Abstract: Different measures of capacity utilization (CU) are applied to the Danish Gillnet fleet using the Data Envelopment Analysis (DEA) approach. The potential capacity output is found using the output-orientated measure. The CU measures are the partial capacity utilization measure and the Ray measure (DEA measure). The average CU of the Danish Gillnet fleet was found to be between 0.85 and 0.95 depending on the measure used. Since the Danish Gillnet fleet participates in a multispecies fishery regulated by TACs (output) the excess capacity was also found for each species. The results show higher excess capacity for cod and sole than for other species, which is in accordance with how the fishery developed. The variable input utilization was also estimated. On average, the variable input could have been increased by 27 percent in the period examined. Finally, the results are interpreted with respect to fishing area, port, vessel size and catch composition.
Capacity and capacity utilization have been a core issue in fisheries and in the fishery economics literature for several decades. It has long been recognized that, in an open access setting, there will be too many boats in the fleet. The control of capacity has consequently been on the political agenda, since the fisheries in many countries are managed using open-access regulation. In the EU, a Multi Annual Guidance Programme (MAGP) has been in force since 1983 with the main purpose to adjust the fleet to the availability of the resource. Since 1987, the main instrument of this program, in practice, has been to withdraw vessels from the fleets. Several reports have pointed out that a reduction in the size of the fleet of at least 40 percent on average is necessary in order to match the fleet capacity to the availability of the resource. However, these suggestions were only based on biological considerations.
The purpose of the paper is to apply the recently suggested method Data Envelopment Analysis (DEA) (FAO, 1998) to measure capacity and capacity utilization in the Danish gill-net fleet. First, the main issues connecting to the measurement of capacity are briefly discussed. Then, the fishery, regulation and data are described. Finally, the model and the results are presented and discussed.
In the economics literature, capacity is defined in terms of potential output. There are basically two distinct methods of measuring the capacity - a technical-economic approach and a s strictly economic approach (Morrison, 1985). What distinguishes the two notions of capacity is how the underlying economic aspects are included to determine the capacity output. In either approach, capacity utilization is then simply actual output divided by capacity (see Morrison, 1985).
In the economics approach, cost-minimizing optimal capacity is defined as the output level at which the short-run average cost curve is tangent to the long-run average cost curve (Klein, 1960; Berndt and Morrison, 1981; Morrison, 1985). Empirically this definition of optimal capacity is difficult to use because detailed cost data is needed to estimate the cost function. While the technical-economic approach can handle problems with limited data, the economic approach requires detailed cost data to be able to estimate the optimal capacity.
In practice a technological-economic approach has been used. Following Johansen (1968), in this approach the capacity output is defined as: "the maximum amount that can be produced per unit of time with existing plant and equipment provided the availability of variable factors of production is not restricted"[88]. This concept of capacity conforms to that of a full-input point on a production function, with the qualification that capacity represents a sustainable maximum level of output (Klein and Long, 1973). In the context of fisheries, this definition corresponds to the maximum catch a vessel can produce if fully utilized given the biomass and the age structure of the fish stock and the present state of technology. It is important to note that this definition does not measure capacity as an output level that can only be realized at prohibited high cost of input usage, and hence be economically unrealistic. The capacity output is measured relative to the observed best practice frontier and hence is not an absolute engineering-derived number. That is, the observed best-practice frontier is established by the existing fleet and reflects economic decisions made by these vessels.
The decision of the level of capacity or vessel size is a long run decision based on, in general, expectations on future production possibilities (e.g. resource stock and regulation), prices and costs. Capacity is at a given point in time fixed, and hence is a short-run concept, and basically it is covered by the definition of Johansen (Prochaska, 1978). The rate of capacity utilization is a short run concept, since with responses in prices, costs or other things the production can be adjusted. The state of technology is given as well as the level of the resource stock.
In fisheries the concept of capacity needs to address several specific issues. The basic additional constraint compared to other areas of applied economics is that the fishermen harvest from a fixed pool of resources where the nature limits the production and the individual fisher's ability to control catches (Prochaska, 1978). Measuring capacity in a renewable resource industry is, therefore, more difficult than in a 'normal' industry because the measure is conditional upon the resource stock. The production technology is stock-flow, in which inputs are applied to the resource stock to yield a flow of catch (output). Hence, if the capacity is measured over a period of time, the measure has to take into account changes in the resource stock as well as changes in the capital stock.
In many cases, the production in fisheries is multiproduct, which influences the selection of empirical methods. Another issue is the mobile nature of the vessel where it is possible to move from fishery to fishery either during a period or from period to period. The level of aggregation determines the outcome of the analysis. A high level of aggregation including all fisheries within the year of the whole fleet shows the overall level of capacity utilization. However, the problem is that there may be fisheries with very high CU and fisheries with low CU that can counterbalance so the combined CU result is not alarming. The fisheries with high low CU is typically high value fisheries and hence the most important economically. If the fisheries are technologically distinct they may be treated separately.
In fisheries that are regulated by open-access regulation, i.e. the access to each single fishery is not regulated, a problem called latent capacity might arise. This problem has its origin in the fact that the fishing effort can change allocation between the fisheries during the season. A fishery that has a high CU in one period might have a low CU in the next period because of incoming vessels resulting in other fisheries having a high CU, all things equal. An assessment of the excess capacity in this kind of fisheries has to take the regulation into account. Targeting a decommissioning scheme towards vessels currently in the high value fisheries will not reduce the excess capacity in these fisheries, only the excess capacity in the low value fisheries is reduced.
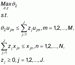
The empirical method used here is Data Envelopment Analysis (DEA). The DEA approach is a mathematical programming technique in which an optimal solution is determined given a set of constraints. The approach finds the technical efficiency of the firms. This information can then be used to derive the capacity and capacity utilization measure. This method has been used in a wide range of analyses. Traditionally, the method has been used to determine the efficiency within highly regulated sectors, e.g. hospital. The method has several variants. To determine the capacity output and hence the CU, the output-oriented version of DEA is used. The output-oriented version gives the potential output given the current use of inputs, i.e. the frontier production. To use this version consistently with the definition of Johansen only the fixed inputs are bounded at their observed level, allowing the variable inputs to vary. The outcome is a scalar q1 showing by how much the production of each firm can be increased, i.e. if the solution is 1.25 the capacity output is 1.25 times observed output. The capacity utilization is then simply 1/1.25 = 0.8.
The value of q1 is found by solving:
|
|
(2) |
where ujm is the level of output m
produced by firm j from employing inputs zn. The inputs are
divided into fixed factors, represented by the set a, and variable factors represented by
. ljn is a measure of unit j n-th
variable input utilization rate.
Capacity output is estimated as the production of q1 and the level of observed output, given by:
|
|
(2) |
This approach provides a ray measure of capacity output and CU in which the multiple outputs are kept in fixed proportions as they are expanded (Segerson and Squires, 1990). The ray measure converts the multiple-output problem to a single-product one by keeping all outputs in fixed proportions. This ray measure corresponds to a Farrell (1957) measure of output-oriented technical efficiency due to the radial expansion of outputs.[89]
Färe et al. (1994) noted that this ray CU measure may be biased downward because the observed outputs are not produced technically efficient. A technically efficient measure is obtained by solving a problem where both the variable and fixed inputs are constrained to their current level. The outcome (which can be called q2) shows by how much the production can be increased by using the inputs technical efficient. The estimation of q2 is given by:
|
|
(3) |
The technically efficient output vector is q2 multiplied by observed production for each output. The technically efficient or unbiased ray measure of capacity utilization is then:
|
|
(4) |
The output-oriented measure can be used in several ways. The capacity output is determined for each vessel. Summing over vessels by a given criteria (e.g. regional or gear-type), the number of vessels required to reach some specified target (e.g. TAC) can be found. In the multispecies case, this can be done for each species.
The input-oriented measure gives the technical efficient input level needed to produce the current level of output. Hence, this measure provides information on the optimal vessel or fleet level and configuration.
The variable input utilization outcome measures the ratio of optimal use of input to observed use, where the optimal variable input usage is that variable input level which gives full technical efficiency at the full capacity output level. If the ratio of the optimal variable input level to the observed variable input level exceeds (falls short of) 1.0 in value, there is a shortage (surplus) of the ith variable input currently employed and the firm should expand (contract) use of that input.
The Danish fisheries are normally divided into human consumption fisheries and industrial fisheries. The Danish human consumption fisheries are composed of many fisheries[90] and are defined as fisheries where no species are landed for industrial purpose. The industrial fisheries are fisheries where some of the species are landed for industrial purpose (processing of meal and oil), meaning that species caught in these fisheries can be landed for human consumption. The human consumption fisheries are, in general, multispecies fisheries, i.e. more than one species are caught in one setting of the gear or in one trip. In several of the fisheries, participants use a range of different gear types (e.g. trawlers, gillnetters, Danish Seiners).
A large part of the Danish human consumption fleet is multipurpose, and can participate in several fisheries during the year, including industrial fisheries. Relative prices between species and factors, regulatory constraints, and biological conditions and change in seasons are factors that determine the choice of fisheries.
The gillnetters participate in the mixed human consumption fishery harvesting round- and flatfish in the North Sea and Skagerrak. The catch composition varies over the year and between fishing grounds. As well as gillnets, the operators also use alternative gears, including trawls and Danish seines. The target species varies over the year and can vary according to the gear type used, but cod, haddock, saithe, plaice and sole are the main species, with cod as the most important species. The mixed human consumption fishery could probably be divided into several fisheries, but this will require very detailed data beyond the scope of this study.
Table 1. Landings in 1993 (Tonnes)
|
Area |
Species |
||||
| |
Cod |
Haddock |
Saithe |
Plaice |
Sole |
|
3AN |
11 989 |
|
|
9 127 |
|
|
3AS |
4 469 |
1 603 |
4 310 |
1 293 |
1 430 |
|
3BD |
10 280 |
|
|
287 |
|
|
4AC |
19 547 |
3 582 |
|
16 452 |
1 661 |
|
Total |
46 285 |
5 185 |
4 310 |
27 159 |
3 091 |
Nearly all the gillnetters participate in the fishery in area 4AC (The North Sea) and about half of them also in area 3AN (Skagerrak). Only a few gillnetters take part in the fishery in areas 3AS (Kattegat) and 3BD (The Baltic Sea). The gillnetters target different round- and flatfish.
The EU Council determines every year the total allowable catch (TAC) for quota species in the Exclusive Economic Zones (EEZs) of the EU Member States. A fix scale (called the Principle of relative stability) divides the TACs among the Member States into national quotas. The Member States decide themselves the distribution among fishermen of the allocated quantity. Since there is no banking of national quotas, the Member States will design the regulation, so there is full utilization of their quotas.
The Danish regulation of the fishery[91] for cod, haddock, saithe and sole is based on the Danish share of the TACs divided into quarterly total quotas for the whole fishery, which in turn is divided into rations for a given period[92], in some cases depending on the size of vessels. However, the number of participating vessels is not regulated for these fisheries, so during the quarter the rations can get smaller or the ration period can be shortened. If the Danish quota for a species is caught before the end of the year, the fishery is simply closed[93]. In addition, the herring and mackerel fisheries are, in principle, regulated by this method.
In the beginning of the year, the Danish Ministry of Fisheries sets both the size of the quarterly quotas and rations based on the experience from former years and based on the size of the total Danish quota. Over the year the Ministry closely monitors the fishery by recording all catches, and if necessary the regulation is changed so that the Danish quota is not overfished. The purpose of the regulation is, in general, to achieve a better distribution of the fisheries over the year and a better utilization of the Danish quotas compared to a free fishery of the quotas. The regulatory instruments quarterly quotas and rations are used to stretch out the fishery over the whole year.
Whether the regulation carried out in 1993 has been a limiting factor (a binding constraint) for the fleet can be investigated in several ways. The TAC and the total catch for the relevant species can be compared. If the catch is close to the TAC (say within ten percent), the regulation could have been a limiting factor. In the North Sea, the total catches of cod, saithe, sole, mackerel, herring and sprat were within ten percent of their respective TAC. Similarly, in Skagerrak, the TACs for cod, plaice, mackerel, and sprat were exploited by over 90 percent.
Examination of how the regulation has changed over the year can also provide insight into which species have been limited due to regulation. If the regulation has been lowered relatively often, then the fishery is being constrained. The regulation for cod in the North Sea, Skagerrak and Kattegat was not changed significantly until November when the rations were reduced for all areas and the ration period shortened for North Sea and Skagerrak. The regulation of haddock in all areas was cancelled in August, while the rations of saithe in all areas was changed several times before the fishery was closed in October. Finally, the regulation of sole in the North Sea indicates limited possibilities. The ration-levels changed several times and the fishery was stopped once, before the fishery finally was closed in November.
In summary, it can be concluded that the cod and saithe fishery in all the four areas has been constrained by the limited TAC. Sole has been constrained in the North Sea. The TAC for plaice in the Skagerrak was exploited over 90 percent, but no regulation was carried out.
Access to the Danish fisheries is limited. To participate in the fishery, two authorisations are needed - recognition as a commercial fisherman and a vessel licence, where the former is also a necessary condition for the latter.
To become authorized as a commercial fisherman, two conditions must be fulfilled. Firstly, out of the pervious year personal income over 60 percent must come from fishery. Secondly, the fisher must be a Danish citizenship or have affiliations to Danish fisheries. This authorisation is needed if a person or company wants to conduct commercial fishery and it has, with minor modifications, been a requirement since 1965, at least.
Obtaining a licence to allow the entry of a new vessel (i.e. additional capacity) into the Danish fleet is dependent on two things. Firstly, permission from the Ministry of Fisheries, which in practice only gives permission if either corresponding capacity leaves the fishery or the capacity is directed towards certain species. However, the last possibility is very rarely used. Secondly, the potential licensee must be authorised as a commercial fishermen, and own at least two thirds of the new vessel. In the case of a company owned vessel, at least two-thirds of the company must be owned by persons authorised as commercial fishermen.
The vessel licence follows the vessel, if the new owner(s) fulfils the second condition above, i.e. if the vessel changes ownership at least two thirds of the new owner(s) must be authorised as commercial fishermen.
Capacity in the fishery is nominally measured along six dimensions: GRT, length, width, depth, hold capacity and engine power. These inputs can only be modified with the permission from the Ministry. Further, it is not allowed without permission to rebuild the vessel, for example, to make fishery with beam trawl (only if engine power > 500 HP) and (purse) seine gear possible. It should be pointed out that the capacity of vessels could be changed in other directions than the six mentioned above, e.g. through improvement of storage or catch technology.
The purpose of the regulation is to harmonise the total capacity of the fleet to the fishing possibilities. It is clear from the above interpretation of the legislation that the regulation of the total existing capacity is based on control of the capacity of the individual vessels. This system can regulate the individual vessels fishing possibilities, but the system cannot control the total fishing effort in the fisheries, because the access to each fishery, in general, is non-regulated. The most economically attractive fisheries will attract effort and each fisherman will try to fulfil his ration first, because once the quarterly quota is exhausted the fishery is stopped. As a result, the overall limited access to the Danish fishery and limited possibilities to extend the existing capacity will not reduce the overcapacity in the most profitable fisheries, but may only reduce the effort expended in the least attractive fisheries. From an efficiency viewpoint, the result is (still) that too much effort is attracted into certain fisheries. Therefore, the situation where the overall capacity problem is solved on the sector level, but not in certain fisheries can emerge.
For the purposes of the analysis, only gillnetters greater than 20 GRT were examined, 69 vessels in total. For each vessel, the available data[94] were on a trip level for 1993 and consist of information on:
the volume and value of the landed catch of cod, haddock, saithe, plaice, sole and other species (added together);
the month of landing; and
the fishing area.
The trip information allows for a division of the annual fishery activity based on month and area. The gillnetters participate only in the mixed human consumption fishery in the North Sea and Skagerrak[95]. The mixed human consumption fishery in the North Sea and Skagerrak can probably be divided into several different fisheries, but given the available data it seems not reasonable to divide this fishery further.
There is no information available about the length of the trips[96] and hence no information on the variable inputs per trip was available. It was decided to add the trip landings together to yearly data. Hence, for each vessel the total landings (output) and the number of trips (variable input) together with information on the KW and GRT (fixed factors) are provided[97].
The estimated capacity and variable input utilization of the Danish gillnet fleet are shown in Table 2. Of the 69 vessels, 37 (39) vessels have a CU based on technical efficient production (based on observed production) less than 1. The average CU is 0.91 (0.87), with a standard deviation of 0.11 (0.16). Nearly two thirds (43 vessels out of 69) of the fleet has a CU higher than 0.9, while 10 vessels have a CU less than 0.8. Using the CU measure based on observed output shows that 40 vessels have a CU higher than 0.9 and 20 vessels have a CU less than 0.8. This indicates that a minor, but significant part of the gillnet fleet has capacity problems. These results are in accordance with the result obtained in Vestergaard (1998), where the gillnet fleet was shown to be more efficient than other types of gear in the Danish human consumption fishery.
Forty eight vessels come from the port of Hvide Sande. Of these 48 vessels, 30 vessels have a CU less than 1. This indicates that the vessels belonging to the port of Hvide Sande have more excess capacity than the rest of the fleet. There does not seem to be any pattern with respect to vessel size and fishing area.
The variable input utilization (VIU) rates have the same distribution as the CU rates. About half of the vessels should increase the use of variable inputs, however this does only explain up the half of the excess capacity compared to capacity output (see Tables 2 and 3). The variable input utilization rate is 1.27 on average (with a standard deviation of 0.16), indicating that the vessels should increase the number of trips compared to the optimal number of trips.
Table 2. CU (observed and efficient), VIU and CUcod for each vessel
|
DMU |
CU-observed |
CU-efficient |
VIU |
CUcod |
DMU |
CU-observed |
CU-efficient |
VIU |
CUcod |
|
1 |
0.903 |
0.903 |
1 604 |
1 |
39 |
1 |
1 |
1 |
1 |
|
2 |
1 |
1 |
1 |
1 |
40 |
0.576 |
0.815 |
1 659 |
0.787 |
|
3 |
1 |
1 |
1 |
1 |
41 |
1 |
1 |
1 |
1 |
|
4 |
0.387 |
1 |
0.742 |
0.259 |
42 |
0.901 |
0.97 |
1 216 |
0.980 |
|
5 |
1 |
1 |
1 |
0.893 |
43 |
0.874 |
0.88 |
1 374 |
0.714 |
|
6 |
1 |
1 |
1 |
0.971 |
44 |
0.947 |
0.947 |
1 593 |
1 |
|
7 |
1 |
1 |
1 |
1 |
45 |
0.778 |
0.962 |
1.09 |
0.787 |
|
8 |
1 |
1 |
1 |
1 |
46 |
0.880 |
0.912 |
1 377 |
1 |
|
9 |
1 |
1 |
1 |
0.935 |
47 |
1 |
1 |
1 |
1 |
|
10 |
1 |
1 |
1 |
1 |
48 |
1 |
1 |
1 |
1 |
|
11 |
1 |
1 |
1 |
0.877 |
49 |
0.841 |
0.859 |
1485 |
1 |
|
12 |
0.913 |
0.932 |
1 263 |
0.787 |
50 |
0.564 |
0.704 |
2.04 |
0.775 |
|
13 |
0.981 |
0.981 |
1 255 |
0.935 |
51 |
0.649 |
0.702 |
1.76 |
0.719 |
|
14 |
1 |
1 |
1 |
0.676 |
52 |
0.487 |
0.487 |
2 517 |
0.546 |
|
15 |
0.955 |
0.985 |
1 105 |
1 |
53 |
1 |
1 |
1 |
0.840 |
|
16 |
0.745 |
0.745 |
1 975 |
0.935 |
54 |
0.691 |
0.916 |
1 434 |
0.893 |
|
17 |
1 |
1 |
1 |
0.827 |
55 |
0.781 |
0.807 |
2 025 |
0.820 |
|
18 |
0.846 |
0.883 |
1 228 |
0.926 |
56 |
0.764 |
0.864 |
1 295 |
0.662 |
|
19 |
1 |
1 |
1 |
1 |
57 |
0.686 |
0.686 |
2 206 |
0.667 |
|
20 |
0.731 |
0.874 |
1 226 |
1 |
58 |
0.750 |
0.788 |
1 631 |
1 |
|
21 |
1 |
1 |
1 |
0.621 |
59 |
1 |
1 |
1 |
0.935 |
|
22 |
0.863 |
0.884 |
1 202 |
0.980 |
60 |
1 |
1 |
1 |
0.855 |
|
23 |
0.374 |
1.006 |
1 178 |
1 |
61 |
0.840 |
0.84 |
2 371 |
0.725 |
|
24 |
1 |
1 |
1 |
1 |
62 |
0.808 |
0.861 |
1 383 |
0.606 |
|
25 |
1 |
1 |
1 |
1 |
63 |
1 |
1 |
1 |
1 |
|
26 |
1 |
1 |
1 |
1 |
64 |
0.485 |
0.485 |
1 |
1 |
|
27 |
0.661 |
0.661 |
2.23 |
1 |
65 |
1 |
1 |
1 |
1 |
|
28 |
0.908 |
1 |
0.715 |
0.505 |
66 |
0.772 |
0.87 |
1 403 |
0.820 |
|
29 |
1 |
1 |
1 |
1 |
67 |
1 |
1 |
1 |
1 |
|
30 |
0.879 |
0.966 |
1 105 |
0.909 |
68 |
0.754 |
0.754 |
1 805 |
1 |
|
31 |
0.978 |
0.978 |
1 423 |
0.855 |
69 |
1 |
1 |
1 |
0.885 |
|
32 |
0.783 |
0.783 |
1 634 |
0.633 |
Average |
0.87 |
0.92 |
1.27 |
0.88 |
|
33 |
0.790 |
0.869 |
1 204 |
1 |
St. dev. |
0.16 |
0.12 |
0.16 |
0.15 |
|
34 |
1 |
1 |
1 |
0.800 |
CU=1 |
30 |
32 |
|
29 |
|
35 |
0.731 |
0.885 |
1 243 |
0.826 |
CU<1 |
39 |
37 |
|
40 |
|
36 |
1 |
1 |
1 |
0.885 |
VIU=1 |
|
|
31 |
|
|
37 |
0.837 |
0.921 |
1 154 |
0.725 |
VIU<1 |
|
|
2 |
|
|
38 |
0.933 |
0.933 |
1 214 |
1 |
VIU>1 |
|
|
36 |
|
Capacity output and technically efficient output are calculated using the estimated value obtained from the DEA problems and for each species an aggregated CU is estimated (see Table 3). In total, the CU for each species shows basically the same results as those on the vessel basis with CUs around 0.85-0.95. The lowest CUs are associated with cod and sole, which is in accordance with how the regulation proceeded this year. Surprisingly, saithe has a higher CU than plaice. Haddock and saithe have the highest CU. Based on these results; the total excess capacity for cod is 15.9 percent, for sole 17.0 percent and for plaice 12.08 percent.
A partial CU measure (Segerson and Squires, 1990) is also estimated for cod. This approach varies only a single output. All other outputs are fixed at their actual levels. A partial CU measure can be defined as the observed output level divided by the capacity level of the output of concern given the actual output levels of all other products and fixed factor. The numerical value of this CU measure will vary across products so that it is not unique for a given firm, but they can give a consistent indication of the state of the firm's CU. The partial CU measures can also indicate that the degree of overcapitalization in the fishery can vary considerably across products (Segerson and Squires, 1990). There may be more slack in the fishery of one species than another. In the species with less slack or closer to full partial CU, the future demand for that species is likely to be of more importance in determining the future expansionary or contractionary forces in the fishery than is the demand for the species with greater slack.
Table 3. Fleet capacity and CU, Gillnetters (Tonnes)
| |
Cod |
Haddock |
Saithe |
Plaice |
Sole |
Other |
|
Catch |
4 369 |
123 |
413 |
1 566 |
268 |
1 227 |
|
Technical efficient output |
4 617 |
125 |
426 |
1 645 |
285 |
1 279 |
|
Capacity output |
5 065 |
133 |
452 |
1766 |
314 |
1 377 |
|
Excess capacity |
696 |
10 |
39 |
200 |
46 |
150 |
|
Excess capacity (%) |
15.9 |
7.7 |
9.5 |
12.8 |
17.0 |
12.2 |
|
CU-observed |
0.86 |
0.93 |
0.91 |
0.89 |
0.85 |
0.89 |
|
CU-efficient |
0.91 |
0.95 |
0.94 |
0.93 |
0.91 |
0.93 |
|
Capacitycod |
5 030 |
|
|
|
|
|
|
CUcod |
0.87 |
|
|
|
|
|
The partial CU for cod only was examined, since it is the most important species in the fishery. The stocks in the North Sea are managed on a species-by-species basis and CUcod can provide information on the degree of overcapacity related to cod. As indicated in Tables 2 and 3, the results are not very different on an aggregate basis. However, the results differ at the vessel level, where a vessel with CU=1 can now have CUcod less than 1 and verse versa, 16 vessels operate at full capacity under both CU-observed and CUcod.
Berndt, E. & Morrison, C. 1981. Capacity Utilization Measures: Underlying Theory and an Alternative Approach. American Economic Review, 71: pp. 48-52.
FAO. 1998. Report of the Technical Working Group on the Management of Fishing Capacity. La Jolla, United States, 15-18 April 1998. FAO Fisheries Report No. 586. Rome, FAO.
Färe, R., Grosskopf, S. & Knox Lovell, C.A. 1994. Production Frontiers. Cambridge, United Kingdom: Cambridge University Press.
Farrell, M.J. 1957. The Measurement of Productive Efficiency, Journal of the Royal Statistical Society, Series A, CXX (3): pp. 253-290.
Johansen, L. 1968, Production Functions and the Concept of Capacity. Recherches Récentes sur la Fonction de Production, Collection Economie Mathématiques et Econométrie 2.
Kirkley, J.E. & Squires, D. 1999. Capacity and Capacity Utilization in Fishing Industries. Discussion Paper 99-16, University of California, San Diego.
Klein, L. 1960. Some Theoretical Issues in the Measurement of Capacity. Econometrica, 28: pp. 272-286.
Klein, L. & Long, V. 1973. Capacity Utilization: Concept, Measurement, and Recent Estimates. Brookings Papers on Economic Activity, 73: pp. 743-756.
Koopmans, T. 1951. An Analysis of Production as an Efficient Combination of Activities. In: Koopmans, T. (Ed.) Activity Analysis of Production and Allocation. Cowles Commission for Research in Economics, Monograph No. 13. New York: Wiley.
Morrison, C.J. 1985. Primal and Dual Capacity Utilization: An Application to Productivity Measurement in the United States Automobile Industry. Journal of Business and Economics Studies, 3: pp. 312-324.
Prochaska, F.J. 1978. Theoretical and Empirical Considerations for Estimating Capacity and Capacity Utilization in Commercial Fisheries. American Journal of Agricultural Economics, 60(5): pp. 1020-1025.
Segerson, K. & Squires, D. 1990. On the Measurement of Economic Capacity Utilization for Multiproduct Industries. Journal of Econometrics, 75: pp. 76-85.
Vestergaard, N. 1998. Property Rights Based Regulation in Fisheries: Applications and Theory. Ph.D. Thesis No. 77. Institute of Economics, University of Copenhagen.
| [85] Institute of Environmental
and Business Economics, University of Southern Denmark, Niels Bohrs Vej
9-10, DK-6700, Esbjerg, Denmark. Email: [email protected].
The work is supported by the Danish Council of Social Research. The results
are not necessarily those of the United States National Marine Fisheries
Service. A revised version of the paper has subsequently been published
as Vestergaard, N., Squires, D. and Kirkley, J.E. (2003) Measuring capacity
and capacity utilization in fisheries: the case of the Danish Gill-net fleet,
Fisheries Research 60(2-3), 357-368 [86] United States National Institute of Marine Science, Southwest Fisheries Science Center, P.O. Box 271, La Jolla, California 92038-0271 United States. Email: [email protected] [87] Virginia Institute of Marine Sciences, College of William and Mary, Gloucester Point, Virginia 23062 United States. Email: [email protected] [88] Klein and Long (1973: p. 744) state that, Full capacity should be defined as an attainable level of output that can be reached under normal input conditions - without lengthening accepted working weeks, and allowing for usual vacations and for normal maintenance. [89] A non-radial expansion of outputs would correspond to Koopmans (1951) notion of technical efficiency. [90] The concept fishery is here defined based on either target species strategy (e.g. lobster fishery) and may consist of single or multiple species targeted and caught or a strategy where a mix of species is caught (e.g. the mixed human consumption fishery). The concept can further be specified based on area and time period (e.g. lobster fishery in Skagerrak in September). [91] In the regulation context the term fishery is not used as in the literature. A cod fishery is simply the situation where cod is (a part of) the catch. [92] It is possible in a number of cases for the fishermen to transfer ration from one period to the next. [93] Sometimes a fishery is closed if the quarterly quota is caught. The fishery opens then again at the start of the next quarter. [94] The data were provided by the Ministry of Fisheries. [95] There are two exceptions where a gillnet vessel also operates in other areas. [96] Since the fisheries in question are human consumption fisheries, where the trip length varies between 1-5 days, it is not assumed that the use of trips instead of number of days will give biased results when looking at similar vessels. [97] Because of the lack of better data on the variable inputs the relatively homogenous vessel group of gillnetters was selected. |