Previous Page Table of Contents Next Page


Asia and Pacific


Territorial organization of Mongolian pastoral livestock husbandry in the transition to a market economy

Recent land tenure reforms and rural development in Lao P.D.R.

SRISTI initiatives for sustainable agriculture and rural development: A response to post-cold war challenges in India

Agrarian reform and rural development strategies in the Pacific

Agrarian reform and rural development strategies in China, Japan and other rice-based economies of Monsoon Asia


Territorial organization of Mongolian pastoral livestock husbandry in the transition to a market economy

Batjav Batbuyan

BATJAV BATBUYAN is a researcher at the Centre of Nomadic Pastoral Studies, Institute of Geography, Mongolian Academy of Sciences Ulaanbaatar, Mongolia.


Introduction
Endnotes
Bibliography


Introduction

The potential for herding households to become independent, privately-operating units is currently being explored in Mongolia. But improving the living standards of herders and at the same time enabling them to remain 'valley keepers', or custodians of their local environment, will not be achieved by focusing exclusively on households as single units with private herds. In fact, herding households have never been as individualistic as at present, not even prior to the 1921 Revolution. They formed collective units of ownership within which they were able to decide some of their own socio-economic problems.

The problems facing herders need to be addressed through multidisciplinary research capable of long-term projection. Privatization in contemporary Mongolia has been carried out without detailed research. It has been limited to redistributing the assets of pastoral collectives to existing herders and other individual householders. The intended result of the privatization programme is that herders will operate as individual units, independent of each other. This would run counter to the herders' own interests and would turn back the clock several centuries. Efforts to increase herders' incomes and improve their living conditions by means of better labour organization and easing of social problems requires the reversal of these backward steps.

Research has shown that policy measures not in accordance with our livestock farming traditions are inappropriate. It is important to remember the lessons learned from earlier periods. A revolution does not mean that everything which existed previously should be ignored. The scientifically-groundless direction of current policies could have serious consequences. We should pay more attention to asking what can be changed and how. In order to understand how Mongolian pastoral livestock husbandry could be reorganized, a programme of research should be carried out.

Not everyone is in a position to determine the most appropriate policies for reorganizing pastoral livestock husbandry. Policies made on the basis of theory alone, or following brief and irregular visits to the countryside, are little more than empty hypotheses. The many practical problems that exist for herders can only be resolved by means of careful, detailed research into the vital links between ecology, livestock and herders.

During 30 years under collectivization (1959-89), questions of territorial organization and land management were ignored or avoided. As a result, a substantial portion of natural pasture has become degraded and traditional techniques have been forgotten. Livestock development had become stagnant.

The present programme of privatization also began without considering the question of territorial organization, leading to further policy mistakes. In this paper we make suggestions for possible directions for livestock development under the market economy, with a particular focus on territorial organization.

During our field research, we found that if herders perceive a given course of action to be in their own best interest, they will not shy away from financial or other difficulties in order to follow it. The interests of herders themselves should therefore be the starting point for resolving problems in livestock development.

Pastoral livestock husbandry under the market economy

ON THE BASIS OF ECOLOGICAL CONDITIONS, geographical boundaries and herding practices, four major ecological-territorial zones can be distinguished in Mongolia: the Hangai-Hentii mountain zone, the Altai mountain zone, the Steppe zone and the Gobi-steppe zone

Figure 1 MAP OF REGIONAL VARIATION SEASONAL PASTURE USE BY ANIMAL SPECIES

For a millennium, Mongolian herders have had to deal with problems concerning the rational use of natural resources and overcome the negative consequences of ecological hazards. Traditionally, herders have resolved these principally by means of cooperative labour arrangements. This cooperation among herders gave rise to distinct socio-economic units, each with an identifiable territory and boundaries. These units evolved in accordance with local ecological conditions and the requirements of livestock husbandry rather than with the interests of the herders as individuals. Prior to collectivization, all herders lived within this framework of distinct socio-economic units and geographical areas, which permitted problems related to labour organization and social life to be resolved locally.

SOCIO-ECONOMIC HERDING UNITS

Cooperation among private family households gave rise to a residential group known as a khot ail. The khot ail can be characterized as a socio-economic unit within which the member households cooperated in everyday herding tasks. In particular, they took turns pasturing the herds of the whole group on a day-today basis. This practice is known as a short khishig ödör (lucky day).1

A number of knot ail would settle together around a spring or a well in the Gobi and steppe zone, or along small water courses in the forest steppe zone. Such a group is known as neg usniihan (users of the same water source). Neg usniihan had long khishig ödör and cooperated in such activities as felt-making, firewood cutting and conducting short-distance transport caravans using pack animals.

Within a given area, bounded geographically and characterized by relatively uniform environmental conditions, neighbouring neg usniihan with similar livestock husbandry practices and technology constituted a neg nutgiinhan (people of the same area). There were 2000 neg nutgiinhan over the whole country.

Most decisions of local social and economic importance were taken more or less independently at the level of these traditional neg nutgiinhan units. Each had its own local centre, usually with a temple, storage facilities, and perhaps a few small buildings. A range of activities was organized at the centre, including religious and ritual or cultural functions, public education, the coordination of local and long-distance transport, and the sale of handicrafts and other marketing activities. It therefore played an important role in the social and economic lives of herders. It is now known that at least 700, and perhaps as many as 1300, temples and jas2 served as centres of neg nutgiinhan throughout Mongolia.

Both the neg nutgiinhan and the khot ail were eroded as institutions with the major drive towards collectivization. The neg nutgiinhan were abandoned or undermined through the destruction of the temples and jas3 at their centres, and the khot ail was undermined by a gradual change in the division of labour under collectivization.

The smaller, voluntary cooperatives formed during the early stages of collectivization (1930s and 1940s), and most contemporary brigades and teams immediately prior to the recent start of decollectivization (from 1991), were not organized in an abstract manner. They were in fact based on the neg nutgiinhan socio-economic and territorial units.

The differences and similarities of organization between the traditional khot ail, the suur under collectivized production, and what is suggested here to be a re-emergent, contemporary khot ail appropriate to conditions of the market economy have been summarized in Table 1.

Under the market economy, the re-emergent khot ail could once again form the basis of socio-economic units based on the traditional neg nutgiinhan, combining the most appropriate features of the traditional and contemporary institutions.

It is our belief that privatization and the redistribution of the property of the collectives should not have begun with livestock. The first objective should be to determine the appropriate form of socio-economic organization. The programme of privatization should begin by specifying the boundaries of the neg nutgiinhan, both socially and territorially. The appropriate territorial boundaries should be decided on the basis of ecological conditions and should take into account the pattern of land use within and among neighbouring neg nutgiinhan. Decisions can then be made within the neg nutgiinhan group as to how to divide areas of pasture among the individual khot ail members.

The appropriate location of the local centre also needs to be decided. Important services could be provided at the centres, including small-scale livestock product facilities. Decisions will soon need to be taken at the level of the neg nutgiinhan themselves about what kinds of products can be produced, what kinds of technical innovations are necessary and feasible, what marketing strategies need to be adopted, with whom they are in competition, and with whom they need to cooperate and coordinate their activities.

table 1 BASIC UNITS OF PASTORAL LIVESTOCK HUSBANDRY; THREE HISTORICAL FORMS COMPARED

Pastoral Livestock

Land Tenure

Labour Organization

Herd Structure and Ownership

Production Unit




Traditional Khot ail

· Customary use of a specific area

· 3-5 families

· Private herds

· Customary ownership of winter and spring pastures within area

· Short khishil ödör (cooperative herding on daily basis)

· Diverse species composition

· Nomadic moves made strictly in accordance with ecological conditions

Suur under collectivization

· No regular customary or designated use of particular area

· Usually a single family

· Collective herds predominant

· Nomadic moves did not necessarily correspond to ecological conditions

· Inflexible labour supply/allocation

· High level of special specialization at suur level

· No cooperative herding (khishig ödör)

Re-emergent khot ail under market economy (proposed)

· Group level rights over particular areas

· 3-5 families

· Mixed herd ownership (private and collective)

· Certified, secure tenure of winter and spring pastures within area

· Long and short khishig ödör

· Emphasis on productivity per animal

· Nomadic moves correspond to ecological conditions

Our research on the organization of the traditional khot ail shows that it is perfectly possible for a single administrative unit to include several socio-economic units. That means the contemporary sum (district) and aimag (province) can continue to exist as administrative units. However, it is not at all clear to us that the traditional khoshuun administrative unit, along with the pre-collectivization pattern of territorial division, should be re-introduced.

LAND TENURE

Mongolian pastoral livestock husbandry has evolved together with its ecological resource base. Historical records show that the khot ail and neg nutgiinhan existed as socio-economic units even prior to 1206 when an independent Mongolian empire was established.

Private households exercised customary use rights over specific areas, defined in relation to the ecological resource base, and they customarily owned areas of pasture which they used during winter and spring.

In addition, they had customary rights to areas for common, rotational summer grazing. Some of these traditional, customary rights continue to exist even today. For example, it has not been forgotten that unwritten, customary laws demanded high penalties for unauthorized access to someone else's pasture.

With long experience, herders developed a rich body of knowledge of herding skills and methods relevant to a given area they passed from generation to generation. We are currently witnessing many adverse changes in environmental conditions and livestock herding traditions. The state of the pastoral environment has not yet deteriorated to the point of dramatic consequences. In our opinion, however, the downward trend is a direct result of past single-purpose planning approaches and policies which ignored the scientific and practical value of the traditional methods and skills of Mongolian herders.

We consider that collectivization marked the starting point for costly errors in relation to land tenure and pastoral techniques. Immediately before, during and after the main period of collectivization, many negdel (collective) members migrated to the major urban centres and rural district centres. During the khashaajuulakh campaign,4 many herders left their customarily-owned winter and spring shelters in order to settle at new ones. A dramatic increase in the number of animals kept by the suur as compared with the traditional khot ail, and the herding of a much larger number of milk animals at one place for longer periods, led to excessive pressure on pasture areas. For these reasons, many customary pasture areas and seasonal camps were abandoned.

The result of such changes was that the vital links between herders, livestock and their environment have been broken and valuable traditional herding methods and skills have been lost. Many herders no longer know the place where their grandparents customarily settled, and often livestock is being grazed under unsuitable ecological conditions.

In recent years, some herders have begun to move unsystematically and gain uncontrolled access to grazing in the territories of neighbouring brigades and districts. In order to guard against this, other herders have adopted the defensive and unprecedented strategy of spending all four seasons at their winter and spring places. If they perceive that their important winter and spring pastures are likely to be grazed by others during other seasons, the customary users of those areas may choose to remain in those pasture areas themselves to prevent such encroachment. As a consequence, substantial areas of pasture have become damaged through overgrazing.

Land use policy both within and among socio-economic units must be based on a better understanding of the ecological parameters of livestock production. It is possible to design a land use policy that can increase productivity and improve the contribution of the pastoral livestock sector to the national economy at the same time as protecting pasture quality. Over the 30-year period of collectivization, the trends described here led to a breakdown in traditional patterns of pastoral land tenure. Such policy mistakes have become part of official legislation, and little has been done to correct them.

For example, the territory of Ugiinuur district in Arkhangai province was carved out of what had been the summer grazing area of five khoshuun in the period before collectivization. Consequently it lacked areas suitable for winter and spring grazing and the herders of Ugiinuur district had to move frequently. The area suffered a heavy dzud (a natural hazard during winter and spring caused by a sudden and heavy snowfall or frost) once every five years.

Land use policy needs to be based on an appropriate combination of pasture utilization and improvement. This can be fostered best when each socio-economic unit, such as neg nutgiinhan or khot ail, has secure tenure over a particular, designated area. This can contribute to effective pasture utilization by allowing for the systematic improvement of pasture areas by means of irrigation, manuring and other measures. With secure tenure, it would become more likely that land owners would show an interest in cultivating hay and fodder crops with the aim of generating a more stable supply of fodder for their livestock. New approaches such as fencing and rotational use of pasture would also become possible.

Moves are currently under way in Mongolia to establish appropriate scales of land value in accordance with fertility. Economic measures to control the stocking rate will be implemented on the basis of the grazing capacity of different pasture areas. More needs to be done, however, in thinking through questions of socio-economic organization and exploring the potential for neg nutgiinhan to operate as groups able to manage their own land resources under a market economy.

Rural policy under collectivization was focused almost entirely on livestock without taking into consideration the resource base of effective livestock husbandry, most notably, pasture land. Such single-purpose planning has been the cause of many past policy mistakes. Unfortunately, the new government and other political forces seem inclined to repeat the mistakes of the old regime. They appear to have only a superficial understanding of the relationships of livestock, herders and pasture land.

LABOUR ORGANIZATION

HERDERS' LABOUR IS REPETITIVE AND CYCLICAL, but at the same time, very demanding. While they need no formal training or qualifications, herders face unpredictable natural hazards and have to work under conditions that test the limits of their endurance. Before collectivization, private households had a well-organized system of reciprocal labour cooperation and a division of labour tasks. Labour inputs were planned and organized as necessary, according to the duration of the job in hand. For example, the duration of the khishig ödör in the khot ail was one day, in neg usniihan 1-3 months and in neg nutgiinhan even longer, with seasonal encampments.

The persistence of the traditional khot ail, and its re-emergence today, show that herders can benefit when individual households join together and cooperate as a unit. The fact that negdel members often experienced problems with labour organization tells us a great deal about the true nature of collective arrangements.

The negdels consistently failed to mobilize their members in cooperative labour arrangements. Members' activities were restricted to looking after the animals in their individual care, rather than cooperating in other kinds of livestock and agricultural work. This shows a lapse in Mongolian herding traditions.

It is unlikely that the social problems of herders can be solved successfully at a low level (khot ail, neg usniihan). Rather, they need to be addressed at the level of the socio-economic unit itself (neg nutgiinhan), with a clearly defined and officially recognized territory. It is at this level that the proper conditions for bringing up a young generation of skilled Mongolian herdsmen can be created.

HERD STRUCTURE AND OWNERSHIP

THE FIVE KINDS OF MONGOLIAN LIVESTOCK each have different ecological requirements for successful growth. Demand for their products - meat, milk, wool, hides and skins - also varies.

The current distribution of livestock by ecological zone can be classified as rational, optimal, and irrational (Bazargür, 1978). Animals distributed rationally by ecological zone are normally highly productive and yield products with very low costs or levels of input. The distribution of indigenous Mongolian breeds in the areas for which they are ecologically best adapted is a good example of this pattern. Livestock development in Mongolia is concerned with intensifying production and increasing specialization where appropriate. This must be based on an ecologically rational distribution of livestock species and breeds.

Before collectivization, private family households usually kept all five kinds of livestock, i.e. camels, horses, cattle, sheep and goats. Local breeds predominated, highly adapted to prevailing ecological conditions. Other breeds were kept for auxiliary purposes, and for upgrading the genetic stock of the main types of animal in which different households specialized.

Nomadic moves were usually made between different ecological zones, such as from Gobi to forest steppe. Herders usually moved their more ecologically-versatile animals, particularly sheep and horses, over longer distances, leaving their other animals at semi-permanent camps. Those herders who were relatively specialized in large stock such as yak and camels, had virtually no need to make long-distance moves. Long-distance moves were made only when necessary to maintain livestock condition and to satisfy certain basic economic requirements of the herders.

In more recent years, nomadic moves have on the whole become shorter in distance. However, ecological zones vary with altitude as well as with latitude. The major difference in nomadic patterns today is that herders are now expected to move vertically - up and down mountain slopes, and along or around water sources - within a more restricted area.

The suur under collectivization kept highly specialized herds. We consider this to be one of the greatest achievements of collectivization and believe that some degree of herd specialization would also be of great importance under market relations. During privatization, a large share of the collectives' herds were distributed among their members. Most members received a number of animals of different species. Keeping mixed-species herds is a defensive strategy against the high level of risk faced by herders. Many herders may wish to keep a small number of cattle, riding horses and pack camels. However, the keeping of mixed herds does not preclude some degree of specialization.

In our research we have identified six main regional types of animal husbandry, varying principally by ecological zone (see Figure 2). It is important that future changes in herd structure and composition be made in accordance with the ecological conditions prevailing in these regional types.

Summary of proposed changes in the organization of pastoral livestock husbandry

1. LAND TENURE

a. Patterns of land tenure should relate to the six main regional types of animal husbandry identified above.

b. The territorial and social boundaries of individual socio-economic units (neg nutgiinhan) need to be determined in accordance with local ecological parameters and patterns of land tenure.

c. The administrative structure of the state should be revised so that the neg nutigiinhan socio-economic units form the most basic level.

d. An economic assessment of land values within the newly-established administrative/territorial units needs to be carried out, in relation to ecological requirements. e. Land within each of these units should be allocated to the individual khot ail. Pastures for use during winter and spring seasons should be clearly assigned to individual khot ail, while other areas may be grazed in common. All cultivated land should be certified.

Figure 2 TYPES OF ANIMAL HUSBANDRY ACCORDING TO ECOLOGICAL ZONES

(1) HENTII AIMAG

(2) ARKHANGAI AIMAG

(3) GOBI-ALTAI AIMAG

(4) HOVD AIMAG

(5) SUBKHBAATAR AIMAG

(6) DUNDGOBI AIMAG

2. ORGANIZATION OF LABOUR AND PROVISION OF SERVICES

a. Services for herders, including small-scale processing facilities and other machinery, should be provided at the local centres of individual socio-economic units. The former collectives should be re-organized to coordinate these activities.

b. The organization of cooperative labour inputs should take place at the appropriate institutional level, i.e. in the following sequence: khot ail, neg usniihan, neg nutgiinhan.

c. A pattern of herding following a long khishig ödör will enable some herders to settle for longer periods at the service centre of their neg nutgiinhan, and to benefit from the provision of services. Regular nomadic moves could be replaced by otor.

d. Traditional herding skills and methods should be revived and younger or new herders trained in them.

3. HERD STRUCTURE AND COMPOSITION

The size and species structure of herds, and the stocking rate, should be matched closely with local ecological capability.

a. Socio-economic units in the Hangai mountain areas should be relatively specialized in yak breeding. The share of the regional livestock population accounted for by yak should be 60 percent and sheep 30 percent, expressed in terms of sheep units.

b. Socio-economic units in the hill areas of the forest steppe zone would be relatively specialized in indigenous breeds of Mongolian cattle and sheep, in the respective proportions 50 percent (cattle) to 40 percent (sheep).

c. Socio-economic units in the ecotone between forest steppe and the northern steppe zone should relatively specialize in sheep rearing. Herd composition should be around 70 percent sheep and 20 percent horses.

d. In the ecotone between Gobi and desert steppe the major share of overall livestock should be made up of small ruminants (60 percent sheep, 30 percent goats).

e. The Gobi plateau and small hill areas can be grazed mostly by camels and small livestock (50 percent camels, 40 percent sheep and goats).

f. In the mountain areas of the Gobi zone the main species should be goats (50 percent), camels (20 percent) and sheep (20 percent).

Research Methodology THE PRINCIPAL MEANS OF MANAGING THE interrelated ecological and social factors in pastoral livestock production is nomadic mobility. We have conducted research in all 18 provinces of the country, involving a sample of 106 districts (about one-third of the total). The major task was to map the annual pattern of nomadic moves of some 10 000 herding households, including the number of moves and the distances moved. On the basis of this work we developed our criteria for the four main regional types of animal husbandry, including the specification of territorial, social and ecological boundaries, and the relationship between livestock distribution and key ecological parameters.

Significant differences were identified between these regional types in the limiting ecological factors to which the prevalent domestic livestock species and breeds were adapted. We were also able to demonstrate regional differences in altitude and latitude, distances, and annual number of moves made by individual suur (Bazargür et al., 1990).

More detailed research was carried out in Övörkhangai Province. During the earlier stages of our research we mapped the key ecological parameters within the province and related these to the appropriate scale of resource unit for pastoral management. On the basis of this data we divided the territory of Övörkhangai Province into six regional types of resource unit (Bazargür et al., 1989).

In our current work we have included the entire country, with the aim of developing recommendations for future livestock development. We hope that this basic description of the diverse range of pastoral resource unit types across the country can serve as a planning tool for land use policy, and help decide the appropriate unit of socio-economic organization in which land use policy decisions should be taken. This programme of research and policy advice is composed of three major components: (i) description and regionalization of physical resource units, on the basis of the distribution of ecological zones, social and administrative boundaries; (ii) review of key ecological parameters for livestock production in relation to biological requirements of different animal species; and (iii) description of the pattern of nomadic mobility by regional type, and analysis of the major changes in recent decades.

Endnotes

1. The 'duration' of khishig ödör depends on the herding 'shift': in a 'short' khishig ödör, herders take turns on a daily basis, while a 'long' khishig ödör may involve a herder being away from the ger for a week or more at a time.

2. Herding unit of the temples.

3. Virtually all of these were destroyed during the violent repression of religion during the 'Stalinist' period of the late 1920s and 1930s.

4. The construction of livestock shelters and fences during the 1930s and 1940s.

5. This would have to rely on some measure of collective responsibility for the organization of labour whereby certain people would be paid to herd livestock, cut hay and perform other tasks, perhaps on the basis of a rotation, allowing others to remain in or around the centre.

Bibliography

Bazargür, D. - (1978)
Geographical Location and Development of Livestock in the Mongolian People's Republic, Ulaanbaatar.

Bazargür, D., Chinbat, B. and Shiirevadja, C. - (1990)
Nomadic Patterns among Mongolian Herders, Ulaanbaatar.

Bazargür, D., Chinbat, B. and Shiirevadja, C. - (1989)
Pastoral Livestock Production Systems of Övörkhangai Aimag, Ulaanbaatar.

Recent land tenure reforms and rural development in Lao P.D.R.

Michael Kirk

MICHAEL KIRK is associate professor in the Institute of Rural Development, University of Göttingen, Germany.


Bibliography


Since 1989, Laos has achieved considerable success in reorganizing and reforming its legal and regulatory framework, a relatively short period of time compared to neighbouring Cambodia. Moreover, the conditions for economic activities in the agricultural sector, including the forestry sector which is important for Laos, have been improved considerably. Together, these two sectors contribute 58 percent of the gross domestic product, 83 percent of employment and up to 55 percent of the export revenue (World Bank, 1995a,b). In the course of this transformation process, influential international donors such as the World Bank could largely affirm their convictions that secure private property rights are crucial as a precondition of long-term investments in agriculture and forestry, as well as for the preservation of natural resources and, thus, for sustainable food security.

In the process of developing legislation with the objectives of securing food, stimulating rural development and ensuring the preservation of irrigated land, forests and logging areas, complex fields of problems and goal conflicts arose, such as restitution claims of fugitive Laotian citizens, inconsistent and impractical regulations in the legislation, conflicts between the state and donor organizations, and foreseeable delays in implementing the regulatory framework. In general, there is a lack of experience in the participatory elements at district and village levels, such as in land use planning. In addition, the new legislation aggravates goal conflicts when it tries to preserve forests and repress shifting cultivation, because shifting cultivation still makes a considerable contribution to the supply of rice and, thus, to food security.

The legal and regulatory framework in the transformation process since 1986

IN 1986, BEFORE THE IMPLOSION OF THE centrally-planned economies in Eastern Europe, Laos already had launched the "New Economic Mechanism", moving its economic system toward adopting the principles of market economy when allocating and utilizing resources (World Bank, 1995:6ff.). Since the removal of internal trade controls and the standardization of the price system in 1989, systematic reforms of property and tenure institutions have dominated the state's political activities and the influence exercized by the most diverse interest groups acting in the country. With the proclamation of the Democratic People's Republic of Laos at the end of the Vietnam War in 1975, all the property laws marked by French influence were repealed without being replaced. Private land was often nationalized and the collectivization of agriculture was launched. However, this attempt was interrupted in 1979, and the predominant role of family agriculture for securing the food basis and in rural development was again cautiously recognized.

At present, Laos is undergoing a 'trial and error' process that is made difficult by lack of experience in the power distribution, constitutionality, the subsidiary principle, the exile of members of the former administrative elite and of the opposition of the national party. This process allows the economic liberalization to be followed by an equivalent political one. Moreover, various controversial models of legal and regulatory policy are being discussed, such as the legal frameworks of the People's Republic of China, Australia and of France, whose legal framework is increasingly questioned in Indochina.

In an agrarian society such as Laos, where agriculture and forestry are still of major importance for the subsistence of the mass of the population, regulations regarding the access and use of arable land, forests and water are crucial for social, political and economic stability and socio-economic change (World Bank, 1995b:45). Since Laos also must consider fundamental problems regarding the conditions of restitution or of expropriation, the question of property of land is key to the creation, acceptance and existence of any new legal and regulatory framework. In contrast to Cambodia, the state has, hitherto, not taken up a clear, definitive position, for example, by fixing a deadline for the recognition of claims. This is why the ongoing conflicts produce a negative effect not only in urban real estate investments but in the intensive irrigated rice cultivation in the scarce fertile plains of the Mekong.

The constitution of 1991 states clearly that all land is state property, but long-term, permanent rights of use and of transfer, including inheritance and sale, are adjudged to natural and legal persons. Despite this property reservation by the state, efforts are expressly made to allocate land titles, or more correctly, rights of use, which are being tested in ambitious pilot projects of the World Bank. Based on the constitution, a network of laws has been passed in the last five years, and complemented by ministerial decrees (Schneider/El-Erian, 1994) which try to create a consistent, uniform framework for the whole country (see Figure 1).

The objectives of the new legislation are:

· to increase legal security and allow incentives for long-term investments into agriculture and forestry for Laotian family farms;

· to guarantee comparable legal security for foreign investors for water power projects and for the commercial exploitation of forests;

· to create a set of rules for inheritance, sale and lease of property, including landed property through inheritance, family, notarial and contractual laws;

· to strengthen rural financial markets by allowing loans to be secured by real-estate liabilities (mortgages);

· to fix clear principles for the assessment of land taxes in order to exploit new revenues for the state and also as incentives for agricultural investors and for the preservation of nature.

Figure 1 LEGAL AND REGULATORY FRAMEWORK FOR RESOURCE TENURE LEGISLATION IN LAO P.D.R.

Challenges for the legal and regulatory policy

DESPITE RECENT ACHIEVEMENTS, stakeholders and political interest groups (such as NGOs and international donors) complain about existing inconsistencies, lacunas and limitations, especially in the course of implementing legislation at different administrative levels. But there are also more fundamental objections, the most important of which can be summarized as follows.

1. Beyond the framework legislation, access to land and land use patterns are ruled by decrees, that, on an incremental basis, still follow the tradition of the control-and-command system that offers no recourse to the tedious legislation process. However, decrees also allow experiences with this new legal and regulatory system to be collected and, if necessary, rapidly modified, as has happened in the case of land taxes (Schneider/El/Erian, 1994). Nevertheless, the implementing organization and the actors concerned are not offered adequate planning security, and their motivation is too insignificant to allow such ad hoc regulations to be conveyed and transposed on the spot and to inspire the long-term confidence of the rural population.

2. Hitherto, the jurisdiction has not been in a position to procure enforcement and recognition of the new legal system. The diffusion of laws and the advanced training of judges cannot be undertaken adequately at the district level, which is where land conflicts should be primarily dealt with.

3. A fundamental criticism applies to the scope and the adequacy of a legal and regulatory framework which - considering the still largely subsistence-oriented economy in the agricultural sector - uses the basic ideas of industrialized societies as criteria. This causes controversy over the consideration of customary rights in the legal and regulatory framework.

For example, customary shifting cultivation of dry rice at high altitudes which is strongly opposed by state policy, or the multiple rights of use of forests for daily consumption, especially in times of rice scarcity, are in conflict with the commercial timber processing enterprises, as is the continuance of communal village pastures while land becomes scarce.

Moreover, subsistence-oriented, small farmers and the women who contribute to securing food for their families and often occupy a strong position when land is transferred through heredity and decisions as to its use are made, seem to be discriminated against by further suppression of customary rights within the new national legal framework.

4. In Laos, as in Cambodia, the fundamental question as to whether two parallel, sometimes interwoven, legal systems should continue to exist is not being discussed at the highest political level. At most, the state, NGOs, international donors and private investors argue whether the submitted draft of an "Order of Customary Rights" should be introduced as a separate law or integrated into the planned land, forestry and water laws.

Despite the high priority of the preservation of resources, there is no comprehensive, consistent framework for legislation concerning resources. In 18 protected areas, it has been decreed that biodiversity should be maintained to preserve the genetic potential that will enable future generations to react adequately to the increasing demand for multi-variety (Braun, 1994:345). These implications for future generations are hardly discussed in Laos. Indeed, important land, forest, water and environment laws were being drafted in late 1995, but their delay displays the serious differences among foreign investors, those who use the resources, and the objectives of environmental preservation.

Impact of resource tenure legislation on agrarian structure and rural development

LAO'S AGRICULTURE, WHICH IS BASED ON irrigated rice cultivation as well as on multiple agro-forestry systems, requires extensive intensification and considerable investments to secure food for the population which is increasing at a rate of 2.8 percent (World Bank, 1995). In years with unfavourable rainfall, food insecurity constitutes a crucial problem, considering that regional adjustment of food allocation has failed in the past because of the poor road and transport infrastructure.

Accordingly, in the state's "Socio-economic Development Strategies", the guarantee of food supply through improving agricultural production is given absolute priority. In concrete terms, this should be achieved by increasing the productivity in the rice cultivating areas in the plains, finding alternatives to shifting cultivation that destroys forests, improving cropping systems, intensifying approaches to integrated rural development and expanding small farms' irrigation systems (Government of Lao PDR, 1994 and Lao PDR, 1995). These objectives, especially the emphasis on integrated and locally-appropriate approaches for family farms and for village development, are actually reflected in the design of the most recent legislation on resources. Its key elements are illustrated in Figure 2 (Gaston, 1995).

1. Guarantee of a system of negotiable, tradeable rights of use and secure legal titles for specific land categories on the basis of the Land Decree of 1991. Thus, the framework conditions for a nationally-legitimized, transparent and active land market will be laid down and investments made in arable land or plantations can be capitalized in the case of transfer.

2. On the basis of the repeatedly-revised land tax, agricultural land will have national registration, surveyed with very simple means, and classified provisionally in household sheets which the banks already acknowledge as credit collateral. On parallel lines, in urban centres and peri-urban regions with high economic potential, the World Bank launches an ambitious, but disputed land titling programme, so that systems can exist side by side, with problems of compatibility and conflicts programmed (see Figure 3).

Figure 2 LAND, FOREST AND WATER LEGISLATION IN LAO P.D.R.

3. Moreover, the land tax should, through graduated tax rates, provide incentives for allocating land for use in agriculture. The state finds itself in the dilemma of not wanting to impose too many taxes on high altitudes shifting rice cultivation, in order to secure food, but still wanting to use these taxes as an instrument to preserve resources.

4. In addition to market-based incentives for individuals, incentives in the form of property titles and taxes are also worked out, especially for groups. Families, women's groups or whole villages can be allotted land to be used communally, e.g. as communal forest. It can also be transferred to them, and they are then exempt from taxes if they can furnish proof of effective cropping patterns. This applies to forest areas and former forest areas which are used for agriculture. Decrees 169 and 186 deal with this in detail (see Figure 4).

In this case, the state withdraws from its central authority role and delegates land use planning, the drawing of borders, and land consolidation to the villages and their elected representatives. Thus, an attempt is made to keep conflicts regarding property, customary rights regulations and demands for new, statutory law to a minimum, or to try to anticipate and prevent them. This should also create incentives for increasing productivity and for dealing responsibly with land, forest and water.

In addition, it is assumed - under the donors' influence and in transposing modern knowledge of New Institutional Economics - that once property rights are clearly defined, whether private or communal property is concerned, contract settlements between the involved parties can solve problems regarding allocation, utilization and preservation of resources. Of course, the expectations placed on these could not yet be fulfilled; the promulgation, implementation and, above all, the enforcement of the new framework at the level of provinces, districts and especially villages present difficulties.

Actual problems of implementation and enforcement

THE MULTIPLICITY OF NEW LAWS, DECREES, orders and regulations passed within a very short period means that the government administration at all levels, including the often poorly-trained and poorly-endowed administrators at the district level, are confronted with a multitude of new tasks. This is clearly shown by the Decree 169 on the "Allocation of Land and Forest Lands", the elaboration of which was influenced by international donors (see Figure 4). Thus, innumerable new committees were established and supported for:

· land use planning, allocation of areas and drawing of borders between villages;

· settlement of conflicts;

· supervision of use patterns over years in order to obtain permanent land titles and to guarantee tax exemption; and

· negotiation of contracts between villages and the state or with private investors for the layout and maintenance of plantations.

Since the local administration can hardly perform the transposition of such labour-intensive legislation on its own, international donors and provincial administrations are ready to make decisions on their own initiative, or to make their own regulations which could come into future conflict with the framework defined by the state. The same applies to private investors with regard to measures to compensate the local population, as in the case of dam projects, or to contract with villages for plantations or the commercial felling of trees. Thus, the state's still-fragile power monopoly is threatened by third parties.

Figure 3 LAND REGISTRATION AND RECORDING OF LAND FOR LAND TAX PURPOSES IN LAO P.D.R.

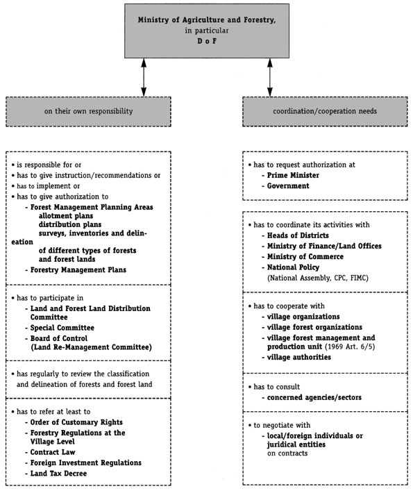
Figure 4 DUTIES, RESPONSIBILITIES AND COORDINATION NEEDS FOR MAF/DOF TO IMPLEMENT DECREE 169 (ON THE USE OF FORESTS AND FOREST LANDS)

There are other sectors in which inconsistencies are evident.

· Tax exemptions granted for reforestation are bound to a minimal density of planted trees. No tax relief is offered for agro-sylvicultural systems, because these plant densities are too high and, thus, little incentive for sustainable land use systems.

· The coordination within and between ministries is totally insufficient. This applies to extensive legislation projects such as the land law, and even more to implementation rules for the transposition of framework rights. The problems of coordination between ministries are even greater, for example, between the Ministry of Finance and the Ministry of Agriculture regarding the function of land registration - as a basis for assessing taxes but also for provisional land title, credit collateral and basis of land use planning (see Figure 3).

· Considerable administrative capacities are currently bound by the public discussion on the treatment of customary rights in the legislation. Initiated by NGO's criticism of the World Bank's exclusion from planning the land titling system and silvicultural programs, now the Bank itself has developed a suggested "order on customary rights". Instead of questioning the clarity and uniformity of decreed legislation, the incorporation of customary rights in the current legislation is considerably more promising to develop uniformity and comprehensibility among local users and in the local administration.

As long as Laos does not settle the problem of the legal position of fugitive Laotians who make restitution claims - a problem which has been shelved for political reasons - land conflicts in the highly-productive rice cultivating areas will remain a daily occurrence and cause less than optimal land use. Especially in the plains, land scarcity increases as a result of population increases are leading to considerable uprooting and migration, together with returnee programmes for refugees from Thailand. This happened at a time when the urgently-required intensification processes are not being secured for property titles and a sufficient planning horizon is not being provided.

Conclusions

EXTENSIVE LEGAL AND REGULATORY framework which goes far beyond the regulations of access to land and its use are a requirement for rural development and permanent food security. Countries that are experiencing a transformation face the double challenge - which is often difficult to solve - of developing property rights on parallel lines with extensive packages to increase productivity and intensify land use through technological and organizational innovations or basically to reform their property rights.

Bibliography

Braun, J. V. (1994)
Genes and biodiversity: New scarcities and rights challenge agricultural research, Quarterly Journal of International Agriculture,
Vol. 33, p.345-348.

Gaston, G. (1995)
Land tenure, use rights and titling of agricultural and forestry land, (Report 1: General Findings, Nam Ngum Watershed management and Conservation Project, Centre for Protected Areas and Watershed management, Dep. of Forestry), Vientiane.

Government of the Lao People's Democratic Republic (1994)
The Lao PDR Socio-Economic Development Strategies, (Prepared for the 5th Round Table Meeting, Geneva, 21 June 1994), Vientiane.

Kirk, M. (1996)
Land tenure, technological change, and resource use: Transformation Processes in African Agrarian Systems, Frankfurt a.M. etc. (Forthcoming).

Lao PDR, Department of Forestry (1995)
Programme Document for Lao-Swedish Forestry Programme, Phase IV 1995-1999, (Draft), Vientiane.

Schneider, L. And El-Erian, M. (1994)
Legal and regulatory framework: Recent developments and prospects, in: Pham, C.D.(ed.),p.707-112.

Weltbank (1995)
Weltentwicklungsbericht 1995, Washington D.C.

World Bank (1995a)
Lao PDR Agricultural Sector
Memorandum.
An Agricultural Sector Strategy,
Washington D.C.

World Bank (1995b)
Lao PDR Social Development Assessment and Strategy, Washington, D.C.

SRISTI initiatives for sustainable agriculture and rural development: A response to post-cold war challenges in India

Astad R. Pastakia

ASTAD R. PASTAKIA is a member of SRISTI, Society for Research and Initiatives for Sustainable Technologies and Institutions, Ahmedabad, India.


Introduction
Endnotes
Bibliography


Introduction

In the past, rural development strategies in India relied on piecemeal agrarian reforms and expansion of governmental delivery systems. These strategies met with varying degrees of success. Now, with the post-cold war developments of deficit budget, structural adjustment and folding back of the interventionist state, many of these rural development strategies are likely to be even less effective than in the past. Some civil society organizations are realizing the need to shift from strategies that stress the delivery system to strategies that rely on self-propelled initiatives of people. In this paper, we describe one such strategy which attempts to build upon people's own creativity and resourcefulness. It may be called a knowledge-led rather than a material resource-led strategy.1 We emphasize that this strategy is not a result of post-cold war developments. Rather it has become more pertinent and relevant because of these developments.

In this paper we give a brief description of the post-cold war scenario in India, we look at the limitations of previous strategies, review of some of the more creative strategies used in Gujarat state, discuss conditions which influenced us to come up with an alternative strategy of rural development, and provide a brief description of the goals of the strategy and how it is being operationalized.

Post-cold war socio-economic scenario

IN INDIA, ECONOMIC REFORMS WERE initiated in the early 1980s but were taken up seriously only after the balance of payments situation reached crisis proportions in 1990. The end of the cold war gave an added stimulus to the adoption of comprehensive market-based reforms that would open the economy and bring it in line with the global economy. This could be done without fear of facing social sanctions from giving up primacy of an inefficient public sector.

Among the first casualties of the adverse balance of payments were reduction of subsidies for agricultural inputs such as chemical fertilizers or irrigation, and reduction of services from the bureaucratic delivery system such as primary health or credit. On the other hand, inflation reached double figures, greatly reducing the purchasing power of the poor. The people most affected by these developments were those surviving in marginal and backward areas where market forces and public services were typically weak.

One beneficial effect of the withdrawal of subsidies on chemical inputs has been the creation of greater space for development and diffusion of alternative technologies in the agricultural sector. Further withdrawal of subsidies would be difficult, given the existence of farm lobbies in the green revolution areas. However, if it comes about, it may help end the 'subsidy culture' which has made large sections of the farming community dependent on external help and inputs for survival.

Limitations of the previous strategies

AGRARIAN REFORMS WERE BENEFICIAL IN changing the feudal and semi-feudal structures up to a point, but they were never seen in the light of ecological realities. In areas where the value of land was very low, and where landlessness was low, access to and development of common property lands seemed to be more important for survival for the poor than just the distribution of low quality lands. Some of the successful interventions by non-governmental organizations (NGOs) in Gujarat have amply demonstrated this.

Excessive reliance on the delivery system model of change has had a negative effect on the psyche of the local communities, making them dependent on external aid and resources. Projects implemented through this channel usually failed to achieve tangible results due to faulty design and leakages in the delivery system during implementation. One group of NGOs tried to plug the leakages and help the government lower delivery costs or locate target groups. Others tried to rectify some of the harm done by ill-conceived projects. For instance, in South Gujarat, a large number of buffaloes was given to the tribals on loan with subsidy, under one of the government's schemes for tribal uplift. The buffaloes were unfortunately not suited to the agro-ecological conditions of the hilly region, nor did the tribals have any prior knowledge of buffalo husbandry. Under the circumstances, many of the tribals found themselves entering a debt trap. The Behavioural Science Centre, an NGO, came to their rescue by setting up a training centre for barefoot veterinary doctors. This served to improve the situation to some extent, although in areas with scarce fodder resources, the productivity remained low while costs were high. Clearly, the assumptions did not hold that changing the asset structure would lead to improved quality of life and that standardized solutions could be applied irrespective of the socio-ecological conditions.

During the 1980s, there was an awareness of the need to develop participative strategies so that blunders such as the one described above could be avoided. Given the nature of bureaucratic structures, most governmental agencies found it difficult to implement such strategies. Many so-called participative strategies aimed to make the target communities participate in their programmes. Only a handful sought to participate in programmes designed by the people themselves. The latter required an understanding of the cultural and institutional basis of sustainable natural resource management (Gupta, 1995).

SOME CREATIVE STRATEGIES USED IN GUJARAT

GUJARAT STATE IS AMONG THE ONE better known for voluntary action. The non-government sector has played a crucial role in generating creative solutions to vexing problems, particularly in the backward areas.

· Pooling private resources for reclaiming degraded lands collectively

The Behavioural Science Centre, based in Ahmedabad, promoted three growers cooperatives in the Bhal, a coastal saline area, as a tool for the socio-economic uplift of the Vankars, a scheduled caste community in the area. The cooperatives varied from village to village. In some, pooling of individual plots given by government on long lease facilitated the formation of the cooperative. In others, it involved negotiating with the government to obtain waste land on long lease with a moratorium on taxes for the first five years. In yet another village, members sought to use the cooperative to externalize the cost of land reclamation. Once the land was reclaimed, they chose to de-pool the land in order to augment individual income bases. As the cooperative movement in the area began to spread, larger cooperatives were set up to take charge of processing of produce, e.g. paddy mills (Pastakia, 1990). The Vankars combined indigenous knowledge of saline waste lands with modern knowledge provided by the external agency and, through a process of trial and error, came up with a technology package that made it possible to afforest land which had been lying waste. In due course, the income generated by selling the charcoal made from these salt-tolerant trees was enough to launch the cooperatives into larger and diversified activities at the community level. The success could be attributed to the fact that the external agency had built upon local resources, knowledge and creativity.

· Land Titles to Women

Self-Employed Women' Association (SEWA) is an organization which grew out of the struggle of poor urban vegetable vendors who were being denied the right to sell their produce in the busiest market place of the city. Over a period of about 20 years, the movement grew to include all kinds of self-employed poor women in the city. SEWA's rural wing became operative about ten years ago. In a project in Dholka Taluka, a backward area of Ahmedabad district, they sought to organize the women around government waste land. Land is usually allotted to the male members. The SEWA workers insisted that the land be allotted in the names of the women, since the land would be reclaimed and cultivated by them and not by men. After a long struggle they succeeded in reversing the gender equation. The gender issue in rural India continues to beg attention. Examples such as the above are hard to find.

· Restoring rights of tribals to forest lands

DISHA, also based in Ahmedabad, has been lobbying at various fora to help the tribals, located mostly in South Gujarat, get a better deal from government. In a recent move, DISHA helped about 30 000 tribals by regularizing the forest land they cultivated. It should be noted that forests traditionally belonged to the tribals. The land tenure changed drastically when the British colonial power created new laws which made forests the property of the state. The tribals were left with a few residual rights to draw firewood, small timber and fodder from the degraded forest lands. After independence, the government continued this policy leaving the tribal population largely marginalized and deprived. A plethora of government schemes for tribal uplift have been initiated. Since most of them have been designed by outsiders, with total disregard to the real needs and aspirations of the tribals, it is not surprising that their impact on the development of tribal communities has been marginal. On the contrary, tribals have had to bear the costs externalized by large dams such the controversial Narmada Valley Project. A few agencies such as the ARCH Vahini are trying to ensure that the displaced tribals get a just compensation for their land that was submerged in the large river valley projects. In Bihar and Assam states, where the tribals have been more militant, the tribal communities have organized themselves to fight for an independent state, though in most cases, democratic negotiations have helped generate solutions through autonomous councils within the Indian Constitution. The biggest test of Indian democracy will be the ability to generate respect for the ethnic minorities and diverse cultures, especially the ones that have helped to preserve biodiversity.

"For the development of rural areas, in a pastoral country like Mongolia, it is important to build a strong pastoral institution (unit) which will provide all social and economic services and thus establish the most suitable ecological territory for pastoral livestock, with a centre for the provision of services."

MR. BATJAV BATBUYAN, MONGOLIA

Mobilizing media for eradicating social injustice

Navsarjan is a trust set up in 1990 to address continued social discrimination against the scheduled caste in the state. This small group of activists conducts surveys on the socio-economic status of the scheduled caste and on social atrocities. The most recent survey brought to light the continued dehumanizing practice of making Bhangis carry the night soil of the upper caste in a backward area of Gujarat. By focusing the attention of media and elected representatives on such issues, the group forces the government to take action.

The strategies described involve redressing land tenure, developing scarce and underutilized resources, restoring of human rights, eliminating gender bias, fighting unjust caste structures, etc. While all the issues addressed by these various groups are important and need policy attention, they still need to try other approaches for development. That leads to the activities of the Society for Research and Initiatives for Sustainable Technologies and Institutions (SRISTI), a NGO that recognizes that poor are not so poor that they can not even think (Gupta, 1994,1995).

Perhaps the most fundamental and urgent task is to recognize that empowerment of knowledge-rich/economically-poor communities and individuals is not possible without building upon what people know and excel in (Gupta, 1995). Thus, there is a challenge to stem the erosion of indigenous knowledge and biodiversity. Indeed the very survival of present and future generations depends on the preservation of biodiversity and knowledge related to its use. Strategies that address this issue will indirectly address the foregoing issues as well. We at SRISTI have been involved in developing and operationalizing such a strategy. We now turn toward the conditions which led to its evolution.

Conditions which led to the evolution of an alternative strategy

· Green revolution technology and biodiversity depletion

The intensive use of chemical technology affects the soil health, the quality of irrigation water and therefore the long term productivity and viability of agriculture. Evidence of the existence of the pesticide treadmill effect in India has been mounting. The health hazards of intensive use of chemical inputs are well documented and there is considerable cause for concern.. However, the declining productivity of agricultural inputs has made the so-called modern input-intensive agriculture non-sustainable (Gupta, 1989).

The link between land degradation and depletion of biodiversity is becoming more apparent. Soil health for example is intimately linked to microbial diversity. Toxic chemical residue is known to have adverse affects on microbial populations. Very little information is currently available on the status of microbial populations in different soils of the country.

Another type of diversity threatened by the wide-scale adoption of high chemical input-responsive varieties is the farm varietal and land race diversity which provides the gene bank for present and future generations. This gene bank will help future generations overcome ecological shocks and stabilize agricultural production.

· Erosion of indigenous knowledge

The depletion of biodiversity has led to the depletion of indigenous knowledge surrounding the use of these natural resources. The introduction of Western formal education has tended to devalue, discount and often discredit indigenous knowledge. Often the people themselves loose faith in their own knowledge and their capacity to meet the challenges by coming up with creative solutions. These solutions may be technological or institutional in nature.

· 'Backward' areas: repositories of biodiversity and indigenous knowledge

Areas considered backward by conventional criteria such as health, infrastructure or education are the areas rich in biodiversity. This hypothesis was tested by mapping the 60 most backward talukas of Gujarat state (using the composite index developed by I.G. Patel Commission in 1984). The area encompassed by these talukas overlapped almost entirely with the high and rare biodiversity centres and wildlife sanctuaries of the state. It is an irony of modern development that the communities which have helped preserve biodiversity not only for themselves but also for other areas and future generations should be among the poorest communities. The fact that people survive in these regions despite the failure of market and government institutions bears testimony to their knowledge base and creativity.

The people in these areas remain poor not only because of the adverse geo-physical conditions in which they have to survive, but because their skills are discounted. The dropout rate of school children in these areas is among the highest. The children who drop out are destined to become unskilled labour. But, biodiversity contests organized by SRISTI in various parts of Gujarat state have shown that dropouts have greater knowledge about local resources than children who stay in school.

What can external agencies do to stem this erosion of knowledge? What can be done to protect the intellectual property of grassroots innovators, both at the individual and community levels? Not many rural development strategies have addressed these issues. In the post-cold war era, these issues can no longer be ignored. We at SRISTI have grappled with the issue of the rights of local people to their knowledge and biodiversity. The right of people to knowledge and to share the wealth that comes from value added to it by outside corporations is not only justified on ethical ground but also on efficiency ground. Why would people conserve resources and knowledge if it only leads to greater exploitation of themselves and their resources?

SRISTI initiatives for sustainable rural development

SRISTI INITIATIVES ARE OPERATIONALIZED through knowledge networks. These are multi-channel, multi-node and multi-level networks of individuals, institutions and social movements engaged in generating solutions to the problem of hunger and poverty (Gupta, 1994).

This approach assumes that transformation of developmental alternatives for alleviating poverty and hunger will emerge through global networking among decentralized nodes that are generating practical solutions to the problem of hunger. Since these nodes are in many institutional settings, with regional and cultural contexts guided by various philosophical and ethical values, building networks among them will require respect for the pluralism inherent in a civil society. This means that we will take into account the existing differences in access, assurances and abilities available to different communities as well as formal institutions across north and south.

The first fundamental transformation needed in our thinking is the move from just problem-solving to solution-augmenting strategies. Then, we need to recognize that patience with mediocrity and injustice is a moral intrusion into the realm of an alienated and self-serving world view.

WHAT CAN WE HOPE TO ACHIEVE THROUGH A KNOWLEDGE NETWORK?

THE KNOWLEDGE NETWORK COULD HAVE the following goals.

· Operationalize various articles of International Convention to Combat Desertification (ICCD), particularly Article 16 (b, g). Article 18, Article 19 and 20 (c, d), Article 25-3 (a), Article 26, etc, to network existing information channels and make innovative solutions accessible to people in a manner that they can use and share. The provisions of Article 16 (g) of ICDD can be combined with Article 8 (j) and 15.5 of the Convention of Biological Diversity (CBD). In addition to the sharing of benefits, the concept of prior informed consent will also need to be operationalized.

· receivers of information, so that the incentives for problem solvers to network with knowledge centres will continue to grow.

· Develop and Operationalize an international fund for recognizing, respecting and rewarding creativity and innovation at grassroots level in order to ensure sustainable use of natural resources, protect basic human rights, promote gender equality and provide ethical discourse for conduct of business.

· Network with existing organizations all over the globe with similar goals such as International Foundation for Science, Sweden (IFS), Society for Research and Initiatives for Sustainable Technologies and Institutions (SRISTI), Honey Bee network for indigenous innovations, Tranet, ISEE, IASCP, CIKARD, etc.

· Mobilize volunteers from private and public sectors, third sector and even religious organizations to generate and support local trust funds to be managed by communities crying to augment innovative solutions developed by them or others.

· Fulfil an ethical obligation towards poor people by:

- making information concerning any programme or project available in local language to the peoples' representatives at local level before designing and implementing the same;

- sharing information during the course of project implementation and respecting the right of people to information; and

- protecting the intellectual property and cultural heritage rights of local communities.

· Set up a venture capital fund for small innovations which can support innovators directly, underwrite risk or provide bank guarantees for similar funds to be set up in different parts of the world to augment people's capacities to solve their own problems.

SRISTI has initiated an experimental venture capital fund for small innovations. One of the first ventures supported by SRISTI was that of an improved bullock cart with a unique gear system that enables the operator to tilt the cart and apply manure directly in the furrows. The savings in time and labour costs has been significant. The new design has tripled the capacity of the bullocks to transport loads. It is also more eco-friendly, because it is designed to prevent formation of painful galls on the necks of the draft animals, which is a major shortcoming of existing designs.

HOW DO WE OPERATIONALIZE KNOWLEDGE NETWORKS?

AMONG THE FIRST TASKS IS TO CREATE THE databases that are critical for taking initiatives. We use a variety of methods to generate the databases such as organizing:

· surveys of odd-balls in villages - carried out by college students during their summer holidays;

· contests among college students which were later organized for grassroots level functionaries of the Department of Rural Development;

· stalls at farmers' and religious fairs, to exhibit the Honey Bee Journal and also provide direct access to the computer database on farmers' innovations;

· a benchmark survey of toxic pesticide residue in the soils of Gujarat state through a network of scientists and their institutions;

· surveys of microbial diversity in the soils and ground water of Gujarat state through a network of scientists and their institutions;

· literature review of ancient manuscripts;

· biodiversity contests at primary school level;

· surveys to assess the consumer behaviour with respect to green products; and

· surveys to identify organic producers who are organic either by choice or by default.

SRISTI also has access to databases developed by other institutions such as the NAPALERT database on medicinal and other uses of different plant resources.

The information and knowledge generated through the databases serves as the starting point for taking various initiatives. These initiatives are mutually reinforcing and can serve as catalysts to bring eco-conscious producers and consumers together. We expect policy-implementing institutions such as extension agencies and research institutions to become part of the knowledge network. Once the movement gains momentum, it cannot help but attract the attention of policy-makers nationally and globally.

HOW CAN WE REPLICATE THE KNOWLEDGE NETWORK MODEL?

EXPERIENCES OF VARIOUS GOVERNMENTS IN scaling up or replicating successful rural development experiments have usually not been happy ones. One good aspect of the knowledge network approach is that there is no need to worry about replication and scaling up. This is because knowledge networks know no boundaries. As the network grows, some of the nodes become strong enough to start their own regional networks. They operate at a different level but remain linked with the larger network. Hence as the idea of the Honey Bee network began to catch fire, we found more and more regional networks coming up. There are now eight vernacular versions of the Honey Bee Journal. We expect more and more farmers to set up their own networks and link to form a global network.

Honey Bee network, which operates in 75 countries and aims to connect farmers, scientists, NGOs, activists, policy-makers and others interested in creativity and innovation at grassroots, is a concrete example of how a knowledge network can operate through vernacularization of discourse. We seek partners in different parts of the world who can publish local language versions of Honey Bee newsletter with local name, editorial committee and full autonomy, while keeping a fraternal link to help forge a people-to-people connection.

We have perhaps one of the world's largest databases on local innovations, with the name and addresses of the innovators, which we hope to make accessible to colleague network members. We hope that a global system for registration of innovations can be developed, to protect the intellectual property rights of grassroots innovators:

Conclusion

IF THIS NETWORK HELPS INNOVATORS IN one part of the globe come up with creative solutions, drawing upon ideas from innovators in other parts of the globe, we believe the network will have served its primary purpose. However, we also believe that it would be possible to help some of the innovators move from innovation to enterprise. The journey from idea to innovation and innovation to enterprise is the golden triangle of social transformation. It is possible that different people are involved in all three stages. In such a case the role of the network would be to link them.

Strategies of rural development could be evaluated with the five-E's: Ethics, Environment, Equity, Excellence and Efficiency. In the post-cold war environment there is a tendency to achieve short-term efficiency, often at the cost of the other criteria. Such strategies are bound to be non-sustainable and should be guarded against.

Market-led strategies have consistently by-passed backward areas. At the same time, the delivery system has been curtailed during the post-cold war era, affecting the backward areas the most. These failures can be corrected if extension agencies adopt self-propelled strategies such as the one described.

Endnotes

1. It is important to mention here that we in SRISTI do not approve of the term 'resource poor farmers' because the term implies that knowledge is apparently not a resource or people are poor in this resource as well. Neither seems to be true.

Bibliography

Gupta A.K. (1993)
Survival through innovations and experimentation in high risk environment, presented at the Conference on Global Forum on Poverty and Environment, BCAS, Dhaka, during July 22-24, 1993.

Gupta A.K. (1995)
(With Kirit K. Patel, A.R. Pastakia and P.G. Vijaya Sherry Chand)
Building upon local creativity and entrepreneurship in vulnerable environments, published in empowerment for sustainable development: towards operational strategies (Ed. Vangile Titi and Naresh Singh), Nova Scotia, Canada; Fernwood Publishing Limited; New Jersey, Zed Books Limited, 1995.

Gupta A.K. (1990)
Survival under stress: Socio ecological perspective of farmers' innovation and risk adjustments, W.P. No. 738, 1988, International Congress on Plant Physiology, New Delhi, 1988., Revised version published in Capitalism Nature and Socialism, 5, 1990,79-96.

Gupta A.K. (1991)
Sustainability through biodiversity:
Designing crucible of culture, creativity and conscience. Presented at International Conference on Biodiversity and Conservation held at Danish Parliament, Copenhagen, Nov. 8, 1991. IIMA Working Paper No.1005.

Gupta A.K. (1991)
Biodiversity, poverty and intellectual property rights of third world peasants:
A Case of Renegotiating Global Understanding. Contribution for the Project Design Workshop on Genetic Resources for Sustainable Agriculture, M.S. Swaminathan Research Foundation, Madras, Nov., 1991, Published in "Biodiversity: Implications for Global Food Security".

Gupta A.K. (1995)
Knowledge Centre/Network: Building upon what people know, presented at the IFAD's International Conference on Hunger & Poverty in Brussels during Nov. 16, 1995.

Gupta A.K. (1994)
Social and ethical dimensions of ecological economics, Key Note Paper invited presentation at the Conference, Down to Earth of International Society of Ecological Economics, Costa Rica, Oct., 1994.

Pastakia A. R. (1996)
Grassroots innovations for sustainable development: the case of agricultural pest management, Unpublished dissertation submitted to the Indian Institute of management, Ahmedabad, 1996.

Pastakia A.R. (1990)
Technological and institutional variables in the development of coastal saline wastelands in a backward area of Gujarat, Paper presented at the eight International Conference of Common Property Resources, Duke University, Nov., 1990.

Agrarian reform and rural development strategies in the Pacific

Mele Estella T. Rakai

MELE ESTELLA T. RAKAI is information and communication officer, World Wide Fund for Nature, South Pacific Programme, Suva, Fiji.


Introduction
Endnotes
Bibliography


Introduction

The numerous small and relatively isolated islands and atolls that span the Pacific Ocean to constitute the 22 countries of the South Pacific region1 increasingly face the need to develop strategies that will allow them to participate in, and benefit from, the market-based economies and participatory democracies that are prevalent today.

Blessed with an abundance of sunshine, warm seas, land and seas of high biodiversity, and rich cultural traditions that include extended family systems, customary land tenure systems, and sharing and distribution of wealth and benefits, the Pacific region has been endowed with relatively unpolluted, culturally rich and relaxed lifestyles that are the envy of many visitors to the region. However, in comparison to the island economies of the Caribbean and Indian Ocean, economic growth and diversification have been quite sluggish in the 1980s and early 1990s. In addition, any improvements in living conditions have been limited largely to the urban areas.

For most of the Pacific Island countries, at least 80 percent of the total land and sea area is taken up by sea. The extensive oceanic area covered by each of the Pacific countries has given them the advantage of having large oceanic resources at their disposal - for instance, the average sea-to-land area in the Pacific region is 13 times that of the Caribbean countries. However, their dispersal over such an extensive oceanic area has meant that transportation and communication have been costly, imposing a big constraint in catering to both domestic and international markets. In addition, their remoteness from the large markets of Europe and America has meant that they have not had the easy access that other island nations, such as the Caribbean, have had.

The Pacific region, in particular its rural sector, has always been vulnerable to natural disasters such as hurricanes or tropical cyclones, volcanic eruptions and tsunamis, and to economic shocks such as falling world market prices for sugar, copra or fisheries products.

Hurricanes occur quite frequently in the Pacific region. For instance major hurricanes hit every one of the islands except Kiribati at least once between 1980 and 1992. Fiji, Solomon Islands, Vanuatu and Western Samoa were hit at least four times in this period. Damages caused by cyclones to the agricultural and rural sector usually have had a detrimental effect on the lives of the rural and agricultural dwellers, which in turn lowered the export growth rates of the economies affected.

It is important, therefore, that the potential for hurricanes and other natural disasters to inflict great damages on the agricultural and rural sectors of Pacific Island countries be considered when developing strategies for agricultural reform or rural development in the region.

The Pacific Island countries' dependence on just a few commodities for export (sugar in the case of Fiji or coconut in Western Samoa, Vanuatu and Tonga) have made them very vulnerable to economic shocks such as price drops or sudden changes in trading arrangements. For instance, prices for commodities such as sugar, coconut and copra declined in the early 1980s, causing severe hardship for the farming communities and, in turn, the economies of the countries as a whole.

In general, it could be said that before 1990, much of the rural sector was largely undeveloped, fraught with transport and communications problems and, because of dependence on only a few crops for export, very susceptible to sudden economic and political changes and the vagaries of nature.

Recent political and economic changes

CHANGES OF GOVERNMENTS, NEW LEGISLATION

THE PACIFIC ISLAND COUNTRIES HAVE HAD their share of rapid political changes as a result of a military coup (Fiji) or breakdown of ruling coalitions and votes of no confidences (Fiji, Vanuatu, Solomon Islands). In addition, the call for independence from existing colonial governments in French Polynesia and New Caledonia has increased, with independent activists becoming increasingly vocal. France's 1995 nuclear testing in French Polynesia stirred the indigenous people into calling more strongly for independence from France.

In terms of changes of governments, Fiji is the most significant, in that the democratically-elected government of 1987 was dramatically overthrown by a bloodless military coup in 1987. The breakdown in democracy and the uncertainty created by the military coup resulted in a drastic drop in Fiji's economy - sugar production fell drastically, the numbers of tourists dropped, foreign investment was severely retarded/non-existent, and Fiji's currency was devalued twice.

In Papua New Guinea, the period 1985-1988 was marked by a deliberate strategy to pursue economic growth as rapidly as possible. This was considered the best way to spread the benefits of economic development and thereby reduce social tensions. A prime objective was to lift the share of investment in GDP from 20 percent to 30 percent within five years. To this end, foreign investors were given the green light to establish themselves in the country.

NEW POLICIES, INSTITUTIONAL REFORMS, STRUCTURAL ADJUSTMENT

AS THE CLOCK TICKS, THE PACIFIC REGION stands on what might be termed the 'Pacific Industrialization Era'. Sasako (1996:23) notes that "International markets are opening up and more markets are on the way as traditionally protectionist strongholds give way to market forces."

In order to countermand the changes in the global market, new policies were introduced between 1985 and 1993. For instance, two responses of the Pacific Island countries to the declining terms of trade were to depreciate the real exchange rate and to diversify their exports. With the exception of Tonga and Federated States of Micronesia, the real exchange rate declined during 1985-1993 for all countries, as policy-makers struggled to restrain imports and enhance the competitiveness of exports. In Fiji, Tonga and Solomon Islands, there was a conscious shift in exports away from low value, traditional products such as coconut toward higher value, non-traditional products such as ginger, mangoes, pawpaw, squash and tropical hardwoods. This shift toward export crop diversification led to an improvement in the balance of trade for these nations.

In Papua New Guinea, the sudden closure in the late 1980s of the Bougainville copper mine, coupled with an approximate 30 percent decline in the terms of trade, led to a drastic fall of its economy. In response, the government introduced a programme to stabilize the economy by reducing imports and stabilizing its balance of payments. It also embarked on a long-term structural reform programme to improve its competitiveness internationally, its conditions for private investment and the management of its public resources.

In Fiji, the 1989 mini-budget, based on the premise that development can be achieved through export-led growth, was endorsed. The budget provided for the gradual deregulation of the economy and the elimination of Fiji's import substitution protective policies that had dominated development in the early 1980s. These measures were to be coupled with tax reform to promote economic efficiency, deregulate the labour market, and restrain government expenditure in order to avoid crowding out private sector development. The key policies of this reform have been summarized by Taukei (1995) as follows.

· Deregulation of the economy to align domestic prices more closely with world prices

· Restraint in government expenditure to ensure availability of resources for facilitating growth in the private sector

· Reform of the system of direct and indirect taxation to minimize market distortion and improve incentives in the private sector for risk taking and efforts

· Reform in the determination of exchange rate

· A wage policy that recognizes the importance of maintaining international competitiveness

· The re-orientation of sector policies in accordance with the above general policies

The new global market-based economy presents both challenges and opportunities for the island nations of the South Pacific. The benefits that arise from having preferential access-to protected markets -for sugar to Europe and the US, copra to Europe and textiles to Australia and New Zealand - will diminish over time. At the same time, the overall boost to global growth and trade afforded by a reduction in trade barriers will open up new sources of demand for the traditional export commodities of Pacific Islands countries. Analysts predict that prices of primary commodities will increase in the medium term. Should this occur, export earnings of the Pacific Island nations will increase.

Since the 1980s, there has been a general increase in natural resource-based activities such as forestry and fisheries, as well as a change in export destinations. Japan and other Asian countries have emerged as export destinations for Fiji, Solomon Islands, Tonga, Vanuatu and the Federated States of Micronesia, reflecting a shift from traditional colonial-based ties to more market-based arrangements.

NEW ACTORS

AS PRIVATIZATION AND DEREGULATION GET a firm foothold in the region, the private sector will become more involved. Mining companies in the larger Melanesian countries of Papua New Guinea, Solomon Islands, Fiji and Vanuatu have a strong influence on national policy and a generally negative effect on the environment. Logging companies exert a pernicious influence on the governments of Papua New Guinea, Solomon Islands, Vanuatu and Fiji.

The increasingly negative effects of activities such as mining, logging, nuclear testing and poor farming practices on the affected island countries (pollution, environmental degradation, loss of land, soil erosion, pesticides, etc.) have led to a growth in the establishment of international, regional and local environmental non-governmental organizations (NGOs) in the region. Working in partnership with government departments wherever possible, the NGOs are playing an increasingly important role in creating an awareness among rural and urban people of the need for conservation and sustainable development in the Pacific.

International NGOs include the YWCA, and the World Wide Fund for Nature (WWF), formerly World Wildlife Fund; regional NGOs include the South Pacific Regional Environmental Programme (SPREP), Pacific Island Association of NGOs (PIANGO), South Pacific Action Committee for Human Ecology and the Environment (SPACHEE). There is also a multitude of local environmental-based NGOs within the Pacific Island countries, particularly in Papua New Guinea, the Solomon Islands, Vanuatu and Fiji.

Finally, the potentially significant role that the South Pacific Forum, the paramount regional intergovernmental organization that comprises leaders of the South Pacific nations, can play in encouraging regional cooperation, is also worthy of mention.

Immediate impact of recent changes

POLITICAL IMPACT

FIJI'S AGRICULTURAL AND RURAL SECTOR has been devoted to recovering from the economic recession that followed the political turmoil of the 1987 military coup. The government confronted the economic crisis by adopting a reform programme focused on restoring stability through prudent management of fiscal, monetary and exchange rate policy.

An immediate effect of Papua New Guinea's policy of encouraging foreign investment was the establishment of mining companies and logging companies in rural areas that formerly had not been touched by Western civilization. The catastrophic cultural effect, coupled with a serious lack of administrative capacity to implement the investment strategy, led to a deterioration in law and order. Succeeding governments switched the emphasis back to social expenditure (ahead of economic growth) but have been unable to contain the law and order crisis.

ECONOMIC IMPACT THE AGRICULTURAL SECTOR OF PAPUA New Guinea remains depressed. Price stabilization schemes have relied on government-guaranteed loans to subsidize prices. The government is planning to channel future assistance into research and extension services and has already taken steps in this direction for coffee through the Coffee Industry Corporation. Similar initiatives are being planned for other key export tree crops as well as for the food and livestock sectors. This should prove more beneficial if delivery is effective.

Fiji's agricultural sector has performed well in recent times, in spite of the devastating effects on agricultural production of the military coups of 1987, the severe droughts of 1987 and 1988, Cyclone Kina in 1993, and the deregulation policies which are now being implemented. Sugar output for 1995 is expected to set an all-time record and according to Taukei (1995:19), economic activity in non-sugar agriculture is estimated to increase by 6.1 percent, production in forestry by 19.9 percent, other crops by 9.3 percent, livestock production by 3.6 percent, fishing by 2.0 percent and subsistence crop production by 2.0 percent.

Continued implementation of Fiji's trade liberalization policies will further improve its international competitiveness. This in turn should improve the welfare of the people of Fiji. However, if the full benefits are to be realized, it is also important to implement the other reforms outlined by Taukei (1995:10).

In Fiji, Vanuatu, Solomon Islands and Tonga, the full effects of deregulation and other structural adjustments on rural income and income distribution are yet to be felt, but at this stage they appear to be minor. Monitoring of future impact will be required in order to give early warnings of possible serious negative effects of these policies.

"Rural development is development which allows individuals/communities/societies to deploy institutional strategies that enable them to survive and grow without externalizing the costs of such development over space and time and across other communities/people."

MR. ASTAD PASTAKIA, INDIA

IMPACT ON AGRARIAN STRUCTURE

THE IMPACT OF THESE RECENT POLITICAL and economic changes on rural institutions is being felt to different extents by the countries of the South Pacific, in accordance with factors such as their degree of Westernization, the natural resources available, the extent to which they have been able to diversify their exports, etc.

Traditional rural institutions are being threatened by a combination of Westernization and the impact of these recent changes. The traditional rural leadership system is being increasingly threatened by capitalistic and materialistic motives of unscrupulous, ambitious individuals who care little about the welfare of rural people.

The political and economic changes that have swept Fiji have not greatly affected the day-to-day administration of rural areas, and district and village affairs have not been drastically changed by the new constitution. On the other hand, the increasing disparity in wages between the rural and urban areas has played a significant role in the increased rate of rural-urban drift, resulting in a decrease in rural population and an increase in the number of squatters in urban areas.

Some positive impact on rural institutions is visible in the Solomon Islands and Papua New Guinea, where NGOs such as WWF, Greenpeace and NANGO have helped local landowners organize in order to make collective decisions and prepare resource management plans for areas threatened by logging, pollution, deforestation and/or overfishing by commercial companies.

The impact on agricultural enterprises has been widely divergent. While Fiji, Tonga, and Western Samoa have been able to respond successfully to the challenges with diversification and reformation of their agricultural and economic policies, others such as the Solomon Islands and Papua New Guinea are still trying to overcome the negative impacts of these changes.

With regard to land ownership and land markets, the significant feature of the Pacific Island countries is that most of the land is held communally, under customary land tenure, by indigenous people. Because land is still largely perceived as an invaluable part of their existence, and not a commodity to be bartered, it has been difficult to use land as collateral for any proposed development work. This has meant that those few lands that have been open to the land market are made available at ridiculously high prices - a block of land is presently cheaper in Melbourne than in Suva. In most countries in the region, access to land is not readily available to foreigners - a characteristic which conflicts with most of the Pacific Island countries plans for attracting foreign investors.

The immediate impact of recent economic and political changes on land ownership, land markets and access to land is that disputes over land boundaries and even land ownership is increasing. Indigenous land owners, attracted by foreign investors' promises of easy and fast money, a better life, etc., are attempting to sell off portions of land that traditionally they would not have sold. Consequently in many countries such as Papua New Guinea and the Solomon Islands, attempts are being made to record and register land and its owners, largely in the hope that it will open up land markets and facilitate access to land.

SOCIAL IMPACT

Migration

An increase in the rural-to-urban drift in many countries has been a major impact of the recent economic and political changes. This has given rise to an increase in the number of squatters in the urban areas. As a result, governments and town councils have found it increasingly difficult to ensure that adequate land, housing, water supply and electricity are available for the basic daily needs of a fast-growing and uncontrollable squatter population.

One of the reasons cited for the military coup in Fiji in 1987 is that it was to ensure that political power would always remain with the indigenous Fijians, thus ensuring that Fijians would continue to be the recipients of affirmative policies in education and employment, and effectively treating Indians as permanent second class citizens. The resultant exodus of immigrants, largely Indians with professional and trade qualifications, almost doubled in the years after 1987. This created serious shortages at the executive level in many areas which had to be filled, in the short term, by highly paid expatriates.

Gender

The combination of better standards of education, high costs of living and unemployment has resulted in women becoming an increasing and dominating part of the paid workforce in both the urban and rural areas. Although they have always played an important role in agricultural production, trading and informal processing, they have not usually been well rewarded or recognized for their contributions and in most countries have not been well represented in the government's extension services.

Organizations aimed at improving the status of women have been increasing in most of the South Pacific countries. NGOs like WWF are also working in partnership with women's organizations such as the East Sepik Council of Women (ESCOW) in Papua New Guinea, in an effort to improve the lives of the rural people in its East Sepik region.

Since 1990, donors of scholarships for most of the countries in the region introduced policies granting equal places for females and males, giving women new opportunities. The resulting increase in qualified females working in agriculture and the rural sector is slowly becoming evident.

Outlook, opportunities, challenges

OUTLOOK

THE OUTLOOK FOR THE PACIFIC REGION IS bleak, in view of its limited manpower and financial resources, its finite natural resources, its relative isolation, the scattered nature of its countries, and its limited transport and communications infrastructure. On the other hand, the new market-based economy offers the opportunity for the island nations to unite and work together for the betterment of the region as a whole. A regional approach to resource management and exploitation has the potential to enhance the bargaining power of all the Pacific Island countries and lower the unit cost of essential infrastructure services. The fact that island countries produce almost the same or similar products is a factor that could work for or against them. The time has now come for the Pacific Island countries to join forces and face the future as a region.

Regional cooperation has long been conceived, attempted and implemented in the Pacific Island countries. Regional cooperation can increase market size, optimize the use of scarce technical capacity to manage complex undertakings, and reduce differences in bargaining power between small states and larger economic entities. Acting together, the Pacific Island states could take advantage of these possibilities.

Individually, deregulation and privatization are essential if the countries are to survive the new market-based economy. Individual government support for these ventures is critical to their success. Expansion of the agricultural sector wherever possible, accompanied by expansion and greater efficiency in the fisheries, forestry and tourism sectors, is also vital to the survival of the Pacific Island countries. Participation of government and NGOs with the private sector will also play a key role in the development of these sectors.

INNOVATIVE EXPERIENCES

Fiji - Deregulation and the rise of private sector-led development (1989-1995)

After decades of protection and government investment projects, the private sector has become weak and dependent on government. Farming remains largely driven by the local subsistent need for food or by government direction. Change in circumstances during the last decade has led to a growing realization within government of the importance of facilitating rather than directing the growth of the sector. In 1989, the agriculture sector became a part of the national policy of deregulation. There was a switch from licensing and import controls to tariff protection with a gradual reduction in tariffs. The monopoly status given to the government-run National Trading Company (NATCO) for certain crops (cocoa and fresh fruit to Japan) was withdrawn. This change in policy was based on the recognition that the sector only has a future in a competitive world if it becomes more efficient. The challenge is to develop more efficient activities (both for export and local markets) that don't depend on protection.

Deregulation means that the private sector, i.e. the farmer, has to lead the way and set a course for the agricultural/rural sector (which crops, which markets). The role of government and other ancillary organizations, such as the banks and other financing institutions, is to facilitate the farmer's effort, not by direct intervention in trading or production but by providing cost-effective technical advice, negotiating and overseeing the enforcement of quarantine agreements with importing countries, facilitating the development and transfer of appropriate technologies, providing access to credit for viable projects, and maintaining a stable economic environment.

The tendency for farmers to depend on government as a result of past protectionist policies has made the process of deregulation more difficult. In order to ease the transition, the government has assisted some sectors, notably dairy, with transitional financing. With deregulation, farmers have taken on unfamiliar responsibilities, sometimes with some reluctance. For instance quarantine treatment facilities are now owned and operated by the fruit export industry, and ginger growers and exporters are now members of a council that determines industry policy and raises funds for industry support.

Fiji's agricultural sector has already begun to respond successfully to the opportunities offered. The dramatic increase in 1994-1995 taro exports, the diversification of tobacco farmers into pawpaw, a more coordinated approach to quarantine by the private and public sectors, private investment in ginger processing, planned diversification of the dairy industry to assist the wet processing of coconuts, and the export of processed organic foods to Europe are all examples of the benefits of deregulation and private sector-led development for Fiji's agricultural sector.

Indigenous community conservation in the Solomon Islands

The extract below by Graham Baines, former project manager for WWF's community conservation programme, describes some of WWF's experiences with rural indigenous communities in the Solomon Islands.

Community Resource Conservation & Development (CRCD), one of the three main themes of WWF's South Pacific Conservation Programme, has been developed to respond to the call of indigenous land holding groups for assistance in managing their resources. WWF's objective here is to improve prospects for conservation in the South Pacific Islands by assisting indigenous groups in using their resources in a way that is ecologically, economically, culturally and socially sustainable. In recognition of the vital socio-cultural dimension of this activity, WWF is concerned with helping indigenous Solomon Island societies follow a course of development that they themselves choose.

Two communities groups from the Marovo area of New Georgia Province, the Kavakasama Association and the Tobakorarapa Association, have received support through WWF's CRCD programme. Both groups are blessed with rainforests, reef, lagoon and mangrove resources but were faced with development issues when they were pressured into allowing logging, mineral prospecting and commercial fisheries development in their areas. In their wish to have more control of their destinies, they are now attempting to discover for themselves the true nature of their resources and their prospects for sustainable development.

The authority of traditional chiefs has not been diminished, because the two associations maintain traditional kinship arrangements. The chiefs receive advice from committees composed of those whose education and experience make them more suited for changing circumstances. Yet, they still lack much of the knowledge and skills required for planning and management of natural resources for sustainable development.

The two associations have their own long-standing rules regarding the use of and access to their land and sea areas. Their neighbours follow these rules, but agents of economic development including government officers, investors or development assistance agencies are unaware that such laws exist. The WWF project has helped them to document each group's unwritten environment and natural resource management policies. The documented policy can then be read by those in government, to help them to determine what types of economic development will be acceptable to a customary landholding group. This simple documentation device serves to bridge a considerable gap in understanding between the customary custodians of natural resources and the agents of development. An added benefit is a sense of customary group pride and confidence that encourages participation in national development while maintaining cultural identity.

These policy statements are a step towards preparing resource management plans for each of the areas embraced by the two associations. Collecting information for these plans, considering options for sustainable development or for allocating resources, and identifying critical areas for protection are the responsibility of the customary landholder associations. WWF assists them by providing the required specialists, such as a rainforest ecologist or a land use planner, to support their efforts. WWF also provides modest levels of financial assistance to strengthen the indigenous institutions and to make it possible for them to organize and conduct activities in conservation, sustainable development and cultural awareness.

WWF's experience in this innovative area of conservation and sustainable development shows that success is dependent on:

· working only with groups that have, through their actions, clearly demonstrated a commitment to conservation and sustainable development;

· working with customary landholder associations as partners rather than with donors;

· avoiding an inevitable temptation to improve the associations (these evolved in the context of complex social considerations that visitors are unlikely to understand);

· nurturing a patient, understanding approach that encourages learning as much as possible about the culture of each community and realizing chat rapid social and economic changes have affected attitudes to conservation and sustainable development;

· incorporating within all project activities, an element of continuing education and provisions for training in areas identified by the community groups concerned;

· providing quick feedback of the results of studies undertaken by visiting investigators in support of CRCD; and

· demonstrating respect for a community's traditional knowledge of environment and resources, and making an effort to document this for local use in conservation education and as a base for any scientific research or survey required to provide information for resource management planning.

Increasing numbers of customary landholder groups are hoping to assume more active roles in resource planning and management, in the context of sustainable development. Working on this exciting marriage between the ancient and the modern in the Pacific Islands can be immensely rewarding and extremely frustrating. Organizations interested in assisting these groups must always consider the sociopolitical complexities of the circumstances in which these landholder groups are developing.

A stable and peaceful future for Solomon Islands depends to a large extent on accommodating the essence of customary land and sea tenure, in a framework of social and economic development shaped by, and appropriate to, Solomon Islanders themselves. Indigenous community associations, working in partnership with NGOs and government departments, are paving the way.

Role of Native Land Trust Board in Fiji

Land tenure in Fiji is subject to a complex set of legal and institutional controls that date back more than a century. Native lands, which cover 83 percent of Fiji, are communally owned by indigenous clans. These lands cannot be sold but may be leased for a fixed period for a particular use, such as agriculture or tourism. Leases can be sold and transferred from one lessor to another, as long as the lease is recorded and recognized by the Native Land Trust Board (NLTB). Land can be shifted from one use category to another only by negotiating a new lease, i.e. land initially devoted to agriculture can only be converted to residential or tourism uses by agreement between the leaseholder and the NLTB.

The NLTB was set up as a statutory body in 1946 under the Native Land Trust Act, to administer all native lands for the benefit of Fijians and, paradoxically, for the nation as a whole. It therefore manages all native land on behalf of the customary landowners and handles all legal dealings relating to native land, such as issuing leases, agricultural licenses, timber concessions or land subdivisions.

The NLTB was accepted by the taukei, the indigenous Fijians, mainly because they trust in the Fijian statesman and founding father of the NLTB, Ratu Sir Lala Sukuna. To the 1936 meeting of the Great Council of Chiefs he stated that the NLTB system:

... is the only way in which native lands can be made of general use and benefit - and all without storing up troubles for ourselves. (It is) in the best interests of the native race that all lands not required for the maintenance of the Fijian owners be opened for settlement and that all land (including leases) not so required be handed over to the government to lease on behalf of the Fijians... more land will become available for cultivation. And as the leasing will be under better control, we shall receive more rent, for there will be no waste land. We will live peacefully with our neighbours, men who have taken up their homes in this country.

(NLTB, 1986)

There are five main types of native leases, agricultural, residential, commercial, industrial and special leases, each with its own particular lease arrangements. Lessees are charged rent at the rate of up to 6 percent per annum on the unimproved value of the land, of which 25 percent of lease income and 10 percent of any royalties are retained by the NLTB to cover their costs. The remainder is returned to the owners and distributed among members according to a formula drawn up by the Native Lands Leases and Licenses Regulations. The NLTB also receives $1.5 million a year from the government to cover part of its operating expenses.

The NLTB presently manages about 30 000 leases, of which more than 15 percent are agricultural leases. Since 1966, agricultural leases have been issued for 10 years, with automatic right to two 10-year extensions. It was intended to give more security to lessee farmers and increase the incentive to develop the land sustainably. Over the next few years, many of these leases will come up for renewal, but with no legal right or automatic procedure for extension.

Although the number of agricultural leases expiring during the next few years is not large (71 in 1997, 318 m 1998, 399 m 1999, 3043 in 2000, 3344 in 2001, 804 in 2002,1111 in 2003,563 m 2004, and 532 in 2005) they will be watched closely as an indication of how the Board will deal with future renewals. The Board is presently dealing with the lease renewals by meeting with landowners and tenants to assess their current and future land use needs.

CONSTRAINTS

Land tenure

The largest constraint to agriculture and rural development in the Pacific concerns land tenure and its consequent effect on access to land, land use and land market. Difficulties in acquiring land is one of the more serious obstacles to private investment.

In Fiji for instance, the previously-mentioned lease renewal controversy has provoked, more than any other issue, an economic, political and ethnic polarization during the past decade. The lease renewal question involves difficult cultural and economic issues relating to communal property rights, individual tenancy rights and obligations, and government authority.

The conflict between competing financial and socio-cultural interests hampers the search for a mutually-satisfactory solution. It is hoped that the government will move aggressively to de-politicize the issue, promote procedures that would provide a standardized menu for renewal options to both landowners and growers, and involve a mutually-acceptable, credible international arbitrator to reassure landowners and growers that their interests will not be sacrificed to political expediency.

Inadequate research facilities

Farmers often cope with diseases and pests ravaging their crops and livestock. Research facilities aimed at preventing or overcoming such situations are essential if farmers are to produce consistently high quality products and compete in international markets.

Human resources

Lack of skilled technicians, extension officers, farm managers, etc., poses a severe constraint on the agricultural sectors of all countries. Extension officers and farm managers, for instance, have an important role to play in facilitating private sector-led development. The future of the farmer depends on the adoption of sustainable agricultural production methods. Extension officers can help by promoting profitable sustainable and organic production practices and supporting the implementation of bilateral quarantine agreements (BQAs). BQAs relate to the quarantine treatment, its associated procedures and the whole production system of the crop in question. Adequate resources must be devoted to this purpose if export markets are to be established and sustained.

Socio-cultural constraints

The sustained economic and social development of rural Pacific Islanders must be measured against the numerous constraints associated with the history and geography of each Pacific Island country. Most of their contact with the modern world has occurred only within the last century, and for many the period has been considerably less. Each country is comprised of several language groups, each with its own developed interdependent traditional links. It has proven extremely difficult to apply laws, institutions and standards within these countries that are based on European practices and beliefs, many of which are inappropriate to the Pacific. Within this context, the shift from colonialism to independence has placed serious strains on the traditional social and economic fabric of these countries. Furthermore, the rich natural resources, traditional cultural values and extended family systems have all appeared to contribute to the development of community attitudes and a sociopolitical system that unduly emphasizes the distribution of income and wealth rather than their generation. This fundamental attribute, shared by all South Pacific countries, must be reconciled with the individualistic wealth generation trait of Western market-based economies, in order to achieve consistent and widespread improvements in the standard of living. Committed and prudent governments will be needed to overcome these constraints

Transport and communication

One of the major constraints to commercial agricultural development in the rural areas, particularly in the outlying islands, is the inadequacy of existing transport and communications. This has led to expensive and often unreliable inter-island shipping. In the past, the isolated outlying islands suffered the setbacks caused by the late, even non-arrival of ships scheduled to pick up and transport their perishable harvests to urban ports and markets.

PROPOSALS FOR NEW APPROACHES TO AGRARIAN REFORM AND RURAL DEVELOPMENT

Regional cooperation

With their small landmasses and population, their isolation and their wide dispersal across the Pacific Ocean, these countries face many development challenges. Their future lies principally in their unique cultures, their natural beauty, their forests, their minerals and their fish. It is important that they work together to protect, conserve and make the most of their rich legacy.

However, past efforts at regionalizing have had mixed results, with high costs in terms of limited staff time and administrative resources, compared to the benefits that have been achieved. It is therefore important that the areas for regional economic cooperation be selected carefully by Pacific countries and that development be limited to what is manageable and cost effective. To ensure that national interests do not outweigh and supersede regional interests, regional collaborations must benefit all countries, improving their welfare beyond what each individual country could have achieved on its own. Finally, regional cooperation needs to be flexible enough to adapt to changing circumstances and have the capacity to be self-policing and to terminate in the event of poor performance.

Regional cooperation could focus on five priority areas: (i) building trading relationships with larger, more dynamic trading blocs outside the region; (ii) cooperative arrangements in aviation and maritime transport; (iii) cooperative arrangements in communications, including satellite and fibreoptics technology;

(iv) a common approach to natural resources management, particularly with regard to fisheries and forestry; and (v) a regional approach to providing economic and social services, particularly in the areas of higher education and environmental management, which would encompass much needed programmes concerning natural disaster management, coastal zone management and marine conservation.

Privatization

Concern over the exploitation of renewable resources in the Pacific has mounted in recent years with widespread apprehension about the pace at which certain resource stocks such as fisheries and forests are being exploited. Two broad recommendations can be made. First, governments should avoid further expansion and the construction of new milling facilities. Instead, efforts should be made either to privatize or find private investors to expand and upgrade domestic milling capacity. Second, encouraging adequate private sector participation is the best way to ensure improvement in the quality and quantity of exportable processed forest products.

Expansion of the agricultural sector

The strategy for the larger countries with more abundant natural resources, such as Fiji, Vanuatu, the Solomon Islands, Tonga, Western Samoa or Papua New Guinea, is to expand their agricultural sectors by expanding their niche market exports and increasing production of traditional crops. This strategy is based on development being steered by the private sector, with government and other agencies playing an all important, sometimes critical, facilitating role.

Assistance for developing rural credit schemes

It has been said that when credit is given to women, as much as 96 percent is repaid within the loan period. A great incentive for encouraging rural women involved in agriculture and fisheries development projects would be the provision of some technical assistance in establishing a credit scheme for launching such projects.

Assistance with strengthening of quarantine operations

Quarantine rules and regulations that minimize risk but facilitate trade and allow farmers access to improved seeds need to be formulated and implemented, and public awareness on the need for quarantine needs to be developed. Wherever they exist, the quarantine section within each country needs to be strengthened and reorganized.

Technical and financial assistance to develop a programme for educating farmers on strict quarantine measures and assisting them in meeting high quality standards would be invaluable in enhancing quality and consistency in the export products and ensuring international competitiveness of the region.

Focusing of research and access to technology

The sustained development of the agricultural sector will rely heavily on access to effective applied research and technology. Important research and technology areas are disease control and management, quarantine research, food technology and organic production systems. A model chemistry laboratory would be used intensively on a semi-commercial, user pays basis.

Conclusion

NEVER BEFORE HAS THE SOUTH PACIFIC been placed in a more challenging position. These challenges can be turned into windows of opportunities with proper planning and management, and the will and resources to implement them. With its vast expanse of ocean, the Pacific region's hope lies in the sustainable exploitation of its terrestrial and marine natural resources through agriculture, fisheries, minerals, forestry and tourism. Its success lies in the countries banding together as a region to meet the challenges of the next decade, shedding their protective policies, providing incentives for private sector investment, and forming partnerships with NGOs, in order to utilize the resources offered by NGOs for the region.

Endnotes

1. Although the Pacific Islands comprise up to 22 countries, this report covers, for logistic reasons, only the following nine countries: Federated States of Micronesia, Fiji, Kiribati, Marshall Islands, Papua New Guinea, Solomon Islands, Tonga, Vanuatu and Western Samoa. Excluded from this report are: American Samoa, the Cook Islands, French Polynesia, Guam, Hawaii, Nauru, New Caledonia, Niue, the Northern Marianas, Palau, Tokelau, Tuvalu and Wallis & Futuna.

Bibliography

Fallon, J. (1992)
The Papua New Guinean Economy - Prospects for recovery, reform and sustained growth. Canberra: Australian government Publishing Service

Government of Fiji (1991)
National Agricultural Census Report Suva: Ministry of Agriculture, Fisheries and Forests.

McGregor, A. and Hamilton-Peach, J. (1995)
Fiji Agricultural Sector Study Draft final report. Suva: Ministry of Agriculture, Fisheries and Forests & Asian Development Bank.

Native Land Trust Board (1989)
Annual Report, Suva, Fiji

Rakai, M. (1993)
Fiji: Incorporating customary land tenure into a Land Information System unpublished MSurvSc thesis, University of Melbourne, Australia.

Taukei, P. (1995)
Country Paper: Republic of Fiji In Seminar on improvement of Agrarian Structure. Tokyo.

World Bank (1995)
Fiji: Restoring growth in a changing global environment World Bank Report. Suva: government of Fiji and World Bank.

Agrarian reform and rural development strategies in China, Japan and other rice-based economies of Monsoon Asia

Jian-Ming Zhou

JIAN-MING ZHOU is a researcher at the European University Institute, Florence, Italy.


Introduction
Endnotes
Bibliography


Introduction

Around 1990, drastic political changes took place in Eastern Europe and the former USSR. Dictatorship was turned to democracy, and centrally-planned economy gave way to overall privatization. In monsoon Asia,1 however, there was not such a specific time demarcation. Most rice-based economies had either started democracy before, or still keep relatively tight political control. Economic reforms began in China in 1978 and spread to other centrally-planned economies in Asia in the 1980s. They have adopted a mixed economy between the centrally-planned economy and full privatization. Therefore, different patterns of political and economic evolution exist in different regions of the world.

In general, the Asian monsoon climate causes rains from May until October, and dryness from November until April. Only rice is suited to this climate. It has been the major crop for centuries. Up to the end of World War II, a feudal landlord ownership had been dominant and most peasants owned little or no land and were either tenants or wage labourers. Farm work was done by hand, with simple tools. Reclamation of new land had reached its limit. In the rainy half year, rice cultivation required highly labour-intensive, sophisticated and coordinated work, resulting in labour shortage. This demanded more labour and caused high population growth, a low amount of per caput cultivated land and small size of individual (family) farming units.2 In contrast, during the dry half year, due to insufficient work opportunities, there were serious problems of unemployment, underemployment or disguised unemployment.3 Poverty was widespread and persistent. These economies were predominantly agrarian with some industries in big cities, hence a dual economy.4 This economic situation has been changed in some economies with the same natural conditions, but still dominates in the others.

There have been basically two models in rural development for overcoming poverty. Economies based on private land ownership follow the Japanese model which may not achieve sustainable agricultural growth, and economies based on public land ownership follow the Chinese model which may achieve agricultural growth. This brief paper will mainly analyze these two models, point out at which stages along them the other economies are, and accordingly what their major tasks should be.

Economies based on private land ownership

JAPAN, TAIWAN AND SOUTH KOREA

THE JAPANESE MODEL STARTED IN 1946 when democracy was established. It combines the following nine major features or stages.

(i) Institutional changes for an individual-cooperative mixed economy

The 1946 land reform purchased land of absentee landlords, as well as the land of resident landlords with more than 2 ha. The land reform also sold land to peasants for individual ownership, protected tenants from eviction, set land rent at a low level and imposed a 3 ha ceiling on land holding. This resulted in huge incentives for peasants to increase output, but also numerous small and fragmented farms (on average 1 ha and composed of up to 30 plots). It also set up rural cooperatives which provided production services to the individual farming units.

(ii) Government rice-supporting policies

Chiefly rice self-sufficiency, rice price support, farm credit and subsidies, technological research and extension services, import protection, etc. Technological progress was embodied in features III-VIII. Five steps (III-VII) contributed to full employment.

(iii) Construction of rural infrastructure

Established the technical basis for further rural development through irrigation, land improvement, transportation, communication, electrification, education.

(iv) Higher yields and multiple cropping

High-yielding varieties and more fertilizer raised productivity of both land and labour and released labour from grain culture.

(v) Diversified cropping5 and non-crop agriculture6

Increased peasants' income changed the agricultural structure and necessitated the establishment of rural enterprises for processing, transporting and marketing of crops, livestock, fishery and forestry products.

(vi) Off-farm employment7

Offered jobs to peasants in both urban and rural enterprises, further increased peasants' income, changed rural structure and promoted urbanization.

(vii) Peasant migration to cities and towns

Migration mainly of able-bodied male labour force, leaving the aged and women in agriculture. As peasants could get jobs also in the dry half of the year, full employment was achieved and wages rose. Hence a post-full employment step.

(viii) Agricultural mechanization with small machinery

The introduction of small machinery sharply reduced the agricultural labour force without affecting output. The first transition from agriculture to industry was hence completed, the shortage of labour appeared, and the second transition (from industry to services) started in Japan at the end of the 1950s. Rice self-sufficiency was reached in 1955, per caput production was raised, equity in income distribution was reached and poverty eradicated. At this high stage of rural development, all the major obstacles imposed by the monsoon have been overcome except for the small farm size.

(ix) The small farm size8

There are many reasons for the small size of farms.

As people became richer, rice consumption, although still necessary, declined. In the high-wage economy, the income from rice production became much lower than that from diversified cropping, non-crop agriculture and off-farm employment. If rice farmers could not make enough from their farms,9 they abandoned rice production and reduced the level of self-sufficiency. In order to make them viable, the income from rice production should be raised by increasing the farm size. This would facilitate the use of large machinery, saving labour, reducing costs and increasing returns to scale gained, as later evidence has shown.

Therefore, since 1961, farmers' land purchase has been subsidized by the government. In 1962, the land holding ceiling was relaxed but not enough land was sold. On the supply side, part-time farming became dominant. Many able-bodied males commuted to off-farm employment, while their wives and old parents farmed. They had no incentive to sell land: off-farm income was high; distance between towns and villages short; transportation convenient; no need to pay high rent for city dwelling; there was less pollution; a rural place for retirement; etc. Moreover, as industrialization proceeded, land price soared. Land sale in the future would be more profitable than now. On the demand side, because land prices went well over income surplus from rice production, it became unprofitable for full-time farmers to enlarge farm size through land purchase. Thus, much land remained with the part-time farmers who used it inefficiently. In effect, it is the shortcomings of private land ownership that have hampered the land sale.10

Thus, land-lease was introduced. In 1970, rent control was removed and land could be returned to landlords upon termination of contracts of more than 10 years. In 1975 and 1980, short-term leasing was legalized. Although land lease occurred more than land sale, the progress was very limited. On the supply side, landlords still feared that once let, land would be lost. (Hayami, 1988: 86-88). On the demand side, because the small farm was composed of many fragmented plots, the lessee was not allowed (since the ownership belonged to the lessor) to consolidate them into larger units or change their shape (roads, canals, ponds, etc.) to facilitate the use of large machinery. Here, again, the shortcomings of private land ownership have constrained land lease and the efficient use of the leased land.11

Since enlarging farm size was not possible, farmers and cooperatives organized political lobbying for protection. The ruling party had to yield, fearing the loss of votes (Hayami, 1988: 51). In 1960, a "cost-of-production and income-compensation scheme" was designed. The government as the monopsonist buyer bought rice at a predetermined price and sold it at a lower price, hence subsidizing rice farmers. An accompanying law prohibited rice imports. Rice prices increased the world price level tenfold in the 1980s (Schaede et al, 1996: 422).

As a result in this period, domestically, the deficit in rice rose to more than US$ 7 000 million; internationally, protests flowed, especially from the USA. The GATT Uruguay Round of 1993 stipulated a "phase-in" of rice imports of 10 percent of total market size until 2005 for Japan. Therefore, when it experienced a disastrous harvest in 1993, rice had to be imported for the first time in 1994 from Thailand, China, USA and Australia. Rice self-sufficiency was thus no longer possible. In 1996, two thirds of Japan's food is imported and is cheaper than locally produced food. Further liberalization is expected. However, because of the small size of the farms, it is difficult for rice farmers to survive and for the government to restore rice self-sufficiency. Subsidies have to be continued; a grant of 6 000 billion yen was included in the 1995/96 budget for farmers to adjust to the new regime (Schaede et al, 1996: 423). Thus, the critical issue is how to enlarge farm size.

The following are proposals for new approaches to agrarian reform and rural development in Japan.

Private land ownership

It is proposed to consolidate fragmented plots into large land units through exchange of ownership and location. Then part-time farmers could lease their compact land units to full-time farmers. Production cooperatives also could be set up to join all land units of land-owning members (whether they till land or not) as their land shares, and raise capital shares, while distributing revenue among these shares and labour contribution. In order to overcome the shortcomings of the private land ownership and achieve economies of scale in such methods, the intervention of governments and village committees is necessary.

Public land ownership

It is also proposed to buy rural land at appropriate prices for public ownership and to set up a dual-land system under the management of local governments or villages.

· Land for living could be distributed equally to rural residents to use for housing and subsistence agricultural production. If a farmer has migrated to an urban area, proportionate land should be withdrawn from his/her household.

· Land for production should be contracted for long term to expert farmers so that large land units could be formed and large machinery could be used. Such contracts could be used. Such contracts could be transferred and renewed according to the market principle. Within the contract period, if (except in the case of natural disaster) the output target is not reached, if land quality is destroyed, if production abandoned, etc., the contract could be stopped and sanctions inflicted. If land improvement has been made, the farmer should be rewarded for it. In the case of surplus production, fields could be used for other (even non-agricultural) productive purposes. Resistance may be met at the time of land purchase but may not be persistent.

The small farm size in monsoon Asian rice-based economies under private land ownership was efficient in the low-wage economy as it was conducive to development and diffusion of land-saving and scale-neutral technology. It is, however, not efficient in the high-wage economy as it hampers the achievement of economies of scale of land. This problem is common to all rapidly-industrializing economies with limited land resources (Hayami and Yamada, 1991: 7).

After the completion of the agro-industrial transition, democratic process started in Taiwan in 1972, leading to the first full legislative election in 1992. It began in South Korea in 1981, climbing to the first direct presidential election in 1987. They have followed the Japanese rural development process and faced similar problems. Both countries may be put together with Japan in Group 1. My proposals for Japan may be applicable to them as well as all the other rapidly-industrializing economies with limited land resources under private land ownership.12

INDONESIA, MALAYSIA AND THAILAND

IN INDONESIA, MILITARY DICTATORSHIP has existed since 1965. Ethnic separatist movements are few but three (in Aceh, Irian Jaya and East Timor) have lasted for decades.

In Malaysia, elections have been held since the 1960s, a coalition government was formed in 1970 and the King was forced to agree to all bills passed by the parliament from 1994 on, but a complete Western style of freedom has not been adopted.

Thailand has experienced alternate military dictatorship (1948-72, 1976-88, 1991-92) and democracy (1945-47, 1973-76, 1988-91, 1992-present), with the King still holding strong influence.

They are at the lower stage of the Japanese model and may be classified as Group 2. Since the 1980s, their speed of industrialization has been so high that they have been listed as "high-performing Asian economies" (World Bank, 1993). But income disparity unfavourable to rural areas still exists (unlike Group 1 which achieved equity during rapid growth). They should strengthen rural development according to domestic emphases as in features I-VIII of the Japanese model (but protection in feature II should be replaced by gradual liberalization of prices and trade). They also need to overcome the small farm size obstacle which has appeared in some areas where off-farm employment has induced much of the rural labour force to abandon agriculture.

SRI LANKA, INDIA, THE PHILIPPINES, PAKISTAN AND BANGLADESH

DEMOCRACY WAS ESTABLISHED IN Sri Lanka in 1948, India in 1950, the Philippines in 1986, Pakistan in 1988 and Bangladesh in 1991, although there are serious social conflicts (ethnic, religious, political or territorial). In contrast, Groups 1 and 2 have generally kept social stability. They are at the lower stage of the Japanese model and may be placed in Group 3. Industrialization has been pursued but more slowly than in Groups 1 and 2. The majority of Asia's poor are in this group (and Group 4). Therefore, they should overcome social instability and strengthen rural development through features I-VIII of the Japanese model (but gradually liberalizing prices and trade in feature II).

BHUTAN AND NEPAL

Bhutan is still ruled by its King, but Nepal adopted democracy in 1990. They are two of the world's poorest nations and are at the bottom of the Japanese model and may be joined in Group 4. Land reform has been made thoroughly in Group 1 and at different degrees in Groups 2 and 3, but very limited in this group. Although progress in road building was achieved, rural development remains behind other groups and thus needs to be accelerated along features I-VIII of the Japanese model (except for protectionism).

Economies based on public land ownership

CHINA THE COMMUNIST CONTROL REMAINS IN China, despite the Eastern European change. The Chinese model, a third way between the centrally-planned economy and full privatization of means of production, started in 1978 with ten major features or stages.

(i) Institutional changes for a collective-individual mixed economy.

· Land was owned by the village and could not be sold without the state's permission, all the other means of production could be owned privately, collectively or jointly.

· Land was contracted to households for three years, although later extended to 15 years or more, with equality according to quality and household population. This Equal Land System, resulted in numerous small and fragmented farms because as population grew, land had to be redistributed and became smaller and more fragmented. In 1986 the average acreage of cultivated land of family farm was 0.613 ha, divided into 8.99 plots, each plot 0.068 ha (Group, 1992: 7).

· Households could contract the production of major agricultural products and sell it to the state at state-decided price. They could retain and sell the above-quota residuals to the state at higher state-decided price (since 1985, to the state at negotiable price or to the market at free price). This has meant a dual track price system. Households could produce and sell minor agricultural goods to the free market.

· Through bidding, a village could also contract waste land and waste water to households up to 50 years for fulfilling collective tasks and disposing of residuals at the market.

· The land use contract could be transferred on a voluntary basis.

· Capitalistic hiring (less than eight labourers) or capitalist operation (hiring eight or more) of land was allowed although not necessarily needed by the small farms.

· The village had the duty to provide services, hence a village-household dual level operation of land.

(ii) Government rice-supporting policies

Market-oriented policy-making, raising purchase prices, reducing taxes and state purchasing quotas, increasing financial, technological and material support, importing cereals when necessary, etc. Steps III-VII contribute toward reaching full employment:

(iii) Construction of rural infrastructure

(iv) Higher yields and multiple cropping

(v) Diversified cropping and non-crop agriculture

(vi) Off-farm employment

(vii) Peasants' migration to cities and towns

These seven features in general are similar to their counterparts in the Japanese model (except for the collective land ownership in feature I and non-import protection in II) and have had positive effects similar to Japan.

Also similar to Japan, the small and fragmented family farms began to be nonviable for rice and other grain production in the high wage economy. Hence a second round of institutional changes took place as follows.

(viii) Institutional changes for a collective-individual-capitalistic mixed economy to achieve economies of scale of land

Of the various experiments that have been tried since the early 1980s, the following two have been the most successful.

Dual Land System.

In those regions where off-farm activity was less developed, land was divided into:

· grain rations land, which was distributed (as a basic social welfare) equally to households according to population for agricultural production of basic consumption goods; and

· responsibility land, which was contracted to -depending on the degree of development of off-farm activity - labour force, agricultural labour force, or expert farmers (even non-villagers) who bid for higher output of products to be sold to the state and market. As a result, some economies of scale of land could be achieved. The increase of household population would lead to the deduction of its responsibility land but increment of its grain rations land (children born beyond the family-control plan were taken into account); the decrease would lead to the increment of its responsibility land but deduction of its grain rations land; in either case, the acreage and location of the household's land was unchanged, hence a Dual Land on Account to encourage households to produce fewer children and prevent the redistribution of land into smaller and more fragmented farms owing to population growth.

Single Land System.

In those areas where off-farm activities were highly developed, many peasants felt secure about their jobs and were willing to transfer both their grain rations land and responsibility land to the remaining expert farmers, who then could contract much larger land for production for the state, village, family and market. In both cases, collective farms, including a number of households managed as agricultural enterprises, could also be contractors of larger land and have performed well. In these forms, economies of scale of land have been raised to 1 ha - 66 ha (Group, 1992: 16). Due to the insufficiency of the family labour force, it became necessary for many farms to employ wage labour especially in busy seasons, thus creating a collective-individual-capitalistic mixed economy.

(ix) Agricultural mechanization with large machinery

This included both privately-owned or collectively-owned machinery.

The evolution of the land tenure may be from the Equal Land System, through the Dual Land System, toward the Single Land System. The necessary condition of land consolidation is the development of off-farm activity which can absorb surplus peasants. The Dual Land System is more significant, since it could provide basic social welfare to a large number of peasants but also achieve economies of scale of land for higher agricultural efficiency even in areas where rural industry was less developed. It is thus more suitable to Chinese agriculture and may last for a longer period.

(x) Some rural (chiefly coastal) areas developed earlier, then promoted the development of other areas.

The Chinese model has found some ways to overcome the remaining obstacle imposed by the monsoon - the small farm size - for achieving sustainable development, and thus may be superior to the Japanese model and significant to other rice-based economies in monsoon Asia. This does not mean, however, that the food problem has been solved in China. There is still much room to improve the situation along the ten features. In the 1990s, priorities should be on the technological progress, protection of cultivated land from industrial use, reduction of high costs of production, investment increase, better services, strengthened rural development and poverty alleviation, prevention of natural disasters, and control of chaos in the market economy (blind migration, localism, shoddy goods, crime, corruption, etc.).

VIETNAM, LAOS, MYANMAR AND CAMBODIA

WITHOUT FOLLOWING THE EASTERN European trend, Communist Parties still govern Vietnam, Laos and the military rules Myanmar. In Cambodia, a coalition government was formed in 1982 against the Vietnamese invasion, leading to the multi-party system in 1991 when peace was reached, but the Communist Party still rules a part of the country and fights the government. Agricultural land is state-owned in Vietnam, Laos and Myanmar. In Cambodia it is owned collectively and privately. Since the mid-1980s, they have all turned to market-oriented rural development with good results and are at the lower stage of the Chinese model. Usufruct rights to land were given to households in Myanmar in 1962 (but agriculture was neglected then), in Cambodia in 1980, in Laos in 1986 and in Vietnam in 1988 similar to feature I of the Chinese model. Privatization of land ownership is intended in the state-controlled area of Cambodia, but might not be beneficial in the long run and should be re-considered. In order to wipe out poverty, development along the Chinese model should be strengthened.

NORTH KOREA

NORTH KOREA HAS BOTH COMMUNIST Party governance and centrally-planned economy and is at the bottom of the Chinese model. Agricultural land is either collectively (more than 90 percent) and/or state-owned. In the 1990s, output declined, serious food shortage appeared and rice turned from export to import. Industrial joint-ventures with foreigners started in 1984 with limited success. In 1994-96, emphasis was switched to agriculture, light industry and foreign trade and to the transformation of collective farms to state ownership (Chung, 1996: 474-476). It should be advised to begin agrarian reform and rural development with feature I, and then proceed along other features of the Chinese model.

Endnotes

1. Monsoon Asia contains 19 rice-based economies: P.R. China, Japan, D.P.R. Korea, Republic of Korea and Taiwan Province of China (hereafter Taiwan) in East Asia; Cambodia, Indonesia, Laos, Malaysia, Myanmar, the Philippines, Thailand and Vietnam in Southeast Asia; and Bangladesh, Bhutan, India, Nepal, Pakistan and Sri Lanka in South Asia.

2. "Farm" (or farming unit) as used in this paper means "agricultural holding", which refers to all land that is used wholly or partly for agricultural production and is operated by one person -the holder - alone or with the assistance of others, without regard to title, size or location (FAO, 1972).

3. Those who are willing and able to work but cannot find work are unemployed. Among those employed, those who are working less than full time and want more hours of work are underemployed. (Oshima 1993: 103). The part of the population engaged in agriculture who could be removed without reducing agricultural output, even though the technical methods in use remain unchanged, are disguisedly unemployed (Nurkse 1953: 32-33).

4. Although Japan was developed, its industrialization was based on its import of food from and export of industrial goods to colonies. Its agriculture was relatively stagnant (Oshima, 1987: 109).

5. Diversified cropping implies a shift from a monoculture or a few crops (mainly grains) to a larger assortment of crops such as roots and tubers, pulses, oil crops, vegetables, fruits, berries, treenuts, etc. (Oshima, 1993: 125. FAO, 1993: iv).

6. Agriculture - depending on the context - in a broad sense includes cropping (farming), animal husbandry, fishery, forestry and hunting (Oshima, 1993: 152), but in a narrow sense may only refer to cropping.

7. Off-farm employment of farm families denotes their employment in non-agricultural sectors, i.e., industry and services. Industry contains mining, manufacturing, construction, public utilities, transportation and communication. Services comprise banking, real estate, business, public services which require the highest level of education and retail trade, restaurants, domestic and other personal services which only need minimal education. (Oshima 1993: 138, 152)

8. "Farm size" may refer to the acreage of land, or number of households, of the farm. The large farm size advocated in this paper for monsoon Asian rice-based economies denotes the large size in land acreage of farm whose basic operation unit is one household which may receive help from governments, collectives and cooperatives and hire non-family labourers.

9. Farms that earn income per farm household member equal to, or above, that of non-farm employees who are living in rural areas are "viable units" (Hayami, 1988: 77).

10. Although many other economists and policy-makers have examined this problem, they did not attribute it to private land ownership.

11. Again, although many other researchers have inspected this problem, they did not impute it to private land ownership.

12. Turning land to public ownership when there is surplus labour in the slack seasons with little off-farm employment has been practiced in a number of economies. My proposal of doing so when off-farm employment has developed and resulted in agricultural labour shortage so that the small farm size has become an obstacle, may be new.

Bibliography

Chung, J.S. (1996)
Economy - the Democratic People's Republic of Korea, The Far East and Australasia 1996, Europa Publications.

Cribb, R. (1996)
History - Indonesia, The Far East and Australasia 1996, Europa Publications.

Demaine, H. and Gainsborough, M. (1996)
Economy - Vietnam, The Far East and Australasia 1996, Europa Publications.

FAO (1972)
FAO Production Yearbook 1972, Food and Agriculture Organization of the United Nations, Rome.

FAO (1993)
FAO Yearbook - Production 1993, Food and Agriculture Organization of the United Nations, Rome.

Group 1992
Group on Land Project of the Center for Development Studies of the State Council: Scale of Farmland and Agricultural Development, Nanhai Publishing Company. (In Chinese).

Hayami, Y. (1988)
Japanese Agriculture under Siege, St. Martin's Press, New York.

Hayami, Y. and Yamada, S. (1991)
The Agricultural Development of Japan - A Century's Perspective, University of Tokyo Press.

Nurkse, R. (1953)
Problems of Capital Formation in Underdeveloped Countries, Basil Blackwell.

Oshima, H.T. (1987)
Economic Growth in Monsoon Asia, University of Tokyo Press.

Oshima, H.T. (1993)
Strategic Processes in Monsoon Asia's Economic Development, the Johns Hopkins University Press.

Schaede, U.; Lowe, D. and Tokunaga, Y. (1996)
Economy - Japan, The Far East and Australasia 1996, Europa Publications.

Steinberg, D.I. (1986)
Economy - Burma, The Far East and Australasia 1986, Europa Publications.

Stuart-Fox, M. (1996)
History - Laos, The Far East and Australasia 1996, Europa Publications.

Summers, L. (1996)
History - Cambodia, The Far East and Australasia 1996, Europa Publications.

Vokes, R. (1996)
Economy - Myanmar, The Far East and Australasia 1996, Europa Publications.

World Bank (1993)
The East Asian Miracle Economic Growth and Public Policy, Oxford University Press.


Previous Page Top of Page Next Page