smaller mesh sizes are locally constructed from lorry tyre cords. The majority of the catch is either consumed at home or sold and traded at the village level. The value of the subsistence catch that is marketed is unknown.
As expected, throughout the Okavango wherever fishing is practised, there seems to be a functional association between catch and primary productivity. The apparently low offtake seems to reflect low fish productivity although this is only a contributing factor; others include the unsettled nature of the delta interior and under-exploitation. Studies conducted by Maar (1965) and Fox (1976) indicate that waters in the more sparsely populated areas on the interior are less productive than those channels, floodplains and lagoons enriched by domestic animal manure. The highest recorded estimate of standing stock is 700 kg/ha from a cattle enriched lagoon near the bottom of the delta (Fox, 1976). In the same study unenriched lagoons had standing crops ranging from 20–200 kg/ha. This is somewhat less than standing crops estimated from Kafue Flats, Zambia (University of Michigan, 1971). It is postulated that for African rivers catches increase with distance from the river source (Welcomme, 1975). This seems to apply to the Okavango as well, although Maar (1965) found gill net catches often higher in the upper delta river channels. Catches per unit of effort for various habitats are presented in Table 1. Data indicate that for the delta interior the most productive habitat is near river channel edges where emergent vegetation is minimal. Papyrus swamp away from the main river channel is least productive. For the cattle-enriched shallow waters of Lake Ngami the productivity is the highest at 27.9 kg/standard net.
Table 1 Catches per unit of effort (standardized gill nets) for various habitats within the Okavango Delta
| Habitat | Catch (kg) | Flow |
| Cyperus Marsh | 5.9 | No flow* |
| Phragmites Marsh | 6.4 | Slight flow* |
| Cyperus/Nymphaea Marsh | 6.9 | Slight flow* |
| Cyperus/Nymphaea Lagoon | 10.8 | No flow* |
| Open Lagoon | 10.9 | No flow* |
| River's edge (submerged vegetation) | 14.0 | Fast flow* |
| Mopipi Pan (no vegetation) | 19.5 | No flow |
| Lake Ngami (emergent vegetation) | 27.9 | No flow |
* Adapted from Fox, unpublished
Commercial development of the Okavango fish resource, except Lake Ngami, is unrealistic for the foreseeable future due to the natural constraints of low productivity, inaccessability, distance from market and lack of supportive infrastructure for rural industry. Expansion of the rural-based artisanal fishery will assume a greater importance as the delta becomes more settled. Exploitation of Lake Ngami by resident fishermen on a commercial basis is at present a reality with an offtake of approximately 800 mt per annum. Fishing at Lake Ngami is an important contributor to the local economy. Nevertheless, depending upon the height of the annual flood, Lake Ngami can unpredictably dry up and remain dry for extended periods of time. High capital investment in this fishery is cautioned. Other possibilities for development include fish culture with rice production in selected areas; however, further investigation is needed before conclusions can be drawn.
Okavango fish stocks are under-utilized and present development is aimed at increasing exploitation at the village level of accessible stocks. Gill nets were introduced 10 years ago with great success. A reduction in the imported mesh size from 115 mm to 75 mm is expected to increase the present level of utilization by artisanal fishermen. Because large isolated areas of the resource act as a reserve, regulatory measures designed to control seasons, areas and methods of catch, have not been introduced. Experience has shown that such legislative measures of control often serve to discourage artisanal fishermen from practising their craft.
Artisanal fishermen in the Okavango Delta operate as individuals. Groups of fishermen are being encouraged to cooperate together as fishermen's associations by pooling their common services, e.g. inputs, operational bases, and equipment. The concept of cooperating as an association is not new in Botswana, and many rural people are familiar with its benefits: market assurance, reliability of inputs and availability of loans. Group associations sharing common services facilitate a more effective approach to extension work by concentrating limited resources in selected areas. Because fishermen's associations are still experimental in the Okavango, it is difficult to assess their performance at this writing.
A more immediate priority is to investigate the resource potential by gathering sound base line data on the ecology and biology of the stocks. Future work should include the more exacting possibility of fish farming as a mode of production in conjunction with the exploitation of natural stocks. Areas for experimentation should include the construction of drain-in pools (Welcomme, 1971) in manure-enriched floodplains as a means of extending the low water fishing season. Regardless of what development innovations are implemented, increasing the present level of exploitation will depend very much on the parallel expansion of the local economy in the surrounding area.
Fox, P. 1976 Preliminary observations on fish communities of the Okavango Delta. Symposium on the Okavango Delta and its future utilization. Gaborone, Botswana. 11 p.
Jubb, R.A. and I.G. Gaigher 1971 Checklist of the fishes of Botswana. Misc. Pub.Nat.Mus., S. Rhodesia, Arnoldia. 7:(5) 3 p.
Maar, R. 1965 Report on a fisheries survey in Bechuanaland B.P. 1963/64. OXFAM. 38 p.
Thompson, K. 1974 Environmental factors and aquatic plants in the Okavango Delta. FAO, Rome. 72 p.
University of Michigan, et al. 1971 The fisheries of the Kafue Flats, Zambia, in relation to the Kafue Gorge Dam. Report prepared for FAO/UN acting as an executing agency for UNDP. Ann Arbor, Michigan, University of Michigan. FI:SF/ZAM 11: Tech.Rept.1. 161 p.
Welcomme, R.L. 1975 The fisheries ecology of African floodplains. CIFA Tech.Pap., (3):51 p.
Welcomme, R.L. 1971 A description of certain indigenous fishing methods from Southern Dahomey. Afr.J.Trop.Hydrobiol.Fish., 1:67–76
Wilson, B. and T. Dincer 1976 An introduction to the hydrology and hydrography of the Okavango Delta. Symposium on the Okavango Delta and its future utilization. Gaborone, Botswana. 22 p.
by/par
J.B.E. Awachie and L. Hare
Hydrobiology/Fisheries Research Unit
Department of Zoology
University of Nigeria
Nsukka, Nigeria
|
Recent Federal Government of Nigeria policy on comprehensive and integrated development and management of water resources in Nigeria has led to the establishment of river and lake basin authorities in the country. Allocational priorities and conflicts of both surface and underground water resources for envisaged projects are expected to have considerable bearing on the future path of development of river and floodplain fisheries of the various basins. The present and future fisheries of three rivers involved in this basin type of development are compared in the light of present and envisaged future developmental schemes. Despite basic differences in the physiography of the basins, the main features of the present indigenous fishery practices are largely similar. Seasonal floodplain fisheries are the most productive component while the main channel and pond fisheries during the dry season contribute less but are important in that production/supply of fish/fishery products from this sector are available throughout the year. Essential differences in the exploited stock, production and yield, fishing methods, processing and distribution procedures are related not only to the degree of influence of the marine element on the three rivers but also to marked differences in fishery inputs especially in respect to the type of the manpower involved and the level and quality of the extension services available. The future of both freshwater and lagoon fisheries in the Ogun and Oshun Rivers is expected to be considerably influenced by the projected barrage developments and other flood control measures on the rivers. Consequent emphasis on reservoir and culture fisheries is indicated. In the Anambra basin, on the other hand, expected water resources developmental schemes are unlikely to change the present pattern of river and floodplain fisheries but considerable increase in fish production should accrue from the projected fish farm schemes on the rich triangular floodplain located east of the Niger, with Onitsha as the apex of the triangle. Résumé Les récentes décisions du gouvernement fédéral nigérien en matière de mise en valeur générale et intégrée et d'aménagement des ressources hydriques du Nigeria ont conduit à la création de Services des bassins fluviaux et lacustres. On s'attend à ce que les priorités établies et les utilisations concurrentielles, en surface et dans le sous-sol, des ressources hydriques, produisent des effets sensibles sur la direction que prendra la mise en valeur des pêcheries dans les cours d'eau et les plaines d'inondation. Les pêcheries actuelles et futures dans les trois fleuves qui font l'objet de ces mesures sont comparées, dans le contexte des schémas de développement présents et futurs. En dépit des différences fondamentales de physiographie, les principales caractéristiques des pêcheries locales actuelles sont essentiellement les mêmes dans les trois bassins. Les pêcheries saisonnières dans les plaines d'inondation constituent l'élément le plus rentable; les pêcheries dans le lit principal et dans les étangs, pendant l'étiage, apportent une contribution moindre, mais présentent néanmoins de l'intérêt car elles permettent de satisfaire la demande de poissons et de produits de la pêche dans ce secteur pendant toute l'année. Les différences essentielles quant aux stocks exploités, à la production et au rendement, aux méthodes de pêche, de transformation et de distribution sont liées non seulement à l'influence de l'élément marin sur les trois fleuves, mais aussi à la grande diversité des facteurs de production (plus particulièrement les types de main d'oeuvre en cause), ainsi que le niveau et la qualité des services de vulgarisation disponsibles. On s'attend à ce que la construction de barrages ainsi que les autres mesures projetées dans le cadre de la lutte contre les inondations aient des répercussions importantes sur les pêcheries dulcaquacoles et lagunaires dans les bassins fluviaux de l'Ogun et de l'Oshun. En conséquence, l'accent est mis sur les pêcheries dans les lacs de barrage et la pisciculture. Par contre, les projets de mise en valeur des ressources hydriques ne devraient guère modifier le schéma actuel des pêcheries dans les fleuves et les plaines d'inondation du bassin de l'Anambra; cependant, les projets relatifs à la création de stations piscicoles dans la fertile plaine d'inondation triangulaire située à l'est du Niger, Onitsha constituant le sommet du triangle, entraînera une augmentation considérable de la production ichtyologique. |
In Nigeria in recent years increasing agricultural, fisheries, industrial and urban demands on land and water resources have led to their rapid and often uncoordinated exploitation. Given present management techniques, most areas have been unable to satisfy the demands being placed upon them and thus user conflicts have arisen. In an effort to allow far more integrated multi-purpose types of development, several (11 as of July 1977) river basin authorities have been established. The first priority of these authorities will be to assess the land and water resources within each basin and to determine the present and future demands on these resources. The next step will be to assign priorities to the various demands being made on the resources. The ideal will, of course, be to control exploitation so that many resource demands can be met simultaneously with minimal damage to the environment. In this paper the fisheries resources of three of these river basins, the Ogun, Oshun and Anambra, will be considered.
The three river basins fall between 6° and 8°N latitude and 3° and 7°E longitude (Table 1 and Figure 1). The Ogun and Oshun basins, which are adjacent in the extreme southwest corner of Nigeria, discharge into Lagos Lagoon - the former very near the city of Lagos, the latter further to the east (Figures 2 and 3). The Anambra River basin on the other hand is located in the south central region of Nigeria just to the east of the Niger River into which it empties (Figure 4). The three basins are affected more or less in the same manner by movements of the Inter-tropical Convergence Zone, the boundary zone between the dry continental air mass over the Sahara and the moist maritime air mass over the Atlantic Ocean. Seasonal shifts in the position of this boundary zone are responsible for the cycles of rainy and dry season weather observed in these areas. Generally, temperatures are highest and rainfall lowest from January to March. In addition, temperatures tend to be higher and rainfall and humidity lower as one moves north in each river basin (Table 1). This is due to a combination of increasing distance from the maritime air mass over the Atlantic Ocean and increasing elevation. This is of course a generalization as patterns tend to be much more complex at a more detailed level; for example, in the Ogun basin during the rainy season, a trough of high pressure extends over the central portion causing rainfall and temperatures to be lower in this region than in areas to the north or south of it. These patterns of rainfall and temperature are most important in determining the distribution and lifespan of water bodies in which the fisheries of the area are based.
Table 1 Location and physical and climatic features of the Ogun, Oshun and Anambra River basins
| Drainage Basin (Parameter) | |||
| Ogun | Oshun | Anambra | |
| Coordinates | 6°34'N–8°57'N Lat. 2°41'E–4°9'E Long. | 6°33'N–8°20'N Lat. 3°22'E–5°16'E Long. | 5°55'N–7°40'N Lat. 6°40'E–7°42'E Long. |
| Area (km2) | 22 370 | 15 654 | 14 010 |
| Location of mouth | Lagos Lagoon | Lagos Lagoon | Niger R. at Onitsha |
| Type of rock underlying basin | mostly crystalline of the basement complex | mostly crystalline of the basement complex | Cretaceous sedimentary rocks |
| Mean annual humidity (N/S of basin) | 58%/75% | 55%/75% | ? |
| Mean annual temperature (°C) (N/S of basin) | 32.8/30.0 | 31.0/29.2 | ? |
| Mean dry season rainfall (mm) (N/S of basin) | 102–178/178–254 | 127–175/178–254 | ? |
| Mean rainy season rainfall (mm) (N/S of basin) | ? | < 1 020/1 020–1 520 | ? |

Figure 1 Position of the Ogun, Oshun and Anambra River basins in Nigeria

Figure 2 The Ogun River basin

Figure 3 The Oshun River basin

Figure 4 The Anambra River basin
From a fisheries point of view the Ogun and Oshun basins can be divided into three geographical regions: an inland region drained by a network of freshwater rivers and streams, a region of brackish-water swamps, lagoons and streams near the coast and the coastal region itself. The latter two regions have until recently provided the bulk of fish caught in these basins. The Anambra basin is a complex association of streams and rivers and, in its lower reaches, has an extensive floodplain containing over 50 large perennial lakes and ponds. It is from this floodplain area that the bulk of the basins' fish catch originates.
The fish fauna of all three drainage basins, in both fresh and brackish waters, is dominated by the Tilapia (Cichlidae) and catfish (Siluroidea), (especially Clarias groups). Gymnarchus niloticus (Gymnarchidae) and Lates niloticus (Centropomidae), are also quite common in most areas and are the most important elements commercially. Table 2 lists these and the various river basins. This list is of necessity incomplete as much faunistic work remains to be done in the three areas.
Table 2 The occurence of various common fish taxon in the Ogun, Oshun and Anambra River basins (+ = present)
| Taxon | River Basin | ||
| Ogun | Oshun | Anambra | |
| Tilapia spp. | + | + | + |
| Hemichromis | + | + | + |
| Lates niloticus | + | + | + |
| Clarias spp. | + | + | + |
| Heterobranchus spp. | ? | ? | + |
| Eutropius niloticus | ? | ? | + |
| Schilbe mystus | ? | ? | + |
| Chrysichthys spp. | + | + | + |
| Auchenoglanis spp. | + | + | + |
| Bagrus spp. | ? | ? | + |
| Synodontis spp. | + | + | + |
| Gymnarchus niloticus | + | + | + |
| Mormyrops | + | + | + |
| Mormyrus rume | ? | ? | + |
| Hydrocynus spp. | + | + | + |
| Alestes spp. | + | + | + |
| Hepsetus odoe | + | + | + |
| Citharinus spp. | ? | ? | + |
| Distichodus | + | ? | + |
| Heterotis niloticus | + | + | + |
| Labeo spp. | + | + | + |
| Barbus | + | + | + |
| Ophiocephalus | + | + | + |
Estimates of fish production per unit area and catch per unit effort for the three basins are on the whole either unreliable or nonexistent. Inaccessibility of fishing areas and generally poor facilities for training all cadres of fishery personnel have made the gathering of basic data necessary for the computation of such figures very difficult. It has been estimated that the Anambra State portion of the Anambra River basin produces some 6 000 t of fish annually from all fishery sectors. Current production potentials for the Ogun and Oshun River basins are unknown.
Reliable figures as to the numbers of persons involved in fisheries in the three river basins are as yet unavailable. There is, however, some information as to the relative size of the fishing population in the different parts of each basin. The number of persons engaged in fishing appears to increase as one moves from the headwaters to the mouths of the three rivers. Thus in the Ogun and Oshun basins fishing activities are most intense in the brackish-water areas near the coast while in the Anambra basin fishing is most commonly pursued in the lowland floodplain areas. Generally less than 40 percent of the fishing population does so on a fulltime basis. Of this 40 percent, the majority tend to some from outside the river basin in which they fish; for example, most fulltime fishermen in the Anambra basin are immigrants from the neighbouring Cross River and Rivers States.
Set nets appear to be the most popular type of fishing gear in all three river basins. Other common methods include cast-nets, longlines (hook and line) and traps, while drawnets (seines) and spears are less common. Generally, as one moves up a river basin, the fishing gear becomes less sophisticated, tending more towards the traditional spears and traps. Reed et al. (1967) have given detailed descriptions of gear in use on the Niger River system.
Traditional, man-powered, dugout canoes are the most commonly used fishing craft. Fishermen operating in small rivers or on a part-time basis tend to do so without the use of fishing vessels.
In the Ogun and Oshun basins, capture fisheries are more or less confined to rivers, streams, reservoirs and artificial ponds except in the coastal areas where lagoon and swamp fisheries are practised. In the Anambra River basin fisheries activities are centred on the Niger/Anambra floodplain; here most fish are taken during the flood season. In the dry season catches drop sharply in the river channels but are maintained in the floodplain ponds and pools. Pumps are occasionally used, especially late in the dry season, to facilitate the cropping of these ponds. As the dry season progresses, many of the shallower and small ponds and pools tend to dry up so that fishery efforts gradually return to the river channels. Water levels of the Anambra River in its floodplain are strongly affected by the levels of flood waters in the River Niger. On the whole, it appears that the number, size and life of these floodplain pools and ponds have decreased in recent years due to the lower flood levels on the River Niger as a result of the closure of the Kainji dam. The recent drought in the upper catchment basin of the Niger/Benue drainage complex may also be having some effect on the water levels and hence the fisheries productivity of the Anambra basin; however, it is expected that, even with the establishment of some five river basin authorities on the Niger-Benue drainage complex north of the mouth of Anambra River, the present estimated annual fish production of 600 t would be considerably improved on by planned fish production activities.
There are relatively few reservoirs in the Ogun and Oshun River basins at the present time. If, however, construction proceeds as proposed, many new large reservoirs are likely to be created in the near future (Table 3). In the Ogun basin, at least five of these proposed reservoirs will have areas greater than 1 000 ha. In the Anambra basin, it appears that only a very few small dams may be feasible due to the porous nature of the soil and rocks in the area (mostly sandy soils and sand-stones).
Table 3 Physical characters and estimated fish production of reservoirs proposed for construction in the three Nigerian river basins
| River Basin | |||
| Ogun | Oshun | Anambra | |
| Number of major reservoirs planned | 7 | 5 | 1 ? |
| Length (km) of affected portion of river (range/average) | ? | 8–22/13 | ? |
| Mean area (km2) of reservoirs (range/average) | 5–23/14 | 2–11/5.5 | ? |
| Mean depth (m) of reservoirs | 7–13/10 | 2.5–7/5 | 80 |
| Mean volume (million m3) of reservoirs (range/average) | ? | 5–85/33 | 1.8 |
| Morphoedaphic index (range/average) | 5.5–9/6.5 | 8–25/14 | ? |
| Estimated actual fish yield (kg/ha) | 41–59/51 | 55–69/62 | ? |
It has been estimated that the actual yields of fish from these reservoirs will be, on the average, 51 and 62 kg/ha for the Ogun and Oshun basins respectively (Table 3). The lower estimate for the Ogun basin is due to the fact that on the average its reservoirs will be deeper than those in the Oshun basin. It is, however, likely that actual fish yields may reach up to three times these amounts during the first year or two but that over the next two to three years they will fall to the above-mentioned levels. The initially high yields will in most cases depend on the introduction and efficient use of more sophisticated fishing gear than is presently in use. Such high initial fish yields were observed in Lake Kainji subsequent to filling (Olagunju, 1972).
As the reservoirs fill and conditions gradually become more lacustrine, certain fish species will be eliminated while others will tend to increase in number. The persistent species will almost certainly colonize the shallow areas but may have difficulty in fully exploiting the deep, open water regions. As a result, it may be necessary to introduce suitable lacustrine species into the larger, deeper reservoirs in order to take full advantage of the fisheries opportunities they provide. Fernando (1976) has suggested that Tilapia galilea would be a suitable species for introduction into deep reservoirs in southeast Asia. Undoubtedly many other suitable species exist in Africa.
The creation of reservoirs will tend to attract people to the vicinity and will result in more persons spending an increasingly large proportion of their time in fishing. This phenomenon has been observed at the Iwo, Ede and Oshogbo reservoirs in the Oshun basin. This concentration of manpower may be advantageous in that fishermen will, through the formation of cooperatives, be better able to purchase more and newer equipment. A subsidiary benefit will be that information on new fishery production techniques will be more readily available to those groups involved in the management of the fisheries. The concentration of a once more dispersed population will also allow for better infrastructural/government servicing in the form of electricity, communications, water supply, health and education. These benefits may, however, be offset to some degree by the social benefits and consequence involved in creating larger more densely-populated centres.
Health problems may also arise in that the creation of reservoirs will undoubtedly increase the habitats available for colonization by the vectors of some diseases. Certain aquatic snails, copepods and anopheline mosquitos - intermediate hosts for the parasites responsible for schistosomiasis, dracontiasis (guinea worm) and malaria respectively - will increase in the lacustrine situation. Increasing fishing activity will tend to increase the chance of contact between those parasites and their vertebrate host - man. On the other hand, a decrease in fast-flowing water will decrease the habitat available to the black fly (Simuliidae), the intermediate host for the nematode-caused disease, onchocerciasis, which is widespread in the upper reaches of the basins.
Lowland riverine areas, usually quite productive in their own right, often contribute substantially to the local economy in the form of firewood, lumber, fruit, crop production and wildlife. These areas will of course be completely destroyed during reservoir formation. If the trees are not properly cleared from the area to be flooded, their presence may restrict transportation and fishery activities on the reservoirs. The decomposition of this submerged terrestrial vegetation may lower oxygen levels so as to adversely affect certain fish species.
On the other hand, nutrients released during decomposition will act to increase the levels of primary productivity resulting in the initially high fish yields previously mentioned. Not all of this primary production is entirely beneficial, however, as a substantial proportion of it may be in the form of floating aquatic macrophytes such as Pistia. In the Cabora Bassa reservoir in Mozambique, it has been estimated that, in the initial period after filling, up to 40 percent of the lake surface will be covered by floating aquatic plants (Davies et al., 1975). The nuisance value of these plants to navigation and fisheries in many tropical lakes has been well documented. Recently, however, it has been suggested that those plants could be collected and used as cattle food or as fertilizer on surrounding land areas (Davies, et al., 1975).
Fluctuations in water level are usually much greater in reservoirs than in natural lakes. In Lake Kainji, Nigeria, it has been estimated that between 25 and 30 percent of the lake bottom is exposed annually (Bidwell, 1976). This exposure generally results in the massive mortality of shallow water invertebrates, and in some cases rooted aquatic plants, and may adversely affect the spawning of some fishes, e.g. T. nilotica in Kainji. The resultant loss of this productive region from the aquatic system may be somewhat balanced by the growth of terrestrial vegetation on those exposed areas which when submerged will add nutrients to the aquatic system (McLachlan, 1974). In the case of certain fast-breeding fish species such as Tilapia the loss of spawning areas may actually be advantageous in that it will reduce the likelihood of stunting in the fish population (C.H. Fernando, personal communication).
The effects of dam construction are not limited to the upstream areas. If care is not taken to maintain an adequate outflow during the filling phase, downstream areas could suffer heavily. At the Cabora Bassa dam in Mozambique, the outflow was halted completely during filling, with disastrous results to the downstream areas (Davies, 1975). Although water levels downstream may again increase after filling, there will be a reduction in peak water levels with a concomitant reduction in the extent and number of floodplain pools and swamps. It has been estimated that the construction of Kainji dam has caused the loss of 70 000 ha of downstream floodplain land (FAO, 1970 as referred to in Welcomme, 1974). In order to mitigate the inevitable reduction in floodplain fisheries it may be necessary to construct small earthdams and/or fish ponds to retain the now reduced flood waters for more intensive fish culture (Awachie, 1975). Reservoirs tend to act as settling basins for sediments, thus waters passing downstream will be more transparent than was previously the case. This may act to increase the extent of the photic zone and thus the levels of primary productivity.
These changes in flow regime and sediment loading could have profound effects on the ecology and fisheries of downstream estuarine areas. This could be especially significant in the lower reaches of the Ogun and Oshun basins with their substantial brackish-water fisheries.
From all indications, fishery activities in the mid- and upper Ogun and Oshun basins will become increasingly centred on these proposed multi-purpose reservoirs. In the Anambra River basin it appears that extensive dam construction is not feasible, thus future development will probably take place in the already established floodplain fisheries. It is emphasized that the construction of dams in these river basins should be preceded by coordinated and thorough social and ecological studies in addition to the usual engineering ones. Simplistic cost-benefit analyses will not be adequate to deal with the multiplicity of factors involved.
Fish culture may be carried out in natural ponds, excavated ponds, small earth dam reservoirs or irrigated/swamp rice fields. In the Ogun and Oshun River basins fish culture is confined mostly to small (average size 1 ha), privately owned, excavated ponds. The present average annual yield of fresh-water ponds in the Ogun basin has been estimated at about 300 kg/ha due to low management. In the southern regions of these two basins, brackish-water ponds yield about 875 kg/ha when unfertilized and the fish are not fed and about 3 000 kg/ha when the ponds are fertilized and the fish fed.
In the Anambra River basin, the rich Niger/Anambra floodplain is the focal point of present-day fish culture operations. Here there are over 50 large perennial ponds with a total dry season surface area of about 1 650 ha (Awachie, 1973). The realization that these floodplain ponds are a richer and more certain source of fish than the river channels, at least during the dry season, has led to the development of fish culture practices in them. The degree of management of these ponds depends on their ownership (privately owned ones being more intensely managed) and on their proximity to human settlements, those closer being more likely to be fertilized and the fish partly fed with agricultural and domestic wastes. It is common practice in this area to dump rice husk and maize wastes from local mills on to the edges of these ponds. It is noteworthy that during the dry season about 70 percent of the fish in the local markets consist of genera “cultured” in these ponds, e.g. Clarias, Heterobranchus, Gymnarchus and Distichodus (Awachie, 1975).
The prospects for the expansion of fish culture to the upper reaches of the three river basins, especially along the course of the major tributaries, appear to be quite promising. Small natural lakes (of which there are more than 100 in the Anambra basin alone) could be used in various ways for fish culture. The construction of ponds and/or small earth dam reservoirs (at least in the Ogun and Oshun basins) could serve to satisfy both fish culture and livestock watering needs. In the Anambra basin, several projects involving the simultaneous culture of fish and rice are being studied.
In general for the three basins, the first priority should be given to labour intensive types of fish culture. Capital intensive fish culture, as discussed above, should probably be developed at a slow pace and then only after the completion of thorough feasibility studies. In the Anambra River basin fish culture efforts should continue to be concentrated in the already established floodplain areas. In the Ogun and Oshun basins emphasis should be increasingly placed on fish culture in small reservoirs.
Fish is a major source of animal protein in the three basins and demand for fresh fish far outstrips supply. As indicated above, the north-south fish production patterns are similar, thus on the northern section of each basin fish is caught in small quantities and locally consumed. In the main fishing centres to the south, over 80 percent of catches are sold fresh or in processed form.
The normal method of fish processing is by hot smoke drying. Smoke-cured fish is very well accepted all over southern Nigeria, thus well over 70 percent of the catches is smoke-dried. The semi-dried hot-smoked products fetch premium prices at nearby river ports and markets while the hard-dried fish are for distant markets.
In all the three basins, damage done to smoked fish by processing, insect pests and transportation depends on the location of fishing centres, availability of fire wood and season. During the flood phase period of peak production, up to 20 percent is lost by inadequate processing in isolated sand banks, temporary camps and swampy floodplain areas, while insect pests and transportation damage may account for another 15–20 percent spoilage of the production. It is noteworthy, however, that considerable effort is currently being made by the various Fisheries Divisions to improve the processing procedure available to the isolated fishing centres.
Because of the high demand for fish, their distribution circuits are short. Fishermen's wives usually dispose of catches, through a system of buying rights which exist at the landing sites, to fish dealers or middlemen who in turn sell to retailers whose prices are often 80–100 percent over that paid to the fishermen. No organization exists at present for a more favourable marketing of fish which would pass an equitable portion of the market value of produced fish to the fishermen.
It is clear from the foregoing that the future pattern and volume of fishery production in the three basins would depend on the extent of the development of the three major components: capture, reservoir and culture fisheries vis-à-vis other developments like hydropower, irrigation agriculture, and livestock with strong claims to the water resources of the basins.
Because of their location and associations with other basins, the Oshun and Ogun basins, which are separate drainage units, are unlikely to have overall decrease in their fishery production due to planned integrated basin development programmes. On the other hand, the currently richer Anambra basin which flows into the Niger south of the Niger and Benue confluence, and which relies on the backlash of the Niger flood for its rich flood phase/floodplain fishery productions, will be adversely affected by envisaged upstream flood control developments by several basin authorities newly created on the Niger and Benue Rivers above their confluence at Lokoja. It is readily seen that water control measures upstream above the confluence will lower the level of the lower Niger floods and hence the flood regime in the productive lower Anambra basin area; however, projected fish culture developments are expected not only to offset the effect of low flood water levels in the future but also actually increase overall fish yields from the Anambra basin.
Awachie, J.B.E. 1973 On conservation and management of inland water resources of Nigeria. 1. Natural lakes and ponds with special reference to their utilization for fishery development. First Symposium and Environmental Resource Management in Nigeria, Ile-Ife: University of Ife Press
Awachie, J.B.E. 1975 Fish culture possibilities on the floodplain of the Niger-Benue drainage system. FAO/CIFA Symposium on Aquaculture in Africa, Accra, Ghana. 32 p.
Bidwell, A. 1976 The effect of water level fluctuations on the biology of Lake Kainji, Nigeria. Nigerian Field, 41:156–165
Davies, B.R. 1975 Cabora Bassa hazards. Nature (Lond.), 254:477–478
Davies, B.R. et al. 1975 Some ecological aspects of the Cabora Bassa Dam. Biol.Conserv., 8:189–201
FAO 1970 Report to the Government of Nigeria on fishery investigations on the Niger and Benue Rivers in the northern region and development of a programme of riverine fishery management and training. Rep.FAO/UNDP(T.A.), (2771):196
Fernando, C.H. 1976 Reservoir fisheries in southeast Asia: Past, present and future. Symposium on the development and utilization of inland fishery resources, Colombo, Sri Lanka. FAO, 19 pp.
McLachlan, A.J. 1974 Development of some lake ecosystems in tropical Africa with special reference to the invertebrates. Biol.Rev., 49:365–397
Olagunju, S.O. 1972 Kainji Dam, 126 questions answered. Lagos: Niger Dam Authority, Cabinet Office
Reed, W. et al. 1967 Fish and fisheries of Northern Nigeria Ministry of Agriculture, Northern Nigeria, 226 p.
Welcomme, R.L. 1974 A brief review of the floodplain fisheries of Africa. African J. Trop. Hydrobiol.Fish (Special Issue), 67–76