Protection methods are either passive or active. Passive protection includes methods that are done in advance of a frost night to help avoid the need for active protection. For example, passive management activities include:
1 Site selection
2 Managing cold air drainage
3 Plant selection
4 Canopy trees
5 Plant nutrition management
6 Proper pruning
7 Cooling to delay bloom
8 Chemicals to delay bloom
9 Plant covers
10 Avoiding soil cultivation
11 Irrigation
12 Removing cover crops
13 Soil covers
14 Painting trunks
15 Trunk wraps
16 Bacteria control
17 Seed treatment with chemicals
Proper management of each of the passive methods is discussed in the following sections. For a shorter, less technical discussion, see Chapter 2.
Advection frosts are associated with wind and little vertical stratification of temperature. During advection frosts, the lowest temperatures are usually observed on the middle and higher portions of hillsides that are open and exposed to the wind. Higher night-time temperatures are observed on the down-wind sides of hills and in low spots that are sheltered from the wind. Radiation frosts are associated with calm conditions or light wind and katabatic (i.e. cold air drainage) flows. Cold air accumulates in depressions, where the air becomes vertically stratified with temperature increasing with height. In radiation frosts, higher night-time temperatures are observed on hilltops and on upper middle sections of hillsides that are free from obstacles to block cold air drainage.
|
SITE SELECTION FACTORS FOR RADIATION FROST EVENTS
|
Site selection is the single most important method of frost protection. Factors to consider are cold air drainage, slope and aspect, and soil type. Most growers are aware of some spots that are more prone to damage than others. Typically, low spots in the local topography have colder temperatures and hence more damage. However, damage can sometimes occur in one section of a cropped area and not in another without apparent topographical differences. In some cases, this might be due to differences in soil type, which can affect the conduction and storage of heat in the soil. Of course, management of the soil and cover crops can also affect heat storage and damage. Although not commonly cited as a site selection factor, proximity to grasses and other plants with high concentrations of ice-nucleating bacteria can also be a factor affecting frost damage.
|
FACTORS AFFECTING COLD AIR DRAINAGE
|
One universal characteristic of productive growers is that they are all aware of the potential for frost damage and they thoroughly investigate a site before planting a crop that might be damaged by subzero temperatures. For some crops, it is desirable to have cold temperatures (e.g. cold night-time temperatures enhance wine grape quality); however, it is undesirable to have subzero temperatures that cause frost damage. The trick is to find locations that have a good microclimate for high-quality production without losing yield to damaging temperatures. If subzero temperatures are intermittent and infrequent, then using an active protection method to avoid damage during frost events while enjoying the beneficial effects of cold temperatures is a good economic strategy. However, to determine cost-effectiveness, the cost of protection and potential losses must be balanced against enhanced revenues from a high quality product.
In general, crops are grown where the weather conditions are favourable, and potential frost damage is often the limiting factor. For example, citrus is grown on the east side of the San Joaquin Valley in California (USA) to a large extent because extensive frost damage is infrequent. The San Joaquin Valley has a gentle slope downwards about 100 km from the east edge to the centre of the valley with the citrus growing area located in the eastern-most 30 km. December through February is the main rainy season for this region, so the sky is often cloudy. However, even during non-cloudy periods, the San Joaquin Valley is prone to fog formation. Both cloud cover and fog increase downward long-wave radiation and lessen net radiation losses. The occurrence of a radiation frost is rare during cloudy or foggy conditions because the net radiation losses are reduced. On rare occasions, subzero temperatures occur during cloudy conditions associated with an advection frost. However, radiation frosts are considerably more common than advection frosts in the area.
In addition to clouds and fog reducing the frequency of subzero temperatures, cold air also drains westward away from the citrus area. The elevation is higher in the east (i.e. where the citrus is grown) than in the valley floor to the west of the region. On a regional scale, the cold air drains slowly to the west. Consequently, no experienced grower would attempt to grow citrus further to the west where potential frost damage is considerably higher due to regional scale cold air drainage.
A third reason for growing citrus in this area is that the fog often clears in the afternoon, so sunlight can strike the soil and plants to store some heat during the day. This would not be the case on the west side of the valley because a mountain range to the west blocks radiation during the late afternoon and evening. On the east side of the valley, the slope of the land is generally facing to the west, so the receipt of energy per unit area from the sun is better on the east than the west side of the valley in the afternoon.
The first step in selecting a site for a new planting is to talk to local people about what crops and varieties are appropriate for the area. Local growers and extension advisors often have a good feeling for which locations might be problematic. One should avoid planting in areas where low, ground fogs form first. Low ground fogs are radiation fogs, and, like radiation frosts, they tend to form in the coldest spots. This should not be confused with high inversion fogs that form well above the surface, or steam fogs that come in from the ocean or large bodies of water. Areas with high inversion or steam fogs are actually less prone to frost damage.
The next step in identifying a good planting site is to look for climatic data to characterize the probability and risk of frost damage. A good source of climate data is the FAO CLICOM dataset, which can be accessed through the FAO Web site (http://www.fao.org/waicent/faoinfo/agricult/agl/aglw/climwat.stm). In locations where climate data are limited or unavailable, it is worthwhile to conduct a minimum temperature survey of the planting site during at least one frost season before risking losses to frost damage. Ideally, one would record air temperature each day with a continuously recording sensor mounted inside of a Stevenson screen (Figure 6.1) standard weather shelter. One advantage from using a Stevenson screen is that the temperatures are then comparable with climate records from weather services that typically use Stevenson screens to shield instruments. If available, it is also desirable to measure relative humidity and wind speed and direction. In recent decades, electronic temperature and humidity sensors are more commonly used and a Gill radiation shield (Figure 6.2) rather than a Stevenson screen is often preferable. Because they are inexpensive and easy to construct, fruit-frost shelters are often used for nighttime temperature measurements during frost events (Figure 6.3). Regardless of the sensor shield, the temperature sensors are typically mounted at between 1.25 and 2.0 m height above soil level. The chosen height should be the same as that used by your local weather service. Some meteorologists and growers use an "actinothermal index", which is simply an unshielded thermometer mounted on a wooden support (Durand, 1965; Perraudin, 1965; Schereiber, 1965). The thermometer is mounted at 0.1 m height for short crops and 0.5 m height for taller crops. Because the thermometers are unshielded, the temperature is purported to be close to that of a plant branch or twig. To evaluate the suitability of a site, collecting nocturnal data during 10 to 20 clear, cold nights should provide sufficient information to assess the potential for frost damage (Bouchet, 1965).
FIGURE 6.1
Stevenson screen weather
shelter

Photo: J P de Melo-Abreu (ISA)
FIGURE 6.2
A Gill radiation shield to protect
temperature and relative humidity sensors from short-wave
radiation

Photo: J P de Melo-Abreu (ISA)
FIGURE 6.3
A temperature recording fruit-frost weather
shelter for use in the Northern Hemisphere. It should have its back facing north
in the Southern Hemisphere

Cold air is denser than warm air, so it flows downhill and accumulates in low spots much like water (Figure 6.4). Therefore, one should avoid low-lying, cold spots unless adequate cost-effective, active protection methods are included in the long-term management strategy. This is important on both a regional and farm scale.
Perhaps one of the best examples of protection against regional scale cold air drainage is found in an almond orchard just south of Sacramento, California. The orchard is adjacent to a river and it is completely surrounded by a tall, solid-wood fence (Figure 6.5). Being next to the river, the orchard is in a low spot in the valley and cold temperatures are common. The fence was built around the tree crop as a levee against cold air to protect the crop from frost damage. In addition to the fence against cold air, the crop also has wind machines as an active protection method.
FIGURE 6.4
Cold air drains to low spots much like
water

Cold air drains downhill and settles in low spots, where frost damage is most likely.
FIGURE 6.5
Block Out Cold

A solid fence built around an orchard to keep out cold air.
Trees, bushes, mounds of soil, stacks of hay and fences are sometimes used to control air flow around agricultural areas and the proper placement can affect the potential for frost damage. If solid fences, hedgerows, buildings, elevated roads, etc. block the cold air drainage from a cropped field, cold air will pool behind the obstruction causing potentially greater frost damage. This phenomenon often occurs when the local topography is changed due to road or building construction. A careful study of topographical maps can often prevent major frost damage problems. Also, the use of smoke bombs or other smoke generating devices to study the down slope flow of cold air at night can be informative. These studies need to be done on nights with radiation frost characteristics, but not necessarily when the temperature is subzero. Once the cold air drainage flow pattern is known, then proper placement of diversion obstacles can provide a high degree of protection.
There are examples where diversion of cold air drainage has led to effective frost protection. One good example pertains to a high-value cut-flower producer. The crop was located in a canyon on one side of a stream (Figure 6.6). On the opposite side of the stream from the cropped field, the canyon wall was steep. On the crop side of the stream, the ground was relatively flat, but the canyon wall again sloped steeply upward on the opposite side of the field from the stream. Upslope from the field, the canyon narrowed to where only the stream cut through the canyon. Upslope from there, the canyon widened out to a broad relatively flat area. During frost nights, dense cold air accumulates over the flat area upslope from the canyon narrows. As long as the prevailing wind was gently blowing upslope, the cold air was kept on the upslope side of the canyon. However, if the wind stopped, cold air would drain through the narrows into the cropped field (Figure 6.6).
FIGURE 6.6
Cold Air Drainage

Cold air drains down-slope along a river valley and into a crop.
After studying topographical maps of the area, it was decided that building a soil wall or fence upslope from the crop along the stream would contain the cold airflow and move it around the field (Figure 6.7). After the cold air diversion dam was built, the grower was able to greatly reduce frost damage to the crop. A diversion dam can be made by mounding up soil, building a fence, or even simply stacking hay bales.
FIGURE 6.7
Divert Cold Air

Flow of cold air drainage controlled using a constructed wall.
Generally, planting deciduous crops on slopes facing away from the sun delays spring-time bloom and often provides considerable protection. Probability of freezing decreases rapidly with time in the spring and deciduous crops on slopes facing the sun will bloom earlier. As a result, deciduous crops on slopes facing the sun are more susceptible to frost damage. Subtropical trees (e.g. citrus and avocados) are damaged by freezing regardless of the season, so they are best planted on slopes facing the sun where the soil and crop can receive and store more direct energy from sunlight.
Growers within the same general climatic and topographical conditions often find differences in frost damage that seem unexplainable. Possible explanations include differences in soil type, ground cover, soil water content and ice-nucleating bacteria concentrations. Soil type is clearly one aspect of site selection to consider. For example, recently drained swamps are highly prone to subzero temperatures (Blanc et al. 1963). Dry highly organic soil near the surface reduced thermal conductivity and heat capacity, which was purported to cause the colder minimum temperatures. In another example, Valmari (1966) reports minimum temperature increases of 1 °C to 3 °C when mineral soil is mixed with organic soil. Clearly, the soil type affects minimum temperatures and the factors involved are discussed here.
Figure 6.8 shows a soil temperature profile near sunset (1600 h) and at 0400 h during a spring-time frost night in an apple orchard in Northern Portugal. There was little change in temperature below about 0.3 m depth in the soil and most of the temperature change occurred near the surface. The air temperature to 1.5 m height at 0400 h was nearly isothermal, but above that level it increased with height to about 2 °C at 24 m height.
FIGURE 6.8
Soil and air temperature profiles from an
apple orchard near Braganca, Portugal, when the surface temperature was at its
maximum and minimum. Note that the depth scale is different from the height
scale

In general, soils with higher thermal conductivity and heat capacity have a smaller range of temperature on the surface (i.e. the difference between the surface maximum and minimum temperature is smaller). When the temperature range is smaller, the minimum surface temperature and air temperature in the crop are usually higher.
Soil heat conduction and storage depends on the bulk density, heat capacity, thermal conductivity and ultimately the diffusivity. Bulk density is the apparent density of the soil in kg m-3. It is called "apparent" because the soil is a mixture of minerals, organic matter, water and air spaces, which all have different characteristics. The specific heat of a soil (J kg-1 °C-1) is the energy needed to raise 1 kg of soil by 1 °C (1 K). Multiplying the bulk density by the specific heat gives the volumetric heat capacity (CV) in J m-3 °C-1, which is the energy in joules needed to raise the temperature of a cubic metre of soil by 1 °C (1 K).
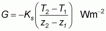
The thermal conductivity (Ks) in W m-1 °C-1 is a factor that relates soil heat flux density (G) in W m-2 to the temperature gradient in the soil.
|
|
Eq. 6.1 |
where T1 is the temperature at depth z1 and T2 is the temperature at depth z2, which is farther from the surface. The minus sign is included to make G positive when the flux is downward. The thermal conductivity is a measure of how fast heat transfers through the soil and the heat capacity is a measure of how much energy is needed to raise the temperature by 1 °C. The diffusivity (kT) in m2 s-1, which is a measure of how fast temperature will propagate through the soil, is given by:
|
|
Eq. 6.2 |
An estimate of the soil surface temperature range (Ro) in °C, for a soil with uniform properties, is given by:
|
|
Eq. 6.3 |
where (Rz) is the temperature range in °C at some depth z in metres and (p) is the oscillation period in seconds (= 86 400 s per day). For a fixed Rz value, Ro decreases as the magnitude of kT increases. For frost protection, the goal is to minimize the range of Ro, which is accomplished by maximizing kT. Therefore, soils with high kT are less prone to frost damage and the soil water content should be managed to achieve the highest possible kT during frost sensitive periods. Sample soil thermal characteristics for sandy, clay and organic (peat) soils (Monteith and Unsworth, 1990) are shown in Figure 6.9.
Dark coloured, moist heavy soils tend to absorb more sunlight but have a lower thermal conductivity than lighter sandy soils (Figure 6.9). Consequently, the diffusivity is less and they are more prone to frost damage. The heat capacity of organic (peat) soil changes considerably from less than sand and clay when dry to more than sand and clay soils when wet. However, the thermal conductivity is quite low regardless of the soil water content. Consequently, the diffusivity is low and crops on organic soils are considerably more prone to frost damage. When selecting a site in a region prone to frost, avoid planting on organic (peat) soils.
Note that the diffusivity is highest for the sand and clay soils at 20 percent volumetric water content (Figure 6.9). This implies that heat is transferred and stored more efficiently when the soil is moist but not saturated. Therefore, if the soil is wetted to improve heat storage before a frost event, it should be wetted a day or two early to allow for drainage of gravitational water from the surface layer. There is little change in soil temperature below 0.3 m on a daily basis (Figure 6.8), so there is no advantage from irrigating to greater depths. As a practical recommendation, one should attempt to maintain the upper 0.3 m of soil at near field capacity, so allow 1-2 days of drainage before a frost event.
Although capturing and storing more heat in the soil is beneficial for some crops (e.g. citrus) it can be problematic for deciduous trees and vines. Deciduous crops grown on these soils tend to bloom earlier in the spring, when there is a greater probability of subzero temperatures. Once planted the soil type in an orchard or vineyard cannot be changed, but planting varieties with greater chill requirements will delay bloom and may reduce the chance of frost damage to orchards planted on dark, heavy soils. After planting, the soil should be managed to maintain the thermal conductivity and heat capacity as high as possible, which will maintain the highest possible minimum soil surface temperature.
A simple method to determine the best soil water management to use for frost protection is to measure the minimum soil surface temperature when the soil is exposed to different management. You will need several minimum-registering thermometers to conduct the experiment. On each day for 5-7 days, wet a different 1.0 m2 or larger plot of soil down to about 30 cm depth. Then, for several days and nights with relatively clear skies, monitor the observed surface minimum temperatures using minimum thermometers laid horizontally on the soil surface of each plot. Whichever of the plots has the highest observed minimum temperature has the best soil water content for that soil. Note the number of days after soil wetting that gave the best result. Then, if a frost is predicted, wet the soil that many days in advance to achieve the best protection.
FIGURE 6.9 Typical thermal properties for sandy, clay and peat (organic) soils (based on Monteith and Unsworth, 1990)

There are large differences in sensitivity to frost damage amongst varieties of crops and local agricultural advisors often have information on which varieties are more or less prone to frost damage. Similarly, some rootstocks affect the frost tolerance of citrus trees (Powell and Himelrick, 2000). Certain rootstocks are also known to delay bloom of deciduous trees and these might be beneficial in frost-prone regions. For example, the peach rootstock Siberian C is hardy and well adapted to cold conditions, and Boone Country and Bailey rootstocks, developed in central North America, are late-blooming rootstocks for peaches (Faust, 1989), which come out of dormancy slowly. In the citrus industry, it is well-known that navel oranges are more frost hardy on trifoliate rootstock than when grown on sweet orange rootstock. Rough lemon rootstock is most tender, sweet orange is less tender, sour orange is fairly hardy, and trifoliate is very frost resistant.
It is important to choose plants that avoid damage by developing and maturing during periods with low risk, and to select plants that are more tolerant of freezing. For example, deciduous fruit trees and vines typically do not suffer frost damage to the trunk, branches or dormant buds. Selecting deciduous plants that have a delayed bud break and flowering pattern provides good protection because the probability and risk of frost damage decreases rapidly in the spring. In citrus, freezing may not be avoidable at a particular location, but selecting more resistant varieties increases tolerance to subzero temperature (Ikeda, 1982).
When selecting a crop or variety to grow in a particular location, the timing of sensitive stages and the critical damage temperature (Tc) relative to the probability and risk of subzero temperature should be considered. For annual field and row crops, determining the planting date that minimizes potential for subzero temperature is important. In some instances, field and row crops are not planted directly to the outdoors, but are planted in protected environments and transplanted to the field after the danger of freezing has passed. For deciduous and subtropical crops, the probability and risk of damaging temperature during early development is helpful. Several Excel application programs on probability and risk are included with this book and their use is discussed in the probability and risk section.
If periods with high probability of freezing cannot be avoided, then plants are chosen based on their tolerance of subzero temperatures. For example, orange trees are more tolerant of freezing temperature than lemon trees, so planting orange trees is wiser in areas subject to freezing temperature. The selection of deciduous varieties to plant within a region on sites with different exposure is also important. For example, early blooming varieties may be planted on a slope facing away from the sun, which delays bloom, whereas late blooming varieties might be better on a slope facing the sun.
In cold climates, people park their cars under trees at night to keep them warmer and avoid frost formation on the windows. The temperatures are warmer because the trees are warmer than the clear sky and, therefore, the downward long-wave radiation from the trees is greater than from sky. A similar approach is sometimes used to prevent frost damage to crops. For example, in the Southern California desert, growers will intercrop plantings of citrus and date palms partly because the date palms give some frost protection to the citrus trees. Because the dates also have a marketable product, this is an efficient method to provide frost protection and without experiencing economic losses.
Another example of using canopies for protection is in Alabama where growers interplant pine trees with small Satsuma mandarin plantings (Powell and Himelrick, 2000). Again, the frost protection comes from the enhanced longwave radiation downward from the trees. Also, a common method to provide protection against frost damage to coffee plants in Brazil is to interplant with shade trees that reduce net radiation losses. For example, Baggio et al. (1997) reported an improvement from 50 percent to 10 percent leaf damage when shade trees spaced at 10 × 14 m and 8 × 10 m were interplanted with coffee on plantations in Southern Brazil. Similarly, Caramori, Androcioli Filho and Leal (1996) found good results when Mimosa scabrella Benth. was interplanted with coffee plants to protect against radiation frosts.
Nitrogen fertilization and other nutrients are known to affect sensitivity to frost damage. In general, unhealthy trees are more susceptible to damage and fertilization improves plant health. Trees that are not properly fertilized tend to lose their leaves earlier in the autumn, bloom earlier in the spring and have increased susceptibility to bud frost damage. Powell and Himelrick (2000) recommended summer pruning and/or fertilization to improve vigour in peaches, summer fertilization for blueberries, but no summer fertilization for apples and pears.
Resistance to frost damage increases when the plants accumulate photosynthates in their sensitive tissues (Proebsting, 1978). Consequently, good plant nutrition and sanitary status favours acclimatization and resistance to freezing (Alden and Hermann, 1971; Bagdonas, Georg and Gerber, 1978).
However, the relationship between specific nutrients and increased resistance to frost damage is obscure. Parasitic attacks, defoliation, large harvests and delayed harvests can also increase frost damage. After frost damage, trees are more susceptible to damage from pests.
In general, nitrogen increases susceptibility to frost damage (Alden and Hermann, 1971; Bagdonas, Georg and Gerber, 1978). However, Valmari (1966) found that potatoes were less sensitive to freezing when application of nitrogen fertilizer led to luxuriant vegetative growth before a frost event. Bagdonas, Georg and Gerber (1978) cited studies that indicate that bean plants have increased resistance to frost damage when given high doses of nitrate. However, the increased tolerance might have resulted from the bigger plants having pod levels higher off the ground where the temperature was less cold. To enhance hardening of plants, avoid applications of nitrogen fertilizer in late summer or early autumn. New growth tends to have fewer solutes than older plant parts that have hardened. Since solutes in the water contribute to lowering the freezing point, any management activity that encourages growth decreases solute content and increases sensitivity to freezing.
Phosphorus is known to improve acclimatization of plants, but it also intensifies growth and new growth is more sensitive to freezing (Bagdonas, Georg and Gerber, 1978). However, phosphorus is also important for cell division and therefore is important for recovery of tissue after freezing. Many varieties with greater frost tolerance have higher phosphorus absorption from cold soils, resulting in acclimatization (Alden and Hermann, 1971).
Potassium has a favourable effect on water regulation and photosynthesis in plants. Since frost damage often results from dehydration of the protoplasm, increasing potassium can lead to better photosynthesis and acclimatization. However, researchers are divided about the benefits of potassium for frost protection (Alden and Hermann, 1971; Ventskevich, 1958; Bagdonas, Georg and Gerber, 1978).
Pruning encourages new growth of trees, so late pruning is recommended for deciduous trees and grape vines. Delayed pruning of peaches, during pink bud or later, reduces winterkill of fruit buds and delays flowering (Powell and Himelrick, 2000). The late pruning results in higher live bud count and delayed flowering. In zones where winter temperature is consistently subzero, early pruning allows entrance of pathogenic microorganisms through the cuts and accelerates growth near the cuts (Savage, Jensen and Hayden, 1976).
If frost damages buds activated by early pruning, resource wood is still available for production when double pruning is practiced (Blanc et al. 1963; Bouchet, 1965). Powell and Himelrick (2000) recommend pruning lower branches first and then returning to prune higher branches after the risk of frost damage has passed. In a radiation frost, damage typically occurs from the bottom up in deciduous orchards. Therefore, if a frost event occurs, this practice will improve the chances for a good crop.
Pruning grapevines to raise the fruit higher above the ground provides some frost protection because temperature typically increases with height above the ground during radiation frost nights. In some instances, raising the fruit by 0.3 to 0.5 m can increase the temperature by 1 °C or 2 °C. Canopy density and pruning can affect the frost sensitivity of deciduous trees. Closed canopies at high density indirectly increase frost damage sensitivity because of reductions in photosynthesis and hence sugar accumulation lower in the canopy where it is colder.
It is well known that operating sprinklers during warm days in the winter can delay bloom and hence provide a measure of frost protection (Anderson et al., 1973; Proebsting, 1975). Sprinklers cool the crop because evaporation converts sensible to latent heat, which causes the temperature to drop. The probability of subzero temperature falls dramatically in the spring over short periods of time, so cooling crops to delay bloom decreases the probability of frost damage.
Research on several deciduous tree species has shown that bloom delays of two weeks or more are possible by sprinkling from breaking of rest to bloom whenever the air temperature is above 7 °C (Powell and Himelrick, 2000). For example Anderson et al. (1973) reported budding delays of 15 and 17 days for cherry and apple trees, respectively when the orchards were sprinkled whenever the air temperature exceeded 6.2 °C between breaking rest and bud break. Sprinkling to delay bloom has also been advised as a method to delay bloom of grapevines (Schultz and Weaver, 1977). However, the benefits of sprinkling depend on the humidity as well as the temperature. When the sprinklers are operated, the temperature will drop to near the wet-bulb temperature, so there is little benefit in attempting to cool by sprinkling in humid environments where the dew-point temperature is close to the air temperature.
Although research has shown that fruit tree bloom is delayed by sprinkler operation, Powell and Himelrick (2000) noted that the method was not widely adopted because of crop production reductions that are not understood (Powell and Himelrick, 2000). Evans (2000) also reported the use of sprinklers for bloom delay in apple and peach trees. However, he recommended against the procedure because, although bloom is delayed, the increased sensitivity of buds to frost injury counteracts the benefits of bloom delay. Evans noted that the buds regain hardiness after being wetted if allowed to dry during a cool period. Although there is no known research on the topic, another possibility might be to fog or mist the air rather than use sprinklers. This could cool the air without adding water to the soil. However, this may or may not be cost effective depending on the frequency and intensity of freezing in the area.
Cryoprotectants and antitranspirants are sold and used as protection against frost damage. However, none of these materials has been found to consistently give protection to flower buds, flowers, small fruits or small nuts. The ethylene-releasing growth regulator "Ethephon" increases bud hardiness and delays flowering 4 to 7 days if applied in the early autumn at the onset of chilling (Powell and Himelrick, 2000). It has been used on peaches and cherries. Gibberellic acid delays bloom of some crops, but multiple applications are needed and it is expensive. Gibberellin or alpha naphthaleneacetic acid applications during warm days in late winter and spring are known to delay leaf out (Nigond, 1960; Schultz and Weaver, 1977).
Using growth regulators to reduce cambial activity and lengthen dormancy helps both evergreens and deciduous trees to tolerate subzero temperature. It is generally accepted that a retardation of growth reduces cell elongation. And the smaller cells have higher concentrations of solutes, which help them to avoid freezing.
Plant row covers increase downward long-wave radiation at night and reduce losses of heat to the air by heat convection (and advection). Covers must have a low coefficient of conduction and ideally would be opaque to long-wave radiation. Dry soil has a lower thermal conductivity, so it is sometimes used to cover small plants (e.g. potato, tomato and coffee plants) or to protect trunks of young trees during relatively short subzero periods. In some countries with severe winters, soil is mounded up to cover the graft of young citrus to protect the trunks from frosts (Blanc et al. 1963).
Removable straw coverings are used extensively in Switzerland for frost protection of the grapevines. However, because of easier application, straw is being replaced with synthetic materials. Both types of covers are left on the plants until the danger of the freezing is gone (Peyer, 1965). Mats and other insulating materials have also been used in India to protect tea (Camellia sinensis) plants from freezing (Von Legerke, 1978). In Portugal, individual plant protection methods include (1) horizontal or inclined mats for young trees; (2) shelters of diverse form for small plantings of citrus or garden shrubs; (3) wraps of culm rolled around trunks for young trees; and (4) roofing tiles, adobe shelters, leaves of plants, etc., for small plants. For rows of plants, the methods include (1) larger horizontal or inclined mats for tree rows; (2) shelters forming a half hut with vertical wall facing the predominant wind direction; and (3) straw layers over horticultural nurseries, where the mats and shelters use local materials (e.g. straw, bamboo, wood, boards, hay, etc.) (Abreu, 1985).
Although the materials used for coverings generally are inexpensive, the manpower needed to apply the materials can be cost prohibitive. Generally, this method is only used on small plantings or on small plants that do not require a solid frame. Sometimes, disease problems occur due to poor ventilation.
Row covers are sometimes used for protection of high value crops. Woven and spun-bonded polypropylene plastics are typically used and the degree of protection varies with the thickness of the material (e.g. from 1 °C for thin sheet plastic to 5 °C for thick plastic). White plastic provides some protection and it is sometimes used for nursery stock. It is not typically used for fruit and vegetable crop protection. Schultz (1961) reported that 1.2 m wide, black polyethylene sheets were used to cover grapevine rows and it increased the air temperature next to the foliage by about 1.5 °C.
Transparent plastic covers allow sunlight to pass through during the day and slow heat loss from the surface at night. The downward radiation from the sky at night depends on the apparent temperature of the sky, so when covered with plastic, the downward radiation depends mainly on the plastic cover temperature. Since the sky is much colder than air near the ground and the plastic will have a temperature closer to the air temperature, the downward radiation is enhanced by covering the plants. If condensation forms underneath the plastic, this will release latent heat, warm the plastic and provide even more protection. Under advection frost conditions, the plastic covers can also block the wind and provide some protection. Some characteristics for above-plant row covers are provided in Table 6.1.
A wide variety of methods are used to cover the plants and to anchor the plastic. To keep the plants from being touched, plastic covers are sometimes mounted on hoops. Otherwise, the plastic can float on the canopy and rise up as the crops grow, but disease problems are more likely. PVC greenhouses are sometimes used to protect citrus. The plastic can be used up to three years depending on the structural design and quality of the plastic.
A common problem is that the labour requirements for applying covers are high and therefore the crop value must be high. Also, the plants become less hardy against freezing and there are often problems with pollination if the covers are not removed after the frost event. The labour costs have discouraged wide spread use of plastic covers.
For particularly severe frost events, tunnels or plastic greenhouses are heated. The tunnels are heated using hot water, electricity, water vapour, hot air, etc. Difficulties related with the ventilation and mechanization made big tunnels increasingly popular, either with or without heating. The covers reduce light penetration slightly, but many materials allow penetration of water and pesticides.
Caplan (1988) reported that plastic covers have protected young vegetable crops for temperatures as low as -2 °C for short durations. Row covers with slits for ventilation provide only about 1 °C of protection, whereas floating row covers can protect down to about -2 °C. Forming tunnels with plastic is thought to be the most efficient temporary cover. It has greater stability and resistance to wind damage and it can be mechanically installed. Dimensions vary according to the crop, width of the plastic film, restrictions imposed by the installation machinery and ventilation. In Japan, growers use plastic tunnels covered by straw mats made from canes, paper bags, rice straw and other local materials and they obtain good protection. They have developed machines to weave rice straw mats to cover citrus trees for frost protection (Ikeda, 1982).
TABLE 6.1
Row cover characteristics for frost
protection
|
TYPE OF COVER |
PROTECTION |
COMMENTS |
|
Clear polyethylene |
Fair |
Inexpensive |
|
Clear polyethylene |
Fair |
Excessive heat build up |
|
Slitted polyethylene |
Fair |
Allows heat escape |
|
Perforated polyethylene |
Fair |
Excessive heat build up |
|
Spun bonded polyester |
Good |
Possibly abrasive |
|
Spun bonded polypropylene |
Good |
High cost |
|
Extruded polypropylene |
Poor |
Inexpensive |
SOURCE: From University of Georgia Extension Publication Cold Weather and Horticultural Crops in Georgia: Effects and Protective Measures.
Cultivation should be avoided during periods when frost can be expected to be a danger to plants. The soil has many air spaces and the air is a poor conductor and has a low specific heat. Consequently, soil with more and larger air spaces will tend to transfer and store less heat. Cultivation tends to create air spaces in the soil and therefore makes soils colder. For example, in Holland, Smith (1975) reported that cultivation in the spring was more prone to lead to frost damage than when ploughed in the autumn. If a soil is cultivated, rolling to break up clods and compact the soil, followed by irrigation, will improve heat transfer and storage by decreasing soil pore sizes and increasing the thermal conductivity and heat capacity (Brindley, Taylor and Webber, 1965).
Thermal conductivity and heat content of soils are affected greatly by the soil water content, and considerable differences in thermal conductivity and heat capacity are observed between dry and moist soils (Figure 6.9). Almost all papers on frost protection recommend keeping the upper layer of soil moist but not saturated. Snyder, Paw U and Thompson (1987) recommend wetting to a depth of 30 cm because diurnal temperature variation is insignificant below 30 cm. The amount to apply varies according to soil type and antecedent water content. Normally, 25 mm for light (sandy) soils to 50 mm for heavy (clay) soils are sufficient.
On an annual basis, heat transfer below 30 cm soil depth is important and could affect frost protection if a soil is dry for a long period of time. Consequently, if the soil is dry and little precipitation is expected prior to the frost season, wetting to depths of 1.0 to 1.5 m will result in higher soil surface temperature during frost-prone periods. Growers sometimes wet their soil prior to a subzero night to darken the soil and increase absorption of solar radiation; however, there is more evaporation from a wet soil surface, so the benefit from wetting to darken a soil is usually offset by increased energy loss to evaporation.
When grass or weeds are present in an orchard or vineyard, more sunlight is reflected from the surface and there is more evaporation during daylight hours. As a result, the amount of energy stored in the soil during the day is reduced by cover crops and hence there is less energy available for upward heat transfer during frost nights. The vegetation also affects energy transfer from the soil up to the radiating surface at the top of the vegetation and this might have an effect on temperature differences between bare soil and cover crops. Therefore, an orchard or vineyard with a grass or weed cover crop is more prone to frost damage than one with bare soil between the rows (Blanc et al., 1963; Bouchet, 1965; Snyder, Paw U and Thompson, 1987). Wide variations in the temperature effects of cover crops are reported in the literature, but they all generally agree that the presence of a cover crop will increase potential for frost damage.
Snyder and Connell (1993) used an infrared thermometer and found that the surface temperature of bare soils was generally 1 °C to 3 °C warmer than soils with grass and weed cover crops taller than 0.05 m during February and March. The cover crop was killed with herbicide in early December, so the orchard floor had about two months to develop canopy and temperature differences. However, during the winter, the weather was generally cloudy and foggy. On most days, they found that the orchard floor with the grass cover was colder, but an exception was found following several days of strong dry wind. The wind seemed to dry the bare soil surface layer more than the grass-covered soil, which reduced thermal conductivity and inhibited heat storage. Following this period, the bare soil was colder than the grass covered soil. Consequently, after several days of drying wind, wetting a bare soil surface is recommended to improve heat transfer and storage.
Various weed control strategies were studied to determine the effect on minimum temperature at cordon height (1.2 m) in grape vineyards in the Napa Valley of California (Donaldson et al., 1993). The methods included mowing, cultivating and using post emergence glyophosate herbicide. Mowing was done just before measurements were taken and cultivation was performed depending on weather and soil conditions. Herbicides were applied before the weeds reached 0.15 m height in late February or early March. In some cases, herbicide sprays were repeated.
A comparison of the number of days when the mow or spray plots had warmer, colder or about the same minimum temperature as the cultivated plots is shown in Table 6.2. The results indicate that mowing and cultivation have similar effects on the minimum temperature, with mowing being slightly colder. However, spraying with herbicide to control weeds resulted in the same or warmer minimum temperature on most days. A frequency analysis and chi-square test indicated that the minimum temperature was generally 0.25 °C to 0.5 °C higher than the other treatments. In a different experiment, Leyden and Rohrbaugh (1963) found an average 0.9 °C increase in temperature at 1.5 m height on only frost nights, when grass was killed with sprays versus having a grass cover crop. Because there are many meteorological and soil and plant factors affecting the temperature measured over cover crops, it is impossible to give universal protection figures related to cover crop management. However, removing or minimizing cover crops in orchards and vineyards is definitely known to be beneficial. There are many examples of growers experiencing severe losses in crops with cover crops while there were minimal losses in the same crop without a cover crop.
TABLE 6.2
Number of days when the mowing or herbicide
spray treatments had warmer, about the same, or colder minimum temperature than
the cultivation treatment in grape vineyards from March through May for 1987
through 1989
|
YEAR |
MOWING |
SPRAYING |
||||
|
|
warmer |
same |
colder |
warmer |
same |
colder |
|
1987 |
7 |
39 |
18 |
24 |
21 |
4 |
|
1988 |
13 |
44 |
22 |
58 |
21 |
1 |
|
1989 |
4 |
32 |
7 |
17 |
23 |
2 |
In the Donaldson et al. (1993) experiment, differences in minimum temperature were attributed to the fact that the mown grass remained on the vineyard floor and blocked sunlight from striking the soil surface and that reduced thermal conduction into the cultivated soil. Cultivation creates air spaces that insulate against heat transfer and increase evaporation, which lowers soil water content and reduces heat capacity. However, the soil was not compacted after cultivation and this might have improved protection. The herbicide-treated soils were cleaner and more firm and moist than the other two treatments.
Tall cover crops (i.e. grasses and weeds) insulate the soil from heat transfer and may hinder cold air drainage, resulting in more frost damage. However, taller cover crops provide a greater freezing surface area for under-tree sprinkler frost protection systems and therefore could be beneficial for that method (Evans, 2000). Research in Bologna, Italy (Anconelli et al., 2002) also showed that a tall cover crop is beneficial when using under-tree sprinklers. Their hypothesis is that the temperature of the wetted surface is maintained at near 0 °C and raising the surface height by growing a cover crop will raise the 0 °C level. Although protection may be enhanced by the presence of the tall cover crop, one is also more likely to need an active protection method if there is a cover crop.
Large variations in ice-nucleation active (INA) bacteria concentrations on different crops have been observed. In some cases, the concentrations are low (e.g. citrus and grapevines). However, the concentration of INA bacteria on grasses and weeds and on cereal crops is typically high. Therefore, presence of cover crops within an orchard or vineyard, or cereal crops near to a sensitive crop, increases concentrations of INA bacteria and frost potential.
Covering the soil directly with plastic to raise the surface temperature is a viable method that can provide some protection. This is especially true for small plantations (e.g. gardens or small orchards), where other protection methods are unavailable. Because the air temperature above the ground is related to the surface temperature, any management that raises the minimum surface temperature will provide additional protection. Often, a simple test can be used to verify the benefits of a management strategy. For example, a citrus grower once inquired about whether it was better to keep in place or remove a clear plastic cover from a newly planted orchard floor before entering the frost season. If the minimum surface temperature recorded overnight is consistently warmer for the plastic covered surface than for the uncovered surface, then it is better to leave the plastic on the soil. If the plastic covered soil has a colder minimum, then it should be removed. It was suggested to the grower to remove a small section of plastic and place a few minimum registering thermometers on the bare ground and a few on the plastic in the evening after sunset for several clear, cool nights. In fact, the test does not have to be done during subzero conditions. The grower was instructed to record the temperatures and note which surface had a colder minimum temperature. The surface with the warmer temperature is more desirable for passive protection.
Although the experiments are unpublished, the authors have noted that clear plastic mulches, which increase heat transfer into the soil, typically improve soil heat storage and result in higher minimum surface temperature. Since the surface temperature is closely related to air temperature in a crop canopy, having a higher surface temperature will provide some protection. Black plastic absorbs considerable radiation, but the air space between the plastic and the ground inhibits heat transfer to the soil where the heat capacity is greater. Consequently, black plastic is less effective for frost protection.
Wetting the soil before covering with plastic further improves heat storage, which raises the minimum surface temperature and provides more protection. This is especially true for clear plastic, which allows more radiant energy to reach the soil surface. Part of the reason for increased surface temperature, when the soil is wetted before placing the plastic, is that water will evaporate from the soil and it will condense on the bottom of the plastic as the cover cools to the dew-point temperature. This will change latent to sensible heat under the plastic and it will help to maintain a warmer surface temperature.
Vegetative mulches reduce the transfer of heat into the soil and hence make crops more frost prone. Snyder, Pherson and Hatfield (1981) investigated the effect of leaf litter removal on minimum temperatures in citrus orchards and found that there was no benefit from removing leaf litter under citrus trees. However, when litter was removed from between the rows as well as from under the trees, O'Connell and Snyder (1999) found that litter removal was beneficial. Part of the difference between the two experiments was attributed to differences in pruning of the trees. After the first experiment, growers began to prune the tree skirts to allow more sunlight to the orchard floor under the trees. Based on these experiments, the removal of leaf litter from the middles between tree rows may have some benefit for frost protection.
In very cold climates where the soil water freezes, soil heaving can lead to root damage. Where there is a snow cover, root damage due to frost heaving is less likely because the snow insulates against large daily changes in soil temperature. When there is no snow, organic mulches are sometimes used to reduce daily variations in soil temperature and root damage due to frost heaving. However, organic mulches should be avoided in orchards where the soil does not freeze because less heat is stored in the soil during daytime.
The existence of organic mulch (e.g. straw, sawdust) reduces evaporation, but it decreases daily minimum air temperature. The mulch reduces heat flow from the ground to the surface, causing lower minimum surface temperatures, which leads to lower minimum air temperature as well. For example, strawberry growers know the danger resulting from early application of mulch in the spring (Bouchet, 1965).
The bark of deciduous trees sometimes splits due to large fluctuations in temperature. When the sun is suddenly blocked, tree bark temperature can drop dramatically and cause longitudinal cracks. Differences between air and bark temperatures of the order of 20 °C are commonly observed on the sunny side of deciduous tree trunks, where damage is worse. One method to reduce this problem is to paint the trunks with an interior-grade water-based latex white paint diluted with 50 percent water to reflect sunlight during the day (Powel and Himelrick, 2000). Do not use toxic, oil-based paints. It is best to paint the trunks in the late autumn when the air temperature is above 10 °C. In addition to preventing cracks, white paint, insulation or other wraps are known to improve hardiness against frost damage to peach trees (Jensen, Savage and Hayden, 1970).
The paint or wraps decrease the late winter high cambial temperatures due to daytime radiation on the trunk that would have reduced hardiness. Painting apple tree bark white was reported to greatly reduce bark temperature and it delayed flowering a few days (Zinoni et al., 2002a), which reduces the chances of frost damage.
The use of insulating wraps to protect young citrus trees is common (Fucik, 1979). Insulating wraps are made from materials containing air spaces that resist heat transfer. However, if the spaces become filled with water, the conductivity of the material increases dramatically. For example, a cook will readily pick up a hot pan with a dry hot pad, but no experienced cook would use a wet hot pad. The thermal conductivity of the wet pad is much greater because the air spaces are filled with water, so heat will readily transfer through the material. Similarly, a critical factor for using insulating wraps is to be sure that air spaces in the material do not become filled with water.
Fucik (1979) reported that fibreglass and polyurethane wraps around tree trunks increased the temperature inside the wraps about 8 °C above the minimum air temperature. Trunk wraps slow the rate of temperature drop and, as a result, the time exposed to damaging temperature is reduced. Fucik and Hensz (1966) recommended using the ratio of the rate of change of bark temperature per hour to change of air temperature per hour as a measure of wrap efficiency. A value of 0.45 was suggested for wraps giving good protection. Fucik (1979) reported ratios of 0.47, 0.58 and 0.92 for 76 mm polyurethane, 25 mm polyurethane and "air flow" wraps, respectively, on a night when the air temperature was dropping at 1.11 °C h-1. The trunks wrapped with 76 mm polyurethane were uninjured, whereas the trunks were frozen for the other two wraps. Savage, Jensen and Hayden (1976) found bark to air temperature ratios of an aluminium foil lined with fibreglass wrap was 0.38, which is comparable to the 75 mm polyurethane.
Even during severe advection frosts, the trunks of young citrus (oranges; grapefruit on sour orange) have been protected with fibreglass supported by a net of wire, and with polyurethane foam (Fucik, 1979; Hensz, 1969b). When unprotected parts are damaged, a new canopy grows from the grafts in 2-3 years. Typically, the trunk wraps are removed after 3 to 4 years (Fucik, 1979). Wrapping young citrus tree trunks with water bags was reported to give better protection than fibreglass or polyurethane foam (Raposo, 1967). When the water freezes, it releases latent heat and slows down temperature drop at the trunk surface.
Fucik (1979) estimated the cost for tree trunk wraps at about $ 0.20 more per tree than the annual cost for constructing and removing soil banks. Because the wraps are relatively maintenance free and the only additional cost is about $0.15 per tree for removal after 3-4 years, using permanent tree wraps is more cost effective. Polyurethane does not attract rodents and the wraps help to protect the trunk from other damage as well. The main drawback is increased potential for disease problems. Root rot (Phytopthora parasitica) can be a problem when using tree wraps. Therefore, the bud unions should be at least 0.15 m above the ground. Fungicide sprays before wrapping help to reduce root rot. The wraps need to be tightly bound around the trunk to avoid damage to exposed surfaces.
Water melts, but does not necessarily freeze, at 0 °C. For freezing to occur, the ice formation process has to be initiated (i.e. ice nucleation). Homogeneous ice nucleation occurs when the liquid water has supercooled to very low temperatures (e.g. typically lower than -40 °C) and the water molecules organize into a crystalline (ice) structure without any foreign materials or agitation to initiate the process. Heterogeneous nucleation occurs when the supercooled water is agitated or when foreign (ice-nucleating) particles are introduced to start the ice crystal formation process. For example, when silver iodide is sprayed into clouds, it causes supercooled cloud droplets to freeze because the silver iodide initiates the phase change from water to ice.
Above -5 °C, ice-nucleation active (INA) bacteria cause most ice formation on the plant surfaces (Lindow, 1983). In fact, some relatively sterile greenhouse plants show no ice-nucleation until the temperature reaches -8 °C to -10 °C (Lindow, 1983). The main INA bacteria that nucleate ice are Pseudomonas syringae, Erwinia herbicola and P. fluorescens. P. syringae and E. herbicola, which nucleate ice at temperatures as high as -1 °C (Lindow, 1983). After forming on the plant surfaces, ice then propagates into the plants through openings on the surface (e.g. stomata) and into the extracellular spaces. Depending on plant sensitivity, damage may or may not result from the ice formation in the extracellular spaces.
Although one bacterium can start the ice nucleation process, damage is more likely when the concentration of INA bacteria is high. Therefore, reducing the concentration of INA bacteria reduces the potential for freezing. Commonly, pesticides (e.g. copper compounds) are used to kill the bacteria, or competitive non-ice-nucleation active (NINA) bacteria are applied to compete with and reduce concentrations of INA bacteria. Typically, 0.1 to 10 percent of the bacteria on plant surfaces are INA bacteria (Lindow, 1983), but there are insignificant populations of NINA bacteria to compete with and keep down the number of INA bacteria. Consequently, spraying additional NINA bacteria on the plants can help to compete with and reduce the concentration of INA bacteria. When applying NINA, usually one application is sufficient and the NINA bacteria will continue to increase in population and compete with INA bacteria as the plants grow. When using bactericides, the bacteria are killed, but they re-populate the plants quickly, so the bactericides must be re-applied frequently to keep the INA bacteria concentration down. Also, it is amino acids in the bacteria that cause the nucleation, so bactericide application is required far enough in advance of expected frost events for the amino acids to degrade. Early application of NINA bacteria is also required to allow the competition to reduce numbers of INA bacteria. Any applications of bactericides will kill NINA as well as INA bacteria and this can be problematic if bactericides are used for some purpose other than frost protection.
INA bacteria concentrations were reduced by 10- to 100-fold following three weekly applications of bactericide (i.e. cupric hydroxide) starting at bud break of almonds, or one application of a NINA (competitive) bacteria at 10 percent bloom (Lindow and Connell, 1984). The NINA bacteria had little influence on the population of INA bacteria shortly after application, but the effect increased with time. The application of NINA bacteria reduced the concentration of INA and both the bactericide and the NINA applications reduced frost damage to detached spurs that were cooled to -3.0 °C. In addition to sprays that kill or compete with INA bacteria, there are chemicals that inhibit the ice nucleation capability of the bacteria. Laboratory tests demonstrated that the activity of INA bacteria is sensitive to pH and heavy metals in a soluble state (e.g. copper and zinc) and cationic detergents (Lindow et al., 1978). Chemicals that inactivate the INA activity are called "bacterial ice-nucleation inhibitors" and they can inactivate bacteria with in minutes to a few hours (Lindow, 1983). For example, in an experiment on Bartlett pear trees, when temperature fell to -3 °C, the inhibitors Na2CO3 (0.1 M), Urea (0.5 M) + ZnSO4 (0.05 M) and Urea (0.5 M) + NaCO3 (0.1 M) were found to have 0.11, 0.16 and 0.29 fraction of fruit injury, respectively, whereas the control had 0.95 fraction of fruit injury. A big advantage is that the materials can be applied immediately before a frost night. One disadvantage is that these materials can sometime cause phytotoxicity in plants. Also, the materials are water soluble, so rainfall can wash the materials off of the plants and re-application might be needed.
Many commercially available sprays are purported to provide protection against frost damage. However, in most cases, there is little or no evidence that they work or not. Killing, competing with, or inactivating INA bacteria will reduce the chances of freezing and help to avoid frost damage; however, most commercial frost protection sprays have no known effect on INA bacteria. One should seek a valid scientific explanation as to how a protection spray works from a University or reputable laboratory before investing in any frost protection spray material. This does not mean that the spray is ineffective; it simply means that evidence is limited and it might not work. Do not purchase chemicals that purport to prevent frost damage by reducing desiccation. Frost damage results from damage to cell walls due to internal dehydration of the plant cells. It is not related to transpiration (i.e. evaporation from the plant leaves).
Rarely have there been success stories from growers using chemical sprays against frost damage. Most positive results are reported in well-controlled university experiments. For example, the use of chemical sprays (e.g. zinc; copper; antitranspirants) was reported to offer no measurable benefit in limited scientific investigations on deciduous tree crops in Washington State (USA) (Evans, 2000). Likewise, sprays to eliminate "ice nucleating" bacteria have not been found beneficial because of the great abundance of "natural" ice-nucleation materials in the bark, stems, etc. which more than compensate for any lack of bacteria (Evans, 2000). The results from chemical sprays for frost protection are clearly mixed. Part of the problem is the large variation in INA bacteria on different crops. For example, citrus and grapevines tend to have smaller concentrations of INA bacteria, whereas deciduous trees and grasses tend to have high populations. Some of the variation in results is due to these differences. In addition, the timing and concentration of chemical sprays are still under investigation. In summary, it is well known that INA bacteria are involved in ice nucleation on plants, and therefore reducing concentrations of INA bacteria can provide some measure of frost protection. However, more research is clearly needed to determine if and when control of INA bacteria is beneficial, and which management will give acceptable results.
Many cases are reported where treatments containing micro-elements and secondary elements (Cu, B, Mg, Zn, Al, Mo, Mn) given to seed (maize, cucumber, cotton, tomato) and plants has led to an increase in resistance to freezing (Bagdonas, Georg and Gerber, 1978).