After almost a decade of agricultural malaise, Thai agricultural development has been re-ignited by the currency depreciation and the commodity boom. Moreover, Thailand has successfully managed to maintain its position as one of the top exporters of agricultural products throughout the boom and bust periods. This section analyses how Thai farmers and the agriculture sector generally have adapted to their changing comparative advantage. We begin with the adjustment of the production system, move on to examine exporters' responses to changing demand, the role of professional farmers and agribusiness firms and non-farm activities.
As noted in previous sections, rapid increases in the real wage rate and water scarcity have pushed up the cost of production, while world prices of major Thai commodity exports have shown a declining long-term trend, leading to a cost-price squeeze. On the other hand, the average landholding of Thai farmers is larger than those of their Asian competitors, and has begun to increase since the late 1990s due to the decline in the agricultural workforce. To tackle the cost-price squeeze, farmers must either improve their productivity by adopting new technology or increase the value added of their products.
Diversification into high-value products
Diversification is often a response by risk-averse farmers who choose a wider range of outputs in order to reduce the risks arising from variations in prices and yields. While it tends to stabilize farmers' income, it also often means a lower average income level. Not all farmers will respond in the same way, making it difficult to specify a socially desirable level of risk. However, at the national level, it pays to diversify the set of outputs due to the significant transaction costs of market exchange. At the individual level, there are many factors affecting farmers' diversification choices. If the market for one product is large enough, or if the farmer has too small a plot of land, he will be better off specializing in one crop.
As discussed in Part 3, the production structure has become more diversified and the value added share of high-value fruit, vegetables and flowers has increased (Isavilanond 1992; Figure 8). Other high-valued products that have been introduced in recent years include, inter alia, organic rice, safe foods, processed and ready-to-eat foods, dairy products, fresh and canned seafood, quality and standard vegetables and fruit. Thai exporters have also introduced new products and added value to existing products, e.g. dried and fresh longan, rambutan, cooked chicken, ready-to-eat seafood, etc. The demand for these high-value products is income elastic, and hence will be consumed by high income consumers who are willing to pay higher prices. Our survey of the prices of fresh regular vegetables and safe vegetables in four Bangkok supermarkets in November 2005 found that the prices of safe vegetables are much higher than the regular vegetables. In some cases, the price differential is as high as 285 percent (see Table 9). A study by Athukorala and Jayasuriya (2003) showed that Thai exporters have developed a higher level of technological capability in the areas of food safety than most developing countries.
Farmers adopting new high-value products have to invest in capital as well as greater care and effort in order to obtain an adequate return. Evidence in the case of contract farmers growing quality vegetables confirms that the rates of return are much higher than those from the production of regular crops sold to middlemen in the spot markets (Table 10).
In addition, Thai agricultural exporters have successfully upgraded the value of their products. Two rice exporters interviewed for this study claimed that Thai rice has consistently commanded a higher price than its main competitors. During 1995 to 2000, the f.o.b. export price of Thai husked rice was US$936/tonne, compared to US$303/tonne for Vietnamese husked rice. The average price differential for all kinds of Thai rice is 1.25 times that of Vietnamese rice. Such differentials reflect the quality differences.16
Table 9. Price differentials between safe and regular vegetables
| Type | Average organic price (baht/kg) | Average safe price (baht/kg) | Average regular price (baht/kg) | Difference between organic and regular (%) | Difference between safe and regular (%) |
| Hot chilli | 250.0 | 211.3 | 65.0 | 284.6 | 225.0 |
| Cucumber | 58.2 | 48.7 | 19.0 | 206.1 | 156.1 |
| Kale | 89.3 | 86.3 | 45.2 | 97.8 | 91.0 |
| Cabbage | 60.5 | 79.5 | 28.5 | 112.3 | 178.9 |
| Scallion | - | 210.0 | 139.8 | - | 50.3 |
| Morning glory | 52.0 | 52.0 | 33.4 | 55.6 | 55.6 |
| String bean | 85.0 | 102.8 | 54.1 | 57.2 | 90.0 |
| White greens | 59.0 | 77.3 | 41.7 | 41.6 | 85.4 |
| Flowering cabbage | 85.0 | 67.8 | 38.3 | 121.7 | 76.7 |
Note: Average prices were obtained from one supermarket and four hypermarkets in Bangkok.
Source: TDRI survey, November 2005.
(baht/ rai/ month)
| Crops | Net revenue of contract farms | Net revenue of alternative crops | |
| Chiangmai 1995–961 | North 1994–951 | ||
| Cotton | 875 | 358 | |
| Japonica rice | 400 | 253 | (wet season paddy) |
| Soybean | 3 500 | 348 | |
| Potato | 4 333 | 1084 | |
| Tomato | 3 333 | 2 880 | |
| Central provinces 1994–951 | |||
| Baby corn | 575 | 239 | (maize) |
| Asparagus | 5133 | - | |
| Green cabbage | 5 000 | - | |
| Organic rice | 505 | 115 | (wet season paddy) |
| Srakaew Province 2003 | |||
| Asparagus2 | 4160 | - | |
Note: 1 ha = 6.25 rai.
Sources: 1 Poapongsakorn et al. (1996).
2 Uathavikul (2004).
Not only has Thailand been the largest exporter of rubber, its farmers and rubber processors have improved the quality of their products. The government has provided tax incentives to promote the manufacturing of rubber products and supported public research in rubber breeding and so forth.
Even for cassava, in which Thailand has begun to lose its lucrative export of tapioca pellets to the European Union market since the mid-1990s, Thai exporters have successfully turned to the production and export of modified starch products which command a higher price than the tapioca pellets.
Despite high protection in the world market, Thailand has continued to be one of the major exporters of sugar. Thai sugar mills are highly efficient as they have adapted and modified imported technology and are now able to invest abroad, relying upon their own technology. Some sugar mill companies also have active research to improve the yields of sugar-cane production and refinery processes. They also invest in co-generation plants to lower their energy costs.
As mentioned above, Thailand had been one of the top exporters of chicken meat. At first, it competed successfully with the United States and Brazil, exporting labour-intensive chicken parts. When labour became more expensive, the exporters shifted towards high-value finished products. But chicken export fell by more than 70 percent in value as a result of AI in late 2003. A few large-scale exporters have adjusted by turning to exports of cooked chicken which require more investment. Whether or not Thai exporters can regain their lost market share remains to be seen.
The success of vegetable and fruit exports, particularly durian and longan, can be attributed to the ability of exporters to provide the standard quality of products demanded by the customers, and an efficient logistic capability which guarantees the freshness of fruits (see Poapongsakorn et al. 2005). Moreover, in recent years Thailand has been able to export safe fruits with some degree of traceability (Poapongsakorn et al. 2005).
Specialization
As already discussed in Part 3, Thai farming has become more specialized in the sense that the share of single-crop farm holdings increased significantly during 1978 to 1998. The Central Plains has the highest share of such holdings, although the share has remained constant. The South has a growing share of specialized rubber holdings, while the Northeast has a higher share of paddy holdings.
It is generally accepted that specialization results in lower average cost and could lead to innovative methods of production. But specialization is possible if the extent of the market is large enough and there are adequate supplies of specialized factors. The Central Plains region is suited to specialization in rice production because it has the largest irrigated area, allowing farmers to fully utilize the land. In Supanburi, a province in the Central Plains, many farmers produce five crops of paddy every two years. Moreover, farmers in the Central Plains have adopted a unique method involving a package of practices including broadcasting of pregerminated seeds to save labour, levelling of land for increased water control and application of chemical herbicides to control weeds among seedlings. This technique has been adopted due to the scarcity of transplanting labour. High-yielding varieties of rice are also available to the farmers in this region (Siamwalla 1992). There has also been an increase in large-scale commercial farms for fruit and livestock since the 1990s.
Changes in input intensities
Faced with changes in input prices, profit-maximizing farmers will respond by adjusting their input intensities. Since the 1990s, the cost of labour has risen relative to capital. Moreover, water has become scarcer (Kaosa-ard et al. 1994), due to increasing demand from both agricultural and non-agricultural users, while supplies of surface water have fallen slightly. Water conflicts centre on dry-season water when a strict ceiling on dry-season rice production is caused by increasing allocations of water for industrial and residential uses. Nevertheless, factories along the Eastern Seaboard had to cut production because of severe drought. As the irrigated areas represent only 20 to 22 percent of total planted area, Thai farmers have increasingly invested in water pumps to tap groundwater. Recently, however, the water table has begun to fall in many areas. As a result, crop choice will shift to less water-intensive crops such as cassava, sugar cane and fruit trees. Moreover, capital intensity is likely to increase owing to the need for investment in more efficient water distribution systems.
Unfortunately the data on input utilization in Thai agriculture17 are scant. Yet, two important phenomena can be discerned - an absolute reduction of labour requirements and agricultural intensification in the production of some major crops.
Rice farmers in the Central Plains began to respond to the increasing real wage rate by first mechanizing land preparation activities in the mid-1970s. By the late 1980s, mechanization of land preparation was more or less complete in the Central Plains and the North, and the indices of labour and machinery utilization remain virtually constant (Poapongsakorn et al. 1995). In the Northeast, costly animal power was rapidly replaced by mechanization between 1986 and 1987 and 1988 and 1989. In the South, mechanization was undertaken to solve the problem of labour shortage as well as to replace animal power. In all regions, except the Northeast, there was a reduction in labour used in land care and harvesting activities. As land care is a labour-dominated activity, the reduction in labour utilization in such activity reflects the fact that farmers have been drawing their scarce resources away from rice production.
There are no published data on input utilization after 1988 to 1989. However, both the data on the investment in agricultural machinery and casual observation suggest that mechanization of all but one task in rice production has been completed. That one remaining labour-intensive task is transplanting. However, in the Central Plains there is an increasing tendency to replace transplanting by the pregerminated broadcasting methods mentioned above.
Besides rice production, the available evidence suggests that there has also been a decline in labour utilization in many field crops such as maize, cassava, kenaf, sorghum and mung bean (Poapongsakorn et al. 1995).
Thai farmers use less fertilizer than many of their counterparts in other Asian countries mainly because only 22 percent of farmland is irrigated and multiple cropped. However, the average use of fertilizer for all crops jumped from 10 kg/rai in 1980 to 1981 to 33 kg in 1990 to 1991. One possible explanation is the shift from rice towards higher-value vegetable and fruit farms. The average use of fertilizer on rice is much lower; it increased slightly from 7.7 kg/rai to 13 kg between 1984 and 1993. Dry-season rice production is, however, quite fertilizer intensive because farmers grow high-yielding varieties requiring irrigation. The average fertilizer used per rai in these areas is around 40–49 kg/rai.
Technological improvement and productivity enhancement
Technological improvement is a crucial factor for generating rapid and sustainable economic growth and ensuring rising standards of living. Higher growth generated by the expansion of either labour or capital is not sustainable. As shown in Part 2 (Table 2), TFP over the last two decades was about 1.5 percent per year or about 43.6 percent of agricultural output growth. Even during agricultural malaise in the 1990s when manufacturing enjoyed very high output growth, agriculture had positive TFP growth, while that in the manufacturing sector was negative. This TFP performance is strong evidence that Thai agriculture has never been technologically static and, indeed, technological improvement has been an important factor allowing Thai farmers to successfully develop a new comparative advantage.
Siamwalla (1992) defines technology as “knowledge and mastery of the production processes at work in the sector as a whole or on each farm. Such knowledge and mastery…can arise as a result of experience from continuous operation over a long period of time.” Thai farmers have not only mastered their production technology through long experience in farming, but have also acquired new technology. In many cases the new technology has been quickly diffused. There are three main lines of technological development in agriculture: genetic improvement, mechanization and resource management.
Genetic improvement is an activity in which Thai farmers have engaged for generations. Most genetic improvement is in the subsectors of fruit, flowers and aquaculture. Thai farmers have not only been quick adopters of technology from abroad, but have also been pioneers in creating new varieties and technology. As a result, many new varieties (for example, oranges, guava and mangoes) have been developed, some of which have become popular exports.
Public support for genetic improvement has been strong. A survey of research publications in 1980 showed that a significant effort was spent on crop improvement, production technology, diseases and pests, and fertilization and seed technology. In recent years, most research by the Department of Agriculture has been focused on plant breeding, especially rice. Increasing attention has also been given to cassava and rubber varieties (ADB 1998). Moreover, there was a general move towards diversification in research away from rice to other field crops and horticulture between the 1980s and 1990s. The Field Crops Research Institute and the Rubber Institute have successfully developed a number of new varieties which improve the production yields of crops such as rubber, cassava, maize and soybean.
In addition, research carried out by universities, albeit with smaller budgets and a focus on minor crops, and the private sector have contributed to the yield improvements of some products. The Thailand Tapioca Development Institute, a non-profit foundation, has played the most active role in yield improvement and cassava variety development. The private sector, particularly Charoen Pokphand (CP) has been instrumental in the research and development of broiler and shrimp cultivation, seed technology and a new variety of freshwater fish (Tubtim, Red Tilapia). The Pacific Company is the pioneer in research on cross-bred baby corn. On the other hand, the rapid growth of fruit and freshwater fish culture has been mainly due to the lifetime efforts of individual farmers who have allowed their work to be freely copied and adapted by other farmers.
Improved mechanization in Thai agriculture has long been carried out by the local mechanic helping to solve the farmers' production problems. The most popular machines are hand-tractors and two-wheeled tractors developed by small workshops in the Central Plains. In addition to harvesters and rice threshers, there are also cassava-pelleting machines, giant vacuums to collect cassava flour from the drying field. In the livestock sector, Thai mechanics have successfully modified imported evaporation houses. Home-produced evaporation houses are much cheaper and have allowed chicken and layer farms to scale-up from 10 000 to 50 000 birds per house.
New technologies such as new varieties have to be adapted by the farmers because the availability and mix of natural resources in particular farms differ considerably from location to location. Therefore, farmers must actively adapt their resource management practices to fast-changing technology (Siamwalla 1992). Anew approach, called “integrated pest management” (IPM) requires farmers to study the environment of their field carefully and devise farm-specific methods to deal with pest problems. As there is increasing demand, from both foreign and domestic markets, for pesticide-free and organic food, Thai farmers have an incentive to adopt the IPM approach. There is now an increasing number of IPM farmers in Thailand, some of whom have been trained by NGOs or export companies. Yet there is also a number of local farmers who have mastered the integrated farming technology through their own experience in farming. Such knowledge has enabled many farmers who grow vegetables and fruit to successfully develop the traceability requirements and best practices, such as EUREP-GAP, that are required by foreign consumers.
In the livestock industry, both large agribusiness companies and commercial farms have successfully developed their own feed formulae and feeding schedules to improve the feed-conversion ratio.
Diversification into non-farm activities and the impact on poverty
In the previous sections we discussed farmers' response to their agricultural problems by adopting the new technology, changing input intensities and restructuring their production towards higher valued products. However, these adjustments require more care as well as greater input intensity. For many farmers, such adjustments are not an option owing to the quality of their resource endowments, particularly the shortage of household labour. Given these constraints, their rational choice is to shift to crops with lower care requirements, such as rice and cassava, in order to have time for non-farm activities. The emergence of specialized teams of hired labour in the agriculture sector,18 in response to the shortage of farm workers, has allowed an increasing number of rural labourers to reduce effort on their farms and seek better employment alternatives in the cities. As their farm income is low and volatile, many farmers (15 percent of family heads) must have a second occupation.19 This explains why the proportion of farmers who work less than 30 hours per week jumped from 4.9 percent for males and 8.7 percent for females in 1991 to 25 and 29.5 percent respectively in 2004. As a result, the average farm household earned 51 percent of its cash income from non-agricultural activities and 49 percent from farm income. If in-kind income is included, farm income accounted for 60 percent of the average and non-agricultural cash income 40 percent in the same year. Interestingly, the in-kind income of non-agricultural households in the rural areas is only slightly lower than that of the farm households, implying that in-kind income provides a safety net for all rural households.
Figure 12 shows that the share of total income from farming had a declining trend during 1986 to 1996; increased slightly between 1996 and 1998 and then remained fairly stable, at around 39 percent. The most important source of non-farm cash income is wages, while transfer income has become increasingly important since 1986.

Source: Calculated from NSO, Socio-economic survey, various years.
Figure 12. Farm household sources of income
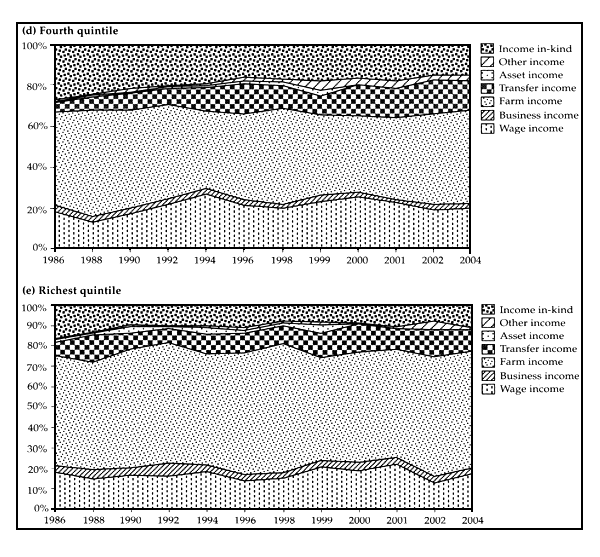
For the poorest quintile of farm households, in-kind income remains the largest source, although of declining importance, with total farm income, in cash and in-kind, accounting for around 65 percent in 2004. However, non-agricultural income accounted for almost 60 percent of their cash income, an increase from 40 percent in 1986, due to the rising share of wages and transfer income in their total income. Unsurprisingly, given their poor resource endowments, the ability of the poorest farm households to increase the share of cash income from farming has been negligible. The same pattern of a rising share of cash income from wages and transfers is evident in the case of the next two quintiles (Figures 13a, b, c). In effect, poor farmers have exported more and more labour in order to increase their incomes.


Source: Calculated from NSO, Socio-economic survey, various years.
Figure 13. Farm household sources of income by income group
In the top quintile of farm households, on the other hand, the share of income obtained in-kind has tended to stabilize at around 10 to 20 percent since the early 1990s. Cash income from farming among the richest farmers also remained more or less stable (about 45–55 percent for the top two deciles) over the 1986 to 2004 period. While both rich and poor households obtain a substantial proportion of their cash income from non-agricultural sources, for the rich the ratio is reversed: 55 to 60 per cent of their cash income is obtained from farming.
A comparison of these sources of farmers' income with those of other rural households where household heads were either entrepreneurs or wage earners reveals a strikingly similar pattern. The first four largest sources of income were the same. For the entrepreneurial households, business income constituted 51 percent of their income in 2004, followed by wage income (18.6 percent), in-kind income (16 percent) and transfer income (10 percent). For households whose heads were wage earners, 45 percent of their income came from wage employment, 22 percent from business, 17 percent was in-kind and almost 11 percent from transfer payments.
Over the last 20 years, income from the main occupation of the household head has constituted the largest share of total household income. Except in the case of farmers, however, this income has also constituted an increasing share. The vast majority of rural households, excepting only the business and rich farmer households, have an increasing income share from wages and salaries. While the socio-economic survey does not contain information to identify the sources of wage income, these data are suggestive of increasing off-farm employment opportunities in rural areas.
We now turn to the effects of economic growth, more particularly of boom and bust, on the income of rural households. Figure 14 suggests that farm households generally enjoyed high income growth rates during the boom years of 1986 to 1996. Indeed, growth of farm income was exceptionally high, often exceeding 12 percent per annum. Transfer income, wages and business income all grew at high rates. This finding implies that growth in agricultural incomes is strongly linked to industrial growth, which not only contributed to increasing wage and transfer income, but aided the expansion of rural enterprises.

Source: NSO, Socio-economic survey.
Figure 14. Household real income by sources and type of farm household
During the financial bubble (1990–1996), overall income growth was substantially lower than that in 1986 to 1990, but was still higher than after 1996. This finding contradicts the macroeconomic effects of Dutch disease analysed in Part 3. One explanation is that farm households may have adjusted their cropping patterns from tradable goods towards more profitable non-tradable products. The higher farm income growth of farmers in the urban areas (4.2 percent versus 2.9 percent for rural farm households) is consistent with this explanation because urban farmers tend to produce products, such as vegetables and fruit, for urban markets. After the economic crisis, some farmers continued to produce the same non-traded products if they expected the deceleration in their demand to be temporary.
During the immediate crisis (1996–1998) most farm households, with the exception of the middle-income fifth, seventh and eighth deciles, were not worse off as their real household income increased despite the fact that the economic shocks affected the major sources of their non-farm income, namely, business, wage and transfer income. Growth in combined income from farm profits, asset income and in-kind income offset the reduction from other sources. However, real income, particularly farm income, of most households, except the seventh, eighth and ninth deciles, declined marginally between 1998 and 2000. In the postcrisis recovery, the growth rate of farm household income remains below that of the boom and bubble periods. It is notable that the incomes of the richest farm households were most severely affected during 2000 to 2001, presumably because they were more commercialized and therefore were more affected by global recession in 2001; whereas poor farm household incomes tended to hold up better throughout the 2000 to 2004 period.
The process of agricultural adjustment described above has been undertaken by most farmers in pursuit of their own interests. Despite constraints and highly distorted policies in the world market, they have been able to adapt their production to changing comparative advantage. Among these farmers, there are some dynamic men and women who have been willing to take new risks by experimenting with new ways of farming, new technology or new products. It may not be an exaggeration to argue that they have been instrumental in bringing technological dynamism to Thai agriculture. Besides the so-called “professional” farmers, there are also businesses that have introduced new postharvest technologies and modern marketing systems.
Professional farmers
There is no official definition of professional farmers. They are usually leaders in experimentation and innovation. Some have developed products for a particular market niche, being good at both science and marketing. Their innovations have gradually been recognized by their local community and some have received “best farmer” awards from the Ministry of Agriculture. There are professional farmers for almost all products. But perhaps the best known are those who grow safe fruit and vegetables (Box 1) and livestock (Isavilanond 1992), practise integrated farming and, more recently, produce organic rice.20
| Box 1. How a supermarket chain recruited suppliers of safe fruit and vegetables |
| When a high-end supermarket in Bangkok decided to corner a market niche for safe fruit and vegetables (F&V) a few years ago, it had difficulties searching for trustworthy and reliable suppliers. The chain executive made a bold move by directly contacting Mr Prasert, a smallholder, who had achieved a “most outstanding farmer” award by the Ministry of Agriculture. Mr Prasert had been one of the most successful farmers growing rambutan and mangosteen in the eastern province of Trat and was widely regarded as an expert among the fruit growers of the eastern provinces. |
| Initially, the supermarket executive decided to offer an informal contract to buy a few tonnes of rambutan daily from Mr Prasert. To be able to provide such large amounts, Prasert had to carefully recruit a group of farmers who could be counted on for a regular supply of high quality and safe F&V. Now he has 50 farmers in his supply chain and the capacity to supply up to several hundred tonnes of rambutan daily to the supermarket chain. |
| The supermarket executive made a calculated decision to depend on Mr Prasert because she believed that he had a national reputation at stake. Yet both sides have had to take great pains in their joint effort to tackle the problems arising from their business transactions. As a result, they have been able to develop a long-term relationship of mutual benefit. |
For our purposes, we define professional farmers as the households that obtain more than 60 percent of their total income from agriculture and whose heads have no secondary job. Data on their income and personal characteristics are obtained from the socio-economic survey which shows that there were 1.36 million professional farmers (19 percent of farm householders) in 2004 compared to 0.94 million in 1986. While the number of farm households increased by 23 percent over the same period, that of professional farm households rose by 45 percent (Table 11).
Who are these professional farmers? Table 11 shows that both the professional and the average farming households have almost the same characteristics in terms of age and education. Professional farmers are only marginally younger (about one year), but both types have only five years of education. The average number of working farmers in the professional household is only marginally higher. This is not very surprising because to master agricultural technology and cultivation practices learning-by-doing and observation are the keys to success. Formal education does not count much in such a process. One implication is that proactive government policies in providing extension services in production technologies and marketing would enable average farmers to increase their income by specializing in the activities that they are good at.
Table 11. Characteristics of two types of agricultural households
| 1986 | 1996 | 2001 | 2004 | |
| Heads are farmers | ||||
| Household size | 4.8 | 4.1 | 4.0 | 3.8 |
| Household members in agriculture | 2.8 | 2.2 | 2.1 | 2.0 |
| Age of heads | 46.9 | 50.3 | 50.8 | |
| Age of members in agriculture | 35.6 | 41.2 | 43.0 | 45.1 |
| Year education of heads | 4.2 | 4.6 | 5.1 | |
| Year education of members in agriculture | 4.6 | 5.0 | 5.0 | 4.9 |
| Monthly income | 2 525.9 | 6 798.4 | 7 222.3 | 9 311.3 |
| No. of farming households ('000s) | 5 570.1 | 7 169.2 | 6 888.7 | 6 989.1 |
| % of households in urban area | 8.3 | 8.0 | 8.1 | 6.6 |
| Professional farmers1 | ||||
| Household size | 4.7 | 4.1 | 4.0 | 3.8 |
| Household members in agriculture | 2.9 | 2.3 | 2.2 | 2.1 |
| Age of heads | 46.5 | 49.7 | 49.4 | |
| Age of members in agriculture | 35.6 | 40.5 | 42.1 | 43.8 |
| Year education of heads | 4.2 | 4.7 | 5.0 | |
| Year education of members in agriculture | 4.7 | 5.4 | 4.9 | 4.8 |
| Monthly income | 4 335.7 | 11 956.3 | 11 923.8 | 16 883.2 |
| No. of farming households (‘000s) | 941.3 | 1 427.7 | 1 153.7 | 1 366.0 |
| % of households in urban area | 14.5 | 13.3 | 8.1 | 9.4 |
Note: 1 Households with more than 60 percent of income from agriculture.
Source: NSO, Socio-economic survey.
Professional farmers' incomes are almost 75 percent above average and more than 80 percent of their total income comes from farming (Figure 14). Moreover, while average farmers (where the household head is the farmer) have income 70 percent below that of households whose heads are entrepreneurs or salaried employees, professional farmers' household income is only 44 percent less.
Contract farm companies
The first modern contract farming system was introduced in the poultry sector in 1970 (Poapongsakorn 1985). Today it pervades Thai agriculture. Its contribution is to increase the profitability of farming (see Table 10) for both contractor and contractees. There are two important contributions that the agribusiness contractors have made, namely, technological and extension services and new marketing systems.21
The contractual arrangements serve other equally important functions, namely, to provide rules about performance and incentives, monitoring and enforcement. The objectives of these rules are two-fold. First, they are designed to minimize the contracting (or transaction) costs. Second, they specify the risk sharing between the contractor and the farmer. As each farmer's risk preference is different, and contracting costs also depend on types of crop and other factors (e.g. the legal system), there are different forms of contractual arrangements, e.g. wage contracts, price-guarantee contracts, etc.
The 2003 Agricultural Census reported 260 330 farm holdings (or 4.5 percent of farm holdings) with some form of contract with agribusiness firms or middlemen (Table 12). The Northern and Central Regions have the largest number of contract farms. There are no data on the number of contractors. A previous study found that contract farming is widespread in livestock, vegetables for export and more recently in some exportable fruit. Broiler production is dominated by contract farms which account for 99 percent of all such farms with a large majority (82 percent) under price-guarantee contracts (Poapongsakorn et al. 2003, Table 3). The same study also found that 17 percent of pig-fattening farms and 11 percent of pig-breeding farms are contract farms. The most popular contract for pig fattening is the wage contract, while the incidence of both price-guarantee and wage contracts is almost the same for pig breeding. The production of exportable fresh vegetables is almost 100 percent under contract farming because there are no independent exporters. These products include asparagus, green soybean, green cabbage, baby corn and chilli. Other contract crops for both domestic and export markets are sweet corn, Japonica and Basmati rice, tomatoes, potatoes, tobacco, organic rice and F-1 maize seeds (Poapongsakorn et al. 1996). Recently, contract farming has appeared for exportable mango, mangosteen and banana.
| Size of landholding/region | Total | Do not have contract farming | Have contract farming (%) | Type of contract farming | |||||||||
| Agreement on product price (%) | Support factor of production(%) | Support management of production(%) | |||||||||||
| (rai*/holding) | No ('000s) | Area ('000 rai) | No. | Area | No. | Area | No. | Area | No. | Area | No. | Area | |
| Whole Kingdom | 5 814.7 | 112 685.5 | 95.5 | 93.3 | 4.5 | 6.7 | 2.9 | 4.2 | 2.4 | 3.7 | 0.5 | 0.7 | |
| Under 19 | 3 816.2 | 31 866.2 | 96.4 | 29.1 | 3.6 | 16.6 | 2.4 | 16.8 | 1.8 | 16.3 | 0.4 | 18.6 | |
| 20–139 | 1 969.1 | 72 201.7 | 94.0 | 64.0 | 6.0 | 64.8 | 3.7 | 63.3 | 3.4 | 66.9 | 0.5 | 53.7 | |
| 140 and over | 29.4 | 8 617.6 | 83.6 | 6.9 | 16.4 | 18.6 | 10.8 | 19.8 | 9.3 | 16.9 | 1.8 | 27.7 | |
| Region | |||||||||||||
| Central | 902.8 | 21 592.4 | 93.2 | 90.4 | 6.8 | 9.6 | 4.7 | 6.6 | 2.8 | 4.4 | 0.7 | 1.1 | |
| Northern | 1371.6 | 25 020.8 | 93.1 | 90.0 | 6.9 | 10.0 | 4.5 | 6.3 | 4.1 | 6.3 | 0.5 | 0.7 | |
| Northeastern | 2653.4 | 51 146.3 | 96.6 | 94.9 | 3.4 | 5.1 | 1.9 | 2.9 | 2.1 | 3.0 | 0.4 | 0.6 | |
| Southern | 886.9 | 14 926.1 | 98.4 | 97.8 | 1.6 | 2.2 | 1.2 | 1.5 | 0.4 | 0.5 | 0.3 | 0.4 | |
Note: * 6.25 rai = 1 ha. Source: NSO, Agricultural census 2003.
It is widely recognized that the contractors have to introduce new kinds of production technology to increase yield. The new technologies include seed, breeds and varieties, feed, equipment (e.g. evaporative broiler housing), drugs, etc. But they also play an active and efficient role in extension services. Moreover, they put serious effort into selecting the most suitable location and in recruiting the farmers. For example, all vegetable exporters who want to export pesticide-free vegetables have to incur large expenses to carry out the risk assessment of alternative locations as well as the practices and attitudes of farmers who will be recruited (see Box 2). As such, they have provided public goods to the community.
| Box 2. SWIFT Co. - a leading vegetable contractor |
| SWIFT Co. is a pioneer agribusiness company that has actively engaged in contract farming with vegetable growers. Its president decided to establish a company to help improve farmers' living standards after coming across an old farming couple on a trip to the rural areas. They were walking home after bringing their produce to sell to the grain trader who was also their creditor. After settling their debt, the couple had insufficient money left for the bus fare, owing to the low price received for their output. |
| SWIFT has successfully exported safe and high quality vegetables and fruits to the European Union and Japan. Its major production base comes from contract farmer groups in Nakorn Pathom, a western province. In 2000, when it expanded organic contract farming to the eastern provinces, it used the Nakorn Pathom groups, which work under the EUREP-GAP guidelines and JAS standards, as trainers. Regular intensive training on growing organic asparagus, including land preparation, seed germination, nursery maintenance and organic farming practices, was provided to the members. Financial assistance and interest-free loans were also granted so that farmers had adequate resources for the required investments in organic production. |
| The successful harvest and steady, relatively high income stream from the original group (net income of 49 900 baht/year/rai, compared to 1 240 baht for cassava production) has led to rapid expansion of contract farming in these areas. Membership jumped from 47 farmers, with a total planted area of 94 rai in 2001 to 493 farmers with 1 100 rai in 2004. |
| Source: Uathavikul (2004). |
A second contribution, which is now being recognized in the economic literature, is that in order to meet the demand for safe and quality products, they have to establish private standards for quality and safety which, in turn, requires development of a new marketing system as an alternative to the traditional marketing system in which farmers sell their products to middlemen in the spot market. The issue of quality and safety standards of fresh fruit and vegetables will be discussed later. At this point, however, it should be pointed out that when farmers have a guaranteed contract they are no longer at the mercy of the middlemen and the volatile spot market. Moreover, many vegetable export companies have established EUREP-GAP standards and traceability for their produce destined for Europe. Such standards are much higher and stricter than the ones introduced by the Ministry of Agriculture (personal communication with the President of Swift Co., and KC Fresh in 2005). Rent from the contractual arrangement, as evidenced by the higher net farm income shown in Table 10, gives farmers adequate incentive to invest in “good agricultural practice” (GAP).
Supermarkets and spillover
After the 1997 to 1998 crisis, the modern trade sector has expanded rapidly and its share in the retailing sector has overtaken traditional trade, thanks to the rise of giant hypermarkets (such as Tesco and BIG C) and convenience stores (e.g. Seven Eleven and Family Mart). These modern retailers have established a modern and highly efficient procurement and distribution system (Poapongsakorn et al. 2002). One important aspect is centralized purchasing and distribution centres (DCs).22 Centralization increases efficiency of the distribution system in two ways: “It reduces the coordination and other transaction costs… [and] to reduce increased transportation costs that are caused by the centralization, the supermarket chains require frictionless logistical interface with their suppliers” (Roumasset 2005). Moreover, in their procurement of agricultural products, the supermarket chains have imposed standards for food quality and safety. The emergence of food standards in the domestic market is in contrast to previous research in developing countries which finds that these standards are applied only by export firms, not by domestic buyers for the local market. One reason for such a belief is that food markets in developing countries, especially fruit and vegetables are in the hands of informal and traditional traders who fall outside of public regulations (Balsevich et al. 2003). The issues are: (1) whether the food standards, particularly the safe food standards, are really safe in the sense that the higher prices reflect the true quality of food; (2) whether or not the farmers have adequate incentive to improve the quality of their products.
Thai consumers have increasingly demanded higher quality foods, especially safe foods, thanks to the increasing real income and concern for health. Five years ago, one could hardly find any safe fresh vegetables on the shelf in supermarkets, except in one small supermarket jointly operated by the private sector and the royal project. Our survey of four hypermarkets in Bangkok in October 2005 found as many as 30 brands of safe and organic vegetables. One high-end supermarket chain sells only safe and organic vegetables.
In response to consumer demand, modern supermarkets have played a leading role in the introduction of private standards of food quality and safety in Thailand (see Box 1). Two studies of the procurement of fresh fruit and organic rice (Poapongsakorn et al. 2005; Wiboonponse and Sriboonchitta 2004) found that the supermarkets have imposed quality and, to a lesser degree, safety standards on the suppliers. Although they still rely upon the services of traditional large-scale wholesalers and exporters, some hypermarkets have provided training on standards and service levels for new suppliers. Two government agencies have also provided some public support that helps accelerate the development of safe food standards. In addition to a campaign of public health awareness and the occasional food safety inspection in the markets, the Office of Food and Drug Commission also issues safe food certificates to food processors and supermarkets. The Department of Agriculture has introduced GAP guidelines and issues certificates to qualified farms.
However, previous studies and our own investigation of the supermarkets' procurement systems find some problems with product quality. According to our interviews, some suppliers of safe vegetables procure some of their products from traditional wholesale markets, particularly at times when supplies from their contract farmers fall short. Some contract farmers also told the authors that they have to use more pesticides and insecticides than the allowable amount specified by the contractors. Obviously, some brand names of safe food cannot be trusted. The problem of creating effective institutions to protect consumers who pay high prices for food that they believe to be safe remains ongoing in Thailand.
Arguably, however, private food standards imposed by the supermarkets have some spillover effects on the wet markets. Most consumers, although in declining numbers, still prefer to buy fresh food from the wet markets, particularly those in up-country provinces (TDRI 2002). But now, retailers in the wet markets have begun to sell fruit in standard packages provided by their suppliers. Different grades and quality of products are now widely available for consumers. The spread of quality standards to the wet markets is a natural process flowing from consumer demand for higher quality. Moreover, there are also economies of scale for the suppliers of quality food to the supermarkets in using the same standards for their wet market customers. For example, chicken and vegetable exporters who have to meet international safety standards for export, also sell by-products and residual output in the domestic markets with the same high standards.
The fact that there is an increasing number of suppliers of safe vegetables implies that the business is highly profitable. Our survey of fresh vegetables confirmed that consumers are willing to pay much higher prices for safe vegetables. The price differentials between the safe and regular vegetables are in the range of 30 to 900 percent (Table 9).
There are two problems in the procurement system that will affect the farmers' incentive to improve quality and safety. First, all, except two high-end supermarket chains, buy fruit and vegetables at market prices or at slightly higher prices (which are fixed every week) but the products must meet stringent quality and safety standards. Given the huge purchasing orders, which enhance the hypermarkets' bargaining power, the hypermarkets have demanded several forms of price discount from their suppliers, e.g. entrance fee, shelf allowance, sharing of sale promotion expenses, additional fees when a new hypermarket branch is opened, etc. As a result, suppliers' profits are squeezed despite the large volume of the transaction. Since the prices received are almost the same as the prices they receive in their other wholesale business, they have no incentive to offer higher prices to the middlemen or farmers. For this reason, the private standards developed by the hypermarkets have little effect on farmers' efforts to improve product quality and standards. They can still sell all their products at the same prices in the traditional spot market.
Second, the suppliers of safe vegetables have been able to sell their products at prices which are higher than market prices. But some suppliers argue that the prices are not high enough compared to those they receive from exports to the European and Japanese markets.
Fortunately, there are two high-end supermarket chains in Bangkok that offer to buy high quality fresh fruit and safe vegetables directly from farmers at higher prices. For example, they offer about 10 to 20 percent more for a kilogram of durian. In this case the prices can be passed on to customers who are willing to pay for premium quality. These supermarkets have developed a system to procure fresh produce directly from trusted and reliable farmers' groups or cooperatives. But their combined volume of sale is too small to have any effect on market prices of fresh produce.
The agricultural boom during 1960 to 1980 was made possible by the phenomenal expansion of agricultural land in conjunction with government policies, particularly the construction of infrastructure 23 and the adoption of conservative macroeconomic policies which brought about economic stability. At the same time, a consumer-oriented food policy heavily taxed the farmers, but not enough to thwart agricultural growth. After the slump in world agricultural prices in the mid-1980s, agricultural policy shifted towards producer orientation. This section will first provide a brief summary of macroeconomic and protection policies, followed by producer-oriented policies after the late 1980s. Then public good provision policy will be discussed.
Macroeconomic policies
Sound macroeconomic policies allow domestic relative prices to reflect international relative prices and hence the country's comparative advantage can play its role (Krueger et al. 1988). With the exception of 1976 to 1982 and the early 1990s, Thai monetary and fiscal policies have been traditionally conservative as a result of the desire to maintain the nominal exchange rate without a major recourse to quantitative foreign exchange control (Siamwalla 1990).
Conservative macroeconomic policy was first instituted as part of the 1958 economic reform, the most extensive in Thailand's modern history of economic development. The budget procedure law, limiting the size of the budget deficit and the creation of new public debt was legislated in 1959. The exchange rate was also fixed without any major difficulty.
The 1970s marked a period of adjustment to economic and political instability, most seriously the balance of payments shocks caused by the oil crisis. In response, the government decided to control the price of oil and eased macroeconomic policy settings. However, an appreciating US dollar led to overvaluation of the baht with an adverse impact on the current account. External debt and slower economic growth in the early 1980s forced the government to streamline macroeconomic policies. Fiscal and credit policy were restrained and the baht was devalued a few times. The effective exchange rate reached its lowest value in 1985, setting the stage for industrial boom.
As a result of extraordinary economic growth, the government realized a fiscal surplus in 1989 to 1995, for the first time in 30 years. With the macroeconomic picture more settled, the fiscal surplus allowed the various governments to pursue various sectoral reforms as well as overhaul tax systems, including a tariff reform with only six rates, ranging from 0 to 20 percent in 1995. Agricultural credit policy was also replaced by the rural credit policy reflecting the shift from agricultural production towards small-scale non-farm activities.
Financial liberalization in the early 1990s led to a jump in short-term capital inflows, fuelling an investment boom and an asset price bubble that grew out of control (Siamwalla 2000). As the government refused to tighten fiscal policy to control the heated economy, the Bank of Thailand had no choice but to apply the monetary brakes. Under a fixed exchange rate and high capital mobility, monetary policy is not effective. Tight monetary policy resulted in higher interest rates which, in turn, induced more capital inflow. As a consequence, the real exchange rate appreciated by 10 to 15 percent between 1988 and mid-1997. In consequence, the competitiveness of both agricultural and labour-intensive export sectors underwent a drastic decline. Therefore, poor macroeconomics is partially responsible for the deceleration of agricultural growth in the 1990s.
After a series of attacks on the baht, the Bank of Thailand abandoned the fixed exchange rate system on 2 July 1997. The baht depreciation boosted exports, thus turning the current account into surplus for seven consecutive years. Unfortunately, at the beginning of the crisis, the government adopted a tight fiscal policy, worsening the economic contraction in 1998. Since then the macroeconomic policies have been managed cautiously.
Industrialization and tariff policies
Thai industrialization policy has always protected domestic industries by using tariff and investment promotion measures. Such protection has undesirable indirect effects on agriculture through two channels: It increases the prices of consumer goods and industrial inputs purchased by the farmers relative to the price of their outputs and it causes the real exchange rate to appreciate, thus hurting agricultural exports.
From 1960 to 1980 the industrialization strategy was import-substituting. Measures used included tariff protection, exemption from or reduction in import tariff on machinery and raw materials and income tax holidays. In the early years, there was a high capital requirement for firms to be promoted by the Board of Investment (BOI). Although some large-scale agribusinesses were promoted, most agroprocessing industries were small- and medium-scale industries and could not gain access to BOI privileges. Those that did so turned out in many cases to be adverse to farmers' interests. For instance, to ensure the survival of a promoted castor oil producer, exports of castor seeds were banned - resulting in a fall in castor seed production to the point where castor seeds had to be imported. In the case of fertilizers, the first plant promoted by the BOI was so unprofitable that imports of urea and ammonium sulphate - the two products made by the plant - were banned. The second plant led to an import surcharge, which due to farmers' protests turned out to be of short duration. Eventually, the plant was established but it has experienced financial difficulties.
Tariff policy reinforced the investment promotion policy. Krueger et al. (1987) found that Thailand's average nominal tariff rates in 1985 were the highest in East Asia. Policy-makers were well aware of distortions due to the tariff structure, namely, the high average and variations in tariff rates and the negative effective rates of protection for food and some agricultural products. But the proposed industrial restructuring in the early 1980s was opposed by both the private sector and the Customs Department. It was not until 1994 that tariff reform was carried out, resulting in a reduction of bias against agriculture.
Officially in 1972, and more firmly in 1979, the government adopted an export-oriented industrial strategy. Similar tax incentives granted to import-substituting firms were also given to export-oriented industries. But perhaps the most effective policy measure, aside from the baht devaluation in 1981 to 1985, was the import duty rebate and drawback which eliminated the tax burden on exporters who rely on imported inputs.
However, the import substitution policy remains intact. As opportunities to substitute imports of final goods were exhausted in the early 1990s, highly capital-intensive and large-scale intermediate goods industries, for example in steel and petrochemicals, were promoted in the name of the national interest. As they are regarded as strategic industries, necessary for industrial deepening, these industries have received high rates of tariff protection. Even after the 1995 tariff reform, planned tariff reductions for these industries have been gradual.
Shifts in agricultural trade policy
The theoretical underpinning of the import-substitution industrialization policy is to achieve structural transformation of an agrarian economy into an industrialized one, not only by moving surplus labour out of the agriculture sector, but also by taxing the agricultural surplus and transferring the resources into the industrial sector. For a country that is a major exporter of agricultural products, export taxes are a convenient and effective means of taxing agriculture. One consequence of the tax is that it depresses the domestic rice price, thus lowering the cost of living for urban workers.
During the import-substitution industrialization period, the government imposed export taxes and export quotas on the major agricultural exports. Moreover, it imposed occasional price controls on rice and pork when food prices increased. Frequent slumps of world agricultural prices in the early 1980s, however, led to a sharp increase in rural poverty and rural-urban migration and the government then began to shift its consumer-oriented food policies towards producer-oriented policies.
The first shift can be seen in many branches of agriculture, but none more clearly than in the case of rice. Until 1980 it was the most heavily taxed among all agricultural commodities. It was subjected to various restraints on exports, including no less than three different forms of export taxation as well as a licensing requirement. The strangest feature of the Thai rice policy of this period was that these export restraints were accompanied by a domestic rice price-support scheme.
Beginning in 1980, there was a downward drift in the level of disincentive measured as export-equivalent until rice exports were completely liberalized in 1986. The price-support measures continued however, the centrepiece being a paddy-pledging scheme, i.e. paddy was used by farmers as collateral for loans in order to soak up the supplies at harvest season (further details provided hereunder).
Another crop whose history parallels that of rice is rubber. Its exports were subject to heavy export duties, which were removed in 1984. There remains a cess however, which is used to finance a replanting scheme and fertilizer subsidy. As with rice, a price-support scheme was used when prices fell.
Intervention in maize exports dated to the 1960s when almost the entire output was sold abroad. The objective of the intervention was to prevent Thai exporters from reneging on the export contracts with Japanese and Taiwan Province of China importers. A quota system created an economic rent for exporters. Maize farmers, like rice farmers, are unorganized; the politics of maize is low key. In addition, the broiler industry, the largest domestic user of maize was not affected as it could pass on the higher price of maize to the consumers. As the other Asian countries began to import maize, Japan and Taiwan Province of China could no longer dominate the maize trade. Eventually, the maize market was liberalized in December 1981.
Intervention in cassava exports began in the 1970s as a consequence of a voluntary export restraint agreement between Thailand and the European Union (EU) making it necessary to set up export quotas. The government tried to alleviate the full impact of the quotas on farm prices by using two mechanisms. In the first mechanism, quotas were allocated in proportion to stocks held by exporters. This measure, while it enhanced prices immediately after it was announced, became useless once the stock level had reached steady state. A second allocation mechanism gave quotas in proportion to the exporters who could export to third (i.e. non-EU) markets. This essentially meant that exports to these markets were cross-subsidized by the quota rent from exports to the EU. To the extent that these subsidies enhanced export volumes, domestic prices were increased.
Under the Common Agricultural Policy (CAP) reform in the 1980s, which drastically reduced grain prices, there was no longer any quota rent to finance subsidies to the non-EU markets. Since the early 1990s, Thailand's exports have fallen short of the EU quota and export quotas are therefore no longer binding.
Among other policies instituted before 1980 was a minimum domestic price for sugar achieved by limiting the amount of sugar sold in the domestic market and regulation on the capacity of sugar mills. Sugar-cane farmers were also entitled to soft loans from the Bank of Agriculture and Agricultural Cooperative (BAAC). The government also imposed a minimum price for milk, maintaining a high domestic milk price by imposing an import quota and local content requirements. Dairy-processing companies are allocated a quota of imported powdered milk on the condition that they buy a certain amount of milk from Thai farmers at the regulated price. The local content policy for milk is expected to be phased out in 2006.
In the late 1980s the government correctly diagnosed that depressed world prices were caused by massive subsidies and protection of agriculture in the developed countries. It therefore responded to the problems by actively participating in the Uruguay Round (UR) negotiations, hoping that an agreement would bring discipline to world agricultural trade. Slow progress in the UR, however, led the Thai Government to join two regional economic groupings, Asia-Pacific Economic Cooperation (APEC) and ASEAN Free Trade Area (AFTA). Of these, only AFTA has an agreement on tariff reduction for agricultural products. Several important products of ASEAN members (e.g. rice and sugar) are, however, classified in a highly sensitive list and tariff reduction for these products can be delayed until 2010. Even then, the final tariff rate can be above 5 percent.
Internally, the government also introduced two major reforms from 1980 to 1996, an agricultural restructuring programme and a revolving fund for agricultural market intervention. These will be discussed hereunder.
Effect of industrial, macroeconomic and agricultural trade policies
The pathway by which trade and macroeconomic policies affect agriculture is now well known, thanks to the work of Krueger et al. (1988). Siamwalla and Sethboonsarng (1989) found that trade protection tended to lower the real equilibrium exchange rate, raising the value of the effect of import taxes, although with the drop in import duties in 1995, the adverse impact on agriculture was expected to be considerably lessened.
More problematic is the impact of broad macroeconomic policies. The Siamwalla and Sethboonsarng study indicates the impact of the loose macroeconomic policies on the equilibrium exchange rate in the late 1970s to be as high as 15 to 20 percent. This result presupposes that the entire current account deficit arose from the public sector deficits and led to an implicit taxation of agriculture. What the study did not include was the impact on the equilibrium exchange rate of those excessive loans being repaid in the mid- to late-1980s.
When the indirect effects of macroeconomic and trade policies were augmented by the direct price effect of government intervention in the agriculture sector, Siamwalla and Sethboonsarng (1989) found that the rates of protection for all major crops other than sugar were substantially negative, but the disincentive effect tended to decline to very low levels in more recent years. The gross resources flows from agriculture to the rest of the economy were estimated at 12 000 million baht in 1965 (at 1972 baht constant), increased to 29 000 million in 1974 and then declined to 9 100 million baht in 1984. Since the late 1980s, these policies have been reversed and there should no longer be any disincentive effect on agriculture. On the contrary, agriculture has begun to receive increasing support. In fact, Thailand has one of the highest average tariffs on agricultural imports in Asia (Warr2000).
As noted above, since the 1980s two sets of domestic policies to tackle agricultural problems have been introduced - production restructuring and price-support programmes.
The restructuring programme
Restructuring programmes have been introduced twice in response to loss of comparative advantage in agriculture, in the 1980s and again in the early 1990s. The objective was to restructure the agricultural production system towards high-value crops. At the time, the bureaucrats defined the problem as one of oversupply of certain commodities, implying the existence of profitable opportunities in other areas. The government therefore proposed replacing the volatile price mechanism by a planning process which would require farmers to switch from crops in excess supply towards more profitable crops. The first programme tried was contract farming whereby an agribusiness firm with the support of the government, would contract farmers to produce a commodity (which was forecasted to have profitable opportunities) at a guaranteed price. This programme failed because the income obtained by the farmers was disappointedly low due to inadequate technology.24 In the early 1990s, the government resorted to the less radical approach of providing subsidized credit and free inputs to attract farmers away from crops that were deemed to be in excess supply e.g. rice, cassava, coffee and pepper. The programme was also evaluated by the Thailand Development Research Institute (TDRI) (Poapongsakorn et al. 1995) which concluded that it had no significant impact on agricultural prices or income of participating farmers. Worse, some farmers encountered financial difficulties owing to their inadequate technology in the promoted activities and unforeseen production and price risks.
In addition, the Ministry of Agriculture initiated many similar development projects from 1980 to 1995. Most of these projects failed badly as the loan repayment rate for the participating farmers was below 50 percent of outstanding loans, compared to 70 to 80 percent for individual farmers borrowing from the BAAC. The farmers began to protest and to demand debt reduction. As will be discussed later, these problems of farmers' debts significantly altered the direction of government policies towards agriculture after the 1997 economic crisis, most importantly through the debt deferment programme.
The price-support and paddy-pledging programmes
When world agricultural prices fell sharply in the early 1980s, the government's initial response was to support domestic prices through public purchases at above-market prices.25 Siamwalla (1987) found, however, that the purchases were too small to have any influence on prices. Pinthong and Tinakorn (1984) found that most economic rent generated by the programme went to the rice mills, government officials and politicians, while the farmers received the smallest share.
The price-support programmes in the early 1980s drew the resources from a Farmers' Aid Fund (FAF), financed by the revenue from the rice premium. After the elimination of the rice premium in 1986, the FAF ran out of money. In 1991 the government established a new revolving fund, the so-called Farmers Assistance Common Fund (FACF), to finance most of the intervention programmes, except for sugar and rubber which have separate programmes. When depleted, the fund is occasionally filled from the budget.
Recognizing the failure of the price-support programme to shore up the market price of rice, the government initiated a new paddy-pledging programme in 1984 to 1985. The purpose of the pledging schemes was to provide liquidity through low interest-rate loans to farmers, in order to keep their products from the market at harvest and delay sales until prices rose later in the season.
Under the paddy-pledging scheme, the Rice Policy Committee (chaired by the deputy Prime Minister) sets a minimum guaranteed price for paddy - normally at 90 to 95 percent of the target price, which is a three-year moving average. Farmers can pledge their paddy with the BAAC at this price against evidence of on-farm storage or a warehouse receipt. The value of the paddy pledged is lent to the farmers at a 3 percent interest rate per annum with a government 5 percent interest rate subsidy to the BAAC to make up a total loan rate of 8 percent per year. Farmers are given up to five to seven months to redeem their pledged crop and sell in the market if they so desire; otherwise the crop is sold to the BAAC and the farmer's loan is paid off at the end of the pledging period. The government also provides for storage, handling of paddy and any loss from selling the paddy at a price below the pledged price.
Since the 1997 financial crisis, governments have been forced to step up their price-support programmes in order to alleviate the difficulties faced by farmers. Increased outlays were necessitated by falling world prices of agricultural products in 1998 to 2001, partly as a consequence of the Asian financial crisis.
In the case of rice, the government raised the pledge price during the 1998–1999 to 2000–2001 crop years. After the January 2001 election, the new government, which had campaigned on populist policies, increased the pledge price to 120 to 130 percent of the market price, compared to 90 to 95 percent in the past. Moreover, it also asked the BAAC to expand the programme to the second rice crop. As a result, budget expenditure on the programme jumped from 3.3 billion baht in 1999 to 6.9 billion in 2000 and 30 billion in 2001. As the programme is the largest source of trade-distorting measures, the aggregate measure of support (AMS) as a percentage of subsidy commitments to the WTO was close to the 100 percent limit in 2000 and 2001.
In addition to paddy, the pledging programme has been extended to cover other products such as maize, cassava starch and pellets, cassava roots, coffee and longan.
There are two key policy issues associated with the pledging scheme, namely, its distortionary impact on the paddy market and the cost effectiveness of the programme.
When the pledging price is increased, more paddy is pledged by the farmers. The question is whether or not the programme has any significant impact on the market price of paddy. Three studies argue that, except in one or two years, the programme has had no significant impact on farm prices (ADB 1998; Sriboonchitta 1998; and Siamwalla 1994). It has also been alleged that some paddy kept with the rice mills is constantly resold, offsetting the impact of withholding the pledged paddy in the warehouse. Although the programme can raise the farm price at the beginning of the harvest season, this does not mean that the price will also be higher at the end of the season. As the government begins to release the paddy back into the market, the price level falls.
The distortions are more serious when the pledging price is higher than the market price because the pledging programme is practically changed into a price-support programme. In addition to distortion in export markets, there are reports that the numbers of paddy assemblers and paddy transactions in the largest wholesale market in the Central Region have sharply declined because most farmers sell their paddy to the government. Moreover, the programme has been beset by moral hazard issues, unfairness to the farmers and corruption, despite recent attempts to reduce these problems.
The other important issue is that the programme is not a cost-effective way to subsidize the farmers. A study by ADB (1998) showed that total subsidy costs for 2000 to 2001 (535.4 million baht) were twice as high as the estimated benefits (259.35 million baht). The paddy-pledging programme is an expensive subsidy scheme. Note that these estimates do not yet take into account losses from paddy sale or other expenses.
Similar problems have plagued other price-support measures instituted at the demand of farmers suffering from falling prices. The longan-pledging programme suffered from corruption (Police Investigation Committee 2005), as did the cassava price-support programme (Poapongsakorn and Titapiwatanakun 2000).
Debt deferment programme
In 2001, another major subsidy for the farmers introduced by the government was the Debt Deferment Programme (DDP). A three-year debt moratorium for farmers had been one of the election-winning platforms of the Thai Rak Thai Party during the 2000 election. However, its rationale lay in the rural development activities of the BAAC over the preceding period.
The BAAC has expanded rapidly and been fairly successful in achieving its mission of providing agricultural credit services, reaching 90 percent of farm households and all farm cooperatives. Between 1985 and 2003 its registered clientele rose from 1.38 million to 3.73 million households, at an average annual growth rate of about 5.68 percent. Over the same period, loans provided to individual farmers increased more than 17 times from 14.9 to 258.1 billion baht. During the bubble period (1990–1996), the bank had not only extended more loans, but opened more loan windows - an expansion that was made possible by access to a highly liquid money market. During the crisis, the BAAC continued to play an important role as a source of financial assistance to farmers.
The financial crisis affected its operating performance enormously. Farmers' overdue loans, as a percentage of outstanding principal, rose to high levels during 1998 to 2001 (Table 13) After 2001 the bank reorganized its operations, imposed penalties on arrears and restructured debt. The government's debt deferment programme was also implemented.
The debt deferment programme provides a number of options for farmers who are clients of the BAAC.26 They can postpone debt repayment, up to 100 000 baht (US$2 380 at Bt.42: US$1.00) per client, for three years, but cannot take up new loans during this period. Alternatively, they can opt for up to 3 percent reduction in interest rate, depending on their credit standing. In conjunction with the programme, the Ministry of Agriculture also instituted a Farmer Rehabilitation Project (FRP), worth 1.5 billion baht in 2001 to 2002, to assist farmers who defer their debt to improve their income or obtain a better occupation.
At the beginning of the debt suspension and reduction programme, there were 2 379 788 farmers eligible for debt relief, accounting for 83 percent of the BAAC's farmer customers. Of the 2 309 966 farmers who participated in the programme, with outstanding principal of 94.3 billion baht, 1 171 817 farmers (with loans of 53 billion baht) opted for debt deferment, the rest opting for the reduced service requirement.
| Fiscal year | Principal outstanding (million baht) | Loans overdue (% of principal outstanding) |
| 1995–96 | 97 680 | 11.10 |
| 1996–97 | 127243 | 9.64 |
| 1997–98 | 162 640 | 11.94 |
| 1998–99 | 177 545 | 17.61 |
| 1999–2000 | 212 797 | 16.36 |
| 2000–01 | 214464 | 15.24 |
| 2001–02 | 230105 | 8.05 |
| 2002–03 | 242237 | 7.83 |
| 2003–04 | 255 978 | 6.61 |
Source: Bank for Agriculture and Agricultural Cooperatives, Annual report, various years.
According to its in-house evaluation carried out in late 2003, the bank expected that 89 percent of farmers under the programme would make full repayment without any problem. This high repayment rate can be explained by the fact that the BAAC has provided other loan windows for farmers to refinance their loans. However, about 11 percent will not be able to service their debt, due to multiple debt problems, natural disaster, or inappropriate use of funds.
An evaluation of the programme conducted during October 2003 to January 2004 by Thammasat University showed that the farmers were better off than they used to be. The responding farmers were earning higher incomes from farm-related activities, had better control of their expenditure, were saving more in order to service the debt and had a higher asset-to-debt ratio.
The Thammasat Report offered several major criticisms of the programme. First, was moral hazard: Among the 1.17 million participating farmers many would have made the repayment on time anyway, since repayment rates for all but the short-term credit have always exceeded 70 percent. Second, the benefits of the programme have been highly concentrated among non-poor farmers, because less than 5 percent of the BAAC's clients could be considered poor. Third, it is difficult for the FRP to be successful given that the project involves only occupational training, for both Debt Deferment Programme (DDP) and non-DDP farmers. Finally, the DDP was a direct subsidy at the tax-payers' expense: as the BAAC charges an average interest rate of 9 percent, the annual subsidy cost to the public is about 4.66 billion baht per year.
Prime Minister Thaksin Shinawatra drastically changed the direction of trade policy27 from an emphasis on multilateral trade negotiation to bilateral negotiation. Being unsatisfied with the slow progress of the Doha Round negotiations, he aggressively initiated more than a dozen bilateral FTAs with major trading partners as well as some surprisingly unimportant ones.
The first agreement with China, the early harvest programme (EHP), was concluded in mid-2003. Vegetables and fruit were the first agricultural products to be subject to tariff elimination, effective on 1 October 2003. Table 14 shows that before the EHP, Thailand had moderate surplus in the trade of fruit and vegetables, but this trade surplus more than doubled between 2003 and 2005. The largest increases were for cassava and rubber. Yet farmers in Northern Thailand, who produce import-competing vegetables and fruit, are losing because they cannot compete with temperate zone products from China. There are also reports that many small fruit wholesalers have gone out of business as they could not compete with the large-scale professional importers from Bangkok.
Table 14. Value of trade between Thailand, Australia and China (million baht)
| Trade | Products | 2000 | 2001 | 20002 | 2003 | 2004 | 2005 |
| Export to Australia | All products | 65 089.0 | 60 369.5 | 70 420.3 | 89 717.4 | 99 095.7 | 127 376.2 |
| Import from Australia | All products | 46 775.6 | 60 201.3 | 64 496.0 | 65 573.8 | 88 823.2 | 130 576.0 |
| Trade balance | All products | 18313.4 | 168.2 | 5924.3 | 24 143.6 | 10272.5 | -3199.8 |
| Export to Australia | Agricultural | 3 863.1 | 3 647.9 | 3 506.2 | 4 031.0 | 4 075.7 | 4 729.0 |
| Import from Australia | Agricultural | 9 379.7 | 11 585.2 | 10185.9 | 9144.1 | 10 776.8 | 13 818.0 |
| Trade balance | Agricultural | -5 516.60 | -7937.30 | -6 679.70 | -5113.10 | -6 701.10 | -9 089.00 |
| Export to China | Fruit and vegetables | 2152.0 | 6 889.1 | 7 384.8 | 9 899.8 | 14261.3 | 19 389.0 |
| Import from China | Fruit and vegetables | 1 343.7 | 1 839.2 | 2 167.4 | 3 967.5 | 4 167.439 | 6 017.2 |
| Trade balance | Fruit and vegetables | 808.3 | 5049.9 | 5217.4 | 5932.3 | 9293.4 | 13 371.8 |
Source: MOC Web site.
At the same time, a bilateral FTA was secretly negotiated with Australia. Many Thai businessmen, academicians and NGOs were caught off-guard when the agreement was announced.28 There was no consultation on the Thai side, but this was not the case for the Australian businesses.
Although the Australia-Thailand FTA is relatively unimportant because bilateral trade flows are only a small fraction of each partner's total trade, the agreement on agricultural trade will have a major impact on the Thai dairy industry. One year after the agreement was signed Thailand's overall trade balance with Australia had turned negative, while the existing deficit for agricultural products worsened (Table 14).
The Japan-Thailand Economic Partnership Agreement, initiated by the Japanese Government and Thai and Japanese academicians has been very disappointing. Both sides refuse to liberalize their sensitive sectors which would result in a large trade creation effect, despite the existence of studies showing that agricultural trade between the two countries is complementary (Poapongsakorn 2003a). Japan strongly refuses to liberalize trade in rice,29 sugar and tapioca starch in response to their strong domestic political lobbies. Thailand also declines to provide market access for Japanese steel, cars over 3 000 cc, raw silk, dried egg yolks and other products.
Another important FTA negotiation is with the United States. Although there will be sweeping tariff elimination for a wide range of agricultural products, the United States will not agree to market access for Thai sugar. Meanwhile, the Thai academicians and NGOs are protesting against the United States proposal that Thailand adopts new plant variety protection based upon the patent concept.
Research and development
As much knowledge from research is essentially a public good, the government has so far been the biggest player in agricultural R&D. The Ministry of Agriculture and Cooperatives (MOAC) takes about 95 percent of the total government budget for agricultural research and extension (R&E) and, during 1983 to 2003, the average annual growth rate of this budget item was about 9 percent. However, the percentage of the annual MOAC budget allocated to R&E declined, from 0.68 percent of GDP in 1997 to 0.41 percent in 2003 (Table 15). On average 23 percent of the MOAC budget went to R&E, compared to 50 percent for irrigation. Despite the growing importance of R&E to the growth and advancement of agriculture, there is inadequate research planning and prioritization.
Table 15. MOAC annual budget for research and extension, 1982–2003
| Year | Amount (million baht) | % of agricultural GDP | % of GDP |
| 1982 | 2 476.09 | 1.59 | 0.52 |
| 1983 | 3 084.33 | 1.67 | 0.59 |
| 1984 | 3 388.79 | 1.95 | 0.61 |
| 1985 | 3 866.75 | 2.32 | 0.66 |
| 1986 | 3 910.24 | 2.20 | 0.62 |
| 1987 | 3 714.97 | 1.82 | 0.51 |
| 1988 | 4172.15 | 1.65 | 0.47 |
| 1989 | 4 443.55 | 1.59 | 0.42 |
| 1990 | 5 997.00 | 2.20 | 0.49 |
| 1991 | 7 617.43 | 2.40 | 0.55 |
| 1992 | 9 277.33 | 2.66 | 0.59 |
| 1993 | 11441.36 | 3.57 | 0.65 |
| 1994 | 13 206.21 | 3.45 | 0.66 |
| 1995 | 14251.14 | 3.10 | 0.62 |
| 1996 | 16 725.01 | 3.31 | 0.66 |
| 1997 | 17 629.19 | 3.43 | 0.68 |
| 1998 | 14132.32 | 2.50 | 0.55 |
| 1999 | 14 674.71 | 2.92 | 0.56 |
| 2000 | 14 889.07 | 2.91 | 0.54 |
| 2001 | 14 702.58 | 2.76 | 0.51 |
| 2002 | 14 598.64 | 2.47 | 0.48 |
| 2003 | 13 503.73 | 1.99 | 0.41 |
Source: Poapongsakorn et al. (1995); MOAC, Annual expenditure budget, various years.
Another serious problem is the declining number of capable researchers and scientists, partly due to an unattractive reward system and the rigidity of human resource mobilization in the public sector. The number of staff in the Department of Agriculture dropped by more than 6 percent from 3 634 to 3 393 in 1994 to 1998. A TDRI study (TDRI 2000) also found that most senior faculty members were due to retire in the next five years, yet young, high calibre researchers are difficult to recruit due to the incentive problem.
Further, there is lack of research coordination in agricultural R&E as well as institutional weakness, poor information and lack of monitoring and evaluation. The budget allocated to extension activities has been larger than that of research, reflecting a policy bias in favour of extension, despite the fact that the marginal contribution of research is likely to be greater than that of extension. Continued underinvestment in public research will make it more difficult to increase farm productivity in the future.
Water
The decline in surface water endowments coupled with limited water storage capacity, rapid industrial development and urbanization have intensified the water scarcity problem, resulting in fierce competition for access to water between different uses and users. As a consequence of its economic development priorities, the government tends to be biased towards providing sufficient water for the growing demand of industry. Conflict between households and industry is illustrated by, for example, the protests by thousands of villagers in Rayong against the government's canal water diversion plan to feed factories along the Eastern Seaboard. Technically, projects such as this one to divert water from one basin to another do not solve water shortage problems.
The government has so far responded to the water problem by implementing supply-side management to increase water sources and water supply to meet domestic needs. For example, during the sixth to eighth development plans, public investment of about 200 billion baht was allocated to small-scale water resource development projects. Recently, the government also approved a further 200 billion baht plan of investment in a national water grid. At the same time, some large-scale, capital-consuming projects, such as dam construction have been put on hold due to strong opposition from NGOs and farmer groups or their low or negative net social benefits. Demand management policy has, on the other hand, not received adequate attention.
In addition to surface water, groundwater has been widely used for urban and rural water supply, and for agricultural as well as industrial purposes because of its lower cost relative to piped water. Due to lax regulation, extraction of groundwater has far exceeded the sustainable yield, causing depletion of the resource as well as serious land subsidence problems.
The irrigation system has always received the largest agricultural budget allocation, yet it uses and distributes water inefficiently, partly due to incomplete and out-dated systems, unregulated flow and inadequate control structures. More importantly, irrigation water has been provided free of charge, leading to inefficient use of water by farmers. Despite the sizable investment in small-scale water development projects (about 439 411 projects during 1977 to 2001), about 20 percent of rural villages still do not have access to safe water. Further there exists no correlation between the water scarcity index and the investment in water for agriculture (Sattarasart 2003). There is overlapping of projects, project mismanagement and lack of people's participation. Remarkably, a study of paddy-growing villages (Grachangnetara and Bumrungtham 2003) found that, while the median paddy yield in 60 000 rural villages increased from 56 tonnes/ha in 1992 to 64 tonnes in 2001, there was no difference in the median productivity of rice cultivation between villages with and without access to irrigation infrastructure. This implies that policy and planning with regard to community irrigation infrastructures need to be overhauled.
17 In particular, there are no data on water utilization by crop.
26 The BAAC's household clients account for almost 90 percent of total farm households.
28 But the negotiation was publicly known in Australia.
29 The Thai PM intervened in the negotiation by dropping the demand that Japan open its rice market.