4. OTHER SURVEYS
In 1964 and 1965 a survey was conducted by the vessels MENIKA II and MANIHINE using longlines for tuna and tuna-like species and a dipnet for baitfishing (FAO/UNDP, 1966). The results of the baitfishing trials in northern Kenya using light attractions were very disappointing. EAMFRO scientists concluded that bait would have to be supplied from elsewhere. The results of the longline fishery were quite encouraging.
In 1966 a systematic survey was conducted using trammel nets for exploration of reefs, creeks and the coastline mainly for spiny lobster.
From 1967–69 survey activities were continued for tuna-like species and demersal species using longline, trawl and bottom longline (FAO/UNDP, 1966). Also the spiny lobster resource was studied.
The bottom longline survey with the R/V MENIKA from Lamu to Shimari only yielded good catches of snapper, scavengers and rock cod on the North Kenya Bank near Lamu. Local canoes had very good results with this gear near Malindi.
Bottom trawling was limited to Port Reitz and Ungwama Bay. Most of the data obtained are now of historical value. Research on lobster consisted of the collection of biological data. All these data could be used and compared with recent figures.
From 1969 to 1971 (FAO, 1971), the crustacea resources were the subject of a special study. Use was made of the 22.4 m R/V SHAKWE and of the small (7.6 m) M/V FAIRTRY. Only 66 trawl hauls were made in Ungwama Bay (0–10 fathoms), from November 1969–February 1971, and of these 38 were made in January/February 1970. The highest standing stock derived from these scanty data was 219 m.t. in November/December 1969. In the Sabaki/Mambrui area (6–25 fathoms) 392 hauls were made mainly from September 1970 to February 1971, and the maximum standing stock was found to be 182 m.t. in May/June 1970. The present shrimp fisheries should have yielded more and better data to assess the maximum potential yield of these resources.
The coast of Kenya forms a suitable habitat for spiny lobsters, stretching over 500 n.mi. In 1970 the main fishing areas were Lamu (60%), Mombasa and Shimani/Vanga. Based on daily trammel net sets over a 12-month sampling period, a total stock of 271 tons of lobster was estimated by Brusher, of which in 1967/68 about 50 tons were being harvested. Landings were 51 tons (1981) and 61 tons (1982), of which more than 50% was caught in the Lamu area.
In 1979–81 the R/V UJUZI carried out trials with electric reels, supported by handline fishing. Average catch rates on the North Kenya Bank ranged from 2.3 to 6.4 kg/reel/hr, with the highest yields at depths of 16 to 75 m during the S.E. monsoon. In other areas the average catchrates were much lower, below 1 kg/reel/hr. Snappers, groupers and scavengers formed the bulk of the catch on the North Kenya Bank.
In his technical report, Dr. Tarbit analysed bottom set longline results of EAMFRO's exploratory fishing programme. The north Kenya Bank appears to yield 2 to 3 times more than the rest of the coast and about the same as the shelf off Mafia Island, in particular at depths from 45–60 m (65 lb/100 hooks). The catch varied according to the substrate as illustrated in Table 5. He estimated a total standing stock of 10 000 tons from overall catchrates and 17 000 tons taking into account the substrate/catch variations. The sustainable yield of such a resource is determined by the natural mortality rate, which is probably low for the type of fish encountered. If this rate is 0.21, the potential could range from 1 000 to 1 7000 tons. It should be noted here that in case of heavy concentrated fishing catchrates would drop rapidly. Examples of these types of fisheries can be found in the Caribbean and also to some extent in the Seychelles.
In 1981 an aerial frame survey was conducted to assess the artisanal fisheries sector as part of a general effort to improve the collection of statistical data (Coppola, 1982).
The results of the four surveys with the DR. FRIDTJOF NANSEN in 1980, 1982(2) and 1983 are given in Iversen (1984). The biomass calculated from the systematic trawl surveys varies between 14 400 and 16 000 m.tonnes. The acoustically detected biomass, which includes all fish in the depth range between 10 m below the surface and say 1 m above the bottom, varies from 18 000 to 32 000 m.tonnes.
Assuming that most of this resource is not fished at the moment, since practically all fish landed is harvested in the non-surveyed areas, and taking an average natural mortality rate of M = 0.5 1, the potential yield in the surveyed area would range from 4 500 to 8 000 m.tonnes (Potx)) yield = 0.5 × 0.5 × Biomass). This is a rough approximation which could be improved by using the information on species composition obtained from the hauls with bottom and pelagic trawls. It should be noted that this estimate includes all species of all sizes. For commercial exploitation only a part of the acoustically detected biomass will be of interest. It should also be noted that this overall acoustic estimate includes scattered and very scattered fish, which will only be harvestable when occurring in certain concentrations.
5. CONCLUSIONS
Over a period of some 20 years most of Kenya's marine resources have been subjected at least once to survey activities. The main exception seems to have been the reeffish, which are probably the biggest contributors to Kenya's table fish, and which support a large artisanal fishery. In this case, and in the case of the shrimp and spiny lobster fisheries, data collected systematically from the existing fisheries should provide insight into the levels of maximum sustainable yield and thereby provide the necessary basis for fisheries management and/or development purposes.
The various survey results and estimated potentials presented in Table 6 are not easily comparable due to differences in coverage, in estimates of M and types of species included. The total potential yield of commercial species should be around 5 000 tonnes from the rough areas, around 5 000 tonnes from the trawlable areas outside the reefs plus Ungwama Bay, and some 4 to 5 000 tonnes of pelagic species, giving a total of 14 to 15 000 tonnes.
The catchability of most of the pelagic species is doubtful due to strong currents and lack of concentration of this resource.
If the present landings are 50% higher than the reported average of 5 000 tonnes, the yield from the inshore areas is at least as high as the calculated potentials. The resources in deeper waters, although largely unexploited, are limited and difficult to catch.
The offshore resources have now been researched to a level that allows planners and investors to judge the situation. Unfortunately the picture is bleak and the possibilities for development are very scanty indeed. One offshore resource that has drawn the attention of research over a large number of years are the big demersal fish of the North Kenya Bank, in particular on the mainland side. Exploitation by means of trawling should be excluded, but the feasibility of using small vessels fishing bottom longlines, reels and/or taps might be worth investigating.
A very important factor in fishery development planning and fishery research is the availability of reliable statistical information. It is hoped that the improvements suggested under the project KEN/74/023 will now been implemented. Biological sampling yields another set of valuable data for assessment and monitoring purposes. Kenya is ideally situated to set up efficient systems, but the area around Lamu may deserve special attention due to its relative inaccessibility.
6. References
Birkett, L., 1978 Western India Ocean Fishery Resources Survey. Report on the cruises of R/V Professor Mesyatsev, December 1975-June 1976/July 1977, Tech. Rep. Indian Ocean Programme, (21):97 p.
Burczynski, J., 1976 Echo survey along the East African coast from Mombasa to Laurenco Marques by R/V Professor Mesyatsev in Janury/February 1976. FAO Fisheries Travel Report and Aide Memoire, (1162) Suppl.1:28 p
Coppola, S.R., 1982 Aerial frame survey along the coast of Kenya (Artisanal sector) 21–23 November 1981. Work Report No. 10 of the “Offshore trawling survey” project KEN/74/023:55 p. (mimeo)
FAO, 1969 Report to the Government of Kenya on investigations into pelagic, demersal and crustacean resources off the coast of Kenya. Based on the work of A.M. Barker, Marine Fishery Biologist, Rep.FAO/UNDP(TA), (2733):31 p.
FAO, 1971 Report to the Government of Kenya on the evaluation of prawn (Penaeidae) and spiny lobster (Palinuridae) marine resources. Based on the work of H. Brusher, Marine Fishery Biologist. Rep. FAO/UNDP(TA), (3006):40 p.
FAO/IOP, 1979 Report of the workshop on the fishery resources of the western Indian Ocean south of the Equator. Mahe, Seychelles, 23 October-4 November 1978. Dev.Rep.Indian Ocean Programme, (45):102 p.
FAO/UNDP, 1966 Report to the Government of Kenya of a survey on longline fishing resources in East African waters. Based on the work of Robert R. Bell, FAO/TA Marine Fishery Biologist, and Takenao Ochi, FAO/TA Master Fisherman. Rep. FAO/UNDP(TA), (2191):27 p.
FAO/UNDP, 1981 Surface current movements of Kenya offshore waters observed during the survey period 1979–1981. Work Report No. 4 of the “Offshore trawling survey” project KEN/74/023:pag.var.(mimeo).
FAO/UNDP, 1982 Line fishing during the survey period 1979–1981. Work Report No. 6 of the “Offshore trawling survey” project KEN/74/023, 19p.(mimeo)
FAO/UNDP, 1982a The stock assessment of the Kenyan demersal offshore resources, surveyed in the period 1979–1980–1981. Work Report NO. 8 of the “Offshore trawling survey” project KEN/74/023, 58p.(mimeo)
FAO/UNDP 1983, Kenya, Offshore trawling survey project findings and recommendations. Report prepared for the Government of Kenya. Terminal Report FI:DP/KEN/74/023:29 p.
Institute of Marine Research 1981, Report on cruise with R/V DR. FRIDTJOF NANSEN off Kenya, 8–19 December 1980
Iversen, S.A., 1984, Kenyan marine fish resources in waters deeper than 10 m investigated by R/V “DR. FRIDTJOF NANSEN”. Report presented at the joint Kenyan/Norwegian seminar to review the marine resources of Kenya. Mombasa, Kenya, 13–15 March 1984, 60 p. (mimeo)
Tarbit, J., 1976, Terminal Report: April 1974-March 1976 Demersal Fisheries Research, EAMFRO, 28 p. (mimeo)
VNIRO, 1978 Western Indian Ocean fisheries resources survey FAO/UNDP/USSR Cooperative Project Dev.Rep.Indian Ocean Programme, (46):130 p. (limited distribution)
Williams, F., 1956 Preliminary survey of the pelagic fishes of East Africa. Colonial Office Fish.Publ.8
| Group | Biotope | Survey methods | Fishing gears | |
| 1. | Large pelagic fish tunas, sailfish, etc. | Oceanic surface | Aerial, sightings fishing with different gears | Gill nets, pole and line, longline, trolling, purse seines |
| 2. | Small pelagic fish sardines, horse mackerels, mackerels | Shelf, surface to bottom | Acoustics | Gill nets, purse seines, beach seines, pelagic and high opening trawl |
| 3. | Small demersal fish | Shelf, trawlable bottoms | Trawl (acoustics) | Bottom trawl (small mesh) |
| 4. | a.Shrimps (Penaeids) | Shelf, shallow usually muddy bottom | Trawl | Shrimp trawl (traps, etc., inshore) |
| b.Deep sea shrimp | Off the shelf | Trawl | Trawl | |
| 5. | Large demersal fish groupers, snappers | Shelf, very often untrawlable | (Lines) (gill nets) (traps) (diving) | Lines, gill nets, traps |
| 6. | a. Spiny lobsters | Shelf, reefs, untrawlable | Traps (spears) (diving) | Spears, traps, gill nets |
| b. | Deep sea lobster (Puerulus, Nephrops) | Just off the shelf, trawlable | Trawl | Trawl |
| 7. | Squid, octopus | Shelf, mid-water reefs | Trawl, pots | Trawl, pots, jigging |
| 8. | Gastropods, bivalves | Sighting, sampling | Collection, dredges | |
| 9. | Seaweeds | Shore | Sighting, sampling | Collection |
| 10. | Bêche de mer1 | Reefs | Sighting, sampling | Collection |
| Zones | No.of hauls | Mean catch rate | |
| kg/h | kg/n.mi | ||
| December 1975 - January 1976 | |||
| 1 | 5 | 300 | 71 |
| 2 | 7 | 680 | 179 |
| 3 | 5 | 140 | 3 |
| March 1976 | |||
| 1 | 5 | 557 | 133 |
| 2 | 3 | 80 | 20 |
| 3 | 9 | 171 | 50 |
| June 1976 | |||
| 1 | 4 | 1610 | 383 |
| 2 | 2 | 670 | 176 |
| 3 | ? | 860 | 230 |
| July 1977 | |||
| 1 | 7 | 875 | 202 |
| 2 | 8 | 1444 | 370 |
| 3 | 17 | 356 | 110 |
| November 1977 | |||
| 1 | - | - | - |
| 2 | 6 | 1339 | 255 |
| 3 | 23 | 218 | 64 |
| Zone | Depth m | Area km2 | Density t/km2 | Biomass t | Yield t | Research |
| a) Lamu | 200 | 3531 | ? | ? | 17001 | not trawlable |
| Lamu | 200 | included | in Ungwama | Bay | ||
| b) Ungwama Bay | 200 | 6812 | 2.5 | 17030 | 4300 | |
| Ungwama Bay | 200 | 4130 | 0.85 | 3510 | 900 | |
| c) Midcoast | 0–400 | 3618 | ? | - | 18001 | not trawlable |
| d) South coast | 0–400 | 1108 | ? | - | 550 | not trawlable |
| e) N. of Pemba | 100–200 | 1312 | 1.65 | 2165 | 540 | trawlable |
| Total | 0–400 | 20511 | 9790 | (0.48 t/km2 or 4.8 kg/ha) |
Source:FAO/IOP, 1979
a From Somali border to 2°22'S
d From 4°30'S to Tanzanian border
e Area offshore, north of Pemba island (partly Tanzanian waters)
| Species groups | North Kenya Bank 10–100 fath | Off Malindi and Ungama Bay | Malindi Bank to Pemba Island 20–400 fath | Total Offshore Area | Composition as % of potential yield | |||||||
| Shallower than 100 fath | Deeper than 100 fath | |||||||||||
| Biomass | Potential Yield | Biomass | Potential Yield | Biomass | Potential Yield | Biomass | Potential Yield | Biomass | Potential Yield | with D and F | without D and F | |
| A. Sharks and rays | 1 285 | 161 | 1 626 | 203 | 2 732 | 341 | 1 528 | 191 | 7 171 | 896 | 10.0 | 21.9 |
| B. Big commercial fish | 3 891 | 517 | 1 053 | 175 | 666 | 117 | 676 | 115 | 6 286 | 924 | 10.3 | 22.6 |
| C. Small commercial fish | 48 | 14 | 560 | 168 | 348 | 104 | 97 | 29 | 1 053 | 315 | 3.5 | 7.7 |
| D. Small non-commercial fish | 470 | 141 | 279 | 83 | 5 718 | 1 615 | 6 687 | 2 006 | 13 154 | 3 845 | 43.0 | - |
| E. Lobster, shrimp | - | - | 9 | 11 | 1 833 | 1 033 | 343 | 218 | 2 185 | 1 262 | 14.1 | 30.9 |
| F. Swimming crabs | 1 333 | 1 000 | - | - | - | - | - | - | 1 333 | 1 000 | 11.2 | - |
| G. Cephalopods | 102 | 77 | 16 | 13 | 533 | 400 | 268 | 201 | 919 | 691 | 7.7 | 16.9 |
| All species | 7 129 | 1 910 | 3 543 | 653 | 11 830 | 3 610 | 9 599 | 2 760 | 32 101 | 8 933 | 99.8 | - |
| All groups expect D and F | 5 326 | 769 | 3 264 | 570 | 6 112 | 1 995 | 2 912 | 754 | 17 614 | 4 088 | - | 100.0 |
| Trawlable surface (n.mi2) | 726 | 161 | 979 | 1 247 | 3 113 | |||||||
| Total biomass density | ||||||||||||
| t/n.mi2 | 9.8 | 22.0 | 12.1 | 7.7 | 10.3 | |||||||
| kg/ha | 28.5 | 64.1 | 35.2 | 22.4 | 30.0 | |||||||
| Potential yield (except groups D and F) | ||||||||||||
| t/n.mi2 | 1.06 | 3.54 | 2.04 | 0.60 | 1.31 | |||||||
| kg/ha | 3.1 | 10.3 | 5.9 | 1.8 | 3.8 | |||||||
D. Small non-commercial fish: mainly deepsea species
G. Cephalopods: squid, cuttlefish, Sepia, Loligo
Source: FAO/UNDP, 1983
| Substrate | Catch rates | % species distribution | |||||
| 1b/100 hooks | kg/100 hooks | snappers | scavengers | groupers | sharks | others | |
| Hard rough ground | 97 | 44 | 64.8 | 8.3 | 26.8 | 0 | 0 |
| Level ground with knolls | 129 | 59 | 36.0 | 39.0 | 20.1 | 4.9 | 0 |
| Hard flat coral rubble | 80 | 36 | 1.5 | 83.3 | 8.3 | 6.9 | 0 |
| Flat fine grain with sponges | 44 | 20 | 0 | 81.4 | 5.8 | 0 | 13.3 |
| Vessel/Source | Method | Area covered | Biomass | Pot. yield |
| Tarbit | Lines | Rough grounds | 10–17 | 1 – 1.7 |
| Prof. Mesyatsev | Acoustics Trawl | Variable, not all Ungwama Bay and Pemba area | 6.6–18.4 22.71 | 10 5.71 |
| Ujuzi | Trawl | Total area between 20 and 300 m. | 32.11 17.62 | 8.91 4.12 |
| Dr. Fridtjof Nansen | Trawl Acoustics | Total shelf area over 20m depth | 14.4 – 161 18 – 32 | 3.6 – 41 4.5 – 8 |
| FAO/TOP Workshop | Yield 0,5 t/km2 | Non trawlable areas | - - | 4.0 |
1 Including all species retained in the trawl

FIG 1 THE “TRESKA-M2” TYPE TRAWL DESIGN
Source: VNIRO, 1978

Figure 2. The 55 metre lobster trawl design
Source: VNIRO, 1978

FIG 3a TRAWLING STATIONS IN UNGWAMA BAY IN 1975 AND 1976
Source: VNIRO, 1978

Fig. 3b. Trawling stations in Ungwama Bay 1977.
Source: VNIRO, 1978.

Fig. 4. Calibration of the echo integrator by means of catch.
Source: Burczyhski, 1976.
By
J.D. Ardill
FAO/SWIOP, Seychelles
1. Tuna Species and their Distribution in relation to Geographic and Oceanographic Conditions
The tuna species common in the SWIO area are listed below, together with their biological characteristics and distribution (Appendix 1).
Little tuna are generally a coastal species found on shallow banks, whereas the other species are oceanic.
Tunas are unique among fishes in having limited thermo-regulatory capacity. Blood can be shunted through vessels close to the skin, or along the vertebrae in order to conserve or dissipate heat. Their preferred temperature range is however fairly limited (Table 1), and prolonged excursion outside this range can result in death.
Another characteristic of the tunas is the limited development of their swim bladders. Skipjack have no swim bladder, while in the other species, only the older individuals develop one; concurrently with an increase in body fat which reduces density.
Table 1: Temperature preferance and Oxygen tolerance of main SWIO tunas.
| Common name | Scientific name | Temperature preference | Oxygen tolerance (10 minute) 50–70cm tuna |
| a) Skipjack | -Katsuwonus pelamis | 20–32°C | 2.5–3.0 ml/L |
| b) Yellowfin | -Thunnus albacares | 23–32 | 1.5–2.5 |
| c) Big-eye | -T. obesus | 11–23 | 0.5–1.0 |
| d) Albacore | -T. alalunga | 15–22 | 1.7–1.4 |
| e) Little tuna (Kawakawa) | -Euthynnus affinis | 18–29 |
As a consequence, tuna have to swim continuously to avoid sinking. This effect is particularly marked for skipjack and juveniles of the other species. Their metabolic requirements are therefore very high, and in consequence, their requirements for food and oxygen (Table 1).
Sharp (1979) has, on the basis of long-term average sea temperature and oxygen records (Fig. 2) , predicted the areas of the Indian Ocean in which the various tuna species are seasonnally accessible to surface fisheries.
Conditions may however vary considerably from these averages in any given year in a given area. Coastal areas, whether they be of the mainland or of island groups and oceanic banks, may also sufficiently perturb water temperatures and oxygen concentrations to make them accessible to tuna during a season where the general area is inhospitable.
x Prepared for the NORAD Seminars in Kenya, Tanzania and Mozambique.
Similarly, it should be remembered that tuna are not primarily surface-dwelling species. They more generally inhabitat the temperature oxygen stratum which suits them - often close to the thermocline - and make more-or-less brief excursions to the surface or to greater depths, despite possibly stressful temperature or anoxic conditions in one case or the other.
It has been proved, nevertheless, that there is a direct relationship between the productivity of purse-seining and the emergence of the 15°C and 23°C isotherms above the maximum and minimum immersion depths of purse seines. This may be related to the more frequent presence of tuna schools at the surface under these conditions, as there are many examples of tuna diving out of seines through the thermocline, and early results from the SWIO purse seine fishery indicate that many successful sets are made despite a deep thermocline. This is also confirmed by the co-existence in this area of longline and purse seine fisheries, which had previously thought to be mutually exclusive in that longlines, fishing typically between 50 and 200m deep, would normally be in conditions inhospitable to tunas where the thermocline is shallow and structured.
2. Tuna Fisheries
(a) Traditional and Artisanal
Other than trolling, generally carried out on the way to and from fishing grounds and often more directed to Scomberomorus than to tunas, only in the Comoros is there (in the SWIO region) a fishery specifically directed to catching the larger tunas: this is by droplining using live fish as bait. Yellowfin are the usual target species, but albacore and billfish are also caught.
This fishery has developed in the Comoros Islands due largely to the very sharp drop-off of the shelf to deep water, which allows tunas to come close inshore where they are accesible to fishermen in dug-out canoes. Typically, the bait-fish, kept alive in a basket immersed in the sea, are hooked through the eye. The line is weighted by small stones which are released at a predetermined depth, allowing the bait-fish to swim more easily. Some 1800 tonnes of tuna are caught annually by this method.
Other artisanal means of fishing are:
1. Gill netting: (drift nets) - widely used in Sri Lanka and India - applied experimentally with some success in association with FADs: particularly effective if livebait is used also.
2. Pole-and-line with Livebait : used in Maldives (20 000t/year), particularly with driftwood-associated schools of skipjack and juvenile yellowfin. Livebait, caught by chumming with tuna “paste” among coral reefs, is kept alive in the bottom of the boat (dhoni) which is holed to permit water circulation. This bait is used to chum tuna, frequently assocated with driftwood, which are caught with bamboo poles fitted with a short line and lure or baited hook. Artisanal livebait fishing will be tried with FADs in Mauritius and Podriguez.
(b) Industrial
The three major industrial fishing gears for tuna are longlines, pole-and-line (livebait) and purse seines.
(i) Longline: Tuna longlining was first developed in the Indian Ocean in the early 1960's by Japanese vessels based mainly on Mauritius, and later at Mombasa, in Seychelles, in Durban and in Péunion. The gear is illustrated in Fig. 3.
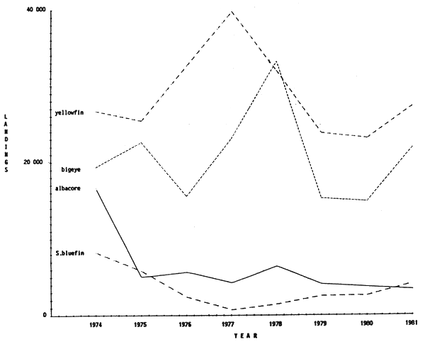
Target species with this gear was albacore (with a significant bycatch of blue shark) during the Southern winter months, and yellowfin the rest of the year. As from the 1970's, the majority of the fleet was from South Korea and Taiwan, as the profitability of this fishery declined with lower catch rates, increased costs and stagnation of prices. The nature of this fishery started changing as from 1976 with a gear modification, the elimination of alternate buoys, which allowed the gear to fish deeper and catch significantly more bigeye tuna. This species has a higher value for consumption as sushimi (Japanese raw fish) if frozen and stored at very low temperatures (-60° C/-45° C). This increased value justified the re-entry of the Japanese into the fishery, and the major fishing area became the Seychelles, the vessels fishing for cannery fish remaining at the Southern ports.
The landings of longline-caught fish are shown from 1974 to 1981 in Fig. 4.
(ii) Pole-and-line: The gear is illustrated below in Fig. 5.
Tuna, usually skipjack and juveniles of yellowfin and bigeye in surface-swimming schools are attracted to the fishing vessel by small fish (often anchovies or sardines) kept alive in wells on the fishing vessel and thrown into the sea when a school of tuna is approached. The tuna are then caught on the barbless hooks illustrated. There are thus two distinct fisheries: that for bait and that for tuna.
Apart from the traditional Maldivian fishery described above, the first attempts at this type of fishing in the area were those based on Nosy-Bé (Madagascar) from 1973 to 1975. Technically a success, as annual catches of over 1 000t. of tuna per vessel were achieved, this fishery folded up for financial reasons.
This method then formed the basis for a fishery project in Seychelles in 1979–80, but was a failure on account of difficulties in catching baitfish, and for organizational reasons. The Seychelles operation was however taken up again experimentally by two Spanish vessels in 1980–81, and the problems of catching both bait and tuna were resolved for at least part of the year. It is planned to resume this fishery, which has the great advantages of reasonable investment and technological requirements, under a Seychelles-Spanish joint venture. Test-fishing projects using livebait are also operational or due to start shortly in Zanzibar, Mozambique and Mauritius, and Madagascar also plans to resume the fishery.
(iii) Purse seining: Purse seining has for number of years been the main fishing method for tunas in both the Eastern Pacific and Ocean and the Atlantic. It was believed, however, that the Western basins of the Pacific and Indian Oceans did not offer suitable oceanographic conditions for purse seining, notably as concerns the structure of the thermocline. Test fishing run concurrently by Japanese and FAO-chartered vessels in the Western Pacific around 1975 on driftwood-associated schools invalidated this assumption.
The first attempts at purse seining tuna in the SWIO region took place in 1979 and were inconclusive due to weather conditions. These were followed by more successful attempts in 1980 and 1981. As from 1983, the fleet based in Seychelles has built up from one to four to fourteen vessels, and by the end of the year there could be as many as thirty vessels in the zone.
Early results in the area indicate that from October to March, a fishery for free swimming schools of large yellowfin tuna (40kg +), while the main catch the rest of the year is on driftwood-associated skipjack. In 1983, however, the catch in July/August was negligeable due to strong winds.
Purse seine gear is illustrated in Fig. 6.
Oceanic seiners in use at present vary typically between 50 and 75m in length, with hold capacities of 500–700t of tuna refrigerated in brine. This type of vessel evolved with the need to travel long distance searching for tuna, the 70m class vessels actually fishing across the width of the Atlantic. Investment and fuel costs have now risen to such an extent, however, that a certain standardisation appears to be evolving on the 50m class which has identical catching capacity on shorter range operations, and can more profitably fish on small schools of tuna.
Purse seining is more dependent on weather conditions than other tuna fishing methods, not only as the fish have to be available at the surface for a relatively long time, but as the gear cannot be operated in rough seas. Typically, wind strengths of more than 15kts make fishing impossible, as do the presence of shear currents in the upper 200m of the ocean. On the basis of conditions suitable for tuna to be present in surface waters and weather conditions suitable for purse seining, charts can be made showing the “window” accessible to purse seining under average conditions (Fig. 7). It should be noted that shelf areas are totally inacessible to this gear because of the risk of snagging the sea floor.
(c) Fish Aggregation Devices
Fish Aggregation Devices (FADs) are of interest to both artisanal and industrial fisheries. Typically as concerns tuna they are floating rafts, usually with appendages hung underneath (palm fronds, old netting, used tyres…), which may be anchored (such as the Philippine ‘payaos’), or drifting (Fig. 8). Migrating tuna aggregate around FADs, sometimes for periods of several weeks, and are then much more accessible to fishing, both due to the reduction of searching time (the fisherman knows the location of his FAD), and due to the fact that the swimming speed and range of the fish are reduced.
Drifting FADs are normally used by oceanic seiners, and are located by means of radio buoys (such buoys are also used to track driftwood which attracts tuna in the same manner as FADs-both techniques have been used successfully in the Seychelles fishery). Anchored FADs are used both by coastal seiners and by artisanal fisheries. It is significant that the vessels used to seine FAD-associated fish are generally much smaller and less sophisticated than oceanic seiners.
As a cautionary measure, FADs should not be used in the context of an intensive fishery. Typically, juvenile tuna associated with FADs are more vulnerable to fishing as they are found at shallower depths. In the Philippines where payaos are concentrated in a tuna nursery area, it is suspected that despite the high fecundity of tunas, growth overfishing may occur (Pauly, 1982). Catches of yellowfin as small as 18cm are reported from this fishery in quantities which are unknown as they are frequently landed with scads.
Experimental FADs have now been set in Seychelles, Mauritius, Comoros, Zanzibar, Mozambique, Maldives and Sri Lanka. Many of the FADs have had short service lives due to engineering problems and vandalism, but their efficacity in attracting tuna is proved for those which were properly located. FADs are likely to be a sine qua non condition for the development of surface tuna fisheries in this region if the problem of surface currents is resolved (SWIOP is currently testing designs for deployment in regions with strong coastal currents). Growth overfishing is not likely to occur in the forseeable future as this depends on the existance of coastal seiners, and of high local market demand for small fish (canning is not economic for these sizes).
3. State of Exploitaton of Stocks
To date, the state of exploitation of stocks have been considered only with respect to longline fisheries, mainly because the exploitation of skipjack and juvenile tunas was at too low a level to permit any evaluation.
At a workshop on the State of Tuna Fisheries and Tuna Stocks in the Pacific and Indian Oceans, held in Shimizu, Japan, 13–22 June 1979, the following conclusions were drawn from available data:
"In all the longline fisheries, the catch rate, in numbers and weight, has declined since the start of the fisheries in some cases very drastically. The general shape of the relation between the total longline catch and the total amount of fishing (standardised number of hooks) seems to be much the same for all species- a general flattening out to a level of catch which can be maintained over quite a wide range of fishing efforts- although the development of the fishery along these curves vary:
Fishing effort on yellowfin in the Indian Ocean, southern bluefin and billfish could be decreased without any loss of sustained catch.
The maximum level of albacore catch has been approached.
Increased fishing for bigeye can be expected to give increased total catches, possibly at the expense of reduced catch rates."
The relationships for CPUE and Mean Effort for yellowfin and bigeye in the Indian Ocean are illustrated in Fig. 9.
A meeting of the joint IOFC/IPFC Committees on the Management of Indian Ocean and Indo-Pacific Tunas is scheduled to be held in conjunction with the IPFC meeting later this year in order to update estimations. If, however, the relationships between catch and effort made at Shimizu are valid it can be seen from Fig. 4 that even bigeye stocks are fully exploited.
Estimates of tuna potential for surface fisheries can only be made on the basis of analogy with other oceans or on trophic levels based on primary productivity. The validity of these estimates may however be highly questionable, as the Indian Ocean differs from the other oceans not only in oceanographic conditions, but also in biological pathways (eg. the preponderence of myctophids in the pelagic stocks of the Northwestern margin).
The work of the South Pacific Commission skipjack programme indicate that, in that area, exploitable skipjack resources may approach 1 million tonnes- far more than originally thought, and that the ‘turnover’ of skipjack in any given coastal area could be as high as 20% monthly. Consequently, although surface fisheries may permit an increase of only some 40% above longline catches of yellowfin, stocks of skipjack may be higher than the 200–400 000t provisionally quoted for the Western Indian Ocean.
Inherent in the concept of stock is that of its distribution. Tuna are commonly classed as a ‘highly migratory species’, and this concept may be misleading. In the Pacific, opinions vary as to the number of skipjack stocks, between one and five. Superimposed on this is the possibility that each shoal area may have a ‘resident’ sub-population of skipjack which have ‘chosen’ not to follow the oceanic migration pattern, and in order to compensate for the stressing temperature and food conditions in these areas, exhibit a reduced growth rate. Similarly, Sharp has demonstrated in the Eastern Pacific that yellowfin do not normally migrate outside a radius of 600n miles.
If these concepts prove valid for the Indian Ocean, high levels of fishing effort, as may be found with the development of the Seychelles purse seine fishery, may not greatly affect other areas, at least in regard to coastal fisheries.
4. Prospects for Expansion
Development of long line fisheries by SWIO countries, based on the model of the fleets now exploiting the Indian Ocean does not appear to be an attractive proposition until such time as fishing effort of these fleets in substantially reduced. This is particularly true as the Seychelles purse seine fishery is at present catching a substanial proportion of large yellowfin, and this can be expected to further reduce long line catch rates.
This, however, does not preclude the possibility of developing coastal long line fisheries, based on the use of smaller boats and reduced crews. Experimental fishing in the Eastern Pacific with boats of about 15m and crews of 3–4 men have given economically positive results.
As regards surface fisheries, prospects appear much better, in respect both to stock size and availability of fish in coastal regions. In fact, the seasonality of coastal fisheries for tuna off the East African coast may be more linked to the inability of fishing craft to acceed to the fish offshore due to weather and current conditions, than the non-occurrence of fish.
The strategy of development of coastal fisheries, however, will be conditioned as much by investment needs and market opportunities as by the availability of fish. Tuna have generally been regarded as destined to export markets rather than meant for local consumption.
Two problems exist: the high investment needs for an export oriented industry, and the present depressed state of the main tuna markets.
Export marketing requires a high quality frozen product, involving freezing or the use of ice on board and sufficient freezing and storage capacity ashore to justify the displacement of reefer ships. Minimum yearly production of 1–2,000t is therefore needed unless tuna trans-shipment or processing facilities which are able to absorb progressive landings of tuna already exist locally. These conditions are found in Mauritius (cannery) and now in Seychelles (foreign surface fisheries).
World tuna prices are largely dependent on the US market, which is, at over 200,000t (1978) the largest importer of tuna. In 1975 and 1981, prices dropped dramatically due to lowered livestock and poultry prices (soja and cereal prices dropped), and at present, prices have not recovered due to accumulated stocks. Sushimi on the Japanese market is between U.S.$1 500 and 2 000 per ton, whereas skipjack is at $750/t. Albacore sells at $1 650/t, and yellowfin on the Italian market is at $1 500/t.
At these prices, account taken of the need for high investment and imported expertise in a new fishery, setting up export-oriented tuna fisheries is a doubtful proposition. An FAO Investment Centre mission to a SWIO country recently evaluated the internal rate of return of a pole-and-line venture at under 4%, despite the existence of processing facilities ashore.
It would appear, therefore, that the best strategy for countries of the region at this stage is to develop coastal fisheries aimed principally at local consumption. This will permit the constitution of a core of competent tuna fishermen, who will be available when conditions are favourable for the development of an export industry.
| YEAR | AUTHOR | TITLE | PUBLICATION |
| 1974 | DUPONT, Etienne et A. RALISON A MADAGASCAR EN 1973 | RESULTATS DE LA PECHE A LA BONTIE | MAG/68/515 No 14 |
| PECKHAM Charles, J., & PATTERSON Paul H. , & ALVERSON Franklin, G. LANIER Barry, V., & BROADHEAD Cordon, C. | INTERNATIONAL TRADE - TUNA, SHRIMP CRAB, FISH MEAL, GROUNDFISH., | INDIAN OCEAN FISHERY COMMISSION | |
| 1978 | LEE, R.E.K.D. | RESULTS OF SMALL SCALE LIVE BAIT POLE-AND-LINE FISHING EXPLORATIONS FOR TUNA IN THE PHILIPPINES | SCS FISHERIES DEV. & COORDINATING PROGRAMME |
| 1979 | ANON | STATE OF SELECTED STOCKS OF TUNA AND BILLFISH IN THE PACIFIC AND INDIAN OCEAN COUNTRIES | FAO FISHERIES TECHNICAL PAPER NO 200 |
| SHARP Gary. D. | AREAS OF POTENTIALLY SUCCESSFUL EXPLOITATION OF TUNAS IN THE INDIAN OCEAN WITH EMPHASIS ON SURFACE METHODS | DEVELOPMENT REPORT NO. 47 | |
| 1980 | BEN-YAMI, M. | TUNA FISHING WITH POLE AND LINE | FAO FISHING MANUALS |
| KLAWE, W.L. | LONG-LINE CATCHES OF TUNAS WITHIN THE 200-MILE ECONOMIC ZONES OF THE INDIAN AND WESTERN PACIFIC OCEANS | DEVELOPMENT REPORT NO. 48 | |
| SKILLMAN, R.A. | TUNA STATISTICS INDO-PACIFIC AND INDIAN OCEANS | SCS FISHERIES DEV. & COORDINATING PROGRAMME | |
| 1981 | MARCILLE, J. et DE REVIERS, X. | SECTEURS FAVORABLES A LA PECHE AU THON A LA SENNE DANS L'OCEAN INDIEN | COFREPECHE |
| SHARP Gary, D. | WHAT IS A TUNA SCHOOL? | INTRODUCTORY DOCUMENT FOR THE ICCAT/SCRS SYMPOSIUM | |
| 1983 | COLLETTE, Bruce B. & Cornelia E. NAUEN | FAO SPECIES CATALOGUE: VOL. 2 SCOMBRIDS OF THE WORLD | FAO FISHERIES SYNOPSIS NO. 125 VOL 2 |
| YESAKI, Mitsuo | OBSERVATIONS ON THE BIOLOGY OF YELLOWFIN (THUNNUS ALBACARES) AND SKIPJACK (KATSUWONUS PELAMIS) TUNAS IN PHILIPPINE WATERS | IPTP/83/WP/7 |
Appendix 1.
| Euthynnus affinis (Cantor, 1849) | SCOMBR Euth 2 |
Thynnus affinis Cantor, 1849, J.Asiatic Soc. Bengal, 18(2): 1088–1090 (Sea of Penang, Malaysia).
Synonymy: Euthunnus yaito Kishinouye, 1915; Wanderer wallisi Whitley, 1937; Euthunnus affinis affinis - Fraser-Brunner, 1949; Euthunnus affinis yaito- Fraser-Brunner, 1949; Euthunnus alletteratus affinis-Beaufort, 1951; Euthunnus wallisi- Whitley, 1964.
FAO Names: En - Kawakawa; Fr- Thonine orientale; Sp - Bacoreta oriental.

Diagnostic Features: Gillrakers 29 to 33 on first arch; gill teeth 28 or 29; vomerine teeth absent. Anal fin rays 13 or 14. Vertebrae 39; no trace of vertebral protuberances; bony caudal keels on 33rd and 34th vertebrae. Colour: dorsal markings composed of broken oblique stripes.
Geographical Distribution: Throughout the warm waters of the Indo-West Pacific, including oceanic islands and archipelagos. A few stray specimens have been collected in the eastern tropical Pacific.

Habitat and Biology: An epipelagic, neritic species inhabiting waters temperatures ranging from 18° to 29° C.
Like other scombrids, E. affinis tend to form multispecies schools by size, i.e. with small Thunnus albacares, Katsuwonus pelamis, Auxis sp., and Megalaspis cordyla (a carangid), comprising from 100 to over 5 000 individuals.
Although sexually mature fish may be encountered throughout the year, there are seasonal spawning peaks varying according to regions: i.e. March to May in Philippine waters; during the period of the NW monsoon (October-November to April-May) around the Seychelles; from the middle of the NW monsoon period to the beginning of the SE monsoon (January to July) off East Africa; and probably from August to October off Indonesia. The only available information on fecundity applies to Indian Ocean material: a 1.4 kg female (ca 48 cm fork length) spawns approximately 0.21 million eggs per batch (corresponding to about 0.79 million per season), whereas a female weighing 4.6 kg (65 cm fork length) may spawn some 0.68 million eggs per batch (2.5 million per season). The sex ratio in immature fish is about 1:1, while males predominate in the adult stages.
E. affinis is a highly opportunistic predator feeding indiscriminately on fish, shrimps and cephalopods. In turn, it is preyed upon by marlins and sharks.
Size: Maximum fork length is about 100 cm and weight about 13.6 kg, common to 60 cm. The all-tackle angling record is a 11.80 kg fish from Merimbala, New South Wales, with a fork length of 96.5 cm taken in 1980. In Philippines waters, maturity is attained at about 40 cm fork length, while in the Indian Ocean it is reached between 50 and 65 cm in the 3rd year of age.
| Thunnus alalunga (Bonnaterre, 1788) | SCOMBR Thun 1 |
Scomber alalunga Bonnaterre, 1788, Tableau Encyclopédique et Méthodique, lchthyologie: 139 (Sardinia)
Synonymy: Scomber altunga - Gmelin, 1789; Scomber germo Lacepède, 1800; Orcynus germon- Cuvier, 1817; Orcynus alalonga- Risso, 1826; Thynnus alalonga-Cuvier in Cuvier & Valenciennes, 1831; Thynnus pacificus Cuvier in Cuvier & Valenciennes, 1831; Orcynus alatunga- Gill, 1862; Thunnus alalonga - South, 1845; Thunnus pacificus - South, 1845; Orcynus pacificus Cooper, 1863; Orcynus germo - Lütken, 1880; Germo alalonga- Jordan, 1888; Albacora alalonga - Dresslar & Fesler, 1889; Germo alalunga - Jordan & Evermann, 1896; Thynnus alalunga - Clarke, 1900; Germo germon - Fowler, 1905; Germo germo - Jordan & Seale, 1906; Thunnus alalunga - Jordan, Tanaka, & Snyder, 1913; Thunnus germo - Kishinouye, 1923; Germo germon steadi Whitley, 1933.
FAO Names: En - Albacore; Fr - Germon; Sp - Atún blanco.

| Diagnostic Features: A large species, deepest at a more posterior point than in other tunas (at, or only slightly anterior to, second dorsal fin rather than near middle of first dorsal fin base). Gillrakers 25 to 31 on first arch. Second dorsal fin clearly lower than first dorsal; pectoral fins remarkably long, usually 30% of fork length or longer in 50 cm or longer fish, reaching well beyond origin of second dorsal fin (usually up to second dorsal finlet). Fish smaller than 50 cm will have proportionately smaller pectorals than other tunas, i.e. T. obesus. Ventral surface of liver striated (vascular network). Swim- bladder present, but poorly developed and not evident in fish smaller than about 50 cm fork length. Vertebrae 18 precaudal plus 21 caudal. Colour: a faint lateral iridescent blue band runs along sides in live fish; first dorsal fin deep yellow, second dorsal and anal fins light yellow, anal finlets dark; posterior margin of caudal fin white. | ![]() liver |
Geographical Distribution: Cosmopolitan in tropical and temperate waters of all oceans including the Mediterranean Sea, extending north to 45 to 50°N and south to 30 to 40°s, but not at the surface between 10°N and 10°S.

Habitat and Biology: An epi- and mesopelagic, oceanic species, abundant in surface waters of 15.6° to 19.4°C; deeper swimming, large albacore are found in waters of 13.5° to 25.2°C; temperatures as low as 9.5°C may be tolerated for short periods. In the Atlantic, the larger size classes (80 to 125 cm) are associated with cooler water bodies, while smaller individuals tend to occur in warmer strata. According to data presently available, the opposite occurs in the northeastern Pacific. Albacore tend to concentrate along thermal discontinuties (oceanic fronts such as the Transition Zone in the north Pacific and the Kuroshio Front east of Japan) where large catches are made. The Transition Zones are preferred to cooler upwelling waters which are richer in forage organisms but poorer in oxygen content. Minimum oxygen requirements are probably similar to those of yellowfin tuna, that is about 2 ml/l. Albacore migrate within water masses rather than across temperature and oxygen boundaries.
| Thunnus albacares (Bonnaterre, 1788) | SCOMBR Thun 3 |
FAO Names: En - Yellowfin tuna; Fr - Albacore; Sp -Rabil.

| Diagnostic Features: A large species, deepest near middle of first dorsal fin base. Gillrakers 26 to 34 on first arch. Some large specimens have very long second dorsal and anal fins, which can become well over 20% of fork length; pectoral fins moderately long, usually reaching beyond second dorsal fin origin but not beyond end of its base, usually 22 to 31% of fork length. No striations on ventral surface of liver. Swimbladder present. Vertebrae 18 precaudal plus 21 caudal. Colour: back metallic dark blue changing through yellow to silver on belly; belly frequently crossed by about 20 broken, nearly vertical lines; dorsal and anal fins, and dorsal and anal finlets, bright yellow, the finlets with a narrow black border. | ![]() |
Geographical Distribution: Worldwide in tropical and subtropical seas, but absent from the Mediterranean Sea.

Habitat and Biology: Epipelagic, oceanic, above and below the thermocline. The thermal boundaries of occurrence are roughly 18° and 31°C. Vertical distribution appears to be influenced by the thermal structure of the water column, as is shown by the close correlation between the vulnerability of the fish to purse seine capture, the depth of the mixed layer, and the strength of the temperature gradient within the thermocline. Yellowfin tuna are essentially confined to the upper 100 m of the water column in areas with marked oxyclines, since oxygen concentrations less than 2 ml/l encountered below the thermocline and strong thermocline gradients tend to exclude their presence in waters below the discontinuity layer. Larval distribution in equatorial waters is transoceanic the year round, but there are seasonal changes in larval density in subtropical waters. It is believed that the larvae occur exclusively in the warm water sphere, that is, above the thermocline.
Schooling occurs more commonly in near-surface waters, primarily by size, either in monospecific or multispecies groups. In some areas, i.e. eastern Pacific, larger fish (greater than 85 cm fork length) frequently school with porpoises. Association with floating debris and other objects is also observed.
Although the distribution of yellowfin tuna in the Pacific is nearly continuous, lack of evidence for long-ranging east-west or north-south migrations of adults suggests that there may not be much exchange between the yellowfin tuna from the eastern and the central Pacific, nor between those from the western and the central Pacific. This hints at the existence of subpopulations.
Spawning occurs throughout the year in the core areas of distribution, but peaks are always observed in the northern and southern summer months respectively. Joseph (1968) gives a relationship between size and fecundity of yellowfin tuna in the eastern Pacific.
Size: Maximum fork length is over 200 cm. The all-tackle angling record was a 176.4 kg fish of 208 cm fork length taken off the west coast of Mexico in 1977. Common to 150 cm fork length.
| Thunnus maccoyii (Castelnau, 1872) | SCOMBR Thun 4 |
Thunnus maccoyii Castelnau, 1872, Proc.Zool.Acclim.Soc.Victoria, 1:104–105 (Melbourne, Australia).
Synonymy: Thunnus phillipsi Jordan & Evermann, 1926; Thunnus maccoyii - Jordan & Evermann, 1926; Thunnus thynnus maccoyii - Serventy, 1956.
FAO Names: En-Southern bluefin tuna; Fr - Thon rouge du sud; Sp - Atún del sur.

| Diagnostic Features: A very large species, deepest near middle of first dorsal fin base. Gillrakers 31 to 40 on first arch. Pectoral fins very short, less than 80% of head length (or between 20.2 and 23% of fork length), never reaching the interspace between the dorsal fins. Ventral surface of liver striated. Swimbladder present. Vertebras 18 precaudal plus 21 caudal. Colour: lower sides and belly silvery white with colourless transverse lines alternated with rows of colourless dots (the latter dominate in older fish), visible only in fresh specimens; first dorsal fin yellow or bluish; anal fin and finlets dusky yellow edged with black; median caudal keel yellow in adults. | ![]() T. maccoyti |
Geographical Distribution: Probably found throughout the Southern Ocean south of 30°S.

Habitat and Biology: Epipelagic, oceanic in cold temperate waters confined to temperatures between 5° and 20°C for much of its life span; spawning fish and larvae, however, are encountered in waters with surface temperatures between 20° and 30°C.
In adults, seasonal migrations are observed between the warm water western and northwestern Australian spawning grounds (maximum catches are recorded at temperatures between 23° and 26°C) and coldwater feeding grounds off Tasmania and New Zealand (at temperatures of 13° to 15°C). The spawning season extends throughout the southern summer from about September/October to March. Fecundity of a 158 cm long female with gonads weighing about 1.7 kg each was estimated at about 14 to 15 million eggs.
The food spectrum, covering a wide variety of fishes (cold and warm water species from different depth strata), crustaceans, molluscs, salps and other groups, reveals the southern bluefin tuna as an opportunist. It is in turn preyed upon by sharks, dolphins, seals and billfishes.
| Thunnus obesus (Lowe, 1839) | SCOMBR Thun 5 |
Thynnus obesus Lowe, 1839, Proc. Zool.Soc.London, 7:78 (Madeira).
Synonymy : Thynnus sibi Temminck & Schlegel, 1844; Orcynus sibi- Kitahara, 1897; Germo sibi- Jordan & Snyder, 1901; Thunnus sibi- Jordan & Snyder, 1901; Thunnus mebachi Kishinouye, 1915; Parathunnus mebachi-Kishinouye, 1923; Parathunnus sibi- Jordan & Hubbs, 1925; Parathunnus obesus - Jordan & Evermann, 1926; Germo obesus- Fowler, 1936; Thunnus obesus - Fraser-Brunner, 1950; Neothunnus obesus- Postel, 1950; Parathunnus obesus mebachi- Jones & Silas, 1961; Thunnus obesus sibi- Jones & Silas, 1963a; Thunnus obesus mebachi- Jones & Silas, 1964.
FAO Names : En - Bigeye tuna; Fr - Thon obèse; Sp - Patudo.

| Diagnostic Features: A large species, deepest near middle of first dorsal fin base. Gillrakers 23 to 31 on first arch. Pectoral fins moderately long (22 to 31% of fork length) in large individuals (over 110 cm fork length), but very long (as long as in T. alalunga) in smaller individuals (though in fish shorter than 40 cm they may be very short). In fish longer than 30 cm, ventral surface of liver striated. Swimbladder present. Vertebrae 18 precaudal plus 21 caudal. Colour: lower sides and belly whitish; a lateral iridescent blue band runs along sides in live specimens; first dorsal fin deep yellow, second dorsal and anal fins light yellow, finlets bright yellow edged with black. | ![]() |
Geographical Distribution: Worldwide in tropical and subtropical waters of the Atlantic, Indian and Pacific oceans, but absent from the Mediterranean.

Habitat and Biology: Epipelagic and mesopelagic in oceanic waters, occurring from the surface to about 250 m depth. Temperature and thermocline depth seem to be the main environmental factors governing the vertical and horizontal distribution of bigeye tuna. Water temperatures in which the species has been found range from 13° to 29°C, but the optimum range lies between 17° and 22°C. This coincides with the temperature range of the permanent thermocline. In fact, in the tropical western and central Pacific, major concentrations of T. obesus are associated with the thermocline rather than with the surface phytoplankton maximum. For this reason, variation in occurrence of the species is closely related to seasonal and climatic changes in surface temperature and thermocline.
Juveniles and small adults of bigeye tuna school at the surface in mono-species groups or together with yellow fin tuna and/or skipjack. Schools may be associated with floating objects.
In the eastern Pacific some spawning is recorded between 10°N and 10°S throughout the year, with a peak from April through September in the northern hemisphere and between January and March in the southern hemisphere. Kume (1967) found a correlation between the occurrence of sexually inactive bigeye tuna and a decrease of surface temperature below 23° or 24°C. Mature fish spawn at least twice a year; the number of eggs per spawning has been estimated at 2.9 million to 6.3 million.
The food spectrum of bigeye tuna covers a variety of fish species, cephalopods and crustaceans, thus not diverging significantly from that of other similar-sized tunas. Feeding occurs in daytime as well as at night. The main predators are large billfish and toothed whales.

Fig. 2a. Areas of vulnerability of skipjack to surface gears.

Fig. 2b. Areas of vulnerability of yellowfin and albacore tunas (Sharp 1979).
| LINE | LIGNE | LINEAS |
| deep longline, drifting Korean type tuna, marlin, shark Pacific and Indian Oceans | palengre derivante profonde type coréen thon, makaire, requin Océane Pacifique et Indian | polongro de derive a prof undidad tipo coreano atún, marlin, tiburón Océanoe Pacifico y Indico |
| REFERENCE | VESSEL | BATEAU | BARCO | |
| G. Pajot FAO (Sri Lanka) | Loa | Lht | Et | 43–55 m |
| GT | TJB | TB | 290–500 | |
| hp | ch | cv | 800–1200 |

Fig. 3. Longline gear.

Fig. 4. Tuna longline catches, 1974–1981.
| LINES | LIGNES | LINEAS |
| Pole, with live-bait | A la canna, avec appat vivant | Con cans con carneda viva |
| Tuna | Thon | Atunes |
| Pacific, Fiji Islands | Pacifique, Iles Fidji | Pacifico Islas Fiji |
| REFERENCE | VESSEL | BATEAU | BARCO | |
| R.M. Stone | Loo | Lhi | El | 15 m |
| Fisheries Division | GT | TJB | TB | - |
| Leni suva, Fiji | hp | ch | cv | - |
| R.Lee FAO |

Fig. 5. Pole-and-line gear.

Fig. 6: Purse seine- West Africa (French) - General arrangement (From ORSTOM)

Fig.6b : Purse seining operations (From ORSTOM). Scale of vessel and seine vary.

Fig. 7. Areas having suitable weather for surface fisheries. (Data extracted from Defence Mapping Agency Hydrographic Centre - USA. From ORSTOM).

Fig. 7. Areas having suitable weather for surface fisheries. (Data extracted from Defence Mapping Agency Hydrographic Centre - USA. From ORSTOM).

Fig. 8. FAD designs.


Fig. 9. Curves showing catch reduction with increased longline fishing effort.