La vida de una especie explotada se puede dividir esquemáticamente en dos elementos principales, una fase no disponible y otra fase explotada. En la primera podemos considerar el período comprendido desde la puesta hasta la llegada a las zonas de pesca, y en la segunda el período desde ésta hasta el fin de la vida del camarón. Por razones prácticas, al construir un modelo sobre la pesquería con el fin de evaluar los recursos o definir las condiciones óptimas de explotación sólo se toma en cuenta la segunda fase, debido a que la información procedente de la fase previa se reduce al número de individuos supervivientes al final de la misma; esto es, cuando tiene lugar el reclutamiento. Cuando no se dispone de tal información, el reclutamiento se supone constante; cuando si se dispone, se toman en consideración, año a año, las variaciones climáticas estacionales de este parámetro, que proporcionan una importante contribución al modelo.
El proceso por el cual un grupo de edad se integra por primera vez a la población explotable se conoce también como “reclutamiento”. Este es un suceso más o menos progresivo que está en función de la edad (o tamaño).
La presencia de un grupo de edad en la zona de pesca no significa necesariamente que sea capturable con los medios de explotación empleados, y el proceso por el cual entran en la fase explotada es conocido como “selección”. Cuando los dos procesos, reclutamiento y selección, suceden en intervalos de tamaño solapados, el proceso de entrada a la fase explotada sería eventualmente su resultante.
En este capítulo, se examinarán primero las curvas de reclutamiento y luego las de selección. Posteriormente, se discutirá la relación entre la población y reclutamiento.
10.1.1 El Reclutamiento y el Ciclo Vital
La primera fase de la vida de los peneidos costeros tiene lugar en el mar durante un período de tres semanas a un mes (en la fase larvaria), y después en las zonas costeras, en bahías, en estuarios, en pantanos de manglares que son ricos en alimentos, o en vegetación sumergida (durante el estado juvenil y subadulto). Según progresa su desarrollo, el camarón emigra hacia zonas más y más profundas. Cuando las áreas de distribución de juveniles y de adultos están claramente separadas geográficamente, ocurre una verdadera emigración hacia el mar después de la cual tiene lugar el desove. No obstante, algunos peneidos desovan en los estuarios (ver Capítulo 2).
Este es el proceso por el que se origina el reclutamiento, que es el mecanismo mediante el que los camarones entran en las zonas de operación de varias pesquerías. Después entrarán en la fase explotada por un proceso que es algo similar, en muchos aspectos, al de la selección (ver Sección 10.2).
Ya que los tipos de explotación (y las zonas operacionales de los varios artes) están extremadamente diversificadas, hay de hecho varias fases de reclutamiento sucesivas:
cuando los camarones dejan los límites de la zona de alevinaje y se hacen accesibles a las pesquerías artesanales;
cuando alcanzan las grandes bahías donde son accesibles a los pequeños arrastreros;
durante la migración, cuando son capturados por redes fijas;
cuando alcanzan el mar y son capturados por arrastreros industriales.
Los procesos de entrada en las diferentes pesquerías están asociados con el estado de desarrollo de los camarones. Si se define el reclutamiento como la probabilidad de encontrarse un camarón de un tamaño dado en el área de pesca, esta probabilidad puede ser expresada para los camarones de cada talla, como el porcentaje de camarones de esa talla en la población total (en el mar y en las lagunas) que está presente en esa área. Si los porcentajes se representan frente al tamaño se obtendrá una curva de reclutamiento.
(a) Reclutamiento en las pesquerías artesanales
Aunque las curvas de este tipo no han sido nunca calculadas para las fases de explotación en los estuarios, se puede suponer que son unimodales y similares a las observadas para las redes de enmalle (ver Gulland, por ejemplo). De hecho, el porcentaje susceptible de ser capturado aumenta al principio a medida que aumenta la talla y los camarones se hacen más disponibles, pasa a través de un máximo y entonces disminuye con la migración de los camarones mayores hacia el próximo tipo de explotación. Sin embargo, los datos que existen sobre este tema son, a nuestro entender, prácticamente nulos, a pesar de la importancia de este fenómeno para construir modelos de explotación para la fase de estuario.
(b) Reclutamiento en el mar
La fase de reclutamiento de los estuarios hacia el mar se conoce mejor y la Sección 2.3.4 contiene un resumen de la información sobre las variaciones ambientales de este fenómeno. Estas son importantes y facilitan datos básicos para modelos de simulación (Capítulo II). En la mayoría de los casos, los camarones se reclutan durante todo el año teniendo lugar variaciones estacionales más menos importantes. Estas se pueden demostrar a través de variaciones en la abundancia de los camarones en migración (ver Secciones 2.3.4.2.3 y 2.3.4.3) o a través de la abundancia de los juveniles capturados por los arrastreros en el mar (Figura 6). Es probable que el reclutamiento suceda cuando se alcance un estado dado de desarrollo o cuando las condiciones desfavorables del estuario lo obligen. La edad a la que ocurre es por lo tanto variable, y depende de las condiciones ambientales.
Para los grandes peneidos, esta edad es aproximadamente de 2,5 a 4 meses (Kutkhun, 1966, para P. duorarum; García 1977, 1978 y Galois, 1975, para P. notialis; Baxter, 1967 para P. aztecus; Le Reste, 1971, 1973 para P. indicus, etc.).
10.1.2 La Curva de Reclutamiento en el Mar
La información requerida generalmente es el tamaño (y edad) en el reclutamiento (1r, tr). Esta se obtiene al trazar la curva de reclutamiento, señalado por cada tamaño el porcentaje de la población total presente en los fondos de pesca (Figura 72). Aunque la curva puede tomar teóricamente varias formas, ésta es frecuentemente sigmoidea. El tamaño medio en el reclutamiento 1r es aquel por el cual el porcentaje total de individuos de un tamaño menor que 1r, ya reclutado, es igual al porcentaje de individuos de un tamaño mayor que 1r, aún no reclutado. Cuando la curva es simétrica, se asume generalmente que 1r = 1r 50, en la que se reclutó el 50% de los individuos de este tamaño.
Por su naturaleza, la curva es difícil de definir, ya que la información cuantitativa necesaria es asimismo muy difícil de obtener y, por esta razón, según sabemos no pueden encontrarse en la literatura tales datos concernientes a los peneidos. Sin embargo, se puede hacer una aproximación: si se sabe que los camarones de tamaño menoar que, digamos 26 mm (LC), no se encuentran nunca en el mar y que los camarones de talla superior a 26 mm (LC) o se encuentran nunca en los estuarios, la curva de reclutamiento tiene dos puntos fijos para el 0 y el 100 por cien. Entre estos dos puntos, la curva de reclutamiento puede ser aproximada por medio de una curva sigmoidea o una línea recta. Esta última solución la eligió, por ejemplo, Lhomme (1978) para la Penaeus notialis en Senegal. La curva sigmoidea también puede estar aproximada a una curva de distribución de frecuencias acumuladas de los tamaños del camarón durante la migración, cuando esta se conoce.
Es necesario recordar que el tamaño en la migración (y por tanto en el reclutamiento) varía estacionalmente y de año a año, dependiendo de las condiciones hidrológica (ver 2.3.4.2.4) y que este fenómeno es responsable de los cambios naturales en la talla de primera captura en algunas pesquerías artesanales. El caso de P. notialis en Casamance (Senegal) es especialmente claro. La talla principal de reclutamiento varía de 24.3 mm (LC) en años de pluviosidad normal (Lhomme, 1978) a 30 mm (LC) en los años secos. Esta variación es equivalente a una modificación en el vector de la mortalidad de pesca, como una función de la edad, cuyas consecuencias para la captura anual no son insignificantes (ver 9.2.1.1).
10.1.3 La Relación Población-Reclutamiento
Esta, que se entiende generalmente como la relación entre el número de desovantes en una población y el número de sus progenitores, es de extrema importancia para construir los modelos de poblaciones explotadas. De acuerdo con las especies, puede ser una curva asintótica (como la describieron Beverton y Holt para peces planos del mar del Norte), en forma de cúpula (la clásica curva en forma de cúpula de Ricker que se encuentra para el salmón) o prácticamente lineal (como lo desmostró Cushing, 1971, 1973, para los clupeidos). La forma de la curva determina la resistencia de una población a la explotación, ya que describe hasta qué extensión se influenciará el potencial reproductivo1 de la misma, o incluso mejorado (en el caso de una curva en forma de cúpula) por la explotación.
No hay poblaciones de camarones, incluso aquellas que han sido fuertemente explotadas, en las que se pueda demostrar con certeza que el reclutamiento ha sido afectado por la explotación de los adultos, excepto quizás recientemente en el golfo entre Irán y la península Arábiga (Van Zalinge, pers. comm.). Esto lleva a suponer que la curva es del tipo de la de Beverton y Holt, en la cual el potencial reproductivo permanece constante, incluso con grandes disminuciones la población parental. Esto es, en cualquier caso, lo que sugirieron Neal (1975) y Le Reste y Marcille (1973) en los Estados Unidos y Madagascar respectivamente.
Hay generalmente una tendencia a suponer que el reclutamiento no está ligado a la abundancia de los desovantes, dentro del rango normal de niveles de explotación, y que parece estar más influenciado por las condiciones ambientales (ver Capítulo 9) o por el deterioro de las condiciones del estuario (ver Sección 12.4.1.3).
En los capítulos precedentes se ha mencionado que la magnitud del reclutamiento del camarón depende problamente en gran medida de las condiciones hidrológicas y sus repercusiones en la reproducción, de la supervivencia de las larvas durante su migración hacia los estuarios, así como de su crecimiento, de la competencia, y de la duración de la estancia en el área costera (lagunas, etc). Se demostrará más adelante (ver Sección 12.4.1.3.3) que la producción anual de ciertas poblaciones parece también haber sido claramente afectada por la destrucción de los biotopos costeros por actividades humanas (Doi, Okada y Isibashi, 1973). Todos estos elementos demuestran que existe un fuerte efecto sobre el reclutamiento en la fase de estuario, que puede ser la causa de que no se haya observado relación alguna entre la población y su reclutamiento. Gunter (1966) hizo ya la sugerencia de que la explotación podría no afectar a la renovación de la población, y llamó la atención al hecho de que después de la casi total destrucción de los recursos camaroneros de la costa atlántica de los Estados Unidos por el frío invierno de 1940, las capturas del otoño de 1941 fueron normales. Esto indicaba que allí los pocos supervivientes fueron suficientes para repoblar la población 1.
Bakun y Parrish (1981) indicaron que si las zonas de alevinaje tienen una capacidad biológica limitada y relativamente constante, la relación tipo Beverton y Holt es la más adecuada. Parecería que esta observación se aplicaría bien a los camarones peneidos costeros, aunque la capacidad biológica de los estuarios es solamente “relativamente” constante y varía con las condiciones climatológicas. Debido a que estas variaciones son importantes sería necesario no adoptar, por ejemplo en el caso donde las riadas son el factor decisivo, una relación población-reclutamiento sino una familia de curvas correspondientes a los varios valores posibles de los caudales.
No obstante, si a los efectos prácticos no hay una clara relación entre la población y el reclutamiento dentro de un rango razonable de niveles de explotación, tal relación puede ser enteramente eliminada y el reclutamiento puede considerarse sólo dependiente del medio ambiente. Esta conclusión, incluso si no está expresada claramente, subyace a todas las aplicaciones de los modelos predictivos basados en la relación entre la producción y las condiciones climatológicas (ver Capítulo 9).
Puede señalarse que Abramson y Tomlinson (1972) y Geibel y Heimann (1976) también llegaron a la conclusión de que no había una relación utilizable población-reclutamiento en los camarones pandalidos de California, incluso cuando la biología de estas especies, y en particular las restricciones ligadas a su reclutamiento, son completamente diferentes.
La hipótesis de un reclutamiento relativamente independiente de la población se contradiría por las observaciones de Cushing (1973) quien relaciona la forma de relación población-reclutamiento con la fecundidad media individual de una población. La fecundidad individual parcial de los grandes peneidos varía con la edad entre aproximadamente 100 000 y 500 000 huevos. La fecundidad parcial media estaría alrededor de los 200 000. Sin embargo, el número exacto de huevos depositados no se conoce (a pesar del hecho de que, de acuerdo con Penn (1980), hay pocos huevos degenerados en condiciones naturales) ya que un camarón desova muchas veces al año y su fecundidad total individual se desconoce. Esta fecundidad es sin embargo superior de los 200 000. Por lo tanto, se debería suponer sobre estas bases que la relación población-reclutamiento de los peneidos es del tipo cúpula de Ricker, típico de animales de gran fecundidad. Beverton y Holt (1957) han relacionado además la forma de esta curva con el canibalismo, que es un comportamiento muy característico de los camarones durante los períodos de muda.
Las anteriores especulaciones no esconden el hecho de que la forma de la relación población-reclutamiento se desconoce completamente.
Sin embargo, los camarones peneidos están casi siempre altamente explotados, y el tamaño de la primera captura está por debajo, y a menudo muy por debajo, del de la primera madurez sexual. Este es particularmente el caso cuando existe una pesquería artesanal o semi-industrial sobre los juveniles. En tales circunstancias, el potencial reproductor de la población se reduce enormemente e, incluso si la relación población-reclutamiento se desconoce, es posible que la población disminuya hasta un nivel donde se requiera mayor prudencia.
El concepto de fecundidad teórica por recluta (Le Guen, 1971) tiene aquí interés porque, expresado en un valor relativo al de la población virgen, permite a uno estudiar la reducción del potencial de reproductor como el resultado de la explotación para niveles diferentes de mortalidad por pesca.
La Figura 71 da un ejemplo para la población de P. notialis en Côte d'Ivoire donde la fecundidad teórica (en porcentaje de la población virgen) está evaluada en función de la tasa de explotación en la laguna (en abscisa) y del esfuerzo de pesca simultáneo en el mar (de 0 a 3 600 días de un camaronero de 280 cv por año). El punto correspondiente a la situación de 1973 está indicado.
La Selección es el proceso mediante el cual los camarones reclutados entran progresivamente dentro de la fase explotada. Para diferenciar este proceso del de la selección de una especie objetivo, o de un grupo de edad objetivo, por la aplicación preferente del esfuerzo de pesca, sería más adecuado el término “retención”. La tasa de retención de un pez de un tamaño dado es la probabilidad de que sea retenido por el arte de arrastre, una vez que lo ha encontrado y se ha introducido. Se expresa por el porcentaje de peces de cada grupo de tamaño retenidos en el copo del arrastre. El fenómeno es de hecho del mismo tipo que el del reclutamiento y se muestra en forma de curva sigmoidea mas o menos simétrica. Esta se obtiene generalmente determinando la distribución de frecuencias de tallas de camarones retenidos en el arrastre, y comparándola con la distribución de la población total que entra en el arte. Los datos se obtienen generalmente por medio de pescas experimentales con el método del doble copo, o pescas con dos artes diferentes, de forma simultánea o alternativa; uno de los artes es selectivo y el otro se supone que retiene todo el camarón encontrado. La información buscada es la edad media de selección (ts), que frecuentemente es también la edad media de entrada en la captura (o edad de primera captura, etc.), cuando no existen interferencias con el proceso de reclutamiento (ver Sección 10.3). En la práctica, se usa una curva de retención en función de la talla, y la talla 1s se define como el punto en el cual el número de peces retenidos por el arte de tamaño menor que 1s, es igual al número de peces liberados de talla superior a 1s. Si los porcentajes retenidos de cada tamaño se definen como Yi, y el límite superior del primer intervalo de talla donde se obtiene un valor de 100 % como 1n+1, y si el intervalo de clase es igual a la unidad, se tiene
1s = 1n+1 - ∑ Yi
Cuando la curva es simétrica, 1s es igual a 1s50, el tamaño en el que el 50 % de los individuos quedan retenidos.
Se asume generalmente que la relación entre 1s, selección media o talla de retención, y el tamaño de la malla (m), es lineal y tiene la forma
1s = b.m, donde b es el coeficiente de selección.
En la Figura 74 se presenta alguna información disponible sobre este tema, donde las tallas de los camarones se expresan tanto por la longitud del caparazón o por la longitud total, dependiendo de la referencia considerada. La relación demuestra alguna variabilidad debido probablemente a algunas diferencias en la morfología de las especies consideradas, a las condiciones de los diversos experimentos (tipo de arrastre, hilo) y al uso de 1s o de 1s 50 para definir la talla media de selección. Se debe notar que la probabilidad de captura para una malla dada, y particularmente el valor de 1s, depende del tiempo de arrastre (Berry y Hervey, 1965) a causa del progresivo aglomeramiento. Esto implica que se deberían determinar las curvas de selección para un tiempo de arrastre igual a la media del de la pesca profesional.
Una información adicional sobre los estudios de selectividad, y en particular sobre sus aspectos prácticos, se puede encontrar en los manuales de Beverton y Holt, Ricker, Gulland y en ICNAF (1963) y Pope (1975).
De acuerdo con Gulland (1972) las curvas de selectividad del camarón no están lo suficientemente definidas como para justificar las regulaciones del tamaño de malla. Mistakidis (1958) también puntualizó que la selectividad no es “perfecta” para los carideos y que los arrastres siempre retienen una proporción de los juveniles, independientemente del tamaño de la malla. Sin embargo, el porcentaje disminuye según el tamaño de malla utilizada aumenta; Kurk, Faure y Laurent, (1965) confirmaron que existen curvas de selectividad bien definidas para los carideos. Las regulaciones de mallas para los peneidos parece ser un método utilizable para la ordenación, de acuerdo con el trabajo de Roelofs (1950) y de Berry y Hervey (1965) sobre Penaeus aztecus, Regan, Idyll e Iversen (1957) sobre P. duorarum; Simpson y Péres (1975) y Lhomme (1978) sobre P. notialis; Gorman (en Hynd, 1975; no da las especies); Aoyama (1973) sobre P. orientalis y Lluch (1975) sobre P. vannamei y P. californiensis. Todos estos estudios se realizaron sobre especies de gran tamaño, pero George, Gopalan-Nayar y Krishnaiyer (1974) y García y Lhomme (1977) estudiaron la selectividad de las redes fijadas a postes (Figura 75) para la pesca de juveniles en los estuarios. Los resultados demuestran que, incluso para los juveniles, el tamaño de la malla es susceptible de ejercer la selección sobre los tamaños capturados. Se debe señalar que las redes fijas se utilizan lejos del fondo y que existe poca congestión (excepto en las temporadas de lluvia cuando abundan los deshechos vegetales). Por otra parte es probable que gran cantidad de estos deshechos, conchas vacías, etc., sobre el fondo, deben interferir con la selectividad de los arrastres empleados en pequeñas bahías, cercanas a las zonas de alevinaje. Sin embargo, Simpson y Péres (1975) demostraron que el escape a través del cuerpo de la red de arrastre podría ser considerable.
Es interesante comparar los coeficientes de selección de las diferentes especies obtenidas por diferentes autores
| Autor | Especies | Factor de selección | |
| Longitud caparazón | Talla | ||
| Aoyama (1973) | P. orientalis | 0,40 | 2,0 a 2,6a |
| Lhomme (1979) | P. notialis | 0,37 – 0,52 | |
| Regan, Idyll e Iversen (1957) | P. duorarum | 0,35 – 0,37 | 2 a 2,4b |
| Lluch (1975) | Penaeus spp. | ||
| Kurk, Faure y Laurent (1965) | Crangon crangon | 2,15 | |
a Conversión hecha por los autores utilizando la relación de García LC/LT (1977b)
b Cálculos de los autores de las cifras publicadas
Casi todos estos valores se refieren a peneidos grandes del género Penaeus, y no es seguro que se puedan aplicar a otras especies. Debería ser anotado, sin embargo, que el valor obtenido para el pequeño camarón Crangon crangon está dentro del observado para los peneidos. Esto lleva a esperar que los valores anteriores puedan aplicarse generalmente a todos los camarones que tengan la forma usual, pero serán necesarios experimentos suplementarios para confirmarlo.
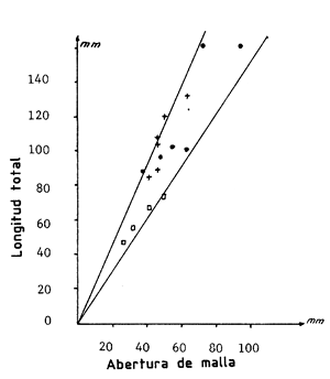
Si se consideran las líneas rectas que limitan la dispersión de los puntos en la Figura 74, y se traza a ojo una línea de media, se obtendrán los siguientes valores aproximados para el factor de selección:
1,90 ± 0,40 si las tallas están en longitud total
0,40 ± 0,10 si las tallas están en longitud del caparazón
Tal generalización sería de interés porque permitiría obtener los valores aproximados de la talla de muchas especies que no han sido aún investigadas.
La información tradicionalmente importante para los modelos de evaluación es tc, la edad en la primera captura (correspondiente al tamaño 1c). Cuando el reclutamiento y la selección son suficientemente distintos, y el reclutamiento se completa cuando comienza la selección, se puede ignorar el primero a los efectos de la ordenación de la poblaciones marinas. Si no es así, debe calcularse la curva resultante obtenida al multiplicar el porcentaje del reclutamiento por el porcentaje de retención de cada talla individual (Figura 72). El mismo procedimiento utilizado para el cálculo de 1s puede utilizarse también pero el cálculo de 1c (y de aquí tc). Si la curva resultante se puede considerar como simétrica, también sería una buena aproximación de 1c.
El uso del concepto de tamaño (o edad) de primera captura implica que la situación de reclutamiento (selección) es similar a aquella de “filo de cuchillo”, en la que el porcentaje reclutado es nulo para tallas inferiores a este tamaño e igual a 100 para los superiores a él. Con esta aproximación se pueden simplificar los cálculos y utilizar las tablas de rendimiento por recluta de Beverton y Holt (1964).
Para los peneidos, esta aproximación no puede ser sin embargo enteramente satisfactoria, si el rango de tallas (y edad) en el cual ocurre la selección cubre una gran parte de la fase explotada.
En el ejemplo de la Figura 72, se puede observar que el intervalo va desde 15 mm (LC) hasta aproximadamente 45 mm (LC). Dado que pocas hembras, y prácticamente ningún macho, alcanzan este tamaño, quiere decir que el intervalo de selección cubre prácticamente toda la vida explotable del camarón.
En estas condiciones, la simplificación de la curva de reclutamiento a una curva “filo de cuchillo” y la hipótesis de que el 100 % de los camarones se reclutan en la talla 1c, son susceptibles de proporcionar una apreciable fuente de sesgo.
El biólogo debe juzgar hasta que grado la curva de reclutamiento se puede tomar como en “filo de cuchillo”. Cuando esta aproximación no parezca aceptable, puede ser preferible una lineal (Beverton y Holt, 1957, página 77) tomando la parte ascendente de la curva de selección como una línea recta. También se puede utilizar una aproximación “en escalera”, en la cual la probabilidad de captura (expresada como porcentaje) se toma como constante para cada edad (Figura 76). Este enfoque da una mejor imagen de la situación considerada pero excluye prácticamente el uso de las tablas de rendimientos, haciéndose necesario el uso de procedimientos de cálculo más complicados (el modelo de Ricker por ejemplo).
Hay muchos métodos que permiten realizar este cálculo y la elección depende de los datos disponibles. Los resultados de más directo interés para los pescadores son, por un lado, los efectos inmediatos de las regulaciones y, por el otro, los efectos esperados a largo plazo bajo el nuevo sistema de explotación. Beverton y Holt (1957) demostraron, utilizando un método elegante, como la población se desarrolla después de la introducción de un cambio en el tamaño de la malla. Allen (1953), Holt (1958), Gulland (1961, 1971b), Jones (1974) y Cadima (1977) propusieron métodos simples de cálculo que requieren un mínimo de datos.
10.4.1 Cálculo de los Efectos Inmediatos
El principio general es el siguiente: se pueden calcular los efectos inmediatos del cambio de malla, conociendo la distribución anual de las frecuencias de tamaño en la captura obtenida con la malla actual, la curva de selección de esta malla, así como la de la nueva que se propone aplicar. En particular, y para una talla dada, si los porcentajes retenidos por las mallas vieja y nueva son respectivamente rl y rk, y si C1 es la captura en número usando la vieja malla, la captura en número con la nueva Ck podría calcularse utilizando la ecuación

Esta será la captura inmediata después del cambio cuando la estructura de la población es todavía la que prevalecía bajo el antiguo sistema de explotación.
Si se conoce el peso medio individual para cada tamaño, la captura numérica se puede convertir en captura por peso, y la captura total del anterior sistema de explotación, justo después del cambio de malla, sería
Y1 = ∑ C1ω y Yk = ∑ Ckω
El resultado inmediato en peso de la nueva regulación en valor relativo con relación a la captura de la anterior situación, será entonces expresada por
L = (Y1-Yk)/Y1
En el caso de los peneidos, es obvio que no tiene sentido el uso de una distribución anual de tallas para calcular un efecto “inmediato”. En los animales con una corta duración de vida y rápido crecimiento, la población consiste prácticamente de una sola clase de edad, nunca está en equilibrio y tiene variaciones estacionales en las estructuras de edades y tamaños. La Figura 77 presenta, como ejemplo, variaciones del tamaño medio sobre la plataforma continental de Arabia.
La distribución de tallas de las capturas totales anuales es por estas razones bastante teórica y da una imagen virtual de una población “anual” que de hecho nunca existe. Además, los efectos “a largo plazo” de la regulación se obtendrán en el mismo año que entre en vigor el nuevo tamaño de malla, y el principio de que la población permanezca idéntica “inmediatamente” después, no puede ser aceptado más que para un período de uno a dos meses como máximo. Ello implicaría que los cálculos de efectos inmediatos de un cambio en el tamaño de la malla se deberían efectuar, a lo sumo, no con la distribución de frecuencias de tamaño anual pero sí con la correspondiente al mes o a los dos meses siguientes a la fecha propuesta para el cambio. En cualquier caso, el valor práctico de los resultados es probablemente muy limitado.
![]() | Figura 71 Evolución de la fecundidad teórica en función de la tasa de explotación en lagunas (en %) y del esfuerzo en el mar para Penaeus notialis en Côte d'Ivoire (según Garcia, 1978). El punto indica la situación en 1973) |
Figura 72 Curva de reclutamiento (aproximada) y de selectividad para la malla de 25 mm de lado y curva resultante para Penaeus notialis en Senegal (según Lhomme, 1970) | ![]() |
![]() | Figura 73 Curvas de selectividad observadas para las mallas de 25 a 50 mm de lado en Penaeus notialis (según Lhomme, 1978) |
![]() | ![]() |
Figura 74 Relación entre la talla media de selectividad y la abertura de malla

Figura 75 Selectividad de los artes fijos utilizados en la laguna de Ebrie (García y Lhomme, 1977)

Figura 76 Aproximación a la curva de selección por una función en escalera

Figura 77 Variaciones estacionales de la talla media de Penaeus semisulcatus (machos y hembras) en Arabia Saudita (según Prince y Jones, 1975)
El cálculo de los efectos transitorios exactos en el tamaño de malla, desde la fecha de su implantación hasta la nueva situación de equilibrio, se puede realizar más rigurosamente por medio de técnicas de simulación, utilizando por ejemplo el modelo de Ricker (ver Capítulo 2), siempre que se disponga de los datos sobre el crecimiento, mortalidad natural y por pesca, y sobre el ciclo anual del reclutamiento con sus variaciones estacionales. No obstante, uno puede preguntarse si los resultados calculados sobre los efectos inmediatos y transitorios del tamaño de la malla tienen algún valor predictivo práctico, ya que las poblaciones de peneidos son altamente dinámicas y algunas veces muestran gran variabilidad interanual en el reclutamiento (ver Sección 9.1.2).
Por otra parte es importante conocer el resultado a largo plazo del nuevo régimen de explotación, resultado que en todo caso sería rápidamente obtenido (aproximadamente seis meses después del cambio de malla si este ocurriera justo antes del reclutamiento principal).
10.4.2 Cálculo de los Efectos a Largo Plazo
Los beneficios a largo plazo del cambio de malla dependen del número de individuos liberados por la nueva malla Ck (y que eran anteriormente capturados por la malla vieja), de su crecimiento, mortalidad natural y tasa de explotación. Se puede calcular la captura en peso bajo el nuevo sistema de explotacion (Y2) relativa a la captura teórica justo después del cambio de malla (Yk), Cadima (1977) por1:
![]() | de Holt (1958) |
con T = (tc2 - tc1), donde tc1 y tc2 son las edades de primera captura con la vieja y la nueva malla respectivamente y aún
![]() | según Gulland (1961) |
donde T* es igual a (tc2 - tr), siendo tr la edad media de los peces liberados por la nueva malla, y aún por
Yr/Yk = (Cl/Ck)E = eE · loge(C1/Ck) Cadima (1977)
Dado que (Y2/Y1) = (Y2/Yk) (Yk/Y1) y que Y1 e Yk son conocidos, (ver 10.4.1) la relación entre Y1 e Y2 permite apreciar el efecto de un cambio de malla.
La aplicación de estos métodos supone que el reclutamiento es en “filo de cuchillo” y que se conozca la composición de tallas de la captura antes del cambio de malla, así como M, E y T* (método de Gulland), F y T (método de Holt) y E (método de Cadima). Este último por tanto requiere la menor cantidad de datos básicos.
Si bien la hipótesis de mortalidad constante con la edad más allá de tc no parece demasiado realista, especialmente si la curva de selección cubre demasiado una buena parte de la duración de la vida de los animales para asumir el reclutamiento en “filo de cuchillo” (o, en otras palabras, si una gran parte de las capturas se hacen dentro del rango de selección), la fórmula de Holt sobrestimará el verdadero cambio, mientras que las otras dos subestimarán los resultados en peso, pero no en número (Gulland, 1961).
Cuando se dispone de los datos necesarios L∞, Lc1, Lc2, K, M, F), pueden utilizarse por supuesto las tablas de Beverton y Holt para calcular los indices de rendimientos por recluta correspondientes a los dos regímenes de explotación examinados y se puede hacer una comparación. Si se toma la curva de selección como una función “en escalera”, se puede entonces dividir la duración de la vida del camarón en unos pocos períodos dentro de los cuales Z se considera como una constante. Entonces es posible hacer los cálculos con ayuda de las tablas de rendimiento, siendo igual el rendimiento total por recluta a la suma de los rendimientos parciales. El proceso de cálculo se muestra en las tablas (Beverton y Holt, 1964, página 7). Los cálculos también se pueden hacer con los mismos datos utilizando simplemente las fórmulas de Ricker (1958, 1975) para calcular el rendimiento por recluta, o incluso más simple, adoptando el método aproximativo de Thompson y Bell (en Ricker, 1975). Estos dos últimos métodos tienen la ventaja de no requerir la representación de crecimiento según el modelo de Von Bertalanffy y, sobre todo, permiten la expresión de los resultados del cambio de malla en términos económicos reemplazando simplemente en el cálculo la clave edad-peso por la clave edad-valor.
De la misma forma, se pueden estimar las variaciones en la fecundidad teória por recluta originadas por el cambio de malla.
Un ejemplo del cálculo por el método de Ricker se encontrará en Ricker (1975, página 245). Un ejemplo del uso del método de Thompson y Bell se incluye en el Apéndice l, al final de este capítulo, con una revisión de las principales ecuaciones utilizadas. De hecho, los datos sobre las variaciones en la mortalidad por pesca con la edad son muy escasos para los peneidos: según vimos en el Capítulo 7 son difíciles de separarlos de las variaciones ambientales.
El análisis de cohortes realizado sobre los vectores de captura por clases de talla (método de Jones, 1976), que se ha revisado en la Sección 7.6.2, permite obtener un vector de la mortalidad por pesca en función de la talla. En este trabajo el autor demuestra que se pueden calcular a continuación los efectos de una modificación del esfuerzo y/o tamaño de malla. Jones (1979) aplicó el método a la cigala (Nephrops sp.) que se reproduce como ejemplo, con las principales ecuaciones utilizadas, en el Apéndice 2 al final de este capítulo.
Finalmente se debe señalar que los cálculos se pueden hacer con más precisión con la ayuda de las técnicas de simulación. Estos se basan en los mismos principios pero solamente pueden ser llevados a cabo fácilmente con computadoras. Ello permite además el uso de los datos de crecimiento y mortalidad, información sobre los niveles de reclutamiento y una variación estacional en los parámetros básicos (capturabilidad, esfuerzo, reclutamiento).
El estudio de la selectividad del arte de pesca y la determinación de las curvas de selección dan resultados que se pueden utilizar directamente para la ordenación de pesquerías. Estos resultados son relativamente fáciles de obtener con técnicas simples de usar. No obstante, los datos son muy escasos para los peneidos y se requiere intensificar los estudios de selectividad, particularmente para las poblaciones multiespecíficas de camarones que contienen especies con tamaños medios muy diferentes.
Aunque el efecto a largo plazo de un cambio de malla puede ser calculado aproximadamente con facilidad, un detallado análisis de los sucesos durante el período de transición requiere el uso de métodos más elaborados, cuyos principios son simples pero necesitan muchos más datos.
La utilidad de las regulaciones del tamaño de malla como herramienta de la ordenación será tratada en el Capítulo 12.
ANEXO 1
Cálculo del Efecto de un Cambio de Malla Utilizando el Método de Thompson y Bell (1934)
| 1 | 2 | 3 | 4 | 5 | 6 | 7 | 8 | 9 | 10 | 11 | 12 | 13 | 14 | 15 | 16 |
| S1 | Ft1 | Zt1 | Población en No | No muertos Dt1 | Captura (No) Ct1 | Peso individ. Wt1 | Captura en peso Yt2 | S2 | Ft2 | Zt2 | Nt2 | Dt2 | Ct2 | Yt2 | |
| 2,5 | 0 | 0 | 0,3 | 1 000 | 259 | 0 | 5 | 0 | 0 | 0 | 0,3 | 1 000 | 259 | 0 | 0 |
| 3,5 | 0,5 | 0,15 | 0,45 | 741 | 269 | 90 | 10 | 900 | 0 | 0 | 0,3 | 741 | 192 | 0 | 0 |
| 4,5 | 1,0 | 0,3 | 0,60 | 472 | 213 | 106 | 20 | 2 120 | 0 | 0 | 0,3 | 549 | 142 | 0 | 0 |
| 5,5 | 1,0 | 0,3 | 0,60 | 259 | 117 | 58 | 28 | 1 624 | 0,5 | 0,15 | 0,45 | 407 | 148 | 49 | 1 372 |
| 6,5 | 1,0 | 0,3 | 0,60 | 142 | 64 | 32 | 35 | 1 120 | 1,0 | 0,3 | 0,60 | 259 | 117 | 58 | 2 030 |
| 7,5 | 1,0 | 0,3 | 0,60 | 78 | 35 | 17 | 40 | 680 | 1,0 | 0,3 | 0,60 | 142 | 64 | 32 | 1 280 |
| 8,5 | 1,0 | 0,3 | 0,60 | 43 | 20 | 10 | 45 | 450 | 1,0 | 0,3 | 0,60 | 78 | 35 | 17 | 765 |
| 9,5 | 1,0 | 0,3 | 0,60 | 23 | 10 | 5 | 48 | 240 | 1,0 | 0,3 | 0,60 | 43 | 20 | 10 | 480 |
| 10,5 | 1,0 | 0,3 | 0,60 | 13 | 6 | 3 | 50 | 150 | 1,0 | 0,3 | 0,60 | 23 | 10 | 5 | 250 |
| 11,5 | 1,0 | 0,3 | 0,60 | 7 | 3 | 1,5 | 52 | 78 | 1,0 | 0,3 | 0,60 | 13 | 6 | 3 | 156 |
| 12,5 | 1,0 | 0,3 | 0,60 | 4 | 2 | 1 | 53 | 53 | 1,0 | 0,3 | 0,60 | 4 | 3 | 2 | 106 |
| Total | 7 415 | 6 439 | |||||||||||||
Columnas 2 y 10 = Curvas de selectividad para la vieja malla (S1) y la nueva (S2)
3 y 11: Ft = F base × S1 o F base × S2, F base = 0,30/mes
4 y 12: Zt = Ft + Mt, =Cte = 0,3/mes
5 y 13: Nt = Nt-1e-Zt, 1 000 reclutas de 2 años
6 y 14: Dt = Nt+1 -Nt
7 y 15: Ct = Dt · Ft/Zt
9 y 16: Yt = Ct · Wt
Resultado del cambio de malla = (6 349 – 7 415)/7 415 = 13,9%
ANEXO 2
Cálculo del Efecto de un Aumento del Esfuerzo (del 40 %) y de la Malla
(de 20 mm) sobre el Rendimiento por Recluta de la Cigala (Según Jones, 1979)
| 1 Talla (mm) | 2 N × W (kg) | 3 F1DT | 4 S1 | 5 S2 | 6 F2DT | 7 F1DT-F2DT | 8 ∑(7) | 9 exp. (8) | 10![]() | 11 (2)×(10) |
| 10–15 | 1 | 0 | 0,0019 | 0 | 0 | 0 | 0 | 1,0000 | 0 | 0 |
| 15–20 | 480 | 0,0085 | 0,1170 | 0,0039 | 0 | 0,0085 | 0,0041 | 1,0041 | 0,0035 | 16 |
| 20–25 | 8 714 | 0,0792 | 0,6950 | 0,1038 | 0,0166 | 0,0626 | 0,0395 | 1,0403 | 0,1554 | 1 354 |
| 25–30 | 47 126 | 0,2943 | 0,9864 | 0,0557 | 0,2321 | 0,0622 | 0,1019 | 1,1073 | 0,6238 | 29 400 |
| 30–35 | 89 290 | 0,5323 | 1,0 | 0,9382 | 0,6992 | -0,1669 | 0,0495 | 1,0508 | 0,9858 | 88 022 |
| 35–40 | 88 170 | 0,6520 | 1,0 | 0,9984 | 0,9113 | -0,2593 | -0,1636 | 1,8491 | 0,8477 | 74 745 |
| 40–45 | 69 660 | 0,7647 | 1,0 | 1,0 | 1,0706 | -0,3059 | -0,4462 | 0,6401 | 0,6401 | 44 589 |
| 45–50 | 48 750 | 0,9828 | 1,0 | 1,0 | 1,3759 | -0,3931 | -0,7957 | 0,4513 | 0,4513 | 22 011 |
| 50–55 | 24 830 | 1,2130 | 1,0 | 1,0 | 1,6982 | -0,4852 | -1,235 | 0,2908 | 0,2908 | 7 221 |
| 55–60 | 9 829 | 1,7580 | 1,0 | 1,0 | 2,4612 | -0,7032 | -1,829 | 0,1606 | 0,1606 | 1 579 |
| 60–65 | 1 343 | 1,0780 | 1,0 | 1,0 | 1,5092 | -0,4312 | -2,396 | 0,0911 | 0,0911 | 122 |
| 65–70 | 508 | 1,0780 | 1,0 | 1,0 | 1,5092 | -0,4312 | -2,828 | 0,0591 | 0,0591 | 30 |
| Total | 388 701 | 269 109 |
1. Datos de base
Columnas 2: N = Número de capturados por clases de tallas
W = Peso medio individual
Captura en peso en régimen de explotación 1 = 388 701
3: Vector de F por intervalo de talla DT en régimen de explotación 1 (mallas de 70 mm) obtenido por análisis de cohortes según el método de Jones (1974)
4 y 5: Proporción retenida de cada talla para las mallas de 70 mm (S1) y 90 mm (S2)
2. Cálculos
6. Vector de F en régimen de explotación 2 (malla de 90 mm y esfuerzo × 1,4)
F2DT = (1+x/100)S2 (F2DT)/S1)o × es el aumento del esfuerzo previsto, en %.
por ejemplo para la clase de talla 25–30 mm.
F2DT = 1,4 · 0,5557 · 0,2943/0,9854 = 0,2321
7. Diferencias entre F1DT y F2DT
8. Suma de diferencia = ∑(F1DT - F2DT) hasta el punto mediano del intervalo considerado = esto es 0,1019 = 0,85 + 0,0626 + (0,0622/2)
9. e∑(F1DT - F2DT)
10. 
11. 
3. Resultado final

