En las secciones precedentes hemos analizado el acopio de datos y la estimación de los parámetros de crecimiento y mortalidad total. Aunque se trata de pasos indispensables en casi todas las actividades de evaluación, en sí mismos no proporcionan evaluaciones, en el sentido de datos sobre el estado de las poblaciones, el impacto de la explotación en ellas y los efectos de otras posibles políticas para el futuro desarrollo u ordenación de la pesquería. Esta afirmación sobre la naturaleza de la evaluación sugiere que el proceso puede dividirse en tres fases: primero, la simple determinación, con alguna indicación de su magnitud, de las repercusiones de la explotación pesquera en la población; segundo, la traducción de esta información cualitativa en términos cuantitativos, tales como la determinación de la relación entre el rendimiento por recluta y el esfuerzo de pesca, que llevarán a la formulación de orientaciones estratégicas a largo plazo; y, tercero, la prestación de asesoramiento táctico, por ejemplo, sobre el nivel de la captura total permisible para el año siguiente.
La primera fase consiste en detectar en la población algún tipo de señal provocada por un cambio en la intensidad de pesca. Tal señal puede ser de dos clases: cambios en la abundancia o en la composición. El primer efecto puede detectarse si se observa una captura diversa por unidad de esfuerzo en la pesquería comercial, o, menos frecuentemente, a partir de algún tipo de reconocimiento. En ambos casos, la información sobre la talla no hace al caso. El segundo tipo de efecto resultará patente porque a un aumento de la explotación corresponderá una mayor mortalidad, que se traducirá en una disminución relativa de los ejemplares más viejos y, a menos que los peces no crezcan mucho después de su reclutamiento en la pesquería, de los ejemplares más grandes.
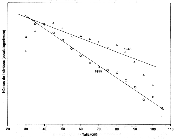
Por consiguiente, en casi todas las pesquerías, una señal simple de explotación intensa es un cambio en la talla de los peces. Las Figuras 4.1 y 4.2 muestran los cambios en la composición por tallas de las capturas de platija en el Mar del Norte y de merluza al oeste de las Islas Británicas, como resultado del cese casi completo de la actividad pesquera durante las dos guerras mundiales. Estos son ejemplos típicos de los efectos, aunque quizá los revelen más claramente que la mayoría de los conjuntos de datos, debido a los grandes cambios que se produjeron en la intensidad de pesca durante un breve período. También son ejemplos típicos en cuanto que se trata de dos cambios muy marcados. Como era de prever, las frecuencias de tallas en el período posterior a la guerra muestran un limbo a la derecha más alargado, lo que indica una mayor supervivencia. También hay un cambio en el limbo de la izquierda: los ejemplares muy pequeños en las capturas son mucho más escasos que en los perídos de explotación intensiva previos a la guerra.
El cambio entre los peces más pequeños no se explica fácilmente sólo por los cambios en la mortalidad, sino que tiene que haber alguna modificación en el patrón de entrada en las capturas, o quizá más exactamente, en los desembarques. Los datos de la merluza, y probablemente también los de la platija, se refieren a los desembarques comerciales, y la escasez relativa de ejemplares pequeños podría, en parte, reflejar el mayor descarte de esos ejemplares, puesto que abundaban los de mayor tamaño. Podría también deberse a un cambio de caladeros, a un desplazamiento hacia otras áreas donde abundaban peces más grandes, pero que no resultaban atractivas en los períodos de explotación intensa. Cualquiera que sea la explicación exacta, el resultado es que el comportamiento de los pescadores ha agrandado la señal (el cambio en la composición por tallas) que ha producido en la población la variación de la intensidad de pesca. De esta manera, la composición por tallas de los desembarques se ha vuelto más sensible a los efectos de la pesca, aunque tal vez proporcione una estimación sesgada de la magnitud del efecto.
A la hora de interpretar esta señal hay que proceder con cuidado, especialmente en las poblaciones que pueden ser objeto de variaciones naturales en el reclutamiento, y también cuando las observaciones abarcan solamente un breve período de tiempo. Garcia y Josse (1988) señalan que en estas pesquerías, si el último reclutamiento ha sido escaso, la pesca puede concentrarse en los ejemplares más viejos (los supervivientes de un reclutamiento anterior abundante), por lo que la frecuencia de tallas incluirá muchos peces grandes e indicará una tasa de mortalidad baja y un estado saludable de la pesquería. Por el contrario, si el último reclutamiento es abundante, la captura se concentrará en los ejemplares pequeños y la frecuencia de tallas revelará una tasa de mortalidad alta y una pesquería en precario estado. El resultado es que durante las fases de aumento y disminución de una pesquería oscilante se dispone de frecuencias de tallas que se parecen mucho a las de las poblaciones intensa y ligeramente explotadas (obsérvese la Figura 4.3 y compárese con las Figuras 4.1 y 4.2). Como señalan Garcia y Josse, son pocas las pesquerías que se hallan en equilibrio y una evaluación aislada, ya sea de la composición por edades o tallas o de cualquier otra característica de la pesquería, no indica necesariamente unas condiciones de equilibrio. En la práctica, debería ser fácil, sobre la base de la historia de la pesquería (tendencias en la captura y en los índices disponibles de la actividad pesquera -los complicados cálculos para medir el esfuerzo de pesca no son necesarios para esta finalidad), determinar si la diferencia entre las dos composiciones por tallas refleja los efectos de la pesca o de las fluctuaciones naturales.

Figura 4.1 Composición por edades (las dos figuras superiores) y por tallas (fiqura inferior) de la platija del Mar del Norte, según muestras tomadas inmendiatemente antes y después de la Primera Guerra Mundial (datos de Bannister, 1977). Obsérvese que hay un desplazamiento hacia la derecha desués de la guerra, y no sólo un aumento de los ejemplares más viejos y grandes.

Figura 4.2 Composición por tallas de la merluza desembarcada por arrastreros ingleses en 1946, apenas terminada la Segunda Guerra Mundial, y en 1995, tras un período de renovada explotación intensiva. La diferencia entre las pendientes se consideró un índice del aumento de la mortalidad total(datos tomados de Gulland, 1956).

Figura 4.3 El peligro de las evaluaciones aisladas en una pesquería fluctuante. Obsérverse la diferncia entre las curvas de captura (figura central) en diferentes puntos del ciclo (Gracia y Josse, 1988).
De ahí que pueda ser sumamente valioso incluso un examen muy simple de las variaciones en la composición por tallas durante un período de cambio de la intensidad de pesca. Los datos sobre la talla en estos ejemplos confirman, de manera totalmente independiente, la impresión ya recabada de las estadísticas sobre las capturas de que las poblaciones habían llegado a un estado de explotación muy intensa al comienzo de cada guerra. En el caso de la merluza, los datos de talla indican también que en 1955 la presión de pesca había alcanzado un nivel superior al del período entre las dos guerras. Los datos de talla revelan igualmente cambios en las prácticas pesqueras, que condujeron a una menor captura de los ejemplares pequeños. Tal vez éstas no sean evaluaciones en el sentido cuantitativo, pero son con todo valiosas conclusiones, tanto en sí mismas cuanto por el hecho de que indican el camino para hacer evaluaciones cuantitativas.
La talla media del pescado en la captura constituye, a falta de análisis más detallados, una medida simple para vigilar las poblaciones. Uno de los primeros ejemplos es el de Henderson (1972), que examinó los datos de una pesquería de trucha en Colombia (Figura 4.4). Durante los casi veinte años que abarcan los datos se observó una constante disminución de la talla media, con dos períodos de cambio relativamente pequeño, señalados con las líneas de trazos. Este hecho sugiere sin lugar a dudas una creciente intensidad de pesca, conclusión a la que no se habría llegado a partir de otras fuentes disponibles. El examen de la talla media (sobre la base de muestras regulares, aunque no sean grandes) debería utilizarse para vigilar el “estado de salud” de todas las pesquerías, aun cuando no haya ni tiempo ni recursos para llevar a cabo un verdadero programa de evaluación de poblaciones.
Una evaluación a largo plazo, encaminada a generar orientaciones sobre las relaciones medias en situación de equilibrio entre la intensidad y selectividad de la pesca y las capturas, se tendrá que basar en una u otra de las familias estándar de modelos (modelos de producción o de agrupación dinámica). Los datos de talla (como los de edad) no tienen normalmente utilidad directa si se aplican los modelos de producción, aunque hay excepciones. Csirke y Caddy (1983) señalaron que la relación estándar entre el esfuerzo de pesca y la captura a largo plazo podía reelaborarse para establecer la relación entre la captura y la mortalidad total. Es decir, a partir de la relación
C = af + bf2 (4.1)
donde C = captura, f = esfuerzo y a y b son constantes, y estableciendo que Z = F+M, y F= qf, tenemos que
C = (a/q) (Z-M) + (b/q2) (Z-M)2 (4.2)
Así pues, si la captura de un determinado período se representa gráficamente en relación con la mortalidad total estimada de ese período, el resultado debería ser una parábola, análoga a la obtenida de la gráfica más usual de la captura respecto del esfuerzo de pesca, pero desplazada hacia un lado, de manera que intersecte el eje x en Z = M, asícomo en algún valor alto de Z. Este criterio puede aplicarse a cualquier conjunto de datos de talla del que se hayan obtenido los valores de Z/K por alguno de los métodos descritos anteriormente.
Este método es engañosamente atractivo, pero tiene sus problemas. La experiencia recabada de las poblaciones que han sido objeto de grandes variaciones en el esfuerzo de pesca sugiere que la relación entre la captura y el esfuerzo rara vez es una parábola, sino que suele descender de manera más gradual a niveles altos de esfuerzo. La relación, ya sea parabólica o de otro tipo, sólo es válida para las poblaciones en equilibrio, de manera que, en rigor, el método sólo se puede aplicar a una serie de períodos en que el esfuerzo de pesca se haya mantenido constante, mientras que en la mayoría de las poblaciones el esfuerzo cambia continuamente. Si ha ido aumentando, es probable que la captura del año en curso sea mayor de lo que hubiera sido en una situación de equilibrio con el nivel corriente de esfuerzo. Este último problema puede compensarse en parte por el hecho de que la tasa de mortalidad estimada a partir de los datos de talla correspondientes, por ejemplo, a 1987 representará probablemente una medida de la mortalidad media de los últimos años, y no de 1987, pero es poco probable que el balance sea exacto. El mismo problema se presenta con el método normal de aplicación del modelo de producción, pero para resolverlo se han elaborado varios métodos, a partir del de Gulland (1961) que considera el esfuerzo medio durante un período anterior.
El mayor problema al aplicar el método de Csirke y Caddy consiste probablemente en ajustar la curva teórica a un conjunto de observaciones. Ajustar una parábola o cualquier otra relación marcadamente no lineal es siempre difícil, y los problemas estadísticos aumentan por la probabilidad de que haya un error considerable en la variable independiente (Z/K), así como una variación natural en la captura. Es siempre muy útil tener en cuenta otros métodos de evaluación, pero en este caso los resultados deberán tratarse con suma cautela, a menos que la gráfica de la captura en función de Z/K arroje una relación muy clara.
Los datos de talla son muy adecuados para muchas variantes de los modelos de agrupación dinámica. La formulación más común de este modelo es la de Beverton y Holt (1957). En su forma más simple se supone que el reclutamiento es constante, o independiente de la población adulta, y la evaluación se limita a observar cómo el rendimiento por recluta (Y/R) varía en función de la intensidad de pesca y la talla en la primera captura. Su expresión para el rendimiento por recluta puede reformularse de la siguiente manera simplificada (Beverton y Holt, 1964):

Figura 4.4 Cambios en el peso medio de la pesquería colombiana de trucha, como un índice de la intensidad de pesca(Henderson, 1972).
Y/R = aE(1 - c)M/K X
Sum{Un(1-c)n/[1+n(K/M) (1-e)]} (4.3)
donde E es la tasa de explotación F/Z; a es una constante; c es la talla relativa en la primera captura lc/Linf; n es una variable ficticia; la suma abarca los valores 0 – 3; y los valores U son +1, -3, +3 y -1 para los valores de n entre 0 y 3.
Esta expresión deja en claro que las relaciones básicas entre Y/R y la intensidad de pesca o la talla en la primera captura dependen sólo de tres razones. Una, M/K, es característica de la población íctica, y las otras dos, E (=F/Z) y c (=1c/Linf), quedan determinadas por la intensidad de pesca y la talla de la primera captura. Como c se refiere directamente a la talla, y la mayoría de los métodos basados en la talla para estimar la mortalidad expresan sus resultados como razones del tipo de Z/K, está claro que esta formulación puede utilizarse casi inmediatamente una vez que los parámetros de crecimiento y mortalidad se hayan estimado como se indica en el Capítulo 3.
Además de expresar el rendimiento por recluta como una función de razones simples, la formulación revisada de Beverton y Holt establece también claramente que la variedad de relaciones de rendimiento por recluta no es grande (en el supuesto de que la mortalidad por pesca sea constante por encima de un determinado punto de selección). Efectivamente, hay una única familia de relaciones, en función del valor de M/K, y para cada miembro de la familia hay una superficie bidimensional que relaciona Y/R con la intensidad de pesca y la talla de la primera captura. Las curvas normales de Y/R son entonces divisiones de esta superficie. El cálculo de una curva (o superficie) de rendimiento por recluta no entraña nada nuevo y sólo habrá que aplicar un simple programa de computadora, lo que puede hacerse en hojas electrónicas (Gulland y Gibson, en prensa), o sencillamente consultando la tabla de Beverton y Holt (1964) para obtener el valor apropiado de M/K. En sí misma, ésta no debería considerarse una operación de evaluación.
El tipo más simple de evaluación de población, en el contexto de las curvas de Y/R, consta de dos fases: identificar la curva (o superficie) correspondiente a las características biológicas de la población, y localizar en ella el lugar que ocupa actualmente la pesquería. En ambas fases, la estimación de M (o M/K), o la división de la mortalidad total entre mortalidad por pesca y natural, representa un paso importante y normalmente constituye el problema más difícil. Si se ha tenido la suerte de comenzar las investigaciones con una población no explotada, entonces en esa población M = Z, y cualquiera de los métodos descritos en la sección precedente para estimar Z (o Z/K) arrojará una estimación de M (o M/K). Una vez iniciada la actividad pesquera, la mortalidad aumentará y la magnitud del incremento de Z/K proporcionará una estimación de F/K. Este hecho pone de relieve la ventaja de los estudios realizados antes de que comience la explotación pesquera.
Es más frecuente que los estudios no se inicien hasta que la pesquería esté bien establecida. En esos casos, la mayoría de estos métodos producirán estimaciones de Z (o Z/K). Entonces se puede proceder de varias maneras:
separando F y M, relacionando los cambios en Z con los de la intensidad de pesca;
estimando F directamente, por ejemplo mediante el marcado o a partir de la proporción entre la captura y la biomasa, estimada por algún tipo de reconocimiento;
estimando M directamente, por ejemplo a partir del consumo por parte de los depredadores. Este método es aproximativo, en el mejor de los casos, y es probable que proporcione un límite más bajo, pero algunos estudios recientes en el Mar del Norte (CIEM 1989) muestran que puede arrojar resultados interesantes;
estimando M por comparación con sus valores en otras especies.
El primer método es el que cuenta con las mayores probabilidades de arrojar resultados estadísticamente válidos y debería utilizarse siempre que sea posible. Su típica forma basada en la edad consiste en efectuar una regresión de Z sobre el esfuerzo de pesca f. Exactamente el mismo procedimiento puede utilizarse con las estimaciones basadas en la talla, bien sea de Z o, como sucede con algunos métodos, de Z/K. En este último caso obtendremos estimaciones de M/K y de F/K.
Incluso si por alguna razón no es posible aplicar exactamente el método de regresión, por ejemplo porque no se dispone de ninguna medida precisa del esfuerzo, el examen de material menos cuantitativo puede dar una idea de los valores relativos de F y M. En este sentido, Gulland (1956) utilizó la pendiente de las líneas de la Figura 4.1 como índices de Z. Observando que el esfuerzo de pesca durante la guerra fue alrededor de una tercera parte del nivel que le precedió, estimó que la actividad pesquera en el período anterior a la guerra representaba por lo menos la mitad de la mortalidad total. Incluso cuando los datos sean todavía menos cuantitativos, debería aplicarse algún método de este tipo. Puede que no existan en absoluto datos oficiales del esfuerzo, pero normalmente es posible hacerse una idea de cómo ha ido cambiando la intensidad de pesca a partir de algún tipo de información -¿qué impresión tienen los pescadores locales? ¿Se han abierto nuevos mercados? Esta información indicará en muchos casos que se han producido cambios en la intensidad de pesca, y entonces habrá que comprobar si ha habido cambios en la población que puedan dar alguna indicación del impacto de la pesca -¿Ha disminuido la abundancia de peces grandes? ¿Han menguado las tasas de captura? Si este es el caso, es razonable suponer que la actividad pesquera está teniendo repercusiones y que F es ahora una proporción nada despreciable de Z. En caso contrario, es probable que F siga siendo reducida.
Se ha preparado (Beddington y Cooke, 1981; Cooke y Beddington, 1982) una versión basada en la talla para examinar, entre los cachalotes, los efectos de la pesca en la composición de la población; este método no requiere ninguna estimación directa del esfuerzo de pesca (o de la cpue), sino que utiliza estadísticas exactas de la captura total para obtener un índice de la intensidad de pesca. Mientras mayor sea el cambio que se observe en la composición por tallas tras una captura de una determinada magnitud, menor habrá sido la población inicial y mayor la mortalidad por pesca. El método exige conocer el número total de ejemplares capturados en cada grupo de tallas y supone que el patrón de selectividad de la pesquería en su conjunto es constante, o que los datos de la captura de cada año pueden desglosarse en pequeños estratos espaciales/temporales, dentro de cada uno de los cuales la selectividad es idéntica de un año a otro. Pueden utilizarse otros valores iniciales del número de ejemplares de la población y de los parámetros de crecimiento para proyectar la población y determinar el conjunto de parámetros que da el mejor ajuste entre las capturas observadas y proyectadas, por grupos de tallas. Los requisitos de datos y los supuestos sobre la selectividad constante son más bien rigurosos, de manera que, aunque en principio el método se aplica por igual a cualquier población íctica en la que haya un apreciable crecimiento posterior al reclutamiento, es probable que en la práctica su aplicación a los peces de aleta sea limitada. Más detalles sobre este método aparecen en los informes de la Comisión Ballenera Internacional; también puede solicitarse a los autores y a la mencionada Comisión una versión en FORTRAN del programa.
El segundo método, la estimación de F como la proporción entre la captura y la biomasa, no guarda relación directa con la talla, por lo que no es preciso tratarlo en este manual. Sin embargo, conviene señ alar que no es probable que la biomasa calculada por el arte de reconocimiento sea precisamente la misma biomasa explotada por la pesquería. En general, el reconocimiento incluirá ejemplares más pequeños (por ejemplo, el reconocimiento al arrastre se hace normalmente con una luz de malla pequeña para reunir información sobre los prerreclutas y las especies pequeñas no explotadas). En ese caso, la biomasa del reconocimiento deberá rebajarse de manera que abarque sólo la parte explotada de la población, y la forma mejor de hacerlo es sobre la base de la talla. Si el reclutamiento en la población explotada es bastante abrupto, en corres pondencia con alguna talla lc, habra que omitir de los datos del reconocimiento a todos los peces de talla inferior a l y volver a calcular la biomasa. Si la selección abarca una amplia gama de tallas, puede resultar difícil determinar un valorde lc, en cuyo caso tal vez sea mejor asignarle algún valor arbitrariopor encima de la gama de selección y calcular el peso de la captura y la población por encima de lc.
El tercer método, la estimación directa de la parte de M causada por la depredación, reviste probablemente valor para las pesquerías con grandes programas de investigación, pero es posible que no sea de utilidad inmediata para muchos de los usuarios de este manual. Sin embargo, vale la pena señalar que, comolas tasas de depredación están en gran parte determinadas por las tallas relativas del depredador y la presa, es probable que sea provechoso aplicar en este método un criterio basado en la talla. Pope y Yang (1987)describen cómo proceder, utilizando una ampliación para las especies múltiples del análisis de cohortes basado en la talla de Jones (1984). Cabe asimismo señalar que este criterio está proporcionando mucha información nueva sobre cómo se determina la mortalidad natural. Los resultados del Mar del Norte revelan que la mortalidad por depredación entre los ejemplares más pequeños es mucho mayor que los valores de la mortalidad natural utilizados anteriormente para estas especies, y que la M de una determinada especie casi ciertamente puede disminuir con la talla de manera muy considerable. Como ya sugirieron Munro (1982) y otros, es probable que la mortalidad natural cambie en la medida en que la abundancia de las poblaciones de depredadores varíe de un año a otro, debido, por ejemplo, al impacto de la pesca. Si bienparece que esos cambios no se han demostrado claramente, a causa sobre todo de las dificultades para obtener dos estimaciones buenas de M, no hay motivo para sostener que no puedan ocurrir. Si efectivamente se producen estos cambios con arreglo a la talla y el tiempo, sería erróneo hablar de “la mortalidad natural de la caballa” en una determinada área, como si se tratara de una cantidad única e invariable.
En la práctica, es posible que ninguno de los tres primeros métodos proporcione valores utilizables de M (o F, en el caso común en que Z puede estimarse). Para presentar una evaluación a largo plazo hay que sentar alguna hipótesis del valor de M, o de M/K, si se quiere seguir el método de la agrupación dinámica. Resulta natural en tales casos volver al método comparativo. Lo más común es que se utilice la fórmula de Pauly (1980), tan frecuentemente usada en los estudios basados en la talla (por ejemplo, en los paquetes ELEFAN), que a veces se la considera como un método basado en la talla, lo cual no es cierto. La ecuación de Pauly es:
logM = -0,007 - 0,279 logLinf + 0,654 logK + 0,463 logT (4.4)
donde T es la temperatura ambiental media en grados centígrados. Esta fórmula tiene potencialmente la gran ventaja de que se dispone de los límites de confianza de la estimación. La regresión sobre la que se basa esta ecuación tiene una desviación estándar residual de 0,245 en torno a la regresión, o, haciendo la transformación a partir de los logaritmos (de base 10), la amplitud de los límites de confianza de aproximadamente el 95% es de 2,5 veces la estimación central(es decir,si la estimación es de 0,2, el intervalo de confianza es aproximadamente de 0,07-0,57) en torno a la estimación central proporcionada por la ecuación 4.1. Estos límites son amplios y por eso no es de extrañar que se utilicen tan poco, si es que se utilizan. Podría argüirse que tal vez sean demasiado amplios, debido a que tienen en cuenta la indudable incertidumbre de las estimaciones usadas por Pauly, así como la varibilidad real entre una población y otra. Por otra parte, no tienen en cuenta las incertidumbres relativas a K, Linf y T en la población que se está estudiando (que pueden ser grandes) y que harían que los límites de confianza verdaderos para las estimaciones de M fueran más amplios que los que aquí se dan. El grado de variabilidad puede a menudo reducirse analizando sólo especies estrechamente relacionadas entre sí (por ejemplo, los clupeoideos), ya que hay suficientes pruebas (Beverton y Holt, 1959; Beverton, 1963) de que los parámetros de población son más parecidos dentro de un grupo de peces que entre los peces en general. En contra de esto puede aducirse que muchas de las estimaciones de la mortalidad utilizadas por Pauly se publicaron después de que se conociera el patrón general de los valores de M, y que los autores que tenían estimaciones muy inexactas publicaron solamente las que respondían a las expectativas.
Independientemente de la verdad contenida en estos argumentos, está claro que cualquier cifra de M derivada de la ecuación de Pauly deberá ser objeto de gran incertidumbre. Aun cuando las desviaciones estándar presentadas por Pauly puedan ser demasiado amplias, el hecho de no contar explícitamente con un elevado grado de incertidumbre puede inducir a error. Los límites de confianza que reflejen la dispersión probable podrían tener la mitad de la extension, por encima de la estimación central, que los límites de confianza propuestos anteriormente. Así, si la estimación central de M a partir de la ecuación 4.4 es M = 0,36, nuestra conclusión debería ser que el valor verdadero de M se sitúa entre 0,21 y 0,61, y tales valores deberían utilizarse como alternativas en las evaluaciones posteriores. En algunos casos, por ejemplo si nuestra estimación de Z es 1,55, el intervalo es suficientemente reducido como para indicar que la población está intensamente explotada (M es, a lo sumo, algo menos de la mitad de Z), pero las más de las veces se desconocerá el estado de la población. Tal vez fue optimista por parte de Pauly (1987, pág. 23) afirmar que , si se utiliza el ELEFAN II (que incluye este método de estimación de M), “resulta posible en principio evaluar si una población está o no sobreexplotada, sobre la base exclusiva de los datos de frecuencias de tallas obtenidos de esa población”; pero el problema no es tanto que esta afirmación revele una confianza pocorealista en la capacidad de los métodos basados en la talla, cuanto que cualquier método tropezará con dificultades a la hora de evaluar el estado de una población, a menos que existan observaciones de ella y de su composición por tallas o edades con distintos grados de intensidad de pesca.
La advertencia de que, en caso de incertidumbre sobre el valor de un parámetro, los cálculos siguientes deben hacerse utilizando una gama de valores, se aplica a cualquier parámetro. Aquíse insiste sobre este particular porque las incertidumbres en torno a M (o M/K, o la razón E = F/Z), ya se basen en la ecuación de Pauly o en otros métodos, son normalmente mucho más grandes que los de otros parámetros.
Aunque los métodos basados en la talla se consideran una novedad en gran parte de las actividades de evaluación, cuentan ya con una larga historia en lo referente a evaluar los referente a evaluar los efectos de los cambios en la selección, particularmente en el Atlántico norte (Gulland, 1961a; 1964). El principio aplicado es simple: a partir del cambio en la selectividad y de la composición por tallas de las capturas actuales puede calcularse el cambio inmediato en el número de ejemplares capturados tras una variación en la selectividad. A largo plazo, las capturas aumentarán cuando los peces liberados hayan crecido lo suficiente para ser capturados por el nuevo arte. Hay dos formas de estimar este incremento: el método original de Gulland, que lo calcula como el producto del número de ejemplares liberados por el coeficiente de explotación (F/Z), deduciendo la mortalidad natural antes de que los peces alcancen la talla para quedar retenidos por la luz de malla más grande; y el método de Cadima (1978), que calcula el cambio en la mortalidad por pesca.
| Talla | Peso medio Wt | % retenido | Coeficiente | № de ejemplares | |||
|---|---|---|---|---|---|---|---|
| 90mm | 120mm | inicial | retenido | liberado | |||
| W1 | p1 | p2 | n1 | nk | nR | ||
| 25 | 160 | 50 | 3 | ,06 | 8 | 0,48 | 7,52 |
| 30 | 260 | 80 | 16 | ,2 | 314 | 62,8 | 231,2 |
| 35 | 420 | 98 | 100 | ,42 | 1084 | 435,5 | 630,5 |
| 40 | 630 | 100 | 100 | ,72 | 1409 | 1014,5 | 394,5 |
| 45 | 880 | 100 | 100 | ,94 | 1370 | 1287,8 | 82,2 |
| 50 | 1190 | 100 | 100 | 1 | 952 | 952 | 0 |
| 55 | 1570 | 100 | 100 | 1 | 465 | 465 | 0 |
| 60 | 1760 | 100 | 100 | 1 | 255 | 255 | 0 |
| 65 | 2530 | 100 | 100 | 1 | 124 | 124 | 0 |
| 70 | 3100 | 100 | 100 | 1 | 73 | 73 | 0 |
| 75 | 3800 | 100 | 100 | 1 | 30 | 30 | 0 |
| 80 | 3600 | 100 | 100 | 1 | 9 | 9 | 0 |
| Total de ejemplares | 6093 | 4727 | 1365 | ||||
| Peso total | 5639 | 4986 | 652 | ||||
| Porcentaje del número incial de ejemplares | 77,6 | 22,4 | |||||
| Porcentaje del peso inicial | 88,4 | 11,6 | |||||
Los cálculos básicos se exponen en el Cuadro 4.1, utilizando los datos sobre el eglefino proporcionados por Gulland (1983). Para cada grupo de tallas el número de individuos retenido puede calcularse como nk = n1p2/p1, donde p1 y p2 son las proporciones retenidas por el arte inicial y el nuevo, respectivamente, determinadas por experimentos de selectividad, n1 es el número de ejemplares en la captura inicial y nk el número retenido con el nuevo arte inmediatamente después del cambio. El número y peso (N y W) totales, capturados antes e inmediatamente después del cambio, pueden calcularse entonces como las sumas de n1, n1wl nk y nkwl.
En el cuadro, el efecto inmediato del cambio se expresa como la proporción entre el peso liberado y el peso inicial,es decir, WR/W1 = 652/5639 = 11,6%. Utilizando el método de Gulland, a la larga se capturará un número adicional de peces, ENR, donde NR' = NRexp(-Mdt), siendo dt el lapso de tiempo que emplearán los peces para crecer desde la talla media de selección del primer arte a la del segundo. Las capturas aumentarán entonces en un factor A = NK/Nr'. El peso a largo plazo W2 se obtiene por W2 = WK (1 + A). Si se utiliza el método de Cadima, el peso a largo plazo W2 está dado por W2 = WKexp (Fdt), y se puede demostrar que exp(Fdt) es igual a (N1/Nk)E', donde E' es el valor de E = F/Z en la gama de tallas comprendida entre las de selectividad de los dos artes.
El método puede ampliarse para obtener los efectos intermedios durante el período que transcurre entre el cambio y el momento en que se alcanza el nuevo equilibrio a largo plazo (Gulland, 1964). En efecto, si todos los peces crecen al mismo ritmo, tendremos que en un momento dado del período de transición los ejemplares más viejos y más grandes (por ejemplo, por encima de la talla 1”) no resultarán afectados por el cambio, mientras que los más pequeños que 1” habrán alcanzado el nuevo equilibrio. El peso capturado W” estará entonces dado por
W" = WK, l + Wl,l'(l + A) = Sum (WK l"]+Sum [WKl(l+A)]
Al igual que muchos de los métodos basados en la talla, éste presupone que la pesquería está en equilibrio. Su ventaja particular es que puede utilizarse en una situación en que varios artes exploten la misma población (por ejemplo, redes de arrastre y palangres), y no todos alteren su selectividad. En este caso, los valores de N1, Nk, W1 y Wk se calcularán para cada arte por separado. Los efectos a largo plazo e inmediatos podrán entonces compilarse después de haber calculado NR como la suma de todos los valores de i Nr para los distintos artes.
Jones (1984) señaló que los procedimientos del análisis de cohortes (véase la Sección 3. 2. 4) pueden ampliarse para que proporcionen estimaciones de los cambios en la captura a largo plazo resultantes de los cambios en la mortalidad por pesca. Para cada grupo de tallas, el número de ejemplares presentes en el nuevo estado de equilibrio, 2N1, puede expresarse como
2N1 = 1N1 × CF
donde CF es un factor de corrección debido a las nuevas mortalidades, obtenido mediante la fórmula CF = exp[sum(1Fdt) - sum(2Fdt)], y 1N1 es el número de ejemplares presente en el estado inicial, 1F y 2F son las mortalidades por pesca inicial y nueva, dt es el tiempo de crecimiento requerido para superar el intervalo de talla, y las sumas se efectúan desde la talla de reclutamiento hasta la mitad del intervalo de tallas 1ésimo.
Las nuevas capturas en cada intervalo de tallas, expresadas en peso o número de ejemplares, vendrán dadas entonces por
2C1 = 1C1 × CF × 2F1/1F1 y
2W1 = 1W1 × CF × 2F1/1F1.
Puede observarse que no es necesario partir del supuesto de que sean las mismas para todos los grupos de edad. Por eso es posible utilizar el método para cambios simultáneos en la intensidad de pesca y en la selectividad. Un ejemplo de ello se ilustra en el Cuadro 4.2 (tomado del cuadro 7 de Jones, 1984). Sin embargo, al utilizar los procedimientos de este cuadro hay que advertir que las sumas de F (columnas 7 y 8) se refieren al punto medio de cada grupo de talla, mientras que en la mayoría de los cálculos del APV y el análisis de cohortes se utilizan los valores extremos de los grupos.
El método expuesto en el Cuadro 4.2 se deduce directamente de la formulación original de Jones del análisis de cohortes basado en la talla, que aparece en el Cuadro 3.5. Naturalmente, es posible utilizar el criterio de división en cohortes del Cuadro 3.6. En tal caso, una vez hecha la división, las distintas partes pueden tratarse como grupos de edad (en el Cuadro 3.6, concretamente, los grupos son de medio año porque los peces eran de vida corta). En este caso,los datos pueden analizarse utilizando las técnicas estándar basadas en la edad, teniendo en cuenta que los resultados irán siendo menos fiables a medida que se refieran a los peces más grandes, debido a la difuminación de los grupos de edad entre distintas divisiones.
Sparre et al. (1989, capítulo 5) propusieron un conjunto de cálculos muy parecido, basado en el método de Thompson y Bell (1934). Este enfoque puede considerarse como lo contrario del análisis de cohortes (o del APV): en vez de partir de las capturas observadas de una cohorte para deducir la mortalidad por pesca, se parte del número de ejemplares de una cohorte reclutada en la pesquería para deducir (dada la mortalidad en cada intervalo de tallas) el número de individuos capturados y también los pesos. Una ventaja de este método es que incorpora información sobre el valor de la captura, lo cual puede ser importante para las pesquerías (como la del camarón) en que el precio por kilo está en función del tamaño del animal.
Casi todas las técnicas de evaluación tratadas hasta ahora presuponen unas condiciones de equilibrio, por lo que proporcionan asesoramiento estratégico a largo plazo: ¿conviene aumentar el esfuerzo de pesca construyendo más embarcaciones? ¿Está la población tan intensamente explotada que se hacen necesarias medidas de ordenación? ¿Qué efecto a largo plazo tendría un aumento de 10 mm en la luz de malla? Este es probablemente el tipo de asesoramiento más valioso, pero cada vez se va necesitando más el asesoramiento a corto plazo, especialmente si se están estudiando medidas de ordenación: ¿cuál es el efecto inmediato del uso de una luz de malla más grande? ¿Cuánto tiempo se necesitará, después de reducir el esfuerzo de pesca sobre una población intensamente explotada, para que las capturan vuelvan a ser las de antes (o mayores)? Este tipo de asesoramiento se ha vuelto particularmente importante en el área del Atlántico norte y en otras zonas donde la intensidad de pesca está regulada por los cupos de captura o las CTP.
Aunque algunas de las técnicas descritas antes, por ejemplo el método de Gulland de variación de la luz de malla, pueden proporcionar información sobre los efectos provisionales a corto plazo, la mayoría de las técnicas basadas en la talla se refieren a situaciones de equilibrio, por lo que para estudiar los efectos a corto plazo suelen ser mejores los métodos basados en la edad (por tener una escala temporal simple). Sin embargo, puede haber excepciones.
Una posible excepción es la predicción de las capturas futuras a la hora de establecer las CTP. Las poblaciones en cuestión se evalúan principalmente por el método del análisis de cohortes o el APV. Los futuros tamaños de la población y las capturas (en número de individuos) pueden predecirse proyectando al año siguiente la matriz de los individuos por edad. El peso total capturado puede entonces estimarse multiplicando el número de ejemplares por el peso medio en la edad. Este procedimiento es bueno siempre que los pesos medios no cambien. En la práctica, es frecuente que haya cambios a largo plazo en el peso medio, lo que puede a veces conducir a graves errores al predecir las CTP.
Shepherd (1987) ha señalado que la misma técnica, básicamente, se puede utilizar para los datos de talla, aunque la proyección es más compleja. Para los datos de edad tenemos que:
Ni+1,j+1 = Ni,je-z
donde
Ni,j es el número de ejemplares de la edad j en el año i.
La proyección es más complicada en el caso de los datos de talla, puesto que, incluso si todos los peces siguen exactamente el mismo patrón de crecimiento, no es probable que todos los individuos que integran un grupo de talla en un año entren en un mismo grupo al año siguiente. Por ejemplo, los peces que tienen entre 60 y 65 cm en un año pueden medir entre 67,5 y 71,7 cm al año siguiente, por lo que entrarán en dos grupos diferentes de 5 cm. A pesar de ello, si en el segundo año se consideran las tallas de los peces que en el primer año se hallaban en los límites entre grupos de tallas adyacentes (por ejemplo, 10, 15, 20 cm, etc.), y se aplica la tasa de mortalidad prevista, es posible calcular expresiones para las frecuencias previstas en cada grupo de tallas en el segundo año, como una función de las frecuencias del primer año. Las excepciones vienen dadas por las tallas más pequeñas, representadas por los reclutas. En la medida en que las desviaciones de los pesos medios por edad en el segundo año respecto de los valores previstos se deban a un crecimiento anormal en los primeros años y no durante el período de transición, este método debería tener menos alteraciones que el basado en la edad.
Esta técnica no se ha ensayado todavía suficientemente como para estar seguros de que así sea. Shepherd (1987) la aplicó a los datos de reconocimientos de bacalao en el Mar del Norte. Los resultados fueron prometedores, aunque las predicciones no resultaron muy exactas, debido posiblemente a la gran variabilidad de los datos iniciales. Otra posible ventaja del método es que, como los datos de entrada son simples y no requiere ningún trabajo de preparación y lectura de otolitos y escamas, puede ser más corto el plazo entre las observaciones y la formulación de predicciones. Esto, por sí sólo, podría llevar a una mayor precisión. Por ahora, sin embargo, aún no se ha trabajado lo suficiente en la aplicación práctica del método como para poder recomendarlo.
Una marcada diferencia entre los datos de edad y los de talla es que de los últimos puede hacerse un acopio mucho mayor y que resulta posible reunir un gran volumen de muestras de tallas distintas de un tamaño significativo (por ejemplo, de 200 peces o más) de diferentes lugares y períodos. En contraste, las limitaciones prácticas de personal hacen que sólo puedan reunirse pocas muestras de edad de un tamaño comparable. Por lo tanto, en lo que respecta a los datos de edad normalmente nos vemos obligados a examinar datos agregados de toda la pesquería durante un mes o incluso durante un año. Para la mayoría de los métodos descritos en este manual esta diferencia no reviste importancia - casi todos los métodos utilizan datos agrupados. Sin embargo, el hecho de agrupar los datos excluye información que podría ser de utilidad para otras finalidades.
Una aplicación obvia de la información detallada sobre la composición por tallas a la ordenación es la identificación de áreas, épocas o artes con superabundancia de peces pequeños. Establecer vedas en las zonas de cría o durante los períodos de reclutamiento de peces pequeños, o disuadir del uso de artes que atrapen predominantemente ejemplares pequeños suele ser la forma más adecuada de mejorar el patrón de explotación, es decir, de aumentar la talla efectiva en la primera caputra e incrementar así el rendimiento por recluta. Esta identificación puede hacerse de muchas maneras. Si en un mapa de los caladeros se marca la talla media de cada muestra en el lugar de la captura, probablemente se observarán algunas diferencias entre los caladeros.
La observación de las distintas muestras puede también ayudar a interpretar muchas de las técnicas que se han descrito. Por ejemplo, en la Figura 3.3a se aprecia claramente que la distribución por tallas correspondiente a septiembre no se ajusta a la curva de crecimiento prevista. Sería provechoso saber si se trató de una muestra aislada y si los peces se capturaron en la misma zona en que se tomaron las otras muestras. También resultaría útil saber si el gran número de peces en el mes de enero (1390) provino de varias muestras con la misma distribución por tallas, o si la amplia distribución observada deriva de la combinación de varias muestras con diferentes tallas modales.
Aquí no expondremos los procedimientos recomendados para manejarlos datos detallados de las composiciones por tallas. Lo que deseamos destacar es que tales datos probablemente contengan mucha información útil, y que su observación y estructuración de diferentes maneras forma una parte del proceso esencial de comprensión de los datos, que debería preceder a cualquier aplicación de los procedimientos descritos anteriormente. El análisis de los datos detallados puede ser muy simple, pero de igual manera se pueden, y deben, utilizar métodos complicados cuando sea apropiado. Por ejemplo, McGlade y Smith (1983) aplicaron el análisis del componente principal a los datos de talla de los desembarques comerciales canadienses de abadejo para conocer las pautas del movimiento y distribución de esa especie.