Appendix Table 5. Net capital stock of Thailand at 1988 prices by major sector
| All sectors (m. baht) | Agriculture | Manufacturing | Growth | |||||
| (m. baht) | (% share) | (m. baht) | (% share) | All sectors | Agriculture | Manufacturing | ||
| 1980 | 1958342 | 282485 | 14.42 | 221262 | 11.30 | |||
| 1981 | 2109620 | 288052 | 13.65 | 239513 | 11.35 | 7.72 | 1.97 | 8.25 |
| 1982 | 2251264 | 291672 | 12.96 | 249992 | 11.10 | 6.71 | 1.26 | 4.38 |
| 1983 | 2425614 | 298429 | 12.30 | 279500 | 11.52 | 7.74 | 2.32 | 11.80 |
| 1984 | 2611594 | 300604 | 11.51 | 304000 | 11.64 | 7.67 | 0.73 | 8.77 |
| 1985 | 2775039 | 307789 | 11.09 | 317605 | 11.45 | 6.26 | 2.39 | 4.48 |
| 1986 | 2930305 | 321683 | 10.98 | 338577 | 11.55 | 5.60 | 4.51 | 6.60 |
| 1987 | 3134639 | 325415 | 10.38 | 379010 | 12.09 | 6.97 | 1.16 | 11.94 |
| 1988 | 3415707 | 333053 | 9.75 | 445113 | 13.03 | 8.97 | 2.35 | 17.44 |
| 1989 | 3785324 | 341623 | 9.02 | 527357 | 13.93 | 10.82 | 2.57 | 18.48 |
| 1990 | 4298800 | 356852 | 8.30 | 620933 | 14.44 | 13.56 | 4.46 | 17.74 |
| 1991 | 4877760 | 380197 | 7.79 | 732691 | 15.02 | 13.47 | 6.54 | 18.00 |
| 1992 | 5480415 | 404247 | 7.38 | 845710 | 15.43 | 12.36 | 6.33 | 15.43 |
| 1993 | 6127058 | 439632 | 7.18 | 963347 | 15.72 | 11.80 | 8.75 | 13.91 |
| 1994 | 6848472 | 479721 | 7.00 | 1089692 | 15.91 | 11.77 | 9.12 | 13.12 |
| 1995 | 7549430 | 510359 | 6.76 | 1209463 | 16.02 | 10.24 | 6.39 | 10.99 |
| 1996 | 8389886 | 550875 | 6.57 | 1363425 | 16.25 | 11.13 | 7.94 | 12.73 |
| 1997 | 8930490 | 603389 | 6.76 | 1469067 | 16.45 | 6.44 | 9.53 | 7.75 |
| 1998 | 9019444 | 623822 | 6.92 | 1467914 | 16.27 | 1.00 | 3.39 | -0.08 |
| 1999 | 9102169 | 633473 | 6.96 | 1472378 | 16.18 | 0.92 | 1.55 | 0.30 |
| 2000 | 9213961 | 655315 | 7.11 | 1 471 707 | 15.97 | 1.23 | 3.45 | -0.05 |
| 2001 | 9305348 | 671987 | 7.22 | 1489929 | 16.01 | 0.99 | 2.54 | 1.24 |
| 2002 | 9435260 | 693618 | 7.35 | 1520165 | 16.11 | 1.40 | 3.22 | 2.03 |
| 2003 | 9632773 | 717273 | 7.45 | 1566704 | 16.26 | 2.09 | 3.41 | 3.06 |
| Average growth rate: | ||||||||
| 1980–1985 | 2355246 | 294839 | 12.66 | 268645 | 11.39 | 7.22 | 1.73 | 7.53 |
| 1985–1996 | 4967736 | 395954 | 8.52 | 736077 | 14.24 | 10.25 | 5.21 | 13.40 |
| 1996–1998 | 8779940 | 592695 | 6.75 | 1433469 | 16.33 | 6.19 | 6.95 | 6.80 |
| 1998–2003 | 9284826 | 665915 | 7.17 | 1498133 | 16.14 | 1.27 | 2.93 | 1.08 |
| 1980–2003 | 5650363 | 450482 | 9.03 | 857711 | 14.21 | 7.25 | 4.17 | 9.06 |
Source: National Economic and Social Development Board (N
Appendix Table 6. Number of agricultural equipment
| 2-wheel tractors | Big tractors | Water pumps | Threshing equipment | |||||
| Unit | Growth | Unit | Growth | Unit | Growth | Unit | Growth | |
| 1980 | 280 591 | 37177 | 517 975 | 18 394 | ||||
| 1981 | 284 351 | 1.34 | 50 044 | 34.61 | 603 548 | 16.52 | 20601 | 12.00 |
| 1982 | 323 846 | 13.89 | 61840 | 23.57 | 780610 | 29.34 | 30 091 | 46.07 |
| 1983 | 364 948 | 12.69 | 68 024 | 10.00 | 858671 | 10.00 | 33100 | 10.00 |
| 1984 | 360243 | -1.29 | 28 340 | -58.34 | 564 915 | -34.21 | 28243 | -14.67 |
| 1985 | 402 082 | 11.61 | 31415 | 10.85 | 614 791 | 8.83 | 30762 | 8.92 |
| 1986 | 450 033 | 11.93 | 34 823 | 10.85 | 669 095 | 8.83 | 33 352 | 8.42 |
| 1987 | 515 075 | 14.45 | 40 450 | 16.16 | 768 328 | 14.83 | 34 884 | 4.59 |
| 1988 | 582753 | 13.14 | 45 544 | 12.59 | 851 349 | 10.81 | 37 028 | 6.15 |
| 1989 | 660685 | 13.37 | 51279 | 12.59 | 943 387 | 10.81 | 39 352 | 6.28 |
| 1990 | 750 542 | 13.60 | 57739 | 12.60 | 1 101 850 | 16.80 | 41876 | 6.41 |
| 1991 | 854279 | 13.82 | 65101 | 12.75 | 1220726 | 10.79 | 44626 | 6.57 |
| 1992 | 984 530 | 15.25 | 79 801 | 22.58 | 1 387 529 | 13.66 | 49637 | 11.23 |
| 1993 | 1 135742 | 15.36 | 98 096 | 22.93 | 1577220 | 13.67 | 55240 | 11.29 |
| 1994 | 1 311 426 | 15.47 | 120 751 | 23.09 | 1 792 953 | 13.68 | 61510 | 11.35 |
| 1995 | 1515693 | 15.58 | 148 841 | 23.26 | 2 038 314 | 13.68 | 68 527 | 11.41 |
| 1996 | 1 753 368 | 15.68 | 183704 | 23.42 | 2 317 392 | 13.69 | 76 386 | 11.47 |
| 1997 | 2 022467 | 15.35 | 218237 | 18.80 | 2624 304 | 13.24 | 83 575 | 9.41 |
| 1998 | 2 378 815 | 17.62 | 282 057 | 29.24 | 3 012 948 | 14.81 | 95 829 | 14.66 |
| 1999 | 2 786704 | 17.15 | 351 171 | 24.50 | 3448 297 | 14.45 | 107 645 | 12.33 |
| 2000 | 3 279 303 | 17.68 | 439139 | 25.05 | 3 954160 | 14.67 | 122 088 | 13.42 |
| 2001 | 3 851 541 | 17.45 | 553623 | 26.07 | 4 532 258 | 14.62 | 138 387 | 13.35 |
| 2002 | 4 523635 | 17.45 | 697 956 | 26.07 | 5194 774 | 14.62 | 156 862 | 13.35 |
| 2003 | 5109 060 | 12.94 | 821 014 | 17.63 | 5 821 329 | 12.06 | 169455 | 8.03 |
| Average growth rate: | ||||||||
| 1980–1985 | 336 010 | 7.65 | 46140 | 4.14 | 656752 | 6.10 | 26 865 | 12.46 |
| 1985–1996 | 909 684 | 14.10 | 79795 | 16.97 | 1 273 578 | 12.51 | 47765 | 8.67 |
| 1996–1998 | 2 051 550 | 16.22 | 227 999 | 23.82 | 2651548 | 13.91 | 85263 | 11.85 |
| 1998–2003 | 3654 843 | 16.71 | 524 160 | 24.76 | 4 327 294 | 14.20 | 131711 | 12.52 |
| 1980–2003 | 1 520 071 | 13.54 | 190257 | 16.56 | 1 966 530 | 11.75 | 65 727 | 10.52 |
Source: Office of Agricultural Economics.
Appendix Table 7. Number of fishing units
| No. of registered fishing units | No. of unregistered vessels* | No. of all fishing units | |
| 1980 | 19511 | 45 371 | 64 882 |
| 1981 | 14 723 | 34 237 | 48 960 |
| 1982 | 19 756 | 45 941 | 65 697 |
| 1983 | 17 386 | 40 430 | 57 816 |
| 1984 | 16 806 | 39 081 | 55 887 |
| 1985 | 15 977 | 36 973 | 52 950 |
| 1986 | 15916 | 37191 | 53107 |
| 1987 | 16 054 | 37 210 | 53 264 |
| 1988 | 15 550 | 37 871 | 53 421 |
| 1989 | 20 979 | 32 601 | 53 580 |
| 1990 | 21547 | 32191 | 53 738 |
| 1991 | 18 260 | 35 637 | 53 897 |
| 1992 | 16 820 | 37 237 | 54 057 |
| 1993 | 18146 | 36 071 | 54 217 |
| 1994 | 17 657 | 36 720 | 54 377 |
| 1995 | 17 281 | 37 257 | 54 538 |
| 1996 | 17 950 | 38 014 | 55 964 |
| 1997 | 18182 | 38 506 | 56 688 |
| 1998 | 18 439 | 39 050 | 57 489 |
| 1999 | 16 921 | 35 835 | 52 756 |
| 2000 | 17 295 | 36 627 | 53 922 |
| 2001 | 15 945 | 33 768 | 49 713 |
| 2002 | 15 924 | 33 724 | 49 648 |
| 2003 | 15 983 | 33 849 | 49 832 |
| Average growth rate: | |||
| 1980–1985 | 17 360 | 40 339 | 57 699 |
| 1985–1996 | 17 678 | 36 248 | 53 926 |
| 1996–1998 | 18190 | 38 523 | 56 714 |
| 1998–2003 | 16 751 | 35 475 | 52 227 |
| 1980–2003 | 17 459 | 37141 | 54 600 |
Sources: Office of Agricultural Economics.
Department of Fisheries.
Appendix Table 8. Contribution of inputs and TFP to growth by major sector
| GDP growth | Labour adjusted for quality | Land | Capital | TFP(1) | TFP (2) | ||
| Employment (1) | Working hours (2) | ||||||
| a) All sectors | |||||||
| 1981–1985 | 5.45 | 2.45 | 1.51 | 0.07 | 2.35 | 0.58 | 1.52 |
| 1985–1996 | 8.78 | 1.84 | 1.61 | 0.02 | 4.88 | 2.04 | 2.27 |
| 1996–1998 | -1.99 | 0.96 | 0.63 | 0.01 | 3.30 | -6.27 | -5.94 |
| 1998–2003 | 2.18 | 1.24 | 0.69 | 0.01 | 0.66 | 0.26 | 0.81 |
| 1981–2003 | 6.07 | 1.93 | 1.47 | 0.03 | 3.28 | 0.84 | 1.29 |
| (100.00) | (31.77) | (24.24) | (0.46) | (54.00) | (13.77) | (21.30) | |
| b) Agriculture | |||||||
| 1981–1985 | 4.26 | 1.03 | 0.40 | 0.36 | 0.84 | 2.03 | 2.65 |
| 1985–1996 | 3.54 | -0.17 | -0.43 | 0.12 | 2.62 | 0.97 | 1.24 |
| 1996–1998 | 0.57 | 0.03 | -0.32 | 0.07 | 3.04 | -2.57 | -2.22 |
| 1998–2003 | 3.43 | -0.11 | -1.33 | 0.12 | 1.45 | 1.98 | 3.20 |
| 1981–2003 | 3.43 | 0.23 | -0.28 | 0.16 | 2.06 | 0.98 | 1.50 |
| (100.00) | (6.81) | (-8.09) | (4.64) | (59.90) | (28.65) | (43.55) | |
| c) Crop | |||||||
| 1981–1985 | 5.26 | 0.92 | 0.22 | 0.47 | 2.46 | 1.41 | 2.11 |
| 1985–1996 | 2.96 | -0.46 | -0.79 | 0.18 | 0.91 | 2.33 | 2.66 |
| 1996–1998 | 2.30 | -0.32 | -0.75 | 0.18 | 1.97 | 0.47 | 0.90 |
| 1998–2003 | 4.20 | -1.01 | -2.43 | 0.17 | 0.99 | 4.04 | 5.47 |
| 1981–2003 | 3.57 | -0.11 | -0.70 | 0.23 | 1.35 | 2.09 | 2.68 |
| (100.00) | (-3.03) | (-19.64) | (6.52) | (37.86) | (58.66) | (75.27) | |
| d) Livestock | |||||||
| 1981–1985 | 1.82 | 2.53 | 3.06 | 0.16 | 3.55 | -4.42 | -4.95 |
| 1985–1996 | 4.14 | 1.19 | 2.45 | 0.00 | 0.33 | 2.62 | 2.45 |
| 1996–1998 | -0.89 | 0.27 | -0.02 | -0.46 | -6.75 | 6.06 | 6.34 |
| 1998–2003 | 4.10 | 6.65 | 5.85 | 0.00 | -2.28 | -0.26 | 0.53 |
| 1981–2003 | 3.59 | 2.73 | 2.65 | -0.02 | -0.28 | 1.16 | 1.24 |
| (100.00) | (76.12) | (73.73) | (-0.42) | (-7.89) | (32.20) | (34.59) | |
| e) Fishery | |||||||
| 1981–1985 | 4.74 | 8.63 | 6.17 | 0.03 | 2.36 | -6.28 | -3.82 |
| 1985–1996 | 7.97 | 2.53 | 2.44 | 0.02 | 4.22 | 1.20 | 1.30 |
| 1996–1998 | -1.43 | 1.90 | 1.64 | 0.02 | 6.16 | -9.50 | -9.25 |
| 1998–2003 | 1.24 | 1.02 | 0.78 | 0.03 | 4.82 | -4.62 | -4.38 |
| 1981–2003 | 5.36 | 2.54 | 1.99 | 0.02 | 3.96 | -1.16 | -0.61 |
| (100.00) | (47.36) | (37.03) | (0.42) | (73.90) | (-21.68) | (-11.35) | |
| f) Freshwater fishery | |||||||
| 1981–1985 | 1.73 | 3.54 | 3.01 | 0.11 | 9.17 | -11.10 | -10.56 |
| 1985–1996 | 6.71 | 3.20 | 3.31 | 0.11 | 6.48 | -3.08 | -3.19 |
| 1996–1998 | 3.55 | 2.42 | 2.19 | 0.18 | 5.45 | -4.49 | -4.27 |
| 1998–2003 | 6.61 | 3.24 | 2.99 | 0.27 | 6.62 | -3.53 | -3.28 |
| 1981–2003 | 5.20 | 2.91 | 2.83 | 0.13 | 6.66 | -4.50 | -4.41 |
| (100.00) | (56.00) | (54.36) | (2.46) | (128.00) | (-86.46) | (-84.82) | |
| g) Marine fishery | |||||||
| 1981–1985 | 5.58 | 12.89 | 9.38 | 0.64 | -7.95 | 4.44 | |
| 1985–1996 | 8.20 | 3.57 | 3.31 | 3.73 | 0.90 | 1.16 | |
| 1996–1998 | -2.04 | 2.01 | 1.18 | 5.89 | -9.94 | -9.11 | |
| 1998–2003 | 1.42 | -0.45 | -0.70 | 4.05 | -2.17 | -1.93 | |
| 1981–2003 | 6.37 | 3.48 | 2.69 | 3.14 | -0.26 | 0.54 | |
| (100.00) | (54.73) | (42.17) | (49.36) | (-4.09) | (8.47) | ||
Appendix Table 9. Comparison of TFP growth in Thailand, 1981–1995
| Tinakorn & Sussangkarn (1998) | Shintani (2003)* | |||||||
| With quality adjusted employment | Agriculture | |||||||
| All sectors | Agriculture | Stock | Flow | |||||
| TFP | Contribution | TFP | Contribution | TFP | Contribution | TFP | Contribution | |
| 1981–1985 | 0.07 | 1.28 | 1.81 | 42.49 | 0.43 | 13.87 | 0.55 | 17.82 |
| 1986–1990 | 2.81 | 27.18 | 0.19 | 5.99 | 1.33 | 27.73 | 1.73 | 36.08 |
| 1991–1995 | -0.09 | -1.05 | 0.81 | 21.83 | 1.30 | 34.84 | 1.67 | 44.98 |
| 1981–1995 | 0.93 | 11.45 | 0.93 | 25.07 | 0.37 | 35.14 | 0.48 | 12.78 |
* reestimated, base year = 1950.
Appendix Table 10. Growth accounting (whole economy)
| All sectors | ||||||||
| GDP growth | Labour adjusted for quality | Land adjusted for irrigation | Net capital stock | TFP (1) | TFP (2) | |||
| Employment (1) | Working hours (2) | |||||||
| 1981 | 5.91 | 5.51 | 5.79 | 0.09 | 2.43 | -2.12 | -2.40 | |
| 1982 | 5.35 | 2.27 | -2.04 | 0.08 | 2.09 | 0.91 | 5.23 | |
| 1983 | 5.58 | 1.95 | 2.51 | 0.07 | 2.45 | 1.12 | 0.55 | |
| 1984 | 5.75 | 2.22 | 1.91 | 0.08 | 2.52 | 0.93 | 1.24 | |
| 1985 | 4.65 | 0.30 | -0.63 | 0.06 | 2.24 | 2.05 | 2.98 | |
| 1986 | 5.53 | 3.25 | 3.52 | 0.03 | 2.24 | 0.01 | -0.26 | |
| 1987 | 9.52 | 2.59 | 1.42 | 0.02 | 2.98 | 3.93 | 5.10 | |
| 1988 | 13.29 | 3.88 | 4.24 | 0.03 | 4.09 | 5.29 | 4.93 | |
| 1989 | 12.19 | 2.47 | 3.75 | 0.01 | 5.12 | 4.59 | 3.31 | |
| 1990 | 11.17 | 1.14 | -1.35 | 0.01 | 6.61 | 3.40 | 5.89 | |
| 1991 | 8.56 | 1.38 | 2.97 | 0.01 | 6.38 | 0.78 | -0.81 | |
| 1992 | 8.08 | 3.51 | 3.40 | 0.01 | 5.63 | -1.07 | -0.96 | |
| 1993 | 8.25 | 1.21 | -0.20 | 0.01 | 5.65 | 1.38 | 2.79 | |
| 1994 | 8.99 | 0.45 | 1.30 | 0.01 | 6.02 | 2.51 | 1.66 | |
| 1995 | 9.24 | 1.83 | 1.74 | 0.01 | 5.63 | 1.77 | 1.86 | |
| 1996 | 5.90 | 0.06 | -0.80 | 0.01 | 5.98 | -0.15 | 0.72 | |
| 1997 | -1.37 | 2.88 | 2.17 | 0.01 | 3.42 | -7.67 | -6.96 | |
| 1998 | -10.51 | -0.04 | 0.54 | 0.01 | 0.52 | -10.99 | -11.57 | |
| 1999 | 4.45 | 1.22 | 0.41 | 0.03 | 0.48 | 2.71 | 3.53 | |
| 2000 | 4.65 | 1.62 | 1.93 | 0.01 | 0.64 | 2.38 | 2.07 | |
| 2001 | 1.94 | 1.76 | -1.08 | 0.01 | 0.51 | -0.34 | 2.50 | |
| 2002 | 5.67 | 1.38 | 1.09 | 0.01 | 0.71 | 3.57 | 3.86 | |
| 2003 | 6.87 | 1.52 | 1.28 | 0.02 | 1.08 | 4.25 | 4.49 | |
| Average growth rate: | ||||||||
| 1981–1985 | 5.45 | 2.45 | 1.51 | 0.07 | 2.35 | 0.58 | 1.52 | |
| 1985–1990 | 9.39 | 2.27 | 1.83 | 0.03 | 3.88 | 3.21 | 3.66 | |
| 1990–1996 | 8.60 | 1.37 | 10.01 | 0.01 | 5.98 | 1.23 | 1.59 | |
| 1996–1998 | -1.99 | 0.96 | 0.63 | 0.01 | 3.30 | -6.27 | -5.94 | |
| 1998–2003 | 2.18 | 1.24 | 0.69 | 0.01 | 0.66 | 0.26 | 0.81 | |
| 1981–2003 | 6.07 | 1.93 | 1.47 | 0.03 | 3.28 | 0.84 | 1.29 | |
Appendix Table 11. Growth accounting (agriculture)
| Agricultural sectors | |||||||
| GDP growth | Labour adjusted for quality | Land adjusted for irrigation | Net capital stock | TFP (1) | TFP (2) | ||
| Employment (1) | Working hours (2) | ||||||
| 1981 | 5.12 | 4.09 | 4.75 | 0.40 | 1.04 | -0.41 | -1.07 |
| 1982 | 2.47 | -1.12 | -4.14 | 0.34 | 0.65 | 2.60 | 5.62 |
| 1983 | 4.77 | 0.76 | 1.41 | 0.31 | 1.13 | 2.56 | 1.92 |
| 1984 | 4.42 | 2.43 | 1.98 | 0.40 | 0.33 | 1.25 | 1.71 |
| 1985 | 4.51 | -1.03 | -1.97 | 0.33 | 1.06 | 4.14 | 5.09 |
| 1986 | 0.38 | 0.33 | 0.54 | 0.16 | 2.22 | -2.33 | -2.54 |
| 1987 | 0.07 | 0.19 | -0.84 | 0.14 | 0.61 | -0.88 | 0.15 |
| 1988 | 10.51 | 3.90 | 3.99 | 0.17 | 1.27 | 5.17 | 5.08 |
| 1989 | 9.60 | 2.52 | 3.80 | 0.04 | 1.37 | 5.67 | 4.39 |
| 1990 | -4.69 | -1.22 | -3.87 | 0.08 | 2.42 | -5.95 | -3.31 |
| 1991 | 7.26 | -1.93 | -0.05 | 0.09 | 3.54 | 5.55 | 3.67 |
| 1992 | 4.79 | 2.65 | 2.44 | 0.08 | 3.33 | -1.28 | -1.06 |
| 1993 | -2.43 | -2.93 | -4.62 | 0.12 | 4.36 | -3.99 | -2.29 |
| 1994 | 4.95 | -0.30 | 1.35 | 0.07 | 4.56 | 0.62 | -1.03 |
| 1995 | 3.45 | -2.36 | -2.46 | 0.08 | 3.09 | 2.65 | 2.74 |
| 1996 | 4.14 | -1.83 | -3.54 | 0.11 | 3.56 | 2.30 | 4.01 |
| 1997 | -0.90 | 1.86 | 2.82 | 0.05 | 4.10 | -6.91 | -7.87 |
| 1998 | -1.52 | 0.07 | -0.24 | 0.06 | 1.45 | -3.11 | -2.80 |
| 1999 | 2.17 | -2.30 | -3.81 | 0.24 | 0.68 | 3.55 | 5.06 |
| 2000 | 6.44 | 1.74 | 2.12 | 0.08 | 1.58 | 3.04 | 2.66 |
| 2001 | 2.68 | -1.09 | -5.94 | 0.08 | 1.25 | 2.44 | 7.29 |
| 2002 | 2.12 | 1.11 | 0.85 | 0.10 | 1.75 | -0.85 | -0.59 |
| 2003 | 8.71 | -0.18 | -0.97 | 0.15 | 1.96 | 6.78 | 7.57 |
| Average growth rate: | |||||||
| 1981–1985 | 4.26 | 1.03 | 0.40 | 0.36 | 0.84 | 2.03 | 2.65 |
| 1985–1990 | 3.40 | 0.78 | 0.28 | 0.15 | 1.49 | 0.97 | 1.48 |
| 1990–1996 | 2.50 | -1.13 | -1.54 | 0.09 | 3.55 | -0.01 | 0.39 |
| 1996–1998 | 0.57 | 0.03 | -0.32 | 0.07 | 3.04 | -2.57 | -2.22 |
| 1998–2003 | 3.43 | -0.11 | -1.33 | 0.12 | 1.45 | 1.98 | 3.20 |
| 1981–2003 | 3.43 | 0.23 | -0.28 | 0.16 | 2.06 | 0.98 | 1.50 |
Appendix Table 12. Growth accounting (crops)
| Crops | |||||||
| GDP growth | Labour adjusted for quality | Land adjusted for irrigation | Capital | TFP (1) | TFP (2) | ||
| Employment (1) | Working hours (2) | ||||||
| 1981 | 6.32 | 4.31 | 5.11 | 0.47 | -1.02 | 2.56 | 1.75 |
| 1982 | 1.85 | -1.80 | 4.99 | 0.44 | 1.83 | 1.38 | 4.57 |
| 1983 | 6.44 | 1.33 | 1.83 | 0.43 | 0.57 | 4.10 | 3.61 |
| 1984 | 6.14 | 2.65 | 2.16 | 0.57 | 10.82 | -7.90 | -7.41 |
| 1985 | 5.58 | -1.92 | -3.03 | 0.46 | 0.12 | 6.91 | 8.03 |
| 1986 | -3.51 | 0.83 | 1.01 | 0.21 | -0.43 | 4.12 | 4.29 |
| 1987 | -3.58 | -0.66 | -1.90 | 0.19 | -0.60 | -2.50 | -1.27 |
| 1988 | 15.43 | 5.48 | 5.53 | 0.28 | -0.64 | 10.30 | 10.25 |
| 1989 | 10.93 | 2.96 | 4.52 | 0.06 | -10.35 | 18.26 | 16.71 |
| 1990 | -8.48 | -2.09 | -5.27 | 0.11 | 5.51 | -12.00 | -8.83 |
| 1991 | 6.29 | -2.86 | -0.53 | 0.13 | 5.72 | 3.31 | 0.98 |
| 1992 | 3.96 | 3.73 | 3.31 | 0.12 | 4.74 | -4.63 | 4.21 |
| 1993 | -7.30 | -5.02 | -6.97 | 0.16 | 3.95 | -6.39 | 4.45 |
| 1994 | 4.31 | -0.31 | 1.79 | 0.10 | -1.22 | 5.74 | 3.64 |
| 1995 | 5.10 | -3.03 | -3.26 | 0.15 | 2.14 | 5.85 | 6.08 |
| 1996 | 6.79 | -2.61 | 4.68 | 0.16 | 1.98 | 7.26 | 9.33 |
| 1997 | 0.56 | 2.60 | 3.86 | 0.27 | 1.97 | -4.28 | -5.54 |
| 1998 | -0.45 | -0.95 | -1.43 | 0.12 | 1.96 | -1.57 | -1.09 |
| 1999 | 3.16 | -3.96 | -5.74 | 0.32 | 1.28 | 5.53 | 7.31 |
| 2000 | 8.08 | 2.61 | 3.03 | 0.21 | 0.46 | 4.80 | 4.38 |
| 2001 | 3.20 | -3.81 | -9.57 | 0.10 | 0.55 | 6.36 | 12.11 |
| 2002 | 0.94 | 1.13 | 0.87 | 0.14 | 0.43 | -0.76 | -0.50 |
| 2003 | 10.26 | -1.08 | -1.76 | 0.15 | 1.27 | 9.91 | 10.59 |
| Average growth rate: | |||||||
| 1981–1985 | 5.26 | 0.92 | 0.22 | 0.47 | 2.46 | 1.41 | 2.11 |
| 1985–1990 | 2.73 | 0.77 | 0.14 | 0.22 | -1.06 | 2.81 | 3.43 |
| 1990–1996 | 1.53 | -1.74 | -2.23 | 0.13 | 3.26 | -0.12 | 0.36 |
| 1996–1998 | 2.30 | -0.32 | -0.75 | 0.18 | 1.97 | 0.47 | 0.90 |
| 1998–2003 | 4.20 | -1.01 | -2.43 | 0.17 | 0.99 | 4.04 | 5.47 |
| 1981–2003 | 3.57 | -0.11 | -0.70 | 0.23 | 1.35 | 2.09 | 2.68 |
Appendix Table 13. Growth accounting (livestock)
| Livestock | |||||||
| GDP growth | Labour adjusted for quality | Land adjusted for irrigation | Capital | TFP (1) | TFP (2) | ||
| Employment (1) | Working hours (2) | ||||||
| 1981 | -2.78 | 2.98 | 8.26 | 0.56 | 8.77 | -15.09 | -20.36 |
| 1982 | 2.99 | 9.60 | 2.57 | 0.16 | 5.98 | -12.75 | -5.72 |
| 1983 | 5.23 | -5.07 | -1.21 | 0.07 | -1.17 | 11.39 | 7.53 |
| 1984 | 0.70 | 2.45 | 1.60 | -0.04 | 1.26 | -2.96 | -2.11 |
| 1985 | 2.96 | 2.69 | 4.08 | 0.05 | 2.92 | -2.69 | 4.08 |
| 1986 | 11.70 | -3.14 | -2.88 | 0.05 | -0.98 | 15.78 | 15.52 |
| 1987 | 8.26 | 9.38 | 9.45 | -0.08 | -1.90 | 0.86 | 0.79 |
| 1988 | 4.46 | -3.39 | -3.67 | -0.07 | -0.29 | 8.20 | 8.49 |
| 1989 | 9.26 | 2.18 | 3.14 | -0.02 | 0.96 | 6.14 | 5.18 |
| 1990 | 2.32 | 7.32 | 5.38 | -0.03 | 4.67 | -9.63 | -7.69 |
| 1991 | 0.95 | 2.72 | 5.76 | 0.02 | -3.03 | 1.24 | -1.80 |
| 1992 | 3.18 | 0.63 | 0.96 | 0.03 | 1.87 | 0.65 | 0.33 |
| 1993 | 3.88 | 6.28 | 2.91 | 0.07 | -1.94 | -0.54 | 2.83 |
| 1994 | -0.12 | -7.66 | -6.88 | 0.13 | 2.31 | 5.11 | 4.33 |
| 1995 | 0.72 | 0.41 | 2.21 | -0.13 | -1.94 | 2.38 | 0.58 |
| 1996 | 2.10 | -3.20 | -4.14 | 0.03 | 1.28 | 4.00 | 4.93 |
| 1997 | 2.12 | -1.22 | -1.76 | -1.15 | -11.61 | 16.10 | 16.64 |
| 1998 | -6.89 | 5.22 | 5.85 | -0.27 | -9.92 | -1.92 | -2.55 |
| 1999 | 1.21 | 2.43 | 1.97 | 0.39 | 0.69 | -2.31 | -1.84 |
| 2000 | 6.81 | 0.77 | 1.34 | -0.45 | -2.34 | 8.83 | 8.25 |
| 2001 | 8.81 | 15.43 | 13.81 | 0.12 | -5.39 | -1.35 | 0.27 |
| 2002 | 6.67 | 3.12 | 1.98 | 0.07 | 1.53 | 1.95 | 3.10 |
| 2003 | 8.01 | 12.91 | 10.17 | 0.14 | 1.75 | -6.78 | 4.05 |
| Average growth rate: | |||||||
| 1981–1985 | 1.82 | 2.53 | 3.06 | 0.16 | 3.55 | -4.42 | -4.95 |
| 1985–1990 | 6.49 | 2.51 | 2.58 | -0.02 | 0.89 | 3.11 | 3.03 |
| 1990–1996 | 1.86 | 0.93 | 0.89 | 0.02 | 0.46 | 0.46 | 0.50 |
| 1996–1998 | -0.89 | 0.27 | -0.02 | -0.46 | -6.75 | 6.06 | 6.34 |
| 1998–2003 | 4.10 | 6.65 | 5.85 | 0.00 | -2.28 | -0.26 | 0.53 |
| 1981–2003 | 3.59 | 2.73 | 2.65 | -0.02 | -0.28 | 1.16 | 1.24 |
Appendix Table 14. Growth accounting (fishery)
| Fishery | |||||||
| GDP growth | Labour adjusted for quality | Land adjusted for irrigation | Capital | TFP (1) | TFP (2) | ||
| Employment (1) | Working hours (2) | ||||||
| 1981 | 18.70 | 30.43 | 23.78 | 0.01 | -4.59 | -7.14 | -0.49 |
| 1982 | 8.16 | -13.59 | -12.57 | 0.03 | 11.98 | 9.73 | 8.71 |
| 1983 | 0.91 | 5.60 | 2.95 | 0.09 | 0.81 | -5.60 | -2.95 |
| 1984 | -2.89 | 2.18 | 0.18 | -0.02 | 1.53 | -6.58 | -4.58 |
| 1985 | -1.16 | 18.54 | 16.50 | 0.05 | 2.07 | -21.80 | -19.77 |
| 1986 | 8.04 | 0.76 | 2.18 | 0.03 | 2.10 | 5.16 | 3.74 |
| 1987 | 12.57 | -0.71 | 1.43 | 0.05 | 6.90 | 6.32 | 4.19 |
| 1988 | 2.83 | -4.12 | -5.10 | 0.04 | 7.24 | -0.33 | 0.65 |
| 1989 | 10.62 | 3.38 | 4.98 | 0.01 | 11.09 | -3.86 | -5.46 |
| 1990 | 7.50 | 4.55 | 2.23 | -0.02 | -0.46 | 3.42 | 5.75 |
| 1991 | 24.23 | -5.32 | -3.39 | 0.02 | 3.01 | 26.52 | 24.59 |
| 1992 | 7.89 | 2.86 | 3.93 | 0.00 | 1.34 | 3.69 | 2.62 |
| 1993 | 13.16 | 2.51 | -2.06 | 0.00 | 2.07 | 8.58 | 13.15 |
| 1994 | 9.13 | 2.95 | 6.38 | 0.01 | 3.47 | 2.70 | -0.73 |
| 1995 | 1.93 | -3.63 | -3.92 | 0.00 | 3.60 | 1.97 | 2.25 |
| 1996 | -1.11 | 8.63 | 6.08 | 0.00 | 8.21 | -17.95 | -15.40 |
| 1997 | -4.64 | -2.71 | -2.59 | 0.01 | 1.88 | -3.83 | -3.95 |
| 1998 | 1.46 | -0.24 | 1.42 | 0.04 | 8.39 | -6.73 | -8.40 |
| 1999 | -0.13 | 5.74 | 3.91 | 0.02 | 0.78 | -6.66 | -4.83 |
| 2000 | 0.23 | -4.85 | -4.36 | 0.02 | 7.61 | -2.55 | -3.04 |
| 2001 | 0.49 | 7.09 | 4.68 | 0.01 | -3.50 | -3.10 | -0.70 |
| 2002 | 2.09 | 2.05 | 2.28 | -0.01 | 0.03 | 0.03 | -0.20 |
| 2003 | 3.33 | -3.69 | -3.26 | 0.13 | 15.60 | -8.71 | -9.14 |
| Average growth rate: | |||||||
| 1981–1985 | 4.74 | 8.63 | 6.17 | 0.03 | 2.36 | -6.28 | -3.82 |
| 1985–1990 | 6.73 | 3.73 | 3.70 | 0.03 | 4.82 | -1.85 | -1.82 |
| 1990–1996 | 8.96 | 1.79 | 1.32 | 0.00 | 3.03 | 4.13 | 4.60 |
| 1996–1998 | -1.43 | 1.90 | 1.64 | 0.02 | 6.16 | -9.50 | -9.25 |
| 1998–2003 | 1.24 | 1.02 | 0.78 | 0.03 | 4.82 | -4.62 | -4.38 |
| 1981–2003 | 5.36 | 2.54 | 1.99 | 0.02 | 3.96 | -1.16 | -0.61 |
Appendix Table 15. Growth accounting (freshwater fishery)
| Freshwater fishery | |||||||
| GDP growth | Labour adjusted for quality | Land adjusted for irrigation | Capital | TFP (1) | TFP (2) | ||
| Employment (1) | Working hours (2) | ||||||
| 1981 | 11.57 | 9.15 | 7.56 | 0.03 | 4.97 | -2.58 | -1.00 |
| 1982 | -21.79 | -8.13 | -8.41 | 0.10 | 10.11 | -23.88 | -23.59 |
| 1983 | 14.36 | 7.81 | 9.87 | 0.30 | 15.59 | -9.34 | -11.39 |
| 1984 | 3.89 | 8.52 | 5.57 | -0.08 | 4.24 | -8.78 | -5.84 |
| 1985 | 0.62 | 0.37 | 0.46 | 0.20 | 10.93 | -10.89 | -10.98 |
| 1986 | 4.64 | 1.09 | 1.76 | 0.13 | 8.35 | -4.92 | -5.59 |
| 1987 | 10.47 | -6.20 | -6.65 | 0.33 | 18.41 | -2.08 | -1.63 |
| 1988 | -8.27 | 3.67 | 3.39 | 0.27 | 14.93 | -27.14 | -26.85 |
| 1989 | 0.71 | 5.23 | 7.38 | 0.08 | 4.81 | -9.42 | -11.56 |
| 1990 | 10.04 | 10.69 | 11.85 | -0.14 | -7.50 | 6.98 | 5.82 |
| 1991 | 13.53 | -10.04 | -9.46 | 0.14 | 9.23 | 14.21 | 13.62 |
| 1992 | 3.63 | 5.50 | 5.57 | 0.05 | 1.26 | -3.18 | -3.25 |
| 1993 | 21.65 | 12.72 | 7.33 | 0.05 | 1.37 | 7.50 | 12.89 |
| 1994 | 11.32 | 3.58 | 8.94 | 0.12 | 2.18 | 5.44 | 0.09 |
| 1995 | -0.42 | 1.04 | 2.64 | 0.04 | 5.48 | -6.98 | -8.58 |
| 1996 | 12.58 | 10.72 | 6.50 | 0.05 | 8.34 | -6.53 | -2.31 |
| 1997 | -4.34 | -7.22 | -6.72 | 0.07 | 0.56 | 2.25 | 1.75 |
| 1998 | 2.41 | 3.76 | 6.80 | 0.41 | 7.44 | -9.20 | -12.24 |
| 1999 | 15.44 | 10.17 | 4.23 | 0.17 | 1.94 | 3.16 | 9.09 |
| 2000 | 1.97 | -4.20 | -2.05 | 0.21 | 10.50 | -4.54 | -6.69 |
| Average growth rate: | |||||||
| 1981–1985 | 1.73 | 3.54 | 3.01 | 0.11 | 9.17 | -11.10 | -10.56 |
| 1985–1990 | 3.03 | 2.48 | 3.03 | 0.15 | 8.32 | -7.91 | -8.47 |
| 1990–1996 | 10.33 | 4.89 | 4.77 | 0.04 | 2.91 | 2.49 | 2.61 |
| 1996–1998 | 3.55 | 2.42 | 2.19 | 0.18 | 5.45 | -4.49 | -4.27 |
| 1998–2000 | 6.61 | 3.24 | 2.99 | 0.27 | 6.62 | -3.53 | -3.28 |
Appendix Table 16. Growth accounting (marine fishery)
| Marine fishery | ||||||
| GDP growth | Labour adjusted for quality | Capital | TFP (1) | TFP (2) | ||
| Employment (1) | Working hours (2) | |||||
| 1981 | 20.20 | 40.75 | 32.15 | -4.35 | -16.20 | -7.61 |
| 1982 | 13.97 | 1.00 | 1.89 | 7.98 | 5.00 | 4.10 |
| 1983 | -0.89 | -4.22 | -9.81 | -1.47 | 4.80 | 10.39 |
| 1984 | -3.93 | -9.02 | -7.56 | 0.87 | 4.22 | 2.76 |
| 1985 | -1.45 | 35.92 | 30.22 | 0.18 | -37.55 | -31.85 |
| 1986 | 8.61 | -0.55 | 0.78 | 0.53 | 8.63 | 7.30 |
| 1987 | 12.91 | 11.06 | 15.19 | 2.74 | -0.89 | -5.02 |
| 1988 | 4.61 | -9.54 | -10.19 | 3.64 | 10.51 | 11.16 |
| 1989 | 12.01 | 0.74 | 2.16 | 17.29 | -6.02 | -7.44 |
| 1990 | 7.18 | -0.43 | -4.16 | 4.26 | 3.34 | 7.07 |
| 1991 | 25.61 | 0.48 | 3.51 | -0.47 | 25.60 | 22.57 |
| 1992 | 8.39 | 1.89 | 3.44 | 1.39 | 5.11 | 3.56 |
| 1993 | 12.21 | -2.24 | -5.92 | 2.58 | 11.87 | 15.55 |
| 1994 | 8.86 | 3.05 | 5.52 | 4.39 | 1.43 | -1.05 |
| 1995 | 2.23 | -5.89 | -6.71 | 1.59 | 6.52 | 7.34 |
| 1996 | -2.77 | 8.40 | 5.91 | 6.64 | -17.80 | -15.32 |
| 1997 | -4.68 | -0.35 | -0.65 | 2.92 | -7.26 | -6.95 |
| 1998 | 1.32 | -2.01 | -1.71 | 8.11 | -4.77 | -5.07 |
| 1999 | -2.34 | 3.67 | 3.39 | -0.51 | -5.51 | -5.22 |
| 2000 | 5.29 | -3.02 | -3.76 | 4.55 | 3.75 | 4.50 |
| Average growth rate: | ||||||
| 1981–1985 | 5.58 | 12.89 | 9.38 | 0.64 | -7.95 | 4.44 |
| 1985–1990 | 7.31 | 6.20 | 5.67 | 4.77 | -3.66 | -3.13 |
| 1990–1996 | 8.82 | 0.75 | 0.23 | 2.91 | 5.15 | 5.67 |
| 1996–1998 | -2.04 | 2.01 | 1.18 | 5.89 | -9.94 | -9.11 |
| 1998–2000 | 1.42 | -0.45 | -0.70 | 4.05 | -2.17 | -1.93 |
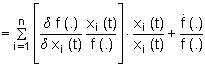
With the assumption of profit maximization, the growth-accounting approach solves the problem relating to the measurement of the unobservable output elasticity with respect to each input by using the share of factor incomes. Then we can straightforwardly compute the technical change as described below. We first write the production function in a general form with inputs i.
| y(t) = f (x1(t), x2(t),…, xn (t), t) | (1) | ||
| where | y(t) = output at time t | ||
| xi(t) = input i at time t | ; i = 1,…,n | ||
Then equation 1 is differentiated with respect to time, we derive
![]() | ||
| or | ![]() | (2) |
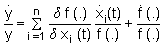
where the dot over a variable indicates differentiation with respect to time. Divide equation (2) by (1) and we get
![]() | |||
![]() | |||
![]() | |||
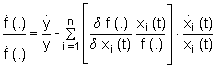
| or | ![]() | (3) | |
| where | ![]() |
![]() | |
From equation 3, technical change is the difference between output growth and the sum of all input growth weighted by output elasticity with respect to each input. In order to compute the growth of TFP, we need to know the output elasticity with respect to input i. Following the assumptions of profit maximization and producer's equilibrium whereby each input is employed up to the point where its marginal product equals its marginal cost, we can replace output elasticity with respect to input i with factor income shares going to input i. In principle, we can obtain the values of factor income shares from the national income accounts. There are problems involved in measuring TFP as residual. We must also note that factors other than technical change like economies of scale, cyclical effects and the contribution of omitted inputs may also be captured by the TFP residual. This is a serious issue. When we mismeasure the growth of inputs, we wrongly attribute a part of output growth to TFP growth when it was in fact due to the growth in inputs. Therefore, when measuring TFP growth by the residual, we have to be certain that our measurement of inputs is correct, because otherwise part of output growth will be wrongly attributed to TFP growth. By the same token, if we overestimate growth in inputs, too little output growth will be attributed to TFP growth.
ADB. 1998. Thailand agricultural sector needs assessment study. Vol. II-TA 3003-THA, Asian Development Bank.
Athukorala, P. & Jayasuriya, S. 2003. Food safety issue, trade and WTO rules, a developing country perspective. World Economy, 26, 9: 1395–1416.
Balsevich, F., Berdegue, J.A., Flores, D., Mainville, D., & Readon, T. 2003. Supermarkets and produce quality and safety standards in Latin America. America Journal of Agricultural Economics, 85 (5): December.
Behrman, J., Deolalikar, B.A. & Tinakorn, P. 2001. The effects of the Thai economic crisis and Thai labor market policies on labor market outcomes: Executive Summary. TDRI Quarterly Review, 11 (4).
Bresciani, F., Feder, G., Gilligan, D., Jacoby, H., Onchan, T. & Quizan, J. 2002. Weathering the storm: the impact of the East Asian crisis on farm households in Indonesia and Thailand. The World Bank Research Observer, 17(1).
Christensen, S. 1992. Between the farmer and the state: towards a policy analysis of the role of agribusiness in Thai agriculture. Thailand's economic structure: towards balanced development. Paper prepared for Year-End Conference. Bangkok, Thailand Development Research Institute.
Coxhead, I. & Plangpraphan, J. 1998. Thailand's economic boom and bust and the fate of agriculture. TDRI Quarterly Review, 13 (2).
FAO. 2006. Policy reform and the transformation of Vietnamese agriculture. In Rapid growth of selected Asian economies - lessons and implications for agriculture and food security: Republic of Korea, Thailand and Viet Nam, Vol. 3. Bangkok, FAO.
Grachanhnetara, S. & Bumrungtham, P. 2003. Productivity of rice cropping and irrigation in Thailand. TDRI Quarterly Review, 18 (2).
Grandstaff, Somluckrat, W. 1992. Pesticide policies in Thailand. Bangkok, Thailand Development Research Institute.
Isavilanond, S. 1992. Demand and supply of Thai horticulture. Bangkok, Thailand Development Research Institute.
Jitsuchon, S. 2005. Source and pro-poorness of Thailand's economic growth. A paper presented at a senior policy seminar on Pro-poor Growth and Scaling-up Poverty Reduction in East Asia. Beijing, China, 18–19 May.
Jungbluth, F. 1997. Analysis of crop protection policy in Thailand. TDRI Quarterly Review, 12 (1).
Kakwani, N. & Pernia, E.M. 2000. What is pro-poor growth? Asian Development Review, 18 (1): 1–16.
Kakwani, N., Shahid, K. & Son, H.H. 2004. Pro-poor growth: concepts and measurement with country case studies. Working paper No. 1, August. UNDP: International Poverty Centre.
Kaosa-ard, M., Christensen, S., Boonlong, A. & Peanchop, P. 1994. Water: shortage or management? TDRI's White Paper, No. 8. In Thai.
Kaosa-ard, M. & Siamwalla, A. 1998. Strategies for increasing efficiency in the management of the agricultural sector and agro-industries. Bangkok, Thailand Development Research Institute. In Thai.
Krueger, A.O., Siamwalla, A., Hindley, B., Wolf, M., Snape, R.H., Nogues, J., Valdes, A., Anjaria, S.J., Bhagwati, J.N., Cable, V., Chong-Hyun Nam, Finger, J.M. & Sathirathai, S. 1987. Poverty reduction. The World Bank Economic Review 1 (4).
Krueger, A.O., Schiff, M. & Valdes, A. 1988. Agricultural incentives in developing countries: measuring the effect of sectoral and economy-wide policies. World Bank Economics Review, 2 (3), 255–271.
Molle, F. & Thippawal, S., (eds.). 2003. Thailand's rice bowl: perspectives on agricultural and social change in the Chao Phraya Delta. Studies in Contemporary Thailand No. 12. Series editor: Erik Cohen. Bangkok, White Lotus.
Na Ranong, V. & Sornchai, T. 2002. Regional trade agreements for agricultural exported: case of rubber and rice in Thailand. Meeting the challenges of globalization. Prepared for TDRI Year-end Conference. Bangkok, Thailand Development Research Institute.
Palakool, S., Sukamak, S. & Deenruy, B. 1995. Pesticide residues in fruit and vegetables. Bangkok, Agricultural Toxic Substances Division, Department of Agriculture.
Pinthong, C. & Tinnakorn, P. 1984. The evaluation of rice price policies in the crop year 1980/81. Bangkok, Thammasat University. Research Report Series No. 49.
Poapongsakorn, N. 1985. The commercial broiler and swine industries in Thailand. In T. Panayotou, ed. Food policy analysis in Thailand. Bangkok, Agricultural Development Council.
Poapongsakorn, N. 1996. Will Thailand have to import rice in the coming decade? A paper prepared for the Asia International Rice Conference, Singapore. Bangkok, Thailand Development Research Institute.
Poapongsakorn, N. 2003a. ASEAN-Japan Comprehensive Economic Partnership: vision and tasks ahead. Joint study report. Prepared for ASEAN-Japan Research Institute Meeting, 22 July. Tokyo.
Poapongsakorn, N. 2003b. Free trade agreement: Thailand & United States of America. Bangkok, Thailand Development Research Institute and Thai-US Chamber.
Poapongsakorn, N. 2004. Dynamics of South East Asian livestock markets and their sanitary and technical standards. Rome, FAO.
Poapongsakorn, N., Netayalak, P., Preedasak, P. & Kansunisukmongkol, C. 1995. Feasibility studies on rural household electrification project. Bangkok, Thailand Development Research Institute.
Poapongsakorn, N., Siamwalla, A., Titapiwatanakun, B. & Netayalak. P. 1995. Agricultural diversification/ restructuring of agricultural production systems in Thailand. A Paper prepared for FAO. Bangkok, Thailand Development Research Institute.
Poapongsakorn, N., Siamwalla, A. & Praneevatakul, S. 1996. The potential for the development of contract farming: the case of cotton production in Thailand. Bangkok, Thailand Development Research Institute.
Poapongsakorn, N., Ruha, M. & Tangjitwisuth, S. 1998. Problem and outlook of agriculture in Thailand. TDRI Quarterly Review, 13 (2).
Poapongsakorn, N. & Titapiwatanakun, B. 2000. The economic impact of the government price intervention in the cassava industry. Bangkok, Thailand Development Research Institute. In Thai.
Poapongsakorn, N., Puenpatom, T. & Goolchai, P. 2002. Agriculture and trade in Thailand: experience under the Uruguay Round agreement on agriculture and its interests and concern in the Doha Round. A paper prepared for FAO, Rome. Bangkok, Thailand Development Research Institute.
Poapongsakorn, N., Na Ranong, V., Delgado, C.L. & Narrod, C.A. 2003. Policy technical, and environmental determinants and implications of the scaling-up of swine, broiler, layer and milk production in Thailand. Livestock Industrialization Project: Phase II Prepared for FAO and IFPRI. Bangkok, Thailand Development Research Institute.
Poapongsakorn, N., Sussangkarn, C. Preechametta, A. Chansom, N. & Jongpeepien, T. 2005. Industrial restructuring with an emphasis on efficient energy utilization. Bangkok, Thailand Development Research Institute. In Thai.
Poapongsakorn, N., Suzuki, P., Punyasavatsut, C. Tantivasadakarn, C. & Tulyawasinphong, S. 2005. Impact of WTO agriculture trade negotiation. Prepared for Ministry of Commerce. Bangkok, Thailand Development Research Institute. In Thai.
Poapongsakorn, N., Tokritsana, R. & Taksinavisut, S. 2005. A study of the market system and logistic of fruit in the eastern region. Bangkok, Thailand Development Research Institute. In Thai.
Police Investigation Committee. 2005. A Summary report of longang corruption charges at local level in 2004. Headed by Police General Seripisoot Temeeyawea. Bangkok, National Police Office, 4 November.
Pollution Control Department. 2005. The decade of the main rivers (1995–2004). Bangkok, Ministry of Natural Resources and Environment. In Thai.
Reardon, T., Timmer, C.P. & Berdegue, J. 2004. The rapid rise of supermarkets in developing countries: induced organizational, institutional, and technological change in agrifood systems. Electronic Journal of Agricultural and Development Economics.
Roumasset, J. 2005. Thinking about agricultural development: fads, fancies, fallacies and frontiers. In Agricultural and rural development in Asia: ideas, paradigms, and policies three decades after. Laguna, Philippines, SEARCA.
Sabhasri, C. 2004. Thailand-China free trade agreement: early harvesting program for fruits and vegetables. Paper prepared for Fiscal Policy Research Institute. Bangkok, Ministry of Finance.
Sattarasart, A. 2003. Small-scale water resource development. TDRI Quarterly Review, 18 (3).
Setboonsarng, S. & Evenson, R.E. 1991. Technology, infrastructure, output supply and factor demand in Thai agriculture. In Robert E. Evenson & Carl E. Pray, eds. Research and productivity and Asian agriculture, pp. 206–216. New York, Cornell University Press.
Shintani, M. 2002. Process of production growth in Thai agriculture: estimation of long term economic statistics for 1950–1996. Discussion paper, No. D99–8, 1999. Tokyo, Economic Research Institute of Hitotsubashi University.
Siamwalla, A. 1987. Thailand's agricultural future: what are the question?. Washington, DC, World Bank.
Siamwalla, A. 1990. Agricultural trade reform, price stability and impact on developing countries. Paper presented at IFPRI seminar on the GATT Negotiations on Agriculture and the Developing Countries. Montreaux, Switzerland.
Siamwalla, A. 1991. Land-abundant agricultural growth and some of its consequences: the case of Thailand. Paper presented at IFPRI conference on Agriculture on the Road to Industrial Growth. Bangkok, Thailand Development Research Institute.
Siamwalla, A. 1992. Myths, demons and the future of Thai agriculture. Paper prepared for year-end conference on Thailand's Economic Structure: Towards Balanced Development? Vol. 1.
Siamwalla, A. 1994. An assessment of impact of price intervention program in the rice markets, year 1992–93. TDRI White Paper, No. 7. In Thai.
Siamwalla, A. 1996. Thai agriculture: from engine of growth to sunset status. TDRI Quarterly Review, 11 (4).
Siamwalla, A. 1999. The future of agriculture and agriculturally-related industries. Sixty Year Anniversary of Achan Ammare. Bangkok, Thailand Development Research Institute.
Siamwalla, A. 2000. Anatomy of the Thai economic crisis. Bangkok, Thailand Development Research Institute.
Siamwalla, A. 2004. The aging of Thai agricultural: past and prospects of the rural scene. Paper prepared for the TDRI year-end conference on Twenty Years of Socio-Economic Situation in Thailand: In Retrospect and Forecast. Bangkok, Thailand Development Research Institute.
Siamwalla, A. & Sethboonsarng, S. 1989. Agricultural pricing policies in Thailand, 1960–1984. Washington, DC, World Bank.
Siamwalla, A. & Na Ranong, V. 1990. A comprehensive study on rice economy. Bangkok, Thailand Development Research Institute. In Thai.
Siamwalla, A., Sethboonsang, S. & Werakarnjanapongs, P. 1991. Changing comparative advantage in Thai agriculture. OECD, OECD Development Centre.
Siamwalla, A. & Sobchokchai, O.1998. Responding to the Thai economic crisis. Policy Response to the Economic Crisis and Social Impact in Thailand. Bangkok, UNDP.
Sriboonjitta, S. 1998. The effect of paddy pledging policy on rice price: statistical evidence during 1979–1997. Economic Journal of Chiang Mai University, 119–128.
Sussangkarn, C., Jitsuchon, S. & Vajragupta, Y. 2002. Globalization and Thai economy: impact and structural adjustments toward sustainability. In Globalization of Thailand: economic impacts and restructuring for sustainability. A paper prepared for the TDRI year-end conference. Bangkok, Thailand Development Research Institute.
Sussangkarn, C. 2001. Macro economics model for budget allocation development project. Bangkok, Thailand Development Research Institute. In Thai.
TDRI. 2000. The sugar cane and sugar industries: possibilities of production and export expansion. Prepared for the Office of the Committee on Sugar Cane and Sugar. Bangkok, Thailand Development Research Institute. In Thai.
TDRI. 2002. The retail business in Thailand: impact of the large scale multinational corporation on retailers. A research report submitted to the National Research Council. Bangkok, Thailand Development Research Institute.
Tinakorn, P. & Sussangkarn, C. 1996. Productivity growth in Thailand. Bangkok, Thailand Development Research Institute.
Tinakorn, P. & Sussangkarn, C. 1998. Total factor productivity growth in Thailand: 1980–1995. Bangkok, Thailand Development Research Institute.
Tinakorn, P. 2002. Income inequality during the four decades of development: 1961–2001. Thammasat Economic Journal, 20 (2–3): 141–208.
Uathavikul, P. 2004. Poverty reduction through contract farming: lessons from Srakaew Province, Thailand. ADB-ESCAP Regional Workshop on Contract Farming and Poverty Reduction. Bangkok, Swift Co. Ltd.
Warr, P.G. 2000. Thailand post-crisis trade policies: the 1999 WTO Review. World Economy 23 (9): 1215–1236.
Warr, P.G. 2005. Pro-poor growth. Asia-Pacific Economic Literature 165 (1).
Wiboonponse, A. & Sriboonchitta, S. 2004. Recovering markets: securing small producer participation in restructured national and regional agri-food systems: the case of Thailand. Bangkok, Chiangmai University.
World Bank. 2001. Thailand Social Monitor, No. 6. Bangkok.