Indice
-
Precedente - Siguiente![]()
Fenomeno
de "sorcion"
Isotermas de sorcion
Modelos
de equilibrio higroscopico
Ecuaciones de humedad de equilibrio para
diversos productos
Metodos experimentales para obtener el
equilibrio higroscópico
Entalpía de vaporizacion
El agua participa activamente en la formación de los granos de cereales y deaginosas, pues es el vehículo de transporte de las sustancias nutritivas, a partir de hojas y raíces, que mediante procesos bioquímicos se polimerizan en almidón, lípidos y proteínas, durante la fase de maduración. Cuando alcanza la madurez fisiológica, el grano se independiza de la planta y, según las condiciones psicrométricas del aire (temperatura y humedad relativa), pierde humedad hasta el momento de la cosecha.
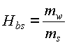
El comportamiento de los granos y de sus productos durante el almacenamiento depende de la temperatura y del contenido de humedad que presenta el producto. No se puede emprender ningún análisis de esta materia sin referirse a dichos parámetros. El contenido de humedad, es decir, la cantidad de agua contenida en el grano, se puede expresar tanto en base húmeda como en base seca. La humedad con base húmeda, Hbh, y la humedad con base seca, Hbs, se definen respectivamente con las ecuaciones 14 y 15: donde mw es la masa del agua, ms es la masa de la materia seca y mt es la masa total.

ec.14

ec.15
El contenido de humedad con base húmeda se puede expresar tanto en decimal como en porcentaje (parte de los componentes del material en relación con el total); en cambio, el contenido de humedad con base seca sólo tiene sentido si se expresa en decimal, puesto que se trata de una relación entre componentes del material. En el comercio y la industria se emplea mayormente el contenido de humedad con base húmeda, mientras que en ciencia el contenido de humedad con base seca resulta más adecuado.
Para comprender el papel que desempeña el agua de los granos en los procesos de secado y almacenamiento, es preciso comprender primero los principios básicos que intervienen en la fijación del agua por los componentes químicos de los granos. Cuando dichos principios están claros se puede apreciar todo el alcance de los diversos aspectos prácticos que tiene la relación entre el anua contenida en los aranas y los procesos de secado Y almacenamiento.
El agua contenida en los granos se presenta en distintas formas, en función de la naturaleza de las ligazones químicas que existen entre los componentes de la materia seca y las moléculas de agua, lo que determina los diferentes niveles de hidratación del producto.
Una parte del agua está estrechamente vinculada con la sustancia adsorbente. Se compone de una capa monomolecular ligada a determinados agrupamientos moleculares fuertemente polarizados, tales como los hidróxilos (OH). Puede esta combinada con la sustancia por medio de ligazones químicas, o sea, es parte integrante de una sustancia dada. Esta forma de agua se la puede eliminar sólo bajo rigurosas condiciones de temperatura y tiempo, como las que se emplean para determinar la humedad de los granos en estufa.
También se encuentra en los granos una cantidad de agua contenida en una capa polimolecular que se fija sobre la aludida capa monomolecular. Las distintas capas monomoleculares que componen la capa polimolecular están ligadas a la materia por medio de ligazones electromagnéticas y forman agua pseudoligada, no solvente, sin papel biológico y fuertemente adsorbida.
Los granos contienen además agua liquida bajo tensión osmótica. Se trata de agua solvente que retienen diferentes sustancias en las células del material biológico; aparece débilmente adsorbida, cumple un papel biológico y puede permitir las reacciones químicas (enzimáticas), además del desarrollo de hongos; se elimina, en gran parte, con el secado.
Cierta cantidad de agua se puede mantener libremente en los espacios correspondientes a los poros de los granos, es decir, se mantiene débilmente en el sistema gracias a fuerzas capitales. Esta cantidad de agua se conoce como agua de impregnación; algunos investigadores la llaman agua libre o adsorbida. Tiene las mismas propiedades que el agua libre. Las paredes celulares la retienen mecánicamente en el grano; las moléculas de las sustancias adsorbentes no se ven afectadas, actúan sólo como estructura de soporte. La presencia de agua libre en el grano lo inhabilita para el almacenamiento, puesto que puede favorecer el desarrollo de hongos y bacterias. Este tipo de agua se evapora fácilmente en el secado.
De acuerdo con lo anterior, el agua está adsorbida, es decir, se mantiene en los granos gracias a fuerzas de atracción molecular, o bien está firmemente ligada a la sustancia adsorbente. El término general "sorción" se usa para denotar esta interacción agua-sustancia adsorbente. Los términos generales adsorción y deserción se usan especialmente para denotar el proceso de ganar o perder agua por medio de sorción.
Esta clasificación de los tipos de agua presente en los granos no es más que una clasificación en categorías habituales. Cabe tener presente que en los sistemas coloidales, tales como los granos, que están compuestos de varias sustancias y poseen una estructura organizada, se presentan muchos tipos de agua ligada en el abanico que va desde el agua libre al agua ligada químicamente.
La Figura 9 muestra un ambiente (aire) con una temperatura determinada (T) y humedad relativa f constantes, en el cual está colocado un grano de cereal.
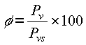
La humedad relativa del aire del ambiente representado en la Figura 9 está dada por la ecuación:

La presión parcial del vapor de agua que existe en el micro ambiente (capa de aire limite) en contacto con el grano es Pvg. Cuando el grano está en equilibrio higroscópico con el aire que lo envuelve, hay intercambio recíproco de humedad (agua) entre el aire y el grano, porque no hay diferencia de presión parcial de vapor entre la humedad de la superficie del grano y la del aire. Se tiene, por tanto:
Pv = Pvg
ec. 16
La actividad del agua del grano, Aw, se define como:
Aw= Pvg/Pvs
ec.17
En el equilibrio higroscópico, la actividad del agua de los granos es idéntica a la de la humedad relativa del aire. En tal caso,
Aw = f = Pv/Pvs
ec. 18
y el contenido de humedad del grano es igual al contenido de humedad de equilibrio, para las condiciones de temperatura y humedad relativa del aire.
Figura 9. Presiones parciales del vapor de agua en el aire Pv y en la superficie del grano Pvg.
La humedad de equilibrio se define como el contenido de humedad de un material higroscópico después de estar expuesto a un ambiente en condiciones controladas de temperatura y humedad relativa, durante un lapso prolongado. Se puede decir, además, que el material está en equilibrio higroscópico con el ambiente en que se encuentra cuando la presión de vapor de agua correspondiente a la humedad del material es igual a la presión de vapor de agua del aire ambiente. Para cada especie o variedad de material, la tensión de vapor tiene un valor característico acorde con la temperatura y el contenido de humedad del material.
La importancia que tiene la obtención de datos experimentales de equilibrio higroscópico de los productos agrícolas es bien conocida. Dada la importancia de este concepto, por sus innumerables aplicaciones en el secado, almacenamiento y manejo de los productos agrícolas, se han desplegado esfuerzos para obtener ecuaciones que expresen el contenido de humedad de equilibrio respecto de cada producto, en función de la humedad relativa y la temperatura del aire.
La utilidad de obtener esas ecuaciones son múltiples: a) las variaciones continuas de temperatura y humedad del aire en contacto con los productos almacenados originan cambios en el contenido de humedad de equilibrio. En las investigaciones relativas al almacenamiento, frecuentemente es preciso calcular dicho tenor de humedad por medio de dichas ecuaciones; y b) en los cálculos de secado, independientemente del sistema de secado que se ocupe, los valores de contenido de humedad de equilibrio se calculan incontables veces. Cabe destacar también la importancia de conocer esas ecuaciones de equilibrio higroscópico, para calcular la entalpía de la vaporización del agua de los productos biológicos en los procesos de secado.
Los valores del contenido de humedad de equilibrio de los productos biológicos dependen, principalmente, de la temperatura y de la humedad relativa del aire, de la especie o variedad del producto. La madurez fisiológica y la historia del producto, junto con la manera en que se obtuvo el equilibrio (adsorción o deserción), también influyen en la humedad de equilibrio.
Los materiales biológicos presentan la isoterma de sorción del tipo mostrado en la Figura 10. Una isoterma es simplemente una curva que relaciona el contenido de humedad de equilibrio de un producto, con la humedad relativa del aire o actividad de agua del producto.
El contenido de humedad de equilibrio de un material higroscópico, en determinadas condiciones de temperatura y humedad relativa de equilibrio, depende del camino que se siga para alcanzar el equilibrio. Así, para una misma humedad relativa, puede haber dos isotermas, denominadas isotermas de adsorción y de deserción, obtenías en función de las condiciones experimentales iniciales. Esto, porque el material puede presentar un contengo de humedad menor o mayor que la humedad de equilibrio para las condiciones del ambiente. Este fenómeno se llama histéresis. Las isotermas tienen forma sigmoidal, pues la isoterma de deserción presenta valores de humedad de equilibrio superiores al de la isoterma de adsorción (Figura 11).
Figura 10. Isotermas de sorción de agua del maíz.
Figura 11. Isotermas de adsorción y deserción, representación del fenómeno de
En la literatura consultada no se encontró ninguna explicación concluyente acerca del fenómeno de la histéresis. Una de las explicaciones es la teoría del "frasco de tinta", que aparece en varios trabajos. CHUNG y PFOST, (1976) pretenden explicar el fenómeno sobre la base de la contracción del volumen que se produce durante la deserción de humedad en el proceso de secado. Es decir, la reducción de volumen del producto acarrea la disminución de los puntos de ligazón disponibles para ligar el agua con las moléculas de las sustancias, lo que conduce a la histéresis. Hay otras hipótesis acerca de este tema en la literatura.
Se han propuesto diversos modelos teóricos, semi teóricos y empíricos para expresar el contenido de humedad de equilibrio de los granos. Pese a las investigaciones en este campo, ningún modelo teórico ha sido capaz hasta ahora de predecir exactamente el contenido de humedad de equilibrio de granos en todas las gamas de temperatura y humedad relativa. Además, sólo algunos modelos tienen en cuenta la temperatura como parámetro. Se han propuesto modificaciones a diversas ecuaciones y, en este caso, la gama de validez aumenta sustancialmente. En el Cuadro 9 se muestran los modelos más comunes de isotermas de sorción.
La ecuación de Kelvin se aplica solamente a las humedades relativas superiores a 95% y la ecuación de Langmuir no se aplica a productos alimenticios. La ecuación de BET y la versión que presenta Rounsley permiten estimar la parte de agua adsorbida en relación con el total de agua ligada. Las ecuaciones de BET, Harkins-Jura y Rounsley, ofrecen resultados aceptables solamente para valores de humedad relativa inferiores a 30% La ecuación de Henderson y la de Chung-Pfost son las que mejor expresan el contenido de humedad de equilibrio de granos en gamas más amplias de temperatura y humedad relativa. Las modificaciones empíricas mejoraron sustancialmente dichas ecuaciones y las hicieron aplicables a una mayor parte del abanico de temperaturas y humedades relativas.
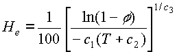
Ecuación de Henderson modificada

ec.27
f = 1 - exp [-c1 (T + c2)
(100 - He)c3],
ec.28
en que la humedad relativa f se expresa en decimal y la temperatura T en °C.
El Cuadro 10 muestra los valores de los parámetros de la ecuación de Henderson modificada, respecto de diversos productos.
Ecuación de Chung-Pfost
He = d1 - d2
(ln - (T + d3)ln f)
ec.29

ec.30
en que la humedad relativa f se expresa en decimal y la temperatura T en °C.
Cuadro 9 Ecuaciones de isotermas de sorción
| ECUACION | AUTOR | |
![]() |
Kelvin (1871) | ec.19 |
![]() |
Langmuir (1918) | ec.20 |
![]() |
B.E.T (1938) | ec.21 |
| f= exp(k3-K4/H2) | Harkins-Jura(1944) | ec.22 |
| H = k5-k6
In(1- |
Smith (1947) | ec.23 |
| f= 1-exp[-(k7THk89] | Henderson(1952) | ec.24 |
![]() |
Rounsley (1961) | ec.25 |
![]() |
Chung-Pfost (1967) | ec.26 |
Fuente: FORTES y OKOS (1981)
Cuadro 10 Parámetros de la ecuación de Henderson modificada, respecto de diversos productos
| PRODUCTO | c1 | c2 | c3 |
| Cebada | 2,2919 x 10-5 | 195,267 | 2,0123 |
| Frijol comestible | 2,0899 | 254,23 | 1,8812 |
| Maíz | 8,6541 | 49,810 | 1,8634 |
| Maní en grano | 65,0413 | 50,561 | 1,4984 |
| Maní con cáscara | 6,6587 | 23,318 | 2,5362 |
| Arroz con cáscara | 1,9187 | 51,161 | 2,4451 |
| Sorgo | 0,8532 | 113,725 | 2,4757 |
| Soja | 30,5327 | 134,136 | 1,2164 |
| Trigo (durum) | 2,5738 | 70,318 | 2,2110 |
| Trigo (duro) | 2,3007 | 55,815 | 2,2857 |
| Trigo (blando) | 1,2299 | 64,346 | 2,5558 |
| Yuca | 0,2892 | 64,3551 | 1,7267 |
| Cacao | 4,1942 | 0,0 | 2,7296 |
| Frijol negro | 3,7198 | 273,16 | 1,6260 |
Fuente: ASAE (1981); BACH (1979); SILVA (1979); FlOREZE (1982).
El Cuadro 1 1 muestra los valores de los parámetros empíricos de la ecuación de Chung-Pfost respecto de diversos productos.
Hay dos métodos para la obtención experimental de contenidos de humedad de equilibrio: el estático y el dinámico. En el método estático, las muestras se colocan en recipientes con humedad relativa y temperatura controladas, hasta que alcancen el equilibrio higroscópico, sin que haya movimiento de aire. Existe también otro método estático, en que una muestra de granos relativamente grande se coloca en un recipiente herméticamente cerrado dotado de un dispositivo higrosensor para determinar la humedad relativa. Cuando se alcanza el equilibrio higroscópico, no se producen variaciones apreciables en los valores de humedad relativa en el aire intersticial.
Cuadro 11 Parámetros de la ecuación de Chuag-Pfost respecto de diversos productos
| PRODUCTO | d1 | d2 | d3 | d4 | d5 |
| Cebada | 0,38363 | 0,050279 | 91,323 | 761,66 | 19,889 |
| Frijol comestible | 0,43001 | 0,062596 | 160,629 | 962,58 | 15,975 |
| Maíz | 0,33872 | 0,058970 | 30,205 | 312,30 | 16,058 |
| Maní en grano | 0,18948 | 0,034196 | 33,892 | 254,90 | 29,243 |
| Maní con cáscara | 0,16510 | 0,026383 | 12,354 | 522,01 | 37,903 |
| Arroz con cáscara | 0,29394 | 0,046015 | 35,703 | 594,61 | 21,732 |
| Sorgo | 0,35649 | 0,050907 | 102,849 | 1099,67 | 19,644 |
| Soja | 0,41631 | 0,071853 | 100,288 | 328,30 | 13,917 |
| Trigo (durum) | 0,37761 | 0,055318 | 112,350 | 921,65 | 18,077 |
| Trigo (duro) | 0,35616 | 0,056788 | 50,998 | 529,43 | 17,609 |
| Trigo (blando) | 0,27908 | 0,043360 | 35,662 | 726,49 | 23,607 |
Fuente: ASAE (1981).
Diversas sustancias químicas poseen la característica de retirar o ceder humedad del ambiente en que se encuentran, hasta que se alcanza un estado de equilibrio. Las sustancias que así se comportan se denominan materiales higroscópicos, y el contenido de humedad, cuando están en equilibrio con la atmósfera circundante, se conoce como contenido de humedad de equilibrio.
El método dinámico consiste en hacer pasar el aire, con humedad relativa y temperatura controladas, a través de la muestra, o vice versa, hasta que no haya variación de masa en la muestra. Este método permite obtener el equilibrio higroscópico en un lapso inferior al que necesita el método estático, en las mismas condiciones de temperatura y humedad relativa.
El estado de humedad relativa se puede mantener constante al interior de recipientes herméticamente cerrados, con soluciones de ácido sulfúrico, ácido clorhidrico y etilen glicol, las que mantendrán la humedad relativa constante en cualquier valor que se desee; soló basta con variar la concentración. Se pueden emplear también soluciones saturadas de diferentes sales, las que han sido preferidas por muchos autores por las ventajas siguientes:
a) la misma solución de sal se puede usar con diversas temperaturas, sin grandes variaciones en el valor de la humedad relativa; b) las sales son menos corrosivas que los ácidos y causan menos daño a los operadores durante su manejo; y c) aunque el material higroscópico pierda o gane humedad en cantidades relativamente grandes, la solución permanece saturada, siempre que se deje un depósito de cristales de sal en el fondo de la solución.
Un inconveniente es la dificultad de encontrar sales que abarquen toda la gama de humedad relativa que interesa. En los Cuadros 12 y 13 aparecen los datos de humedades relativas, en función de la temperatura, que se mantienen con soluciones de diversas sales.