This section presents recent achievements in effective management of global fisheries, governance frameworks to combat illegal, unreported and unregulated (IUU) fishing and to promote sustainable small-scale fisheries (SSF), the emerging technological innovation in responsible fishing and the increasing role of regional fishery bodies (RFBs). It also describes a key FAO-led initiative that implements a science-based approach to improve assessment of the status of global fishery resources.
Progress in implementing the FAO Port State Measures Agreement
Responsible fisheries management is undermined by IUU fishing. Target 14.4 (effectively regulate harvesting and end overfishing, IUU fishing and destructive fishing practices) and Target 14.6 (prohibit certain forms of fisheries subsidies which contribute to overcapacity and overfishing and eliminate subsidies that contribute to IUU fishing) of SDG 14 recognize the importance of eliminating IUU fishing to safeguard the sustainable use of fishery resources.
The FAO Port State Measures Agreement (PSMA) is the first binding international instrument to target IUU fishing and is widely recognized as a potent and cost-effective instrument to eliminate it. The number of parties has trebled since it came into force in 2016, making it the agreement with the highest rate of adherence of all fisheries and ocean-related treaties. As of May 2024, the PSMA has 78 parties, including the European Union representing 27 states. The agreement is in force in 54 percent of total states and 63 percent of coastal states. From a regional perspective, the percentage of coastal states where it is in force is lowest in the Near East (29 percent) and Southwest Pacific (44 percent); average in Latin America and the Caribbean (55 percent) and Asia (63 percent); and highest in Africa (76 percent), Europe (73 percent) and North America (100 percent).
International fisheries governance is complex, as the ocean is geographically divided into different maritime zones subject to different legal regimes. The PSMA complements the United Nations Convention on the Law of the Sea, continuously adapting to address current and emerging issues in relation to fisheries – in particular, the persisting issue of some flag states’ failure to responsibly control their vessels, known as flags of non-compliance.
By establishing the framework for port states to request specific information from foreign-flagged vessels seeking entry into ports under their jurisdiction, the PSMA empowers port states to check compliance of these vessels with applicable conservation and management measures (CMMs) and deny entry or use of port services if there is clear evidence of IUU fishing or related activities. In such a way, it promotes adherence and efforts to implement the United Nations Fish Stocks Agreement (UNFSA), the FAO Compliance Agreement, regional CMMs, voluntary fisheries instruments including the CCRF and related instruments. Moreover, through its requirements on information exchange between port state, flag state, coastal state and regional fisheries management organizations, the PSMA facilitates transparency of the fisheries sector and strengthens cooperation, coordination and consultation of relevant international instruments, frameworks and bodies.
With the support of FAO, parties to the PSMA have acted fast in moving to implement the agreement, including through established working groups, and a critical milestone has been reached with the effectiveness of the agreement at its highest level ever. FAO has facilitated discussions among states at regional level to identify operational challenges in the implementation of port state measures and to find ways to overcome them. The outcomes of these regional dialogues at the PSMA Strategy Ad Hoc Working Group enabled the Fourth Meeting of the Parties to the PSMA to adopt the “Strategy to Improve the Effectiveness of the Agreement on Port State Measures to Prevent, Deter and Eliminate Illegal, Unreported and Unregulated Fishing” (Bali Strategy).ak
Sharing information on port entry/use denials and inspection reports is key for the effective implementation of the agreement to tackle IUU fishing. The Global Information Exchange System (GIES), which was developed by FAO at the request of the parties to the PSMA, enables the sharing of this information regionally and globally. It became operational towards the end of 2023 and includes functionalities to allow connections with similar systems used at regional level. Through such systems, notifications are automatically sent to the flag state, the home state of the vessel’s master, any relevant coastal state, RFMO or international organization, and FAO.
The GIES is therefore the first such system handling compliance information at a global level; as such, this information refers to compliance or non-compliance with national legislation, regional CMMs, and requirements defined in other international instruments such as the UNFSA, the FAO Compliance Agreement and the Voluntary Guidelines for Transshipment (Box 22).
BOX 22 FAO VOLUNTARY GUIDELINES FOR TRANSSHIPMENT
Transshipment is one of the critical activities that legitimately support fishing globally today. However, as an in-depth FAO study concluded in 2020, the lack of regulation in the monitoring and control of transshipments increases the risk of fish derived from illegal, unreported and unregulated fishing entering the seafood supply chain, undermining sustainable and socially responsible fisheries. In 2021 and 2022, FAO conducted an expert and a technical consultation to elaborate Voluntary Guidelines for Transshipment, endorsed by the FAO Committee on Fisheries in 2022.
The Voluntary Guidelines for Transshipment* address the regulation, monitoring and control of the transshipment of fish that have not been previously landed, whether processed or not. They also regulate fish landing at port, setting out the requirements for a declaration. The guidelines aim to assist states, regional fisheries management organizations/arrangements (RFMOs/RFMAs), regional economic integration organizations and other intergovernmental organizations when developing new transshipment regulations, revising existing ones and aligning these with the broader international regulatory framework.
Implementation of these guidelines is critical as they are intended to fill a gap concerning a significant activity supporting fishing fleets in many places lacking global or common international standards. The guidelines enjoy high legitimacy and are therefore well placed to play this role.
It is the primary responsibility of the flag states to implement transshipment regulations; the Voluntary Guidelines for Transshipment recognize the role and duties of coastal states, port states and RFMOs, and build on this as follows:
- improving flag state performance (central to the application and implementation of international instruments) – flag states must establish conditions to authorize their vessels to transship, have control and inspection capacity, engage with RFMOs, and develop reporting procedures to collect and cross-reference all reported transshipment data;
- strengthening the Port State Measures Agreement – port states have a critical role in overseeing landing and transshipment declarations;
- reinforcing the role of RFMOs – transshipment in the high seas must be subject to the competent RFMO’s regulations, including membership or participation, which should be consistent with the guidelines’ minimum standards; and
- underpinning coastal states’ right to know and authorize transshipments in their jurisdictional waters, including their exclusive economic zones, and to exercise control through monitoring, control and surveillance measures.
Overall, the guidelines eliminate ambiguity, by stating that moving fish from one vessel to another or to a port needs to be defined either as a transshipment or as a landing. They regulate landing activities by establishing a landing declaration as a global standard to follow. Therefore, implementation of the Voluntary Guidelines for Transshipment will support and improve traceability and transparency in international fisheries, since all fish movements must be documented.
Other international instruments support the implementation of the PSMA in several ways. The Voluntary Guidelines for Transshipmental categorize the movement of fish as either transshipment or landing, through a transshipment or landing declaration, thereby eliminating loopholes that would result in uncontrolled and undeclared movement of fish. This is important when taking decisions for approving the advance request to allow entry or use of port as per Annex A of the PSMA.
A global capacity-development programme was launched by FAO in 2017 to support the implementation of the PSMA and complementary instruments to combat IUU fishing and it continues to expand. The programme is aligned with SDG Target 14.4 and also addresses Part 6 of the PSMA.am Through the programme, FAO has to date assisted over 50 countries in strengthening capacity to combat IUU fishing in line with international requirements; facilitated and supported global and regional consultative processes on the development and implementation of related international instruments;an and developed operational tools and resources to assist in their implementation.ao
Progress in implementing the FAO Voluntary Guidelines for Securing Small-Scale Fisheries in the Context of Food Security and Poverty Eradication
The Voluntary Guidelines for Securing Sustainable Small-Scale Fisheries in the Context of Food Security and Poverty Eradication (SSF Guidelines [FAO, 2015]) are integral to the implementation of FAO’s Blue Transformation. The SSF Guidelines capture the complexity of a highly diverse subsector. Small-scale fisheries not only supply aquatic products to a variety of markets, but also provide livelihoods, cultural values, and food security and nutrition to millions of people (FAO, Duke University and WorldFish, 2023b). Therefore, SSF governance must include livelihoods, with approaches that combine responsible fishing with equitable socioeconomic development, including gender equity (Box 23).
BOX 23BUILDING GENDER-TRANSFORMATIVE CHANGE IN FISHERIES AND AQUACULTURE
Gender equality is a fundamental principle underpinning every aspect of society. This is also the case in the fisheries and aquaculture sector, which directly contributes to global food security and the livelihoods of over 600 million people worldwide. Throughout aquatic food value chains, numerous gender-based constraints (GBCs) persist, impeding women’s equal rights and opportunities. The most prevalent GBCs are linked to inadequate gender norms, which shape roles and responsibilities within communities and include unequal access to resources and services critical for pursuing income-generating activities; barriers preventing women from accessing decision-making spaces and power; and gender-based violence (GBV). These constraints hamper women’s empowerment and significantly reduce their contribution to healthy aquatic food systems. The gendered division of labour, for example, can result in unequal work burdens, resulting in lower profitability and inadequate levels of decision-making power for women. Furthermore, women’s economic independence and empowerment are often jeopardized by a disproportionate access to lucrative markets, or unfair assumptions of ownership of fishing or processing equipment, thus preventing women from investing in their businesses and consequently reducing their revenues and opportunities for entrepreneurship.
Gender-based violence is a pervasive issue that many women face in fisheries and aquaculture, albeit with different modalities and impacts: abusive behaviours frequent in ports, markets and landing sites can affect women physically, emotionally and sexually, exposing them to exploitative and hostile working environments. In some fisheries, women have reported verbal abuse as a common occurrence, with many cases of women facing difficulties in accessing markets (Rice et al., 2023) due to discrimination and lack of security and infrastructures in landing sites (FAO, 2023a)
The cycle of economic dependency on male counterparts in exchange for fishing resources can expose women to transactional sex, including the practice of “fish-for-sex” and associated risks including GBV and HIV/AIDS. This phenomenon has been observed in various countries, where it has shown that women’s limited financial independence inhibits their ability to negotiate boundaries, resulting in increases in HIV transmission and early pregnancy within the community (FAO, 2023a). An example of poor social norms that blame women for the spread of HIV among fishing communities was reported by women in communities on the shore of Lake Tanganyika, particularly during low catch periods, thus highlighting the linkage between inadequate norms and behaviours and the significant level of economic and health insecurity that women traders and processors face during their work (FAO, 2023b).
To address these multifaceted challenges, a comprehensive approach is essential. It requires the adoption of gender-transformative approaches (GTAs), supported by training such as that delivered through FAO projects in support of small-scale fisheries. The GTA seeks deeper solutions to redress power imbalances at individual and societal levels and foster women as agents of change. It involves challenging inadequate gender norms, promoting equitable decision-making, and fostering supportive environments where women can thrive in the sector. As part of the work to address GBCs, the FISH4ACP project (see FISH4ACP: transforming aquatic food systems through a value chain approach, p. 177) has developed a specific survey to uncover evidence and data on the phenomenon of fish-for-sex, establishing a foundation for discussing and understanding these dynamics.
In addition to this, the GTA has been applied by FAO to build more resilient and equitable aquatic food systems through capacity development of stakeholders at national and local levels, such as the work conducted through the project “Implementing the Small-Scale Fisheries Guidelines for gender-equitable and climate-resilient food systems and livelihoods” across different regions.
Implementing GTAs alongside gender-responsive interventions can pave the way towards a future where women and men enjoy equal rights, opportunities and empowerment within the fisheries and aquaculture sector, ultimately fostering sustainable and inclusive communities.
FAO. 2023b. The contribution of women in small-scale fisheries to healthy food systems and sustainable livelihoods in the United Republic of Tanzania. Rome. https://doi.org/10.4060/cc5368en
Rice, E.D., Bennett, A.E., Muhonda, P., Katengeza, S.P., Kawaye, P., Liverpool-Tasie, L.S.O., Infante, D.M. & Tschirely. 2023. Connecting gender norms and economic performance reveals gendered inequities in Malawian small-scale fish trade. Maritime Studies, 22: 46. https://doi.org/10.1007/s40152-023-00337-x
A decade after the FAO Committee on Fisheries endorsed the SSF Guidelines, their implementation continues to build on the inclusiveness that characterized their development. This requires support to and collaboration with SSF organizations, governments, development partners, regional organizations, NGOs and academia.
Pathways for transformational impact
Participatory governance through National Plans of Action for Small-Scale Fisheries
Global and regional policy processes and organizations have embraced the SSF Guidelines. Implementation efforts are now focusing on national and local levels, where National Plans of Action for Small-Scale Fisheries (NPOAs-SSF) provide a systematic and holistic framework for accelerated transformation.
The number of countries developing or implementing a participatory NPOA-SSF is growing, with Madagascar, Malawi, Namibia, Uganda and the United Republic of Tanzania having such plans approved already, and the Philippines having started the process. For example, the United Republic of Tanzania, guided by its NPOA-SSF, has established a gender desk in the Ministry of Fisheries and Livestock and supports capacity development of beach management units to improve sustainable participatory fisheries management. In Namibia, SSF communities have been involved in consultations on developing the access rules for a new dam, while in Madagascar over 70 stakeholders validated the NPOA-SSF, and specific actions such as capacity building for women’s groups (including provision of small equipment) are underway. Meanwhile, Malawi and Uganda approved NPOAs-SSF in late 2023, and the Philippines have started the process.
The extent to which national laws, policies and judicial cases refer to the SSF Guidelines is critical for their implementation (Nakamura, Chuenpagdee and El Halimi, 2021), and is the focus of a new publication of the Too Big To Ignore research partnership (Nakamura, Chuenpagdee and Jentoft, eds, 2024). The FAO policy and legal database (SSF-LEX) reports that 18 countries already refer to the SSF Guidelines in their fisheries legislative or policy frameworks (FAO, 2023d). The range of materials available to support implementation of the SSF Guidelines continues to expand and includes publications and e-learning courses (e.g. on SSF governance and legal assessments), as well as training programmes conducted by partners such as the International Ocean Institute and International Labour Organization (ILO) on decent work and social protection.ap A monitoring, evaluation and learning framework developed through a participatory approach is available to help assess progress (FAO, 2023e).
Going beyond fisheries: bridging access to social protection and ensuring decent work
Broad approaches to improve coherence between social protection and fisheries management policies are critical for implementing the SSF Guidelines. Examples where coherence has been achieved exist in Colombia, Paraguay and Tunisia, as well as subregional Latin America. Here policy dialogues have brought together parliamentarians, national fisheries authorities and fisherfolk organizations. In Brazil, an impact evaluation of the fishers’ unemployment benefits during closed fishing seasons showed that these benefits enabled fishers to better comply with fisheries management rules. The COVID-19 pandemic provided the opportunity to better understand the importance of community organizations for provision of social security support, particularly during idiosyncratic shocks. For example, revolving funds in Colombia provided loans for family contingencies, and associations in Mexico and Tunisia partnered with state-led social protection programmes to collect contributions and provide special contributory rates for fishers.
The Bay of Bengal Regional Fisheries Advisory Body recently adopted a plan of action for enhanced safety, decent work and social protection in fisheries (FAO, 2023f). The plan commits to intersectoral action that delineates policies and actions to enhance fisheries livelihoods, including through safety standards, decent working conditions and social protection.
Better data and evidence
It is said that “not everything that can be counted counts and not everything that counts can be counted”. Small-scale fisheries often fall into the latter category. The global study on Illuminating Hidden Harvests (IHH) (FAO, Duke University and WorldFish, 2023b) attempts to defy this, providing policymakers with baseline information – not only on small-scale fisheries, but also on aquatic food systems, sustainable development and livelihoods more broadly. It shows that small-scale fisheries provide at least 40 percent of the global inland and marine catch and account for 90 percent of all people working in capture fisheries value chains. Taking into account subsistence activities and household dependents, IHH estimates that almost 500 million people’s livelihoods depend at least partially on small-scale fisheries. The study offers new knowledge and identifies gaps and weaknesses in information systems to ensure SSF do not remain unrecognized. Countries such as Madagascar and the United Republic of Tanzania have embraced the IHH approach to review their SSF subsector contributions and identify related gaps and opportunities to improve the multidimensional evidence base for management, policy and governance. Moreover, the fragmented knowledge base for inland fisheries is being strengthened with reviews from China (FAO, 2023g), Guinea (Dia, 2023), India (FAO, forthcoming) and Latin America and the Caribbean (Baigun and Valbo-Jørgensen, eds, 2023).
Strengthening small-scale fisheries organizations
Small-scale fisheries organizations are key to advocating for and driving the implementation of the SSF Guidelines. To support the role of women – who represent four out of ten people in SSF – FAO has developed a methodology to map women’s fisheries organizations and used it in seven countries (Smith, 2022). The environmental stewardship role of SSF is another dimension that is receiving further recognition (Charles, Macnaughton and Hicks, 2024).
The working group on fisheries of the International Planning Committee for Food Sovereignty used its people-centred methodology to assess the implementation of the SSF Guidelines in Africa, Asia and Latin America.
In 2022, during the International Year of Artisanal Fisheries and Aquaculture (IYAFA 2022, Box 24) and the UN Ocean Conference, a call to action from small-scale fishers around the globe was launched to support the implementation of the SSF Guidelines.aq
BOX 24LEGACY OF THE INTERNATIONAL YEAR OF ARTISANAL FISHERIES AND AQUACULTURE 2022
Despite the continuing impacts of the COVID-19 pandemic, 61 partners signed up as official supporters of the 2022 International Year of Artisanal Fisheries and Aquaculture (IYAFA 2022),* and many others embraced the opportunity to focus the world’s attention on the role that artisanal fisheries and aquaculture play in sustainable development and to stimulate related dialogue, initiatives and actions. This resulted in over 266 events conducted in 68 countries, at least 312 publications in 22 languages, and many other creative initiatives and promotional products, including official stamps, podcasts and videos. The final report published by FAO (FAO, 2023a) provides an overview of the objectives, activities and recommendations of the International Year.
The IYAFA 2022 recommendations echo the key messages of its Global Action Plan, which were validated, elevated and expanded throughout the celebrations. One additional recommendation that emerged strongly during the Year relates to the role of youth in achieving Blue Transformation targets and priority actions, and calls for intergenerational dialogues, knowledge sharing and mentoring, as well as for support for the integration of generational change into planning processes to preserve the continuity of traditional fisheries, while encouraging innovation. Additional region-specific recommendations for South America – developed with support from the regional IYAFA 2022 committee – were compiled as public policy recommendations (FAO, 2023b).
The Year ended with a strong call to maintain the momentum, as the end of IYAFA 2022 marked the beginning of a new era of support for and development of small-scale fisheries and aquaculture.
A major legacy of IYAFA 2022 is the call by the FAO Committee on Fisheries (COFI) to establish a Small-Scale Fisheries Summit** every two years prior to the biennial COFI sessions, creating a participatory platform for SSF actors to convene and collectively support the advancement of the implementation of the 2014 FAO Voluntary Guidelines for Securing Sustainable Small-Scale Fisheries in the Context of Food Security and Poverty Eradication (SSF Guidelines). The first SSF Summit took place on 2–4 September 2022 in Rome and was organized by the International Planning Committee for Food Sovereignty Working Group on Fisheries, the General Fisheries Commission for the Mediterranean and the Small-Scale Fisheries Resource and Collaboration Hub with support from FAO. The Summit brought together more than 140 participants from over 40 countries, with a focus on fostering engagement and dialogue among small-scale artisanal fishers and fishworkers, key supporters, partners and decision-makers. Attendees shared their challenges while collaborating to build a common vision around crucial topics relevant to small-scale artisanal fisheries. They also proposed actionable solutions for a new era of support for small-scale fisheries and the communities that depend on them.
** See the Small-Scale Fisheries Summit website: https://www.fao.org/artisanal-fisheries-aquaculture-2022/events/events-detail/en/c/1601136/
SOURCES: FAO. 2023a. International Year of Artisanal Fisheries and Aquaculture 2022 – Final report. Rome. https://doi.org/10.4060/cc5034en
FAO. 2023b. Recomendaciones de políticas públicas para el desarrollo sostenible de la pesca y la acuicultura artesanales en pequeña escala en América del Sur - Lineamientos de políticas para las autoridades [Public policy recommendations for the development of sustainable small-scale artisanal fisheries and aquaculture in South America – Policy guidelines for authorities]. Santiago. https://doi.org/10.4060/cc4105es
IYAFA 2022 was an opportunity for the establishment of a new SSF network (Ibero-American Small-Scale Artisanal Fishing Network), bringing together communities across Latin American and the Iberian Peninsula, and a pan-African coordination network (AFRIFISH-Net), uniting the five African subregional non-state actor platforms on fisheries and aquaculture. The platform for Eastern Africa prepared a policy gap analysis on the SSF Guidelines implementation that was presented to the Southern African Development Community.
In Asia, the Regional Advisory Group of the Global Strategic Framework in support of the implementation of the SSF Guidelines organized webinars and conducted a regional assessment of their implementation.
In the Mediterranean and Black Sea region, SSF development and governance are guided by a Regional Plan of Action for Small-Scale Fisheries (FAO, 2023h). In this context, the Small-Scale Fishers’ Forum develops the capacity of SSF actors through interactive webinars and workshops on topics identified by SSF representatives.
The way forward: a new era of support for small-scale fisheries
The SSF Guidelines have re-asserted their role as accelerator in drawing attention to and generating action in support of the SSF subsector. This is also reflected in a significant increase in research on small-scale fisheries and new development partner engagement, such as the Oak Foundation’s SSF programmear and the SSF Hubas supporting implementation of the SSF Guidelines. The first decade of implementation has confirmed the importance of participatory processes, such as those applied in the development of NPOAs-SSF or through the regional SSF networks, and their ability to drive lasting change, highlighting the benefits of having different partners work under one agreed vision.
Implementation continues to be a non-linear process. Collective learning, dissemination of successful experiences, and sharing of good practices create and strengthen trust among stakeholders. Consequently, partners with complementary roles and strengths can collaborate, leveraging more action by all.
Managing shared fishery resources: the growing role of regional fishery bodies
Shared natural resources are particularly vulnerable to overexploitation (Liu and Molina, 2021), and international cooperation among countries sharing fishery resources is recognized as fundamental for the effective management of these resources.
The development of exclusive economic zones (EEZs) under Part V of the 1982 United Nations Convention on the Law of the Sea extended boundaries to 200 nautical miles offshore, to give coastal nations sovereign rights to sustainably exploit marine resources. However, EEZ boundaries cut across the distribution of many species, turning stocks not constrained by human boundaries into shared resources. Similarly, management of shared inland fishery stocks spanning multiple countries requires international cooperation and effective approaches for collaboration among users.
Transboundary issues in fisheries are likely to become more significant in coming years. The number of fishing countries, and the overall number of shared fisheries, have steadily increased since the 1950s, creating additional competition (Teh and Sumaila, 2015). In addition, climate change is causing species to shift their natural distributions (Pinsky et al., 2013), further increasing the need for effective international management agreements (Cheung et al., 2012; Pinsky et al., 2018).
Living aquatic resources are a global common pool resource managed under national jurisdictions (e.g. territorial waters) and by different international organizations and RFBs.at UNCLOS encourages states to cooperate with each other in the conservation and management of living marine resources through the establishment of RFMOs.
Blue Transformation promotes effective policies, governance and institutions to support fisheries through actions leading to the adoption and implementation of new and existing international instruments, regional coordination mechanisms, plans of action, and guidelines.
For effective implementation, global instruments and normative processes should be streamlined into legal and policy instruments and actions at the country and regional level. In this regard, regionalization of fisheries governance provides opportunities to address common concerns while fostering synergies to achieve the global objectives of relevant UN bodies (Løbach et al., 2020).
Since its creation, FAO has promoted and supported RFMOs and RFABs, including their cooperation through the RFB Secretariats’ Network.au The present and future role of RFBs is particularly relevant today, as countries face old and new challenges requiring transformational action to implement effectively international fisheries management and ocean governance instruments.
Highest on the agenda is the Port State Measures Agreement, adopted by FAO in 2009 to combat IUU fishing. The role of RFMOs has prominence throughout the PSMA provisions requiring parties to cooperate fully in the effective implementation of the agreement, including through RFMOs.
Similarly, the role of RFMOs is crucial for the 2022 World Trade Organization (WTO) Agreement on Fisheries Subsidies, as 80 percent of the 164 WTO members are party to at least one RFMO, with 74 members party to more than one. As a major step towards ocean sustainability, the agreement aims to prohibit harmful fisheries subsidies to parties involved in, for example, IUU fishing, fishing of overfished stocks, and operations in high seas areas not under the management of RFMOs. It also prohibits all subsidies for fishing and related activities that take place in areas outside the jurisdiction of coastal states and the competence of an RFMO (see The WTO Agreement on Fisheries Subsidies, the sustainability of fishery stocks and the role of FAO, p. 168).
Sustainable management of inland fisheries is challenged by competing water uses for irrigation, livestock or hydropower, further exacerbated by increasing water scarcity and pollution. To address these challenges, FAO is promoting collaboration and synergies between inland RFBs and basin management organizations responsible for activities such as hydropower, agriculture and mining (Box 25).
BOX 25INTEGRATED WATER RESOURCES MANAGEMENT: THE CASE OF THE KOMADUGU YOBE BASIN OF LAKE CHAD
Integrated water resources management (IWRM), as defined by the United Nations Environment Programme in 2002, is a comprehensive approach that coordinates the management of water, land and related resources. It aims to optimize economic and social welfare equitably while preserving vital ecosystems. Inland fisheries, which are critical for the nutrition, food security, and livelihoods of many communities, are often overlooked in IWRM plans.
In the case of the Komadugu Yobe Basin, located upstream of Lake Chad in northern Nigeria, the implementation of IWRM has shown how integrated approaches can ensure equitable economic and social welfare outcomes while sustaining essential ecosystems. The construction of two large dams in the 1970s, combined with extensive water extraction for irrigation and the impacts of regional climate change, significantly altered the seasonal river flows, leading to severe environmental degradation. These changes, exacerbated by fragmented regulations and overlapping institutional responsibilities, adversely affected fishing, farming and pastoralist livelihoods, causing conflicts over resource use.
The adoption of an IWRM strategy through catchment management planning addressed these challenges. This strategy emphasized collaboration and active participation from all stakeholders, including under-represented groups such as women. Community leaders, exemplified by Alhaji M. Ibrahim Chedi, a village leader and fisher, showcased the readiness to take any measures necessary to ensure the river’s health, directly linked to their livelihoods (Barchiesi et al., 2012).
The Catchment Management Plan and the introduction of a Water Charter led to the formation of new institutions, empowering stakeholders in the planning process. This initiative gave stakeholders a voice in water resource planning and equipped them with tools to manage potential challenges. These governance structures are now being replicated across Nigeria and scaled up through the Lake Chad Basin Commission.
The emergence of a revamped water governance structure has facilitated more transparent coordination of water resources, aiming to address degraded ecosystems and restore traditional river flow patterns. Open dialogues have been crucial in reducing conflicts, reflecting the community’s renewed optimism and faith in the basin’s potential. In response, state governments and the Federal Government of Nigeria have committed significant funds for the basin’s rejuvenation.
The Komadugu Yobe Basin initiative exemplifies the environmental and social benefits of an integrated, multisectoral approach in managing shared water resources. It underscores the importance of including all stakeholders in the solution, supporting sustainable practices in fisheries, agriculture, aquaculture and forestry, resulting in resilient communities. This case study demonstrates that comprehensive, inclusive resource management is pivotal for achieving sustainable development and it highlights the role of IWRM in facilitating such outcomes.
In 2023, a milestone was reached with the adoption of a new international legally binding instrument for the conservation and sustainable use of marine biological diversity within areas beyond national jurisdiction (ABNJ): the BBNJ Agreement. Several provisions in the agreement stress the need for coherence and coordination with relevant international instruments and sectoral bodies, and the strengthening of existing organizations. However, not enough focus has been placed on the important link between the BBNJ Agreement and the ecosystem services provided in waters under national jurisdiction. The management of the marine environment in ABNJ and the fisheries productivity and biodiversity within territorial waters are indeed connected (Popova et al., 2019; Ramesh et al., 2019). Such connectivity requires developing cooperative frameworks among RFBs, as appropriate. Box 26 presents an example of FAO’s work to strengthen partnerships for managing resources in the high seas
BOX 26PARTNERSHIPS FOR MANAGING HIGH SEAS RESOURCES
FAO’s Blue Transformation calls for the effective management of 100 percent of fisheries to achieve ecological, social and economic objectives. It prioritizes actions that would facilitate the development of innovative data and information systems to support fisheries policy formulation, assessment and management, through strong and recognized partnerships, especially in relation to resources in the high seas.
Common Oceans Program. The Common Oceans Program (2022–2027) is a Global Environment Facility-funded partnership of regional fisheries management organizations (RFMOs), intergovernmental organizations, civil society and the private sector that aims to bolster the sustainable use of marine resources and biodiversity conservation in areas beyond national jurisdiction (ABNJ). It is implemented jointly by FAO, the United Nations Environment Programme and the United Nations Development Programme. It aims to bring about transformational changes by making use of the best scientific knowledge and expertise of over 65 partners, and to encourage coordinated global action, innovation and improved performance in the ABNJ. Key activities of the partnership are described below:
- The Common Oceans Tuna project follows ongoing processes in five tuna RFMOs. This includes support for the implementation of the ecosystem approach to fisheries (EAF) and the adoption of harvest strategies for all 23 major tuna stocks. Sustainable fisheries are promoted through market incentives in four Pacific Island countries. Joint tuna RFMO working groups on topics of common interest reinforce collaboration and the sharing of experiences and lessons learned and identify possible harmonized actions. Partners work on strengthening monitoring, control and surveillance, and compliance through capacity building, training courses and compliance support missions. Regarding the reduction of the environmental impacts of tuna fisheries, the project promotes six innovative tools for improving monitoring, bycatch mitigation, and traceability, as well as reducing marine pollution.
- The Deep-sea fisheries (DSF) project applies participatory approaches to tackle technical, scientific and procedural challenges in the management of resources in ABNJ. The project aims to strengthen the management of DSF through training and capacity building on, for example, stock assessment, developing tools, guidelines and frameworks for the implementation of the EAF in eight RFMOs, and fostering dialogue between different sectors. It targets reducing the impacts of DSF on vulnerable marine ecosystems (VMEs) by mapping identified VME sites and developing guidance on their protection, and on deepwater sharks by developing identification guides and data collection protocols.
- FAO has been developing a global database on VMEs in ABNJ at the request of the United Nations General Assembly (61/105) to assist RFMOs and regional fisheries management arrangements (RFMAs) and states in sharing information and raising awareness of fishery policymakers, managers, scientists and the public at large on DSF and their interactions with VMEs. The database – a joint effort from eight RFMOs and FAO – represents a good example of partnership in support of management of high seas resources.*
The FIRMS Partnership. The FAO Fisheries and Resources Monitoring System (FIRMS) Partnership** aims at facilitating access to high-quality web-based information on global marine fishery resources and their management. It intends to provide decision-makers with information to develop effective fisheries policies in accordance with the Code of Conduct for Responsible Fisheries. The partnership – established in 2004 – brings together 22 institutions including 18 intergovernmental organizations representing 23 regional fishery bodies contributing over 1 000 out of the 2 400 records of the FIRMS inventory of stock assessment units and about 300 fisheries monitored, guided or managed by these organizations.
Among the information shared in FIRMS on high seas resources, the five tuna RFMOs report area-specific catches of tuna and tuna-like species within the FIRMS Global Tuna Atlas launched in May 2022; and the deep-sea high seas RFMO partners regularly report on the status of fisheries management under their mandate.
FIRMS strategic decisions for the next decade include disseminating timely data on the state of stocks in support to SDG Indicator 14.4.1 (Proportion of fish stocks within biologically sustainable levels) for reporting on fisheries management in the context of the new COFI Sub-Committee on Fisheries Management, contributing to small-scale fisheries data collection and fostering interoperability among data systems.
** Please see: FAO. 2023. Fisheries and Resources Monitoring System (FIRMS). In: FAO. [Cited 28 November 2023]. https://firms.fao.org/
With over 50 RFBs addressing fisheries in marine and inland waters worldwide, issues of overlapping and fragmentation of mandates emerge. Enhancing cooperation and coordination among RFBs has for many years been on the agenda of the United Nations General Assembly and its resolutions on sustainable fisheries. Nearly 50 percent of RFBs cooperate effectively for developing fishery statistical standards (see Technology and innovation for sustainable fisheries, p. 164). In 2021, FAO requested RFBs to adopt common approaches on various cross-cutting issues. In 2023, FAO convened two regional consultations to support and develop a framework for identifying the coordination and cooperation priorities among RFBs to achieve effective fisheries governance. As a result, organizations from the same region came together to share views and gain valuable insights on matters and topics of common interest and concern, to find solutions and identify supporting tools and services (FAO, 2023i). FAO and partners will continue to develop mechanisms of cooperation in the management of shared resources, with the objective of ensuring that all fishery resources are placed under effective management.
Managing marine fisheries for sustainability: a focus on the Code of Conduct for Responsible Fisheries
Fisheries management is defined as:
the integrated process of information gathering, analysis, planning, consultation, decision-making, allocation of resources and formulation and implementation, with enforcement as necessary, of regulations or rules which govern fisheries activities in order to ensure the continued productivity of the resources and the accomplishment of other fisheries objectives (FAO, 1997).
Article 7 of the FAO Code of Conduct for Responsible Fisheries (CCRF) addresses the necessary requirements, ways and means to achieve effective fisheries management. An integral first step in designing and implementing effective fisheries management is to agree on the objectives, preferably formalized into management plans. Article 7.2 emphasizes the need to set long-term management objectives, which should not be compromised by short-term considerations. This is particularly important – but very challenging – in the context of weak or unstable institutional arrangements. In this respect, it is critical to empower stakeholders and institutions to design, implement and monitor fisheries management decisions and ensure compliance with regulations, leading to resilient fisheries, improved livelihoods and long-term resource sustainability. Institutional and regulatory frameworks, together with social, cultural and human capital, are key for achieving this.
FAO’s Blue Transformation (FAO, 2022a) emphasizes the need to accelerate the development of effective policies, governance structures and institutions in support of fisheries management. This encompasses adoption of existing national and international instruments, strengthening regional coordination mechanisms, and implementing national plans of action. It aims to achieve 100 percent of fisheries under effective management, with full, productive and decent work for all women and men in the sector by 2030.
In many developing countries, the capacity to manage fisheries is limited. Participatory governance regimes have tended to develop deliberate and collective responses that strengthen fisheries management. Lessons learned from the various forms of traditional and community-based management can be useful to guide their further implementation (Galappaththi et al., 2021). Proper training and capacity development of industry and government staff that support effective and participatory fisheries management and governance are critical, particularly in the context of small-scale fisheries. Part 2, section 5 of the SSF Guidelines provides a comprehensive course of action to promote the development of adaptive co-management systems with an active role of empowered local communities in the governance of tenure in SSF and resource management (FAO, 2015).
The CCRF acknowledges the need to aim beyond the long-term sustainability of fishery resources and promotion of their optimum utilization, to support achieving social and economic objectives (Article 7.4.5). Throughout most of the 20th century, fisheries management objectives were largely centred around maximizing yield from capture fisheries. Most stock assessment methods applied in developed countries with high technical capacity and resources focused on how to estimate optimal yield from individual species within specific fisheries. In the 21st century, fisheries management objectives have gradually broadened to address the risk of overfishing target stocks and the protection of the biodiversity of target stocks and wider marine ecosystems (Caddy, 1999; Cochrane, 2000; FAO, 1995a; Mace, 2001). These changes have involved an increased recognition, development and implementation of precautionary approaches to fisheries management (Article 7.5). Management objectives have gradually expanded to consider the wider social and ecological systems in which fisheries operate. This has resulted in widespread adoption of the ecosystem approach to fisheries (EAF), which encompasses the wider range of ecological, economic and social objectives.av
For any individual fishery, several but not necessarily all of these objectives may be targeted: some objectives may be specific to the unique context of an individual fishery, while some may carry more weight than others. For some fisheries, objectives are explicitly stated, for example in a fisheries management plan; in other contexts, an objective may be simply implied as part of wider management goals.
As fisheries management objectives broaden, managers have recognized the need to consider the related trade-offs. Common trade-offs between objectives include catch (a food production objective) versus the extent of acceptable stock depletion. The social objectives of job creation may contrast with greater efficiency or economic profitability. Similarly, minimizing aquatic environmental impacts – by significantly reducing fishing or by not fishing – can exacerbate food insecurity, unemployment or economic benefits. Trade-offs between exporting the catch to lucrative international markets and selling in the domestic market often require an assessment of the economic returns compared to the social impact on food security and nutrition. Striking an appropriate balance between competing objectives depends greatly on national policies and fishery-specific goals, with different countries (or fisheries managers within the same country) weighing differently alternative objectives. Article 10 of the CCRF recommends to base decision-making (when weighing between management objectives) on multidisciplinary research to assess the economic, social and cultural benefits of fishery resources. To this end, FAO, Duke University and WorldFish have recently developed and published a study to illustrate and inform on the environmental, social, economic and nutritional contributions of SSF (FAO, Duke University and WorldFish, 2023). In 2020, FAO Members reported that on average, approximately 92 percent of fisheries were under management plans in developed countries, compared with just 60 percent in developing countries. The gap widens when considering the proportion of fisheries management plans actually implemented: 92 percent and 56 percent, respectively.aw A major issue reported is the lack of capacity to design and implement management plans in developing countries, particularly for SSF.
FAO’s Blue Transformation Roadmap reiterates the Organization’s commitment to support capacity development to adopt and implement fisheries management plans and strategies that consider trade-offs and address ecological, social and economic objectives. It requires the design, implementation and monitoring of management plans and strategies to be based on the best available science and data, including traditional knowledge to inform management decisions.
Poor quality data often relate to insufficient financial and human resources to implement rigorous data collection systems, or inadequate technical capacities to analyse and interpret the available data. Several approaches have been implemented to address data and information deficiencies, including partnering with industry to share information collected during fishing (Mackinson et al., 2023), institutionalizing community-based data collection programmes in consultation with fishers and scientists (Schroeter et al., 2009; Haridhi et al., 2021), maximizing the use of traditional knowledge (Al Mamun et al., 2023), and upgrading technical capacity both to design cost-effective data collection systems, and for the management, curation, interpretation and analysis of data and information (Gutierrez et al., 2023). While the implementation of these solutions is expanding, many fisheries remain within the data-limited realm, for which a precautionary approach should be considered. As stated in the CCRF: “the absence of adequate scientific information should not be used as a reason for postponing or failing to take conservation and management measures”.
Together, the CCRF, the SSF Guidelines, the EAF and Blue Transformation promote environmentally and socially responsible fisheries management necessary to ensure the vitality of aquatic ecosystems together with equitable sharing of the benefits. Moreover, they provide the basis to formulate appropriate governance frameworks for fisheries management, which respect and incorporate traditional knowledge and practices, within wider environmental, economic and social management approaches (Box 27).
BOX 27EAF-NANSEN PROGRAMME: ACHIEVEMENTS IN FISHERIES MANAGEMENT AND ASSESSMENT
The Nansen Programme is a longstanding partnership between the Food and Agriculture Organization of the United Nations (FAO) and Norway, aimed at enhancing the contribution of aquatic food systems to food and nutrition security in partner countries.
In 2017, a new phase of the EAF-Nansen Programme Agreement was signed by the Norwegian Agency for Development Cooperation, FAO and the Institute of Marine Research, Norway. This expanded the programme’s support to implement an ecosystem approach to fisheries (EAF) management and increased its efforts to target emerging threats to ocean sustainability, including climate change, aligned with FAO’s vision for Blue Transformation.
By generating knowledge on marine resources and ecosystems, promoting the implementation of the EAF framework, and developing partners’ capacities for fisheries research and management, the programme has yielded many important achievements.
From 2017 to 2023, the research vessel Dr Fridtjof Nansen hosted 672 researchers (32 percent female) from 42 countries to acquire and analyse knowledge, data and information for use in advising fisheries management. More than 100 scientific publications resulted from the programme, covering a wide range of scientific topics spanning ecology, biology, nutritional value, habitats and climate change. Twenty-four new marine species were discovered, bringing the total to 88 new species since the inception of the programme.
The programme contributed to the scientific advice processes of regional organizations such as the Fishery Committee for the Eastern Central Atlantic (CECAF), the Southwest Indian Ocean Fisheries Commission (SWIOFC), the Benguela Current Convention (BCC) and the South East Atlantic Fisheries Organization (SEAFO), conducting marine surveys, supporting analysis and assessments by regional scientific working groups, and disseminating advice, knowledge and information at statutory meetings of these organizations.
The programme developed a diagnostic tool for implementing the EAF through policy and legal frameworks to support partners in assessing alignment with the EAF (FAO, 2021a). A total of 144 people (31 percent female) were trained to use this tool, 31 national EAF assessment reports were produced, and six countries received support to review their fisheries legislation and policies for better alignment with the EAF. Nine countries and two regions were assisted with EAF-compliant national and shared stocks fisheries management plans. A different tool for monitoring the implementation of the EAF was developed, and over 250 fisheries stakeholders were trained on its application for 40 fisheries in seven African countries to set baselines and monitor progress. Through targeted training, the capacity of 794 people (38 percent female) from partner institutions was strengthened on the EAF, shared stocks management, gender mainstreaming, survey data analysis, stock assessment methods and tools, and data collection practices.
In 2024, the EAF-Nansen Programme embarks on a new five-year phase, building on lessons learned and achievements from previous years. The programme will have an even stronger focus on the nexus between fisheries management and science, while strengthening linkages to the broader ocean governance framework, contributing to the Sustainable Development Goals and the United Nations Decade of Ocean Science for Sustainable Development (2021–2030).

© FAO/Mariano Silva

© FAO/Mariano Silva
FAO. 2021b. Ecosystem approach to fisheries implementation monitoring tool – A tool to monitor implementation of the ecosystem approach to fisheries (EAF) management. User manual. Rome. https://doi.org/10.4060/cb3669en
Evolving the way we assess the status of marine fishery stocks
Since its first publication of the global review of marine fishery stocks in 1971 (Gulland, 1971), FAO has been regularly assessing the state of world marine fishery resources, and since 1997 these results have been reported in The State of World Fisheries and Aquaculture reports. The objective of the FAO assessments is to provide an overview of the global and regional state of marine fishery resources to support policy and management action to secure the long-term sustainability of fishery resources. The current methodology was adopted in 2011 (FAO, 2011a) and implemented on a list of regional and global fishery stocks that has since remained the same to maintain the integrity of the time series. FAO considers that the time is right to update the assessment methodology as well as the list of fishery stocks to be included, to better respond to the changes in fisheries assessment and management as well as in fishery target species, while ensuring the integrity of the time series.
The updated methodology will be applied in a transparent manner, with new reporting formats, and with direct engagement with the growing global, regional and national community of assessment and management experts. The process begins with an update of the list of fishery stocks considered in the analysis in each FAO region, to better reflect current fishery activity in that region. This process is done collaboratively with local institutions and experts, primarily through regional workshops, but including other consultations such as the Sub-Committee on Fisheries Management of the FAO Committee on Fisheries or the process of national reporting of SDG Indicator 14.4.1 (Proportion of fish stocks within biologically sustainable levels) (see Status and trends of Sustainable Development Goal 14 indicators under FAO custodianship, p. 100).
Depending on the quality of the data and supplementary information available for each region, a tiered assessment approach will then be implemented:
- Tier 1 – Stocks for which traditional stock assessments are available and deemed reliable. Formal results are used by FAO as reported by regional fishery bodies and/or national authorities.
- Tier 2 – Stocks for which no formal assessments are available, but for which alternative approaches (such as stock reduction analysis plus [SRA+]ax) can be adopted. This is the case if supplementary information, such as external data on landings with abundance indices (or the fishery-dependent standardized catch per unit effort [CPUE]), exists or when expert-driven priors for depletion (in the absence of CPUEs/abundance data) are available to derive a state of the particular stock.
- Tier 3 – Where data are insufficient for either Tier 1 or Tier 2 approaches, a weight-of-evidenceay approach to categorize the status of the stock based on qualitative/semi-quantitative information will be used (Souza et al., forthcoming).
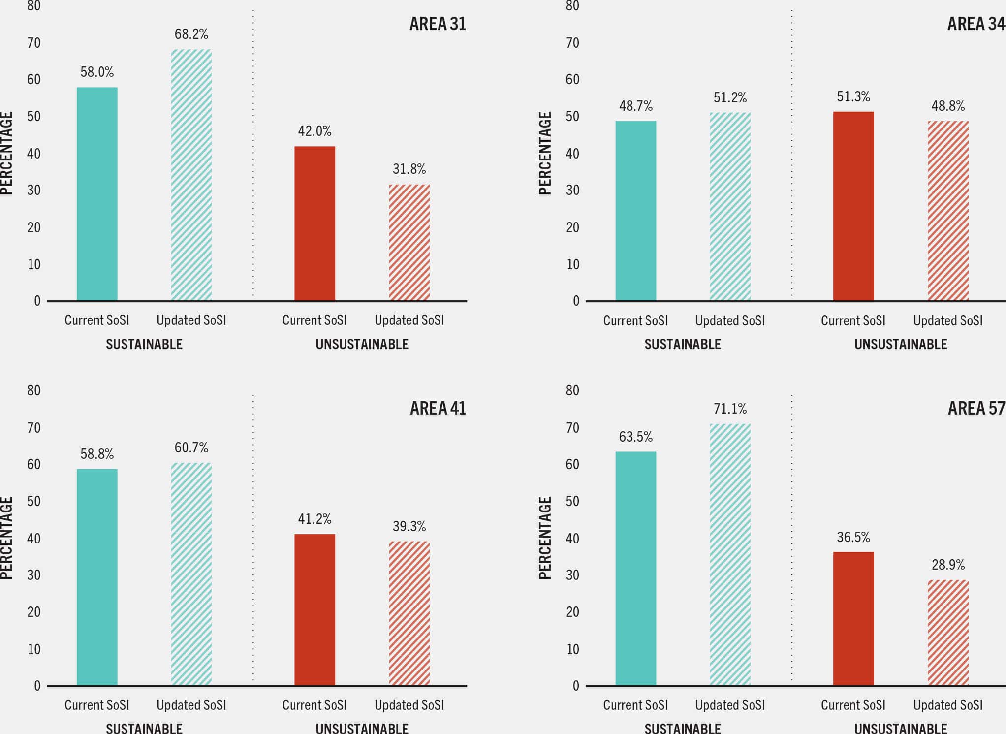
Box 28 presents the 2021 FAO State of Stocks Indexes obtained with the current and updated methodology resulting from the first set of regional consultations conducted in six FAO statistical areas. Findings from these consultations were presented to the First Session of the COFI Sub-Committee on Fisheries Management in January 2024, also comparing the metrics derived using the current and updated methodology for 2019. A forthcoming edition of the FAO Technical Paper Review of the state of world marine fishery resources will describe the methodology and results in detail.
BOX 28REGIONAL CONSULTATIONS ON MARINE FISHERY STOCK ASSESSMENT
Regional consultations on the updated methodology for assessing stocks were conducted virtually and in person between 2022 and 2023 for: (i) area 31 (Western Central Atlantic); (ii) area 34 (Eastern Central Atlantic); (iii) area 37 (Mediterranean and Black Sea); (iv) area 41 (Southwest Atlantic); (v) area 51 (Western Indian Ocean); and (vi) area 57 (Eastern Indian Ocean). Engagement of local and regional experts and analysis were upscaled: 200 individuals were trained in person and another 65 virtually; 63 countries were consulted regarding the updated FAO State of Stocks Index (SoSI); and the stocks examined increased from 189 aggregated to 1 093 disaggregated stocks (see table).
RESULTS OF THE PILOT PHASE
While the results for areas 51 and 37 are still preliminary, for areas 41 and 34, the percentage of overfished stocks is relatively similar (41.2 percent vs 39.3 percent overfished for area 41, and 51.3 percent vs 48.8 percent overfished for area 34), compared with a substantial decrease from 42.0 percent to 31.8 percent in area 31, and from 36.5 percent to 28.9 percent in area 57 (see figure). The probable reason for the decrease in these two areas is the addition of many smaller units that are important regionally, increasing the stocks of importance being sustainably fished and decreasing the proportion of overfished stocks.
Some consultations also produced useful infographics synthesizing the information as illustrated for area 57. The infographic illustrates the key fisheries data from the region, including the state of stocks and the importance of fisheries in terms of fishing vessels and fishers.
The consultations at the regional level supported the use of FAO-validated data to convey region-wide information and messaging. This can be useful for preparing policy briefs at a regional or country level.
COMPARISON OF FAO STATE OF STOCKS INDEXES: CURRENT VS UPDATED METHODOLOGIES FOR SIX FAO MAJOR FISHING AREAS (REFERENCE YEAR 2021)

SOURCE: Author's own elaboration.
COMPARISON OF FAO STATE OF STOCKS INDEXES: UPDATED VS CURRENT METHODOLOGIES FOR FOUR FAO MAJOR FISHING AREAS (REFERENCE YEAR 2021)

SOURCE: Author's own elaboration.
INFOGRAPHIC FOR AREA 57 ILLUSTRATING THE IMPORTANCE OF FISHERIES IN ECONOMIC VALUE, EMPLOYMENT, FISHING EFFORT AND THE STATE OF STOCKS IN THE REGION

The Sub-Committee examined a detailed work programme to support achieving the objectives of updating the indicator of the status of marine resources. This programme illustrates examples of the tiered analysis and communication approaches (see the infographic in Box 28) that will be featured in the 2026 edition of this report after a full roll-out in all FAO statistical areas. The updated methodology process will leverage the efforts of the RFBs and other partners within the Fisheries and Resources Monitoring System (FIRMS) Partnership (see Box 26, p. 155) to collate, share and disseminate on a timely basis the published assessments and to manage a unique list of assessed stocks through a dedicated database that archives the State of Stocks analysis. The process also aims to increase the capacity of national and regional fisheries institutions for assessing the state of stocks, using innovative tools and virtual platforms, such as the i-marine Virtual Research Environment. The programme will encourage a more active involvement of national institutions, empowered to regularly present their analyses as inputs to the FAO flagship publication in conjunction with reporting of national progress on SDG Indicator 14.4.1. This can support a progressive convergence between reporting procedures and would allow an expansion in the use of this indicator for multiple purposes.
Management priorities for inland fisheries
Inland fisheries are almost entirely small-scale, often remote, seasonal or occasional in nature. They are often multispecies, and many species are migratory, often travelling large distances. Furthermore, inland fisheries are affected by both fishing pressure and environmental factors, which may, in turn, be affected by external factors including climate change, hydropower and irrigation development, pollution, and water abstraction. Given the diversity and dispersion of inland fisheries, they are often managed by local groups and Indigenous Peoples using traditional knowledge and management practices. These practices typically adapt to change, including in other livelihood opportunities. Spotlighting the knowledge and experience inherent within these practices will enable greater participation and transdisciplinarity in assessments, uncovering new insights into the often-hidden contributions of inland fisheries to food security and poverty alleviation (see Box 25, p. 154).
Catch data alone are not very informative regarding the status of inland fisheries. It is necessary to address the linkages and connections that exist in many fisheries, both to the wider aquatic environments and to communities and food systems. This requires methodological approaches that broaden the assessment’s scope and are relevant to its practical realities.
Participatory and integrated assessments
The ecosystem approach to fisheries addresses these needs, broadening the scope of an assessment to include ecological, social, economic, legal and institutional aspects. Furthermore, the EAF also recognizes the importance of Indigenous Peoples’ and local knowledge for planning and co-management. Approaches and methods need to address this connectivity, supporting the assessment requirements of fisheries that are dynamic and dispersed with limited data and resources. This is the case of length-based and empirical modelling approaches that can be expanded to capture the roles and values of inland fisheries and their relationships to other livelihood activities and locations. These need to portray the diverse economic practices evident in inland fisheries, including cooperation, gifting, reciprocity and collective investments in management that can reduce conflict and facilitate social protection.
Basin-scale assessment
Inland fisheries managers tend to have little influence or only a limited role in decisions related to water and land use at the catchment or basin scale. Marginalization of fisheries interests can have significant consequences for aquatic habitats and dependent communities, and it is therefore crucial to develop integrated and inclusive forms of assessment at the basin scale. One such basin-scale approach assesses and presents the types of threats and their level (see The status of fishery resources, p. 42); it can help prioritize interventions and show how different parts of a basin may contribute to the overall threat level, revealing priorities for management, conservation and ecosystem restoration.
Indicator inland fisheries
Building on the basin threat assessment, another priority is to develop methods to track a set of globally important fisheries through a network of indicator inland fisheries. Each of these would contribute information about the status and trends in aquatic environments in the basin concerned. Using a common framework for these indicator inland fisheries provides the basis for global-level assessments and opportunities for local, national and basin organizations to actively contribute. The criteria for selecting indicator inland fisheries can include those that are already monitored and those where monitoring is likely to generate information on status and trends, including examples where fisheries are predicted to be impacted by change. Criteria should also include contributions to food security, economies and livelihoods. Priority should be given to reliable and simple data collection protocols, for example, monitoring the catch composition by species or ecological guild (e.g. migratory species, long-living species, non-native species).
Technology and innovation for sustainable fisheries
The last decade has witnessed a wide range of technological advances with regard to sustainable fisheries. Innovations in fishing technologies, for example in fishing gears, vessels, propulsion systems and on-board equipment for handling and preserving the harvest, have improved global fishing efficiency, and both the catchability and the quality of fish. Fisheries management and legislation processes cannot always keep up with the rate of change. Economic incentives and efficiency gains are major drivers of innovation in gears. For example, fish aggregating devices (FADs) may include fish finders and transponders to inform fishers via satellite on the abundance of fish nearby. Improvements in gears address fisheries regulations to reduce the impact of fishing operations on aquatic habitats and biodiversity. Trawl gear innovations generally focus on measures to reduce bycatch and improve economic efficiency. See for example the FAO overview of fishing gears by type (He et al., 2021) and the FAO International Guidelines on Bycatch Management and Reduction of Discards (FAO, 2011c).
Fishing gear innovations from around the globe are shared annually by scientists of the Working Group on Fishing Technology and Fish Behaviour, supported by the International Council for the Exploration of the Sea (ICES) and FAO (FAO, 2024g). Additionally, under the auspices of ICES, European experts convene regular workshops on innovative fishing gear to produce factsheets on new gears and fishing methods.
Innovations coherent with the 2019 FAO Voluntary Guidelines on the Marking of Fishing Gear (FAO, 2019) and related manuals are being introduced worldwide to facilitate identification of gear ownership and address pollution from fisheries, including abandoned, lost or discarded fishing gear (ALDFG) (see Fisheries and aquaculture in the context of global biodiversity agreements, p. 205). The FAO manual for the marking of fishing gear (Einarsson, He and Lansley, 2023) provides practical guidance for complying with the gear marking requirements outlined in these international instruments and agreements.
Innovations in fishing vessels are often driven by economic incentives, which commonly lead to larger vessels with higher fishing capacity in terms of tonnage, length and engine power. FAO recently updated its overview of industrial fishing vessels by type (Thermes et al., 2023), documenting the trends in design and supporting better statistical data collection on fishing vessels. Small-scale fishing vessels are increasingly made of fibreglass reinforced plastic instead of wood. Furthermore, small-scale vessels with hulls made of plastic (polyethylene/high density polyethylene) have recently entered fisheries. These provide increased safety, durability and opportunities for recycling. Technological innovations for increasing safety at sea also exist and are presented in Box 29.
BOX 29TECHNOLOGICAL INNOVATIONS IN SUPPORT OF SAFETY AT SEA
Commercial fishing is one of the world’s most dangerous occupations. In 2019, FAO estimated that 32 000 fatalities occurred worldwide per year in fisheries. However, new research suggests that the fatality rate in fisheries is three to four times higher (Willis and Holliday, 2022). Non-fatal injuries are also very common among fishers, fish farmers and fishworkers (e.g. arm or leg fractures, head and neck injuries, and finger, hand, arm and leg amputations), although they are grossly under-reported.
Most accidents and fatalities happen in small-scale fisheries, which are the largest source of employment in capture fisheries worldwide. Bad weather, engine failure, collision, fire, improper vessel construction, overloading, fatigue, and insufficient safety and training are among the many risks faced by fishers. As the demand for aquatic foods is growing worldwide and as climate change is impacting fishing conditions, fishing and related activities could become more dangerous.
Through field projects, FAO is working with regional organizations, Members, fishers and fishing communities to improve the design, construction and equipment of fishing vessels, including materials and methods, stability and safety. FAO advises that small-scale fishing vessels should carry safety equipment and tools including – as a minimum – life jackets, life rings, marine compass, radio communication, GPS for navigation, first aid kit, fire extinguisher, emergency flares, Emergency Positioning Indicating Radio Beacon, anchor, paddles, and navigation lights for safety at night.
The usefulness of safety technology depends on the reliability of equipment and the ability of crew to use it properly. When fishing offshore, the engine should be dependable, and the crew should know how to use navigation, communication and fire extinguishing equipment. Availability of life jackets and provision of targeted training are fundamental to develop safety awareness and build capacity for reducing risks at sea. Cooperation between authorities, boat builders, boat owners and crew – in addition to the involvement of insurers and communities – is essential to create a safety culture in fisheries. Community-owned digital platforms and information and communications technologies are increasingly being used to improve safety at sea, with a positive impact on saving lives and reducing injuries.
Recent technological innovations that improve fishing safety and working conditions on board include new net and trap hauling systems, underwater trawl cameras, self-righting and unsinkable vessels, safer life jackets, and navigation systems with expanded capabilities (integrating satellite data and maps with wave heights, ocean currents, weather services, electronic chart display and information systems, and multibeam sonars).
The sixth International Fishing Industry Safety and Health Conference, hosted by FAO in January 2024, reviewed recent technological innovations in industrial fisheries safety. In many parts of the world, marine safety regulators, fisheries managers, fishers and fishing safety experts work together to ensure that technological innovations to improve safety and working conditions on board also benefit small-scale fishers worldwide.

© FAO/Kolitha Bandara

© FAO/Kolitha Bandara
Development in digital technologies has turned vessels, gears and FADs into data platforms for a wide range of purposes that include vessel monitoring systems, logbooks, sensors to detect fish, video recordings, fisheries management (Box 30) and remote sensing data such as the Automatic Identification System (AIS). These and other technologies, such as DNA profiling or satellite imagery, generate new and often big data flows, which offer novel opportunities to improve scientific and technical knowledge of fisheries and their interaction with their ecosystems.
BOX 30ARTIFICIAL INTELLIGENCE IN SUPPORT OF FISHERIES MANAGEMENT IN SAUDI ARABIA
A fisheries electronic monitoring system developed by FAO and Saudi Arabia has permitted the evolution of analogic data collection into a completely digitalized fisheries management system in the country.
The Fisheries General Directorate of the Saudi Arabian Ministry of Environment, Water and Agriculture (MoEWA) worked with FAO to develop the new technology, which enables the government to automatize the collection of data and statistics across the different sectors linked to fisheries. Cameras installed on board fishing boats, at landing sites and in auction halls help fisheries officials receive data and information online; the data are then processed using deep learning algorithms and the results automatically analysed by statistical software. The Fisheries Statistics Department of MoEWA recognizes this as an important step forward in the country's fisheries statistics system, because it increases the quantity and quality of data collected by enumerators in landing sites, overcoming problems arising from extreme weather conditions, remote area locations and difficulties in species identification.
Capture fisheries in Saudi Arabia increased from 49 000 tonnes in 2000 to 79 500 tonnes in 2022. There are more than 30 000 fisherfolk directly involved in capture activities and around 150 000 people employed throughout the sector, which has expanded rapidly in the country in recent years, assisted by government support, incentives and strong market demand.
Before the introduction of digital technology in 2021, fisheries officials were regularly deployed in the field to collect statistics and information manually – a costly process that delayed reporting, analysis and policy planning. At the end of 2021, a new digital system with mobile apps transformed this lengthy operation into a simple process, providing immediate updates on the sector through interactive maps, graphics and tables. A further step forwards in 2023 saw the introduction of cameras and deep learning algorithms that automatize data collection, thus completing the autonomous operation of the entire system.
The new system will provide the government with fast and accurate information and contribute to the sector’s sustainable growth, helping decision-makers when planning policies and investments in the sector.
This digital system – one of the key innovations in the ongoing FAO project "Strengthening MoEWA's capacity to implement its Sustainable Rural Agricultural Development (SRAD) programme (2019–2025)" – will improve the sustainable management of fisheries and aquaculture and help to ensure compliance with international standards in the management of marine ecosystems.
Sustainable aquatic foods can help address hunger and malnutrition and lower the environmental footprint of agrifood systems in Saudi Arabia, while providing income and revenue to those communities that depend on fisheries and aquaculture.

© FAO/Pedro Guemes
More than ever, sustainable management of fisheries must rely on robust data collection systems, which require operational and statistical data of high quality and resolution (FAO, 2016). Today’s data deluge must integrate big data concepts in design and analysis, implying also the successful integration of data across different domains. To ensure that data meet quality requirements, FAO recently produced the metadata standard on big data for fishery statistics. To promote scalable data-driven innovations, FAO collaborates with other stakeholders on the standardization and harmonization of statistical and operational systems (FAO, 2018b), for example: the Coordinating Working Party (CWP) on fishery statistics is considering how to integrate as a statistical standard the indicators derived from vessels transmitting (big) data such as AIS-based fishing activity. The Fisheries and Resources Monitoring System compiles through its Information Management Policy the standards, definitions and best practices underlying the data collated, stored and disseminated by FIRMS and their proper use in fisheries information systems.
FAO also provides tools for national fishery statistics and management information systems (e.g. Calipseo) (FAO, 2020), and supports databases of RFBs, which adopt the CWP standard for reference harmonization. These tools serve as examples of more efficient national systems for fisheries data collection and enhanced regional systems for data sharing. The innovations include data sharing and publishing open data through open platforms such as FAO’s Hand-in-Hand Geospatial Platform, the FIRMS Global Tuna Atlas, the Western Central Atlantic Fisheries Information System and the Global Record of Stocks and Fisheries. Improved standardization fosters consultation among stakeholders on data quality and validity, resulting in collaborative analysis of higher quality fisheries data.
With the recent advent of data-intensive artificial intelligence (AI) tools, the data held by fisheries organizations can be re-used in entirely new contexts. Recently proposed tools include generative AI models such as ChatGPT, AI classification models for satellite imagery, and machine learning for invasive species distribution forecasting and traceability. Innovative data services come however with many challenges and questions regarding social equity, data accessibility and benefit-sharing of products; for this reason, tailored guidance and policies are required to ensure a positive contribution to the SDGs. FAO is active in several partnerships such as the Rome Call for AI Ethics (FAO, 2021c), with the aim of promoting the safe and equitable use of AI within an inclusive and mutually rewarding environment.
Today, there are more than 7 billion mobile phone users, and countless sensors and instruments using information technology and artificial intelligence to generate big data. These data can improve fisheries management, provided there is adherence to proper guidance along the entire information spectrum on responsible and equitable access and use. For example, indicators for data quality, reliability and completeness are essential for building trust among stakeholders. The development of citizen science, whereby fisheries actors also become data providers, further necessitates consideration of their access and benefit-sharing. FAO is continuously adapting its data management policies, in collaboration with its partners, to keep abreast of these changes, and to guide the responsible use of new technologies.
- ak For full details, see: https://www.fao.org/iuu-fishing/resources/detail/en/c/1643116/
- al See: https://www.fao.org/iuu-fishing/resources/detail/en/c/1638082/
- am Part 6 of the PSMA addresses the requirements of developing states in relation to the implementation of port state measures consistent with the PSMA.
- an For example, through the Voluntary Guidelines for Transshipment, the PSMA (with statutory and related meetings of the parties), and the Joint FAO/ILO/IMO Ad Hoc Working Group on IUU Fishing and Related Matters.
- ao For further details, see: https://www.fao.org/iuu-fishing/en/
- ap For further details, see: https://www.fao.org/voluntary-guidelines-small-scale-fisheries/en
- aq For further details and information on the national, regional and interregional civil society and NGOs supporting the call, please see: https://static1.squarespace.com/static/5d402069d36563000151fa5b/t/630f4ab9289a9e1070774c67/1661946566757/UNOC+Call+to+action+online+pdf.pdf
- ar See: https://oakfnd.org/small-scale-fishers-supporting-people-and-nature-worldwide/
- as See: https://ssfhub.org/
- at Regional fisheries management organizations (RFMOs) and regional fisheries advisory bodies (RFABs) are collectively referred to as regional fishery bodies (RFBs).
- au See: https://www.fao.org/fishery/en/rsn
- av For further details, see: https://www.fao.org/fishery/en/eaf-net/about/what-is-eaf
- aw For more details, see: https://www.fao.org/3/nj568en/nj568en.pdf
- ax SRA+ includes options to estimate depletion based on external covariates (Ovando et al., 2021).
- ay The weight-of-evidence approach was initially developed by Australia (Stobutzki et al., 2015) to hypothesize alternative states on nature of the population based on different indicators (social, biological or economic). The weight of evidence would indicate the highest probability of a status using multiple approaches indicating the most likely outcome.