Par agents oxydants, on entend essentiellement:
Surtout utilisé à cause de sa coloration pour la désinfection des canalisations d'eau potable.
Il est efficace à forte concentration.
L'eau oxygénée du commerce est à 110 volumes soit 30% de matière active (1 volume = 1 litre d'oxygène libéré par 1 litre d'eau oxygénée).
L'oxygène n'est libéré véritablement qu'à partir de 60 °C.
Les désinfectants à base de peroxyde d'hydrogène sont très appréciés en industries alimentaires car les résidus ne sont pas toxiques (décomposition en eau et en oxygène). C'est pour cette raison qu'ils sont utilisés pour stériliser les emballages avant soutirage aseptique. A cet effet, on travaille à des concentrations importantes et à une température élevée pour réaliser une désinfection complète dans le temps court imparti (quelques secondes).
L'action microbicide du peroxyde d'hydrogène est basée sur son pouvoir oxydant qui détruit de façon irréversible les systèmes actifs des cellules de micro-organismes.
Les désinfectants à base de peroxydes conviennent également à la désinfection à froid, à basse concentration. Toutefois, le temps d'action sera long, le peroxyde d'hydrogène libérant son oxygène lentement.
L'eau oxygénée est active sur les bactéries à la concentration de 1%.
Oxydation non sélective des constituants organiques. Temps de contact et températures plus importantes.
Avantages
Inconvénients

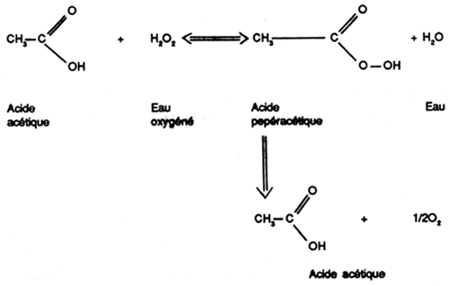
L'acide péracétique était un désinfectant qui possédait depuis longtemps une bonne renommée dans les cercles scientifiques. Toutefois, vu le danger que comportaient les solutions concentrées, on ne l'utilisait que dans les cas où l'on avait besoin de son efficacité hors pair, et où l'on pouvait exercer en même temps un contrôle minutieux des conditions de travail. Des exemples d'utilisation ont notamment été l'obtention d'engins spatiaux sans germes et d'animaux “hors germes”.
Des sociétés industrielles proposent maintenant des désinfectants utilisant une combinaison de substances actives d'eau oxygénée et d'acide péracétique, qui ne présentent pas les difficultés d'utilisation de l'acide péracétique. Ces désinfectants ne présentent pas de danger d'explosion, ni en solution diluée ni en solution concentrée.
Ces désinfectants agissent par oxydation non spécifique du corps microbien. L'accoutumance n'est donc pas à craindre.
Un avantage décisif de ces désinfectants est l'effet sporicide.
Composition de base
Caractéristiques physico-chimiques
| Dureté de l'eau (TH) | 0° | 30° | 65° |
| Eau pure (pH) | 5 | 7,2 | 7,6 |
| Concentration en % | |||
| 0,1% | 3,8 | 6,8 | 7,0 |
| 0,3% | 3,6 | 5,3 | 6,5 |
| 0,5% | 3,3 | 4,6 | 6,1 |
| 1% | 3,1 | 4,1 | 5,1 |
Produit légèrement acide aux concentrations normales d'utilisation
i) Stabilité
Produit pur:
Stabilité au stockage: un an, à des températures comprises entre: -20 °C et + 35 °C.
Solution diluée:
Les essais réalisés sur des solutions aux concentrations de 0,05 à 0,1 % montrent qu'en l'absence de souillures organiques, à 10 °C, dans une eau de 30° TH, les propriétés désinfectantes ne sont pas modifiées de façon sensible pendant 14 jours.
Les matières minérales n'ont aucune influence sur la stabilité des solutions. Il est donc possible d'ajouter une action désinfectante à une phase de nettoyage acide après avoir éliminé, par un nettoyage efficace, les matières organiques souillant le matériel.
ii) Efficacité vis-à-vis des spores
Méthode de suspension (norme allemande DLG)
Le tableau exprime le temps nécessaire, en minutes, pour détruire à 100 % une population initiale de spores de plus de 107/ml (valeur entre parenthèses). Le dénombrement des bactéries sporulées est effectué après 10 minutes de chauffage à 85° C.
| Températures | 5 °C | 10 °C | 20°C | 40°C | ||||
| Concentration d'essais en % | 0,25 | 0,5 | 0,25 | 0,5 | 0,25 | 0,5 | 0,25 | 0,5 |
| Bacillus cereus [3×107]+ | 60 | 60 | 60 | 60 | 60 | 60 | 40 | 10 |
| Bacillus subtilis [1×107]+ | 60 | 40 | 60 | 40 | 10 | 5 | 10 | 1 |
| Bacillus mesentericus [2×108] | 60 | 60 | 60 | 60 | 60 | 20 | 60 | 5 |
| Bactéries
thermophiles [1×107]+ | 60 | 40 | 40 | 40 | 20 | 5 | 5 | 2,5 |
| Clostridium perfringens [1×107]+ | 60 | 10 | 60 | 10 | 20 | 5 | 2,5 | 1 |
| Clostridium species [11×107]+ | 40 | 10 | 40 | 10 | 2,5 | 2,5 | 2,5 | 1 |
iii) Efficacité vis-à-vis des bactériophages
Travaux du Dr Teuber (Institut de recherche laitière de Kiel, 1978).
Le test a été effectué sur deux types de bactériophages fréquemment rencontrés dans les accidents d'acidification:
| - Phage P 001 qui attaque | S. lactis |
| S. diacetilactis | |
| S. cremoris | |
| - Phage P 008 plus spécifique, n'attaquant que S. lactis et S. diacetilactis. | |
Les bactériophages ont été inoculés à des suspensions de bactéries hôtes cultivées sur lait écrémé reconstitué (DIFCO 10% de matières sèches).
Les phages ont été dénombrés avant et après traitement par la méthode de l'agar en double couche (Adams, 1959). Les résultats sont exprimés en coefficient de réduction CR = log10 UP avant traitement -log10 UP après traitement.
UP étant une unité formant une plage (particule de bactériophage infectieuse).
Efficacité d'un désinfectant industriel à base d'acide péracétique sur le phage 001 en absence ou en présence de 1% de lactosérum
| Milieu | Sans lactosérum | Avec 1% de lactosérum | |||||||
| Température | 4 °C | 20 °C | 20 °C | ||||||
| Temps d'action (mn) | 5 | 10 | 20 | 5 | 10 | 20 | 5 | 10 | 20 |
| Conc. (%) | |||||||||
| 0,05 | 6,4 | 6,4 | 6,4 | 4,3 | 5,15 | IT | IT | IT | IT |
| 0,1 | 7,4 | IT | IT | IT | IT | IT | IT | IT | IT |
| 0,2 | - | - | - | - | - | - | - | - | - |
Population initiale: 2,5. 108 phages/ml (log10 UP avant traitement = 8,4).
IT: Inactivation totale, correspond à la destruction totale des phages ou à la limite inférieure de détection de la méthode.
Efficacité d'un désinfectant industriel à base d'acide péracétique sur le phage 008 en absence de lactosérum
| Milieu | Absence de lactosérum | ||
| Température | 20° C | ||
| Temps d'action (mn) | 5 | 10 | 30 |
| Conc. (%) | |||
| 0,05 | 4,0 | IT | IT |
| 0,1 | IT | IT | IT |
Population initiale: 3.107 phage/ml (log10 UP avant traitement = 7,5)
A 0,1% et 20 °C destruction en 5 minutes des bactériophages.
iv) Efficacité à basse température
Contrairement au peroxyde d'hydrogène ou au perborate, ces désinfectants ont une action rapide à basse température. Ils seront donc particulièrement intéressants pour résoudre les problèmes de désinfection dans les entrepôts frigorifiques.
v) Corrosion
En tout état de cause, ce type de désinfectant, dans les conditions normales d'utilisation, ne présente pas plus de risques de corrosion que tous les autres agents désinfectants oxydants (chlore, eau oxygénée, iode).
Aciers inoxydables
Dans les conditions normales d'utilisation:
| - Concentration | 0,5% |
| - Température | 50 °C |
| - Temps d'action | 2 heures |
| - Concentration en chlorures | 50 mg/l |
Il n'existe aucun risque de corrosion vis-à-vis des aciers inoxydables austénitiques couramment utilisés en industrie alimentaire.
Alliages d'aluminium
Ce type de désinfectant à 0,75% et 60 °C ne provoque qu'une très légère corrosion généralisée de l'alliage d'aluminium. Il provoque une corrosion par piqûres, dans les mêmes conditions, lorsque les durées de contact sont relativement longues (supérieures à une heure).
Par contre, dans les conditions normales d'utilisation: 0,5% et 50 °C, lorsque les durées de contact sont courtes - de l'ordre de 20 minutes environ - il n'y a pas de risque de corrosion par piqûres.
Laiton, bronze, cuivre
L'utilisation de ce désinfectant est à proscrire sur ces types de matériaux.
Matériaux synthétiques (voir tableau)
L'agressivité de ce type de désinfectant vis-à-vis de ces matériaux est fonction de la nature des molécules et des conditions d'utilisation: concentration, température, temps d'action.
Le nombre et la complexité des molécules utilisées en particulier pour les caoutchoucs synthétiques alimentaires constituants les joints d'étanchéité, font que pour une même famille de produits donnés, le degré de polymérisation, la nature des charges et additifs influent sur la résistance à la corrosion.
vi) Sécurité vis-à-vis des produits alimentaires
Ce type de désinfectant procure une très grande sécurité d'utilisation du fait de sa décomposition immédiate en eau et en acide acétique en présence d'un excès de matières organiques.
Résistance des matériaux synthétiques
| Matériaux | Concentration/ température | Degré d'attaque Durée de l'essai | |
| Matières plastiques | |||
| - PVC | 2–5% 20 à 50 °C | A - 2 mois | |
| - Polypropylène | 2–5% 20 à 50 °C | A - 2 mois | |
| - Polyéthylène | Toutes concentrations jusqu'au produit pur | A - plusieurs années | |
| - Polyamide moulé | 2–5% 20 à 50 °C | A - décoloration | |
| - Polyméthyl-métacrylate (plexiglas) | 2–5% 20 à 50 °C | A - 2 mois | |
| Caoutchoucs synthétiques | |||
| - Copolymère de butadiène (styrol) | 0,5 et 1% 20 et 50 °C | A - 3 semaines | |
| - Viton (fluoroélastomère) | [ | 0,2–1% de 20 à 50 °C | A - 4 semaines |
| 1–3% jusqu'à 70 °C | B + C - 1 à 2 semaines | ||
| - Caoutchouc fluoré | [ | 0,5 à 3% – 20 à 40 °C | A - 4 semaines |
| 0,5 à 3% 70 °C | B - 4 semaines | ||
| - Caoutchouc éthyléné propyléné | Toutes concentrations (pur) | A - 2 mois | |
| - Caoutchouc “butyle” | [ | 0,2 à 3% – 20 à 40 °C | A - 2 mois |
| 0,5-3% - 70 °C | C - 4 semaines | ||
| - Caoutchoue siliconé | 0,2 à 3% – 20 à 70 °C | A - 4 semaines | |
| - Copolymère de butadiène avec nitrite acrylique | [ | 3% 20 °C | A |
| 3% 40 °C | B - 4 semaines | ||
| 3% 70 °C | C | ||
| - Caoutchouc nitrylé | [ | 0,2–2% 20 °C | A - 4 semaines |
| 0,2–2% 50 °C | |||
| Pur 20 °C | C - 4 semaines | ||
| Téflon | Toutes concentrations 20 – 80 °C | A - 1 an | |
| Polychloroprène | 0,5% à 40 °C | C | |
Degré d'attaque: A - pas d'attaque
B - attaque faible à moyenne
C - attaque forte à destruction
Durée de l'essai: immersion continue pendant la totalité de l'essai.
Nous avons étudié l'influence d'une fausse manoeuvre, telle qu'un rinçage non effectué après désinfectation de tanks à lait avec une solution de ce désinfectant à 0,5% (cas ultime). La rétention de solution sur une surface en acier inoxydable lisse après égouttage est de 10 ml/m2.
| Capacité du tank | Surface mouillée | Rétention d'une solution | Concentration en désinfectant après remplissage du tank |
| 25 000 1 | 49 m2 | 490 ml | 0,1 ppm |
| 140 000 1 | 180 m2 | 1 800 ml | 0,06 ppm |
Conclusion
Nous constatons que, même dans le cas d'un oubli de rinçage, à la concentration relativement importante de 0,5%, les quantités retrouvées dans le lait ou le produit alimentaire pourrait être considérées comme négligeables et de toute évidence, sans effet sur le produit alimentaire.
En effet, même dans le cas défavorable d'un faible rapport volume/surface, elles seraient inférieures à 0,1 ppm.
vii) Rejets
Ce désinfectant est un produit qui ne présente aucun problème d'environnement.
Entraîné dans les eaux résiduaires, il se décompose rapidement, en présence de matières organiques, en acide acétique (acide faible) et en eau.
Outre ses très faibles concentrations d'utilisation, il ne possède aucune rémanence, ni ne présente de phénomène d'accumulation dans les tissus vivants.
Ce désinfectant n'a pas d'influence sur les boues biologiques des stations d'épuration, il est biodégradable à 100%.
Avantages
Inconvénients
La plupart des noms sont consacrés par l'usage:
![]() | Aldéhyde formique ou formol ou méthanal |
![]() | Aldéhyde acétique ou acétaldéhyde |
![]() | Glyoxal |
Outre le formol, utilisé en désinfection depuis plusieurs décennies, on dispose aujourd'hui de formulation mettant en oeuvre différentes combinaisons d'aldéhydes.
i) Le formol
L'aldéhyde formique est un composé extrêmement réactif. Il se polymérise très facilement même à froid en donnant des polymères insolubles qui troublent les solutions aqueuses. Pour éviter cet inconvénient, on ajoute à celles-ci des stabilisants en particulier de l'alcool méthylique.
Dans la pratique, l'aldéhyde formique est livré sous forme de solutions aqueuses à des concentrations diverses de 30 à 40% en poids. Ce sont des liquides incolores, d'odeur piquante, miscibles à l'eau. Ils contiennent de l'alcool méthylique (jusqu'à 15%) et des traces d'acide formique et d'acide acétique.
A faible concentration, les vapeurs d'aldéhyde formique sont irritantes pour les muqueuses. A concentration plus élevée, une irritation des voies respiratoires supérieures se produit, accompagnée de toux et de sensations de constriction thoracique. L'inhalation de doses massives (cas exceptionnels) d'aldéhyde formique entraîne la nécrose des muqueuses atteintes. L'intoxication chronique est également connue avec comme manifestations: “Catarrhe nasal, pharyngite, laryngite chronique ainsi que bronchite et asthme”.
Par contact répété, les solutions ont un effet irritant sur la peau pouvant entraîner des lésions eczémateuses avec altération des ongles (brunissement, ramollissement, douleurs des extrémités digitales) et des ulcérations cutanées.
Dans certains cas, on sublime du paraformaldéhyde dans des enceintes fermées où il agit donc en phase gazeuse.
En désinfection d'ambiance, l'action du formol est la meilleure lorsque l'hygrométrie est de 60%.
La plage d'activité varïe des pH faiblement acides à neutres. On peut utiliser les solutions formolées en addition à des solutions acides, mais non à des produits alcalins.
L'utilisation du formol en tant que désinfectant a été limitée à cause de son odeur pénétrante et de l'irritation associée pour les yeux et le nez. On lui reproche également la formation de résidus durs (type galalithe) qu'il engendre avec les souillures organiques.
Le traitement d'ambiance doit être réalisé en l'absence de personnel et de denrées alimentaires.
Un délai minimum de 4 heures sera respecté entre la fin de la nébulisation et la reprise du travail.
Avantages
Inconvénients
ii) Glutaraldéhyde

L'activité du glutaraldéhyde est liée à la présence des groupements aldéhydes libres, qui interfèrent avec les groupements aminés des cellules microbiennes.
En solution acide, le glutaraldéhyde est moins actif qu'en solution alcaline. Cependant, cette différence d'activité est atténuée par une augmentation de la température.
Les solutions de glutaraldéhyde sont naturellement acides, pour améliorer l'activité, il est nécessaire d'alcaliniser légèrement ces solutions à pH 7,5 à 8 environ, mais les solutions deviennent moins stables et la molécule se polymérise et l'activité diminue.
En solution alcaline tamponnée, le glutaraldéhyde est sporicide à la concentration de 2%, bactéricide à partir de 0,1%, fongicide à partir de 0,5%.
Avantages
Inconvénients
iii) Les produits commerciaux
Les produits commerciaux proposés proposés à base d'aldéhydes peuvent présenter les avantages suivants par rapport aux matières de base:
L'adjonction d'un tensio-actif permet une meilleur epénétration du principe désinfectant au niveau des micro-organismes. Il favorise également la nébulisation du produit en un fin brouillard homogène.
Il existe une action synergique entre différents aldéhydes en présence de catalyseurs.
Par la combinasion de formaldéhyde avec des ammoniums quaternaires, on élargit le spectre bactéricide. Ce groupe de substances actives convient parfaitement à la désinfection des surfaces, et peut être utilisé pour le traitement de l'ambiance dans les industries alimentaires.
Activité bactéricide
Test de suspension selon la méthode DLG
(Temps en minutes nécessaire pour détruire la totalité des germes)
| Température | 5 °C | 25 °C | 50 °C | ||||||
| Concentration | 1% | 2% | 5% | 1% | 2% | 5% | 1% | 2% | 5% |
| Germes testés Escherichia coli [2,2.108] g/ml | 40 | 20 | 1 | 40 | 5 | 1 | 5 | 2,5 | 1 |
| Staphylococcus aureus [1,7.108] | 40 | 5 | 1 | 20 | 5 | 1 | 5 | 1 | 1 |
| Streptococcus faecalis [2,1.107] | 40 | 20 | 1 | 40 | 10 | 1 | 10 | 5 | 1 |
| Pseudomonas aeruginosa [3,3.108] | 40 | 40 | 1 | 40 | 40 | 1 | 10 | 5 | 1 |
| Candida albicans [2,3.106] | 40 | 20 | 2,5 | 20 | 5 | 1 | 5 | 1 | 1 |
pH de la solution à 1% = 5
Traitement d'ambiance avec désinfectant commercial à base de formol
Chlorhydrate de poly(hexaméthylène - biguanidine).

Mode d'action
La molécule s'adsorbe rapidement à la surface cellulaire et provoque des lésions membranaires avec fuite du matériel cellulaire ou une précipitation des protéines et des acides nucléiques.
Le pH d'activité se situe autour de la neutralité: 6 à 9.
Avantages
Inconvénients
Mode d'utilisation - doses actives
Ces produits sont encore peu utilisés en désinfection et surtout connus comme antiseptiques et conservateurs.
La molécule de caractère cationique est inactivée par les dérivés anioniques, sulfates et sulfonates. Elle est par contre compatible avec les acides, les ammoniums quaternaires et les détergents non ioniques.
Ce produit est bactéricide à 400 ppm et fongistatique.
Résultat obtenu avec un produit commercial à base de sels de biguanidine
Caractéristiques physico-chimiques
Corrosion
Perte de poids en g/m2 après 24 heures, à 20 °C dans de l'eau à 29° TH
| Concentrations | ||
| 0,5% | 1% | |
| Aluminium type A5 | 0,04 | 0,06 |
| Laiton | 0,15 | 0,37 |
| Acier inox | 0,00 | 0,00 |
| Acier doux | 1,75 | 1,75 |
| Cuivre | 0,19 | 0,27 |
Toxicité
Toxicité orale aiguë du produit pur DL 50 2g/kg chez le rat.
Activité microbicide
Norme AFNOR NFT 72-150 à 20 °C
| Germes testés | Population initiale | Concentration (V/V) | pH | ||||
| 0,1% | 0,2% | 0,5% | 1,0% | 1,5% | |||
| Pseudomonas aeruginosa CNCM A 22 | 2.108 | 0 | 0 | 0 | 0 | 0 | 6,4 |
| Escherichia coli CNCM 54127 | 1,3.108 | 0 | 0 | 0 | 0 | 0 | 6,4 |
| Staphylococcus aureus CNCM 53154 | 3,5.108 | 27 | 19 | 9 | 0 | 0 | 6,4 |
| Streptococcus faecalis CNCM 5855 | 1,2.108 | 172 | 0 | 0 | 0 | 0 | 6,4 |
| Mycobacterium smegmatis CNCM 7326 | 3,1.108 | 300 | 300 | 88 | 0 | 0 | 6,4 |
Conclusion: concentration bactéricide du désinfectant testé: 1%
Test de suspension DLG
| Concentration | 15 °C | 45 °C | ||
| Souches testées | 0,25% | 0,5% | 0,25% | 0,5% |
| Escherichia coli (ATCC 10536) 4,1.108 germes/ml | 1 | 1 | 1 | 1 |
| Staphylococcus aureus (ATCC 9144) 1,3.108 germes/ml | 5 | 2,5 | 1 | 1 |
| Streptococcus faecalis (ATCC 10541) 6.107 germes/ml | 1 | 1 | <1 | <1 |
| Candida albicans (ATCC 10231) 3.107 germes/ml | 2,5 | 1 | <1 | <1 |
| Saccharomyces cerevisiae (ATCC 9763) 1,2.107 germes/ml | 20 | 20 | 2,5 | 2,5 |
| pH des solutions | 7,0 | 7,15 | ||
Note: Pour saccharomyces cerevisiae, il faut une concentration de 1% pour obtenir une réduction minimum de 105 germes en l minute à 15 °C.
Conclusion: le désinfectant testé est bactéricide à la concentration de 0,5 à 1% à la température ambiante.
Influence de la température sur l'efficacité microbicide
| Germes testés | Temps min | Concentration en % | Réduct. logarithmique | ||
| 5°C | 15°C | 45°C | |||
| Escherichia coli | 1 | 0,125 | 5,83 | 5,4 | 7,61 |
| Streptococcus faecalis | 1 | 0,125 | - | 3,95 | 6,78 |
| Staphylococcus aureus | 2,5 | 0,125 | 3,63 | 4,25 | 7,11 |
| Saccharomyces | 2,5 | 0,125 | - | 2,6 | 4,77 |
| Cerevisiae | 0,25 | 2,6 | 2,6 | 6,08 | |
| Candida albicans | 1 | 0,25 | 3,0 | 4,63 | 6,47 |
Influence du pH sur l'efficacité microbicide
| Réduction d'Enterobacter clocae | |||
| pH | Population initiale | Population initiale après 3 mn | Log. réduction |
| 2 | 18×103 | 47×101 | 1,58 |
| 6 | 39×106 | 39×101 | 5,0 |
| 7 | 26×106 | 0 | 7,41 |
| 8 | 59×106 | 51×101 | 5,01 |
| 9 | 41×106 | 65×101 | 4,80 |
| Méthanol ou alcool méthylique | CH3 - OH |
| Ethanol ou alcool éthylique (alcool ordinaire) | CH3 - CH2OH |
| Isopropanol | CH3 - CHOH - CH3 |
| Butyglycol | CH2OH - (CH2)2 - CH2OH |
L'alcool éthylique est d'un usage commun. Son efficacité n'apparaît qu'en solution diluée, elle est optimale entre 50% et 70%. Son pouvoir est bactéricide mais ne s'exerce pratiquement jamais à l'égard des formes sporulées. C'est un désinfectant cutané dont l'action n'est que superficielle.
Les alcools supérieurs propylique, butylique, amylique ont un pouvoir bactéricide qui grandit avec le poids moléculaire mais leur solubilité dans l'eau diminue d'autant et en limite l'usage.
Les alcools seront utilisés seuls ou associés à d'autres substances actives essentiellement pour la désinfection des mains et le traitement des ambiances.
Leur volatilité permet de les utiliser pour la désinfection sans rinçage des mains.
L'action des alcools serait due à la dénaturation des protéines et/ou à l'inhibition de la synthèse des organites essentiels.
Le butylglycol est surtout utilisé comme stabilisateur dans certaines formules.
Avantages
Inconvénients
Les tests effectués sur un désinfectant liquide pour les mains ayant l'éthanol, l'isopropanol et l'alcool benzylique comme matières actives ont donné les résultats suivants:
Mode d'emploi
a) Désinfection hygiénique des mains
Désinfecter les mains par deux fois avec 3 à 5 ml de produit pendant 30 secondes (jusqu'à ce qu'elles soient sèches).
b) Désinfection chirurgicale des mains
Répandre 5 ml de produit sur les mains (en cas de désinfection simultanée des avantbras, il y a lieu d'augmenter la quantité).
Frotter soigneusement les mains pendant 2,5 minutes, rincer et désinfecter à nouveau avec 5 ml de produit pendant 2,5 minutes. Le désinfectant sèche très vite, rendant inutile l'utilisation de serviettes stériles.
Efficacité désinfectante
Test des suspensions réalisées selon les normes DLG allemandes.
| Germes testés | Concentration % | Destruction en mn |
| Staphylococcus aureus | 40 | 2 |
| Escherichia coli | 40 | 2 |
| Pseudomonas aeruginosa | 40 | 2 |
| Bacterium proteus | 40 | 2 |
| Candida albicans | 30 | 5 |
| Tricophyton mentagrophytes | 30 | 5 |
| Microsporum gypseum | 30 | 5 |
Pour les bactéries, le temps de test le plus court était de 2 minutes, pour les champignons de 5 minutes.
A la concentration de 40%, le produit reste actif en présence d'albumine et de savon.
a) Désinfection hygiénique des mains
| Germes testés | Escherichia coli 108 germes/ml |
| Quantité de désinfectant | 3 ml |
| Temps d'action | 30 secondes |
| Nombre de personnes testées | 15 = 30 mains |
| Résultats | 6 mains - 0 germes |
| 14 mains - 1 à 10 germes | |
| 5 mains - 11 à 50 germes | |
| 2 mains - 51 à 100 germes | |
| 3 mains - 101 à 200 germes |
b) Désinfection chirugicale des mains
| Quantité de désinfectant | 2×5 ml |
| Temps d'action | 2×2 ½ minutes |
| Nombre de personnes testées | 15 = 30 mains |
| Résultats | Réduction de germes |
| * 100%: 14 mains | |
| * 95%: 13 mains | |
| * 90%: 2 mains | |
| * 80%: 1 main | |
| Réduction moyenne des germes: 98,52% |
Les fabricants proposent pour le traitement de l'ambiance des désinfectants ayant comme bases actives des mélanges d'isopropanol et de formaldéhyde. Le produit est utilisé en nébulisation.
Activité microbicide
Test de destruction d'après les directives de la DGHM (température 20°C)
| Germes testés | Concentration en désinfectant | |
| 10% | 25% | |
| Staphylococcus aureus | < 60 mn | 20 |
| Escherichia coli | < 60 mn | 40 |
| Pseudomonas aeruginosa | < 60 mn | 60 |
| Proteus vulgaris | < 60 mn | 40 |
| Saccharomyces carlsbergensis | < 60 mn | 60 |
| Aspergillus niger | < 60 mn | 20 |
| Penicillium camerunense | < 60 mn | 60 |
Résultats des tests d'efficacité réalisés lors d'essais industriels.
i) Traitement d'ambiance
Après contamination volontaire de l'ambiance par diffusion de suspensions microbiennes, une solution de désinfectant a été nébulisée dans les conditions suivantes:
10 ml de solution à 5%/m3
1 heure - 20°C - 15° hygrométrie
| Population initiale | Dénombrement sur boîtes | ||
| Avant traitement | Après traitement | ||
| Escherichia coli | > 108 g/ml | 100 | 0 |
| Staphylococcus | > 108 g/ml | 250 | 1 |
| Streptococcus faecalis | > 108 g/ml | 100 | 0 |
| Mycobacterium smegmatis | > 108 g/ml | 200 | 1 |
| Pseudomonas fluorescens | > 108 g/ml | 250 | 1 |
ii) Traitement des surfaces
Des membranes de filtration de suspensions microbiennes ont été nébulisées avec la solution désinfectante, en position verticale et horizontale.
| Germes testés | Surf. horizontale | Surf. verticale | ||
| Avant | Après | Avant | Après | |
| Escherichia coli | 39 | 4 | 124 | 7 |
| 131 | 0 | |||
| Staphylococcus aureus | 87 | 0 | Incomptable | 130 |
| Pseudomonas fluorescens | 52 | 6 | Incomptable | 250 |
| Incomptable | 49 | |||
| Geotrichum candidum | 7 | 1 | 31 | 3 |
| 53 | 3 | |||
| Mucor mucedo | 72 | 8 | 48 | 3 |
L'efficacité du désinfectant en décontamination d'ambiance est donc prouvée. En nébulisation sur les surfaces, le produit apporte une bonne réduction du taux microbien.
Ce sont des substances du type:

Chlorure de lauryl-diméthyl-benzyl ammonium ou chlorure de benzalkonium
L'efficacité de ce type de substances actives résulte de l'association de l'abaissement de la tension superficielle (ce sont des tensio-actifs cationiques) et de la polarité de la molécule.
Les ammoniums quaternaires agissent par inactivation des enzymes et dénaturation des protéines cellulaires.
L'adsorption des ammoniums quaternaires à la surface des cellules perturbe la perméabilité de la paroi; les substances contenues dans la cellule se retrouvent dans le milieu extérieur, entraînant la destruction de celle-ci.
La haute teneur en phospholipides des parois des bactéries gram + rend les ammoniums quaternaires plus efficaces contre ces bactéries que contre les bactéries gram-.
Aux concentrations d'utilisation, ces produits sont d'une manipulation aisée.
Ils n'attaquent ni les matières synthétiques ni les métaux.
Ils sont inodores et possèdent une bonne tolérance dermique malgré un effet dégraissant.
On peut les utiliser en combinaison avec des produits acides ou alcalins, dont ils renforcent l'action détersive.
Les composés d'ammonium quaternaire ont un spectre d'activité moins large que celui des halogènes ou des peroxydes. Ils sont peu efficaces sur les spores et faiblement virulicides. Pour détruire les gram-, il est nécessaire d'employer des concentrations plus fortes ou des temps de contact plus longs que pour les gram +.
Les souillures protéidiques, la cellulose ainsi que d'autres substances polymères peuvent nuire à l'efficacité des composés d'ammoniums quaternaires. Il ne faut donc utiliser les ammoniums quaternaires que dans des appareils ou sur des matériaux qui ont été, au préalable, soigneusement nettoyés.
Ces formulations développent souvent beaucoup de mousse, ce qui limite leur utilisation.
Une solution désinfectante d'un produit commercial à base d'ammonium quaternaire à la concentration de 0,2% peut descendre la tension superficielle à 35–37 dynes/cm. Pour obtenir le même résultat avec une solution à base de savons d'ampholytes, il faudra une concentration de l'ordre de 1%.
Au cours de ces dernières années, les produits à base d'ammoniums quaternaires ont perdu de leur prestige. A plusieurs reprises, l'attention a été attirée sur les résidus que ces produits laissent sur les surfaces traitées. En effet, lors de la transformation du lait contenant des bactéries lactiques, ces résidus peuvent entraîner des perturbations. C'est pour cette raison que leur utilisation a été interdite en France, dans les industries laitières.
Avantages
Inconvénients
Exemple de désinfectant à base d'ammoniums quaternaires
i) Caractéristiques physico-chimiques
| - Présentation | liquide |
| - Densité à 20°C | 0,99 |
| - pH de la solution à 1% | 7,1 |
ii) Activité microbicide
Test 3×5 selon la norme AFNOR NFT 72-150
| Concentration en ‰ (V/V) | |||||||
| Souches | Populations initiales bact/ml | 0,05 | 0,1 | 0,2 | 0,3 | 0,4 | |
| Pseudomonas fluorescens TCC 17397 | 28,9.106 | E | E | E | 0 | 0 | |
| Escherichia coli ATCC 18536 | 96.106 | E | E | E | 0 | 0 | |
| Staphylococcus oxford IPP 53154 | 4,8.106 | E | E | 0 | 0 | 0 | |
| Streptococcus faecalis ATCC 10541 | 9,1.106 | 790 | 170 | 0 | 0 | 0 | |
| Mycobacterium smegmatis IPP 7326 | 7,2.106 | E | E | 0 | 0 | 0 | |
| pH de réaction | 6,9 | 7,2 | 7,2 | 7,2 | 7,3 | ||
Concentration efficace = 0,3‰ (V/V).
iii) Efficacité sur levures et moisissures
Test de suspension effectué selon les normes de la DLG allemande
| Souches testées | Température | |||||||||
| 10°C | 40°C | |||||||||
| Temps de contact (mn) | ||||||||||
| 1 | 2,5 | 5 | 10 | 20 | 40 | 1 | 2,5 | 5 | 10 | |
| Saccharomyces cerevisiae | + | - | - | - | - | - | - | - | - | - |
| Rhodotorula species | + | - | - | - | - | - | - | - | - | - |
| Mycoderma species | + | - | - | - | - | - | - | - | - | - |
| Oospora lactis | + | - | - | - | - | - | - | - | - | - |
iv) Activité fongicide
D'après le test de suspension de la DLG à 20 °C
| Germes testés | Concentration en % | |
| 0,1 | 0,25 | |
| Aspergillus niger (2.107 g/ml) | 40* | 40 |
| Penicillium expansum (3.107 g/ml) | 10 | 1 |
| Penicillium verrucosum var. cyclopium (2.107 g/ml) | 10 | 1 |
| Trichoderma viride (2.107 g/ml) | 20 | 10 |
| Rhizopus stolonifer | 10 | 5 |
| Cladosporium cladosporicides (7.107 g/ml) | 20 | 10 |
* Temps de destruction en minutes.
Ce sont des composés constitués d'un acide aminé substitué avec une longue chaîne alkylamine.
R1 - NH - (CH2)2 - NH - (CH2)2 - NH - CH2 - COOH, H Cl
Mode d'action
Le pouvoir désinfectant augmente avec le nombre de groupements basiques.
Les cellules incorporent les amphotères en lieu et place des acides aminés habituels, ce qui provoque des perturbations dans les structures cellulaires.
Comme les ammoniums quaternaires, les amphotères sont plus efficaces contre les bactéries gram+ que contre les bactéries gram-.
La concentration normale d'emploi des ampholytes (1 000 mg/litre) est environ quatre fois supérieure à celle des ammoniums quaternaires d'où les risques importants de traces résiduelles.
Ils sont difficilement rinçables. Il peut après un bon rinçage rester de 1 à 5 mg de produit sur du verre.
Les défenseurs des amphotères diront que ceux-ci:
Les détracteurs des amphotères diront que:
Avantages
Inconvénients