Previous Page Table of Contents Next Page


Technical Paper 5: Concepts and Methods for Economic Evaluation of Alley Farming

M. Avila


5.0 Performance objectives
5.1. Introduction
5.2 Key economic principles and concepts
5.3 Economic evaluation criteria
5.4 Application of economic concepts in economic evaluation of alley farming technology
5.5 Summary
5.6 Feedback exercises (Find out answers from the text).
5.7 Suggested reading
5.8 References


5.0 Performance objectives

Technical Paper 5 is intended to enable you to:

1. Explain key principles and concepts of economic analysis for allocating scarce resources to competing options.

2. Describe important economic evaluation criteria for technology evaluation.

3. Perform short-term profitability analysis of alternative technologies by applying relevant economic concepts and measurement criteria.

4. Describe principles involved in management feasibility analysis and risk analysis.

5. Define "total present value", "net present value", "benefit cost ratio" and "internal rate of return".

6. Describe the procedure to perform a long-term economic evaluation of alternative technologies by citing a practical example.

5.1. Introduction

The objective of any agroforestry research and development effort is to improve the efficiency and productivity of the use of basic resources in the production process, either at the level of the farm or for the entire agricultural sector. In order to determine the expected benefits, losses and other implications of a proposed change, it is necessary to evaluate the management and performance of both the existing production systems and the recommended improvements. The consideration of economic factors together with biophysical factors provides a logical framework for comparing traditional and alternative systems.

Research suggests that alley farming technology may be economically feasible and ecologically sound under appropriate conditions. However, there is a continuous need to monitor the economic viability of alley farming systems vis-à-vis other alternative systems under various biophysical and socioeconomic conditions. A basic framework for socio-economic assessment of alley farming was presented in Volume 1 (Unit 6). The paper explores the topic in more depth. It begins by reviewing key economic concepts and criteria, and then applies these concepts to the economic evaluation of alley farming in a hypothetical maize-bean system.

5.2 Key economic principles and concepts

Economics provides a rational basis for making decisions in allocating scare resources among various options to achieve competing goals. Every person is faced with such situations, where many decisions are possible. One applies economic principles to make rational choices. If resources were not limiting, there would be no need for economic consideration. Some important basic principles of economic analysis are outlined below (Osborn and Schneeberger, 1978).

Optimization criteria: To optimize net income from several possible production options, one considers the additional return (i.e., marginal value product) obtained from using one additional unit of an input. If option X gives a higher return than other options (e.g., return to land), then additional units of land should be allocated to option X.

Comparative advantage: Specific production enterprises or combinations have different requirements and should be located in those areas or parts of the farm which are best suited to them. For example, vegetable and dairy production area should usually be located closer to the homestead because they require more attention and management by the household. Tree plots and perennial crops are usually the most distant from the homestead, established on sloping areas, etc. Cut-and-carry fodder plots should as close as possible to the livestock pen to minimize transport costs.

Diminishing returns: Increasing use of a resource will yield increasing returns up to certain level beyond which the marginal returns begin to decrease. How much resource one should use depends on the marginal return and cost of the resource. One should not go above the level where the marginal benefit equals the marginal cost. One loses net income with each additional unit of resource beyond that point.

Substitution of resources: A given technology is simply a particular combination of resources applied in the production process. An appropriate technology in developed agricultural systems is one that uses labor efficiently, as labor is a scarce and expensive resource. Ratios of land/labor and capital/labor are high, technology should hence offer a high income/unit of labor ratio. If land is abundant and cheap relative to capital, i.e., a low capital/land ratio, then a rational farmer would use land abundantly and capital sparingly, thereby seeking high returns to the scarce resource.

Cost analysis: For a given production period, for example one year, some costs of production will vary with the level of production. These are variable costs. Other costs of production will be incurred by the farmer, irrespective of the level of production. These are the fixed costs. In the short run, the farmer has to manage the variable costs efficiently. In the long run, say five years, the fixed costs may drop out completely.

Opportunity cost: Any resource has a real value to a farmer equivalent to the return he or she could obtain in the best alternative use of that resource. If a farmer has three options to use capital, the highest return of the three is the opportunity cost of that resource irrespective of where the capital is allocated. Products also have an opportunity cost, which is equal to the price the farmer would have to pay to obtain them.

Although the manager of a farming system may understand and want to apply these economic principles, he or she may find it difficult to apply them in a real life situation. There may be various reasons for the difficulty of applying the above principles:

· First, the farming system and its environment are dynamic, hence what is optional today may not be tomorrow. The main factors determining profits may change often and it may not be possible to make adjustments immediately.

· Secondly, the manager may face emergency situations (e.g., when members of the household or village pass away) when these principles do not apply.

· Thirdly, a lack of incentive or great instability in market conditions may work against implementation of seemingly rational changes.

· Fourthly, the manager may not have adequate information on critical indicators for appropriate decision making.

A combination of these management constraints contributes to decreasing economic efficiency in agricultural production. Normally farmers make decisions on a continuous basis, using well established rules of thumb in relation to the behavior of key variables and indicators, some of them economic in nature.

5.3 Economic evaluation criteria

Economic evaluation of the technology can be carried out using various criteria: money, energy, labor value, etc. The only requirement is that the criteria be quantifiable and possess a common denominator such that any input or output can be measured on the same basis. Non-quantifiable criteria can also be included to weigh different options, for example to maximize net income subject to minimum soil degradation. Specifically, for evaluation at the farmer's level, outputs and inputs of a production system are valued as follows (adapted from Perrin et al. 1976):

Net yield: This is the measured physical yield/ha in the field for each output, minus harvest and storage losses when they apply.

Field price of output: This is the market price of the output minus costs for storage, transportation, and marketing, and quality discount. If no market exists, the field price can be estimated by determining the cost to the farmer of obtaining equivalent substitutes.

Field price of input: This is the total cost/unit of bringing an input into the field. It equals the purchase price plus other costs of transport, losses, etc. The field price of capital to purchase commercial inputs, for example, includes interest, service charges, and a risk premium of at least 20% per year above the direct costs.

Time Factor: Another key component of economic evaluation is the time factor. Depending on the type of production system, an appropriate time period has to be determined, (e.g. 6 or 18 months, or 10 years). During that period, particular activities, resources and other factors will change, and require monitoring and analysis. For analytical periods of less than I year, the valuation of inputs does not cause any problem. However, if the farmer must invest inputs in a production system today, and receive the outputs after 3 years, one cannot simply add or subtract their monetary values. The concept of discount factor must be applied. The reason is that if the farmer was to make that investment, let's say in the bank (which is the lowest return option), interest earned for the next 3 years would increase the value of this investment.

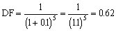
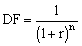
Discount factor: For long term evaluation of benefits and cost, the discount factor concept is necessary (Gittinger, 1972). It is defined as the present value, at the beginning of year I, of one dollar ($1) at the end of n years. An interest rate of r is used as the cost of capital. The discount factor (DF) is calculated as:

For example, if n = 5 and r = 10%, the value of discount factor will be:

Thus if interest rate is 10% and $100 will be received or expended at the end of 5 years, the present value of the capital is $62 and the value of the discount is 0.62.

The critical variable of the DF is the ''r". An r should be used which reflects the real opportunity cost of capital to the farmer. A high "r" (20-30% per year) means that the farmer puts a premium on short-term rewards whereas a low "r" (less than 10%) means that the farmer would rather defer short-term rewards for investment into the distant future.

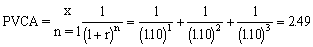
Present value of a constant annuity: The discount factor is used to calculate the present value of a constant annuity (PVCA). The PVCA is defined as the present value of $1, to be received annually during X years, at an interest rate of r as the cost of capital. It is calculated for a 3-year project at an r of 10%, as follows:

If the constant annuity is $500, its total present value is $1245 (= 500 x 2.49). Thus a constant stream of benefits or costs for any length of time in the future can be reduced to its present value by using the PVCA.

High inflation is a serious problem for long-term economic analysis. Accordingly, the effect of inflation on the timing of costs and benefits of the production system has to be considered in economic evaluation. If the streams of costs and benefits were proportionately distributed in time, there would be no need for concern as inflation would affect both streams similarly. However, since this is not the case, high inflation would tend to discourage farmers from making long-term investments because of the uncertainty associated with such market factors.

Using these basic principles and concepts, one can proceed to carry out and interpret economic evaluation of production systems such as alley farming.

5.4 Application of economic concepts in economic evaluation of alley farming technology


5.4.1 Profitability analysis
5.4.2 Calculation of Values of Economic Evaluation Criteria
5.4.3 Calculation of Values of Profitability Indicators
5.4.4 Management Feasibility
5.4.5 Risk Analysis
5.4.6 Long-Term Economic Evaluation


Economic evaluation of a technology involves comparing technology options that are available to the farmer. One of the options that constitutes the basis of comparison is the present practice of the farmer. The other options include improved alternative practices. For evaluating the economic and technical feasibility of alley farming technology, we shall compare the following three options from a hypothetical case study:

· Farmers' traditional maize-beans cropping system,
· Improved maize-beans cropping system, and
· Alley farming system with Leucaena hedgerows and intercropped maize-beans.

The data from the hypothetical case study is given in Tables 1 to 8. Data are based on available estimates from studies in the sub-humid zone (Avila, 1978). Economic feasibility is assessed by profitability analysis. Management feasibility, which is one aspect of technical feasibility, will be assessed briefly in terms of labor availability. Risk analysis will also be discussed briefly.

5.4.1 Profitability analysis

To illustrate the procedure for profitability analysis, we will use hypothetical data on labor, inputs, and outputs to determine the values of various economic criteria and profitability indicators.

As mentioned before, we shall be comparing three farm management options, namely, traditional maize-beans, improved maize-beans, and alley farming technologies. Tables 1, 2 and 3 present measurements of labor use and commercial inputs for the three options.

Table 1. Traditional maize beans cropping system: Monthly activities, use of labor and commercial inputs per hectare.

Month

Activity

Commercial Inputs

Labor Days (6 hrs/day)

Type

Units

Cost($)

March

Land preparation

10




April

Maize






planting

4

Seed

1 kg

2.00


fertilization

3

Various

6 kg

12.00


weeding

10




May

weeding

8




June

weeding

4




August

doubling

3




September

harvesting

8





shelling

10





Beans






land preparation

2





planting

2

Seed

50 kg

30.00

October

weeding

4




December

harvesting

6





threshing

7




Total


81 days



$ 44.00

Table 2. Improved maize beans cropping system: Monthly activities, use of labor and commercial inputs per hectare. Source: CATIE's Small Farmer Cropping Systems Project.

Month

Activity

Commercial Inputs

Labor Days (6 hrs/day)

Type

Units

Cost($)

March

Land prep.

12




April

Maize






planting

4

Seed

20 kg

5.00


soil insect treatment

2

Aldrin 2.5%

40 kg

15.00


fertilization I

3

15-30-8

204 kg

40.00




Me. sulph.

200 kg

41.00


herbicide appl.

2

Gramaxone

1.2 lt

7.30

May

insect control

2

Volaton 50%

3 lt

21.78


weeding

5





fertilization II

3

ammonium






Sulphate

143 kg

23.40


earthing up

8




June

weeding

3




August

doubling

4




September

harvesting

9





shelling

13





Beans






land preparation

3

Gramaxone

1.2 lt

7.30


planting

6

Seeds

65 kg

40.00




Caplan

16 kg

3.00


fertilization I

3

Ammonium-sulphate

143 kg

23.40


pesticide application

2

Sevin 80%

1 kg

7.00

October

leaf disease treatment

3

Dithane M45

1 kg

3.75


weeding

5




November

fertilization II

3

Ammonium-sulphate

143 kg

23.40

December

harvesting

7





threshing

7




Total

 

109 days



$261.33

Table 3. Alley farming system with Leucaena L: Monthly activities, use of labor and commercial inputs per hectare.

Month

Activity

Commercial Inputs

Labor Days (6 hrs/day)

Type

Units

Cost($)

March

Land preparation

6





1st pruning

18




April

Maize






- planting

4

Seed

15 kg

2.00


- weeding

6




May

- weeding

4




June

- 2nd pruning*

14




August

- doubling

3




September

- harvesting

9





- shelling

11





Beans






- land preparation

2





- 3rd pruning*

14





- planting

2

Seed

50 kg

30.00

October

- weeding

3




December

- harvesting

6





- threshing

7





- 4th pruning

14




Total

 

123 days



$32.00

* The fodder was harvested from September and December prunings, while fuelwood was harvested from all three prunings.

In all three technology options, the values for labor are derived when each system is fully established and operating at a normal expected level. Variation in these labor coefficients with respect to levels of inputs used and yield obtained is expected, due to differences in climate and site. Accordingly, averages and estimates are used to calculate these coefficients.

Tables 1, 2 and 3 list prices for inputs. The prices for outputs are as follows:

Maize:

$0.18 + 0.02/kg during last 2 years

Beans:

$0.42 + 0.05/kg during last 2 years

Tree fodder:

$0.06/kg DM

Fuelwood:

$0.05/kg

These are "field prices" as defined before. For labor, the going cost is $4 per 6-hour day. If there is seasonal variation during the year, the specification of monthly use permits calculation of total labor costs.

5.4.2 Calculation of Values of Economic Evaluation Criteria

Table 4 provides an economic comparison of the three technology options. The performance criteria for economic evaluation of outputs are calculated as follows:

Output

· Gross yield: This is the actual yield obtained in the field.

· Net yield: Gross yields are adjusted by reducing them by 10% to account for the usual losses. This reduction is not applied to the traditional system or the fuelwood component.

· Gross income: Gross income is derived by multiplying net yield of each component with their respective field prices.

Input

· Variable costs (labor and commercial inputs): These are calculated from the quantity Used and the respective field prices.

· Fixed costs: Land is included because it has an opportunity cost.

· Cost of hedge establishment ($608/ha in present case): The cost factors are given in Table 5.

· Depreciation reflects a cost due to the use of structures or equipment which have to be replaced after their productive cycle, in this case the hedgerows and tools. The linear model is used to calculate annual depreciation.

Hedgerows are assumed to lose productivity after 8 years and require uprooting. (This assumption does not apply to many alley farming systems.) As above, the total cost of establishing the hedge is $608/ha. The annual depreciation for the hedge per ha. will be:

There is no salvage value in this case. Although some products will be derived when the hedges are replaced, it is expected that their value will merely compensate for the labor to uproot the old hedges. If hedges are established gradually using low opportunity cost labor of the household, establishment costs could be much lower. Moreover, hedgerows under many circumstances will remain productive longer than 8 years.

For small tools used in these options, which are replaced every other year, a small sum is included for annual depreciation.

5.4.3 Calculation of Values of Profitability Indicators

Profitability indicators for this short term analysis are calculated as net or gross returns per unit of the scarce resource. These indicators are calculated as below:

Net Income (NI)/ha

=

Total Gross Income - Total Costs

Net Return/Labor Day

=

Net Returns/$ Cash Input

=

Gross Returns/$ Cash Input

=

Table 4. Comparative economic analysis of Traditional maize beans, Improved maize-beans, and Alley Farming System.

Criteria

Traditional Maize-beans

Improved Maize-beans

Alley Farming

Gross yield (kg/ha):





maize

1350

3150

1900


beans

500

700

600


fodder

-

-

1200


fuelwood

-

-

1000

Net yield (kg/ha):





maize

1350

2835

1710


beans

500

630

540


fodder

-

-

1080


fuelwood

-

-

1500

Gross income ($):





maize

243.00

510.30

307.80


beans

210.00

264.70

226.80


fodder

-

-

64.80


fuelwood

-

-

75.00

Total

453.00

775.00

674.40

Variable costs: ($)





labor

324.00

436.00

492.00


commercial inputs

44.00

261.33

32.00

Fixed costs: ($)





land

30.00

30.00

30.00


depreciation of hedges*

-

-

76.00


depreciation of tools

10.00

25.00

15.00

Total costs: ($)

408.00

752.33

645.00

PROFITABILITY INDICATORS ($)

Net income/ha

45.00

22.67

29.40

Net returns/labor day

4.56

4.21

4.24

Net returns/$ cash input

1.02

0.09

0.92

Gross returns/$ cash input

10.30

2.97

21.07

* Depreciation of hedges assumes that hedges will become unproductive after 8 years and require uprooting. In many alley farming systems, hedgrows can be maintained for longer than 8 years and may never require uprooting.

Table 5. Investment in establishment of hedges in year one of introduction of Alley Farming.

Criteria

Units

Costs $

MPT seedlings:



1st planting*

5000 plants

250

Replanting

1000 plants

50

Land prep:

Digging

30 days

120

Refilling

20 days

80

Protection

10 days

40

Reduction of maize-beans yield**

279 kg/ha

68

Total


$608

* Planting and replanting costs include labor materials, inoculum. In the first year, crop yields may be reduced. The figure here represents 15% reduction from traditional system. After 2-3 years, net increases in yield may result from improved soil.

The Net Income/ha represents the return to the management resource because this is the only resource which has not been costed yet. Net Returns/Labor Day shows how much labor earns in each alternative. This can be compared with its opportunity cost of $4.

The values of the profitability indicators for these options are given in Table 4. From this analysis one observes that the traditional system is more profitable in terms of all the indicators except Gross Returns/$ Cash Input, where it is surpassed by alley farming.

5.4.4 Management Feasibility

A management feasibility analysis uses dynamic criteria such as labor availability and cash flow to determine whether a farmer can manage a new technology or system.

Table 6. Monthly availability and use of labor in a typical small farming system (1 Labor Day = 6 hours).

In the management of all on-farm and off-farm operations in a farming system, the labor resource is probably the most critical due to the seasonally based patterns of labor use. In Table 6, a monthly profile of labor availability and use is presented, including the periods when the farmer has to hire labor or has some surplus labor. In the same table, the monthly labor requirements of the three technology options are also given. The data indicate that for the improved maize-beans system, the May and September periods do not appear favorable. For the alley farming system, labor requirements in March, June, September and December are exorbitant. The traditional system has a more moderate labor demand. To adopt either of the two new systems, the farmer would have to hire more labor. Alternately, researchers could explore ways to spread or shift some of these operations to the few slack months.

Table 7. Analysis of climatic risk for Traditional Maize-Beans, Improved Maize-Beans and Alley Farming Systems.

* In parentheses, percent probability of occurence.

Cash flow is a similar dynamic type of indicator used to determine whether the farmer can manage a new system. It is evident that the improved maize-beans system may encounter problems because of its high cash input requirement in selected months of the year (Table 2), whereas the alley farming system does not require much cash input (Table 3).

5.4.5 Risk Analysis

In an ideal world, external conditions such as the weather would always be optimal for the farmers. In a nearly ideal world, conditions might not be perfect but at least they would be predictable. Of course, in the real world of farmers, fine weather is never guaranteed, markets are unreliable, outbreaks of crop pests can occur at any time. Newly introduced systems may alter a farmers' capacity for coping with such risk factors. Thus, risk analysis is an important part of both technical and economic evaluation of a system.

In this discussion of risk analysis, we will use the example of uncertain seasonal quality in which the hypothetical conditions range from best (wet) to worst (dry). The probability of the occurrence of dry, average, and wet seasons influences the management and performance of the three alternative systems.

For each quality of season (dry, wet, average), the gross income, net income, and expected net income are derived. These measurements can be used to determine the best technology choice (Table 7). The average yield figures here are taken from Table 4.

Net income under the various possible conditions can be used as criteria for selecting a system. From Table 7, one observes that the option with the maximum returns under the conditions of minimum rainfall is the traditional system. In shorthand rotation, this may be called the maximin criteria. The maximax criteria would select the option that provides the maximum returns Under maximum rainfall, which in this case is the improved maize-bean system. The most probable criteria chooses the system which provides the best returns Under average conditions, which is the traditional system in this case.

The Expected Net Income (ENI) is another criteria Used in risk analysis. It is calculated as the sum of Net Income per season quality multiplied by the respective probability of that season quality. Thus ENI for improved maize-bean works out as:

Season Quality

Net Income

x

Percent Probability of Season Quality


Expected Net Income

Dry

$-115

x

=

-34.50

Average

$23

x

=

11 .50

Wet

$161

x

=

32.20




TOTAL

=

$9. 20

The ENI can be interpreted as average profit per hectare that the farmer would receive in the long term, taking into account the variability of season quality. Again the traditional system has a higher ENI. The alley farming system is also very attractive in terms of ENI.

The choice of any which decision criteria to apply depends on the disposition of the farmer. If he or she is risk averse, maximin criteria would be appropriate. If he or she prefers to take risks in hope of a higher pay-off, the maximax could be more appropriate. If he or she can absorb short-term risks and is concerned with optimizing returns in the long-term, the most probable and ENI criteria would be appropriate.

5.4.6 Long-Term Economic Evaluation

The yearly distribution of benefits and costs for a 9-year period for the traditional maize-beans and alley farming system is presented in Table 8. In the traditional maize-beans system, there is a 10% yearly decline in yields of both crops due to the fact that the farmer is not replenishing soil nutrients at a rate that would sustain yields indefinitely. Costs remain constant for the duration of the study period. Some of the tools are replaced every two years. Costs exceed benefits after year 4, which means that in theory the farmer should cease cropping and leave the land fallow. However, the farmer continues operating because he or she needs food and does not worry about compensation for the in-kind resources used (i.e., labor). Land cost is not included in costs because land usually maintains its present value over time.

In the alley farming system, benefits remain constant on the assumption that enough multipurpose tree (MPT) biomass will be retained to maintain soil fertility, hence a constant crop yield. Except for the initial hedgerow investment, all other costs also remain constant.

At the bottom of Table 8, discount factors for r = 10% and r = 15% are computed for each year of the study period, using the formula presented in section 5.3.

The three performance indicators used for long term economic evaluations are:

· Net Present Value (NPV);
· Benefit/Cost Ratio (B/C); and
· Internal Rate of Return (IRR).

In order to determine these indicators one has first to determine the Total Present Value (TPV) of benefits and costs using the discount factor.

Table 8 Yearly distribution of benefits and costs and their Total present Values for the Traditional Maize Beans System and the Alley Farming System.

Calculation of TPV

Using the data given in Table 8, the Total Present Value (TPV) of the Benefit at r = 10% for traditional maize-bean system for a 9-year period is calculated by summing the discounted total benefits for years 1-9.

TPV = (453 x 0.91) + (453 x 0.83) + (407 x 0.75) + (366 x 0.68) + (330 x 0.62) + (296 x 0.56) + (267 x 0.51) + (240 x 0.47) + (216 x 0.42) = $2052

The TPV for the cost could be calculated in the same way. Similar calculations can be made for alley farming system as well. Thus the TPV for benefits and costs for the two systems are as follows:



Traditional System

Alley Farming System


r:

10%

15%

10%

15%

Benefits

:

$2052

$ 1750

$3677

$3032

Costs

:

$2202

$ 1835

$2766

$3053

Calculation of NPV and B/C

a) For a discount rate of 10%

Traditional System

Net Present Value (NPV)

= $2052 - 2202 = $-150

Benefit/Cost Ratio (B/C)

= $2052 + 2202 = $0.93

Alley Farming System

NPV : $3677 - 2766

= $911

B/C Ratio: $3677 - 2766

= $1.33

b) For a discount rate of 15%

Traditional System

NPV

: $1750+ 1835

= $0.95

B/C Ratio

: $3032 + 3052

= $0.99

Alley Farming System

NPV

: $3032-3052

= -$20

B/C Ratio

: $3032-3052

= $0.99

The NPV is interpreted as the net profit of the technology, whereas the B/C is the ratio of total benefits to total costs. For a technology to be acceptable, NPV must exceed 0, which means that the B/C ratio exceeds 1.0. In the case of the traditional maize-beans system, there is an abnormal result in the sense that as the discount rate increases, the NPV decreases. Normally there would be a direct relationship between the two. This happens because after the fourth year the total costs increasingly exceed the total benefits in this system.

These calculations indicate that alley farming offers greater net profits and equal or improved benefit/cost ratios than the traditional system. The indicators are particularly favorable for alley farming at a discount rate of 10%.

Calculation of IRR:

As stated earlier, another key long-term indicator for economic evaluation of technologies is the Internal Rate Return (IRR). The IRR is the exact discount rate at which benefits are equal to costs. At a discount rate equal to IRR, the NPV = 0 and the B/C Ratio = 1.0. The IRR can be estimated with the following formula:

where NPV1 corresponds to interest rate of r1 and NPV2 to interest rate of r2. Taking the value of r1 as 10% and r2 as 15%, the IRR for the alley farming may be computed as:

It means that at IRR of 14.9%, benefits are equal to costs. Though an IRR of 14.9% appears to be attractive, the opportunity cost of capital for the farmer determines whether this technology can offer better returns. In most cases, the real cost of capital to resource-limited farmers is in the range of 30-35%. However, there are other attributes of alley farming that should be assessed to decide whether to adopt the alley farming system (Avila, 1989).

Risk analysis can also be conducted in the long-term by modifying the calculations of yearly benefits, discount rates, or their determinants and observing the effect on the NPV, B/C Ratio, or IRR.

Finally, there is a computerized model (MULBUD) to carry out long-term evaluation of agroforestry systems, such as alley farming, which was developed at ICRAF (Etherington and Mathews, 1984). The mathematical calculations performed here would take just a few minutes with MULBUD.

5.5 Summary

The key economic concepts for short and long-term evaluation have been presented. These concepts were applied to compare the profitability, management feasibility, and risk considerations of three alternative technologies: a traditional maize-beans system, an improved maize-beans system, and an alley farming system.

Since not all the biophysical and other coefficients in the hypothetical data are based on validated evidence, these results should not be used to make conclusive statements on the economic worthiness of the alley farming system. However, these coefficients can be assessed and their precision improved using new or site-specific research results. The basic procedures used in this exercise provide a useful guideline as to the type of data required, basic questions and issues to be addressed, and appropriate interpretations for the economic assessment of alley farming.

5.6 Feedback exercises (Find out answers from the text).

1. Circle T for true and F for false in the statements given below:

i) The principle of cost analysis deals with criteria for optimizing income from several possible options.

T

F

ii) Opportunity cost denotes value of inputs in their best alternative uses.

T

F

iii) The law of diminishing returns states that increasing use of resources results in diminishing returns up to a certain level of resources used and increases thereafter.

T

F

iv) Variable costs of production vary with the levels of production.

T

F

v) If land is cheap and fertilizer is costly, land can be substituted for fertilizer.

T

F

2. Given below are the incomplete definitions of 4 performance criteria used in economic analysis. Fill in the missing components.

i) Net yield = Physical yield/ha minus ..............................
..........................................................................................

ii) Field price of output = ..................................................
minus storage, transportation, marketing and ..................

iii) Field price of input = Purchase price plus
..........................................................................................
..........................................................................................

iv) Discount factor = Present value, at the beginning of year 1, of
..........................................................................................
..........................................................................................

3. i) Prepare a tabular format to record labor use and commercial inputs for different activities associated with alley farming.

ii) What are 3 steps involved in calculating gross income of a maize-bean cropping system?
________________________
________________________
________________________

iii) What general items you will include for variable costs and fixed costs in profitability analysis of alley farming system?
________________________
________________________
________________________

4. Write the formula to calculate the profitability indicators given below:

i) Net income/ha = Total gross-income - Total cost
ii) Net-return/labor day =
iii) Net returns/$ cash input =
iv) Gross returns/$ cash input =

5. Fill in the blank spaces in the following sentences

i) The main objective of the management feasibility analysis is ____________

Management indicators in this analysis could be ____________ and/or ____________

ii) In risk analysis, maximax criteria is the best return under the best condition while the most probable criteria is the best return under ____________ conditions.

6. i) Some of the economic indicators used for long term economic analysis of technology are abbreviated as TPV, NPV, B/C. What are the full forms for these abbreviations? How are they defined?

TPV ________________________
____________________________

NPV ________________________
____________________________

B/C ________________________
____________________________

ii) Explain the term Internal Rate of Return:

____________________________

7. In the example provided in this paper, which evaluation criteria or indicators suggest that alley farming is preferable to the traditional system. Which indicators showed traditional farming to be preferable?

5.7 Suggested reading

Arnold, J.M. 1987. Economic considerations in Agroforestry. In Steppler, H.A. and P.K. Nair, eds. Agroforestry: A Decade of Development ICRAF, Nairobi, Kenya.

Desai, S.N. and Bhoi, P.G. 1982. Assessment of Production Potential of Food and Forage under Agroforestry Systems. Journal of Maharashtra Agricultural University 7(1): 33-36.

Filius, A.M. 1982. Economic Aspects of Agroforestry. Agroforestry Systems 1: 29-39.

Gupta, T. 1982. The Economics of Tree Crops on Marginal Agricultural Lands with Special Reference to the Hot Arid Region in Rajasthan, India. International Tree Crops Journal 2: 155-194.

Harou, P.A. 1983. Economic Principles to Appraise Agroforestry Projects. Agricultural Administration 12: 127- 139.

Lubega, A.M. 1987. An Economic Analysis of a Simulated Alley Cropping System for Semi-Arid Conditions Using Micro-computers. Agroforestry Systems 1: 335-345.

5.8 References

Avila, M. 1978. An Economic Evaluation of Annual Cropping Systems in Two Regions of Costa Rica. Ph.D Dissertation, University of Missouri, USA.

Avila, M. 1989. Socioeconomic Issues in Alley Farming. Paper presented at the AFNETA Inaugural Meeting, IITA, Ibadan, Nigeria.

Etherington, D.M. and P.J. Mathews. 1984. MULBUD User's Manual. The Australian National University and the International Council for Research in Agroforestry, Canberra, Australia.

Gittinger, J.P. 1972. Economic Analysis of Agricultural Projects. The Johns Hopkins University Press. Baltimore, Maryland, USA.

Osborn, D.D. and Schneeberger, K.C. 1978. Modem Agriculture Management Prentice Hall, Reston, Virginia, USA.

Perrin, R.K. et al. 1976. From Agronomic Data to Farmer Recommendations: An Economic Training Manual. CIMMYT, Mexico D.F.


Previous Page Top of Page Next Page