Page précédente Table des matières Page suivante


ANNEXE 2: ACTIVITES CONJOINTES FAO/OMS EN MATIERE D'EVALUATION DU RISQUE MICROBIOLOGIQUE


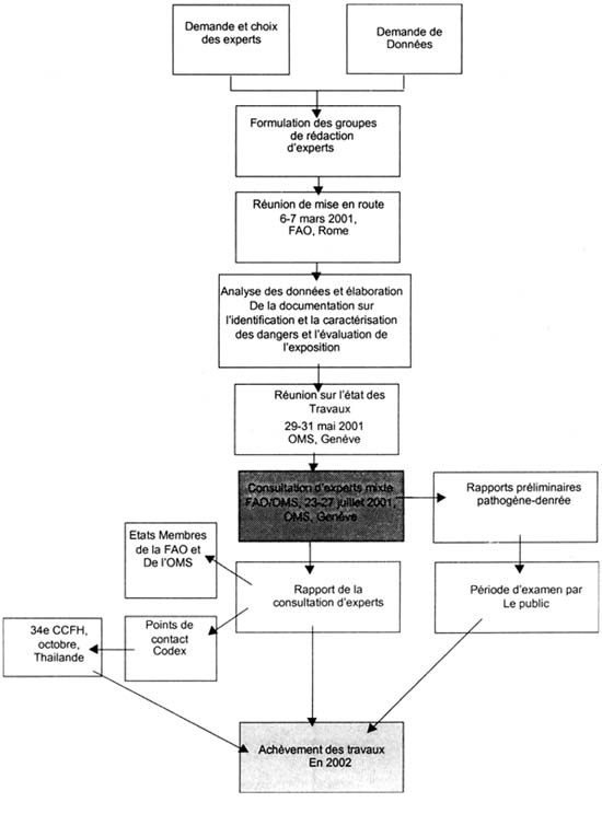
Etapes de la mise en oeuvre des activités conjointes FAO/OMS sur l'évaluation du risque microbiologique dans les aliments.


Page précédente Début de page Page suivante