Résultats des élevages 93.01 à 93.12
Dans cette annexe sont réunis tous les résultats de cheque élevage et comprennent :
Pour les prégrossissements, il n'y a pas d'histogramme individuel et pas de classe de poids.
FICHE SYNTHETIQUE D'ELEVAGE
| ELEVAGE No | BASSIN | SURFACE(m2) | ALIMENT |
| 93.01 | B5 | 20825 | RANGEN 40 |
| ENSEMENCEMENT | ESPECE | DATE | AGE(j) | NB | POIDS M. (G) | POIDS T. (KG) | No ELEV.NURSERY |
| P.MONO. | 30/01/93 | 72 | 250000 | 1,5 | 375,00 | ||
| PECHE | P.MONO. | 04/05/93 | 166 | 202353 | 20,54 | 4156,3 | |
| DENSITE INI. (N/M2) | 12,00 |
| CHARGE INI. (G/M2) | 18,01 |
| DENSITE FIN. | 9,72 |
| CHARGE FIN. | 199,58 |
| SURVIE(%) | 80,94 |
| DUREE(J) | 94 |
| CROISSANCE (G/J) | 0,20 |
| RENDEMENT(KG/HA/AN) | 7050,58 |
| ALIM. TOTAL(KG) | 7657,00 |
| IND. CONVERSION | 2,02 |
| COEFFICIENT DE VARIATION (%) | |
| FEMELLES | 44,91 |
| MALES | 33,07 |
| TOTAL | 43,28 |
| FERTILISANT (KG) | |
| UREA | 66,00 |
| TSP | 22,00 |
| PARAMETRES | MIN | MAX | MOYENNE |
| OXY. MATIN (PPM) | 1,0 | 5,4 | 3,0 |
| OXY. SOIR (PPM) | 1,5 | 8,0 | 4,8 |
| TEMP. MATIN (°C) | 27,0 | 32,0 | 30,2 |
| TEMP. SOIR (°C) | 28,0 | 35,0 | 31,7 |
| SECCHI (CM) | 30 | 90 | 44 |
| PH | 6,96 | 7,65 | 7,39 |
| SALINITE (PPT) | 24 | 36 | 33 |
T A B L E A U S Y N T H E T I Q U E D E L ' E L E V A G E
| BASSIN: B5 | ESPECE: P.MONODON |
| ELEVAGE: 93.01 | ALIMENT: RANGEN 40 |
| Date | Age | Poids moyen | Nombre | Poids tot. | Biomass | Prod. d(bm) | V.c. | Ration | Ration cumul. | I.C. | I.C. cumul. | T.N. | Renouv. d'eau |
| (j) | (g) | (kg) | (g/m2) | (kg) | (g/j) | (kg/t) | (kg) | (dt) | (%/j) | (%/7j) | |||
| 30.01.93 | 72 | 1,5 | 250000 | 375,00 | 18,01 | 8,00 | |||||||
| 01.02.93 | 74 | 1,74 | 250000 | 435,00 | 20,89 | 60,00 | 0.12 | 60,00 | 60,00 | 1,00 | 1,00 | 8,00 | 6 |
| 08.02.93 | 81 | 2,75 | 237500 | 653,13 | 31,36 | 218,13 | 0,14 | 180,00 | 240,00 | 0,83 | 0,86 | 6,06 | 52 |
| 15.02.93 | 88 | 3,45 | 237500 | 819,38 | 39,35 | 166,25 | 0,10 | 313,50 | 553,50 | 1,89 | 1,25 | 8,00 | 42 |
| 22.02.93 | 95 | 4,96 | 237500 | 1178,00 | 56,57 | 358,63 | 0,22 | 507,00 | 1060,50 | 1,41 | 1,32 | 9,35 | 72 |
| 01.03.93 | 102 | 6,55 | 235125 | 1540,07 | 73,95 | 362,07 | 0,23 | 763,00 | 1823,50 | 2,11 | 1,57 | 8,55 | 74 |
| 08.03.93 | 109 | 9,52 | 232774 | 2216,01 | 106,41 | 675,94 | 0,42 | 798,00 | 2621,50 | 1,18 | 1,42 | 4,00 | 84 |
| 15.03.93 | 116 | 12,44 | 231610 | 2881,23 | 138,35 | 665,22 | 0,42 | 701,00 | 3322,50 | 1,05 | 1,33 | 5,00 | 200 |
| 22.03.93 | 123 | 13,76 | 230452 | 3171,02 | 152,27 | 289,79 | 0,19 | 802,00 | 4124,50 | 2,77 | 1,48 | 3,50 | 200 |
| 29.03.93 | 130 | 16,44 | 229300 | 3769,68 | 181,02 | 598,67 | 0,38 | 620,00 | 4744,50 | 1,04 | 1,40 | 2,80 | 255 |
| 05.04.93 | 137 | 18,04 | 228153 | 4115,88 | 197,64 | 346,20 | 0,23 | 454,00 | 5198,50 | 1,31 | 1,39 | 1,95 | 235 |
| 12.04.93 | 144 | 19,52 | 227012 | 4431,28 | 212,79 | 315,40 | 0,21 | 496,00 | 5694,50 | 1,57 | 1,40 | 2,00 | 205 |
| 19.04.93 | 151 | 19,1 | 187425 | 3579,82 | 171,90 | -851,46 | -0,06 | 589,50 | 6284,00 | -0,69 | 1,96 | 1,99 | 220 |
| 26.04.93 | 158 | 20,98 | 186488 | 3912,52 | 187,88 | 332,70 | 0,27 | 673,00 | 6957,00 | 2,02 | 1,97 | 2,57 | 290 |
| 04.05.93 | 166 | 20,54 | 185555 | 3811,31 | 183,02 | -101,21 | -0,06 | 700,00 | 7657,00 | -6,92 | 2,23 | 2,50 | 300 |
V.c. : Vitesse de croissance en g/j
I.C. : Indice de conversion
T.N. : Taux de nutrition
Renouv. d'eau : Renouvellements d'eau continus et séquentiels
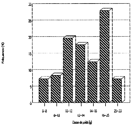
HISTOGRAMME MONO 93.01 DU 04/05/93
Pt=20,54g Pm=17,84g Pf=22,75g N=459

REPARTITION MONO 93.01 DU 04/05/93
Pt=20,54g Pm=17,84g Pf=22,75g N=459

FICHE SYNTHETIQUE D'ELEVAGE
| ELEVAGE No | BASSIN | SURFACE(m2) | ALIMENT |
| 93.02 | B3 | 5115 | RANGEN 30 |
| ENSEMENCEMENT | ESPECE | DATE | AGE(j) | NB | POIDS M. (G) | POIDS T. (KG) | No ELEV.NURSERY |
| P.MONO. | 30/01/93 | 72 | 35800 | 1,5 | 53,70 | ||
| PECHE | P.MONO. | 08/06/93 | 201 | 33758 | 27,92 | 942,5 | |
| DENSITE INI. (N/M2) | 7,00 |
| CHARGE INI. (G/M2) | 10,50 |
| DENSITE FIN. | 6,60 |
| CHARGE FIN. | 184,27 |
| SURVIE(%) | 94,30 |
| DUREE(J) | 129 |
| CROISSANCE (G/J) | 0,20 |
| RENDEMENT(KG/HA/AN) | 4916,69 |
| ALIM. TOTAL(KG) | 1995,50 |
| IND. CONVERSION | 2,25 |
| COEFFICIENT DE VARIATION (%) | |
| FEMELLES | 27,27 |
| MALES | 20,58 |
| TOTAL | 29,4 |
| FERTILISANT (KG) | |
| UREA | 19,50 |
| TSP | 6,50 |
| PARAMETRES | MIN | MAX | MOYENNE |
| OXY. MATIN (PPM) | 1,8 | 6,0 | 3,3 |
| OXY. SOIR (PPM) | 2,0 | 7,9 | 4,6 |
| TEMP. MATIN (°C) | 26,5 | 32,0 | 29,9 |
| TEMP. SOIR (°C) | 28,0 | 35,0 | 31,7 |
| SECCHI (CM) | 30 | 80 | 49 |
| PH | 7,22 | 7,72 | 7,48 |
| SALINITE (PPT) | 18 | 37 | 34 |
T A B L E A U S Y N T H E T I Q U E D E L ' E L E V A G E
| BASSIN: B3 | ESPECE: |
| ELEVAGE: 93.02 | ALIMENT: RANGEN 30 |
| Date | Age | Poids moyen | Nombre | Poids tot. | Biomass | Prod. d(bm) | V.c. | Ration | Ration cumul. | I.C. | I.C. cumul. | T.N. | Renouv. d'eau |
| (j) | (g) | (kg) | (g/m2) | (kg) | (g/j) | (kg/t) | (kg) | (dt) | (%/j) | (%/7j) | |||
| 30.01.93 | 72 | 1,5 | 35800 | 53,70 | 10,50 | 8 | |||||||
| 01.02.93 | 74 | 1,66 | 35800 | 59,43 | 11,62 | 5,73 | 0,08 | 8,00 | 8,00 | 1,40 | 1,40 | 8 | 4 |
| 08.02.93 | 81 | 2,77 | 34010 | 94,21 | 18,42 | 34,78 | 0,16 | 26,00 | 34,00 | 0,75 | 0,84 | 7 | 28 |
| 15.02.93 | 88 | 3,07 | 34010 | 104,41 | 20,41 | 10,20 | 0,04 | 45,00 | 79,00 | 4,41 | 1,56 | 8,5 | 48 |
| 22.02.93 | 95 | 4,17 | 34010 | 141,82 | 27,73 | 37,41 | 0,16 | 72,00 | 151,00 | 1,92 | 1,71 | 11 | 28 |
| 01.03.93 | 102 | 6,37 | 33670 | 214,48 | 41,93 | 72,66 | 0,31 | 101,00 | 252,00 | 1,39 | 1,57 | 7 | 40 |
| 08.03.93 | 109 | 7,78 | 33333 | 259,33 | 50,70 | 44,86 | 0,20 | 105,00 | 357,00 | 2,34 | 1,74 | 6 | 76 |
| 15.03.93 | 116 | 8,8 | 33000 | 290,40 | 56,77 | 31,07 | 0,15 | 90,00 | 447,00 | 2,90 | 1,89 | 5 | 118 |
| 22.03.93 | 123 | 11,05 | 32835 | 362,83 | 70,93 | 72,43 | 0,32 | 78,00 | 525,00 | 1,08 | 1,70 | 2,9 | 171 |
| 29.03.93 | 130 | 13,11 | 32671 | 428,31 | 83,74 | 65,49 | 0,29 | 93,50 | 618,50 | 1,43 | 1,65 | 2,5 | 165 |
| 05.04.93 | 137 | 14,68 | 32507 | 477,21 | 93,30 | 48,89 | 0,22 | 77,00 | 695,50 | 1,57 | 1,64 | 2 | 129 |
| 12.04.93 | 144 | 16,45 | 32345 | 532,07 | 104,02 | 54,86 | 0,25 | 64,00 | 759,50 | 1,17 | 1,59 | 2 | 135 |
| 19.04.93 | 151 | 17,66 | 32183 | 568,35 | 111,11 | 36,28 | 0,17 | 73,00 | 832,50 | 2,01 | 1,62 | 2,3 | 160 |
| 26.04.93 | 158 | 19,07 | 32022 | 610,66 | 119,39 | 42,31 | 0,20 | 137,00 | 969,50 | 3,24 | 1,74 | 4,09 | 230 |
| 03.05.93 | 165 | 20,78 | 31862 | 662,09 | 129,44 | 51,43 | 0,24 | 175,00 | 1144,50 | 3,40 | 1,88 | 4 | 200 |
| 10.05.93 | 172 | 24,27 | 31703 | 769,43 | 150,43 | 107,33 | 0,50 | 191,00 | 1335,50 | 1,78 | 1,87 | 4,4 | 235 |
| 17.05.93 | 179 | 25,58 | 31544 | 806,90 | 157,75 | 37,48 | 0,19 | 250,00 | 1585,50 | 6,67 | 2,11 | 3,5 | 290 |
| 24.05.93 | 186 | 26,89 | 31387 | 843,98 | 165,00 | 37,08 | 0,19 | 148,00 | 1733,50 | 3,99 | 2,19 | 2,4 | 300 |
| 31.05.93 | 193 | 28,15 | 31230 | 879,11 | 171,87 | 35,13 | 0,18 | 140,00 | 1873,50 | 3,99 | 2,27 | 2,4 | 300 |
| 07.06.93 | 200 | 30,23 | 31073 | 939,35 | 183,65 | 60,24 | 0,30 | 122,00 | 1995,50 | 2,03 | 2,25 | 0 | 300 |
| 08.06.93 | 201 | 27,92 | 33758 | 942,52 | 184,27 | 3,17 | -0,33 | 0,00 | 1995,50 | 0,00 | 2,25 | 0 | 30 |
V.c. : Vitesse de croissance en g/j
I.C. : Indice de conversion
T.N.: Taux de nutrition
Renouv. d'eau : Renouvellements d'eau continus et séquentiels
HISTOGRAMME MONO 93.02 DU 08/06/93
Pt=27,92g Pm=23,66g Pf=31,86g N=289

REPARTITION MONO 93.02 DU 08/06/93
Pt=27,92g Pm=23,66g Pf=31,86g N=289

FICHE SYNTHETIQUE D'ELEVAGE
| ELEVAGE No | BASSIN | SURFACE(m2) | ALIMENT |
| 93.03 | B1 | 4938 | STARTER |
| ENSEMENCEMENT | ESPECE | DATE | AGE(j) | NB | POIDS M. (G) | POIDS T. (KG) | No ELEV. NURSERY |
| P.MONO. | 16/02/93 | 10 | 350000 | 0,00416 | 1,46 | N/93.02/M | |
| PECHE | P.MONO. | 02/04/93 | 55 | 338933 | 1,5 | 508,40 | |
| DENSITE INI. (N/M2) | 70,88 |
| CHARGE INI. (G/M2) | 0,29 |
| DENSITE FIN. | 68,64 |
| CHARGE FIN. | 102,96 |
| SURVIE (%) | 96,84 |
| DUREE(J) | 45 |
| CROISSANCE(G/J) | 0,03 |
| RENDEMENT(KG/HA/AN) | 8327,00 |
| ALIM. TOTAL (KG) | 427,39 |
| IND. CONVERSION | 0,84 |
| FERTILISANT (KG) | |
| UREA | 15,00 |
| TSP | 5,00 |
| PARAMETRES | MIN | MAX | MOYENNE |
| OXY. MATIN (PPM) | 1,6 | 6,0 | 3,3 |
| OXY. SOIR | 2,8 | 14,0 | 6,6 |
| TEMP. MATIN (°C) | 26,5 | 33,5 | 30,4 |
| TEMP. SOIR | 28,0 | 36,0 | 32,6 |
| SECCHI (CM) | 30 | 90 | 57 |
| PH | 7,80 | 7,80 | 7,80 |
| SALINITE (PPT) | 20 | 37 | 30 |
T A B L E A U S Y N T H E T I Q U E D E L ' E L E V A G E
| BASSIN: B1 | ESPECE: P. MONODON |
| ELEVAGE: 93.03 | ALIMENT: STARTER |
| Date | Age | Poids moyen | Nombre | Poids tot. | Biomass | Prod. d(bm) | V.c. | Ration | Ration cumulée | I.C. | I.C. cumulé | T.N. | Renouv. d'eau |
| (j) | (g) | (kg) | (g/m2) | (kg) | (g/j) | (kg/t) | (kg) | (dt) | (%/j) | (%/7j) | |||
| 16.02.93 | 10 | 0,00416 | 350000 | 1,46 | 0,29 | 30 | |||||||
| 01.03.93 | 23 | 0,1014 | 315000 | 31,94 | 6,47 | 30,48 | 0,01 | 11,86 | 11,86 | 0,39 | 0,39 | 30 | 14 |
| 08.03.93 | 30 | 0,329 | 315000 | 103,64 | 20,99 | 71,69 | 0,03 | 15,03 | 26,89 | 0,21 | 0,26 | 6,6 | 14 |
| 15.03.93 | 37 | 0,587 | 311850 | 183,06 | 37,07 | 79,42 | 0,04 | 51,00 | 77,89 | 0,64 | 0,43 | 9 | 43 |
| 22.03.93 | 44 | 0,958 | 308732 | 295,76 | 59,90 | 112,71 | 0,05 | 98,00 | 175,89 | 0,87 | 0,60 | 9 | 42 |
| 29.03.93 | 51 | 1,28 | 305644 | 391,22 | 79,23 | 95,46 | 0,05 | 153,50 | 329,39 | 1,61 | 0,85 | 8 | 8 |
| 02.04.93 | 55 | 1,5 | 338933 | 508,40 | 102,96 | 117,17 | 0,05 | 98,00 | 427,39 | 0,84 | 0,84 | 8 | 0 |
V.c. : Vitesse de croissance en g/j
I.C. : Indice de conversion
T.N. : Taux de nutrition
Renouv. d'eau : Renouvellements d'eau continus et séquentiels
FICHE SYNTHETIQUE D'ELEVAGE
| ELEVAGE No | BASSIN | SURFACE(m2) | ALIMENT |
| 93.04 | B2 | 5269 | RANGEN 30 |
| ENSEMENCEMENT | ESPECE | DATE | AGE(j) | NB | POIDS M. (G) | POIDS T. (KG) | No ELEV. NURSERY |
| P. INDICUS | 26/03/93 | 31 | 55391 | 0,0575 | 3,18 | N/93/I | |
| PECHE | P. INDICUS | 10/06/93 | 107 | 45339 | 10,02 | 454,3 | |
| DENSITE INI. (N/M2) | 10,51 |
| CHARGE INI. (G/M2) | 0,60 |
| DENSITE FIN. | 8,60 |
| CHARGE FIN. | 86,22 |
| SURVIE(%) | 81,85 |
| DUREE(J) | 76 |
| CROISSANCE (G/J) | 0,13 |
| RENDEMENT(KG/HA/AN) | 4111,83 |
| ALIM. TOTAL(KG) | 737,21 |
| IND. CONVERSION | 1,63 |
| COEFFICIENT DE VARIATION (%) | |
| FEMELLES | 21,15 |
| MALES | 14,12 |
| TOTAL | 19,96 |
| FERTILISANT (KG) | |
| UREA | 18,00 |
| TSP | 8,00 |
| PARAMETRES | MIN | MAX | MOYENNE |
| OXY. MATIN (PPM) | 1,8 | 5,0 | 3,1 |
| OXY. SOIR (PPM) | 2,8 | 8,3 | 5,0 |
| TEMP. MATIN (°C) | 27,0 | 31,0 | 29,8 |
| TEMP. SOIR (°C) | 29,0 | 34,0 | 31,7 |
| SECCHI (CM) | 35 | 60 | 48 |
| PH | 7,35 | 7,65 | 7,47 |
| SALINITE (PPT) | 31 | 37 | 35 |
T A B L E A U S Y N T H E T I Q U E D E L ' E L E V A G E
| BASSIN: B2 | ESPECE: P. INDICUS |
| ELEVAGE: 93.04 | ALIMENT: RANGEN 30 |
| Date | Age | Poids moyen | Nombre | Poids tot. | Biomass | Prod. d(bm) | V.c. | Ration | Ration cumul. | I.C. | I.C. cumul. | T.N. | Renouv d'eau |
| (j) | (g) | (kg) | (g/m2) | (kg) | (g/j) | (kg/t) | (kg) | (dt) | (%/j) | (%/7j) | |||
| 26.03.93 | 31 | 0,0575 | 55391 | 3,18 | 0,60 | 25 | 0 | ||||||
| 05.04.93 | 41 | 0,56 | 53729 | 30,09 | 5,71 | 26,90 | 0,05 | 7,78 | 7,78 | 0,29 | 0,29 | 25 | 0 |
| 12.04.93 | 48 | 1,5 | 48356 | 72,53 | 13,77 | 42,45 | 0,13 | 13,93 | 21,71 | 0,33 | 0,31 | 12 | 25 |
| 19.04.93 | 55 | 2,14 | 48356 | 103,48 | 19,64 | 30,95 | 0,09 | 33,50 | 55,21 | 1,08 | 0,55 | 7,42 | 44 |
| 26.04.93 | 62 | 3,45 | 47872 | 165,16 | 31,35 | 61,68 | 0,19 | 66,50 | 121,71 | 1,08 | 0,75 | 9,46 | 48 |
| 03.05.93 | 69 | 4,27 | 47394 | 202,37 | 38,41 | 37,21 | 0,12 | 84,00 | 205,71 | 2,26 | 1,03 | 7,37 | 62 |
| 10.05.93 | 76 | 6 | 46920 | 281,52 | 53,43 | 79,15 | 0,25 | 120,00 | 325,71 | 1,52 | 1,71 | 8,61 | 62 |
| 17.05.93 | 83 | 7,41 | 46451 | 344,20 | 65,33 | 62,68 | 0,20 | 154,00 | 479,71 | 2,46 | 1,41 | 7,41 | 96 |
| 24.05.93 | 90 | 8,19 | 45986 | 376,63 | 71,48 | 32,43 | 0,11 | 87,50 | 567,21 | 2,70 | 1,52 | 3,35 | 144 |
| 31.05.93 | 97 | 9,13 | 45526 | 415,65 | 78,89 | 39,03 | 0,13 | 77,00 | 644,21 | 1,97 | 1,56 | 3 | 144 |
| 07.06.93 | 104 | 11,43 | 45071 | 515,16 | 97,77 | 99,51 | 0,33 | 71,00 | 715,21 | 0,71 | 1,40 | 2,41 | 144 |
| 10.06.93 | 107 | 10,02 | 45339 | 454,30 | 86,22 | -60,86 | -0,47 | 22,00 | 737,21 | -0,36 | 1,63 | 3,35 | 69 |
V.c. : Vitesse de croissance en g/j
I.C. : Indice de conversion
T.N. : Taux de nutrition
Renouv. d'eau : Renouvellements d'eau continus et séquentiels
HISTOGRAMME INDIC 93.04 DU 10/06/93
Pt=10,02g Pm=09,28g Pf=10,74g N=266

REPARTITION INDIC 93.04 DU 10/06/93
Pt=10,02g Pm=9,28g Pf=10,74g N=266

FICHE SYNTHETIQUE D'ELEVAGE
| ELEVAGE No | BASSIN | SURFACE (m2) | ALIMENT |
| 93.05 | B4 | 4690 | RANGEN 40 |
| ENSEMENCEMENT | ESPECE | DATE | AGE(j) | NB | POIDS M. (G) | POIDS T. (KG) | No ELEV. NURSERY |
| P.MONO. | 02/04/93 | 55 | 94000 | 1,5 | 141,00 | ||
| PECHE | P. MONO. | 12/08/93 | 187 | 80833 | 23,18 | 1873,71 | |
| DENSITE INI. (N/M2) | 20,04 |
| CHARGE INI. (G/M2) | 30,06 |
| DENSITE FIN. | 17,24 |
| CHARGE FIN. | 399,51 |
| SURVIE (%) | 85,99 |
| DUREE (J) | 132 |
| CROISSANCE (G/J) | 0,16 |
| RENDEMENT (KG/HA/AN) | 10215,78 |
| ALIM. TOTAL (KG) | 4225,00 |
| IND. CONVERSION | 2,44 |
| COEFFICIENT DE VARIATION (%) | |
| FEMELLES | 20,73 |
| MALES | 18,46 |
| TOTAL | 21,88 |
| FERTILISANT (KG) | |
| UREA | 30,00 |
| TSP | 10,00 |
| PARAMETRES | MIN | MAX | MOYENNE |
| OXY. MATIN (PPM) | 1,0 | 4,5 | 3,0 |
| OXY. SOIR (PPM) | 2,5 | 8,6 | 5,5 |
| TEMP. MATIN (°C) | 24,5 | 32,0 | 27,9 |
| TEMP. SOIR (°C) | 27,0 | 34,0 | 30,0 |
| SECCHI (CM) | 25 | 80 | 43 |
| PH | 7,32 | 8,00 | 7,54 |
| SALINITE (PPT) | 32 | 39 | 37 |
T A B L E A U S Y N T H E T I Q U E D E L ' E L E V A G E
| BASSIN: B4 | ESPECE: P.MONODON |
| ELEVAGE: 93.05 | ALIMENT: RANGEN 40 |
| Date | Age | Poids moyen | Nombre | Poids tot. | Biomass | Prod. d(bm) | V.c. | Ration | Ration cumulée | I.C. | I.C. cumulé | T.N. | Renouv. d'eau |
| (j) | (g) | (kg) | (g/m2) | (kg) | (g/j) | (kg/t) | (kg) | (dt) | (%/j) | (%/7j) | |||
| 02.04.93 | 55 | 1,5 | 94000 | 141,00 | 30,06 | 8 | |||||||
| 05.04.93 | 58 | 1,8 | 94000 | 169,20 | 36,08 | 28,20 | 0,10 | 26,00 | 26,00 | 0,92 | 0,92 | 5,3 | 18 |
| 12.04.93 | 65 | 2,42 | 89300 | 216,11 | 46,08 | 46,91 | 0,09 | 76,00 | 102,00 | 1,62 | 1,36 | 8 | 62 |
| 19.04.93 | 72 | 3,34 | 89300 | 298,26 | 63,60 | 82,16 | 0,13 | 104,00 | 206,00 | 1,27 | 1,31 | 7 | 72 |
| 26.04.93 | 79 | 4,83 | 89300 | 431,32 | 91,97 | 133,06 | 0,21 | 169,00 | 375,00 | 1,27 | 1,29 | 6,96 | 104 |
| 03.05.93 | 86 | 6,27 | 88407 | 554,31 | 118,19 | 122,99 | 0,21 | 210,00 | 585,00 | 1,71 | 1,42 | 7 | 125 |
| 10.05.93 | 93 | 8,61 | 87523 | 753,57 | 160,68 | 199,26 | 0,33 | 285,00 | 870,00 | 1,43 | 1,42 | 6,5 | 180 |
| 17.05.93 | 100 | 10,46 | 866,48 | 906,33 | 193,25 | 152,76 | 0,26 | 355,00 | 1225,00 | 2,32 | 1,60 | 5,2 | 245 |
| 24.05.93 | 107 | 11,03 | 86214 | 950,95 | 202,76 | 44,61 | 0,08 | 209,00 | 1434,00 | 4,68 | 1,77 | 3 | 284 |
| 31.05.93 | 114 | 13,53 | 85783 | 1160,65 | 247,47 | 209,70 | 0,36 | 199,00 | 1633,00 | 0,95 | 1,60 | 2,5 | 293 |
| 07.06.93 | 121 | 14,62 | 85354 | 1247,88 | 266,07 | 87,23 | 0,16 | 203,00 | 1836,00 | 2,33 | 1,66 | 2,5 | 335 |
| 14.06.93 | 128 | 16,36 | 84928 | 1389,42 | 296,25 | 141,53 | 0,25 | 213,00 | 2049,00 | 1,50 | 1,64 | 2,5 | 335 |
| 21.06.93 | 135 | 17,73 | 84503 | 1498,24 | 319,45 | 108,82 | 0,20 | 241,00 | 2290,00 | 2,21 | 1,69 | 2,7 | 370 |
| 28.06.93 | 142 | 19,12 | 84081 | 1607,62 | 342,78 | 109,38 | 0,20 | 298,00 | 2588,00 | 2,72 | 1,76 | 2,89 | 445 |
| 05.07.93 | 149 | 20,53 | 83660 | 1717,54 | 366,21 | 109,92 | 0,20 | 331,00 | 2919,00 | 3,01 | 1,85 | 3 | 440 |
| 12.07.93 | 156 | 20,51 | 83242 | 1707,29 | 364,03 | -10,25 | -0,00 | 280,00 | 3199,00 | -27,30 | 2,04 | 2 | 410 |
| 19.07.93 | 163 | 21,83 | 82826 | 1808,08 | 385,52 | 100,79 | 0,19 | 238,00 | 3437,00 | 2,36 | 2,06 | 1,88 | 420 |
| 26.07.93 | 170 | 23,45 | 82412 | 1932,55 | 412,06 | 124,47 | 0,23 | 238,00 | 3675,00 | 1,91 | 2,05 | 1,76 | 440 |
| 02.08.93 | 177 | 24,06 | 81999 | 1972,91 | 420,66 | 40,36 | 0,09 | 238,00 | 3913,00 | 5,90 | 2,14 | 1,72 | 470 |
| 09.08.93 | 184 | 25 | 81589 | 2039,74 | 434,91 | 66,83 | 0,13 | 238,00 | 4151,00 | 3,56 | 2,19 | 1,72 | 440 |
| 12.08.93 | 187 | 23,18 | 80703 | 1870,70 | 398,87 | -169,04 | -0,61 | 74,00 | 4225,00 | -0,44 | 2,44 | 0 | 180 |
V.c. : Vitesse de croissance en g/j
I.C. : Indice de conversion
T.N. : Taux de nutrition
Renouv. d'eau : Renouvellements d'eau continus et séquentiels
HISTOGRAMME MONO 93.05 DU 12/08/93
Pt=23,18g Pm=21,08g Pf=25,29g N=251

REPARTITION MONO 93.05 DU 12/08/93
Pt=23,18g Pm=21,08g Pf=25,29g N=251

FICHE SYNTHETIQUE D'ELEVAGE
| ELEVAGE No | BASSIN | SURFACE (m2) | ALIMENT |
| 93.06 | B6 | 20960 | PRESIDENT |
| ENSEMENCEMENT | ESPECE | DATE | AGE(j) | NB | POIDS M. (G) | POIDS T. (KG) | No ELEV. NURSERY |
| P. INDIC. | 26/03/93 | 31 | 33374 | 0,0575 | 1,92 | ||
| P.MONO. | 02/04/93 | 55 | 150000 | 1,5 | 225 | ||
| TOTAL | 183374 | 226,92 | |||||
| PECHE | P. INDIC. | 29/07/93 | 156 | 24508 | 14,91 | 365,41 | |
| P.MONO. | 29/07/93 | 173 | 121611 | 20,23 | 2460,19 | ||
| TOTAL | 146119 | 2825,60 | |||||
| P. INDICUS | P. MONODON | CHEPTEL | |
| DENSITE INI.(N/M2) | 1,59 | 7,16 | 8,75 |
| CHARGE INI.(G/M2) | 0,09 | 10,73 | 10,83 |
| DENSITE FIN. | 1,17 | 5,80 | 6,97 |
| CHARGE FIN. | 17,43 | 117,38 | 134,81 |
| SURVIE (%) | 73,43 | 81,07 | 79,68 |
| DUREE (J) | 125 | 118 | 122 |
| CROISSANCE (G/J) | 0,12 | 0,16 | |
| RENDEMENT (KG/HA/AN) | 506,40 | 3298,63 | 3724,59 |
| ALIM. TOTAL (KG) | 942,23 | 5194,5 | 6136,73 |
| IND. CONVERSION | 2,59 | 2,32 | 2,36 |
| COEFFICIENT DE VARIATION (%) | |||
| FEMELLES | 36,47 | 26,33 | |
| MALES | 22,34 | 20,66 | |
| TOTAL | 36,58 | 26,11 | |
| FERTILISANT (KG) | |||
| UREA | 102 | ||
| TSP | 34 | ||
| PARAMETRES | MIN | MAX | MOYENNE |
| OXY. MATIN (PPM) | 1,5 | 5,0 | 2,9 |
| OXY. SOIR (PPM) | 1,5 | 8,4 | 5,4 |
| TEMP. MATIN (°C) | 25,0 | 31,5 | 28,3 |
| TEMP. SOIR (°C) | 27,0 | 34,5 | 30,3 |
| SECCHI (CM) | 30 | 80 | 50 |
| PH | 7,12 | 8,00 | 7,48 |
| SALINITE (PPT) | 30 | 38 | 37 |
T A B L E A U S Y N T H E T I Q U E D E L ' E L E V A G E
| BASSIN: B6 | ESPECE: P. MONODON |
| ELEVAGE: 93.06 | ALIMENT: PRESIDENT |
| Date | Age | Poids moyen | Nombre | Poids tot. | Biomass | Prod. d(bm) | V.c. | Ration | Ration cumulée | I.C. | I.C. cumulé | T.N. | Renouv.d'eau |
| (j) | (g) | (kg) | (g/m2) | (kg) | (g/j) | (kg/t) | (kg) | (dt) | (%/j) | (%/7j) | |||
| 02.04.93 | 55 | 1,5 | 150000 | 225 | 10,73 | 8 | 0 | ||||||
| 05.04.93 | 58 | 2,13 | 150000 | 319,50 | 15,24 | 94,50 | 0,21 | 36,00 | 36,00 | 0,38 | 0,38 | 8 | 18 |
| 12.04.93 | 65 | 3,16 | 142500 | 450,30 | 21,48 | 130,80 | 0,15 | 142,00 | 178,00 | 1,09 | 0,79 | 6 | 43 |
| 19.04.93 | 72 | 3,88 | 142500 | 552,90 | 26,38 | 102,60 | 0,10 | 180,00 | 358,00 | 1,75 | 1,09 | 5,8 | 58 |
| 26.04.93 | 79 | 4,95 | 142500 | 705,38 | 33,65 | 152,48 | 0,15 | 255,00 | 613,00 | 1,67 | 1,28 | 6,4 | 62 |
| 03.05.93 | 86 | 6,44 | 141075 | 908,52 | 43,35 | 203,15 | 0,21 | 280,00 | 893,00 | 1,38 | 1,31 | 6 | 62 |
| 10.05.93 | 93 | 8,38 | 139664 | 1170,39 | 55,84 | 261,86 | 0,28 | 390,50 | 1283,50 | 1,49 | 1,36 | 5,3 | 72 |
| 17.05.93 | 100 | 10,31 | 138268 | 1425,54 | 68,01 | 255,15 | 0,28 | 427,00 | 1710,50 | 1,67 | 1,42 | 4 | 144 |
| 24.05.93 | 107 | 12 | 137576 | 1650,92 | 78,77 | 225,38 | 0,24 | 283,00 | 1993,50 | 1,26 | 1,40 | 2,2 | 104 |
| 31.05.93 | 114 | 13,2 | 136888 | 1806,93 | 86,21 | 156,01 | 0,17 | 259,00 | 2252,50 | 1,66 | 1,42 | 2 | 143 |
| 07.06.93 | 121 | 14,38 | 136204 | 1958,61 | 93,45 | 151,69 | 0,17 | 253,00 | 2505,50 | 1,67 | 1,45 | 2 | 190 |
| 14.06.93 | 128 | 15,26 | 135523 | 2068,08 | 98,67 | 109,47 | 0,13 | 267,00 | 2772,50 | 2,44 | 1,50 | 2,2 | 155 |
| 21.06.93 | 135 | 15,64 | 134845 | 2108,98 | 100,62 | 40,90 | 0,05 | 302,00 | 3074,50 | 7,38 | 1,63 | 2,7 | 180 |
| 28.06.93 | 142 | 17,49 | 134171 | 2346,65 | 111,96 | 237,67 | 0,26 | 423,00 | 3497,50 | 1,78 | 1,65 | 2,9 | 185 |
| 05.07.93 | 149 | 18,86 | 133500 | 2517,81 | 120,12 | 171,16 | 0,20 | 484,00 | 3981,50 | 2,83 | 1,74 | 2,8 | 205 |
| 12.07.93 | 156 | 19,48 | 132833 | 2587,58 | 123,45 | 69,77 | 0,09 | 413,00 | 4394,50 | 5,92 | 1,86 | 1,9 | 215 |
| 19.07.93 | 163 | 21,24 | 132169 | 2807,26 | 133,93 | 219,68 | 0,25 | 350,00 | 4744,50 | 1,59 | 1,84 | 1,4 | 215 |
| 26.07.93 | 170 | 20,66 | 131508 | 2716,96 | 129,63 | -90,31 | -0,08 | 350,00 | 5094,50 | -3,88 | 2,04 | 1,8 | 215 |
| 29.07.93 | 173 | 20,23 | 121611 | 2460,19 | 117,38 | -256,76 | -0,14 | 100,00 | 5194,50 | -0,39 | 2,32 | 1,8 | 215 |
V.c. : Vitesse de croissance en g/j
I.C. : Indice de conversion
T.N. : Taux de nutrition
Renouv. d'eau : Renouvellements d'eau continus et séquentiels
HISTOGRAMME MONO 93.06 DU 29/07/93
Pt=20,23g Pm=18,16g Pf=21,57g N=326

REPARTITION MONO 93.06 DU 29/07/93
Pt=20,23g Pm=18,16g Pf=21,57g N=326

T A B L E A U S Y N T H E T IQ U E D E L' E L E V A G E
| BASSIN: B6 | ESPECE: P. INDICUS |
| ELEVAGE: 93.06 | ALIMENT: PRESIDENT |
| Date | Age | Poids moyen | Nombre | Poids tot. | Biomass | Prod. d(bm) | V.c. | Ration | Ration cumulée | I.C. | I.C. cumulé | T.N. | Renouv. d'eau |
| (j) | (g) | (kg) | (g/m2) | (kg) | (g/j) | (kg/t) | (kg) | (dt) | (%/j) | (%/7j) | |||
| 26.03.93 | 31 | 0,0575 | 33374 | 1,92 | 0,09 | 25 | 0 | ||||||
| 05.04.93 | 41 | 0,48 | 31371 | 15,06 | 0,72 | 13,14 | 0,04 | 4,10 | 4,10 | 0,31 | 0,31 | 25 | 18 |
| 12.04.93 | 48 | 1,51 | 28234 | 42,63 | 2,03 | 27,58 | 0,15 | 5,12 | 9,23 | 0,19 | 0,23 | 6,7 | 43 |
| 19.04.93 | 55 | 2,36 | 28234 | 66,63 | 3,18 | 24,00 | 0,12 | 22,00 | 31,23 | 0,92 | 0,48 | 6 | 58 |
| 26.04.93 | 62 | 3,57 | 27952 | 99,79 | 4,76 | 33,16 | 0,17 | 59,00 | 90,22 | 1,78 | 0,92 | 10 | 62 |
| 03.05.93 | 69 | 5,28 | 27672 | 146,11 | 6,97 | 46,32 | 0,24 | 70,00 | 160,22 | 1,51 | 1,11 | 10 | 62 |
| 10.05.93 | 76 | 7,01 | 27395 | 192,04 | 9,16 | 45,93 | 0,25 | 78,00 | 238,22 | 1,70 | 1,25 | 7,9 | 72 |
| 17.05.93 | 83 | 8,14 | 27121 | 220,77 | 10,53 | 28,73 | 0,16 | 105,00 | 343,23 | 3,66 | 1,57 | 6,4 | 144 |
| 24.05.93 | 90 | 9,9 | 26850 | 265,82 | 12,68 | 45,05 | 0,25 | 68,00 | 411,23 | 1,51 | 1,56 | 3,1 | 104 |
| 31.05.93 | 97 | 10,65 | 26716 | 284,53 | 13,57 | 18,71 | 0,11 | 56,00 | 467,23 | 2,99 | 1,65 | 2,5 | 143 |
| 07.06.93 | 104 | 9,78 | 26582 | 259,98 | 12,40 | -24,55 | -0,12 | 50,00 | 517,23 | -2,04 | 2,00 | 2,5 | 190 |
| 14.06.93 | 111 | 10,25 | 26450 | 271,11 | 12,93 | 11,13 | 0,07 | 44,00 | 561,23 | 3,95 | 2,08 | 2,6 | 155 |
| 21.06.93 | 118 | 13,15 | 26317 | 346,07 | 16,51 | 74,96 | 0,41 | 44,00 | 605,23 | 0,59 | 1,76 | 2,7 | 180 |
| 28.06.93 | 125 | 13,25 | 26186 | 346,96 | 16,55 | 0,89 | 0,01 | 63,00 | 668,23 | 70,93 | 1,94 | 2,7 | 185 |
| 05.07.93 | 132 | 15,49 | 26055 | 403,59 | 19,26 | 56,63 | 0,32 | 63,00 | 731,23 | 1,11 | 1,82 | 2,7 | 205 |
| 12.07.93 | 139 | 13,92 | 25924 | 360,87 | 17,22 | -42,72 | -0,22 | 67,00 | 798,23 | -1,57 | 2,22 | 2,5 | 215 |
| 19.07.93 | 146 | 15,93 | 25795 | 410,91 | 19,60 | 50,04 | 0,29 | 63,00 | 861,23 | 1,26 | 2,11 | 2,2 | 215 |
| 26.07.93 | 153 | 13,78 | 25666 | 353,68 | 16,87 | -57,24 | -0,31 | 63,00 | 924,23 | -1,10 | 2,63 | 2,2 | 215 |
| 29.07.93 | 156 | 14,91 | 24508 | 365,41 | 17,43 | 11,74 | 0,38 | 18,00 | 942,23 | 1,53 | 2,59 | 2,2 | 215 |
V.c. : Vitesse de croissance en g/j
I.C. : Indice de conversion
T.N. : Taux de nutrition
Renouv. d'eau : Renouvellements d'eau continus et séquentiels
HISTOGRAMME INDIC 93.06 DU 29/07/93
Pt=14,91g Pm=12,35g Pf=16,87g N=97

REPARTITION INDIC 93.06 DU 29/07/93
Pt=14,91g Pm=12,35g Pf=16,87g N=97

FICHE SYNTHETIQUE D'ELEVAGE
| ELEVAGE No | BASSIN | SURFACE (m2) | ALIMENT |
| 93.07 | B1 | 4938 | STARTER |
| ENSEMENCEMENT | ESPECE | DATE | AGE(j) | NB | POIDS M.(G) | POIDS T.(KG) | No ELEV.NURSERY |
| P. MONO. | 07/05/93 | 10 | 595833 | 0,00363 | 2,16 | N/93.02/M | |
| PECHE | P. MONO. | 27/07/93 | 91 | 458456 | 1,7 | 779,38 | |
| DENSITE INI. (N/M2) | 120,66 |
| CHARGE INI. (G/M2) | 0,44 |
| DENSITE FIN. | 92,84 |
| CHARGE FIN. | 157,83 |
| SURVIE (%) | 76,94 |
| DUREE (J) | 81 |
| CROISSANCE (G/J) | 0,02 |
| RENDEMENT (KG/HA/AN) | 7092,45 |
| ALIM. TOTAL (KG) | 1293,49 |
| IND. CONVERSION | 1,66 |
| FERTILISANT (KG) | |
| UREA | 21,00 |
| TSP | 7,00 |
| PARAMETRES | MIN | MAX | MOYENNE |
| OXY. MATIN (PPM) | 1,2 | 6,7 | 3,6 |
| OXY. SOIR | 3,3 | 14,2 | 7,6 |
| TEMP. MATIN (°C) | 24,5 | 30,5 | 27,4 |
| TEMP. SOIR | 27,5 | 33,0 | 30,1 |
| SECCHI (CM) | 30 | 70 | 48 |
| PH | 7,33 | 7,76 | 7,56 |
| SALINITE (PPT) | 36 | 38 | 37 |
T A B L E A U S Y N T H E T I Q U E D E L ' E L E V A G E
| BASSIN: B1 | ESPECE: P. MONODON |
| ELEVAGE: 93.07 | ALIMENT: STARTER |
| Date | Age | Poids moven | Nombre | Poids tot. | Biomass | Prod. d(bm) | V.c. | Ration | Ration cumulée | I.C. | I.C. cumulé | T.N. | Renouv. d'eau |
| (j) | (g) | (kg) | (g/m2) | (kg) | (g/j) | (kg/t) | (kg) | (dt) | (%/j) | (%/7j) | |||
| 07.05.93 | 10 | 0,00363 | 595833 | 2,16 | 0,44 | 25 | 0 | ||||||
| 24.05.93 | 27 | 0,15 | 530291 | 79,54 | 16,11 | 77,38 | 0,01 | 17,31 | 17,31 | 0,22 | 0,22 | 5 | 0 |
| 31.05.93 | 34 | 0,30 | 530291 | 159,09 | 32,22 | 79,54 | 0,02 | 23,18 | 40,49 | 0,29 | 0,26 | 5,7 | 15 |
| 07.06.93 | 41 | 0,40 | 477262 | 190,90 | 38,66 | 31,82 | 0,01 | 58 | 98,49 | 1,82 | 0,52 | 8 | 20 |
| 14.06.93 | 48 | 0,51 | 477262 | 243,40 | 49,29 | 52,50 | 0,02 | 93 | 191,49 | 1,77 | 0,79 | 9 | 20 |
| 21.06.93 | 55 | 0,67 | 477262 | 319,77 | 64,76 | 76,36 | 0,02 | 135 | 326,49 | 1,77 | 1,03 | 9 | 20 |
| 28.06.93 | 62 | 0,82 | 477262 | 391,35 | 79,25 | 71,59 | 0,02 | 200 | 526,49 | 2,79 | 1,35 | 12 | 35 |
| 05.07.93 | 69 | 0,92 | 472489 | 434,69 | 88,03 | 43,34 | 0,01 | 261 | 787,49 | 6,02 | 1,82 | 9,8 | 35 |
| 12.07.93 | 76 | 1,06 | 467764 | 495,83 | 100,41 | 61,14 | 0,02 | 204 | 991,49 | 3,34 | 2,01 | 4,4 | 15 |
| 19.07.93 | 83 | 1,67 | 463087 | 773,35 | 156,61 | 277,52 | 0,09 | 142 | 1133,49 | 0,51 | 1,47 | 2,6 | 30 |
| 27.07.93 | 91 | 1,7 | 436882 | 742,70 | 150,40 | -30,66 | 0,004 | 160 | 1293,49 | -5,22 | 1,75 | 2,6 | 30 |
V.c. : Vitesse de croissance en g/j
I.C. : Indice de conversion
T.N. : Taux de nutrition
Renouv. d'eau : ne sont indiqués que les renouvellements séquentiels
FICHE SYNTHETIQUE D'ELEVAGE
| ELEVAGE No | BASSIN | SURFACE(m2) | ALIMENT |
| 93.08 | B2 | 5269 | PRESIDENT |
| ENSEMENCEMENT | ESPECE | DATE | AGE(j) | NB POIDS | M. (G) POIDS | T. (KG) | No ELEV. NURSERY |
| P.MONO. | 05/07/93 | 19 | 79738 | 0,01094 | 0,87 | ||
| 09/07/93 | 15 | 441859 | 0,0085 | 3,76 | |||
| 17 | 521597 | 0,0117 | 6,10 | ||||
| PECHE | P.MONO. | 15/10/93 | 117 | 260800 | 2 | 521,60 |
| DENSITE INI. (N/M2) | 98,99 |
| CHARGE INI. (G/M2) | 1,16 |
| DENSITE FIN. | 49,50 |
| CHARGE FIN. | 98,99 |
| SURVIE (%) | 50,00 |
| DUREE(J) | 100 |
| CROISSANCE (G/J) | 0,02 |
| RENDEMENT(KG/HA/AN) | 3571,01 |
| ALIM. TOTAL(KG) | 1153,30 |
| IND. CONVERSION | 2,24 |
| FERTILISANT (KG) | |
| UREA | 18 |
| TSP | 6 |
| PARAMETRES | MIN | MAX | MOYENNE |
| OXY. MATIN (PPM) | 2,0 | 6,0 | 3,9 |
| OXY. SOIR | 4,0 | 9,5 | 6,5 |
| TEMP. MATIN (°C) | 25,0 | 29,0 | 27,0 |
| TEMP. SOIR | 27,5 | 32,0 | 29,6 |
| SECCHI (CM) | 25 | 80 | 52 |
| PH | 7,40 | 8,00 | 7,80 |
| SALINITE (PPT) | 36 | 40 | 38 |