Diferencias entre individuos.
Si se examina la distribución de tallas de los ejemplares de una determinada clase anual, todos aproximadamente de la misma edad, se verá que no tienen todos el mismo tamaño. Por lo general, las tallas presentan una especie de distribución normal en torno a alguna longitud media, con una desviación estándar bastante apreciable. Parte de esta dispersión se debe a que los peces no desovan todos exactamente en el mismo momento, y los ejemplares del comienzo de la temporada del desove serán normalmente algo más grandes que los que nacieron más tarde. Un elemento del paquete de programas ELEFAN utiliza este argumento para obtener, esencialmente mediante extrapolación de la distribución de tallas por edad observada, una estimación de la distribución de la época del desove a lo largo del año.
Las variaciones en la época del desove no pueden constituir la única explicación de las diferencias en las tallas por edad, pues de ser así la dispersión de las tallas disminuiría a medida que los peces aumentan de edad y se reduce la influencia que pueden tener en la talla unas pocas semanas de diferencia en la edad real. También la información sobre los incrementos del crecimiento, obtenida, por ejemplo, mediante el marcado, arroja unas variaciones considerables. Está claro que puede haber diferencias notables en el crecimiento de los individuos. Una consecuencia secundaria de ello es que el método ELEFAN para determinar la época del desove debe utilizarse con cautela. Las conclusiones serán probablemente válidas si se basan en las pautas estacionales de abundancia de peces más pequeños (para lo cual es necesario tomar muestras casi todos los meses del año), pero pueden ser engañosas si descansan en una larga extrapolación inversa a partir de los ejemplares más grandes.
Sainsbury (1980) y otros autores han señalado algunas consecuencias más serias. Si los individuos crecen a ritmos diferentes, que pueden describirse por las diferencias en los parámetros de crecimiento K Y Linf, los resultados que darán muchos análisis no serán los mismos que los que se obtendrían si todos los peces crecieran a un ritmo igual, descrito por unos parámetros K Y Linf equivalentes a las medias de los valores individuales de K Y Linf. Por ejemplo, si estamos estudiando el crecimiento de peces marcados y aplicamos el método común de trazar un gráfico del incremento de tamaño entre el marcado y la recuperación del pez, ocurrirá, si hemos marcado ejemplares bastante grandes, que los peces más grandes serán los que tendrán los valores más altos de Linf. Estos ejemplares crecerán más de lo previsto, y los incrementos disminuirán menos de lo que cabía esperar. La cuestión de examinar la variabilidad individual de K Y Linf está siendo ahora objeto de mayor atención (Burr 1988). Aunque es evidente que quienquiera que utilice métodos basados en la talla reconocerá esta variabilidad, las técnicas actuales para estimarla aún no se aplican de forma rutinaria.
Los errores que se introducen cuando no se tienen en cuenta las diferencias individuales en el crecimiento son pequeños en el caso de los métodos tradicionales basados en la edad, que establecen, por ejemplo, la talla media por edad, pero pueden ser grandes en algunos de los métodos que se basan en la talla. Los efectos precisos se examinarán más adelante en relación con los métodos en cuestión; lo que interesa aclarar aquí es que, cuando se utilicen métodos basados en la talla, muchas veces habrá que tomar en consideración el grado de variación que puede haber en las tasas de crecimiento individuales.
Determinación de una escala temporal.
Cuando utilizamos los datos de talla para estimar el crecimiento, estamos tratando de determinar una escala temporal a partir de un conjunto de datos que no contiene ninguna información explícita sobre el tiempo. El éxito de este ejercicio dependerá de la magnitud de la señal implícita sobre el tiempo que esté presente en los datos. Esto se refiere básicamente a la magnitud de los cambios ocurridos entre un momento y otro, es decir, a las diferencias que se observen entre muestras tomadas en períodos diferentes. El primer paso de cualquier método de estimación del crecimiento consiste en examinar las muestras tomadas en distintos momentos. Cuanto mayor sea la diferencia, y cuanto mayor sea el grado en que esas diferencias se ciñan a una pauta lógica, tanto más clara será la “señal” presente (para utilizar un término común en la teoría de la información) y, por tanto, la posibilidad de estimar el crecimiento, a condición de que se utilice un método apropiado. Por el contrario, si los cambios de un momento a otro son reducidos, la señal es escasa y puede ser imposible estimar el crecimiento, por más ingeniosos que sean los métodos aplicados.
El cambio que se observa con mayor frecuencia consiste en un máximo relativo (o, a veces, dos o más máximos relativos) entre los peces más pequeños (correspondientes al grupo de edad más joven plenamente reclutado), que aumenta mes a mes hasta que después de un año aparece un nuevo máximo relativo y entonces, o más tarde, el máximo más alto se vuelve indistinguible entre los peces más grandes (Fig. 3.1). Un método sencillo (y uno de los más antiguos) para estimar el crecimiento consiste entonces en presuponer que cada máximo relativo identificable corresponde a la talla media de una clase anual y ajustar una curva de crecimiento a esas medias. La mecánica de los métodos de este tipo se puede analizar en dos fases: la identificación de las modas y el ajuste de la curva.
La posición de las modas no nos dice todo lo que necesitamos saber sobre una frecuencia de tallas, y si utilizamos solamente las tallas modales estaremos desperdiciando la información acerca de la forma de la distribución entre las modas, que puede ayudarnos a estimar la tasa de crecimiento. Se han elaborado una serie de métodos distintos que consideran la distribución de frecuencias en su conjunto. Observando los cambios que ésta experimenta de mes en mes y comparando esos cambios con los que cabría esperar con diferentes curvas de crecimiento, se puede determinar la curva que da el mejor ajuste.
Por último, cabe recordar que rara vez será necesario utilizar un sólo método aislado, y que las estimaciones del crecimiento pueden mejorarse a menudo examinando información adicional, sobre todo si ésta contiene una clara escala temporal, como el crecimiento de peces marcados, o algunas determinaciones de la edad que por sí solas no bastarían para establecer una curva de crecimiento.
La manera más sencilla de identificar las modas consiste en trazar simplemente la frecuencia de tallas de una muestra y observar las modas que se manifiestan. Este procedimiento se remonta a la primera aplicación de métodos basados en la talla por Petersen (1891), y debería ser siempre el primer paso de un análisis. Si se distinguen varias modas y esta operación se puede repetir para varios meses del año, debería ser posible determinar los valores modales a simple vista y ajustar una curva de crecimiento a dichos valores. Esto no sólo proporciona una estimación rápida del crecimiento, sino que además los valores obtenidos pueden utilizarse como primeras estimaciones en los métodos más objetivos, ahorrándose así una parte de las operaciones en computadora.

Figura 3.1 Ejrmplo tipico de una composición por tallas relativamente favorable, que muestra modas que probalblemente sean grupos de edad y su progressión de mes en mes.
La mayoría de los métodos objetivos de identificación de modas parten de la observación de que la frecuencia de tallas de los peces de una misma clase anual suele ser aproximadamente normal. Esto permite desarrollar métodos gráficos más complejos, utilizando por lo general el papel de probabilidad que, gracias a una ingeniosa escala, hace que una curva normal aparezca como una línea recta. Varios autores han descrito métodos de este tipo (Harding, 1949; Cassie, 1954; Tanaka, 1956). Bhattacharaya (1967) ha propuesto un método diferente.
Este autor observó que las frecuencias fi, fi+1 … en puntos consecutivos de una curva normal tienen entre sí la relación lineal
In (fi/fi+1) = a - bli
donde b = s2, la varianza de la distribución. Si se utilizan datos agrupados, las constantes de la relación serán ligeramente diferentes, pero un gráfico de ln (fi/fi+1) respecto de li, el límite inferior del intervalo de tallas, dará igualmente una línea recta. En este caso, los parámetros de la curva normal estarán dados por las ecuaciones siguientes:
Media = 0,5d + a/b y
Varianza = 1/b - d2/b2 donde d = la amplitud del intervalo de tallas.
Los pasos prácticos para utilizar este método son los siguientes:
Se traza un gráfico de los datos de la manera habitual. Esto revelará si hay modas evidentes y su posición aproximada. Si no aparecen modas en este gráfico, probablemente no merezca la pena seguir adelante.
Se traza un gráfico de ln (fi/fi+1) respecto de li.
Se identifica en qué parte de ese gráfico existen series de al menos tres puntos sucesivos en línea recta decreciente.
Se ajusta una línea recta a cada uno de esos grupos y a partir de eso se estiman los valores de a y b, y luego la media y las varianzas de las distribuciones poblacionales.
Todo este procedimiento se puede efectuar gráficamente, incluido el último punto. Pauly y Caddy (1985) adaptaron el método de Bhattacharaya a una pequeña calculadora, eliminando así parte de su subjetividad. Sin embargo, puesto que puede tratarse sólo de tres o cuatro puntos y hay que elegir cuáles puntos incluir, la ventaja de la objetividad puede ser más aparente que real. Este método puede utilizarse si se dispone del programa, pero de todas formas deberán trazarse siempre los gráficos (pasos (a) y (b) supra) para ver qué revelan los datos y formarse una primera impresión de la fiabilidad de los análisis.
El programa de Pauly y Caddy genera también una estimación del número de peces que compone cada grupo modal. Con estos datos y con los parámetros de las distribuciones de los componentes, es posible reconstruir la distribución original. La reconstrucción deberá trazarse y compararse con la distribución original. Quienes tengan acceso a microcomputadoras podrán utilizar los programas ELEFAN o LFSA, que también contienen rutinas para aplicar el método de Bhattacharya.
Los métodos computerizados se remontan al método de la máxima verosimilitud de Hasselblad (1966) y se pueden obtener en programas tales como NORMSEP (Abramson, 1971) y ENORMSEP. Este tema ha sido tratado más a fondo en MacDonald y Pitcher (1979), una obra que reúne la literatura estadística y pesquera. El gran problema estadístico de la identificación de modas, ya sea a ojo o con métodos más elaborados, es el que señalaron MacDonald (1969) y otros autores después de él, a saber, que a menos que las diferencias entre las medias de las dos distribuciones sean suficientemente grandes, la distribución común no presentará modas evidentes. La regla para que dos distribuciones muestren modas claramente identificables es que sus medias deben diferir en más del doble de la desviación estándar de la distribución con mayor dispersión. Puesto que al aumentar la edad de los peces se reduce la diferencia entre grupos de edad adyacentes y normalmente aumenta la dispersión de las tallas por edad, la probabilidad de diferenciación es mucho menor entre los peces más viejos. Por ejemplo, las cifras relativas a Lutjanus coccineus en aguas de Kuwait son las siguientes:
| Edad 0 - | edad 1 Dif. en la talla media 13,9 cm d.e. mín. | 3,61 |
| Edad 1 - | edad 2 Dif. en la talla media 10,7 cm d.e. mín. | 5,64 |
| Edad 2 - | edad 3 Dif. en la talla media 6,7 cm d.e. mín. | 8,44 |
En este caso, debería ser posible diferenciar la edad 0 de la edad 1, y probablemente también la 2 de la 1, pero no las edades 2 y 3.
Otro método para aclarar la posición de las modas es el de aplicar alguna forma de suavizado. El más conocido es el que se utiliza en el programa ELEFAN I (véase Pauly, 1987, y la bibliografía allí consignada). Este programa calcula un promedio móvil de 5 puntos y luego compara la frecuencia observada con ese promedio: los valores muy superiores al promedio indican una moda. La ventaja de este procedimiento es que después de varios ajustes para corregir las diversas fuentes de sesgo y otros problemas, se obtiene un conjunto de números, los máximos relativos, expresados de una forma estándar que se puede utilizar en las fases siguientes del programa ELEFAN - de hecho, el usuario normal no necesita ocuparse de esta fase del programa. El procedimiento es sensible al tamaño del intervalo de tallas utilizado - si éste es demasiado amplio en comparación con la amplitud de las modas, los detalles se pueden perder, y si es demasiado estrecho, el suavizado destruirá gran parte de las características de las modas. Si la varianza de las tallas por edad aumenta con la edad, es posible que ningún intervalo de tallas sea ideal. También hay problemas con los números pequeños en el extremo superior de la distribución de tallas. Además, entre los peces más grandes y viejos es muy probable que la diferencia entre las tallas medias de clases anuales adyacentes (u otros grupos que produzcan modas entre los ejemplares más pequeños) ya no sea suficientemente grande para generar modas distinguibles y que cualquier moda que se detecte sea un efecto artificial de las variaciones en el muestreo. Este método sólo es recomendable si ha de utilizarse como parte del paquete ELEFAN.
También hay objeciones a los otros métodos de determinación de modas que no utilizan más información que la frecuencia de tallas que se está analizando. Por tanto, una vez decidido que vale la pena avanzar más allá del simple examen visual de una frecuencia de tallas (o sea, cuando se haya aplicado este método y se hayan obtenido resultados interesantes), conviene pasar directamente a los métodos que toman en consideración más información. MacDonald y Pitcher (1979) presentan un procedimiento para estimar las medias y las desviaciones estándar de una serie de distribuciones normales de la frecuencia de tallas completa. Los cálculos se vuelven más fáciles y veloces si se sientan supuestos sobre la relación entre las desviaciones estándar (iguales, o crecientes según el tamaño) y si se dispone de estimaciones preliminares de las medias recabadas de otras fuentes, por ejemplo, determinando la edad de algunos peces. Este método es probablemente el mejor para extraer el máximo de información de una única muestra. Sin embargo, hay límites a lo que se puede hacer con una sola muestra. En la práctica, aunque vale la pena dedicar tiempo a estudiar una muestra, más valioso aún es reunir un mayor número de ellas. Entonces se podrán aplicar los métodos que se describen en las próximas secciones.
Otro método de separación de una frecuencia de tallas es el de Schnute y Fournier (1980). Estos autores utilizaron una forma modificada de la ecuación de von Bertalanffy para predecir la posición de las modas intermedias, dadas las modas más grande y más pequeña y su número total (es decir, los grupos de edad). También supusieron que existían dos o tres modelos de cambio de la desviación estándar con la edad, reduciendo así el número de grados de libertad. Este método no parece presentar ninguna ventaja particular con respecto a los otros que operan con una única distribución.
La extensión lógica de la separación de una frecuencia de tallas en las distribuciones normales de sus componentes es reconocer que un conjunto de distribuciones tomadas en diferentes momentos de una misma población, y específicamente sus medias y varianzas y las proporciones relativas de los diferentes componentes, deben ajustarse a un modelo (Pope, 1987; Rosenberg y Beddington, 1987; Sparre, 1987; Rosenberg y Beddington, 1988). Las proporciones correspondientes a componentes consecutivos deben decrecer de conformidad con la mortalidad total, y las medias deberían seguir cierta curva de crecimiento, mientras que las varianzas deberían ser parecidas, pero aumentando quizá con la edad.
Esto reduce mucho el número de parámetros que se ha de estimar (dos o tres para el crecimiento, según si se incluyen los efectos estacionales, uno menos que el número de clases anuales presentes para sus proporciones relativas, uno para la tasa de mortalidad, y uno, o tal vez dos, para las varianzas). Si el análisis se aplica a un conjunto de frecuencias de tallas, este número puede ser sustancialmente menor que el número de grados de libertad, y las probabilidades de obtener estimaciones razonables de la mayoría de estos parámetros son buenas. De esta manera, un único procedimiento puede generar estimaciones del crecimiento (y posiblemente de la mortalidad), dando al mismo tiempo estimaciones de la posición de las modas (véase la Sección 3.1.3 más adelante).
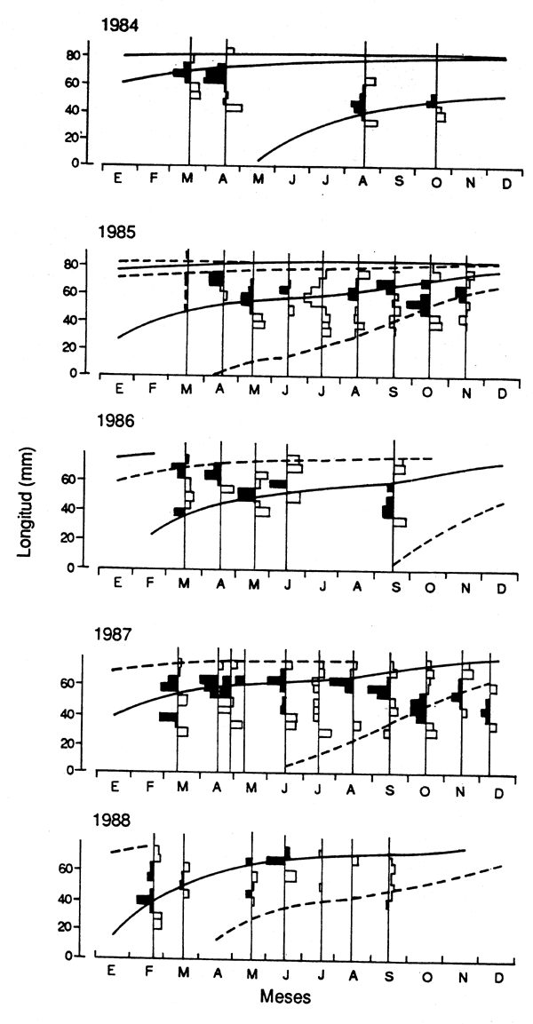
Otro método para localizar modas, que resulta útil cuando se analizan grandes volúmenes de datos reunidos regularmente, y que ha sido descuidado durante el reciente auge de los análisis complejos de un número relativamente pequeño de muestras, es el que podría llamarse método de las anomalías. Si se dispone de datos de varios años, se puede calcular el promedio de las frecuencias de tallas de todos los años. Entonces la frecuencia de tallas de cualquiera de los años se puede expresar como la desviación, o anomalía, con respecto a ese promedio global. Los máximos relativos corresponderán a las clases anuales particularmente fuertes, mientras que las débiles producirán mínimos relativos. En la Figura 3.2 se presenta un ejemplo típico, correspondiente a la población de bacalao en torno a la Isla Osos. La tasa de crecimiento de esta población se conoce bien gracias a los otolitos (alrededor de 10 cm por año entre los 45 y 75 cm); la figura se preparó para ilustrar el uso de los datos de talla para fines de pronóstico, pero muestra muy claramente la progresión de la moda debida a la poderosa clase anual de 1950, que define muy bien la curva de crecimiento.
Este método tiene una ventaja en comparación con el criterio anterior para distinguir las modas, por cuanto la separación entre las modas puede corresponder al crecimiento de varios años (por ejemplo, entre las buenas clases anuales de 1982 y 1985). Esto significa que la condición de que la separación ha de ser superior al doble de la desviación estándar menor puede cumplirse también para las edades más avanzadas, mejorando así la posibilidad de identificar modas hasta en los ejemplares más grandes. Otra ventaja es que si las desviaciones se expresan como porcentajes de la media, los valores serán en gran medida independientes de los efectos de la selectividad y la mortalidad (suponiendo que éstas sean constantes de año en año), y eso puede simplificar la interpretación, especialmente en las pesquerías con un alto grado de selección (por ejemplo, con red de enmalle). Este método debería ser particularmente valioso para los peces de lapso vital largo, sobre todo si la fuerza de las clases anuales es muy variable.
Una vez identificadas las modas con suficiente claridad para estar razonablemente seguros de que corresponden a una clase anual o a otro grupo independiente de peces que sea posible seguir de mes en mes (o con arreglo a algún otro intervalo de muestreo), las posiciones de las modas se pueden considerar como estimaciones de la talla media de ese grupo de peces y es posible ajustar a ellas una curva de crecimiento apropiada. La diferencia inmediata entre este procedimiento y el ajuste de curvas de crecimiento a los datos de tallas por edad obtenidos con determinaciones de la edad basadas en las escamas o los otolitos es que no existe una escala temporal absoluta. En términos de la ecuación común de von Bertalanffy:
lt = Linf {1-exp[-K(t-to)]}
no es posible obtener ninguna estimación del parámetro to. Este no es un problema grave, ya que to tiene poca significación biológica -no cabe pensar que un pez crezca exactamente de la misma manera a lo largo de toda su vida. El problema se puede resolver tomando una fecha arbitraria como momento 0, por ejemplo el 1° de enero precedente a la aparición de una moda entre los peces más pequeños. Esto funciona bien si se está siguiendo la progresión de una sola moda (es decir, una camada de peces). En la práctica, una muestra puede presentar diversas modas, y los datos de varios años pueden revelar varios grupos distintos. Si el muestreo de diferentes años es razonablemente bueno, debería ser posible relacionar las modas de años distintos con las mismas edades; por ejemplo, en todas las muestras tomadas en mayo habrá modas en torno a los 10–12 cm que se podrán asignar arbitrariamente a la edad 1, y así sucesivamente a medida que esas modas se sigan en muestras posteriores.
Si sólo se dispone de pocas muestras, habrá que encontrar otras soluciones. En su estudio original, Petersen (1891) asignó la edad 1 a la moda más pequeña, la 2 a la siguiente, etc. Pauly (en sus programas ELEFAN) y otros autores repiten las muestras a fin de obtener una serie más larga a partir de los datos de un solo año. Es decir, teniendo, por ejemplo, las observaciones de 1987, suponen que la distribución de tallas de 1988 será similar y repiten los datos de 1987 para seguir las modas de esos datos en los presuntos datos de 1988 (véase la Figura 3.3a). Los supuestos que entraña este procedimiento pueden no estar justificados, y si se cuenta con datos de varios años y se necesitan estimaciones separadas, es mejor seguir la misma camada de peces a lo largo de varios años (véase la Figura 3.3b).
La aplicación práctica de este método revelará pronto su mayor escollo, a saber, que mientras el cuadro que presentan los peces pequeños es claro y la tasa de crecimiento de éstos se puede determinar con bastante precisión, entre los peces más grandes las modas son menos evidentes y puede no estar claro qué edad deberá asignarse a una moda o, en otras palabras, cuál moda detectada entre los peces más grandes deberá correlacionarse con una determinada moda de los más pequeños. Lógicamente, al ajustar ecuaciones de crecimiento deberá darse más peso a las modas más pequeñas, pero aún no se ha elaborado un buen procedimiento estadístico para hacerlo.

Figura 3.2 Composición por tallas de las capturas anuales de bacalao extraidas por arrastreros ingleses en torno a la lsla Osos en el periodo 1950–1959. Estas se ezpresan como porcentajes de la composición por tallas media. Obsérvese la progresión de la moda debida a la fuerte clase anual de 1950.

Figura 3.3.a Utilización típica del programa ELEFAN para extender las muestras de un año (en realidad,sólo de septiembre a marzo) a un segundo año, aplicada a los datos originales (derecha) y a los datos reestructurados por ELEFAN (izquierda). Obsérvese que la curva ajustada está determinada en gran medida por la correclación de los peces grandes de octubre-noviembre con las modas dominantes en octubre-marzo (datos de Pauly, 1982).

Figura 3.3b Composiciones por tallas efectivas en cino años consecutivos, reestructuradas por ELEFAN (datos sobre Stolephorus heterolobus en las lslas Salomón, tomados de Rawlinson, 1989). Nótese que la distibución de un mes dado no es igual todos los años, y que las curvas ajustadas no siempre se continúan de un año a otro.
Una solución es la que ofrece el programa ELEFAN. La serie completa de programas ELEFAN, que abarca más que el mero ajuste de una curva de crecimiento a los datos de talla, está descrita en Pauly (1987). La información detallada sobre la aplicación de los programas, incluidos los discos de computadora con los programas, se puede solicitar al ICLARM, en Manila. Por lo tanto, esa información no se repetirá en este manual, donde nos limitaremos a describir, en los puntos apropiados, las diferentes partes del sistema ELEFAN. El programa ELEFAN 1, que fue la primera parte creada, examina distintos conjuntos de parámetros de crecimiento para la ecuación de von Bertalanffy, en la forma que tiene en cuenta las variaciones estacionales en el crecimiento, y los califica con arreglo al número de máximos relativos -identificados en el proceso anterior de suavizado- por los que pasa la curva descrita por cada uno de ellos. El conjunto que da el mejor ajuste, evaluado según la razón (suma de máximos explicada) : (suma de máximos disponible) puede considerarse la estimación mejor. Otra posibilidad consiste en representar esas puntuaciones de una serie de parámetros en una superficie de respuesta (véase el Cuadro 3.1) y elegir una estimación de manera más subjetiva, teniendo en cuenta otras fuentes de información. La ventaja de observar una tabla de este tipo es que proporciona una idea de la gama de valores que dan ajustes más o menos equivalentes.
| Longitud limitante Linf | |||||||
|---|---|---|---|---|---|---|---|
| K | 86 | 88 | 90 | 95 | 100 | 105 | 110 |
| ,14 | ,38 | ,30 | ,32 | ,52 | ,34 | ,10 | ,25 |
| ,16 | ,22 | ,61 | ,67 | ,68 | ,58 | ,43 | ,58 |
| ,18 | ,32 | ,68 | ,52 | ,58 | ,69 | ,64 | ,52 |
| ,20 | ,62 | ,58 | ,15 | ,65 | ,64 | ,67 | ,12 |
| ,25 | ,67 | ,69 | ,50 | ,42 | ,15 | ,42 | ,08 |
| ,30 | ,06 | ,02 | ,10 | ,02 | ,10 | ,31 | ,14 |
El procedimiento de suavizado del ELEFAN asigna diferentes puntuaciones a los máximos relativos de acuerdo con el grado de definición que tengan y con el número de peces presentes en los grupos de tallas, pero es probable que esa diferencia subestime el menor peso que debería asignarse a las modas correspondientes a los peces más grandes. Rosenberg y Beddington (1987) y otros autores han levantado otras objeciones teóricas y prácticas al programa ELEFAN. Algunas de ellas, como la posibilidad de una doble contabilidad de las modas más grandes, han sido eliminadas por revisiones posteriores del programa, pero otras siguen siendo válidas. El ELEFAN no debe considerarse como el último grito en este método para estimar el crecimiento, pero tiene una gran ventaja para el biólogo que trabaja sobre el terreno: es un programa que ya existe y que puede obtenerse fácilmente (el ICLARM de Manila lo facilita de forma gratuita), lo que permite aplicar el método sin necesidad de saber efectuar cálculos complejos o escribir programas de computadora. Además, ha sido ampliamente utilizado sin que se hayan obtenido resultados claramente desastrosos; nadie podrá reprocharle que emplee este programa, aunque sí sería del todo censurable que utilizara el ELEFAN y tratara luego las estimaciones obtenidas sin examinar el grado de exactitud que pueden tener, en qué medida concuerdan con otras observaciones y cuáles otras estimaciones podrían ajustarse a las observaciones casi igualmente bien (o incluso mejor, si se utilizaran otros criterios de ajuste).
Las curvas de crecimiento se pueden ajustar también mediante procedimientos que utilizan más información que la que aporta simplemente la posición de las modas. El más conocido es el análisis de la composición por tallas de Shepherd (SLCA) (Shepherd, 1987). Este método parte de la misma idea que el método del ELEFAN, es decir, califica distintos conjuntos de parámetros de crecimiento según el grado en que las modas predichas a partir de la curva teórica corresponden a las modas observadas. Sin embargo, Shepherd advirtió que, al presentar los datos de un conjunto típico de muestras, las modas no caen exactamente en la mitad del intervalo de tallas, y que entre los peces más grandes puede haber dos o más modas en un mismo intervalo. Esto puede constituir un problema serio en algunas aplicaciones del ELEFAN, en que las puntuaciones generadas entre las modas altas pueden llegar casi a no tener sentido. Shepherd ideó una prueba que mide la correspondencia general entre las predicciones y las observaciones a lo largo de toda la distribución de tallas. Sus puntuaciones se basan en la raíz cuadrada del número de ejemplares observado en cada grupo de tallas, en lugar de la presencia o ausencia de un máximo relativo utilizada por el ELEFAN, aunque cabe señalar que en este programa los máximos relativos se califican de una manera que se relaciona, entre otras cosas, con los números observados. La transformación en raíces cuadradas se puede justificar por el supuesto de que el número de individuos de una muestra que cae dentro de un determinado intervalo de tallas se distribuirá con arreglo a una distribución de Poisson. Esto conferiría cierta ventaja estadística al método. Sin embargo, el empleo de la raíz cuadrada constituye una transición común de estabilización de la varianza, y el supuesto relativo a la distribución no es esencial.
Básicamente, el método de Shepherd está encaminado a llevar al máximo la suma de los productos T(l,i) N1/2 (l,i) a lo largo de todos los grupos de tallas y de todas las distribuciones de tallas observadas, siendo N (l, i) el número de peces del grupo de tallas lésimo observado en la distribución de tallas iésima, y T(l, i) la función de puntuación. Esto se define como sigue: donde p es la constante pi, tmáx y tmín son las edades, según la curva de crecimiento que se está ensayando, en los límites superior e inferior del lésimo grupo de tallas en cuestión, t' es la media de tmáx y tmín, y ts es la fecha de la iésima muestra, medida como una proporción del año.

Una descripción algorítmica concisa del procedimiento sería la siguiente (Shepherd, 1987) :
Leer los datos
Seleccionar la serie de parámetros (K, Linf) que se utilizarán
Para cada valor de Linf….
Para cada valor de K….
Para to = 0 y 0,25
Poner en cero la puntuación
Para cada grupo de tallas….
Calcular las edades correspondientes a sus límites tmáx y tmín, y la diferencia dt
Calcular la función de difracción D = sen. p.dt/p.dt
Para cada distribución de tallas….
Calcular C = cos2 p (t' - ts)½
Calcular dS = D × C × N (l, i)
La siguiente distribución de tallas
El siguiente valor de grupo de tallas
El siguiente valor de to
Fijar A = puntuación para to = 0 Fijar B = puntuación para to = 0,25
Calcular la puntuación máxima para los valores corrientes de Linf y K, Smáx = (A2 + B2)½
Calcular to para obtener la puntuación máxima para los valores corrientes de Linf y K como to = arctg (B/A)/2p
El siguiente K
El siguiente Linf
Tabular los resultados.
En Morgan y Pauly (1987) aparece información más detallada sobre el programa, con un listado en el dialecto Microsoft del Fortran. Se observará que no es necesario ensayar todos los valores de to. Debido a la respuesta cíclica de la puntuación a la variación de to, basta calcular las puntuaciones de dos valores. Después se pueden calcular directamente el valor de to que da la puntuación máxima y la magnitud de ese máximo. Esto, lógicamente, reduce mucho la cantidad de cálculos necesaria.
El resultado de la aplicación del método SLCA es una tabla de puntuaciones para un conjunto de parámetros distintos (Cuadro 3.2).
| Valor de K (1/año) | |||||||
|---|---|---|---|---|---|---|---|
| Linf | ,14 | ,16 | ,18 | ,20 | ,22 | ,24 | ,26 |
| 100 | 8,9 | 5,2 | 16,5 | 24,0 | 27,5 | 31,4 | 32,6 |
| 110 | 4,6 | 16,2 | 23,9 | 30,7 | 32,2 | 31,7 | 22,7 |
| 120 | 14,8 | 23,3 | 29,9 | 34,5 | 30,5 | 26,7 | 21,7 |
| 130 | 21,9 | 27,5 | 32,9 | 31,4 | 24,7 | 25,8 | 19,7 |
| 140 | 27,4 | 35,3 | 27,6 | 27,7 | 24,7 | 17,6 | 13,9 |
| 150 | 34,4 | 29,2 | 29,1 | 24,1 | 18,3 | 13,6 | 9,8 |
Los resultados del Cuadro 3.2 son típicos porque presentan una hilera de puntuaciones altas y aproximadamente iguales que cruza la tabla en diagonal. Varias combinaciones de (K=0,14, Linf=150) a (K=0,26, Linf=100) dan casi la misma puntuación. Como señala Shepherd, hay poca base estadística para escoger entre estas soluciones. En lugar de buscar el conjunto de parámetros que casualmente dé, por una pequeña diferencia, la puntuación más alta (35, 3 en K=0, 16, Linf=140), probablemente sea mejor examinar la otra información que esté disponible para elegir el conjunto de parámetros más probable. Vale la pena observar, basándose en el cuadro 3 de Shepherd, que el mayor aporte a la puntuación de cualquier conjunto de parámetros lo hacen los peces pequeños (el 80 por ciento en el caso de los ejemplares de menos de 33 cm), lo que confirma que, debido a la confusión entre las modas adyacentes, los peces más grandes aportan poca información para determinar el crecimiento.
Tal como está, el método SLCA podría aplicarse a una única muestra, pero hay muchas más probabilidades de obtener resultados útiles si se aplica a una serie de muestras, especialmente si éstas están distribuidas a lo largo del año. Además, en su forma actual no toma en consideración la posible estacionalidad del crecimiento. Sin embargo, como señalan Rosenberg y Beddington (1988), basta introducir una pequeña modificación en la función de puntuación para incluir una función de crecimiento estacional. Con una modificación de este tipo cuando resulte conveniente, el SLCA es probablemente el mejor método para extraer estimaciones del crecimiento de un conjunto de muestras de tallas. Hay otros métodos que también se aplican a secuencias de muestras y que proporcionan al mismo tiempo estimaciones de la mortalidad (Sparre, 1987; Pope, 1987). Esos métodos se examinarán más adelante, en la Sección 3.2.
Otro método para estimar el crecimiento a partir de una serie de muestras es el de la matriz de proyección (Basson et al., 1988). Al igual que el del ELEFAN y el de Shepherd, este método ensaya distintos conjuntos de parámetros de crecimiento para encontrar el que da el mejor ajuste entre las frecuencias de tallas predichas y observadas. Difiere de ellos (sobre todo del de ELEFAN) en que atribuye más importancia al ajuste global que a la localización de las modas.
El principio es el mismo que el de una matriz de Leslie, pero utiliza vectores del número de individuos de cada grupo de tallas en lugar del número de ejemplares por edad. Dada una ecuación de crecimiento, como la curva corriente de von Bertalanffy, y una expresión para la desviación estándar de las tallas por edad, se puede determinar la proporción de peces del grupo de tallas j en el momento t + 1. Esto da la matriz de proyección.
Utilizando esta matriz y la distribución de tallas observada en la primera muestra, se puede calcular la distribución esperada en el momento de la segunda muestra. La excepción está dada por los peces más pequeños, reclutados después de la toma de la primera muestra; esto se puede solucionar estableciendo la esperanza en el mismo nivel que la frecuencia observada para las tallas más pequeñas.
La simulación presentada por Basson et al. (1988) indica que este método es eficiente ante una variación moderada de las tallas por edad. Cuando la varianza es grande existe el riesgo de sesgo, pero la magnitud de ese sesgo parece ser menor que con otros métodos.
Otro método para analizar una serie de frecuencias de tallas es el de MULTIFAN (Fournier et al., 1990), para el que existe un software comercial utilizable en computadoras personales producido por Otter software, Box 265 Nanaimo B.C. V9R 5K9 Canadá. Al igual que los otros métodos, se basa en la búsqueda del conjunto de parámetros que da el mejor ajuste entre las frecuencias de tallas observadas y esperadas. Este método se desarrolló hace muy poco tiempo, y es demasiado pronto para saber si presenta alguna ventaja particular con respecto a los demás procedimientos.
Hasta este momento hemos examinado solamente el ajuste de la curva de crecimiento simple de von Bertalanffy. Como señalaron Pauly y Gaschutz (1979), los peces no crecen siempre de manera uniforme a lo largo de todo el año, y a menudo se produce una aminoración del crecimiento durante el invierno. En el caso de los peces del lapso vital largo, no se perderá mucho haciendo caso omiso de este crecimiento estacional, pero cuando se trata de especies de vida corta el efecto puede ser considerable. Pauly y Gaschutz propusieron, por lo tanto, una modificación de la ecuación de crecimiento de la siguiente manera:
lt/Linf = 1 - exp { -K(t - to) + CK/2 sen2 p (t - ts)}
donde p es la constante pi; C se sitúa entre o y 1 y es una medida de la intensidad del efecto estacional; y ts es el “punto de invierno”, es decir, el momento del año en que el crecimiento es menor.
Puede haber otras formas de variación del crecimiento según la temporada. Por ejemplo, Rosenberg et al. (1986) han propuesto una función escalonada para el kril del Antártico, en la que el crecimiento es idéntico durante todo el verano y luego desciende a cero. Esta modalidad puede ser más fácil de manejar, pero existe poca información sobre la variación real del crecimiento y, en la práctica, cualquier modelo podría ser satisfactorio.
En la mayoría de los métodos de estimación del crecimiento analizados hasta aquí es posible tener en cuenta un efecto estacional de uno u otro tipo sin modificar los principios básicos. Por ejemplo, en el programa ELEFAN que utiliza la curva de Pauly y Gaschutz, basta encontrar el conjunto de valores de L, Linf, C y ts que dan la razón SME/SMD más alta, y lo mismo ocurre con el método de Shepherd. Eso aumenta el trabajo de cálculo, pero este problema se elimina utilizando alguno de los paquetes de software existentes. Un aspecto que tal vez sea más serio es que al duplicar el número de parámetros que se ha de estimar aumentan las posibilidades de introducir resultados falsos. Probablemente el mejor método consista en utilizar primero la ecuación de crecimiento simple, ver en qué medida la curva predicha se ajusta a las observaciones, y sólo si se advierte una desviación sistemática (por ejemplo, si los máximos relativos previstos tienden a situarse en tallas más grandes que las observadas en la primavera y en tallas más pequeñas en el otoño), proceder a utilizar una curva de crecimiento estacional.
Si se constata un efecto estacional sobre el crecimiento, el problema no termina ahí. Si una característica biológica de la población varía estacionalmente, es muy probable que otras también lo hagan. Cuando el crecimiento es rápido, la actividad biológica suele ser elevada, y las tasas de depredación pueden ser más altas en las estaciones de mayor crecimiento. También es probable que varíe la disponibilidad de peces para los artes de pesca, en especial para los tipos de artes que dependen de la actividad de los peces (como las trampas y las líneas). La mayor parte de estos efectos se producen en aguas templadas, pero afortunadamente la mayoría de las especies son de vida relativamente larga, por lo que es poco probable que se introduzcan errores importantes si se examinan los valores medios anuales.
Distinto es el caso de las especies de lapso vital corto, en que la mayor parte de una cohorte puede sobrevivir mucho menos de seis meses después del reclutamiento, por lo que el hecho de que éste se produzca al comienzo de una temporada de crecimiento rápido o lento genera una gran diferencia. Sparre (en prensa) ha señalado que la variación estacional puede originar un grave sesgo en muchas observaciones. Por ejemplo, si en una temporada hay un fuerte reclutamiento, la frecuencia de tallas de las capturas totales de esa cohorte no se ajustará a una curva de capturas estándar (véase la Sección 3.2.3), y las tallas correspondientes a los períodos en que la cohorte está creciendo lentamente estarán sobrerrepresentadas. De la misma manera, sobre todo si hay más de una cohorte por año, las claves edad-talla u otros métodos para convertir las tallas en edades pueden dar resultados poco concluyentes.
Sparre (en prensa) es un tanto pesimista en cuanto a la aplicación de métodos basados en la talla a las especies de vida breve cuando existe un marcado crecimiento estacional. Es probable que esté en lo cierto en lo que respecta a las técnicas que se aplican a datos integrados de todo un año, como el método de la curva de captura simple. En cambio, si los datos se dividen en períodos más cortos, por ejemplo de tres meses, muchas de las dificultades se pueden resolver. Por ejemplo, si la composición por tallas de las capturas de cada período trimestral se convierte en cohortes con ayuda de cualquiera de los métodos de conversión de tallas en edades, se obtendrá una especie de “composición por edades” para cuatro períodos consecutivos, que podrá tratarse (aparte de una diferencia en la escala) de manera muy similar a las composiciones por edades de cuatro años sucesivos en el caso de las especies de vida larga de aguas templadas.
En resumen, la existencia de variaciones estacionales en el crecimiento complica la aplicación de la mayoría de los métodos basados en la talla. Las técnicas que descansan en análisis de cifras anuales, y algunos de los paquetes de análisis más complejos, deberán utilizarse con cautela. Por el contrario, los métodos progresivos, que se aplican a períodos breves en los que existe poca ambigüedad en la relación entre talla y edad, deberían funcionar satisfactoriamente.
Incorporación de otra información.
Hasta este momento hemos dado por sentado que el crecimiento se estimará sólo examinando un conjunto de composiciones por tallas. Pero el científico pesquero rara vez se limita a eso; normalmente puede recurrir a otra información que le ayude en su tarea. La información más útil está dada por la observación directa de la edad de algunos ejemplares. Si bien algunas de las declaraciones en favor de los métodos que emplean la talla se basan en las dificultades para medir la edad, con frecuencia esta operación no es del todo inviable y es posible determinar la edad de algunos individuos. La técnica de contar los anillos diarios (Brothers, 1981; Campana y Nielsen, 1985) se ha demostrado factible en el caso de muchas especies ícticas para las que no servían los métodos tradicionales de determinación de la edad. Esto resulta particularmente valioso en el caso de los peces de vida corta, pero de todas maneras la perspectiva de contar varios cientos de anillos en cada ejemplar hace que el método sea poco atractivo para el muestreo en gran escala. Los datos obtenidos con experimentos de marcado también pueden ser útiles.
No toda la información adicional es igualmente valiosa. Suponiendo que sea posible seguir las modas entre los peces más pequeños, los diversos métodos basados en la talla darán buenas estimaciones de la tasa bruta de crecimiento (cm por mes) de esos peces. Hablando en términos de los parámetros habituales, se puede obtener una estimación razonable de KLinf, pero no de K y Linf por separado (véase la hilera que cruza las superficies de respuesta en los Cuadros 3.1 y 3.2). Es decir, la mera observación del ritmo al que aumentan de tamaño los peces pequeños no nos permite distinguir entre los ejemplares que se están aproximando lentamente a una talla grande (Linf alto y K bajo) y los que están alcanzando rápidamente una talla más pequeña.
La información más valiosa es, por lo tanto, la que aportan los ejemplares más grandes. Por ejemplo, el incremento de tamaño de los peces marcados no servirá de mucho si se refiere al crecimiento de ejemplares pequeños, comprendidos en la gama de tallas en que es fácil seguir la progresión de las modas (su principal valor, en la práctica, radica en dar cierta idea de si el marcado afecta al crecimiento). En cambio, el crecimiento de los peces marcados de mayor tamaño, que están por encima de la gama de modas identificables, es sumamente útil. De la misma manera, las determinaciones de la edad de peces pequeños no revisten gran valor, salvo cuando se trata de fijar la edad absoluta (es decir, de determinar el valor de to), mientras que el hecho de establecer si los ejemplares más grandes tienen, por ejemplo, 5 ó 10 años de edad puede ser de gran ayuda.
La combinación objetiva de dos o más conjuntos de datos de diferente tipo plantea problemas difíciles. Puesto que la estructura de error de (por ejemplo) la razón SME/SMD no se conoce, y en todo caso es probable que sea muy diferente de la de la distribución de las tallas individuales en torno a la curva de crecimiento media, no es fácil establecer un procedimiento estadísticamente riguroso. Morgan (1987) presenta un procedimiento semiobjetivo para combinar los resultados de un análisis del ELEFAN y un número limitado de determinaciones de la edad, llevando al mínimo la suma a SME/SMD + bp, donde p es la proporción de los pares observados de tallas por edad por los que pasa la curva de crecimiento (permaneciendo en el mismo grupo de tallas). Este método es subjetivo en cuanto hay que elegir una razón a/b, pero una deficiencia más seria es que no toma en consideración en qué medida la curva predicha se aparta de las observaciones, ni si esas desviaciones se ajustan a alguna pauta.
Otro procedimiento, aplicable al ELEFAN o a cualquier otro método comparable que produzca una superficie de respuesta con una hilera plana podría ser el siguiente:
Trace la curva de tallas por edad para tres o cuatro puntos (es decir, pares de valores de K y Linf) a lo largo de la hilera, seleccionándolos de manera que incluyan el punto con el mejor ajuste (por ejemplo, el punto en que la razón SME/SMD es más alta) y la gama más amplia posible de K y Linf sin descender demasiado en la hilera (por ejemplo, eligiéndolos entre los puntos con una razón SME/SMD no inferior a un 15 por ciento por debajo del máximo).
Trace las tallas por edad observadas a partir de las determinaciones de edad.
Ajuste la localización precisa de (i) o (ii) en la escala temporal (es decir, ajuste to) de manera que coincidan lo mejor posible en la parte correspondiente a los peces pequeños.
Determine cuál de las curvas del paso (i) se ajusta mejor a los puntos del paso (ii).
Si todo marcha bien, la inclusión de los datos adicionales permite descartar la mayoría de los conjuntos de valores alternativos y determinar uno que presente un buen ajuste a ambas fuentes de información. Más exactamente, dado que, debido a las incertidumbres de todos los datos pesqueros, ningún método puede darnos un resultado que indique que sólo un valor es correcto, los datos adicionales nos permiten reducir la combinación de valores posibles de la larga hilera resultante del programa ELEFAN (véase el Cuadro 3.1) a una pequeña zona de una parte de esa hilera.
El principio que rige este método se ilustra en la Figura 3.4, una aplicación a los datos de Lutjanus coccineus tomada de Morgan (1987). Los puntos y líneas verticales muestran la media de las tallas por edad y una desviación estándar en torno a esa media, determinada mediante la lectura de los otolitos (cuadro 1 de Morgan). Las dos curvas representan las curvas de crecimiento correspondientes a ambos extremos de la hilera de valores altos de SME/SMD del análisis del ELEFAN (cuadro 3 de Morgan), es decir K=0, 25 y Linf=86 Y K=0, 17 y Linf=105.
En este caso, ninguna curva del ELEFAN se ajusta a los datos derivados de los otolitos. Todos los valores de Linf del ELEFAN son más altos que el valor del orden de 70 cm que revelan los otolitos. O bien las lecturas de estos últimos son muy incorrectas, o el programa ELEFAN está dando una respuesta equivocada. La primera posibilidad no se puede descartar, pero, si los otolitos están en lo cierto, hay razones por las que el programa ELEFAN podría fallar. Los factores que pueden intervenir son dos. Primero, los peces son de vida larga, pero con un K relativamente alto, y también existe una variación considerable en las tallas por edad. Por lo tanto, un número apreciable de tallas están cercanas a sus Linf individuales, y muchos de éstos pueden ser superiores al Linf medio de la población. Segundo, todos los grupos de tallas por encima de 50 cm (de una gama de 15 a 80 cm) comprenden varios grupos de edad. Puede haber modas entre estos peces más grandes, pero no serán las modas correspondientes a un único grupo de edad. El resultado es que aunque el ELEFAN estima razonablemente bien la tasa de crecimiento de los peces más jóvenes (indicada por la pendiente de las curvas hasta la edad 5 approximadamente), Linf estará seriamente sobreestimada.
Lo que nos interesa aquí no es destacar los puntos débiles de un método particular en una determinada situación, sino hacer hincapié en la importancia de utilizar el mayor número posible de métodos y examinar luego los resultados de tal manera que la congruencia o incongruencia de los diferentes criterios salte claramente a la vista. Para ello, lo más conveniente será probablemente una presentación gráfica como la de la Figura 3.4.
Si la mortalidad es alta, los peces grandes serán escasos; si es baja, serán más abundates. Está claro que la composición por tallas de una población nos indica algo sobre la tasa de mortalidad de esa población. Pero reflexionando un poco más se comprenderá que la señal acerca de la mortalidad está en gran medida confundida, en sentido estadístico, con información relativa a los parámetros de crecimiento. Obviamente, si Linf es más grande, habrá más peces de gran tamaño que si Linf es pequeño. Además, si K es grande y la mortalidad total Z es reducida, muchos peces vivirán lo suficiente para completar buena parte de su crecimiento, y su distribución por tallas presentará muchos individuos cercanos a Linf. Por el contrario, si Z es grande y K es pequeño, y si los peces entran en la pesquería cuando aún son pequeños en comparación con Linf, muchos morirán con un tamaño correspondiente apenas a una pequeña parte de Linf. La frecuencia de tallas se desplazará hacia la talla en la primera captura, lc. Así pues, cabe prever que la talla media l se verá más afectada por la razón Z/K que por Z o K separadamente. Esto deberá tenerse presente al interpretar los resultados, sobre todo dado que en muchos casos K no se conoce bien. En parte por este motivo, varios de los métodos que se describen a continuación expresan sus resultados en términos de la razón Z/K.

Figura 3.4 Comparación de curvas basadas en la talla con datos de edad. La figura se basa en los datos relativos a Lutijanus coccineus presentados por Morgan (1987) y muestra: (a) las curvas de crecimiento predichas sobre la base de los extremos (K = 0,28,Linf =86 y K = 0,35,Linf = 102) de La meseta en la presentación de la razón SME/SMD del ELEFAN, (b) las tallas medias por edad observadas, y una desviación estándar a cada lado basada en las lecturas de otolites (líneas verticales).
Hay varios métodos que se basan esencialmente en la observación de la forma de la composición por tallas, por ejemplo utilizando curvas de captura construidas con la talla media o con datos de talla corregidos. Todos ellos tienen una importante característica en común con los métodos análogos basados en la edad que examinan la forma general de la composición por edades, como las curvas de captura originales de Ricker (1975). Ambos tipos presuponen una situación estable, con unos niveles de mortalidad y reclutamiento que se han mantenido constantes durante un cierto período antes de la observación, y las estimaciones obtenidas se refieren a ese período y no al instante en que se tomaron las muestras. Con los datos de edad es posible estimar la mortalidad para un período relativamente breve, por ejemplo entre 1986 y 1987, comparando la abundancia (medida, tal vez, por la cpue ) de ejemplares de 6 años de edad (por ejemplo) en 1986 con la de peces de 7 años de edad en 1987. Con los datos de talla rara vez es posible seguir el mismo grupo de peces durante un período suficiente para estimar la mortalidad de esta forma.
Una importante excepción la constituyen las especies de vida corta y crecimiento rápido que tienen un período de reproducción breve, como algunos camarones peneidos. Las frecuencias de tallas permiten distinguir la clase anual de nuevos reclutas de los animales más viejos durante varios meses después del reclutamiento, hasta que, con la desaceleración del crecimiento, los reclutas más grandes comienzan a coincidir en gran medida con los animales de más edad. Observando la merma en la abundancia de este grupo independiente se obtendrá una estimación de la mortalidad. En principio, esto se puede efectuar examinando de la disminución en la captura por unidad de esfuerzo (cpue). Sin embargo, es muy posible que la capturabilidad varíe estacionalmente. En ese caso, una merma de la cpue al final de la temporada debido a la menor capturabilidad podría imputarse equivocadamente a la mortalidad.
En la Figura 3.5 se presenta un ejemplo particularmente favorable, que muestra la distribución de tallas de las hembras de Penaeus semisulcatus capturadas cada mes durante la campaña del camarón de 1985/86 en Kuwait. En ella se observa que las capturas corresponden abrumadoramente a una sola cohorte de camarones. En julio hay algunos ejemplares muy grandes que podrían ser sobrevivientes del año anterior, pero a menos que su tasa de mortalidad sea muy diferente de la de la cohorte principal, no hay problema en incluirlos en los análisis. La conclusión importante es que después de julio no parece haber ningún grado significativo de reclutamiento y que, por lo tanto, nos encontramos ante un grupo independiente de animales; la merma de sus cantidades relativas, calculada mediante la captura por unidad de esfuerzo, debería, pues, proporcionar una estimación directa de la mortalidad. Esto puede parecer muy obvio, pero es fácil que se pasen por alto ocasiones en que unas condiciones favorables permiten obtener respuestas fiables con métodos muy sencillos.

Figura 3.5 Composición por tallas mensual de las capturas de P. semisulcatus en Kuwait. Obsérvese que se trata de un solo grupo de camarones, sin incorporación de nuevos reclutas después de julio.
Un método simple que utiliza la talla media es el de Ebert (1973, 1987). Este método parte de la observación de que inmediatamente después del reclutamiento de una clase anual en una pesquería la talla media de ésta disminuye, luego aumenta constantemente durante el año siguiente a medida que los peces van creciendo, hasta que vuelve a caer cuando se recluta la siguiente clase anual. El alcance de la disminución dependerá del patrón de crecimiento y de la proporción que los nuevos reclutas representen con respecto a la población total, o sea, de la mortalidad. Damm (1987) ha propuesto modificaciones a este método, y si los supuestos biológicos son válidos, el procedimiento dará estimaciones tanto del crecimiento como de la mortalidad. Sin embargo, no es habitual que el reclutamiento se produzca de manera tan abrupta como presupone el método -es más frecuente que se distribuya a lo largo de varios meses- y, aunque así ocurriera, normalmente será difícil cerciorarse de que la muestra recoja reclutas y peces más viejos de manera no sesgada. De hecho, el propio Damm ha señalado que “es decepcionante que en la vida real no se hayan podido encontrar datos a los cuales aplicar este método”. Probablemente este procedimiento sólo sea útil en casos excepcionales.
El método de Ebert llama la atención sobre el hecho de que si el reclutamiento es estacional, la talla media, y otras características de la frecuencia de tallas, variarán estacionalmente. Por lo tanto, aplicar cualquiera de los métodos que se describen a continuación a una única muestra, basándose en el supuesto implícito de que es representativa de la población durante todo el año, puede ser peligroso. Hoenig (1987) ha demostrado que el sesgo que se introduce al utilizar la expresión simple de Beverton y Holt para la talla media con muestras tomadas justo después de una breve temporada de reclutamiento puede ser muy grande (el 50 por ciento o más con tasas de mortalidad altas). Este autor ofrece una fórmula alternativa, pero la solución mejor es distribuir las muestras a lo largo del año.
La mayoría de las aplicaciones de la talla media para estimar la mortalidad comienzan con la expresión de Beverton y Holt (1956)
Z/K = (Linf - l1)/(l1 - lc), (3.1)
donde l1= talla media y 1c= talla en la primera captura. Esta fórmula es comparable a la expresión análoga para la edad media Z = l/(t - tc). El comportamiento de este estimador y de estimaciones parecidas ha sido examinado por diversos autores. Un estudio fundamental es el de Laurec y Mesnil (1987), quienes utilizan una poderosa técnica matemática (la expansión de Taylor) para llegar a varias conclusiones importantes. Una de ellas es que si las frecuencias de tallas se dividen en grupos grandes, la talla media de los peces de un intervalo de tallas no corresponderá, en general, al punto medio del intervalo. Los autores señalan que el uso de grupos incluso moderadamente amplios (5 cm en el caso de una especie que alcanza los 70 cm) puede introducir un sesgo apreciable (el 20 por ciento o más con valores de Z moderadamente altos) en las estimaciones de la talla media y de Z (o Z/K) obtenidas con la fórmula de Beverton y Holt que utiliza datos agrupados. Aun con grupos de 1 cm se produce algo de sesgo, pero es poco probable que éste alcance una magnitud que plantee problemas prácticos.
Este resultado sugiere que los datos de talla deberían reunirse, registrarse y tabularse con un mayor grado de detalle que el que se ha aplicado hasta ahora. Si el uso de mediciones más precisas no constituye un problema (por ejemplo si se dispone de una buena instalación para el procesamiento de datos), las tallas deberían registrarse con mucho detalle. Sin embargo, como señalan Laurec y Mesnil en relación con este y con la mayoría de los otros análisis, la estructura detallada de los datos no es importante y la cuestión del sesgo se puede resolver de otras maneras, que incluyen la reclasificación de los datos en grupos suavizados pero en pequeña escala (por ejemplo, la reordenación en grupos de 1 cm de datos presentados en grupos de 5 cm mediante interpolación gráfica).
Laurec y Mesnil establecen también una base cuantitativa firme para otro problema común, a saber, hasta qué punto los análisis deberían aproximarse a la longitud limitante Linf. Llegan a la conclusión de que, si bien en general la estimación de Beverton y Holt es resistente a la posible variación de los parámetros de crecimiento, cuando los cálculos incluyen grupos de tallas cercanos a Linf pueden surgir problemas. Como regla empírica, probablemente sea mejor no llevar el análisis más allá del punto correspondiente al 70 por ciento de Linf, es decir, utilizar como límite inferior del grupo de tallas más grande, en las curvas de captura basadas en datos de talla corregidos, un valor conveniente cercano al 70 por ciento. Cabe señalar que este es un límite algo más bajo que el que se utiliza en muchos análisis actuales, lo que parece indicar que los resultados de algunos de esos análisis, en lo que respecta a la parte superior de la distribución de tallas, deberían tratarse con cierta cautela.
Una modalidad ligeramente diferente de la fórmula de Beverton y Holt es la que propusieron Ssentongo y Larkin (1973), quienes demostraron que, bajo ciertos supuestos, un estimador no sesgado de la varianza mínima de Z/K es (N - 1)/sum (Xi), donde N es el tamaño de la muestra y xi = ln(Linf-1c)/(Linf-li), siendo li la talla del iésimo ejemplar medido. Este método ha sido perfeccionado por Crittendon y Gallucci (1988), pero es menos útil que otros métodos para las muestras grandes y cuando lc está mal definida.
Los problemas que plantea la aplicación práctica de la ecuación de Beverton y Holt (ecuación 3.1) han sido examinados principalmente por Wetherall et al. (1987), quienes observaron que este método tiene el problema de que no se conocen los valores de Linf y de lc. Propusieron diversos métodos alternativos para analizar la composición por tallas, varios de los cuales pueden proporcionar, en principio, una estimación directa de Linf. Aunque el tamaño del ejemplar más pequeño capturado es fácil de observar, ése no es el valor de lc que se debe utilizar en esta fórmula. La exposición de los peces a la captura, es decir el valor de F en una determinada talla, aumenta desde casi cero, para el tamaño más pequeño capturado, hasta el valor total de F, y lo que se requiere es la edad (o talla) media en la primera captura, que es aproximadamente igual a la edad (o talla) en que F es la mitad de su valor total. Algunos de estos métodos, y algunos de los análisis estadísticamente rigurosos que se presentan en el documento, son particularmente apropiados para analizar muestras pequeñas, por ejemplo, una única muestra tomada en el marco de un breve proyecto de investigación. La necesidad de preocuparse, por ejemplo, por un posible sesgo del orden de l/n, donde n es el tamaño de la muestra, es mucho menor cuando se trata de analizar los resultados de un programa continuo de seguimiento de una pesquería comercial.
De acuerdo con Powell (1979), estos autores señalan que, en el caso general en que los peces crecen a ritmos diferentes con diferentes valores de Linf, si se supone que esa variación individual puede describirse mediante una distribución normal de Linf en torno a la media de la población con una varianza s2, la media y la varianza de la distribución de tallas estarán dadas (con algunos cambios en la notación) por:
media = Linf - [(Z/K) / (Z/K +1)] [Linf - lc] (3.2)
varianza = [l/(Z/K + 2)] {(Z/K) (Linf-lc)2 /(Z/K + 1)2 + s2} (3.3)
A veces puede disponerse de una estimación de la varianza de Linf, obtenida, por ejemplo, a partir de algunas determinaciones directas de la edad. Lo más frecuente es que no se cuente con ella, pero si, como es probable, la dispersión de las tallas de la muestra es mucho mayor que la dispersión probable en Linf, se puede hacer caso omiso del segundo término de la fórmula para la varianza. Si consideramos la media y la varianza observadas iguales a estos valores previstos, obtenemos dos ecuaciones para las cantidades desconocidas Z/K y Linf. Esto da las soluciones
Z/K = 2 S2/{(l' - 1c)} - S2 (3.4)
y Linf = l' + Z/K(l' - lc) (3.5)
donde l' es la talla media de los peces más grandes que lc, y S2 es la varianza de la muestra.
Aún queda el problema de que lc está mal definida, y justo por encima del ejemplar más pequeño de la muestra habrá una gama de tallas, cuya amplitud dependerá de la selectividad del equipo con que se efectúe el muestreo (comercial o de investigación), para la cual la muestra no será representativa de la población y en la que el valor de F y, por lo tanto, probablemente también de Z, será menor que para los peces plenamente reclutados. Wetherall et al. (1987) resolvieron este problema observando que la expresión para la talla media de los peces más grandes que lc es válida para cualquier valor de lc. También señalaron que la expresión para la media es lineal en lc, es decir, tiene la forma
l' = a + blc
donde a = Linf {1 + (Z/K)} y b = (Z/K)/(1 + Z/K). Por consiguiente, si los valores de l' (=l'x) se calculan utilizando sólo la parte de la composición por tallas que es superior a lx y luego se representan gráficamente respecto de lx, el resultado debería ser una línea recta, con pendiente b y ordenada en el origen en el eje x, a. A partir de estas estimaciones de a y b se pueden obtener estimaciones de Linf y Z/K. En la práctica, especialmente si Z/K es grande, puede ser conveniente trazar lx' - lx respecto de lx' (véase la Figura 3.6). Esto ofrece dos ventajas. En primer lugar, facilita la detección por inspección visual del grado en que el trazado se desvía de la linealidad perfecta. En segundo lugar, la ordenada en el origen en el eje x es una estimación directa de Linf, y el valor recíproco de la pendiente es l + Z/K, lo que permite una interpretación más rápida de los resultados.
Un método que presenta cierto parecido con este ha sido propuesto por Gulland (en preparación). Al igual que en el método de la regresión de Wetherall et al., se calcula la talla media lx' de todos los peces más grandes que lx, pero ese valor se utiliza luego para obtener una estimación de Z/K, - (Z/K)x, directamente a partir de la ecuación de Beverton y Holt. Esta estimación se puede representar entonces gráficamente respecto de lx. Si los supuestos en que se basa el modelo se cumplieran, este trazado debería ser una línea horizontal igual al valor verdadero de Z/K. En la práctica, no lo será, y las desviaciones respecto de esa expectativa darán cierta información sobre las fallas de los supuestos. Una de ellas es casi universal. Los peces pequeños estarán subrepresentados, de manera que para los valores de lc en el extremo inferior de la distribución de tallas (por debajo del tamaño de pleno reclutamiento) la talla media de la muestra será mayor que la de la población, y Z/K estará subestimado. La primera parte del trazado será, pues, una curva ascendente, hasta que se alcance el tamaño de pleno reclutamiento.
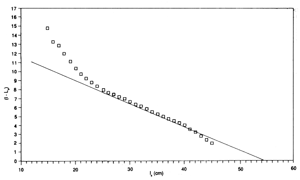
Los supuestos fallarán también, probablemente, entre los peces más grandes. Si éstos crecen a ritmos diferentes (es decir, con diferentes Linf), a medida que lx se aproxima a Linf los ejemplares utilizados en el cálculo serán, en medida creciente, aquellos cuyo Linf exceda de la media de la población. O sea, el uso del Linf de la población dará un Linf demasiado bajo para los ejemplares de la muestra y una subestimación de Z/K. La utilización de un valor de Linf que sea diferente del valor de la población tendrá un efecto análogo - las subestimaciones de Linf darán una subestimación de Z/K. Este efecto aumentará a medida que aumente lx, de forma que el trazado se inclinará hacia abajo. A la inversa, el uso de un Linf demasiado alto generará un trazado curvado hacia arriba para las tallas más grandes. Esto proporciona un método, aunque subjetivo, para estimar Linf: se ensayan distintos valores hasta encontrar uno que dé un trazado aproximadamente plano en la parte principal de la composición por tallas; el valor de Z/K podrá leerse entonces del gráfico (véase el ejemplo de la Figura 3.6, preparado con datos sobre el newaiby en Kuwait).

Figura 3.6 Gráfico de l-lc para el newaiby de Kuwait, siendo l = la talla media de los ejemplares más grandes que lc. Nótese la relación aproximadamente lineal en la gama central, y la ordenada en el origen en lc = 54, una estimación de Linf (datos utilizados con autorización de Instituto de Kuwait para la Investigación Cientifica).

Figura 3.7 El valor de Z/K, estimado por (Linf-l)/(l-lc), represntado gráficamente respecto de losvalores límite de Linf entre 45 y 70 cm. Datos relativos al Lutjanus coccineus desembaracado en Kuwait en 1983 (utilizados con autorisación del Instituto de Kuwait para la Investigación Científica). Obsérvese la parte central relaticamente plana en la curva correspondiente a Linf = 55 cm.
Si no se encuentra ningún valor que genere un trazado plano, significa que los supuestos del modelo no se cumplen y el método no se puede utilizar -y probablemente no sirva tampoco ninguno de los otros métodos parecidos. Es posible que el crecimiento no se ajuste a la teoría de von Bertalanffy, pero la razón más probable es que la mortalidad no sea constante, o que las capturas no reflejen la población, debido, por ejemplo, al uso de un arte altamente selectivo. La Figura 3.8 ilustra los resultados de un intento de aplicar el método a las capturas de zobaidy (Pampus argenteus) de Kuwait. Estas capturas se pescaron con red de enmalle, un arte que puede considerarse sumamente selectivo.