Previous Page Table of Contents Next Page


30 - The effects of trypanosomiasis prophylaxis and anthelmintic treatment in goats under traditional management in southern Tanzania

C.R.C. HENDY

Introduction
Location and environment
Livestock disease challenge
Goat management systems
Trial design, treatment regimes and recording methods
Results
Discussion and conclusion
References


Introduction

Mtwara and Lindi regions in Southern Tanzania comprise about 9% of the land area of Tanzania and include 7% of the human population but only 0.1% of the cattle and 1.7% of the sheep and goat populations. The availability and consumption of livestock products is therefore low; meat consumption of [kg/head/year is less than 10% and milk consumption (1 litre/head/year) is less than 5% of the Tanzanian national average (Hendy, 1980).

Goats are by far the most numerous livestock in the area and contribute most to local meat production. The improvement of goat production was therefore recognized as a priority in a joint Government of Tanzania and UK (ODA) Regional Integrated Development Programme established in the late 1970s. The studies reported were carried out as part of the investigation of production systems, constraints and productivity prior to the establishment of development programmes and extension objectives.

The specific objectives of the trials reported in this paper were to investigate the biological and economic effects of the suspected major diseases in goats (trypanosomiasis and helminthiasis), through the introduction of routine control measures in flocks under long-term performance recording.

Location and environment

Mtwara region lies between latitudes 10°05' and 11°25' south, on the southeastern coast of Tanzania, bounded by Mozambique to the south. These studies were conducted in Mtwara and Newala Districts in the eastern half of the region extending from the coast to about 120 km inland. The landforms of the area consist of a narrow coastal plain 2 to 10 km wide and a sandstone plateau rising from approximately 150 m altitude at the coast to 900 m in the west of Newala District, incised by several rivers draining to the Indian Ocean. Natural vegetation has been largely disturbed by cultivation and fallowing. A complex of woodland remnants, bushland and thicket predominates, with dense "Makonde Thicket" developing in bush fallows. The farming system is dominated by cashew plantations, especially inland. The intensity of settlement increases from the coast inland; rural human population densities in 1982 ranged from 20-40/km in Mtwara District to over 200/km in densely populated parts of western Newala District (district average 70/km). The farming system changes concurrently from an extensive bush fallow system with sorghum, maize, cassava and legumes interspersed with small cashew plantations, to a permanently cropped cashew/cassava/legume system with a small proportion of cereal cropping. Goat population densities also increase from less than 2 goats/km in eastern Mtwara District to over 30/km2 in western Newala.

The climate of the area is characterized by a single rainy season from December to April (months with > 50 mm rainfall) though with a high probability of a mid-season dry period in February. Long-term average annual rainfall ranges from 1126 mm/year at Mtwara to 1048 mm in Newala town, though with great variability ranging from 754 to l990 mm/year. Temperatures vary little seasonally; monthly average, mean daily temperatures range from 24.3°C in June/July to 27.5°C in December (Bennett et al., 1979; Finnwater Consulting Engineers, 1977). Monthly mean relative humidity at mid-day ranges from 60% in the dry season to 75% in the rainy season, with overnight average humidities of 95%.

Livestock disease challenge

Tsetse challenge and trypanosome prevalence

Areas of Mtwara region are infested with Glossina morsitans, G. pallidipes and G. brevipalpis. G. austeni has also been caught in the past, but not in recent surveys, (MacLennan, 1980). Within the parts of Mtwara and Newala Districts included in this study, only G. pallidipes and G. brevipalpis have been found in recent surveys.

Tsetse infestation is of low intensity in the coastal plains, though locally more intensive in bushland and thicket associated with alluvial river valleys and in regenerating coastal thicket. In the eastern end of the plateau, infestation is moderate to locally high in the bushland and thickets associated with less intensively settled areas, but declines westwards as the intensity of settlement and land use increases. The plateau area in Newala District is thought to have been tsetse free since at least the early 1950s (Potts, 1954, cited by MacLennan; 1980); no flies have been caught in recent surveys and no incidence of trypanosomiasis diagnosed in resident stock.

Information on fly densities was obtained from 19 sites throughout Mtwara District and eastern Newala District at which from 2 to 8 periodically repeated surveys were carried out over the period March 1982 to November 1983, with 3 to 4 biconical traps placed in favourable tsetse habitats for 24 hours. Sites close to and representative of villages in which goat recording work was carried out suggested the classification of tsetse challenge as low at coastal sites (less than 0.1 flies/trap/day), medium at alluvial valley and eastern plateau sites in Mtwara District (0.3 to 1.0 flies/trap/day) and zero in Newala District.

Trypanosome prevalence rates in livestock were initially investigated in widespread sample surveys by thick and thin blood smears from cattle, goats and sheep (Connor, 1985). For cattle (East African Shorthorn Zebu), average trypanosome prevalence was 16% (range 2-60%) at sites where trypanosomes were detected. Of the identified trypanosomes, 69% were T. congolense, 21% T. vivax, 3% T. brucei and the remainder mixed infections. Relatively few goats and sheep were sampled; no parasites were found in any of 208 goats and only 4 of 172 sheep were parasitaemic. In subsequent surveys using the huffy coat/dark ground microscopy method, Fison (1987) found 1 of 76 goats (1.3%) infected and 2 of 62 sheep (3.2%). By IFAT methods, Fison also found 20 of 514 goats (3.9%) throughout the region with positive titres.

Helminthiasis

Gastro-intestinal nematode worm infestations were thought to be a major disease problem in the area. Preliminary disease surveys by faecal sampling showed widespread distribution of Haemonchus contortus in small ruminants in Southern Tanzania (Connor, 1985 and Fison, 1987), with lesser prevalences of Oesophagostomum columbianum, Strongyloides sp. and Bunostomum sp. Environmental conditions of temperature, rainfall and humidity in Mtwara region are suitable for rapid development of infective stage-three larvae (L3) in the rainy seasons, though not in the long dry seasons.

Seasonal changes in faecal egg counts in yearling goats untreated with anthelmintic were closely associated with rainfall, rising from average outputs of less than 500 e/g in the dry season, July to November, to over 1500 e/g in the rainy season, December to April. Peak monthly average outputs occurred in February to April at 3000-4500 e/g, with individual outputs of up to 14, 050 e/g (Connor, 1985). Larval culture demonstrated the preponderance of H. contortus and O. columbianum in these samples. Fison (1987) found a similar pattern in young goats from birth to 1 year of age, seasonal exposure resulting in high egg counts (>1000 e/g) in the rainy season, regardless of age. Fison also demonstrated the seasonal availability of L3 larvae on pasture; in the dry season, May to November, monthly average numbers of larvae/kg of pasture forage dry matter ranged from 067, while in the rainy season the monthly averages ranged from 137 to 415 larvae/kg DM.

Tick borne disease

Tick borne diseases were not regarded as important for goats in the area. Anaplasma was the most prevalent infection but caused little clinical disease (Connor, 1985). Tick burdens were generally low; Boophilus microplus and Rhipicephalus evertsi were the most widespread species. Few farmers practiced tick control for goats.

Goat management systems

Flock sizes and structures

Goats are of the East African short-eared type described by Mason and Maule (1960), kept in small-scale mixed farming systems, usually in single species flocks of up to 50 head. In Mtwara District about 5% and in Newala 20 to 25% of the households keep goats.

Management systems

Goats are kept mainly for meat production and for financial security as a form of saving to provide for periodic cash needs. They are not generally milked. Goats are either herded or tethered during the crop-growing seasons, to avoid crop damage, depending on flock sizes and the availability of labour. Tethering tends to be close to the homestead or farmland.

Feed resources consist mainly of bush and fallow grazing and browsing, though both sheep and goats are largely dependent on grass and herb forage in the rainy seasons, especially in Newala District. Crop residues are freely available in fields following the main sorghum and maize harvests in June/July. Water supplies are restricted in some areas, especially during the dry seasons.

Goats are housed overnight in purpose-built goat houses close to the household, mainly for security purposes. Houses are of pole construction, completely enclosed and roofed, often with a raised slatted floor. Housing is frequently overcrowded, however; ventilation is usually poor and the slatted floors become blocked and soiled, roofs are frequently not waterproof.

Veterinary inputs are extremely limited, by availability, cost and knowledge. Most farmers use none; a few use anthelmintics for therapy of individual animals and occasionally acaricides, mainly to control fleas. Husbandry of goats is rudimentary, little attention is paid to critical periods such as kidding, early suckling or post-weaning. There is no control of breeding. Weaning occurs naturally over the period of 3-5 months of age; sales and slaughter of some young male goats also start from these ages.

Trial design, treatment regimes and recording methods

Flock selection

Recording was carried out in 5 to 8 flocks in each of 5 villages in Mtwara District and 7 villages in Newala District, with 29 and 35 flocks, respectively, for a total of 64 flocks. These flocks, initially selected, included 4 to 33 (average 10.6) goats in Mtwara District and 4 to 51 (average 13.6) in Newala District, with a total of 306 and 477 (overall 783) goats, respectively. Villages were selected to be representative of environments and farming systems of the area and to cover areas suspected to have different degrees of tsetse infestation. Flocks were selected by discussion with village elders and flock owners, to establish long-term co-operation. In most villages a high proportion of available flocks was required to achieve the minimum of 5 flocks per village necessary to ease the logistics of access to flocks.

Disease control treatments

Anthelmintic treatments were to be applied at two month intervals through the rains, in December, February, April and June, with a further treatment in the early dry season in July to ensure only low worm burdens throughout the dry season. Broad spectrum anthelmintic drenches were used at recommended dose rates, mainly tetramisole/levamisole (Nilverm, ICI, UK) and thiophanate (Nemafax, 20%, May and Baker, UK). Treatments commenced in December 1981 and continued to the end of 1984.

Trypanosomiasis prophylaxis was by Isometamidium chloride (Samorin, May and Baker, UK) at planned intervals of three months in March, June, September and December at 0.5 mg/kg liveweight in a 1% w/v solution by deep intramuscular injection in the hind leg. Prophylaxis commenced in March 1982 and continued to the end of 1984.

Treatments were applied to all animals over 2-3 months of age in the flocks selected at random within each village. In Mtwara District both anthelmintic treatment and trypanosomiasis prophylaxis regimes were applied in a 2 x 2 (treated and untreated) factorial design. In Newala District only anthelmintic treatments were applied. Classification of tsetse challenge in Mtwara District into low or medium challenge resulted in two villages (10 flocks) under low and three villages (19 flocks) under medium challenge.

The application of flock treatments did not always, however, match the intended regimes. The main reason for this was the difficulty of obtaining fuel supplies to maintain monthly recording and treatment visit schedules. In addition, occasionally, some animals were not present in the flocks on the days of visits and therefore did not receive planned treatments. Finally, in 1984 some flocks were erroneously reassigned to different treatment schedules. This affected six flocks, spread throughout all villages in Mtwara District and eight flocks in Newala District. Records of all these events were maintained in a monthly treatment visit diary for all flocks.

Summarization of treatment regimes for data analysis

These problems of application of treatments resulted in some individual animals not receiving planned treatments. A treatment code was therefore derived for all individual animals based on actual treatments received within the specific periods for which productivity data were analysed. For breeding females, the code was based on the numbers of treatments received within pre- and post-partum periods of three months for anthelmintic treatments and monthly periods for trypanosomiasis prophylaxis. Dams with complete prophylaxis would have had two treatments in each period. In the case of anthelmintic administration, the application of treatments was seasonal. Dams giving birth early in the rains could potentially receive zero treatments pre-partum and two treatments post-partum, while dams kidding at the end of July might have two treatments pre-partum but none post-partum.

For young growing goats, treatments were summarized as the number of treatments received before 120, 150 and 180 days of age, the ages to which liveweights were also corrected. Offspring were also classified by the treatment received by their dam during gestation and suckling. In the analyses reported below, for offspring traits up to and including 120 days of age, treatment actually refers to treatments received by the dam. For offspring of 150 to 270 days of age, treatments refer to those received by the offspring.

Flock and animal recording procedures

Recording of all animals in each flock was carried out monthly using a portable pen, crush and weigh scale. At the initial flock visits all animals were identified by ear-tags, aged by dentition, sexed and weighed. A flock list was prepared for each flock from this data. At subsequent visits all animals were identified and weighed. Young goats up to about 15 kg live-weight were weighed suspended from a spring balance (25 kg x 0.1 kg, Salter, UK); larger goats were weighed in the crush weigh scale (180 kg x 0.5 kg, Poldenvale, UK). Records were taken of births and other additions to the flock; these animals were ear-tagged, aged and sexed and added to the flock list. Missing animals were identified and information recorded on deaths, sales, slaughter or other disposal. A monthly flock inventory change was balanced before the flock was released. Disease control treatments were applied at weighing as required.

Flock recording commenced in March to June 1981 and continued to the end of 1984.

Data analysis

Monthly data were extracted from flock records for each breeding female and her offspring for each parturition. These data were summarized for the period over which treatments were applied, 1982 to 1984, to provide information on the following traits:

1. Breeding female liveweights from 70, 35 and 0 days pre-partum and 0, 35, 70, 105 and 140 days post-partum and weight changes from 70 to 0 days pre-partum and 0 to 70 days post-partum.

2. Litter size, the proportion of offspring born surviving to 3, 14, 28, 56 and 84 days and subsequent parturition interval.

3. Offspring weights at birth, 28, 56, 84, 120, 150, 180 and 270 days and growth rates from birth to 84 days and 84 to 180 days.

4. Overall breeding female productivity measured as:

i. Total weight of offspring reared to 84 days per breeding female per parturition.

ii. Total weight of offspring reared to 84 days per breeding female per year, (Productivity Index (PI) 1 (calculated as (i) above x 365 - parturition interval)

iii. Total weight of offspring reared to 84 days per year per kg of breeding female liveweight, (Productivity Index 2) (calculated as PI1 - average liveweight of breeding female from 0 to 70 days post-partum).

iv. Total weight of offspring reared to 84 days per year per kg of metabolic body weight (liveweight 3) of breeding female, (Productivity Index 3) (calculated as PI1 average metabolic weight of breeding female from 0 to 70 days post-partum).

For these summaries, weights at specific ages have been calculated by interpolation between two weight records within plus or minus 30 days if available, or by selection of a single weight record within 10 days of the required age. Weights at parturition (0 days pre- and post-partum) and at birth were calculated by regression, using the average regression of weight on age for animals weighed within 30 days of the required age to correct the recorded weight. For parturition intervals, data were included in the analyses for parturitions up to the end of 1983 only, to allow 365 days for the expression of the next parturition, in order to reduce any bias in selection of dams with short intervals.

Data have been analysed by SPSS (Statistical Package for Social Sciences) and by Harvey's least-squares analysis of variance (Harvey, 1977), fixed-effects model. Analysis of variance models were constructed to include environmental effects of tsetse challenge (low and medium), location (village) nested within tsetse challenge, year (of parturition or birth, 19821984), season (in six two-month periods January/February to November/December), grazing systems (tethered or herded), feeding systems (none or some supplementary feeding given), flock size and the effects of anthelmintic treatments and trypanosomiasis prophylaxis (treated or non-treated).

Data were analysed separately for Mtwara and Newala Districts. The lack of tsetse infestation or trypanosomiasis prophylaxis in Newala District and the virtual uniformity of grazing (herded) and feeding systems (no supplementary feeding) required the adoption of a different model for Newala District.

Models for analysis of breeding female liveweight, reproductive performance and productivity index traits also included the effects of age and litter size or rearing success as appropriate. Models for analyses of offspring weights and growth rates included the effects of age of dam, birth and rearing type and sex. Models analysing growth rate or weight change traits included the effects of initial liveweights as linear covariates.

Interactions were investigated in the models as far as the availability of data allowed. Final models included 2-way interactions of treatments with season, grazing and feeding systems and with tsetse challenge, where appropriate. There were insufficient data to examine season interactions in detail in Mtwara District, except by combining seasons or conducting analyses within seasons. Season x treatment interaction effects were not important for trypanosomiasis prophylaxis but were for anthelmintic treatments. The trends of the latter effect were similar in both districts and are presented only for Newala District.

Results

Records were available from a maximum of 411 parturitions of breeding females in Mtwara District and 759 in Newala District in 1982 to 1984 and for 540 and 990 offspring, respectively. Representation of flocks among treatments was adequate to reduce any confounding of these effects, with 19 and 14 flocks, respectively, providing some observations with and without trypanosomiasis prophylaxis and 20 and 20 flocks with and without anthelmintic treatment in Mtwara District and 26 and 31 flocks with and without anthelmintic in Newala District.

The results described in this paper refer mainly to the effects of anthelmintic treatment and trypanosomiasis prophylaxis. Environmental effects of year, village (location), grazing and feeding systems and flock size were accounted for by the model and are described elsewhere (Hendy, 1988). The effects of internal environmental factors such as age of dam (or age of breeding female), birth and rearing type and sex were also accounted for in the model. These effects were generally of expected directions and magnitude.

Environmental effects of season and tsetse challenge were also analysed; since these effects interacted with treatment effects they are described below.

Figure 1. Effects of season on pre- and post-partum liveweights and weight changes of breeding female goats in Newala District

Effect of season

Seasonal effects were large and significant for all liveweight and growth rate traits and for most reproductive performance and offspring survival traits. Measures of overall productivity were consistently significantly related to season of parturition in both districts. Seasonal effects on liveweights were largely similar between districts. Figure 1 illustrates the pattern of liveweights and weight changes for adult breeding goats in Newala District from 70 days pre- to 140 days post-partum, depending on season of parturition. Figure 2 shows the mean liveweights of offspring in Newala District from birth to 270 days for different seasons of birth. At comparable physiological states, breeding females showed low liveweights over the period March to June (mid to late rains) and peak liveweights from September to December (mid to late dry season). Both the level of liveweight and the patterns of pre- and post-partum weight change were affected by seasons. Thus, pre-partum weight gains were greatest over the period June to December and least from November to May, while postpartum weight losses were greater and more prolonged in the rainy season. A similar trend of effects was evident for offspring weights, with weights and growth rates at all ages being depressed during the rainy season and enhanced in the dry seasons.

These effects were associated with significantly lower offspring survival in the rainy season months, lower total 84-day offspring weights reared by dams, longer subsequent parturition intervals and lower overall productivity. Mortalities were lowest, total 84-day weights and productivity highest and subsequent parturition intervals shortest following parturitions in July to October.

Responses to anthelmintic treatment

Breeding female liveweight and offspring growth

The effects of anthelmintic treatment varied between seasons, as shown by significant interactions between treatment regime and season for most liveweight and growth traits. Responses to treatment were generally positive in the rainy season months and zero or negative in the dry season. Main effects of anthelmintic treatment (over all seasons) thus appeared only small (<+10%) and were only occasionally significant. Interaction effects could only be analysed in detail for Newala District, though similar trends were noted in combined seasons in Mtwara.

For breeding females in Newala District significant interactions were noted for post-partum weights and weight changes. Dams treated during rainy season months showed increased postpartum liveweights and greater weight gains (or lower losses) than untreated dams. For offspring growth, significant interactions were found for weights at birth to 120 days of age. Thus treatment caused 11 to 30% increases in birth weights in different seasons over the period January to April, but zero or negative responses in following seasons. For weights at 56, 84 and 120 days of age, offspring born in November to April showed positive responses to treatment. The interaction was also significant for growth rate from birth to 84 days of age; untreated and treated offspring born in November/December showing growth rates of 60.0 (s.d. 4.8) g/day compared to 74.8 (s.d. 5.1) g/day respectively and those born in January/February 52.9 (s.d. 4.4) compared to 63.3 (s.d. 3.5) g/day.

Figure 2. Weights at birth to 270 days of age for kids born in different seasons in Newala District, 1982-1984

Reproductive performance, offspring survival and productivity

Table 1 summarizes the effects of anthelmintic treatment on reproductive performance, offspring survival and productivity of breeding female goats in Newala District.

A consistent pattern of effects was seen in both Mtwara and Newala Districts; these effects were not significant in Mtwara District but approached significance in Newala District. Litter size was increased by treatment, parturition intervals decreased and overall productivity increased by about 10% in Newala District. Increases in survival to 84 days and in total 84-day weight of offspring were small and not significant.

Table 1. Least-squares means for the effects of anthelmintic treatment on reproductive performance and productivity of breeding female goats in Newala District, 1982 - 1984.


Productivity traits

Without anthelmintic

With anthelmintic

Response to treatment %

Signif. to response

No.

mean

s.e.

No.

mean

s.e.

Litter size

317

1.32

0.04

424

1.43

0.03

+8.3

**

Parturition interval. days

182

257

10

137

240

8.9

-6.5

P = 0.09

Ave. dam wt post-partum, kg

173

31.9

0.4

270

31.8

0.4

0

NS

Total 84-day wt of offspring, kg

173

10.2

0.5

270

10.7

0.4

+4.7

NS

Productivity indexes:


1. kg/yr

173

14.8

0.8

270

16.5

0.7

+11.2

P = 0.06


2. gm/kg/yr

173

472

24

270

518

20

+96

P = 0.09


3. gm/kg0.73/yr

173

2219

114

270

2445

95

+102

P = 0.07

Proportion of offspring surviving to:


3 days

179

0.96

0.02

271

0.96

0.01

0

NS


14 days

179

0.95

0.02

271

0.95

0.01

0

NS


28 days

179

0.93

0.02

271

0.95

0.02

+2.1

NS


56 days

179

0.89

0.03

271

0.93

0.02

+4.5

NS


84 days

179

0.88

0.03

271

0.93

0.02

+3.4

NS

*, ** responses to anthelmintic treatment significant at P < 0.05 and P < 0.01 respectively
NS = not significant

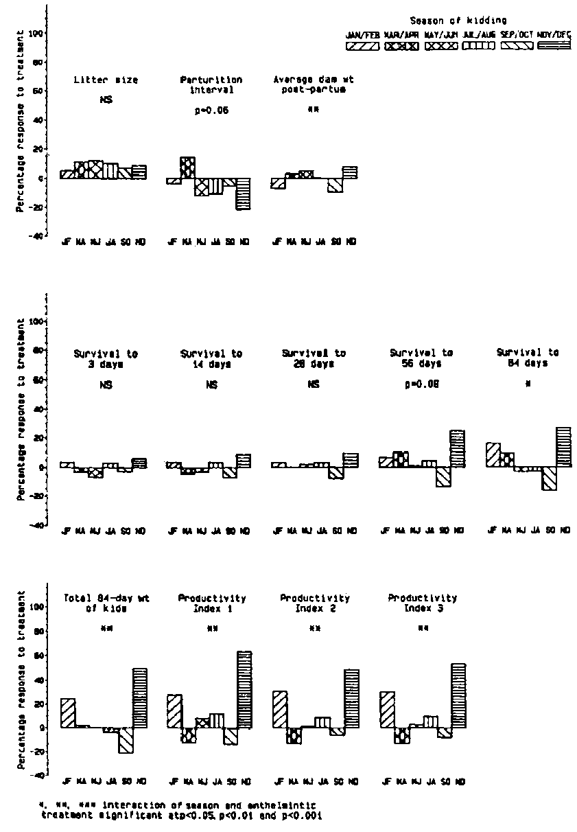
Significant interactions of season and treatment were again found, however, for overall productivity and many component traits, as illustrated for Newala District in Figure 3. No interaction effect was evident for litter size; positive responses to treatment occurred in all seasons. Parturition intervals were reduced by treatment in most seasons, except following parturitions in March/April; intervals were most reduced by treatment following parturition in November to December. For offspring survival, the interaction effect appeared to develop over the period from 3 to 84 days of age. For animals born in the period November to April, treatment increased survival to 84 days of age by 9.5 to 26.7%. Similar interaction effects were evident for total 84-day weight of offspring and overall productivity, which was increased by 28 to 64% by treatment for dams with parturitions in the period November to February (early rains).

Figure 3. The effects, in different seasons, of anthelmintic treatment on reproductive performance, survival of offspring and productivity of breeding female goats in Newala District

The effects of different levels of tsetse challenge

Breeding female liveweights and offspring growth

Figures 4 and 5 illustrate the effects of tsetse challenge level on breeding female liveweights and offspring growth. A consistent and usually significant depression of adult female liveweights was observed under the higher tsetse challenge. Pre- and post-partum rates of weight change were similar, however. For offspring, no effects of tsetse challenge were evident in pre-weaning weights or growth rates. From 150 to 270 days of age there were some indications of lower liveweights and growth rates under higher challenge, amounting to a 5 to 8% depression of liveweight, similar to that shown by adult goats.

Figure 4. Effects of tsetse challenge on liveweights of breeding female goats in Mtwara District

Figure 5. Effect of tsetse challenge on the weights of young goats from birth to 270 days, Mtwara District, 1982-84

Reproductive performance, offspring survival and productivity

The effects of tsetse challenge on reproductive performance, offspring survival and productivity are shown in Table 2.

Table 2. Least squares means for the effects of tsetse challenge on the reproductive performance and productivity of breeding female goats in Mtwara District. 1982 -1984.

NS = effects of tsetse challenge not significant.

Generally, only small, non-significant effects were evident, though the trends were in the direction of lower overall productivity under higher challenge, principally due to longer parturition intervals and poorer offspring survival.

Responses to trypanosomiasis prophylaxis

Breeding female liveweights and offspring growth

Table 3. The effects of trypanosomiasis prophylaxis on pre- and post-partum weight changes of breeding female goats in Mtwara District.



Period

Weight changes (g/day)

Significance of difference

Without prophylaxis

With prophylaxis

No.

mean

s.e

No.

Mean

s.e.

70 days pre-partum to parturition

70

57.8

8.7

142

50.6

5.6

NS

Parturition to 70 days post-partum

75

12.2

6.3

149

-1.6

3.8

*

Effect of prophylaxis significant at P<0.05.
NS = Not significant.

Trypanosomiasis prophylaxis resulted in consistently and usually significantly lower liveweights of breeding females throughout the reproductive cycle (Figure 6). A contributory factor to this effect was the apparently more prolonged and greater weight depression post-partum for females under prophylaxis. Weight changes 70 to 0 days pre-partum (corrected for differences in initial weights) were not affected by prophylaxis while weight changes from parturition to 70 days post-partum showed significantly greater weight losses for breeding females under prophylaxis (Table 3).

Figure 6. Effects of trypanosomiasis prophylaxis on liveweights of breeding female goats in Mtwara District

Offspring weights were significantly greater from birth to 84 days of age for offspring of treated dams (Figure 7). The effect of prophylaxis amounted to 20% greater birth weights, 1.75 (s.d. 0.20) kg compared to 2.13 (s.d. 0.14) kg for untreated and treated dams, respectively, and 10% greater 84 day weights, 7.40 (s.d. 0.35) kg compared to 8.16 (s.d. 0.22) kg, respectively. Similar weight advantages for treated offspring appeared to persist from 120 to 270 days of age, though these were not significant. Growth rates from birth to 84 days were not, however, significantly affected by prophylaxis, 61.9 (s.d. 4.6) g/day compared to 62.8 (s.d. 3.0) g/day for offspring of untreated and treated dams, respectively.

Figure 7. Effect of trypanosomiasis prophylaxis on the weights of young goats from birth to 270 days, Mtwara District, 1982-84

Reproductive performance, offspring survival and productivity

The effects of trypanosomiasis prophylaxis on reproductive performance, offspring survival and productivity are summarized in Table 4.

Table 4 Least-squares means for the effects of trypanosomiasis prophylaxis on reproductive performance and productivity of breeding female goats in Mtwara District, 1982 - 84.

* Effect of prophylaxis significant at p < 0.05 NS not significant

Most component traits of productivity were significantly affected by prophylaxis. Litter size was reduced, but offspring survival (at least to 14 days of age) and total 84-day weight of offspring were increased. Mean parturition intervals were 24 days shorter with prophylaxis, though this difference was not significant. Overall productivity increased under prophylaxis by between 23 to 27%.

Responses to trypanosomiasis prophylaxis under different levels of tsetse challenge

There were consistent trends for the effects of trypanosomiasis prophylaxis to be greater under higher tsetse challenge. Table 5 shows the mean reproductive performance, offspring survival and overall productivity for breeding females maintained under low or medium tsetse challenge, without or with prophylaxis.

For overall productivity, the interaction of tsetse challenge and prophylaxis was significant, due to the low productivity of dams under the higher tsetse challenge without prophylaxis. The traits contributing most to this effect appeared to be low total 84-day weights of offspring, poor offspring survival and longer parturition intervals. Other effects were consistent with the main effects of prophylaxis; thus average litter sizes and dam liveweights post-partum were depressed by prophylaxis. Prophylaxis under medium tsetse challenge nevertheless restored overall productivity to at least the levels in areas with low tsetse challenge.

Table 5. Least squares means for the effects of trypanosomiasis prophylaxis under different levels of tsetse challenge on reproductive performance and productivity of breeding female goats In Mtwara District.

*F ratio for interaction effect significant at P < 0.05
NS not significant

The effects of prophylaxis were small in the low tsetse-challenge situation. Under medium challenge, increases in overall productivity amounted to 62 to 77% with relatively large effects also on parturition interval (-20%), total 84-day offspring weights (+33%) and offspring survival (+10 to +16%).

Interaction of anthelmintic treatment and trypanosomiasis prophylaxis

Table 6 presents mean reproductive performance, offspring survival and productivity indexes for breeding females with and without both anthelmintic treatments and trypanosomiasis prophylaxis. There were no significant interaction effects; the effects of treatments thus appeared to be additive and independent. Overall productivity was lowest for animals receiving neither treatment and highest for animals receiving both treatments. The effects of receiving the combination of treatments varied between component traits in the same way as for main effects. Thus, for litter size, which was increased by anthelmintic treatment but depressed by trypanosomiasis prophylaxis, highest performance was seen with anthelmintic but without prophylaxis and lowest performance without anthelmintic but with prophylaxis. Average post-partum liveweights were unaffected by anthelmintic and depressed by prophylaxis. For traits such as parturition interval and total 84-day offspring weight, which responded favourably to both treatments, the additive effects were most marked, with lowest performances under no treatment and highest performances with both treatments.

Table 6. Effect of trypanosomiasis prophylaxis and anthelmintic treatment combined on reproductive performance and productivity of breeding female goats in Mtwara District.

NS Interaction effect of anthelmintic treatment x trypanosomiasis prophylaxis, not significant at P < 0.05.

For offspring weights, there were no indications of any treatment interactions in pre-weaning traits (28 to 120 days of age). Some interaction was, however, evident at 150 days (P<0.05), 180 days (P=0.07) and 270 days (P=0.1) (Table 7). In this period, responses to either treatment alone were similar but there was no extra response from receiving both treatments. Animals without either treatment continued to show the lowest liveweights.

Table 7. Least squares mean, for the effects of the interaction of anthelmintic treatment and trypanosomiasis prophylaxis, on offspring weight, (kg).

**F ratio for interaction of anthelmintic treatment x trypanosomiasis prophylaxis, significant at P < 0.05.

Discussion and conclusion

Anthelmintic treatments

The effects of anthelmintic treatments were generally favourable though smaller than might be expected in view of the suspected disease challenge. In part this was due to the interaction of treatment with season, which showed that there were large responses to treatment for pre-weaning weights, offspring survival and thereby for overall productivity for dams kidding in the early rainy season, November to April, but zero or negative responses at other times of the year.

The traits which contributed most to increases in overall productivity were offspring liveweight and survival traits. Effects on offspring weights were evident from birth to 84 days in response to treatment of dams. Growth rates from birth to 84 days were also higher for offspring of treated dams. These effects may have been due to improved birth weights and subsequent milk yields of treated dams. It may be noted that dam weights and weight changes also responded positively to treatment in the rainy seasons (unlike the responses to trypanosomiasis prophylaxis).

Offspring survival appeared only to be affected by treatment from 84 days of age. By this time offspring too were being treated and it is likely that effects on survival were largely due to treatment of the individual rather than of the dam.

A surprising result was the apparent lack of treatment effect on the weights of weaned offspring 150 to 270 days of age. This may be due to selection within the flocks, sales and slaughter progressively removing the heavier kids and mortality removing the lighter kids. Preliminary analyses have shown continuing significant effects of treatment reducing mortality over the age of 84 to 180 or 270 days. While effects of treatment on growth of weaned goats may be demonstrated easily in controlled trials, in the field situation the effects on survival may be more important and may mask liveweight effects.

Also unexpected was the positive response of litter size to treatment (+0.1 kids born/parturition in both districts, P>0.01 in Newala District), especially in view of the apparently small effects of treatment on breeding female liveweights or postpartum weight changes (noted only in the rainy seasons). A small reduction in parturition intervals was also observed. The reasons for these effects are not clear; but they appear to be partly independent of effects on liveweight or condition.

Effects of tsetse challenge and trypanosomiasis prophylaxis

Tsetse challenge and trypanosome prevalence

There were large (+23 to +27%) and significant effects of trypanosomiasis prophylaxis on overall productivity. Under the higher of the two challenge levels, responses of +62 to +77% were observed. These results indicate that even under apparently low tsetse fly densities (<1 fly/trap/day) and with apparently low trypanosome prevalences in goats (1 to 4%), worthwhile responses to routine prophylaxis may be obtained (as also suggested by Griffin and Allonby, 1979).

The results also, however, raise questions about the accuracy of definition of tsetse challenge and trypanosome prevalence. The methods of estimation of tsetse challenge or disease prevalence were not precise in these studies and did not conform fully to the ILCA/ILRAD Trypanotolerance Network methods. Fly densities were low to moderate in comparison to Network sites, but placement of traps for only 24 hours might be expected to over-estimate average fly densities compared to Network sites where traps were placed for 4-5 days. A more serious limitation may be the lack of fly infection rate data. Differences in infection rates between Network sites may considerably modify the estimates of challenge (ILCA, 1986). It is nevertheless of interest to note in these results that measured differences in fly densities resulting in classifications of low and medium challenge (corresponding to <0.1 and >0.3 to 1.0 flies/trap/day, respectively) were associated with some differences in goat productivity and with significant differences in responses to prophylaxis.

A second problem is in the diagnosis of disease and the estimation of trypanosome prevalence. This may be a particular problem in goats and sheep, especially if some degree of trypanotolerance exists. Detection of trypanosomes in the blood may then be difficult. In natural and experimental infections of goats with local T. congolense in Mtwara, Connor (1985) and Fison (1987) showed that while trypanosomes were detectable in all infected goats under regimes of daily sampling, parasitaemias were transient and of low intensity. Under spot survey, or monthly sampling, many would be missed. It may therefore be necessary to use serological methods in conjunction with more frequent sampling for dark/ground buffy coat microscopy to determine infection rates.

If trypanosome prevalence is genuinely low, however, the apparent responses to prophylaxis require some explanation. It may be that with a low prevalence of short-duration infections the incidence of disease is still quite high, so that a high proportion of animals may be infected over time and individuals may experience several infections in a year. Preliminary indications from IFAT analyses of sera do not seem to support such a hypothesis, unless positive titres are detectable for only short periods after the removal of parasites. Further study of sera of goats and sheep should be conducted.

Biological responses to prophylaxis

The combination of observations on the effects of tsetse challenge, responses to prophylaxis and their interactions allows some interpretation of the biological effects of trypanosomiasis and responses to its control.

The largest apparent effects of higher tsetse challenge were in reduced offspring survival and longer parturition intervals. These appeared to be the principal factors contributing to almost statistically significant reductions in overall productivity. Also evident was a small (-6% to -8%) depression of adult liveweights, consistent with an apparent trend developing in post-weaning weights of growing goats.

Responses to prophylaxis under the higher challenge level were also most notable in reduced parturition intervals and increased offspring survival (particularly through reduced stillbirth and perinatal mortality), but also in increased offspring weights from birth to 84 days and in total 84-day weights (combining traits of litter size, survival and average 84-day weight).

Trypanosomiasis prophylaxis also resulted in significantly lower breeding female liveweights, mainly associated with greater and more prolonged post-partum weight loss. This may have been a direct effect of treatment with Samorin or an indirect effect through influences on reproductive performance; offspring weights and survival could have led to increased demand for milk and hence to greater dam weight loss post-partum. Shorter parturition intervals might also have contributed to reduced dam weights through shorter post-partum liveweight recovery periods.

In view of the apparent depression of adult liveweights under increasing tsetse challenge, it might have been expected that prophylaxis would have restored liveweights over time. Some indication that this was gradually occurring was obtained from examination of the interactions of year and prophylaxis treatment. This interaction was significant for breeding female liveweight traits and showed that the greatest depression of weight associated with prophylaxis occurred in the early years of the trial. By 1984 no, or only small, differences in liveweights of treated and untreated animals were evident and there was a trend for liveweights of adult females under prophylaxis to rise over the years. There may, therefore, be different short- and long-term effects of prophylaxis on breeding female liveweights.

The effects of prophylaxis on reproductive performance were to depress litter sizes and shorten parturition intervals. The effect on litter size may have occurred through effects on dam liveweights, though the response was larger than might be expected from this cause alone (-0.13 kids/kidding compared to an average liveweight difference at conception of about -1.5 to 1.8 kg). The effect on parturition intervals might have been due to effects on either fertility and/or a reduction in the occurrence of abortion. There were few reports of early or midterm abortion recorded in the study; it was not a commonly recognized problem in the area and close recording would be required to confirm this. Further analysis of the occurrence of unexplained, particularly long parturition intervals may provide more indications of the relative importance of these mechanisms. It is of interest that parturition intervals appeared to be reduced by prophylaxis despite lower postpartum liveweights and perhaps higher milk yields of dams (though most conceptions would in fact still have occurred after weaning).

Interaction of anthelmintic treatment and trypanosomiasis prophylaxis

There were no indications of interactions between the two treatments for breeding female productivity or component traits. There was thus no suggestion that responses to individual treatments were affected by receipt of the other. Nor was there any indication that responses to one treatment were affected by the presence or absence of the other disease. Thus, responses to trypanosomiasis prophylaxis were the same whether or not helminth infections were suppressed and vice-versa. In the absence of information on infection rates of the two diseases, the results do not allow conclusions on the possible effects of trypanosomiasis on immunosuppression in relation to helminth infections (as noted in infection rates by Griffin et al., 1986 and Griffin et al., 1981), but suggest that it may not be important for overall productivity in the field situation.

In contrast among weaned, growing immature animals, there was some indication that animals presumed to be carrying one infection (whether trypanosomiasis or helminthiasis) showed larger responses to treatment for the other infection than if the first infection was controlled. This implies that infections with the second disease were more prevalent, or had more effect, if animals also carried the first infection, consistent with the assumption of immunosuppression due to the first infection. Removal or reduction of one infection thus apparently increased the resistance to, or tolerance of, the second, in this age group of goats.

References

Bennett, J.G., L.C. Brown, A.M.W. Geddes, C.R.C. Hendy, A.M. Lavelle, L.G. Sewell and R. Rose Innes. 1979. Mtwara/Lindi Regional Integrated Development Programme. Report of the Zonal Survey Team in Phase 2. Volume 1: The Physical Environment, Volume 2: The farming system and development prospects. LRDC Project Report 67, ODA, UK.

Connor, R. J. 1985. Report on work conducted by the Veterinary Investigation Centre, Mtwara, Southern Tanzania, ODA, UK.

Finnwater Consulting Engineers. 1977. Mtwara-Lindi Water Master Plan. Helsinki, Finland.

Fison, T. W. 1987. Report of investigations carried out by the Veterinary Investigation Centre, Naliendele, Near Mtwara, Southern Tanzania, 1984-1986. ODA, UK.

Griffin, L. and E.W. Allonby. 1979. The economic effects of trypanosomiasis in sheep and goats at a range research station in Kenya. Trop. Anim. Health and Prod. 11: 127-132.

Griffin, L. E.W. Allonby and J.M. Preston. 1981. The interaction of Trypanosoma congolense and Haemonchus contortus infections in two breeds of goat. I. Parasitology. J. Comp. Pathol. 91: 85-95.

Griffin, L., S. Waghela and E.W. Allonby. 1980. The immuno suppressive effects of experimental T. congolense infections in goats. Vet. Parasit. 7: 11-18.

Harvey, W.R. 1977. User's Guide for Least-Squares and Maximum Likelihood Computer Program. Columbus: Ohio State University.

Hendy, C.R.C. 1980. Livestock production development in Mtwara Region 1981-1986: background. Mtwara/Lindi RIDEP Project, Mtwara, Tanzania. Mimeograph pp. 21. (LRDC, UK).

ILCA. 1986. The African Trypanotolerant Livestock Network. Indications from Results 1983-1985. ILCA, Addis Ababa.

MacLennan, K.J.R. 1980. Mtwara/Lindi Regional Integrated Development Programme, Tanzania. A review of Glossina distribution and trypanosomiasis. LRDC Report, TANZA-067/80, ODA, U.K.

Mason, I.L. and J.P. Maule. 1960. The indigenous livestock of Eastern and Southern Africa. Technical Communication, Commonwealth Bureau of Animal Breeding and Genetics, Edinburgh, No. 14.


Previous Page Top of Page Next Page