Logarithme: Le logarithme d’un nombre N à base a est le nombre x auquel la base doit être élevée pour égaler le nombre de départ. En symboles, si loga N = x, on a ax = N. Le nombre N est appelé antilogarithme (ou logarithme inverse) de x. Le logarithme à base 10 est appelé logarithme ordinaire (ou logarithme décimal) et est noté log. Le logarithme à base e, une constante mathématique, est appelé logarithme naturel (noté ln).
Factoriel n : n factoriel, noté n!, est défini par n! = n(n-1)(n-2)…1. Par exemple, 5! = 5.4.3.2.1 = 120. Par convention, on pose 0! = 1.
Combinaisons : Une combinaison de n objets différents pris r à r est une sélection de r objets parmi les n objets, sans tenir compte de l’ordre dans lequel ils sont rangés. Le nombre de combinaisons de n objets pris r à r est noté
et est donné par
= ![]()
Par exemple, le nombre de combinaisons de deux des lettres a, b, c est
Ces combinaisons sont ab, ac, bc. Remarquons que ab est la même combinaison que ba mais avec une permutation différente.
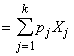
Espérance mathématique : Si X est une variable aléatoire discrète pouvant prendre les valeurs X1, X2, …, Xk avec les probabilités respectives p1, p2, …, pk où p1+ p2+ …+ pk = 1, l’espérance mathématique de X (ou, simplement, espérance de X), notée E(X), est définie par
E(X) = p1X1 + p2X2 + …+ pkXk
.
Dans le cas de variables continues, la définition de l’espérance est modifiée comme suit. Soient g(X) une fonction d’une variable aléatoire continue X, et f(x) la fonction de densité de probabilité de X. L’espérance mathématique de g(x) est alors donnée par
![]()
où R représente l’amplitude des valeurs de X (espace-échantillon), à condition que l’intégrale converge absolument.
Matrice : Une matrice est un tableau rectangulaire de nombres disposés en lignes et colonnes. Les lignes ont la même longueur que les colonnes. Si aij dénote l’élément situé sur la i-éme ligne et la j-ème colonne d’une matrice A constituée de r lignes et c colonnes, A peut s’écrire
Ar x c = A = {aij}
Un exemple simple de matrice 2 x 3 est A 2 x 3= ![]()
Une matrice constituée d’une seule colonne est appelée vecteur-colonne. De même, une matrice constituée d’une seule ligne est appelée vecteur-ligne. Par exemple, x =
est un vecteur-colonne et y’ =
un vecteur-ligne. Un nombre unique, comme 2, 4 ou –6, est un " scalaire ".
La somme de deux matrices A = {aij} et B = {bij} est définie par C ={cij} = {aij+ bij}. Par exemple, si,
A =
et B =
, on a C = ![]()
Le produit de deux matrices est défini par Cr x s = Ar x c Bc x s où le ij-ème élément de C est donné par cij =
. Par exemple, si
A =
et B =
, alors C = ![]()
Pour avoir de plus amples détails et des exemples tirés de la biologie, le lecteur peut se référer à Searle (1966).