Page précédente Table des matières Page suivante

CONSERVATION EX SITU DES RESSOURCES GÉNÉTIQUES AU CONGO: LE CAS DE DEUX ESPÈCES INTRODUITES: EUCALYPTUS GRANDIS ET E. UROPHYLLA 1

par

Rafael Gouma,2 Jean Marc Bouvet,3 Philippe Vigneron3 and Nicodème Kimbouma2


INTRODUCTION
En foresterie, la conservation des ressources génétiques des arbres peut être réalisée in situ (sur site, au sein de peuplements naturels) ou ex situ (hors site). La conservation de peuplements ex situ, c'est à dire hors de leur aire de répartition naturelle, peut être envisagée si les espèces ou populations introduites jouent un rôle économique, culturel ou social majeur dans le pays d'adoption. Le cas de deux espèces d'eucalyptus (Eucalyptus grandis et E. urophylla) introduites au Congo illustre bien cette question.

Les plantations industrielles d'eucalyptus représentent au Congo un atout économique non négligeable : les surfaces plantées avoisinent 42 000 ha, et l'exportation de rondins d'eucalyptus est estimée à 450 000 tonnes/an, générant un chiffre d'affaires de 5 milliards de francs CFA. De plus, l'activité liée à l'exploitation des bois procure quelque 4 000 emplois dans une ville de 500 000 habitants (Pointe-Noire), ce qui représente un impact social très apprécié. Afin de maintenir et de développer davantage ce potentiel industriel, Eucalyptus grandis et E. urophylla sont utilisés comme espèces parentales dans le cadre d'une stratégie d'amélioration pour la production de clones hybrides E. urophylla x grandis. Cet article décrit les efforts entrepris pour prolonger la survie des parcelles d'essai où les espèces et provenances les plus prometteuses ont été introduites, de manière à maintenir un vaste pool génétique dans les populations de base.

ETAT DE LA RESSOURCE GENETIQUE DISPONIBLE
Au cours des années 1950, en vue d'assurer le ravitaillement de la ville de Pointe Noire en charbon de bois et en bois de chauffe, et de fournir de l'énergie au Chemin de Fer Congo-Océan, des essais de plantation ont été réalisés dans la savane côtière de la région.

Dans des conditions locales défavorables (pluviométrie annuelle moyenne de 1200 mm mais avec des fortes variations annuelles, et quatre mois de saison sèche marquée) et sur des sols sableux très pauvres en éléments minéraux, les eucalyptus se sont en général mieux comportés que les autres espèces testées, locales ou introduites. C'est ainsi que très vite, des efforts importants d'introduction de provenances et descendances ont été réalisés en faveur de ce genre (Brezard, 1982) : au total, 62 espèces d'eucalyptus ont été introduites au Congo. Ce matériel végétal a été mis en place pour l'essentiel dans deux sites différents, Pointe-Noire et Loudima (Figure 1).

Peu d'espèces se sont réellement acclimatées, et le milieu écologique du sud Congo apparaît désormais comme une zone marginale pour la croissance des eucalyptus. Dans l'ensemble, une trentaine d'espèces subsistent encore sur le terrain sous forme de parcelles entières ou de peuplements plus ou moins denses. Cette mosaïque d'essais couvre environ 300 ha dont plus de 2/3 se trouvent à Pointe-Noire, et peut être subdivisée en deux sous-ensembles :

- le premier sous-ensemble (Figure 1), qui représente 95% de la surface totale des parcelles ressource en eucalyptus, regroupe des espèces adaptées ayant une utilité confirmée.

- le second sous-ensemble regroupe des espèces moyennement ou mal adaptées, qui survivent encore sur le terrain sous forme de parcelles morcelées. Ces espèces offrent peu d'intérêt actuellement, mais constituent une ressource génétique pour les travaux futur.

Espèce

Adaptation

Intérêt

Prov.

Desc.

S. (en ha)

Torelliana
Citriodora
Cloeziana
Grow
Robusta
Urophylla
Pellita
Resinifera
Alba
Tereticornis
Brassiana
Paniculata

Total

***
***
***
*
***
***
***
***
***
**
***
**

*
***
***
***
**
***
***
***
***
***
***
**

3(*)
14(*)
42(*)
70
14
104(*)
28
26
42
50
20
5(*)

418


10

327

704(*)



72
81


1194

2.7
15
20
42.4
17.3
119.4
5.8
5.7
12
26.6
2.3
0.8

270

Figure 1: Aperçu des espèces adaptées aux conditions écologiques du Congo et servant de matériel de base au sein du programme d'amélioration génétique des eucalyptus.

Légende : Prov. : provenance introduite ou testée ; Desc. : descendance introduite ou testée ; S. : surface. Adaptation et intérêt : *** : bon ; ** : moyen ; * : médiocre ; (*) : provenances ou descendances ayant des races locales.

UTILISATION DE LA RESSOURCE GENETIQUE
Les espèces pures les mieux adaptées aux conditions écologiques du Congo sont peu productives (7 à 10 m3/ha/an d'accroissement maximum sur le volume). La sélection après hydridation interspécifique a permis d'obtenir des hybrides conjugant adaptation et vigueur. C'est ainsi que les croisements d'E. grandis (possédant une croissance vigoureuse, une très bonne forme, une bonne aptitude au bouturage, une bonne qualité technologique pour la pâte mais très mal adapté4 ) et d'E. urophylla (plutôt adapté, mais ayant une mauvaise aptitude au bouturage, une qualité moyenne pour la pâte, et une forme moins bonne que l'E. grandis) ont permi l'obtention d'hybrides E. urophylla x grandis alliant à la fois vigueur et adaptation, facilité de multiplication et bonne aptitude technologique pour la pâte, et produisant 25 à 40 m3/ha/an en plantations expérimentales. Les figures 3 et 4 donnent un aperçu sur la croissance de quelques espèces pures et hybrides inter-spécifiques.

CHOIX DE LA RESSOURCE A CONSERVER
Les peuplements et les essais initiaux, mis en place pour l'essentiel à une quinzaine de kilomètres de la ville de Pointe-Noire, constituent une ressource génétique d'une valeur inestimable pour la continuité du programme d'amélioration génétique des eucalyptus au Congo. Ils sont d'autant plus précieux que certaines provenances peuvent être menacées dans leur site d'origine, ou des récoltes de graines rendues impossibles (comme dans l'île de Timor pour E. urophylla). Des parcelles conservatoires ex situ sont donc essentielles pour conserver la diversité génétique de l'espèce et maintenir un vaste pool génétique dans les populations de base (Bouvet, 1998). En sus des problèmes d'adaptation que connaissent la majorité des eucalyptus de prmière génération, les peuplements anciens sont soumis à des fortes agressions anthropiques (coupes illicites de bois, feu de brousse), qui traduisent d'ailleurs l'importance de ces arbres pour les populations locales.

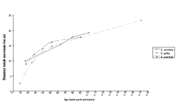
Figure2 : Courbes de croissance en hauteur des trois meilleures provenances d'espèces pures d'eucalyptus adaptées aux conditions écologiques du Congo : provenance Monte Lewotobi (E. urophylla), provenance 3763, Grafton (E. resinifera) et provenance 63.11 Loandjili (E. pellita). Courbes établies à partir de trois séries de mesures indépendantes, correspondant à l'évolution de la hauteur totale moyenne d'une des meilleures provenances de l'espèce ; les parcelles ayant des âges différents, la comparaison entre espèces n'est pas effectuée.


Figure 3 : Courbes de croissance de quelques hybrides obtenus au Congo : hybride naturel commercial 1-41 (E. alba x inconnu), hybride artificiel commercial 18-50 (E. urophylla x grandis), et hybrides en cours d'observation : 18-147 (E. urophylla x grandis), 43-28 (E. urophylla x pellita) et 59-10 (E. urophylla x brassiana). Parcelle R91-3, station forestière de Kissoko, Pointe-Noire (d'après données A.R. Saya).



Des initiatives techniques ont été lancées en vue de conserver ce patrimoine génétique. Elles nécessitent d'importants moyens financiers, ce qui fait qu'aujourd'hui seules quelques parcelles sont concernées, portant des peuplements choisis de E. grandis (plantés entre 1980 et 1983) et d'E. urophylla (plantés entre 1973 et 1975 ; voi Figure 5). Ces parcelles rassemblent une grande partie de la population d'amélioration participant au schéma de sélection récurrente réciproque (Vigneron, 1991). Les graines d' E. urophylla avaient été obtenues en partie grâce à une coopération entre institutions de recherches d'Australie (CSIRO), d'Indonésie (Direction générale des Forêts) et du CTFT-Congo, sous l'égide de la FAO (Gouma, 1998).

Espèce et parcelle d'introduction

Ile ou provenance

Nombre de provenances

Nombre de lots ou descendances

Altitude de récolte des graines (en m)

Eucalyptus urophylla

73.3 à 8





75.3 à 7



Eucalyptus grandis
80.28













83.02


Adonara
Florès
Lomblen
Timor

Alor
Florès
Lomblen
Pantar
Wetar


West of Pamula, QLD
South of Ravenshoe, QLD
SF194 Herberton, QLD
Wondecla, QLD
East of Mareeba, QLD
N of Tinaroo Falls Dam, QLD
Mount Putt, QLD
S.S East of Ravenshoe, QLD
State Forest 700, QLD
Tinaroo Falls Dam, QLD
Machebe Mashnaland, Zimb.
Verger de Pretoria, RSA


Mount Fox , NQLD
Kirrama, NQLD
Cairns Dam, NQLD

Total


2
10
4
54

11
3
1
3
2


1
1
1
1
1
1
1
1
1
1
1
1


1
1
1

105


4
45
19
252

53
4
2
9
13


1
1
1
1
1
1
1
1
1
1
1
1


1
1
1

414


500 - 700
450 - 1070
520 - 900
500 - 2300

640
595
725
575
330


900
940
1000
980
740
720
700
800
730
800
1600
-


680
580
420

Figura 4: Información sobre los orígenes del E. urophylla y E. grandis introducidos en las parcelas 73-1 a 8,75-3 a 7, 80-28 y 83?03 de Loandjili, cerca de Pointe-Noire en el Congo. Clave: QLD: Queensland; NQLD : Norte de Queensland; Zimb. : Zimbabwe; RSA : República Sudafricana.

INTERVENTIONS TECHNIQUES
La méthode de conservation présentée ici vise à l'améliorer l'état sanitaire du matériel sur pied, et à prolonger la survie du peuplement. Pour ce faire, des interventions sylvicoles sont menées à la fois pour supprimer la concurrence des ligneux adventices et redynamiser le peuplement par un apport d'éléments fertilisants. La sensibilisation du public dans ce milieu très fréquenté se fait à travers la réalisation de marques et de pancartes bien visibles sur le terrain.

Il est clair que la prolongation de la survie des peuplements sur pied ne suffira pas pour conserver indéfiniment ces ressources génétiques. Ces interventions sont réalisées au Congo afin de maintenir le matériel végétal vivant, aussi longtemps que possible, en vue de greffage et de culture in vitro, et sont complétées par des opérations de récolte de graines.

Les parcelles choisies ont été entretenues de façon différente suivant la densité initiale de plantation et le type de recrû en présence : (i) dans un premier cas, des entretiens manuels ont été entrepris dans les peuplements d'E. urophylla installés à faible écartement (2,5 m x 2,5 m), où le passage d'engins agricoles s'avère impossible. Pour ce faire, un défrichement à la machette a précédé l'abattage à la tronçonneuse des grands arbres avec rangement des rémanents en andains et dévitalisation chimique par badigeonnage au glyphosate ; (ii) dans un second cas, des entretiens mécanisés dans les parcelles à grand écartement (4,5 m x 4,5 m) on été possibles. Ces travaux ont eu un coût, estimé à 16 millions de francs CFA pour une surface de 15,75 ha (moyenne de 1.000.000 F. CFA/ha). Ce coût a été entièrement supporté par l'exploitant industriel des plantations (Eucalyptus du Congo SA).

Après éclaircie, de l'engrais complet N.P.K. (13-13-21) a été projeté en cercle autour de chaque arbre (400 grammes/arbre), en début de saison des pluies pour permettre aux arbres de profiter de la saison végétative. Dans un premier temps, la fertilisation a été appliquée à deux parcelles d'E. grandis, et en fonction des moyens financiers disponibles, s'étendra au reste des parcelles sélectionnées.

RESULTATS ET CONCLUSION
Avant les travaux de réhabilitation, l'état sanitaire d'E. grandis dans les parcelles sélectionnées montrait que ces arbres commençaient à dépérir, souffrant de gommoses prononcées. Les interventions sylvicoles lui sont avérées bénéfiques, et des signes tangibles d'une bonne reconstitution de la cime ont été observés. De la même manière, malgré la fertilisation qui n'a pas été réalisée, les peuplements d'E. urophylla ont bien réagi suite à l'éclaircie. Le phénomène le plus remarquable est l'activation de bourgeons dormants étalant ainsi de nombreuses pousses le long du tronc.

Ces initiatives volontaires, visant à la conservation ex situ de ressources génétiques de grand intérêt, ont été entreprises moyennant quelques actions sylvicoles simples, quoique parfois onéreuses, et ont été motivées par un certain nombre de considérations. Les motivations sont principalement de deux ordres :

  • volonté de soutenir un programme national d'amélioration génétique performant, lui-même justifié par une politique de reboisement industriel qui procure des devises et des emplois, et assure le ravitaillement en bois de service et de chauffe d'une ville de la deuxième ville du pays. Les plantations permettent aussi de diminuer la pression anthropique sur la forêt naturelle ;
  • volonté de préserver des produits de la recherche, tant nationale qu'internationale. Le pool génétique n'a été constitué qu'après un travail de plusieurs décennies, qui a coûté des efforts et moyens considérables. La conservation de ces ressources est aussi celle d'une partie du patrimoine universel, car elles peuvent servir à d'autres programmes d'amélioration. Le Congo, à l'instar d'autres pays où sont plantées de grandes surfaces (Brésil, Afrique du Sud), a ainsi reconnu son rôle dans les activités de conservation de la diversité génétique des eucalyptus qu'il utilise.

    1Reçu en mai 2000. Original: français.
    2UR2PI, B.P. 1291, Pointe-Noire (Congo).
    3CIRAD-Forêt, Campus International de Baillarguet, 34000 Montpellier (France).
    4L'adaptation a été établie selon deux principaux critères: état sanitaire et taux de survie (Bouvet, Diallo, Vigneron, Burger, notes internes CTFT-Congo).

    BIBLIOGRAPHIE
    Bouvet J. M., 1998. Les plantations d'eucalyptus, évolutions récentes et perspectives. Pointe-Noire, UR2PI, note interne, 30p.

    Brezard J-M, 1982. Les eucalyptus introduits au Congo de 1953 à 1981. Pointe-Noire, CTFT-Congo, note interne, 154p.

    Burger, P. et Vigneron, P., 1989. Les essais provenances d'E. grandis du Nord de l'aire de répartition réalisés en 1980 et 1983. Pointe-Noire, CTFT-Congo, note interne, 9p.

    Cossalter C., Vigneron Ph. et Brooker M.I.H., 1999. Eucalyptus d'Australie. Habitats naturels et dynamique d'évolution. Paris, le Flamboyant no. 49, 6p.

    Gouma, R., 1998. Adaptation des provenances de Eucalyptus urophylla au Congo. Cahiers d'agriculture 1998, vol. 7. 4p.

    Gouma, R., 2000. Les Eucalyptus introduits au Congo, supplément 1987-2000. Pointe-Noire, note interne UR2PI (in press).

    Martin, B., 1987. Amélioration génétique des eucalyptus tropicaux. Contribution majeure à la foresterie clonale. Thèse de doctorat en sciences de Université de Paris-Sud, Centre d'Orsay, Paris XI. 1987 ; Fascicule 2, annexes.

    Vigneron, P., 1986. Essai provenances Eucalyptus grandis. Parcelle 80-28 - Ljili. Mensurations de juin 1986 à 65 mois. Pointe-Noire, CTFT-Congo, note interne, 9p.

    Vigneron, P., 1987. Les Eucalyptus introduits au Congo, supplément 1982 - 1986. Pointe-Noire, note interne CTFT-Congo, 35 p.

    Vigneron, P., 1991. Création et amélioration de variétés hybrides d'eucalyptus au Congo. Symposium : The role of eucalyptus, août-feptembre 1991. Durban, Afrique du Sud. 13p.

  • Page précédente Table des matières Page suivante