A. Méthode utilisée pour estimer la prévalence de la sous-alimentation en 2020, 2021 et 2022
Comme dans les éditions précédentes de ce rapport, en raison d’un manque d’informations directes sur les valeurs les plus récentes de chacun des éléments utilisés pour calculer la prévalence de la sous-alimentation (PoU) et le nombre de personnes sous-alimentées (NoU) (voir l’annexe 1B), les estimations relatives aux toutes dernières années sont des prévisions immédiates; en d’autres termes, elles se rapportent au passé très récent.
Comme nous l’avons déjà indiqué dans l’édition de l’année dernière, 2020 et 2021 ont été des années atypiques à de nombreux égards, du fait de la pandémie de covid-19 et de ses effets persistants. Il a fallu prendre en compte des facteurs particuliers pour établir les prévisions immédiates des valeurs de la prévalence de la sous-alimentation, notamment pour estimer l’évolution probable du coefficient de variation (CV) et pour modéliser la manière dont les inégalités d’accès à la nourriture contribuent aux taux de sous-alimentation. Ces deux aspects ont nécessité un traitement spécifique compte tenu des conditions de fonctionnement très particulières des systèmes alimentaires durant la pandémie.
La méthode employée pour la projection des valeurs de CV|y de 2019 à 2021 et des plages d’estimations de la PoU et du NoU est la même que celle utilisée dans la précédente édition, mais des points supplémentaires, décrits ci-après, ont été pris en compte pour l’année 2022.
Projection de CV|y jusqu’en 2021
Les valeurs de consommation d’énergie alimentaire (DEC) sont des prévisions immédiates obtenues à l’aide de la méthode classique fondée sur les informations fournies par la Division des marchés et du commerce de la FAO – lesquelles servent de base pour l’élaboration des Perspectives agricoles –, mais il a fallu modifier la méthode utilisée jusqu’ici pour établir les prévisions immédiates du CV afin de tenir compte des conditions particulières qui ont marqué les années 2020 et 2021. Normalement, les changements de coefficient de variation imputable aux revenus (CV|y) – composante du coefficient de variation correspondant aux différences dans la situation économique des ménages – sont dérivés des différences entre les moyennes sur trois ans de la prévalence de l’insécurité alimentaire grave (FIsev) estimée à partir de l’échelle FIES qui ne sont pas expliquées par des variations des disponibilités alimentaires. L’utilisation de la moyenne sur trois ans permet de corriger l’éventuelle variabilité excessive de l’échantillonnage dans les estimations de FIsev au niveau des pays (lesquelles sont, pour la plupart des pays, fondées sur des échantillons relativement petits de données FIES) et elle est conforme à l’hypothèse selon laquelle CV|y suit une tendance relativement stable. Étant donné la nature exceptionnelle des années 2020 et 2021, cette hypothèse pouvait difficilement être maintenue. Pour cette raison, les prévisions immédiates des valeurs de Cv|y en 2020 ont été établies sur la base des variations observées entre la moyenne 2017-2019 et les valeurs annuelles de 2020 de FIsev, et les prévisions immédiates des valeurs de Cv|y en 2021 ont été calculées à partir des variations entre les valeurs annuelles de FIsev pour 2020 et 2021.
Le deuxième paramètre dont il a fallu tenir compte pour établir la prévision immédiate de la valeur de la PoU en 2020 est la part de la variation de FIsev (utilisée comme variable indicatrice de la variation attendue de la PoU) attribuée à CV|y. On a habituellement considéré qu’elle était d’un tiers, d’après l’analyse économétrique des valeurs précédentes de la prévalence de la PoU, de la DEC et de CV|y. La nature exceptionnelle des années 2020 et 2021 a remis en question ce postulat. Faute de données collectées dans le cadre d’enquêtes nationales sur la consommation et les dépenses des ménages en 2020 et 2021, on ne dispose pas de base empirique sur laquelle opérer un ajustement adéquat. La solution adoptée a consisté à effectuer une analyse de sensibilité en faisant passer le pourcentage de variation de FIsev qui est attribué à CV|y d’un minimum d’un tiers à un maximum de 1. On a ainsi obtenu les limites inférieure et supérieure des séries estimées pour 2020 et 2021.
Considérations particulières s’agissant de 2022
Bien que les principaux effets de la pandémie de covid-19 se soient estompés et que les activités de collecte de données aient commencé à se normaliser en 2022, il demeure une grande incertitude quant à la manière dont les inégalités d’accès à l’alimentation ont pu évoluer au cours de cette année. On ne sait pas encore si la pandémie et les autres perturbations qui ont touché les systèmes agroalimentaires dans le monde au cours des trois dernières années ont eu un effet durable sur les rôles respectifs des éléments liés à l’offre et à la demande dans l’accès des populations à la nourriture. De ce fait, il a fallu modifier légèrement la méthode employée pour établir les prévisions immédiates de CV|y, et donc de la PoU, en 2022.
On a notamment utilisé une valeur de 33 pour cent en tant que contribution probable des variations du CV à l’évolution constatée de la PoU pour calculer le point médian de la série estimée, qui correspond à ce que serait un «retour à la normale» (voir l’annexe 1B). Des valeurs supplémentaires de 50, 67 et 100 pour cent ont ensuite été appliquées, pour chaque pays séparément, afin de tenir compte des différentes hypothèses possibles concernant la contribution de CV|y à la PoU en 2022. Il convient toutefois de noter que, contrairement à ce qui a été obtenu pour les années 2020 et 2021, pour lesquelles les estimations fondées sur l’échelle FIES ont révélé une aggravation de l’insécurité alimentaire presque partout, les hypothèses reposant sur une contribution plus importante du CV à l’évolution de la PoU ont fait apparaître des incidences inverses pour la valeur de 2022. Sachant que les estimations de la prévalence de l’insécurité alimentaire grave ont montré une amélioration de la situation dans de nombreux pays entre 2021 et 2022, nos projections sont calculées à partir d’une réduction, et non d’une augmentation, de CV|y. La combinaison de l’ensemble des estimations les plus faibles et de l’ensemble des estimations les plus élevées pour les différents pays a permis de définir les limites inférieure et supérieure, respectivement, des séries mondiales et régionales. Globalement, on obtient une plage légèrement plus étroite d’estimations de la PoU et du NoU à l’échelle mondiale en 2022 que pour les deux années précédentes (tableau A2.1).
TABLEAU A2.1PRÉVISIONS IMMÉDIATES DES PLAGES DE LA PRÉVALENCE DE LA PoU ET DU NoU POUR 2020, 2021 ET 2022

SOURCE: Auteurs du présent document (FAO).
Le tableau A2.1, présente les limites inférieures et supérieures de la PoU en 2020, 2021 et 2022 aux niveaux mondial, régional et sous-régional.
B. Méthode de projection de la prévalence de la sous-alimentation jusqu’en 2030
Pour obtenir des projections des valeurs de la PoU jusqu’en 2030, nous effectuons la projection des trois variables fondamentales de la formule de la prévalence de la sous-alimentation (DEC, CV et MDER) séparément, avec des données d’entrée différentes selon le scénario considéré.
La principale source d’information est la sortie du modèle d’équilibre général calculable dynamique et récursif MIRAGRODEP, qui fournit des séries de valeurs projetées, au niveau des pays, pour:
- le PIB réel par habitant (GDP_Vol_pc);
- le coefficient de Gini des revenus (gini_income);
- un indice des prix réels des produits alimentaires (Prices_Real_Food);
- l’incidence de la pauvreté extrême (pourcentage de la population dont le revenu quotidien réel est inférieur à 2,15 USD) (x215_ALL);
- la consommation journalière par habitant (DES_Kcal).
Le modèle MIRAGRODEP a été calibré sur la situation de l’économie mondiale en 2018, avant la pandémie de covid-19, et a été utilisé pour générer des projections des fondamentaux macroéconomiques sur la période 2019-2030 pour trois scénarios: 1) «avant la covid-19» – scénario tenant compte des incidences, s’agissant des disponibilités alimentaires et de l’accès à la nourriture (et donc de la PoU), des perspectives économiques mondiales, telles qu’elles étaient présentées avant le déclenchement de la pandémie dans les Perspectives de l’économie mondiale publiées par le FMI en 2019; 2) «avant la guerre en Ukraine» – même méthode, mais d’après les Perspectives de l’économie mondiale publiées en octobre 2021; et 3) «perspectives actuelles» – d’après les dernières Perspectives de l’économie mondiale, publiées en avril 202317. Une description plus détaillée du modèle MIRAGRODEP, ainsi que des hypothèses utilisées pour élaborer les différents scénarios, figure dans Laborde et Torero (2023)18.
Par ailleurs, nous utilisons les projections des variantes médianes de la population totale (femmes et hommes), de la composition par sexe et par âge, et du taux brut de natalité provenant de l’édition 2022 du rapport World Population Prospects du Département des affaires économiques et sociales de l’ONU4.
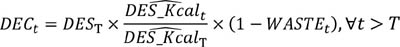
Projections de la consommation d’énergie alimentaire (DEC)
Pour établir les projections de la série de la DEC, nous utilisons la formule suivante:

où T = 2019 pour le scénario «avant la covid-19», T = 2021 pour le scénario «avant la guerre en Ukraine», and T = 2022 pour le scénario «perspectives actuelles».
En d’autres termes, nous partons de la série de DES_Kcal projetée par le modèle et ajustons son niveau de sorte que la valeur pour l’année T corresponde à la valeur réelle. (Cet ajustement est nécessaire, car le modèle MIRAGRODEP a été calibré sur une série de bilans alimentaires plus ancienne.)
Projections des besoins énergétiques alimentaires minimaux (MDER)
Nous calculons les projections des MDER simplement à partir des données sur la composition de la population par sexe et par âge issues des projections établies dans l’édition 2019 du rapport World Population Prospects4 (variante moyenne).
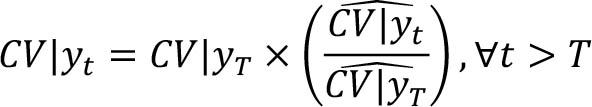
Projections du coefficient de variation (CV)
Comme précisé dans la note méthodologique relative à la PoU figurant à annexe 1B, le CV total est calculé de la manière suivante:
où les deux composantes correspondent à la variabilité de la consommation d’énergie alimentaire par habitant due aux différences de niveau de revenu entre les ménages et à la variabilité entre les individus en fonction du sexe, de l’âge, de la masse corporelle et du niveau d’activité physique. Pour obtenir les projections du CV en 2025 et en 2030, on applique la formule ci-dessus aux composantes CV|r et CV|y projetées séparément. La projection de CV|r est calculée à partir de la projection de la composition de la population par sexe et par âge fournie dans le rapport World Population Prospects (comme pour les MDER), tandis que celle de CV|y est définie comme étant une combinaison linéaire des variables macroéconomiques et démographiques pertinentes projetées, comme suit:

Pour estimer les coefficients de la formule ci-dessus, nous avons utilisé d’autres modèles dans la présente édition du rapport, lesquels représentent une amélioration par rapport au modèle utilisé en 2022. Comme le montre le résumé proposé dans le tableau A2.2, les coefficients des trois autres modèles sont très similaires, et donnent par conséquent des prévisions très comparables lorsqu’ils sont appliqués à la même série de variables indépendantes projetées issues du modèle MIRAGRODEP et de l’édition 2022 du rapport World Population Prospects4.
La méthode d’estimation, fondée sur une régression linéaire à effets aléatoires, reste la même que les années précédentes; les principales différences par rapport au modèle utilisé pour générer les projections de CV|y en 2022 résident dans l’ensemble de données historiques soumis au modèle d’estimation.
Premièrement, nous sommes partis cette année de la nouvelle série de valeurs historiques de CV|y utilisée pour établir la série actuelle d’estimations de la PoU présentées dans le tableau 1 et le tableau A1 du rapport, laquelle comprend une révision de certaines estimations obtenues à partir de données issues d’enquêtes de consommation alimentaire qui avaient été utilisées auparavant, mais qui ont été retraitées à partir de tables de composition des aliments améliorées et actualisées, ainsi que de valeurs provenant de la toute nouvelle analyse de 14 enquêtes supplémentaires (voir la note méthodologique relative à la PoU à l’annexe 1B).
Le plus important, cependant, est que nous avons utilisé cette année de nouvelles séries de données historiques relatives au PIB réel par habitant, au coefficient de Gini des revenus, à l’indice des prix à la consommation (IPC) réel des produits alimentaires, à l’incidence de la pauvreté, au taux brut de natalité et à la population totale. Concernant l’incidence de la pauvreté et le coefficient de Gini des revenus, nous avons limité notre échantillon aux estimations fondées sur des enquêtes auprès des ménages publiées sur la plateforme Pauvreté et inégalités (PIP) de la Banque mondiale, laquelle remplace à la fois la base de données PovcalNet et le portail Poverty and Equity Data (abandonnés en mars 2022). La principale conséquence de cette restriction aux valeurs fondées sur des enquêtes auprès des ménages dans les séries provenant de la plateforme PIP est la réduction du nombre de combinaisons pays/année pour lesquelles on dispose d’estimations directes du coefficient de Gini des revenus et de l’incidence de la pauvreté. Le nombre de points de données que nous pouvons utiliser pour estimer notre modèle est donc ramené à 75 (contre 119 en 2022).
En outre, toutes les séries économiques provenant de la plateforme PIP et des Perspectives de l’économie mondiale du FMI ont été actualisées pour tenir compte des nouvelles parités de pouvoir d’achat (PPA) de l’année de référence 2017 publiées par le Programme de comparaison internationale (PCI)19.
Étant donné que diverses actualisations de données ont été effectuées et que les écarts dans les coefficients estimés entre le modèle utilisé en 2022 et celui de cette année (modèle 3) sont relativement importants, et débouchent sur des projections légèrement différentes et plus optimistes des réductions de CV|y, nous avons estimé deux modèles intermédiaires supplémentaires pour démêler les raisons qui expliquent ces résultats divergents. Nous avons d’abord estimé un modèle (modèle 1 du tableau A2.2) à l’aide de l’ancien ensemble de données pour les variables à la fois dépendantes et indépendantes, mais en nous limitant aux 69 combinaisons pays/année communes aux 119 points de données utilisés en 2022 et aux 75 utilisés cette année. Nous avons ensuite pris les nouvelles données en provenance de la plateforme PIP, mais en conservant les valeurs correspondant à l’incidence de la pauvreté en PPA de 2011 (modèle 2), avant d’utiliser l’ensemble des nouvelles versions des variables dans le modèle ayant servi in fine à établir nos projections (modèle 3).
TABLEAU A2.2COEFFICIENTS DE RÉGRESSION DE TROIS AUTRES MODÈLES ESTIMÉS À PARTIR DES VALEURS CV|y HISTORIQUES (2000-2018) ET COMPARAISON AVEC LE MODÈLE UTILISÉ EN 2022

En comparant les valeurs des coefficients estimés figurant dans les colonnes 3 à 6 du tableau A2.2, on note que l’impact principal est lié à la suppression de combinaisons pays/années qui reposaient sur des valeurs interpolées ou modélisées de l’incidence de la pauvreté ou du coefficient de Gini des revenus: entre le modèle utilisé en 2022 et le modèle 1, les coefficients de Gini des revenus et de PIB réel par habitant augmentent, en valeur absolue et en degré de signification statistique. Un autre effet notable peut être associé aux actualisations effectuées pour obtenir les données 2023 et à l’ajout de six combinaisons pays/années supplémentaires: les coefficients de Gini des revenus, de PIB réel par habitant et d’IPC réel des produits alimentaires augmentent encore, tandis que celui relatif à l’incidence de la pauvreté diminue dans le modèle 2 par rapport au modèle 1. Enfin, l’actualisation de l’incidence de la pauvreté avec les PPA de 2017 a des effets globalement négligeables, car les coefficients des modèles 2 et 3 sont très proches pour l’ensemble des variables (à l’exception partielle de l’incidence de la pauvreté, dont la contribution à l’évolution de CV|y diminue).
Notre sentiment général est que les projections de CV|y réalisées cette année sont plus solides. Les nouveaux coefficients estimés indiquent que la contribution des variables explicatives à la prédiction de CV|y va dans le même sens que celle des estimations antérieures, mais que ce même modèle correspond bien mieux aux données désormais, comme le montre l’augmentation du coefficient r2 et des ratios entre les coefficients estimés et les erreurs types, notamment pour le PIB réel par habitant et le coefficient de Gini des revenus.
La série de valeurs CV|y prédites par la formule pour chaque pays séparément pour les années T + 1 jusqu’à 2030 est ensuite calibrée sur la valeur correspondant à l’année T, comme dans le cas des disponibilités énergétiques alimentaires (DES):

où T = 2019 pour le scénario «avant la covid-19», T = 2021 pour le scénario «avant la guerre en Ukraine» et T = 2022 pour le scénario «perspectives actuelles».
C. Méthode utilisée pour analyser l’insécurité alimentaire en fonction du degré d’urbanisation et du sexe
La prévalence de l’insécurité alimentaire peut être ventilée en fonction des caractéristiques des répondants/ménages lorsque les données sont collectées directement auprès de personnes formant des échantillons représentatifs au niveau national. Le chapitre 2 présente les estimations de l’insécurité alimentaire ventilées en fonction du sexe du répondant (femme ou homme adulte) et par degré d’urbanisation (lieu de résidence urbain, périurbain ou rural – classification DEGURBA).
La méthode employée pour ventiler l’indicateur en fonction des caractéristiques des personnes ou des ménages est la suivante:
- On calcule la probabilité – en veillant à la comparabilité entre les pays – que chaque répondant soit en situation d’insécurité alimentaire, pour deux niveaux de gravité: modérée ou grave, ou grave uniquement. On procède ensuite à l’agrégation des probabilités pour chaque catégorie relevant de la caractéristique considérée, par le calcul de la moyenne pondérée (au moyen des pondérations d’échantillonnage) de tous les répondants de la catégorie, pour obtenir la prévalence de l’insécurité alimentaire au sein de ce groupe (ensemble des personnes interrogées de sexe féminin, par exemple).
- L’insécurité alimentaire dans une catégorie donnée est pondérée par la population correspondante (nombre de femmes adultes résidant dans le pays, par exemple) pour obtenir l’estimation sous-régionale/régionale/mondiale (prévalence de l’insécurité alimentaire au sein de la population féminine adulte en Afrique du Nord, par exemple), si des données démographiques fiables sont disponibles et si la couverture géographique (en pourcentage de la population) est suffisante.
Le calcul de la prévalence de l’insécurité alimentaire par sexe est possible parce que les données sont recueillies par la FAO (par l’intermédiaire de prestataires de services) auprès des personnes (adultes âgés de 15 ans ou plus) (voir l’annexe 1B). Lorsqu’on utilise les données provenant d’enquêtes publiques nationales pour estimer la prévalence de l’insécurité alimentaire dans un pays (voir l’annexe 1B), il n’est généralement pas possible de ventiler l’indicateur par sexe, car les informations sont recueillies au niveau des ménages. Cette année, pour la première fois, un protocole a été mis au point pour remédier à ce problème. Dans ce type de cas, la différence relative selon le sexe, estimée à partir des données collectées par la FAO, est appliquée à la prévalence de l’insécurité alimentaire dans la population totale établie à partir des données nationales. Il s’agit d’une approximation, car la différence mise en évidence à l’aide des données de la FAO concerne les répondants adultes, et non la totalité de la population. Cependant, l’avantage est que les statistiques par sexe sont cohérentes, s’agissant des niveaux et des tendances, avec celles de la population globale. Une révision intégrale de la série a été effectuée pour la présente édition du rapport, et a débouché sur des actualisations mineures des niveaux de prévalence de l’insécurité alimentaire par sexe sur le plan régional et mondial par rapport à l’édition de 2022.
Une ventilation en fonction des degrés d’urbanisation de la classification DEGURBA a été possible pour la première fois cette année, car en 2021 Gallup© a commencé à géoréférencer tous les entretiens dans les pays où les données étaient collectées en personne. En 2022, le géoréférencement a été appliqué aux pays dans lesquels les entretiens se déroulaient par téléphone, ce qui a offert une représentation géographique suffisante pour établir des estimations de l’insécurité alimentaire aux niveaux sous-régional/régional/mondial en fonction de la classification DEGURBA.
Pour chaque pays, il est possible de relier chaque observation géoréférencée à l’ensemble de données DEGURBA, en déterminant si le répondant en question réside dans une ville grande ou moyenne, une petite ville, ou une zone rurale, en fonction de la densité et de la taille de la population, au moyen des critères comparables à l’échelle internationale élaborés par EUROSTAT, l’OIT, la FAO, l’OCDE, ONU-Habitat et la Banque mondiale et approuvés par la Commission de statistique de l’ONU à sa 51e session, en mars 202020. La prévalence de l’insécurité alimentaire est calculée pour chaque degré d’urbanisation, puis agrégée au niveau sous-régional/régional/mondial à l’aide de la distribution actualisée de la population en fonction de la classification DEGURBA qui a été publiée en 2020 par EUROSTAT21. En ce qui concerne les pays pour lesquels les statistiques relatives à l’insécurité alimentaire sont produites à partir de données nationales, on a employé la même méthode d’approximation que celle décrite pour la ventilation par sexe.
Aucune donnée FIES n’ayant été collectée par la FAO en Chine en 2022, et les données recueillies en 2021 n’ayant pas été géoréférencées, les estimations de l’insécurité alimentaire en fonction des degrés d’urbanisation de la classification DEGURBA ont été établies par approximation, comme suit: la prévalence de l’insécurité alimentaire en 2021 a été ventilée en fonction du lieu de résidence, tel que défini dans le sondage mondial de Gallup© – les répondants doivent en effet indiquer s’ils vivent dans une zone rurale ou une exploitation agricole; une petite ville ou un village; une grande ville ou la banlieue d’une grande ville. Les catégories ont ensuite été mises en correspondance avec la classification DEGURBA – les personnes vivant en zone rurale ou sur une exploitation agricole ont été considérées comme appartenant à la population «rurale», celles vivant dans une petite ville ou un village comme faisant partie de la population «périurbaine», et celles vivant dans une grande ville ou dans sa banlieue comme étant des résidents «urbains». La logique qui a été suivie repose sur le fait que, dans la classification DEGURBA, les zones sont réparties en fonction de la densité et de la taille de leur population. Afin de s’assurer qu’aucun biais n’a été introduit, on a de nouveau vérifié la validité de cette méthode pour d’autres pays asiatiques dans lesquels des données avaient été collectées en 2022.
D. Méthode d’estimation du coût et de l’abordabilité d’une alimentation saine
La FAO, avec l’aide du Groupe de la Banque mondiale, suit de manière systématique les indicateurs relatifs au coût et à l’abordabilité (accessibilité économique) d’une alimentation saine (CoAHD), et a récemment commencé à publier les données de la série actualisée dans la base de données FAOSTAT22. Les estimations ont été actualisées pour l’année 2021 (voir les sections ci-après, Actualisation du coût d’une alimentation saine et Actualisation de l’abordabilité d’une alimentation saine). En outre, la FAO révise périodiquement l’intégralité de la série de données afin de perfectionner la méthode en continu et de générer des estimations fiables des indicateurs CoAHD.
Coût d’une alimentation saine
Le coût d’une alimentation saine correspond au coût des denrées les moins chères disponibles dans chaque pays qui satisfont aux besoins énergétiques et aux recommandations nutritionnelles fondées sur le choix des aliments, sur la base d’une consommation de 2 330 kcal/jour assurant l’équilibre énergétique d’une personne représentative. Ces recommandations nutritionnelles fondées sur le choix des aliments préconisent explicitement des quantités pour chaque groupe d’aliments et offrent une large représentation régionale. Bien qu’elle ne soit pas établie en fonction de la teneur en éléments nutritifs, mais déterminée à partir des recommandations nutritionnelles fondées sur le choix des aliments, cette alimentation satisfait en moyenne près de 95 pour cent des besoins en nutriments, et peut donc être presque toujours considérée comme suffisamment nutritive.
Les disponibilités et les prix des denrées de chaque groupe d’aliments entrant dans une alimentation saine ont été obtenus auprès du programme PCI de la Banque mondiale sous la forme de moyennes nationales pour 2017. Les définitions des denrées sont normalisées au niveau international, ce qui permet d’opérer un classement par groupe d’aliments et de calculer le coût le plus faible d’une alimentation respectant les recommandations nutritionnelles fondées sur le choix des aliments dans chaque pays, sous la forme d’une moyenne entre les marchés sur l’ensemble de l’année19. L’indicateur relatif au coût d’une alimentation saine est calculé à partir d’un assortiment standard, appelé «assortiment d’aliments sains», qui comprend six groupes d’aliments et reprend les éléments communs à 10 recommandations nutritionnelles fondées sur le choix des aliments. Pour une description détaillée de ce qu’est une alimentation saine et de la méthode y afférente, voir Herforth et al. (2020, 2022)23, 24.
Abordabilité d’une alimentation saine
Pour déterminer l’abordabilité aux fins du présent rapport, on compare le coût d’une alimentation saine à la répartition des revenus par pays dérivées des données de la plateforme PIP de la Banque mondiale25. Les mesures de l’abordabilité ainsi obtenues comprennent le pourcentage et le nombre de personnes qui n’avaient pas les moyens d’avoir une alimentation saine dans un pays donné en 2021. Une alimentation saine est considérée comme inabordable lorsque son coût dépasse 52 pour cent du revenu moyen dans un pays donné. Ce pourcentage représente la part du revenu qui peut raisonnablement être réservée à la nourriture et s’appuie sur des observations indiquant que la population des pays à faible revenu dépense en moyenne 52 pour cent de ses revenus en nourriture (d’après les données des comptes nationaux relatives aux dépenses des ménages de 2017, publiées par le programme PCI).
En se fondant sur cette limite, on compare le coût de l’alimentation à la répartition des revenus dans les pays pour obtenir le pourcentage de personnes pour lequel il est trop élevé. Cette proportion est ensuite multipliée par la population de chaque pays en 2021, à partir des indicateurs du développement dans le monde de la Banque mondiale26, pour obtenir le nombre de personnes dans un pays donné pour lesquelles une alimentation saine est hors de portée. Pour une description détaillée des indicateurs d’abordabilité et de la méthode y afférente, voir l’annexe 3 dans FAO, FIDA, OMS, PAM et UNICEF (2020)27.
Actualisation du coût d’une alimentation saine
Le PCI est actuellement la seule source de données sur les prix au détail des denrées normalisées au niveau international, produites dans le cadre des activités plus générales de calcul des taux de change en PPA entre tous les pays du monde. Cependant, ces données ne sont mises à disposition que tous les trois à cinq ans, ce qui ne permet pas d’effectuer un suivi annuel du coût de l’alimentation au niveau mondial aux fins de l’orientation des programmes et des politiques. En l’absence de données actualisées sur les prix des produits alimentaires, la méthode utilisée dans ce rapport pour mettre à jour l’indicateur de coût entre deux années de publication du PCI repose sur les indices des prix à la consommation (IPC) de la FAO. Cet ensemble de données suit l’évolution mensuelle des IPC au niveau national, tant pour les denrées alimentaires que pour les autres types de produits, en prenant 2015 comme année de base. Les IPC annuels sont calculés en établissant une simple moyenne des 12 indices mensuels. Il convient de noter en particulier que les données des IPC des produits alimentaires et des boissons non alcoolisées ont été utilisées pour actualiser le coût d’une alimentation saine en 2021 pour l’ensemble des pays, à l’exception du Guyana et de la République centrafricaine, pour lesquels on a eu recours à l’IPC général. Le coût d’une alimentation saine a été estimé pour la série complète (2018-2021) en multipliant le coût réel dans chaque pays en 2017, exprimé en unités monétaires locales, par le ratio des IPC, et en divisant le résultat par les parités de pouvoir d’achat:

On commence par actualiser le coût d’une alimentation saine en unités monétaires locales. On le convertit ensuite en dollars internationaux, à l’aide des facteurs de conversion en PPA de la consommation privée28 donnés par les indicateurs du développement dans le monde, afin de comparer ce coût entre les pays et entités politiques. Pour une description détaillée de la méthode, voir Bai et al. 202329.
Le coût d’une alimentation saine a été calculé pour 169 pays et territoires en 2017. Ces informations ont été actualisées pour la période 2018-2021 pour l’ensemble des pays, à l’exception d’Anguilla, de Montserrat et de la Province chinoise de Taïwan, pour lesquels il n’existe pas d’informations relatives aux IPC ni aux PPA. Sur les 166 pays et territoires restants, 24 pays ne disposaient pas de données relatives aux PPA pour au moins une année de la période 2018-2021bg, et un territoire n’avait pas de données sur les IPC (Îles Turques-et-Caïques). Pour ces 24 pays, des imputations de PPA ont été appliquées à l’aide d’un modèle autorégressif à moyenne mobile intégrée avec variable explicative externe (ARIMAX). Conformément à la méthode d’extrapolation des PPA employée par la Banque mondiale pour les indicateurs du développement dans le monde, le ratio entre l’IPC général d’un pays et l’IPC du pays de référence (en l’occurrence, les États-Unis d’Amérique) est introduit dans la spécification du modèle en tant que principal prédicteur des valeurs des PPA. Le PIB par habitant et les dépenses de consommation des ménages par habitant sont également ajoutés en tant que covariables externes, et la méthode de lissage de Holt-Winter est appliquée aux deux séries pour combler les éventuelles lacunes. L’approche ARIMAX permet d’estimer, pour chaque pays, plusieurs spécifications de modèle comprenant une composante autorégressive, une composante d’intégration, une moyenne mobile et une combinaison de ces trois éléments. La meilleure spécification est sélectionnée lorsque le coefficient estimé du ratio des IPC, au moins, est statistiquement significatif, la signification statistique des paramètres ARIMAX étant considérée en deuxième lieu. Dans le cas des pays et des territoires qui affichent des séries de PPA anormales dans la durée, le ratio des IPC se révèle être le seul coefficient statistiquement significatif qui influe sur la variabilité des valeurs des PPA. Pour les pays et territoires qui présentent des séries de PPA moins volatiles, en revanche, la tendance historique des PPA joue également un rôle dans la prédiction des valeurs des PPA, tout comme les coefficients estimés du PIB par habitant et/ou des dépenses par habitant. Le modèle ARIMAX calcule les valeurs prédites pour la meilleure spécification sélectionnée pour chaque pays/territoire.
Pour le territoire pour lequel on ne disposait pas d’informations sur les IPC (Îles Turques-et-Caïques), des imputations de coûts ont été appliquées à partir du coût moyen de l’alimentation dans la sous-région correspondante:

Les coûts moyens sous-régionaux ont été calculés en excluant les Îles Turques-et-Caïques.
L’une des limites de cette méthode d’actualisation du coût d’une alimentation saine sur la période 2018-2021 est que l’évolution du coût dépend des IPC (des produits alimentaires) et ne reflète pas les changements concernant des denrées en particulier dans les prix des produits alimentaires, ni les variations des prix selon les groupes d’aliments, en raison de l’absence de nouvelles données de prix au niveau des articles pour davantage d’aliments nutritifs. La FAO réfléchit à la manière d’étendre la communication des données sur les prix au niveau des articles, afin de pouvoir réaliser un suivi plus régulier et plus rigoureux du coût d’une alimentation saine.
Actualisation de l’abordabilité d’une alimentation saine
L’abordabilité a été actualisée pour les années 2018-2021 aux fins du présent rapport. Sur les 169 pays et territoires pour lesquels on disposait d’informations sur les coûts pour l’année 2017, les indicateurs d’abordabilité ont été estimés pour les 143 d’entre eux qui étaient associés à des répartitions des revenus dans la base de données PIP. Ces informations ont été actualisées pour l’ensemble des pays et des territoires pour la période 2018-2021, à l’exception de la Province chinoise de Taïwan, pour laquelle on ne dispose pas d’IPC des produits alimentaires.
Grâce à des mises à jour régulières à partir des nouvelles enquêtes nationales et imputations de données, la répartition des revenus pour les années de référence 2020 et 2021 est maintenant disponible et a été actualisée dans la base de données PIP25 pour de nombreux pays et territoires. Afin d’actualiser l’abordabilité pour ces années, la répartition issue de la base de données PIP a été utilisée pour 78 des 142 pays/territoires en 2020, et pour 27 d’entre eux en 2021. Pour les autres (64 en 2020; 115 en 2021), l’abordabilité a été estimée par l’équipe PIP à l’aide d’une répartition projetée30, obtenue en recourant aux méthodes standard utilisées par la Banque mondiale pour établir des prévisions immédiates de la pauvreté31. Enfin, la proportion de personnes n’ayant pas les moyens de s’alimenter sainement, estimée à l’aide des deux méthodes, a été multipliée par la population de chaque pays/territoire, à partir des indicateurs du développement dans le monde de la Banque mondiale, pour obtenir le nombre de personnes pour lesquelles une alimentation saine était économiquement inaccessible. Les dernières estimations des indicateurs d’abordabilité ont été établies le 26 avril 2023. La répartition des revenus étant continuellement mise à jour dans la base PIP, il est possible que les valeurs estimées de l’abordabilité aient légèrement changé depuis cette date.
Dans l’édition de cette année, la méthode a été notamment révisée pour la série de données relatives à l’abordabilité. Les nouvelles PPA pour 2017 ont été publiées récemment, et la Banque mondiale a utilisé les derniers facteurs de conversion pour exprimer sa série d’indicateurs monétaires en PPA de 2017, y compris la répartition des revenus issue de la base de données PIP25. Cela signifie que les indicateurs d’abordabilité ne sont plus exprimés en PPA de 2011, comme les années précédentes, mais en PPA de 2017. Le changement d’année de base a entraîné des variations notables de l’abordabilité pour certains pays. Cela étant, ce changement s’accompagne d’une amélioration de la qualité des PPA et d’une meilleure prise en compte des situations économiques actuelles dans le monde32. Plus précisément, pour sept pays, la proportion de personnes n’ayant pas les moyens de s’alimenter sainement était inférieure d’au moins 7 points de pourcentage par rapport à 2021 lorsqu’elle était exprimée en PPA de 2017 et non en PPA de 2011 (Angola, Égypte, État plurinational de Bolivie, Iraq, Jordanie, Sao Tomé-et-Principe et Suriname). Inversement, elle était supérieure de 14 points et 7 points au Ghana et au Belize, respectivement. La Banque mondiale a également fait état de différences considérables dans la mesure des taux de pauvreté pour ces mêmes pays à la suite de l’adoption des PPA de 2017. Ces changements ont été soigneusement analysés, et il s’est avéré qu’ils découlaient de l’amélioration des PPA32. Dans certains de ces pays, les PPA de 2017 reposent sur des données de prix correspondant à une liste plus importante d’articles que celle prise en compte lors de l’établissement des PPA de 2011; dans d’autres pays, les données de prix ont été collectées pour la première fois en 2017, ce qui a permis de ne plus se limiter aux PPA imputées. S’agissant des pays à revenu intermédiaire de la tranche supérieure, comme le Ghana et le Belize, on note une augmentation des seuils de coût entre 2011 et 2017, et donc de la proportion et du nombre de personnes dont les revenus sont passés sous ces valeurs (autrement dit, qui n’ont pas les moyens de s’alimenter sainement)33.
E. Méthode utilisée pour analyser les résultats nutritionnels dans les zones rurales et les zones urbaines
L’analyse des différences entre les zones rurales et les zones urbaines présentée à la section 2.3 a été menée en appliquant le critère du lieu de résidence (urbain ou rural) à quatre indicateurs de nutrition, à partir des estimations régionales et de leurs intervalles de confiance. Elle a été effectuée pour les différentes régions sur la base des données disponibles pour les pays de chaque région.
Nous avons réalisé une analyse pondérée, en nous appuyant sur les données disponibles les plus récentes, tirées d’enquêtes nationales conduites entre 2015 et 2021. La liste des pays inclus dans chaque région figure dans le tableau A2.3; les sources des données sont indiquées dans les notes figurant sous celui-ci.
Tableau A2.3Pays et territoires pour lesquels on dispose de données sur les résultats nutritionnels tirées d’enquêtes nationales menées entre 2015 et 2021 pour l’allaitement maternel exclusif et entre 2016 et 2022 pour le retard de croissance, l’émaciation et l’excès pondéral, utilisées dans le cadre de l’analyse des différences entre les zones rurales et les zones urbaines

Les résultats régionaux pour les zones urbaines et pour les zones rurales qui sont présentés ici reposent sur une analyse pondérée par la population d’un sous-ensemble de pays pour lequel on dispose de données ventilées en fonction du lieu de résidence, à partir des dernières données disponibles issues d’enquêtes nationales menées entre 2015 et 2021 pour l’allaitement maternel exclusif et entre 2016 et 2022 pour le retard de croissance, l’émaciation et l’excès pondéral. Les estimations régionales selon le lieu de résidence (rural ou urbain) ne sont indiquées que lorsqu’elles couvrent au moins 50 pour cent de la population concernée. La couverture de la population est calculée en divisant la somme des populations d’enfants de moins de 5 ans des pays disposant d’au moins un point de données provenant d’enquêtes auprès des ménages réalisées sur la période considérée par la population totale des enfants de moins de 5 ans de tous les pays de la région.
F. Méthode d’évaluation des progrès accomplis au regard des cibles nutritionnelles aux niveaux régional et mondial
Ces notes méthodologiques se réfèrent aux résultats présentés dans le tableau 6, à la section 2.3 du rapport, où est décrite l’évaluation régionale et sous-régionale des progrès accomplis au regard des cibles nutritionnelles à l’horizon 2030. Les progrès ont été mesurés au regard des cibles nutritionnelles fixées pour 2030 par l’OMS/l’UNICEF34 et d’une version adaptée des règles du Groupe consultatif d’experts techniques sur la surveillance de la nutrition35 en ce qui concerne l’ensemble des indicateurs pour lesquels il n’a pas été établi de cibles pour 2030 ni de règles relatives à l’évaluation des progrès accomplis.
Pour déterminer la catégorie de progrès à utiliser pour chaque indicateur et chaque région dans le cadre de l’évaluation, nous avons commencé par calculer deux taux de réduction annuels moyens (TRAM)bh: i) le TRAM nécessaire pour que la région atteigne la cible fixée à l’horizon 2030; et ii) le TRAM actuel dans la région. Nous avons ensuite utilisé la valeur du TRAM actuel pour déterminer la catégorie dans laquelle classer la région, en tenant également compte du TRAM nécessaire. Le tableau A2.4 donne les plages de TRAM et les seuils de prévalence correspondant à chaque catégorie et chaque indicateur, que l’on peut résumer comme suit:
- Sur la bonne voie: les régions présentant un TRAM actuel supérieur au TRAM nécessaire sont considérées comme étant «sur la bonne voie» (en vert) pour atteindre la cible. Un seuil statique pour les dernières estimations de la prévalence/du taux (fourni pour chaque indicateur dans le tableau A2.4) permet également de déterminer si les régions sont «sur la bonne voie»; par exemple, une région dont la valeur la plus récente de prévalence de l’excès pondéral est inférieure à 3 pour cent sera considérée comme étant «sur la bonne voie», même si son TRAM actuel est inférieur au TRAM nécessaire.
- En retard: les régions dont le TRAM actuel est inférieur au TRAM nécessaire et dont la valeur de prévalence la plus récente est supérieure au seuil statique définissant la catégorie «sur la bonne voie» qui est indiqué dans le tableau A2.4 sont considérées comme étant «en retard». La catégorie «en retard» se subdivise en différentes sous-catégories selon les indicateurs. Trois sous-catégories «en retard» ont été définies pour les indicateurs du retard de croissance, de l’excès pondéral et de l’émaciation chez l’enfant: «en retard – quelques progrès» (en jaune), «en retard – aucun progrès» (en rouge clair) et «en retard – aggravation» (en rouge foncé). Pour l’insuffisance pondérale à la naissance et l’allaitement maternel exclusif, les catégories «en retard – aucun progrès» (en rouge clair) et «en retard – aggravation» (en rouge foncé) sont associées dans la catégorie «en retard – aucun progrès ou aggravation» (en orange), car l’évolution des progrès à ce jour n’est pas suffisante pour permettre d’utiliser deux catégories distinctes en ce qui concerne ces indicateurs.
- Évaluation impossible: pour les indicateurs reposant sur des données modélisées par pays (retard de croissance, excès pondéral chez l’enfant et insuffisance pondérale à la naissance), il est possible de procéder à une évaluation pour toutes les régions, car on dispose d’une estimation modélisée pour l’ensemble des pays, et donc de suffisamment de données pour générer des estimations représentatives pour toutes les régions et toutes les années. Concernant les indicateurs pour lesquels on ne dispose pas d’estimations modélisées par pays (l’émaciation chez l’enfant et l’allaitement maternel exclusif), il n’est pas possible de procéder à une évaluation pour les régions où la couverture de la population est inférieure à 50 pour cent (voir les notes 16 et 17 sous le tableau A2.4).
Tableau A2.4Règles relatives à l’évaluation des progrès accomplis au regard des cibles nutritionnelles mondiales

1. Pour l’insuffisance pondérale à la naissance et l’allaitement maternel exclusif, les catégories «en retard – aucun progrès» et «en retard – aggravation» sont associées dans la catégorie «en retard – aucun progrès ou aggravation», car l’évolution des progrès actuels n’est pas suffisante pour permettre d’utiliser deux catégories distinctes en ce qui concerne ces indicateurs.
2. Concernant l’allaitement maternel exclusif, la cible réelle consiste à porter le taux d’allaitement maternel exclusif (pour les enfants de moins de 6 mois) à 70 pour cent d’ici à 2030; toutefois, elle a été modifiée dans le tableau pour faire référence au taux d’allaitement maternel non exclusif de manière à pouvoir appliquer le concept de TRAM de la même manière que pour les six autres cibles.
3. Le TRAM nécessaire se rapporte à une évolution de la prévalence du retard de croissance correspondant à une réduction de 50 pour cent du nombre d’enfants présentant un retard de croissance entre 2012 et 2030, compte tenu de la croissance démographique estimée dans le rapport World Population Prospects (ONU). Le TRAM actuel est calculé à partir de toutes les années de données comprises entre 2012 et 2022.
4. Les régions où l’estimation ponctuelle de la prévalence du retard de croissance ou la limite inférieure de l’intervalle de confiance à 95 pour cent pour l’année 2022 est inférieure à 3 pour cent sont considérées comme étant sur la bonne voie.
5. Le TRAM nécessaire se rapporte à l’évolution de la prévalence de l’excès pondéral ou de l’émaciation qu’il faut obtenir pour passer de la prévalence de référence (2012) à 3 pour cent d’ici à 2030. Le TRAM actuel est calculé à partir de toutes les années de données comprises entre 2012 et 2022. Il convient de noter que, pour l’émaciation, les estimations tendancielles non publiées provenant des Estimations conjointes de la malnutrition infantile (Banque mondiale, OMS et UNICEF) sont utilisées pour générer le TRAM actuel.
6. Les régions où l’estimation ponctuelle de l’excès pondéral ou de l’émaciation pour l’année 2022 est inférieure à 3 pour cent sont considérées comme étant sur la bonne voie.
7. Le TRAM nécessaire se rapporte à l’évolution qu’il faut obtenir pour réduire la prévalence de l’insuffisance pondérale à la naissance de 30 pour cent entre 2012 (année de référence) et 2030. Le même TRAM de 1,96 est nécessaire pour toutes les régions, car la cible correspond à un changement relatif (réduction de 30 pour cent) de la valeur de référence. Le TRAM actuel est calculé à partir de toutes les années de données comprises entre 2012 et 2020.
8. Les régions où l’estimation ponctuelle de la prévalence de l’insuffisance pondérale à la naissance pour l’année 2020 est inférieure à 5 pour cent sont considérées comme étant sur la bonne voie.
9. Le TRAM nécessaire se rapporte à l’évolution qu’il faut obtenir pour ramener le taux d’allaitement non exclusif à 30 pour cent entre 2012 (année de référence) et 2030. Le TRAM actuel est calculé à l’aide de deux estimations seulement, pour les années 2012 et 2021, et les moyennes régionales sont pondérées par la population à partir de l’estimation la plus récente pour chaque pays entre 2005 et 2012 pour l’estimation de 2012, et entre 2016 et 2021 pour l’estimation de 2021.
10. Les régions où l’estimation ponctuelle de l’allaitement maternel non exclusif pour 2021 est inférieure à 30 pour cent (soit un allaitement maternel exclusif égal ou supérieur à 70 pour cent) sont considérées comme étant sur la bonne voie.
11. Les bases de données mondiales des indicateurs du retard de croissance, de l’excès pondéral et de l’insuffisance pondérale à la naissance sont fondées sur des modèles au niveau des pays qui fournissent des estimations annuelles pour l’ensemble des pays en vue de l’établissement d’estimations régionales et mondiales (ainsi, des estimations annuelles existent même pour les pays qui ne disposent pas de données provenant d’enquêtes auprès des ménages, y compris dans les cas où les estimations modélisées par pays ne sont pas rendues publiques et sont utilisées uniquement pour générer des estimations mondiales et régionales), ce qui permet d’évaluer les progrès accomplis dans toutes les régions.
12. L’évaluation des progrès accomplis au regard des cibles relatives au retard de croissance et à l’excès pondéral chez l’enfant n’est pas réalisée pour les pays qui ne disposent pas de données d’entrée (provenant d’enquêtes auprès des ménages, par exemple) postérieures à 2022 pouvant être utilisées dans le modèle au niveau des pays, ou pour lesquels les estimations modélisées sont en attente d’examen final.
13. Il n’est pas possible d’évaluer les progrès accomplis par les régions s’agissant de l’émaciation lorsque la couverture de la population est inférieure à 50 pour cent. La couverture de la population est calculée en divisant la somme des populations d’enfants de moins de 5 ans pour les pays disposant d’au moins un point de données provenant d’enquêtes auprès des ménages réalisées entre 1990 et 2020 par la population totale des enfants de moins de 5 ans de tous les pays de la région. Étant donné que les estimations de l’émaciation sont générées à l’aide d’un modèle sous-régional, même une seule année de données entre 1990 et 2020 est prise en compte pour la détermination de la couverture régionale de la population.
14. Il n’est pas possible d’évaluer les progrès accomplis au regard de la cible relative à l’émaciation chez l’enfant pour les pays qui ne présentent pas au moins deux points de données (provenant d’enquêtes auprès des ménages, par exemple) entre 2005 et 2022, dont un, au moins, postérieur à 2012.
15. L’évaluation des progrès accomplis s’agissant de l’allaitement maternel exclusif est impossible lorsque la couverture de la population de la région par les données provenant des enquêtes dans les pays est inférieure à 50 pour cent pour l’estimation de 2012 et/ou de 2021. Pour 2012, la couverture de la population est calculée en divisant la somme des populations d’enfants de moins de 5 ans pour les pays disposant d’au moins un point de données provenant d’enquêtes auprès des ménages réalisées entre 2005 et 2012 par la population totale des enfants de moins de 5 ans de tous les pays de la région. Pour 2021, la couverture de la population est calculée en divisant la somme des populations d’enfants de moins de 5 ans pour les pays disposant d’au moins un point de données provenant d’enquêtes auprès des ménages réalisées entre 2016 et 2021 par la population totale des enfants de moins de 5 ans de tous les pays de la région.
SOURCE: Élaboré à partir des informations issues de: OMS et UNICEF. 2017. Methodology for monitoring progress towards the global nutrition targets for 2025 – technical report; et OMS et UNICEF. 2017. The extension of the 2025 Maternal, Infant and Young Child nutrition targets to 2030. OMS et UNICEF.
Les années des données utilisées pour calculer le TRAM actuel au niveau régional varient selon les indicateurs, comme le précisent les notes sous le tableau A2.4. Les TRAM actuels des différentes régions sont calculés à l’aide d’une ligne de tendance comprenant toutes les estimations disponibles entre 2012 (référence) et la dernière estimation en date de chaque indicateur, à l’exception de l’allaitement maternel exclusif, pour lequel on ne dispose pas d’estimations modélisées et qui est calculé sur la base de deux estimations uniquement: la référence (2012) et la dernière année disponible (2019). Le TRAM nécessaire est calculé à partir de la prévalence de référence pour la région en 2012 et de la prévalence cible, telle qu’indiquée dans les cibles de nutrition chez la mère, le nourrisson et le jeune enfant à l’horizon 203034 (pour l’excès pondéral chez l’enfant, par exemple, le TRAM nécessaire est de 3,41 pour cent par an au niveau mondial, et correspond au taux annuel de réduction nécessaire pour passer de la prévalence de référence de 5,6 pour cent en 2012 à la prévalence cible de 3,0 pour cent en 2030).