2.1. Le concept de probabilité
Le concept de probabilité est au centre des sciences statistiques. En tant que notion subjective, la probabilité est en quelque sorte le degré de croyance en la survenue d’un événement, dans un intervalle de variation continu entre l’impossibilité et la certitude. En termes généraux, la valeur p attribuée par une personne à la probabilité P(E) d’un événement E représente le prix que cette dernière est prête à payer pour gagner une somme d’argent déterminée, si ledit événement se matérialise. Si le prix que la personne est prête à payer est de x unités pour gagner y unités de monnaie, la probabilité assignée est P(E)= x / (x + y). Des mesures plus objectives de la probabilité se fondent sur les issues également vraisemblables et la fréquence relative qui sont décrits plus loin. En théorie statistique, il existe aussi une définition axiomatique rigoureuse de la probabilité, dont il ne sera pas question ici.
Définition classique de la probabilité : Supposons qu’un événement E puisse se produire de x façons différentes, sur un total de n façons également vraisemblables. Dans ces conditions, la probabilité d’occurrence de l’événement E (ou de son succès) est donnée par
(2.1)
La probabilité de non occurrence de l’événement (ou de son échec) est donnée par
q = P(non E) =
(2.2)
=
(2.3)
On a donc p + q = 1, ou encore P(E) + P(non E) = 1. L’événement " non E " est parfois noté
.
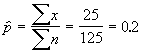
Par exemple, supposons que la couleur des fleurs d’une espèce végétale particulière soit gouvernée par la présence d’un gène dominant A dans un seul locus du gène, les combinaisons gamétiques AA et Aa donnant des fleurs rouges et la combinaison aa des fleurs blanches. E est l’événement " obtenir des fleurs rouges " dans la descendance par autofécondation d’un hétérozygote, Aa. Supposons que les quatre combinaisons gamétiques AA, Aa, aA et aa aient toutes les mêmes chances d’être réalisées. Puisque l’événement E peut être réalisé par trois de ces combinaisons, on a :
p = P(E) = ![]()
La probabilité d’obtenir des fleurs blanches dans la descendance par autofécondation d’un hétérozygote Aa est
q = ![]()
Notons que la probabilité d’un événement est un nombre compris entre 0 et 1. Si l’événement ne peut pas se produire, sa probabilité est égale à 0. S’il doit se produire, c’est-à-dire si son occurrence est certaine, sa probabilité est égale à 1. Si p est la probabilité qu’un événement se produise, les chances de réussite sont p:q (lire ‘p contre q’) ; et les chances d’échec sont q:p. Ainsi, dans l’exemple qui précède, les chances d’obtenir des fleurs rouges sont égales à
, ou 3 contre 1.
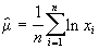
Interprétation de la probabilité en termes de fréquence : L’inconvénient de la définition précédente tient au manque de précision de l’expression ‘également vraisemblable’. Etant donné que ces mots semblent être synonymes de ‘également probables’, la définition est circulaire, puisque la probabilité est définie à partir d’elle-même. C’est la raison pour laquelle certains ont préconisé une définition statistique de la probabilité. Selon cette définition, la probabilité estimée, ou probabilité empirique, d’un événement est la fréquence relative de l’occurrence de l’événement, sur un grand nombre d’observations. La probabilité proprement dite est la limite de cette fréquence relative lorsque le nombre d’observations augmente indéfiniment. La probabilité de l’événement E est exprimée par la formule :
P(E) = lim fn (E) (2.4)
n ® ¥
où fn (E) = (nombre de fois où E s’est produit)/(nombre total d’observations).
Par exemple, une enquête concernant une espèce particulière menacée d’extinction, a donné les suites de nombres de plantes de cette espèce, indiquées ci-après.
x (nombres de plantes de l’espèce menacée) : 1, 6, 62, 610
n (nombres de plantes examinées) : 1000, 10000, 100000, 1000000
p (proportion de l’espèce menacée) : 0.001, 0.00060, 0.00062, 0.00061
Lorsque n tend vers l’infini, la fréquence relative semble tendre vers une certaine limite. Cette propriété empirique est appelée stabilité de la fréquence relative.
Probabilité conditionnelle, événements indépendants et dépendants : Si E1 et E2 sont deux événements, la probabilité que E2 survienne, sachant que E1 s’est produit, est notée P(E2/E1) ou P(E2 sachant E1) et est appelée probabilité conditionnelle de E2 sachant que E1 s’est produit. Si l’occurrence ou la non occurrence de E1 est sans influence sur la probabilité d’occurrence de E2, P(E2/E1) = P(E2) et les événements E1 et E2 sont dits indépendants. Dans le cas contraire, les événements sont dits dépendants.
Si E1E2 est l’événement " réalisation de E1 et de E2 ", parfois appelé événement composé, on a
P(E1E2) = P(E1)P(E2/E1) (2.5)
En particulier , P(E1E2) = P(E1)P(E2) si les événements sont indépendants. (2.6)
Considérons par exemple la ségrégation conjointe de deux caractères, tels que la couleur des fleurs et la forme des graines d’une espèce végétale, chacun de ces caractères étant respectivement gouverné par la présence des gènes dominants A et B. Individuellement, les combinaisons AA et Aa donnent des fleurs rouges et la combinaison aa des fleurs blanches, les combinaisons BB et Bb donnent des graines arrondies alors que la combinaison bb produit des graines ridées.
Soient E1 et E2 les événements ‘obtenir des plantes à fleurs rouge’ et ‘obtenir des plantes à graines arrondies’ dans la descendance respectivement obtenue par autofécondation d’un hétérozygote AaBb. Si E1 et E2 sont des événements indépendants, c’est à dire s’il n’y a pas d’interaction entre les deux locus de gène, la probabilité d’obtenir des plantes à fleurs rouges et à graines rondes dans la descendance autofécondée est,
P(E1E2)=P(E1)P(E2)=![]()
En général, si E1, E2, E3, …, En sont n événements indépendants ayant les probabilités respectives p1, p2, p3, …, pn, la probabilité d’occurrence de E1 et E2 et E3 et … En est p1p2p3…pn.
2.2. Distribution de fréquence
Vu la grande utilité pratique de l’interprétation de la probabilité en termes de fréquence, on établit souvent des distributions de fréquence pour réduire d’importantes masses de données brutes, car cette technique donne des informations sur le mode de réalisation de classes d’événements prédéfinies. Les données brutes sont des mesures d’un attribut quelconque concernant un groupe d’individus. La mesure peut être faite à l’échelle nominale, ordinale, proportionnelle ou par intervalle. L’échelle nominale se réfère à une mesure à son niveau le plus faible, lorsqu’un nombre ou d’autres symboles sont utilisés uniquement pour classer un objet, une personne ou une caractéristique, comme par exemple l’état de santé (sain, malade). L’échelle ordinale est celle dans laquelle, dans un groupe de classes d’équivalence connu, la relation " plus grande que " convient pour toutes les paires de classes, de sorte qu’un classement complet par ordre de grandeur est possible (ex : situation économique et sociale). Si une échelle a toutes les caractéristiques d’une échelle ordinale et si l’on connaît en outre l’amplitude des distances entre deux nombres quelconques sur l’échelle, on a une échelle par intervalle, comme par exemple les échelles de température centigrade ou Fahrenheit. Une échelle par intervalle ayant un zéro absolu à son origine forme une échelle proportionnelle. Dans une échelle proportionnelle, le rapport de deux points quelconques de l’échelle est indépendant de l’unité de mesure, ex : hauteur des arbres. On peut se référer à Siegel (1956) pour une analyse détaillée des différentes échelles de mesures, de leurs propriétés et des opérations possibles dans chaque échelle.
Indépendamment de l’échelle de mesure, la réduction des données peut se faire par la méthode dite des fréquences de classe, qui consiste à répartir les données en classes ou catégories et à déterminer le nombre d’individus appartenant à chacune de ces classes. On appelle distribution de fréquence, ou tableau de fréquences, la mise en tableaux de données ventilées par classes, avec les fréquences de classes correspondantes. Le Tableau 2.1 présente une distribution de fréquence des diamètres à hauteur d’homme (dbh) enregistrés au centimètre le plus proche, de 80 Tecks, sur une parcelle-témoin. La fréquence relative d’une classe, généralement exprimée en pourcentage, est égale à la fréquence de la classe considérée divisée par la fréquence totale de toutes les classes. Ainsi, la fréquence relative de la classe 17-19, dans le Tableau 2.1 est (30/80)100 = 37,4%. La somme de toutes les fréquences relatives de toutes les classes est bien entendu égale à 100%.
Tableau 2.1. Fréquence de distribution des diamètres à hauteur d’homme (dbh) des Tecks, sur une parcelle.
|
Classe de dbh (cm) |
Fréquence (Nombre d’arbres) |
Fréquence relative (%) |
|
11-13 |
11 |
13.8 |
|
14-16 |
20 |
25.0 |
|
17-19 |
30 |
37.4 |
|
20-22 |
15 |
18.8 |
|
23-25 |
4 |
5.0 |
|
Total |
80 |
100.0 |
Le symbole définissant l’amplitude d’une classe, tel que 11-13 dans le tableau ci-dessus, est appelé intervalle de classe. Les chiffres extrêmes 11 et 13 forment les limites de classe ; le plus petit nombre (11) constitue la limite inférieure de classe, et le plus grand la limite supérieure de classe. Les termes de " classe " et " intervalle de classe " sont souvent utilisés indifféremment l’un pour l’autre, à tort, car l’intervalle de classe est en réalité un symbole de la classe. Un intervalle de classe pour lequel l’une des deux limites (supérieure ou inférieure) n’est pas indiquée, au moins en théorie, est dit intervalle de classe ouverte ; l’intervalle de classe " 23 cm et plus " est par exemple un intervalle de classe ouverte.
Si les valeurs des dbh sont enregistrées au centimètre le plus proche, la classe d’intervalle 11-13 comprend théoriquement toutes les mesures allant de 10,5 à 13,5 cm. Ces nombres sont les extrémités, ou limites réelles, des classes; le plus petit nombre (10,5) est l’extrémité inférieure de la classe et le plus grand (13.5) l’extrémité supérieure de la classe. Dans la pratique, les limites réelles des classes s’obtiennent en ajoutant la limite supérieure d’un intervalle de classe à la limite inférieure de l’intervalle de classe suivant plus élevé, et en divisant par deux.
Il arrive que les classes soient symbolisées par les extrémités de classe. Par exemple, les symboles des différentes classes de la première colonne du Tableau 2.1 pourraient être 10,5-13,5 ; 13,5-16,5 ; etc. Pour éviter toute ambiguïté lorsque l’on utilise ces notations, on évitera que les extrémités de classe coïncident avec des observations effectives. En effet, à supposer par exemple que l’une des mesures observées soit 13,5, il serait impossible de savoir s’il faut la ranger dans classe d’intervalle 10,5-13,5 ou 13,5-16,5. L’étendue d’une classe d’intervalle, ou amplitude de la classe, est égale à la différence entre les extrémités inférieures et supérieures. La valeur centrale de la classe est le point médian de l’intervalle de classe, qui se calcule en additionnant les limites inférieure et supérieure de la classe et en divisant par deux.
Les distributions de fréquence sont souvent représentées graphiquement par un histogramme ou polygone de fréquences. Un histogramme est formé d’une série de rectangles, dont les largeurs, ou bases, sont situées sur un axe horizontal (axe x) les centres se tr ouvant au niveau des valeurs centrales des classes, et les longueurs(ou hauteurs) étant égales aux amplitudes des classes d’intervalle et les surfaces proportionnelles aux classes de fréquence. Si tous les intervalles de classes ont la même amplitude, les hauteurs des rectangles sont proportionnelles aux classes de fréquences, auquel cas on prend habituellement des hauteurs numériquement égales aux classes de fréquences. Si les intervalles de classe n’ont pas la même amplitude, ces hauteurs doivent être ajustées. Un polygone de fréquence est un graphique linéaire mettant en corrélation la fréquence de classe et la valeur centrale d’une classe. Il s’obtient en reliant les points médians des sommets des rectangles dans l’histogramme.
Figure 2.1. Histogramme illustrant la distribution de fréquence des dbh

Figure 2.2. Polygone de fréquence illustrant la distribution de fréquence des dbh

2.3. Propriétés de la distribution de fréquence
Une fois la distribution de fréquence établie, on peut en tirer un certain nombre de paramètres qui conduisent à une réduction ultérieure des données. Ces paramètres sont les mesures de position, de dispersion, d’asymétrie et d’aplatissement.
2.3.1. Mesures de position
Une distribution de fréquence peut être localisée par sa valeur moyenne qui est caractéristique ou représentative de la série de données. Etant donné que ces valeurs caractéristiques tendent à se grouper vers le centre, dans une série de données arrangée en fonction de la grandeur, ces moyennes sont aussi appelées mesures de la tendance centrale. On peut définir plusieurs types de moyennes, les plus communes étant la moyenne arithmétique (ou en abrégé la moyenne), la médiane et le mode. Chacune a des avantages et des inconvénients, qui dépendent du type de données et du but poursuivi.
Moyenne arithmétique : La moyenne arithmétique, ou moyenne, d’une série de N nombres x1, x2, x3, …, xN est notée
(lire ‘x barre’) et définie par
(2.7)

Le symbole
caractérise la somme de tous les xj de j = 1 à j = N.
Par exemple, la moyenne arithmétique des nombres 8, 3, 5, 12, 10 est
![]()
Si les nombres x1, x2, …, xK apparaissent respectivement f1, f2, …, fK fois (c’est à dire s’ils apparaissent avec les fréquences respectives f1, f2, …, fK) la moyenne arithmétique est
(2.8)

où
est la fréquence totale, c’est à dire le nombre total de cas.
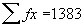
La moyenne des données groupées du Tableau 2.1 se calcule comme suit.
*Etape 1. Trouver les centres , ou points médians, des classes. A cette fin, additionner les limites inférieure et supérieure de la première classe et diviser par 2. Procéder de la même manière en additionnant l’intervalle de classe, pour chacune des classes suivantes.
*Etape 2. Multiplier les points médians des classes par les fréquences correspondantes, et faire la somme des résultats pour obtenir
.
Les résultats de ces étapes peuvent être résumés comme indiqué dans le Tableau 2.2.
Tableau 2.2. Calcul de la moyenne à partir des données groupées
|
Classe de diamètre (cm) |
Point médian x |
f |
fx |
|
11-13 |
12 |
11 |
132 |
|
14-16 |
15 |
20 |
300 |
|
17-19 |
18 |
30 |
540 |
|
20-22 |
21 |
15 |
315 |
|
23-25 |
24 |
4 |
96 |
|
Total |
|
|
*Etape 3. Remplacer les valeurs dans la formule
=
cm
Médiane : La médiane d’une série de nombres rangés par ordre de grandeur (c.à.d., dans un ensemble) est la valeur centrale ou la moyenne arithmétique des deux valeurs centrales.
Par exemple, la médiane de la série de nombres 3, 4, 4, 5, 6, 8, 8, 8, 10 est 6. Celle de la série de nombres 5, 5, 7, 9, 11, 12, 15, 18 est
= 10.
Dans le cas des données groupées, la médiane, obtenue par interpolation, est donnée par la formule
Médiane =
(2.9)
où L1 = extrémité inférieure de la classe médiane (c’est-à-dire de la classe contenant la médiane)
N = nombre d’éléments des données (ou fréquence totale)
= somme des fréquences de toutes les classes inférieures à la classe médiane
fm = fréquence de la classe médiane
c = amplitude de l’intervalle de la classe médiane.
Géométriquement, la médiane représente la valeur de x (abscisse) correspondant à la ligne verticale qui divise un histogramme en deux parties d’aires égales.
Le calcul de la médiane des données groupées du Tableau 2.1. se fait de la façon suivante:
*Etape 1. Trouver les points médians des classes. Dans ce but, additionner les limites inférieure et supérieure de la première classe et diviser par 2. Procéder de la même manière en additionnant l’intervalle de classe, pour chacune des classes suivantes.
*Etape 2. Ecrire les fréquences cumulées et présenter les résultats comme indiqué dans le Tableau 2.3.
Tableau 2.3. Calcul de la médiane des données groupées
|
Classe de dbh(cm) |
Point médian x |
Fréquence f |
Fréquence cumulée |
|
11-13 |
12 |
11 |
11 |
|
14-16 |
15 |
20 |
31 |
|
17-19 |
18 |
30 |
61 |
|
20-22 |
21 |
15 |
76 |
|
23-25 |
24 |
4 |
80 |
|
Total |
|
*Etape 3. Trouver la classe médiane en localisant le (N / 2)-ème terme dans la colonne des fréquences cumulées. Dans cet exemple, N / 2=40. Ce terme rentre dans la classe 17-19, qui est donc la classe médiane.
*Etape 4. Utiliser la formule (2.9) pour calculer la médiane.
Médiane = 
= 17.4
Mode : Le mode d’une série de nombres est la valeur qui apparaît avec la plus grande fréquence, c’est à dire la valeur la plus commune. Le mode peut ne pas exister, et, même s’il existe, il peut ne pas être unique.
La série de nombres 2, 2, 5, 7, 9, 9, 9, 10, 10, 11, 12, 18 a pour mode 9. La série 3, 5, 8, 10, 12, 15, 16 n’a pas de mode. La série 2, 3, 4, 4, 4, 5, 5, 7, 7, 7, 9 a deux modes 4 et 7 , on dit qu’elle est bimodale. Une distribution ayant un mode unique est appelée unimodale.
Dans le cas de données groupées représentées par une courbe des fréquences, le mode sera la valeur (ou les valeurs) de x correspondant au(x) point(s) maximum(s) de la courbe.
A partir d’une distribution de fréquence ou d’un histogramme, le mode peut être obtenu en utilisant la formule suivante :
Mode =
(2.10)
où L1 = Extrémité inférieure de la classe modale (c.à.d. de la classe contenant le mode).
f1 = Fréquence de la classe précédant la classe modale.
f2 = Fréquence de la classe suivant la classe modale.
c = Amplitude de l’intervalle de la classe modale.
Pour calculer le mode à partir des données groupées du Tableau 2.1., on procède comme suit:
*Etape 1. Trouver la classe modale. La classe modale est la classe pour laquelle la fréquence est maximale. Dans notre exemple, la fréquence maximale est 30, par conséquent la classe modale est 17-19.
*Etape 2. Calculer le mode à l’aide de la formule (2.10.)
Mode =
= 17.79
D’après les directives générales concernant l’utilisation des mesures de position, la moyenne s’utilise essentiellement dans le cas de distributions symétriques (voir Section 2.3.3) puisqu’elle est fortement influencée par la présence de valeurs extrêmes dans les données. La médiane possède l’avantage d’être calculable même dans le cas de classes ouvertes, et le mode est utile dans le cas de distributions multimodales puisqu’il apparaît comme l’observation la plus fréquente dans une série de données.
2.3.2. Mesures de dispersion
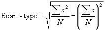
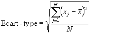
Le degré auquel des données numériques tendent à s’écarter d’une valeur moyenne est appelé variation ou dispersion des données. Il existe plusieurs mesures de la variation ou de la dispersion des données, comme l’étendue, l’écart moyen ou l’écart semi-interquartile, mais la plus commune est l’écart-type.
Ecart-type: L’écart-type d’une série de N nombres x1, x2, …, xN est défini par la formule suivante
(2.11)
où
désigne la moyenne arithmétique.
L’écart-type est donc la racine carrée de la moyenne des carrés des écarts des valeurs individuelles par rapport à leur moyenne, ou, comme on l’appelle parfois, l’écart quadratique moyen. L’écart-type se calcule souvent à l’aide de la formule suivante qui est plus simple :
(2.12)
Par exemple, la série de données ci-après représente les diamètres à hauteur d’homme (dbh) de 10 Teck prélevés au hasard dans une parcelle : 23.5 ; 11.3, ; 17.5 ; 16.7 ; 9.6 ; 10.6 ; 24.5 ; 21.0 ; 18.1 ; 20.7.
Ici N = 10,
= 3266.5 et
= 173.5. Par conséquent
= 5.062
Si x1, x2, …, xK ont pour fréquences respectives f1, f2, …, fK , l’écart-type peut-être calculé avec la formule
(2.13)
où 
Une forme équivalente, souvent utile dans les calculs, de l’équation (2.13) est la suivante :
(2.14)
La variance d’une série de données est le carré de l’écart-type. Le rapport de l’écart-type à la moyenne, exprimé en pourcentage, est appelé coefficient de variation.
Pour illustrer ces notions, reprenons les données du Tableau 2.1.
*Etape 1. Trouver les points médians des classes. Dans ce but, additionner les limites inférieure et supérieure de la première classe et diviser par 2. Procéder de la même manière pour chacune des classes suivantes, en additionnant l’intervalle de classe.
*Etape 2. Multiplier les centres des classes par les fréquences correspondantes, et sommer tous ces produits pour obtenir
.
*Etape 3. Multiplier les carrés des points médians des classes par les fréquences correspondantes, et faire la somme de tous les produits pour obtenir
.
Les résultats de ces calculs peuvent être résumés comme indiqué dans le Tableau 2.4.
Table 2.4. Calcul de l’écart-type à partir des données groupées
|
Classe de diamètre (cm) |
Point médian x |
Fréquence f |
fx |
fx2 |
|
11-13 |
12 |
11 |
132 |
1584 |
|
14-16 |
15 |
20 |
300 |
4500 |
|
17-19 |
18 |
30 |
540 |
9720 |
|
20-22 |
21 |
15 |
315 |
6615 |
|
23-25 |
24 |
4 |
96 |
2304 |
|
Total |
80 |
1383 |
24723 |
*Etape 4. A l’aide de la formule (2.14), calculer l’écart-type et en déduire la variance et le coefficient de variation
= 3.19
Variance = (Ecart-type )2 = (3.19)2
= 10.18
Coefficient de variation = ![]()
=
= 18.45
L’écart-type et la moyenne ont tous deux des unités de mesure, alors que le coefficient de variation n’en a pas. Le coefficient de variation est donc utile pour comparer l’ampleur de la variation de caractères qui ne s’expriment pas dans les mêmes unités de mesures. Cette propriété est utile pour comparer les variations de deux séries de nombres dont les moyennes diffèrent. Supposons, par exemple, que l’on veuille comparer les variations de la hauteur des plantules et de celle d’arbres plus âgés appartenant à une même espèce. Supposons que les moyennes et les écarts-types respectifs soient les suivants :
Hauteur moyenne des arbres = 50 cm, Ecart-type de la hauteur des arbres= 10 cm.
Hauteur moyenne des arbres = 500 cm, Ecart-type de la hauteur des arbres= 100 cm.
La valeur absolue de l’écart-type donne à penser que la variation est plus grande dans le cas des arbres, mais la variation relative, indiquée par le coefficient de variation (20%) est la même dans les deux cas.
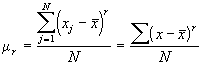
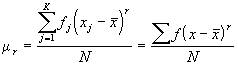
2.3.3. Mesures d’asymétrie
Ce paramètre mesure le degré d’asymétrie, ou l’écart par rapport à la symétrie, d’une distribution. Si la courbe des fréquences (polygone lisse des fréquences) d’une distribution est plus ‘allongée’ vers la droite du maximum central que vers sa gauche, on dit que la distribution est désaxée vers la droite ou encore qu’elle a une asymétrie positive. Dans le cas contraire, on dit qu’elle est désaxée vers la gauche ou qu’elle a une asymétrie négative. Un mesure d’asymétrie importante, exprimé sous une forme adimensionnelle, est donnée par la formule
Coefficient de moment d’asymétrie =
(2.15)
où
et
sont les deuxième et troisième moments centrés définis par la formule,
(2.16)
Dans le cas de données groupées, ces moments sont donnés par
(2.17)
Dans le cas d’une distribution symétrique,
= 0. L’asymétrie est positive ou négative selon que
est positif ou négatif.
Les données du Tableau 2.1 sont utilisées comme exemple pour illustrer les étapes du calcul de la mesure d’asymétrie.
*Etape 1. Calculer la moyenne.
Moyenne =
= 17.29
*Etape 2. Calculer fj (xj -
)2, fj (xj -
)3 et leurs sommes récapitulées dans le Tableau 2.5.
Tableau 2.5. Les étapes du calcul du coefficient d’asymétrie à partir de données groupées
|
Classe de diamètre (cm) |
Point médian x |
f |
xj - |
fj(xj - |
fj(xj - |
fj(xj - |
|
11-13 |
12 |
11 |
-5.29 |
307.83 |
-1628.39 |
8614.21 |
|
14-16 |
15 |
20 |
-2.29 |
104.88 |
-240.18 |
550.01 |
|
17-19 |
18 |
30 |
0.71 |
15.12 |
10.74 |
7.62 |
|
20-22 |
21 |
15 |
3.71 |
206.46 |
765.97 |
2841.76 |
|
23-25 |
24 |
4 |
6.71 |
180.10 |
1208.45 |
8108.68 |
|
Total |
80 |
3.55 |
814.39 |
116.58 |
20122.28 |
*Etape 3. Calculer
et
à l’aide de la formule (2.17).
= 10.18

= 1.46
*Etape 4. Calculer la mesure d’asymétrie à l’aide de la formule (2.15).
Coefficient de moment d’asymétrie = ![]()
= 0.002.
Comme
= 0.002, la distribution est très légèrement désaxée, ou encore l’asymétrie est négligeable. L’asymétrie est positive puisque
est positif.
2.3.4. Kurtose
La kurtose est le degré d’aplatissement d’une distribution, généralement considéré par comparaison avec une courbe de distribution normale. Si une courbe est plus pointue que la normale, elle est " leptocurtique ", si elle a un sommet aplati, on parle de courbe " platicurtique ". Une courbe en forme de cloche, ni trop pointue ni trop aplatie est dite " mésocurtique ".
Une mesure de l’aplatissement, exprimée sous forme adimensionnelle, est donnée par
Coefficient de moment d’aplatissement =
(2.18)
où
et
peuvent être calculés avec la formule (2.16) dans le cas de données non groupées et avec la formule (2.17) dans le cas de données groupées. On dit que la distribution est normale si
= 3. Lorsque
est supérieur à 3, la distribution est leptocurtique. Si
est inférieur à 3, elle est platicurtique.
Reprenons, par exemple, les données du Tableau 2.1. pour calculer le coefficient de moment de l’aplatissement.
*Etape 1. Calculer la moyenne
Moyenne =
= 17.29
*Etape 2. Calculer fj (xj -
)2, fj (xj -
)4 et leur somme, d’après les données résumées du Tableau 2.5.
*Etape 3. Calculer
et
à l’aide de la formule (2.17).
= 10.18
= 251.53
*Etape 4. Calculer la mesure d’aplatissement à l’aide de la formule (2.18)
Coefficient de moment d’aplatissement = ![]()
= 2.43.
La valeur de
est 2,38, chiffre inférieur à 3. La distribution est donc platicurtique.
2.4. Distributions théoriques discrètes
Lorsqu’une variable X peut prendre un ensemble discret de valeurs x1, x2,…, xK avec les probabilités respectives p1, p2, …, pK où
, on dit qu’une distribution discrète de probabilités a été définie pour la variable X. La fonction p
(x) qui prend les valeurs p1, p2, …, pK pour x = x1, x2, …, xK respectivement, est appelée fonction de probabilité ou fonction de fréquence de X. Comme X peut prendre certaines valeurs avec des probabilités données, on dit souvent que c’est une variable aléatoire discrète.
Par exemple, supposons que l’on jette deux dés non pipés et que X désigne la somme des points obtenus. La distribution de probabilités sera donnée par le tableau suivant :
|
X |
2 |
3 |
4 |
5 |
6 |
7 |
8 |
9 |
10 |
11 |
12 |
|
p(x) |
1/36 |
2/36 |
3/36 |
4/36 |
5/36 |
6/36 |
5/36 |
4/36 |
3/36 |
2/36 |
1/36 |
La probabilité d’obtenir la somme 5 est 4/36 = 1/9 . Cela signifie que si les dés sont jetés 900 fois, on peut s’attendre à ce qu’ils marquent 100 fois la somme 5.
Remarquons l’analogie avec la distribution de fréquence relative, les probabilités jouant ici le rôle des fréquences relatives. On peut donc voir les distributions de probabilités comme des formes limites théoriques, ou idéales, des distributions de fréquence, lorsque le nombre d’observations est très élevé. C’est la raison pour laquelle les distributions de probabilités s’appliquent très bien aux populations, alors que les distributions de fréquence relative concernent des échantillons prélevés dans cette population.
Si les valeurs de x peuvent être rangées dans un ordre, comme dans le cas de nombres réels, on peut définir une fonction de distribution cumulative,
pour tout x (2.19)
F(x) est la probabilité que X prenne une valeur inférieure ou égale à x.
Nous allons maintenant nous arrêter brièvement sur deux importantes distributions discrètes, qui reviennent souvent dans les travaux de recherche forestière, et qui pourront nous être utiles par la suite.
2.4.1. Distribution binomiale
Les distributions binomiales apparaissent dans le cas d’une succession de n expériences, identiques et indépendantes, dont chacune aboutit à un résultat dichotomique, tel que ‘succès’ ou ‘échec’. La loi binomiale s’applique si la probabilité d’obtenir x succès à partir de n expériences répétées est donnée par la fonction suivante :
(2.20)
où n est un entier positif et 0<p<1. Les constantes n et p sont les paramètres de la distribution binomiale. Comme l’indique la formule, la valeur de x est comprise entre 0 et n.
Par exemple, si un sylviculteur observe le taux de mortalité des jeunes plants dans des parcelles d’une forêt contenant chacune 100 unités, et enregistre les plants vivants comme des ‘succès’ et les plants morts comme des ‘échecs’, la variable ‘nombre de plants vivants dans une parcelle " peut suivre une loi binomiale.
La moyenne d’une distribution binomiale est np et son écart-type
. La valeur de p est estimée à partir d’un échantillon par la formule :
(2.21)
où x est le nombre de succès dans l’échantillon et n le nombre total de cas examinés.
Supposons par exemple qu’un entomologiste choisisse au hasard cinq parcelles de 10 m x 10 m dans une plantation où les jeunes plants sont espacés de 2 m x 2 m. Le nombre de plants attaqués par les termites dans les cinq parcelles contenant chacune 25 jeunes plants est (4, 7, 7, 4, 3). La valeur globale de p estimée à partir des cinq parcelles sera :

De plus, s’il choisit au hasard dans la plantation une parcelle de la même taille, la probabilité que celle-ci contienne un nombre donné de plants infestés par les termites peut être obtenue grâce à l’équation (2.20), à condition que l’infestation par les termites suive une loi binomiale. Ainsi, la probabilité de choisir une parcelle non infectée par les termites est :
![]()
= 0.0038
2.4.2. Distribution de Poisson
On dit qu’une variable aléatoire discrète suit une loi de Poisson si la probabilité d’obtenir une valeur spécifique de x est donnée par la relation :
(2.22)
où l >0. La variable X prend les valeurs de 0 à ¥ .
Dans les études écologiques, on constate que certains organismes rares sont répartis au hasard dans l’espace. Lorsque c’est le cas, on remarque que les observations sur le nombre d’organismes trouvés dans de petites unités d’échantillonnage suivent une loi de Poisson. Une distribution de Poisson est déterminée par l’unique paramètre l
qui est à la fois la moyenne et la variance de la distribution. L’écart-type est par conséquent
. A partir d’échantillons, on peut estimer les valeurs de l
par
(2.23)
où les xi sont les nombres de cas détectés dans unité d’échantillonnage et n est le nombre d’unités d’échantillonnage observées.
Prenons l’exemple d’un biologiste qui observe le nombre de sangsues présentes dans 100 échantillons prélevés dans un lac d’eau douce. Si le nombre total de sangsues capturées est de 80, le nombre moyen par échantillon se calcule comme suit,

Si la variable suit une loi de Poisson, la probabilité de prélever au moins une sangsue dans un nouvel échantillon peut être calculée par 1 - p(0), ce qui donne :
![]()
= 0.5507
2.5. Distributions théoriques continues
L’idée de distribution discrète peut s’étendre au cas d’une variable X pouvant prendre un ensemble continu de valeurs. Dans le cas théorique, ou limite, d’une population, le polygone des fréquences relatives d’un échantillon devient une courbe continue d’équation y = p(x), comme celle de la Figure 2.3.
Figure 2.3. Graphique d’une distribution continue

L’aire totale comprise entre la courbe et l’axe X est égale à un, et l’aire contenue sous la courbe délimitée par les droites X = a et X = b (zone ombrée sur la figure) représente la probabilité que X soit comprise entre a et b, ce que l’on note par P(a<X<b). On dit que p(x) est une fonction de densité de probabilité, ou en abrégé une fonction de densité, et lorsqu’une telle fonction est donnée, on dit qu’on a défini pour X une distribution continue de probabilité. La variable X prend alors le nom de variable aléatoire continue.
Dans le cas d’une variable aléatoire continue, la fonction de distribution cumulative est donnée par la relation
(2.24)
Le symbole ò indique l’intégration, analogue de la sommation dans le cas discret. Comme dans le cas discret, F(X) représente la probabilité que la variable prenne une valeur inférieure ou égale à x. Une propriété utile de la fonction de distribution cumulative est la suivante,
(2.25)
Nous allons maintenant examiner deux cas de distributions théoriques continues qui apparaissent souvent dans les travaux de recherche forestière, et qui nous seront utiles par la suite.
2.5.1. Distribution normale
Une distribution normale est définie par la fonction de densité de probabilité,
(2.26)
où m est un paramètre de position et s un paramètre d’échelle. La variable X peut varier de -¥ à + ¥ . Le paramètre m varie aussi de -¥ à +¥ mais s est toujours positif. Il n’existe pas de lien entre les paramètres m et s . L’équation (2.26) est une fonction symétrique de la variable m , comme le montre la Figure 2.4 où est représentée une courbe normale pour m = 0 et s = 1. Dans le cas m = 0 et s = 1, la distribution est appelée courbe standard normale.
Figure 2.4. Graphique d’une distribution normale pour m = 0 et s = 1

Si l’aire totale comprise entre la courbe et l’axe de la Figure 2.4 est prise comme unité de surface, l’aire sous la courbe délimitée par les droites X = a et X = b, où a<b, représente la probabilité, notée P(a<X<b), que X soit comprise entre a et b. L’appendice 1 donne l’expression de l’aire sous la courbe à l’extérieur de la bande +z et –z.
Dans une distribution normale, la moyenne et l’écart-type sont respectivement m et s . La distribution possède les propriétés d’aire suivantes. Si l’aire totale sous la courbe est prise comme unité d’aire, m ± s couvre 68.27% de la surface totale, m ± 2s 95.45% et m ± 3s 99.73 %. Supposons par exemple que dans une grande plantation d’arbres d’un âge donné, la hauteur moyenne des arbres soit de 10 m et l’écart-type de 1 m. Trouver l’écart de la hauteur de chaque arbre par rapport à la moyenne de la population. Si ces écarts sont distribués normalement, la hauteur d’environ 68% des arbres devrait s’écarter de moins d’un mètre par rapport à la moyenne; pour 95% des arbres l’écart devrait être inférieur à 2 m, et pour 99% des arbres il devrait être inférieur à 3 m.
A l’origine, la loi normale de distribution devait servir de modèle pour le calcul des erreurs de mesure, mais on a constaté qu’elle était la base de la variation dans un grand nombre de caractères biométriques. La distribution normale est censée être la résultante des effets additifs d’un grand nombre de variables aléatoires ayant des causes indépendantes.
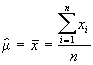
Les estimations de m et s à partir d’échantillons d’observations sont données par les formules
(2.27)
(2.28)
où xi, i = 1, …, n sont n observations indépendantes faites dans la population.
2.5.2. Distribution Log-normale
Soit X une variable aléatoire. Considérons la transformation de X en Y , définie par Y = ln X. Si la variable transformée Y suit une loi normale, on dit que la variable X est une variable aléatoire ‘log-normale’. La fonction de densité de probabilité d’une distribution log-normale est donnée par la formule suivante :
(2.29)
Dans ce cas, em est un paramètre d’échelle et s un paramètre de forme. La forme d’une distribution log-normale est hautement flexible, comme le montre la Figure 2.5 où sont tracées les courbes d’équations (2.29) pour différentes valeurs de s et pour m = 0.
Figure 2.5. Graphique d’une distribution log-normale pour m = 0 et différentes valeurs de s .

La moyenne et l’écart-type d’une distribution log-normale sont des fonctions complexes des paramètres m et s . La moyenne et l’écart-type sont donnés respectivement par :
(2.30)
(2.31)
A la différence de la loi normale, la moyenne et l’écart-type de cette distribution ne sont pas indépendants. Cette distribution est aussi la résultante des effets cumulés d’un grand nombre d’effets indépendants ayant pour propriété de se multiplier plutôt que de s’ajouter..Par exemple, si les données sont obtenues en regroupant les hauteurs d’arbres plantés appartenant à différents groupes d’âge, la distribution peut suivre une loi log-normale, car l’âge a un effet multiplicateur sur la variabilité des arbres. Il s’ensuit que les arbres les plus jeunes afficheront probablement une faible variation, alors que les plus vieux auront une variation importante, car leur interaction avec l’environnement s’est prolongée pendant plus longtemps.
Dans une distribution log-normale, les estimations des paramètres m et s sont données par les relations
(2.32)

(2.33)
où xi, i = 1, …, n sont n observations indépendantes prélevées sur la population.
Pour une analyse plus approfondie, contenant plusieurs exercices et problèmes, avec leurs solutions, sur des thèmes abordés dans ce chapitre, le lecteur pourra se référer à Spiegel et Boxer (1972).