The significance of mycotoxins

Contents - Previous - Next

Mycotoxins have been implicated in a range of human and/or animal diseases and occur in a variety of grains. The ingestion of mycotoxins can produce both acute (short-term) and chronic (medium/long-term) toxicities ranging from death to chronic interferences with the function of the central nervous, cardiovascular and pulmonary systems, and of the alimentary tract. Some mycotoxins are carcinogenic, mutagenic, teratogenic and immunosuppressive. Aflatoxin B. (Figure 2.1. Chemical structures of the Aflatoxin group of mycotoxins.), for example, is one of the most potent hepatocarcinogens known.

The mycotoxins have attracted worldwide attention, over the past 30 years, firstly because of their perceived impact on human health, secondly because of the economic losses accruing from condemned foods/feeds and decreased animal productivity and, thirdly, because of the serious impact of mycotoxin contamination on internationally traded commodities. It is estimated, for example, that the cost of managing the mycotoxin problem on the North American continent is approximately $5 billion.

 

The Aflatoxins

The aflatoxin-producing moulds Aspergillus flavus and A. parasiticus occur widely, on inadequately dried food and feed grains, in sub-tropical and tropical climates throughout the world. Pre-harvest mould growth, and aflatoxin production, is encouraged by insect damage, mechanical damage, drought stress and excessive rainfall. The aflatoxins may occur, both before and after harvest, on virtually any food or feed which supports fungal growth, including cereals, oilseeds and edible nuts. Maize, groundnuts, cottonseed, oil-palm kernels and copra are particularly associated with the occurrence of the aflatoxins. The very substantial international trade in these commodities serves to amplify the worldwide nature of the aflatoxin problem.

The ingestion of aflatoxin B1-contaminated animal feed, by dairy cattle, can result in the presence of aflatoxin M1 (Figure 2. 1e) - a metabolite of aflatoxin B1 - in milk. This is an issue of considerable importance to public health, given the frequent consumption of milk and dairy products by infants.

Aflatoxin B. has been confirmed as a highly potent human carcinogen, whereas the carcinogenicity of the aflatoxins G1 (Figure 2.1c) and M, has been confirmed only in experimental animals.

The acute toxicity of the aflatoxins has been demonstrated in both animals and man. The outbreak of 'Turkey X' disease in the UK, in the early 1960s, was associated with the death of thousands of turkeys, ducklings and other domestic animals which had received a diet containing aflatoxin-contaminated groundnut meal. Many human fatalities occurred (Anon, 1993(a)) in India, in 1974, when unseasonal rains and a scarcity of food prompted the consumption of heavily aflatoxin-contaminated maize. Acute aflatoxicosis, also caused by the consumption of contaminated maize, caused fatalities in Kenya in 1982.

The chronic effects, caused by the consumption of low dietary levels (parts per billion) of the aflatoxins, on the health and productivity of domestic animals are well established. Reduced weight gain has been reported (Anon, 1989), for example, in cattle, pigs and poultry; reduced milk yield in cows; and reduced feed conversion in pigs and poultry. Low levels of aflatoxin have been associated with an increased susceptibility to disease in poultry, pigs and cattle. Vaccine failures have also been reported. If similar immunosuppressive effects are manifested in humans, it is possible that the aflatoxins (and other mycotoxins) could be significantly enhancing the incidence of human disease in developing countries.

 

The Trichothecenes

The trichothecenes comprise a large group of mycotoxins, produced by a variety of Fusarium moulds. The current discussion will be limited to the two trichothecenes - T-2 toxin and deoxynivalenol - which occur naturally, in significant quantities, in cereal grains.

(i) T-2 toxin (Figure 2.2. Chemical structures of the Trichothecene group of mycotoxins.)

F. sporotrichioides, the major producer of T-2 toxin, occurs mainly in temperate to cold areas and is associated with cereals which have been allowed to overwinter in the field (Anon, 1993(b)). T-2 toxin has been implicated in two outbreaks of acute human mycotoxicoses. The first occurred in Siberia (in the former USSR), during the Second World War, producing a disease known as 'alimentary toxic aleukia' (ATA). Thousands of people, who had been forced to eat grain which had overwintered in the field, were affected and entire villages were eliminated. The symptoms of ATA included fever, vomiting, acute inflammation of the alimentary tract, anaemia, circulatory failure and convulsions. Trichothecene poisoning also occurred in Kashmir, India, in 1987 and was attributed to the consumption of bread made from mouldy flour. The major symptom was abdominal pain together with inflammation of the throat, diarrhoca, bloody stools and vomiting. T-2 toxin was isolated from the flour together with other trichothecenes, namely deoxynivalenol, nivalenol and deoxynivalenol monoacetate (Figures 2.2b, 2.2c and 2.2d respectively).

T-2 toxin has been implicated with the occurrence of haemorrhagic toxicoses (mouldy maize toxicoses) in farm animals. Oral lesions, severe oedema of the body cavity, neurotoxic effects and, finally, death have been reported in poultry, after the ingestion of feed contaminated with T-2.

The most significant effect of T-2 toxin, and other trichothecenes, may be the immunosuppressive activity, which has been clearly demonstrated in experimental animals. The effect of T-2 toxin on the immune system is probably linked to the inhibitory effect of this toxin on the biosynthesis of macromolecules.

There is limited evidence that T-2 toxin may be carcinogenic in animals.

(ii) Deoxynivalenol (Figure 2.2b)

F. graminearum occurs worldwide and is the most important producer of deoxynivalenol (DON) (Anon, 1993(c)). The outbreaks of emetic (and feed refusal) syndromes in farm animals, produced by the presence of DON in their diets, has resulted in the trivial name, vomitoxin, being attributed to this mycotoxin.

DON is probably the most widely distributed Fusarium mycotoxin occurring in a variety of cereals, particularly maize and wheat. As stated above, DON has been implicated in a human mycotoxicosis, in India, in combination with T-2 toxin and other trichothecenes. Other outbreaks of acute human mycotoxicoses, caused by the ingestion of DON and involving large numbers of people, have occurred in rural Japan and China. The Chinese outbreak, in 1984-85, resulted from the ingestion of mouldy maize and wheat. The onset of symptoms occurred within five to thirty minutes and included nausea, vomiting, abdominal pain, diarrhoea, dizziness and headache. Another F. graminearum toxin, zearalenone (see below), was also isolated from the mouldy foodstuff.

The immunosuppressive effect, of those concentrations of DON which are naturally ocurring, has been reported. There is inadequate evidence in humans and experimental animals, however, for the carcinogenicity of DON. DON is not transferred into milk, meat or eggs.

 

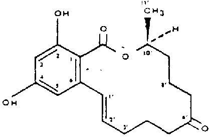
Zearalenone (Figure 2.3. Chemical structure of Zearalenone)

F. graminearum is also the most important producer of zearalenone, a widely-occurring mycotoxin which is responsible for many outbreaks of oestrogenic syndromes amongst farm animals (Maracas, 1991).

The occurrence of zearalenone in maize has been responsible for outbreaks of hyperestrogenism in animals, particularly pigs, characterised by vulvar and mammary swelling, uterine hypertrophy and infertility.

As described above, zearalenone was isolated from mouldy cereals involved in an outbreak of acute human mycotoxicosis in China.

There is limited evidence in experimental animals, and inadequate evidence in humans, for the carcinogenicity of zearalenone. It is not transmitted from feed to milk to any significant extent.

 

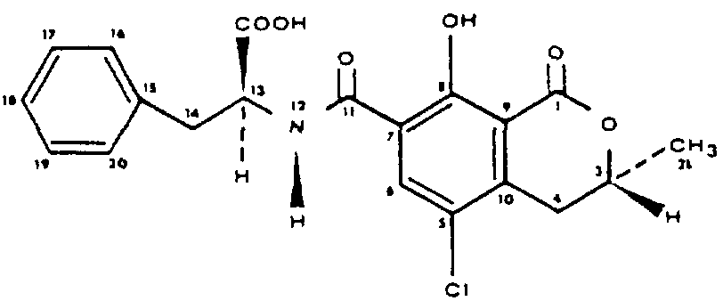
The Fumonisins (Figure 2.4. Chemical structures of the Fumonisin group of toxins.)

The fumonisins are a group of mycotoxins which have been characterised comparatively recently (Anon, 1993(d). They are produced by F. moniliforme which occurs worldwide and is one of the most prevalent fungi associated with maize.

To date, only the fumonisins FB1 and FB2 appear to be toxicologically significant. The occurrence of FB1 in cereals, primarily maize, has been associated with serious outbreaks of leukoencephalomalacia (LEM) in horses and pulmonary oedema in pigs. LEM is characterised by liquefactive necrotic lesions of the white matter of the cerebral hemispheres and has been reported in many countries, including the USA, Argentina, Brazil, Egypt, South Africa and China. FB1 is also toxic to the central nervous system, liver, pancreas, kidney and lung in a number of animal species. FB2 is hepatotoxic in rats.

The incidence of F. moniliforme in domestically-produced maize has been correlated with human oesophageal cancer rates in the Transkei, southern Africa and in China. The levels of fumonisins in domestically-produced maize have been reported as similar to those levels which produced LEM and hepatotoxicity in animals.

Currently, there is inadequate evidence for the confirmation of the carcinogenicity of the fumonisins in humans. There is limited evidence, in animals, for the carcinogenicity of FB1 but inadequate evidence for the carcinogenicity of FB2. Data are not available for the transmission of these toxins into milk, meat and eggs.

 

Ochratoxin A (Figure 2.5. Chemical structure of Ochratoxin A.)

Ochratoxin A is produced (Pitt and Leistner, 1991) by only one species of Penicillium, P. verrucosum, probably the major producer of this mycotoxin in cooler regions. Amongst the aspergilli, Aspergillus ochraceus is the main source of ochratoxin A.

Ochratoxin A has been mainly reported in wheat and barley growing areas in temperate zones of the northern hemisphere. It does, however, occur in other commodities including maize, rice, peas, beans and cowpeas; developing country origins of ochratoxin A include Brazil, Chile, Egypt, Senegal, Tunisia, India and Indonesia.

A correlation between human exposure to Ochratoxin endemic'nephropathy (a fatal, chronic renal disease occurring in limited areas of Bulgaria, the former Yugoslavia and Romania) has been suggested. A causative link, however, has yet to be confirmed.

Ochratoxin A produces renal toxicity, nephropathy and immunosuppression in several animal species.

Although there is currently inadequate evidence in humans for the carcinogenicity of ochratoxin A, there is sufficient evidence in experimental animals. Ochratoxin A has been found in significant quantities in pig meat, as a result of its transfer from feedingstuffs.


Contents - Previous - Next