The findings and main methodological features of the Forest Resources Assessment 1990 Project have been published in the following documents:
Forest Resources Assessment 1990 - Tropical countries. FAO Forestry Paper 112, 1993
Forest Resources Assessment 1990 - Non-tropical developing countries. FAO Technical Report, 1995
Forest Resources Assessment 1990 - Global Synthesis. FAO Forestry Paper 124, 1995
The three publications above summarize the findings of Phase I of the Project, which are reflected in country wise tabulations of forest and forest-related parameters estimated at year 1990, and their changes since year 1980. These documents provide also concise descriptions of the methodologies adopted in both Phase I and Phase II of the Project, some preliminary results of the Remote Sensing Survey (Phase II), still on-going at the time of their publication, and some Special Studies of particular interest.
Forest Resources Assessment 1990 - Tropical forest plantation resources. FAO Forestry Paper 128, 1995. By Devendra Pandey, in the framework of a research programme at the Swedish University of Agricultural Sciences.
This paper provides the best available information on the forestry plantations of 88 tropical countries. It reports areas planted, the purpose and management of the plantations, species composition and survival rates.
The documents listed below represent the main theoretical and technical contribution of both Project staff and external cooperating institution/individuals, to the discussion on, and development of, the methodologies adopted by the Project.
1. PROJECT OVERVIEW - Documents of general nature on the Project
Report on the Expert Consultation (May 1990) FRA 1990 Project
This report contains a review of the Project methodology by the experts and their recommendations, with particular reference to continuous forest inventory design and expansion of the Project activities related to environmental function of forests.
Problems Associated with Estimations of Deforestation and Proposed Methodology for the Project, Background Paper 1 (May 1990) FRA 1990 Project
This short report analyses the problems involved in assessment of deforestation based on existing data and highlights the need for continuous forest monitoring based on remote sensing.
Report of the In-depth Review of the Forest Resources Assessment 1990 Project (April 1992, in English and French) Mission report
This report contains a critical review of the Project's performance covering all objectives, activities and outputs of the Project follow-up.
2. DESIGN I - Assessment based on existing information and mathematical modelling
2.1 Compilation of existing information
Guidelines for Assessment based on Existing Survey Data. (July 1991, in English, French, Spanish); FRA 1990 Project
These guidelines provide data definition and their classification together with instructions for collection and coding of data in a tabular format.
2.2 Data processing
Forest Resources Information System (FORIS) - Concepts and methodology for estimating forest state and change using existing information, (November 1995) by A. Marzoli, FRA 1990 Project
This paper describes in detail the procedures used to produce standardized estimates of forest area at year 1990 and the rate of change between 1981–90, using existing forest inventories/surveys. In particular it contains a description of the modelling techniques used for forest change assessment.
Guide to GIS Databases of the Forest Resources Assessment 1990 Project (June 1991) FRA 1990 Project
The above publications provide an overview of all Project databases, both statistical and spatial.
2.3 Modelling
Estimating and Projecting Forest Area at Global and Local Level: a step forward (November 1990) R. Scotti, FRA 1990 Project
This is an important report providing an in-depth discussion of the Project model.
3. DESIGN II - Remote Sensing based Forest Resources Assessment
3.1 Monitoring methodology based on high resolution satellite data
Methods and Procedures for Assessment of Tropical Forest Area and Change using High Resolution Satellite Data (October 1990), R. Baltaxe and R. Drigo, FRA 1990 Project
This document was the first overview of problems involved in, and suggested approach to, design of the Project activities related to remote sensing.
Monitoring Methodology - Procedure for Interpretation and Compilation of High Resolution Satellite Data for Assessment of Forest Cover State and Change (October 1991) R. Drigo, FRA 1990 Project (in English, French and Spanish)
This is a fundamental document providing detailed guidance on the remote sensing procedure used by the Project.
3.2 The Sample Survey Design and analytical models
Analyses of alternative sample survey designs (February 1991) Dr. R. L. Czaplewski, USDA Forest Service
In this document several alternative methods to estimate tropical forest area and rates of deforestation are reviewed and evaluated, and recommendations are made to optimize the Project's survey design.
The Sample Survey Design (April 1991) FRA 1990 Project
This publication describes the sample survey design based on remote sensing and the estimated magnitude of sampling error.
Evaluation of the Sample Survey Design of the Forest Resources Assessment 1990 Project (March 1992) Prof. D.R. Pelz, University of Freiburg, Germany
This evaluation of the Project sample survey design was made by IUFRO Group on Biometrics and is very interesting for its in-depth comments.
Recommended Procedures for Analysis of Multi-date Remote Sensing Data of FRA 1990 Project (1992) Prof. B. Ranneby, Swedish Royal College of Forestry, Sweden
This document presents a first outline statistical formulae for analysis of the Project's remote sensing results, which were finalized in the following paper:
Estimates of Tropical Forest Cover, Deforestation and Change Matrices (SUAS, 1994) Ms. E. Rovainen, Swedish University of Agricultural Sciences, Sweden.
This paper describes the analytical procedures used to estimate the statistical means and errors of tropical forest cover and deforestation rates, and to standardize the change matrices for the period 1980–1990
Statistical evaluation of FRA 1990 Results (November 1994) Dr. R.L. Czaplewski, USDA Forest Service
This document provides an independent in-depth review and evaluation of the statistical procedures followed by Project
4. SPECIAL STUDIES
4.1 GIS Studies
Forest Biomass Assessment in the Africa Region - Forest Resources Assessment 1990 Project contribution to the African Energy Program (1994), Mr. M. Lorenzini, FRA 1990 Project
This paper describes the methodology adopted by FRA 1990 to evaluate fuelwood production/consumption balance based on the assessment of natural forest biomass, growing stock annual increment and per capita fuelwood consumption. The assessment is based on spatial analysis of forestry and demographic data on an ecological zone basis. Final results are presented in cartographic and tabular format at national and sub-national level.
Procedures for spatial representation of tabular data (1995), Mr. M. Lorenzini and Mr. A. Marzoli, FRA 1990 Project
This study contains a description of the techniques adopted for the spatial distribution of forest cover data derived from forest inventories. Tabular data, originally associated to large poligons, hence assumed as evenly distributed therein, are reallocated in a more realistic manner, by means of ancillary GIS data. A procedure called “map calibration”, combining GIS and multiple regression analysis techniques, allows an improved spatial and statistical distribution of the original data.
4.2 Case studies on forest resources monitoring
Monitoring Tropical Forest Using Spatial Information Techniques (November 1994) Ms. ir. K. Peirsman and Prof. Dr. ir. R. Goossens, Laboratory of Remote Sensing and Forest Management, University of Gent, Belgium
In this case study, covering one Landsat frame located in the north of Congo, variability in visual interpretation was assessed and visual and digital interpretation techniques were compared; in addition, field validation and accuracy assessment techniques and georeferencing procedures for the FRA 1990 raster maps, were developed.
Forest Resources Assessment in Dry Tropics: a digital alternative for the FAO Forest Resources Assessment
1990 Project (November 1994)
Ms. ir. E. Goossens and Prof. Dr. ir. R. Goossens, Laboratory of Remote Sensing and Forest
Management, University of Gent, Belgium
In this case study, based on two Landsat frames located in the north of Cameroon, digital interpretation techniques were compared to the visual approach followed by the FAO FRA 1990 Project.
Analyse et Modélisation de l'Évolution de la Forêt Tropicale Africaine par Télédétection et Systéme
d'Information Géograrhique (May 1995)
Mr. M. Lambotte, M. D. Margot and Mr. B. Martens, Laboratoire de Télédétection et d'Analyse
Régionale, Université Catholique de Louvain, Belgique
In this case study, based on two Landsat frames located in central Cameroon, digital classification and monitoring techniques were carried out and the results used to develop spatial and statistical models of deforestation.
5. REGIONAL WORKSHOPS REPORTS
Tcdc Workshop on Methodology for Deforestation Assessment in South East Asia - Bangkok 6 – 17 May 1991, FAO Regional Office for Asia and the Pacific (RAPA), Bangkok, (1992). English.
Workshop on Methodology for Deforestation and Forest Degradation Assessment in Africa - Nairobi 25 November – 13 December 1991 (first regional workshop), FAO Forest Resources Assessment 1990 Project (1992). English.
Taller Latinoamericano sobre Metodología para la Evaluación de la Deforestación y la Degradación Forestal - Ciudad de México, 15 Marzo – 2 Abril 1993, FAO Forest Resources Assessment 1990 Project (1994). Spanish.
Workshop on Methodology for Deforestation and Forest Degradation Assessment in Africa - Yaounde 28 February – 18 March 1994 (second regional workshop), FAO Forest Resources Assessment 1990 Project (1994). English and French.
Annex 10 reports, for each regional workshop, a brief summary and abstracts of conclusions and recommendations.
The list of the Forest Resources Assessment 1990 Project's staff, below, include both Phase I (FORIS1) and Phase II (RS2) of the Project. The list of consultants include only those which have contributed to the activities of Phase II.
| Project staff | |||
| Professional staff | Post | Main activities | Duration (months) |
| K.D. Singh | Project Coordinator | FORIS/RS | 54 |
| R. Drigo | Project Officer, forestry/remote sensing | RS | 48 |
| M. Lorenzini | Project Officer, GIS | FORIS/RS | 38 |
| G. Mu'Ammar | GIS/Data processing | FORIS/RS | 21 |
| H. Fischer | APO/Project Officer | FORIS | 36 |
| A. Hildeman | APO | FORIS/RS | 27 |
| S. Vanhaeverbeke | APO in Peru | RS | 14 |
| M. Larsson | APO in Thailand | FORIS | 30 |
| H. Simons | APO/Project Officer | FORIS/RS | 25 |
| D. DeCoursey | APO, GIS | FORIS/RS | 24 |
| J. Klaver | Project Officer in Brazil | FORIS/RS | 12 |
| P. Howard | Project Officer, GIS | FORIS/RS | 9 |
| F. Borry | APO, database management | FORIS | 4 |
| D. Piaggesi | Project Officer | FORIS | 6 |
| Support staff | |||
| Y. Caccia-Lupu | Administrative Clerk | 30 | |
| P. Simonetti | Secretary | 22 | |
| P. Schiro | Secretary | 2 | |
| R. Nasoni-Cianchi | Data entry clerk/Secretary | 12 | |
| J. Rechter | Secretary | 16 | |
| Consultants | |||
| (Phase II only) | main contributions | ||
| R. Baltaxe | RS methodology development | 4 | |
| R. Czaplewski | Survey design | 2 | |
| A. Marzoli | Database analysis, survey design | 6 | |
| A. Dell'Agnello | Remote sensing data analysis | 9 | |
| I. Ambrosini | Remote sensing data analysis | 9 | |
| C. Fayad | Remote sensing training | 1 | |
| Remote Sensing Lead Centers | Personnel directly involved in satellite data interpretation | |
| Africa | ||
| Service Permanent d'Inventaire et d'Aménagement Forestiers (SPIAF), Zaire | Mr. Musampa Kamungandu Mr. Bwangoy Bankanza Mr. Shoko Kondjo | |
| Department de l'Environnement et Conservation de la Nature | ||
| Latin America | ||
| Instituto Brasileiro de Meio Ambiente e Recursos Naturais Renováveis (IBAMA), Brazil | Mr. C.J. Lorensi Ms. D. Campos Jansen | |
| Centro de Sensoriamento Remoto | ||
| Secretaria de Agricultura y Recursos Hidraulicos de Mexico (SARH), Mexico | Mr. P. Garcia Mayoral Mr. Alberto Flores | |
| Asia | ||
| Forest Survey of India (FSI), India | Mr. P. C. Joshi Mr. V. K. Bhalla Mr. S. K. Pipara | |
| Vegetation Mapping Unit | ||
| Royal Forest Department (RFD), Thailand | Mr. Pongpradith Maneesinthu | |
| Forest Inventory and Planning Institute (FIPI), Viet Nam | Mr. Nguyen Manh Cuong | |
| National Forest Inventory (NFI), Indonesia | Mr. Imam Nuryanto Mr. Sudarjio Mr Herman | |
Cooperating institutions and individuals:
The Sample Survey Design and Analytical Models
Dr. Ray Czaplewski, USDA Forest Service, USA
Prof. B. Ranneby, Swedish University of Agricultural Sciences (SUAS), Sweden
Ms E. Rovainen, Swedish University of Agricultural Sciences (SUAS), Sweden
The following team of scientists made the review of the Sample Survey Design under the auspices of the International Union of Forestry Research Organizations (IUFRO), Austria:
Prof. D. R. Pelz, Albert-Ludwigs-Universität, Freiburg, Germany (Coordinator)
Prof. T. Cunia, State University of New York, USA
Dr. A. de Gier, International Institute for Aerospace Survey & Earth Sciences, Netherlands
Dr. S. Poso, University of Helsinki, Finland
Dr. G. Preto, Istituto Sperimentale per la Selvicoltura, Italy
Prof. B. Ranneby, Swedish University of Agricultural Sciences (SUAS), Sweden
Prof. K. Rennolls, Thames Polytechnic, United Kingdom
Dr. P. Schmid-Haas, Inventaire Forestier National, Switzerland
Dr. C.T. Scott, USDA Forest Service, USA
Participants at the Expert Consultation (May 1990):
Mr. Jan W. Van Roessel, Eros Data Center, U.S.A.
Mr. Jean Paul Malingreau, Joint Research Center of the EEC, Italy
Mr. P.R.O. Kio, Forest Research Institute of Nigeria, Nigeria
Mr. Aarne Nyyssonen, University of Helsinki, Finland
Mr. H. Kenneweg, Technische Universität Berlin, Germany
Mr. H. Croze, UNEP-GRID, Nairobi
Mr. Norman Myers, Oxford, U.K. (review of Expert Consultation)
Mr. Alan Grainger, University of Salford, Salford, U.K.
Mr. George M. Woodwell, The Woods Hole Research Center, U.S.A.
Mr. Klankamsorn Boonchana, Royal Forestry Department, Thailand
Mr. L. Sayn Wittgenstein, Canada Center for Remote Sensing, Canada
Mr. Vernon J. La Bau, Pacific Northwest Experiment Station, Alaska, USA
Members of the In-depth Review Mission (April 1992):
Mr. Derk de Groot, Ministry of Agriculture, Nature Management & Fisheries, the Netherlands
Dr. Paul C. Van Deusen, Southern Forest Experiment Station, U.S.A.
Dr. Ashbindu Singh, United Nations Environment Programme - GRID, Kenya
Dr. Nils Erik Nilsson, National Board of Forestry, Sweden
Dr. Michel Deshayes, Ecole Nationale du Génie Rural, des Eaux et des Forêts, France
Mr. Paul Howard (rapporteur), USDA Forest Service, U.S.A.
Monitoring methodology
| Mr. R. Baltaxe (retired FAO officer) | |
| Mr. L. Björk, University of Agricultural Sciences, Umeå , Sweden | Pilot study |
| Mr. H. Österlund, Swedish Space Corporation, Sweden |
Prof. Dr. ir. R. Goossens, Faculty of Agricultural and Applied Biological Sciences, University of Gent, Belgium
| Ms. ir. E. Goossens | = | = |
| Ms. ir. K. Peirsman | = | = |
| Mr. M. Lambotte, Université Catholique de Louvain, Belgium | ||
Processing and supplying of remote sensing data
Mr. C. Justice, NASA Goddard Space Flight Center, University of Maryland, USA
Mr. W. T. Lawrence, NASA/Goddard Space Flight Center, University of Maryland, USA
Dr. Suvit Vibulsresth, National Research Council of Thailand (NRCT) (contribution of TM data free of charge)
| Earth Observation Satellite Co. (EOSAT), USA | |
| USGS EROS Data Center, USA | |
| National Remote Sensing Agency (NRSA), India | Delivery of satellite imagery |
| National Receiving Station, Indonesia | |
| Instituto Nacional de Pesquisas Espaciais (INPE), Brazil |
Analysis of remote sensing data at sample locations
The following institutions and individuals have directly contributed to the interpretation of satellite data under various forms of agreement. Their data analysis work has complemented that carried out at Lead Centers (listed in Annex 2) and at four regional workshops.
Istituto Agronomico per l'Oltremare (Overseas Agronomic Institute), (IAO), Ministry of Foreign Affairs, Italy
| Messrs Paolo Sarfatti and Luca Ongaro, IAO Officers. | (Supervision) | |
| Ms Angela Dell'Agnello, Forestry/Remote Sensing Expert | (Data analysis) | |
| Ms Ilaria Ambrosini, Forestry/Remote Sensing Expert | " | |
Javier Anduaga, Ministerio de Agricultura, Oficina General de Planificación Agraria (OPA), Peru
Homero Chaccha Córdova, Instituto Nacional de Recursos Naturales (INRENA), Peru
Leonardo Lugo and Paulino Ruíz Mendoza, Servicio Forestal Venezolano (SEFORVEN), Venezuela
Gerónimo Grimaldez, Centro de Desarrollo Forestal, Ministerio de Asuntos Campesinos y Agropecuarios,
Bolivia
Raúl Lara Rico, Centro de Investigaciones de la Capacidad de Uso Mayor de la Tierra (CUMAT), Bolivia
| Distribution of land area (within Landsat frames) by stratum and sub-region Land area in million hectares derived from project's GIS | ||||||||
| 1 | 2 | 3 | 4 & 5 | 6 | ||||
| Forest | Woodland | Tree savanna | Total surveyed | Non-forest or forest<10% | Land area <1M ha | Total not surveyed | Grand Total | |
| East-Sahelian Africa | 91.5 | 0.0 | 136.9 | 228.4 | 290.0 | 5.8 | 295.8 | 524.2 |
| West-Sahelian and West Afr. | 60.0 | 51.0 | 137.5 | 248.5 | 491.3 | 14.3 | 505.5 | 754.1 |
| Central Africa | 284.8 | 52.2 | 57.6 | 394.6 | 16.4 | 0.2 | 16.6 | 411.1 |
| Tropical Southern Africa | 0.0 | 245.6 | 106.9 | 352.5 | 212.9 | 10.8 | 223.7 | 576.2 |
| Sub-total Africa1 | 436.2 | 348.8 | 439.0 | 1224.0 | 1010.6 | 31.0 | 1041.6 | 2265.6 |
| 1 | 2 | 3 | 4 & 5 | 6 | ||||
| Forest cover >70% | Forest cover 40–70% | Forest cover 10–40% | Total surveyed | Non-forest or forest<10% | Land area <1M ha | Total not surveyed | GrandTotal | |
| Mexico and Central America | 28.7 | 69.9 | 51.3 | 149.9 | 72.8 | 18.0 | 90.8 | 240.7 |
| Tropical South America | 233.9 | 108.9 | 110.3 | 453.2 | 134.4 | 11.3 | 145.7 | 598.8 |
| Brazil | 413.7 | 92.0 | 124.8 | 630.5 | 207.1 | 11.3 | 218.4 | 848.9 |
| Sub-total Latin America2 | 676.3 | 270.9 | 286.4 | 1233.6 | 414.3 | 40.5 | 454.8 | 1688.4 |
| South Asia | 0.0 | 50.0 | 151.1 | 201.1 | 222.0 | 14.9 | 236.9 | 438.0 |
| Continental South-East Asia | 0.0 | 91.9 | 94.3 | 186.2 | 1.1 | 14.5 | 15.7 | 201.9 |
| Insular South-East Asia | 114.7 | 53.4 | 55.1 | 223.2 | 7.2 | 58.5 | 65.7 | 288.8 |
| Sub-total Asia | 114.7 | 195.2 | 300.6 | 610.5 | 230.2 | 88.0 | 318.2 | 928.7 |
| GRAND TOTAL | 1227.2 | 814.9 | 1026.0 | 3068.0 | 1655.1 | 159.6 | 1814.7 | 4882.7 |
1 Excluded Madagascar
2 Excluded Caribbean islands
Introduction
The objective in designing the present classification has been to provide a framework which will allow the segregation of all the types of woody vegetation cover encountered on high resolution satellite data (HRSD) of the tropics into the classes of interest to the Forest Resources Assessment 1990 Project.
The classification has three main characteristics:
a hierarchical structure to permit the unambiguous aggregation of the classes at each level to the next level or levels.
a simple dichotomy at each level, based on criteria usually detectable on HRSD, or readily inferred, to facilitate the interpreter's decision at that level and about whether it would be possible to proceed to the next lower (more detailed) level.
the inclusion of all the classes of interest to the assessment of state and change of forest cover in a form obtainable from HRSD.
The classification system here adopted (shown in Section 2.2 of the main text) is composed of three main parts. These parts are progressively followed during the interpretation of the “1990” and “1980” satellite images.
Classification levels
The classification has been divided into two levels in order to ensure a minimum level of global correspondence and to concentrate the monitoring exercise at a simpler more reliable classification level. That is to say that, for the purpose of global monitoring, it is not allowed to group classes of the main level during the interpretation and analysis.
These two levels are represented by the Main Classes and the Additional Classes. The Main Classes (10 in total) identify the minimum common standard for Sub-regional, Regional and Global reporting of results. The Change Matrices are produced as a standard output for the Main Classes only.
The Additional Classes represent further subdivisions of the Main Classes. These Additional Classes will be used only where their delineation is considered reliable.
The decision to use Additional or Main level of classification will be documented for each class of each image on the Sampling Unit Description - ID Form and respected throughout the interpretation of that image. This means that the Additional Classes and their parent Main Class can never coexist on the same interpretation overlay.
PART 1. PRELIMINARY IMAGE INTERPRETATION CLASSES
The image is divided into three main classes:
OTHER NON-INTERPRETED includes all portions of the image that are outside the study area (parts of image that fall outside the region or sub-region of interest) or that cannot be reliably interpreted due to presence of burnt grass (in woodland areas), clouds or dense atmospheric haze and shadows. Under the main class are found the additional classes BURNT WOODLAND, CLOUDS-CLOUDS SHADOWS, MOUNTAIN SHADOWS and OUTSIDE STUDY AREA.
The additional class BURNT WOODLAND refers to those areas, such as Myombo Woodlands in Africa, Dry Dypterocarp Forests in Asia and Cerrado formations in Latin America where the recurrent fires destroy only (or mainly) the grass layer present under the tree cover. In these areas the black patches left by the crossing of fire would not represent a loss of woody vegetation but rather “hide” the area and prevent the interpretation.
In other conditions, where the fires are known to destroy the forest completely or to follow the clearing of the forest, the class to be used for burnt areas is “Other land cover”, to indicate the loss of woody vegetation cover.
Therefore, it is important to classify the burnt areas with maximum care, taking into account the types of forest and land use of the area of study.
WATER includes sea and major inland water bodies. Minor water bodies and river courses are not separated but are included in the broad class “other land cover”.
LAND includes all the remaining part of the image. This class is subsequently divided according to the presence or absence of (significant) WOODY VEGETATION COVER. 10 % is here used as the lower cover limit. The remaining land area falls under the class OTHER LAND COVER.
The class WOODY VEGETATION COVER is then further divided according to its origin into NATURAL and MAN-MADE. This division, which is based on characters that are partly physiognomic and partly contextual, is dictated by the need to separate, as far as possible, these two broad categories for separate analysis and monitoring studies. Their separation will no doubt be approximate in some cases, especially when poor quality plantations are intermixed with natural vegetation and when there is little background information available. An attempt of separation is, in all cases, considered important.
The MAN-MADE WOODY VEGETATION cover type includes a wide range of vegetation and land use types. For the purpose of the present study the important distinction that needs to be made is between forest plantations and agricultural wooded areas.
FOREST PLANTATIONS will be delineated within the class Man-made Woody Vegetation Cover as visible on the HRSD and with the support of auxiliary data. Plantation area is needed as broad statistical input without the need for detailed description like species composition, age, etc.
The remaining part of the class Man-made Vegetation Cover after the separation of Forest Plantations will be constituted by AGRICULTURAL PLANTATIONS and homestead gardens. This class will include, without further separation, all formations such as tea gardens, oil-palm, coconut, rubber plantations, etc. and the homestead mixture of trees and shrubs.
It is normally difficult to separate forest plantations from agricultural plantation based only on the spectral signature or the texture of the forest cover. It is therefor necessary to make a contextual interpretation with strong support of all available auxiliary information, for example plantation and landuse maps.
The NATURAL WOODY VEGETATION COVER classification is outlined under Part 2.
PART 2. CLASSIFICATION OF NATURAL WOODY VEGETATION COVER
The word “cover” is used deliberately to avoid confusion with vegetation types or formations, which have floristic connotations. This is because for a global assessment they are not of primary importance; the concern is less with local management than with estimates of global forest cover and its dynamics of biomass for global modelling and implications for species diversity, etc. Equally relevant is the fact that for a survey based on satellite data with, at this stage, very restricted scope for rigorous accuracy assessment, interpretation of floristic aspects would be of low and unequal reliability.
The classification therefore distinguishes types of woody vegetation cover primarily on the physiognomic characteristics - density or crown cover, spatial distribution - which are those most readily observed on HRSD.
Height is used for the distinction between FOREST (trees) and SHRUBS, which constitutes the first dichotomy of the classification. While the need to differentiate between tree and shrub formations is obviously important, in practice these two categories are not always readily distinguished on satellite data. More than height, which cannot be accurately perceived on the HRSD used for the study, spectral signature and background data on local ecology guide the distinction between these two classes.
The CONTINUOUS - FRAGMENTED dichotomy under FOREST refers to the spatial distribution of the class FOREST and other classes. Whenever the forest units can be individually delineated and therefore separated from the surrounding classes they will belong to the CONTINUOUS class.
Where the forest units are intimately intermixed with other cover types to a level that they cannot be individually separated, then the mixture of the two (or more) cover types will be classified as FRAGMENTED and subsequently divided according to the estimated proportions of the forest type within the class.
Quantitative criteria
Quantitative classification criteria for use with the interpretation of HRSD can only be indicative as neither height nor crown cover can be seen or measured directly. For this reason, also, limits are set as: 10–40% and 40–70%, for example, rather than 10–40% and 41–70%.
The lower limit of 10% woody vegetation cover for ‘Forest’ and related formations is that adopted for the periodic FAO forest assessments and is in conformity with the UNESCO International Classification of Vegetation. Except in a few special cases, it is unlikely that 10% crown cover is detectable on HRSD. The detectable lower limit for this will vary with the type of woody vegetation and with the nature and condition of the associated ground cover.
The threshold of 5 m in height to differentiate trees and shrubs is also that adopted for the periodic FAO forest assessments. On HRSD it is usually possible to distinguish between a tall tree canopy and cover which consists of much shorter woody vegetation, especially when these occur with close spatial relation. However, the reliability of this distinction is variable and it should be confirmed from other sources whenever possible.
The 40% crown cover threshold corresponds to the lower limit for woodland in the UNESCO and other classifications with the purpose to distinguish the latter from the so-called mixed formations of grassland with trees - tree savanna, cerrado etc. In the present study the same crown cover threshold is used to separate open canopy and closed canopy forests.
The class CONTINUOUS is divided into the two main interpretation classes OPEN FOREST and CLOSED CANOPY FOREST based on crown cover; 10–40% and 40–100% respectively.
The very broad range of 40–100% crown cover has been further divided, arbitrarily, into two additional classes DENSE FOREST (Crown cover 40–70%) and DENSE FOREST (Crown cover 70–100%). The 70% threshold has been introduced to account for a wider range of situations in which the division between closed and open forest with a 40% crown cover threshold is not meaningful; tropical rain forest with 60% crown cover may well be a disturbed, degraded formation, while in a drier eco-floristic zone the same crown cover may well represent a stable undisturbed formation.
For the class FRAGMENTED forest (mosaic of forest and shrubs or other land cover) the limits have been set to correspond to those of open canopy forest, FOREST FRACTION 40–70%, and Dense forest (c.c. 40–70%), FOREST FRACTION 40–70%, to facilitate the aggregation of classes of forest cover. For the class shrubs the threshold has been set arbitrarily at 40% crown cover (for consistency with the other limits used) to yield additional information when it can be interpreted from the satellite data.
PART 3. AGRICULTURAL IMPACT
Agricultural impact within continuous forest areas can be detected on HRSD by the presence of small cultivated patches (below the delineation limit) surrounded by equally small patches of natural vegetation at various stages of regrowth and areas of mature, more or less disturbed forest. This structure commonly indicates the on-going practice of shifting cultivation.
From a strictly physiognomic point of view such a forest area would still maintain all the characters of ‘continuous forest’ with a certain crown cover; although degraded, the forest affected by shifting cultivation could maintain, in some cases, the same crown cover as the surrounding unaffected forest.
However, in spite of this, it is important that such situations are detected and monitored in view of the important role that these practices play in the degradation process of the natural resources.
The objective of the interpretation in this case is to outline the portions of forest that appear to be affected by shifting cultivation as forest with AGRICULTURAL IMPACT In practice this would mean to outline, as a sort of mosaic class, the areas under actual cultivation (cleared) and the areas at various stages of regrowth that represent the areas cultivated and subsequently abandoned in a more or less recent past.
An attempt is also made to further divide the class Agricultural Impact two additional classes, named SHORT FALLOW and LONG FALLOW, on the basis of the estimated intensity of the agricultural practices.
The intensity of the shifting cultivation is usually estimated by a ratio given by the length of time for which a given land unit is cultivated over the length of time for which it is left fallow.
FAO (1984) uses Ruthenberg's R factor to classify shifting cultivation in Africa in the following way:
R = C × 100 / (C + F)
where: C = cropping period; F = fallow period.
In that study a value of R greater or equal to 33 is considered the ‘short fallow’ type and an R value smaller than 33 is classed as the ‘long fallow’ type.
The time factor is obviously undetectable in a study based on satellite data. Nevertheless, a similar estimate is possible on the basis of the spatial proportion and distribution of the patches under actual cultivation and the patches under fallow period. This is based on the assumption that the cropping period, whatever length this could have, is constant in time.
An area with Agricultural Impact-Present can be further divided using a visual estimation of the proportion of the cropping area as follows:
Cropping area * 100 / (Cropping + Fallow area)
The area for which the resulting ratio is estimated as equal or over 33 (over 1/3 of the area) is classified as Short Fallow, and the area for which the ratio is estimated as less than 33 (less than 1/3 of the area) is classified as Long Fallow.
INTERPRETATION KEY

(1) Burnt grass layer in woodland areas “hide” the tree cover preventing interpretation.
Burnt forest (not grass) should be classified as “Other land cover”.
(2) Distinction based on auxiliary data.
Note: Main level classes are bolded
With the purpose of identifying the most suitable visual interpretation procedure for the pan-tropical forest cover survey, three different approaches have been tested for a selected site in Zaire and the results compared. The results of this study are described in the Project Paper: “Interpretation of High Resolution Satellite Data and Compilation of Results for Forest Cover State and Change Assessment; Test Site: Zaire” (R. Drigo, 1991) and summarized below:
Given that interpretation of the “1990” image has already been finalized, the three tested procedures for change estimation can be described briefly as follows:
Procedure 1. “Change detection”
Interpret only the changes by superimposing the “1990” interpretation overlay on the “1980” image and subsequently marking only the areas that have changed from one class to another. This approach produces an overlay where only the changes are delineated.
Procedure 2. “Sideways interpretation of the ‘1980’ image”
Carry out the interpretation of the “1980” scene separately with only “sideways” comparison of the previously interpreted “1990” image. This approach produces a complete, separate interpretation of the “1980” data.
Procedure 3. “Interdependent Interpretation; Complete interpretation of the ‘1980’ image with superimposed ‘1990’ delineation”
This procedure represents a combination of the two systems above. The interpretation of the “1980” image is carried out completely (over the common area) with continuous reference to the “1990” interpretation while it is superimposed on the “1980” image. This approach produces a complete interpretation of the “1980” image, with both changed and unchanged classes.
The results of the test study indicate clearly that Procedure 3 is the most suitable for a thorough and consistent estimation of forest cover changes. It is therefore suggested that Procedure 3 be followed based on the evaluation below.
Compared to Procedure 1, Procedure 3 shows a higher sensitivity in the detection of changes. Procedure 1 identifies changes through a visual scanning process that is liable to perceive only changes of high magnitude and may lead, especially on images with a highly fragmented pattern to a systematic underestimation of changes. The higher sensitivity of Procedure 3 is due to the fact that, by thoroughly delineating the “1980” image with the “1990” overlay superimposed, the interpreter is obliged to confirm or change all the lines of the previous interpretation, thus reducing the risk of missing minor changes that a scanning process might not reveal.
Procedure 2, with only background or sideways relation to the previous interpretation, is prone to introducing apparent changes due to the subjective delineation of unchanged boundaries. The risk of apparent changes due to subjective delineation is inversely proportional to the tonal contrast between adjacent classes. Boundaries between forest classes of varying densities or between forest and shifting cultivation, etc. are usually highly subjective and therefore their changes as estimated by Procedure 2 will be very unreliable. Procedure 3 reduces the risk of apparent changes to a minimum since the new delineation is changed only if justified clearly by differences between the two images.
Subjectivity in class delineation is unavoidable in visual interpretation. Procedure 3 offers the possibility of eliminating the effects that the subjectivity of the second interpretation could bring into the estimation of changes.
The “superimposed”, interdependent interpretation of the two images has also a positive effect on the overall class delineation accuracy. In addition to the detection of changes, Procedure 3 allows the interpreter to use a second layer of information over the common area that may help to improve the interpretation carried out on the first image. It is envisaged that the interpreter, while interpreting the second image, will need to go back to the previous overlay (and image) to introduce some changes to classes of uncertain delineation.
This “maturing” process is possible only if the two interpretations are carried out with constant, mutual reference.
[From Project paper “Estimates of Tropical Forest Cover
Cover, Deforestation and Matrices of Change”
(E. Rovainen, PhD thesis, Swedish University of
Agricultural Sciences (SUAS), 1994]
[In this section, a method will be presented for standardizing the observed land cover class-to-class changes of the individual Sampling Units (SU), which have varying time references, to the standard ten-year period 1980–1990.]
1 Background
(…) Let A be the nine-by-nine matrix obtained from the satellite photo-interpretation for the common area of the recent and historical satellite image :
![]() | (4.1) |
Then amn is the area belonging to class m at occasion 1 and class n at occasion 2.
These transition matrices, which exist for each sampling unit, can be used to obtain estimates for arbitrary regions. To make these regional estimates possible, each transition matrix has to be transformed to a tenth-year transition matrix. This was accomplished in the FRA90 project by first making the transition matrix annual using a method called diagonalization.
2 Diagonalization
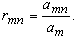
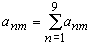
Since the photo-interpreted area varies between each pair of satellite images, the transition data have to be changed to probabilities. Recall that amn is the area belonging to class m at occasion 1 and class n at occasion 2. Let a dot-index denote the sum over that index. Then
![]() | (4.2) |
is the total area belonging to class m at occasion 1.
The probability of belonging to class m at occasion 1 and class n at occasion 2 is
![]() | (4.3) |
Assume t years between occasion 1 and occasion 2. Then the probability transition matrix is denoted by
![]() | (4.4) |
which is known from the photo-interpretation. We want to obtain the annual probability matrix, denoted by P=[pmn]. Here pmn denotes the probability of changing from class m to class n during one year.
The probability transitions can be regarded as a stochastic process. An assumption made here is that the transition probabilities are time-homogenous, thereby fulfilling the Markov property. This means that, given the class at the latest time, the probability to go to class k (for all k) is independent of the classes at earlier time points. The assumption is reasonable at least for short time intervals, and it implies that
P · P · … · P = Pt = R(t).
From this relation the annual probabilities pmn can be calculated using diagonalization [Çinlar (1975)].
The idea behind diagonalization is to split (diagonalize) P in the following way:
P = B · D · B-1
where D is a diagonal matrix. Matrix D has the eigenvalues of P in the diagonal.
![]() | (4.6) |
The columns in B consist of the corresponding eigenvectors.
According to calculation rules for matrices, it holds that
![]() | (4.7) |
and, independently of how B appears, that

If P = B · D · B-1, then
P · P = B · D · B-1 B · D · B-1 = B · D · I · D · B-1 = B · D · D · B-1 = B · D2 · B-1
and by induction
| Pt = B · Dt · B-1, t = 1,2, … . | (4.8) |
Thus from the known R(t) the annual probability matrix P can be obtained as
![]() | (4.9) |
Note that the eigenvalues in D may be complex. It is possible to diagonalize R(t) if the eigenvectors of R(t) are linearly independent. Unfortunately the annual probability matrix P obtained by this method is not necessarily unique.
From the annual probability matrices it is possible to retrieve the areas in different classes for 1980. Let a=[a1,a2, …, a9] be the areas in the different classes at time T (e.g. the first satellite acquisition) and b = [b1,b2, …, b9] the corresponding areas at time (T+1). Then the following holds:
| b = a.P, and | (4.10) | |
| a = b.P-1. | (4.11) |
Example
If the first satellite image is obtained in 1978, then a is known from the photo-interpretation and the areas in the different classes in 1980 are obtained by using (4.10) twice, i.e.
b(80) = a · P · P = a · P2.
If the first satellite image is from 1981, then b is known from the interpretation and the areas in the different classes in 1980 are given by relation (4.11), i.e.
a(80) = b · P-1
Thus it is possible to obtain the interpreted areas in different cover classes for year 1980. Thus estimation of transition matrices and areas for different cover classes are possible using this approach for any arbitrary region in any time period.
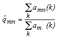
A ten year probability transition matrix can be calculated for all images. Assume that areas for different cover classes are photo-interpreted for all first occasion (i.e., near to the year 1980) satellite images for the sample units selected in the sample. Denote the 10 year transition matrix by Q, where
Q = P · P · … · P = P10
For image k, the 1980s areas are denoted by am (k), m = 1, …, 9. The area transition matrix for 1980–1990 is obtained as
A(k) = [amn (k)],
where
| amn (k) = qmn (k) · am (k) | (4.12) |
For the region, the ten year probability transition matrix
= [
mn] is then estimated as:
![]() | (4.13) |
Practical problems
For the first satellite image acquisition, there is occasionally no area in one or several cover classes. For these classes, it is not possible to calculate the transition probabilities. One way to solve this problem is to let the probability of staying in the same class (i.e. rmn) be equal to one. This implies that all the areas coming from the other cover classes will stay in this class. One reason to make this assumption is that this class will not affect the estimation of transition probabilities for other classes when computing P.
This procedure was considered acceptable when calculating transition probabilities and areas for 1980 and 1990. However for the purpose making forecasts for long time periods, this means that the area will crease in the class (since no area disappears from it).
When making long term forecasts, a better solution is to take the average of the transition probabilities in the class for all matrices in the sample, and then use this average probability in the R-matrix.
References
[Scotti (1990)] Scotti, R (1990). Estimating and projecting forest area at global and local level: A step forward. FAO
[Cochran (1977)] Cochran, W.G (1977). Sampling Techniques. John Wiley & Sons, Inc.
[Çinlar (1975)] Çinlar, E. (1975). Introduction to stochastic processes. Prentice-Hall, Inc.
Gradients are expressed in tonnes per hectares, as absolute values
Ecological zone: WET AND VERY MOIST
| Cover Classes | Closed Forest | Open Forest | Long Fallow | Fragmented Forest1 | Shrub | Short Fallow | Other Land Cover | Water | Plantation | ||
| tonnes/ha | 300 | 100 | 130 | 33 99 | 50 | 40 | 10 | 0 | 150 | ||
| Closed Forest | 300 | 200 | 170 | 201 | 250 | 260 | 290 | 300 | 150 | ||
| Open Forest | 100 | 200 | 30 | 67 | 50 | 60 | 90 | 100 | 50 | ||
| Long Fallow | 130 | 170 | 30 | 31 | 80 | 90 | 120 | 130 | 20 | ||
| Fragm.Forest 1 | 33 | 99 | 201 | 67 | 31 | 49 | 59 | 89 | 99 | 51 | |
| Shrubs | 50 | 250 | 50 | 80 | 49 | 10 | 40 | 50 | 100 | ||
| Short Fallow | 40 | 260 | 60 | 90 | 59 | 10 | 30 | 40 | 110 | ||
| Other Land Cover | 10 | 290 | 90 | 120 | 89 | 40 | 30 | 10 | 140 | ||
| Water | 0 | 300 | 100 | 130 | 99 | 50 | 40 | 10 | 150 | ||
| Plantation | 150 | 150 | 50 | 20 | 51 | 100 | 110 | 140 | 10 | ||
Ecological zone: MOIST WITH SHORT AND LONG DRY SEASON
| Cover Classes | Closed Forest | Open Forest | Long Fallow | Fragmented Forest1 | Shrub | Short Fallow | Other Land Cover | Water | Plantation | ||
| tonnes/ha | 200 | 80 | 70 | 26.4 66 | 30 | 20 | 5 | 0 | 100 | ||
| Closed Forest | 200 | 120 | 130 | 134 | 170 | 180 | 195 | 200 | 100 | ||
| Open Forest | 80 | 120 | 10 | 53.6 | 50 | 60 | 75 | 80 | 20 | ||
| Long Fallow | 70 | 130 | 10 | 4 | 40 | 50 | 65 | 70 | 30 | ||
| Fragm.Forest 1 | 26.4 | 66 | 134 | 53.6 | 4 | 36 | 46 | 61 | 66 | 34 | |
| Shrubs | 30 | 170 | 50 | 40 | 36 | 10 | 25 | 30 | 70 | ||
| Short Fallow | 20 | 180 | 60 | 50 | 46 | 10 | 15 | 20 | 80 | ||
| Other Land Cover | 5 | 195 | 75 | 65 | 61 | 25 | 15 | 5 | 95 | ||
| Water | 0 | 200 | 80 | 70 | 66 | 30 | 20 | 5 | 100 | ||
| Plantation | 100 | 100 | 20 | 30 | 34 | 70 | 80 | 95 | 100 | ||
Ecological zone: SUB-DRY TO VERY DRY
| Cover Classes | Closed Forest | Open Forest | Long Fallow | Fragmented Forest1 | Shrub | Short Fallow | Other Land Cover | Water | Plantation | ||
| tonnes/ha | 120 | 60 | 50 | 19.8 39.6 | 15 | 10 | 3 | 0 | 100 | ||
| Closed Forest | 120 | 60 | 70 | 80.4 | 105 | 110 | 117 | 120 | 20 | ||
| Open Forest | 60 | 60 | 10 | 20.4 | 45 | 50 | 57 | 60 | 40 | ||
| Long Fallow | 50 | 70 | 10 | 10.4 | 35 | 40 | 47 | 50 | 50 | ||
| Fragm.Forest 1 | 19.8 | 39.6 | 80.4 | 20.4 | 10.4 | 24.6 | 29.6 | 36.6 | 39.6 | 60.4 | |
| Shrubs | 15 | 105 | 45 | 35 | 24.6 | 5 | 12 | 15 | 85 | ||
| Short Fallow | 10 | 110 | 50 | 40 | 29.6 | 5 | 7 | 10 | 90 | ||
| Other Land Cover | 3 | 117 | 57 | 47 | 36.6 | 12 | 7 | 3 | 97 | ||
| Water | 0 | 120 | 60 | 50 | 39.6 | 15 | 10 | 3 | 100 | ||
| Plantation | 100 | 20 | 40 | 50 | 60.4 | 85 | 90 | 97 | 100 | ||