Los camarones peneidos costeros se encuentran en zonas intertropicales y subtropicales. Los camarones viven la mayor parte del tiempo en zonas influenciadas por deltas, estuarios o lagunas; esto es, sobre fondos que son generalmente fangosos o fango-arenosos, ricos en materias orgánicas. Además, una parte del ciclo vital tiene lugar en aguas más o menos salobres. No obstante, éste no siempre es el caso, como se discutirá con mayor detalle en la Sección 2.2.2., y los importantes recursos camaroneros del golfo entre Iran y Arabia Saudita - que está bordeado por tierras áridas y donde los aportes de agua dulce son muy limitados - constituyen una notable excepción. Los distintos parám del medio ambiente no son independientes y por ello es frecuentemente difícil aislar uno o varios que controlan uno u otro aspecto de la ecología o la biología de los camarones.
No se propone estudiar aquí la ecología de las distintas especies. Esencialmente hemos tratado de identificar, a través de datos publicados, los caracteres comunes a la mayoría de las especies que determinan las técnicas y planes de muestreo necesarios para la evaluación cuantitativa de los diversos estados del ciclo vital.
Los camarones peneidos costeros que alimentan las diferentes pesquerías del mundo pertenecen a unas cuarenta especies repartidas en seis géneros. Muy frecuentemente las capturas no se identifican por especies por lo que no es posible decir cuál es la aportación de cada una a la producción mundial. Por ello indicaremos solamente las especies más importantes que se capturan en cada una de las grandes regiones productoras. Unos primeros inventarios fueron preparados por Eldred y Hutton (1960) y Holthuis y Rosa (1965). Holthuis y Rosa (1980) han elaborado recientemente un catálogo completo.
MEDITERRANEO
Penaeus kerathurus
KUWAIT (Mohamed et al., 1979)
Penaeus semisulcatus, muy dominante; Metapenaeus affinis; M. stebbingi, Parapenaeopsis stylifera. Más ocasionalmente: Penaeus japonicus, P. latisulcatus, Trachypenaeus curvirostris, Metapenaeopsis stridulans, T. granulosus.
PAKISTAN (Tirmizi, 1969)
Penaeus semisulcatus, Penaeus merguiensis, Penaeus penicillatus, Metapenaeus stebbingi, Metapenaeus brevicornis, Metapenaeus affinis, Parapenaeus stylifera.
INDIA (Jones, 1969)
Penaeus semisulcatus, Penaeus merguiensis, Penaeus indicus, Penaeus monodon, Metapenaeus brevicornis, Metapenaeus affinis, Metapenaeus dobsoni, Metapenaeus monoceros, Parapenaeus stylifera.
LEJANO ORIENTE (Kristjonsson, 1969)
Penaeus monodon, Penaeus japonicus, Penaeus orientalis, Metapenaeopsis lamellata, Metapenaeopsis acclivis, Metapenaeopsis barbata, Metapenaeopsis joyneri, Trachypenaeus curvirostris.
AUSTRALIA (Walker, 1975)
Penaeus merguiensis, Penaeus esculentus, Penaeus plebejus, Penaeus latisulcatus, Metapenaeus endeavouri, Metapenaeopsis macleayi, Metapenaeus bennettae.
COSTA ORIENTAL AFRICANA Y MADAGASCAR (Hall, 1967; Marcille, 1978)
Penaeus indicus, Penaeus semisulcatus, Penaeus monodon, Metapenaeus monoceros.
COSTA OCCIDENTAL AFRICANA (García y Lhomme, 1977)
Penaeus notialis, Parapenaeopsis atlantica.
COSTA ORIENTAL AMERICANA (Pérez Farfante, 1969)
Penaeus setiferus, Penaeus duorarum, Penaeus notialis, Penaeus aztecus aztecus, Penaeus aztecus subtilis, Penaeus schmitti, Penaeus paulensis, Penaeus brasiliensis, Xiphopenaeus kroyeri.
COSTA OCCIDENTAL AMERICANA (Gross, 1973; Edwards, 1978)
Penaeus californiensis, Penaeus vannamei, Penaeus stylirostris, Penaeus brevirostris, Penaeus occidentalis.
2.2.1 Diferentes Fases del Ciclo Biológico
Las hembras ponen huevos demersales. De estos huevos eclosionan unas larvas en estado nauplius. Estas larvas son planctónicas. El desarrollo larvario ha sido descrito para muchas especies pertenecientes en su mayor parte al género Penaeus. Parece ser que, en general, este progresa a lo largo de 11 estadios sucesivos, pasando de uno a otro por medio de una muda: 5 fases “nauplius”, 3 fases “protozoea” y 3 fases “mysis” (Figura 1). La última “mysis” sufre una muda que la transforma en poslarva. Aunque solo mide unos pocos milím, la poslarva tiene ya la apariencia general del adulto pero su fórmula rostral es incompleta. La poslarva pasará por diversos estadios caracterizados cada uno por una fórmula rostral particular. Los primeros estados poslarvarios (hasta 2 ó 3 dientes subrostrales) son todavía planctónicos, pero los siguientes son semi-bentónicos. Los órganos sexuales externos (petasma en los machos y thelycum en las hembras) aún no están diferenciados. Una vez completada su formación, se dice que el camarón es un sub-adulto. El estado adulto se alcanza cuando el camarón es capaz de reproducirse. El crecimiento varía de 30 a 60 mm/mes durante la fase juvenil (longitud total), y disminuye a continuación con la edad. Este varía también con la densidad de la población y la temperatura ambiental.
2.2.2 Evolución del Ciclo Vital en el Espacio y Ecología de los Diferentes Estados Larvarios
La fisiología de los camarones se modifica a lo largo de su desarrollo, evolucionando, en particular, sus facultades de osmorregulación. Esta está ligada al hecho de que los camarones emigran a lo largo de su vida a través de diversos biotopos que, esencialmente, se les puede caracterizar por su gradiente de salinidad.
Esquemáticamente, el ciclo de migración es así: la puesta tiene lugar en el mar; las larvas y primeras poslarvas son planctónicas. Las poslarvas penetran en estuarios y lagunas o se aproximan a la costa. Los camarones regresan al mar cuando alcanzan una talla de unos 10 cm. El ciclo termina en el mar. Un esquema de este ciclo, indicando las fases explotadas, se presenta en la Figura 2. Kutkuhn (1966) destacó que los camarones peneidos pueden presentar grandes diferencias, tanto desde el punto de vista de su relación con las aguas salobres, como de distribución de adultos a lo largo de un gradiente aguas someras-aguas oceánicas. Basado en sus propias observaciones y los datos de la bibliografía, él colocó veinte especies sobre una espiral (Figura 3) decreciente, donde la anchura representa la porción del ciclo vital pasada en el estuario, y la posición relativa de los adultos a lo largo del gradiente de salinidad estuario-agua de mar.
En el centro de la espiral se encuentra, por ejemplo, Metapenaeus mastersii, especie australiana que pasa toda su vida en el interior de los estuarios (Morris y Bennet, 1951). Este es igualmente el caso de M. bennettae (Racek, 1959) y M. dalli (Penn, 1981). En el extremo estrecho de la espiral se encuentra la importante especie atlántica, Plesiopenaeus edwarsianus, que completa todo su ciclo sobre fondos de unos 900 m (Springer y Bullis, 1956; Maurin, 1965), y que por ello no puede ser clasificada entre los peneidos costeros. Entre estos casos extremos se pueden representar todos los intermedios. En el Golfo de México, los adultos de Penaeus aztecus viven y se reproducen principalmente sobre fondos de 55–74 m (Kutkuhn, 1962) y los jóvenes no penetran profundamente en las aguas de los estuarios. Los adultos de Penaeus setiferus no se encuentran en profundidades superiores a los 35 m, pero los juveniles pueden desplazarse a grandes distancias dentro del estuario y han sido encontrados hasta 210 km aguas arriba de la desembocadura (Joyce, 1965). Los adultos de Xiphopenaeus kroyeri estan confinados en una estrecha banda costera y los juveniles no penetran muy profundamente en los estuarios (Burkenroad, 1934; Neiva y Wise, 1964). Como último caso tipo citaremos a Parapenaeopsis stylifera, donde los adultos viven en el mar en profundidades inferiores a 40 m y completan allí todo su ciclo. Aunque aún no ha sido estudiado con detalle, parece que Parapenaeopsis atlantica de la costa occidental africana debe ser un caso similar ya que los adultos viven en profundidades de 0 a 45 m (principalmente 15–25 m) y las larvas no se han encontrado jamás en los estuarios (Crosnier y De Bondy, 1967). Lo mismo ha sido informado para Penaeus semisulcatus en el golfo entre Irán y Arabia Saudita (Basson et al., 1977).
Kirkegaard y Walker (1975) han dado igualmente una descripción de los distintos esquemas de distribución y migración de los peneidos australianos (Figuras 4 y 5).
Es necesario señalar la gran adaptabilidad del género Penaeus a condiciones muy diversas. Por ejemplo, los juveniles de Penaeus notialis habitan en aguas casi dulces en Casamance (Senegal) pero igualmente lo hacen en estuarios hipersalinos (Sine Saloum en el mismo país). De la misma forma, los juveniles de Penaeus esculentus se pueden encontrar en lugares donde la salinidad es inferior a 35 por mil pero en ocasiones superior a 45 por mil (Penn, en prensa). Por otra parte, si bien la mayoría de los Penaeus tienen un ciclo vital anfibiótico con una fase estuarina, otros, como Penaeus latisulcatus y Penaeus esculentus, tienen su zona de alevinaje en la zona marina litoral. Este es igualmente el caso de Penaeus marginatus, donde los adultos se encuentran a más de 200 m de profundidad (Crosnier y Jouannic, 1973; Struhzaker y Yoshida, 1975) mientras que la mayor parte de las especies de este género sobrepasan raramente los 80–100 m de profundidad.

Figura 1 Estados larvarios de Sycionia brevirostris, Penaeoidea (según Cook y Murphy, 1965)
Los camarones no emigran sólo a lo largo de un eje litoral-oceánico. Las exigencias ligadas a la naturaleza del substrato, a la riqueza trófica del medio y a la hidrología, pueden obligar a los camarones a migrar a lo largo de la costa. Penaeus setiferus puede efectuar migraciones de hasta 580 km, a lo largo de la costa atlántica de los EE.UU. (Lindner y Anderson, 1956). Ruello (1975) informó que un camarón de la especie Penaeus plebejus viajó en Australia 930 km.
Gran cantidad de información sobre los ciclos vitales de los peneidos se puede encontrar en la sinopsis de FAO (Mistakidis, 1970) y en la del CSIRO (Kirkegaard y Walker, 1970; Kirkegaard, Tuma y Walker, 1970).
Un estudio de una población de peneidos costeros, que tenga por objetivo desarrollar una ordenación racional de los recursos, requiere un buen conocimiento de la cronología del ciclo vital y la relación entre las distintas fases del ciclo. En efecto, debido a la falta de un método para determinar directamente la edad de los camarones, sólo un análisis detallado de los distintos estados puede establecer la cronología de las principales fases (puesta, migración larvaria, migración juvenil, reclutamiento, etc.), mediante la superposición de variaciones estacionales cuando son suficientemente perceptibles. Las Figuras 6 y 7 dan un ejemplo de los resultados obtenidos en Côte d'Ivoire y una representación de la cronología del ciclo de Penaeus notialis en esta región, según García (1977). Por otra parte, el desarrollo de modelos predictivos (Capítulo 9) y el estudio de reclutamiento están basados en la recogida de datos cuantitativos sobre las distintas fases del ciclo vital.
El estudio de variaciones espacio-temporales requiere la puesta en aplicación de programas de muestreo donde las técnicas utilizadas estarán condicionadas por los tipos de variabilidad previsibles; las diferentes fuentes de variabilidad y los métodos utilizados serán expuestos en la siguiente sección.
2.3.1 Las Larvas y las Poslarvas (Planctónicas) en el Mar
Uno de los principales intereses de un estudio de larvas es facilitar el conocimiento de las variaciones estacionales de la reproducción de la población. Este es un estudio, en general costoso, que no debe ser tomado a la ligera. En particular, y aunque es previsible una cierta homogeneidad en el comportamiento, es conveniente ser capaz de separar claramente las distintas especies porque, en ocasiones, los períodos de reproducción no se superponen (Inglis, 1962). En general, e incluso cuando las larvas hayan sido correctamente descritas, la separación hasta el nivel específico es larga y ardua. Será más sencilla si basta con la identificación genérica.
2.3.1.1 Dispersión de los Individuos y Tratamiento de los Datos
La forma de dispersión de los estados larvarios muestreados repercute sobre la variabilidad de las estimaciones de la abundancia. Los métodos estadísticos utilizados para cuantificar esta variabilidad y comparar entre estimaciones obtenidas en diferentes períodos y zonas requieren que la distribución de las observaciones dentro de cada período y zona sea normal, lo que implica que la distribución espacial de los animales sea aleatoria, y los valores obtenidos para la media y la varianza sean independientes. Estas condiciones no se encuentran generalmente en el plancton donde la dispersion generalmente observada es en agregados (sobredispersión). No obstante, una transformación apropiada de estos datos los aproximará a las condiciones requeridas para el análisis estadístico. Tales transformaciones han sido utilizadas por varios autores.
No tenemos conocimiento de estudios sobre la forma como se dispersan las larvas de camarones. No obstante, uno puede suponer que la dispersión es del tipo de la que Frontier (1974) ha comprobado para las larvas de brachiuros tropicales, que son también mesoplanctónicas, y las Lucifer. Cuando el taxón está representado por sólo un pequeño número de individuos, la distribución sigue generalmente la ley de Poisson donde la varianza es igual a la media. Frontier demostró que para el rango usual de tamaño de muestras que se recogen de plancton, cuando la amplitud de las variaciones de los números observados es elevada, la relación entre la media y la varianza no es linear (Figura 8). La pendiente, que es próxima a 1 para pequeños valores (ley de Poisson), está comprendida entre 1 y 2 para valores medios y es superior a 2 para valores elevados, lo que requiere, para poder estabilizar la varianza, una transformación diferente para cada gama de abundancias. Para paliar este inconveniente, Frontier propone un único factor de conversión de la forma log de (n+1) al cuadrado; la suma de una unidad al valor permite tener en cuenta las observaciones nulas. Esta transformación tiene además la ventaja (en comparación con la transformación log) de reducir mucho menos los valores altos y de exagerar menos las variaciones aleatorias de los más bajos.

Figura 2 Relaciones entre componentes del ciclo vital de los peneidos y las pesquerías (según Caillouet y Baxter, 1973)

Figura 3 Grado de infeodación a los estuarios de diversas especies de camarones peneidos (ver texto) (según Kutkuhn, 1966)

Figura 4 Distribución a lo largo del gradiente mar-estuario de los ciclos vitales de los principales camarones peneidos de Australia (según Kirkegaard, 1975)

Figura 5 Diferentes tipos de ciclos vitales, distribución en el
espacio en relación a la superficie
al fondo
y a la isohalina 35 % (según Kirkegaard, 1975)

Figura 6 Comparación de las variaciones estacionales de la reproducción (—), de la abundancia de post-larvas en las lagunas (------) y del reclutamiento de los inmaduros en el mar tres meses más tarde (.....) (según García, 1977)

Figura 7 Reconstitución de la cronología del ciclo vital de Penaeus notialis en Côte d'Ivoire (según García, 1977)
Esta transformación ha sido utilizada por Le Reste (1973) para el estudio de Penaeus indicus en Madagascar.
Otros autores han aplicado una transformación log10 (n+1) que podemos considerar como válida
para pequeños efectivos. Aún otros han aplicado un factor de conversión de
usando los
resultados de Anscombe (1948). Sin embargo, Frontier (1974) destacó que el factor de conversión
logarítmico es preferible para organismos vivos porque las respuestas biológicas, originadas como
consecuencia de variaciones ambientales, son frecuentemente exponenciales. De una forma más general,
el tratamiento de los datos de larvas de camarones puede seguir la metodología usual para el
análisis del plancton y para un estudio más detallado uno se puede referir convenientemente a
Windsor y Clarke (1940), Silliman (1946), Barnes y Marshall (1952), Ahlstrom (1954), Frontier
(1974), Hemple (1973) y Bougis (1974). Algunos ejemplos sobre camarones se pueden encontrar en
Munro, Jones y Dimitriou (1968), Roessler y Rehrer (1971) en Florida, Kutkuhn, Cook y Baxter (1969),
Temple y Fischer (1967) en Texas.
La representación de la distribución espacial de las larvas también presenta un problema. El uso de isopletas da, en general, una buena imagen sintética pero es necesario elegir una progresión numérica de abundancia que se adapte. Como conclusión a un estudio sobre la variabilidad básica, Frontier (1974) sugirió la existencia de leyes estadísticas de dispersión muy independientes del grupo zoológico, por estar probablemente ligadas a un fenómeno físico de dispersión en una fase líquida turbulenta y conducentes a adoptar la transformación log2 que hemos indicado anteriormente. Según este autor, los datos tranformados se distribuyen casi normalmente con una varianza estable de 0,7026 o õ = 0,838, en las muestras obtenidas en un mismo punto. Esta es una variabilidad residual a la que se deben comparar las variabilidades espaciales. Las isopletas deberán entonces ser elegidas sobre la base de un intervalo constante de amplitud 2 × 1,96 que es igual a 3,29 sobre la escala de valores transformados (0 – 3,29 – 6,58 – 9,87, etc.). Uno tendrá entonces para las abundancias no transformadas, la progresión siguiente: 1 – 64 – 365 – 1 400 – 4 200 – 11 500 – 27 000, etc. Esta escala de isopletas tiene la ventaja adicional que los valores altos están menos deprimidos y las fluctuaciones aleatorias de los más bajos son menos exageradas.
2.3.1.2 Las variaciones cíclicas
Un buen conocimiento de estas variaciones permitirá optimizar el muestreo.
2.3.1.2.1 El ritmo nictimeral
Temple y Fischer (1965) encontraron una repartición de las larvas de peneidos próximas al fondo durante el día y a la superficie durante la noche. No obstante, ellos apuntaron que cuando la masa de aguas es más inestable la distribución es más homogénea. Por el contrario Kutkuhn, Cook y Baxter (1969) encontraron en la misma región larvas de P. setiferus y P. aztecus en la capa de agua superficial durante el día, mientras que un muestreo efectuado por la noche permitió observar un máximo de larvas al nivel del fondo. Roessler, Jones y Munro (1969) anotaron que las protozoeas I de P. duorarum son más comunes a nivel del fondo, mientras que las protozoeas II y III emprenden unas migraciones verticales que conducen a un aumento de la abundancia en superficie durante la noche. Temple y Fischer (1965) y Roessler, Jones y Munro (1969) confirmaron la repartición de las poslarvas planctónicas en superficie, mientras que Kutkuhn, Cook y Baxter (1969) observaron una distribución homogénea.
Los resultados obtenidos no son por lo tanto coherentes.
2.3.1.2.2 El ritmo lunar
Roessler, Jones y Munro (1969) apreciaron un aumento de la abundancia de larvas durante la luna nueva en relación con un aumento de la puesta. Estas observaciones confirmaron las de Munro, Jones y Dimitrion (1968).
2.3.1.3 Algunos principios del muestreo
La ubicación de las estaciones de muestreo debe tener en cuenta la distribución de los adultos. A priori es preferible incrementar el número de puntos de muestreo en zonas de máxima abundancia. El muestreo periódico de un cierto número de estaciones, tomadas al azar dentro de un cuadrilatero preestablecido, tenderá a reducir la varianza para un número dado de muestras y permitirá su cálculo (muestreo aleatorio, estratificado o simple).
Debido a la brevedad de los estados larvarios, se debe establecer un muestreo con una frecuencia elevada. En cada instante, la composición observada de una cohorte de larvas dependerá en parte de su edad absoluta, esto es, del período entre la puesta y el muestreo. Al durar la fase larvaria un mes aproximadamente, el muestreo debe ser establecido sobre la base de una frecuencia si los medios lo permiten, sería muestrear cada fase lunar. Es conveniente aumentar la frecuencia durante los períodos favorables del año (por ejemplo, aquéllos donde el porcentaje de hembras maduras es elevado).
Teniendo en cuenta la heterogeneidad de los datos sobre la distribución vertical de las larvas, se recomiendan vivamente los arrastres oblicuos, especialmente si el muestreo tiene lugar de día.
2.3.1.4 Equipo de muestreo
En la práctica, cualquier red de plancton puede ser utilizada con éxito adoptando una malla adecuada a los estados larvarios investigados. Citaremos algunas:
La red del tipo Gulf V es mantenida abierta con un armazón metálico. Mide 0,40 cm de diámetro de la abertura. Un flujómetro permite calcular el volumen de agua filtrado. Munro, Jones y Dimitrion (1968) han utilizado una malla de 293 micras que deja pasar las nauplius pero asegura un muestreo de los estados más avanzados. Kutkuhn, Cook y Baxter (1969) han utilizado una malla de 190 micras con la cual pensaron haber muestreado correctamente todos los estados. Le Reste (1978) ha utilizado una red Clarke-Bumpus modificada por Petit y Bour (1971), cuya abertura es de 0,30 m y la luz de malla de 180 micras.
En relación con la manipulación de las redes, la densidad de larvas de los peneidos en el plancton es demasiado baja para que unos arrastres verticales puedan permitir la obtención de muestras utilizables. Por ello, la red es utilizada en arrastre horizontal u oblicuo. El arrastre oblicuo es probablemente preferible porque permite reducir el sesgo debido a una eventual estratificación de las larvas en la columna de agua. Los arrastres deben ser siempre de corta duración (menos de 10 minutos) para evitar la saturación. Con la “Clarke-Bumpus” más arriba mencionada, aparece un principio de saturación cuando el volumen filtrado sobrepasa 50 m cúbicos. Esta cifra no es indicativa porque depende del contenido sólido y biológico del agua. El plancton se conserva en formol concentrado al 10%.
2.3.2 Las Poslarvas en Migración
Estas son las poslarvas que están listas para el proceso de entrada en el estuario después de unas tres semanas de vida pelágica en el mar. Su comportamiento será cada vez más bentónico.
2.3.2.1 Dispersión y tratamiento de los datos
Lo esencial se ha dicho en el párrafo 2.3.1.1. La mayor parte de los autores admiten que la varianza es proporcional a la media de los efectivos recogidos y utilizan una transformación log (n+1) para estabilizarla y poder así utilizar los métodos estadísticos clásicos. Recordemos también que Frontier (1974) propuso el empleo de la transformación log de (n+1) al cuadrado.
2.3.2.2 Las variaciones cíclicas
2.3.2.2.1 El ritmo nictimeral
Cualquiera que sea el arte de pesca considerado, el número de poslarvas observado es casi siempre más elevado por la noche que por el día (Tabb, Dubrow y Jones, 1962; Baxter, 1963; Eldred et al., 1965; Copeland y Truitt, 1966; Caillouet, Fontenot y Dugas, 1968; Roessler, Jones y Munro, 1969; Subrahmanyam y Rao, 1970; Roessler y Rehrer, 1971; García, 1977; Young y Carpenter, 1977; Lhomme, 1979).
No obstante, algunos autores no han observado diferencias (Eldred et al. (1965) para P. duorarum; St. Amant, Broom y Ford (1966); Caillouet, Perret y Dugas (1970)).
Las observaciones de la abundancia de las poslarvas migrantes en función de la profundidad son algo contradictorias. Roessler, Jones y Munro (1969) y Roessler y Rehrer (1971) observaron que las capturas nocturnas más importantes, tanto con luna nueva como luna llena, se hacen al nivel del fondo. Eldred et al. (1965) encontraron durante el día muchas más poslarvas en la superficie que en el fondo, y ligeramente más en el fondo que en la superficie durante la noche. Copeland y Truitt (1966) no observaron diferencias entre la superficie y el fondo durante el día, pero notaron una mayor abundancia en superficie durante la noche.
2.3.2.2.2 El ritmo lunar
Las capturas son generalmente más elevadas durante la luna nueva (Subrahmanyam, 1966; Williams y Deubler, 1963; Roessler, Jones y Munro, 1969; Subrahmanyam y Rao, 1970; Roessler y Rehrer, 1971; García, 1977). Un segundo máximo menos importante ha sido en ocasiones registrado. No obstante es necesario notar que Eldred et al. (1965) y Subrahmanyam y Ganapati (1971) observaron que un segundo máximo tiene lugar a veces con luna llena.
2.3.2.2.3 El ritmo mareal
Prácticamente todos los autores recogen las capturas más abundantes durante la pleamar (Tabb, Dubrow y Jones, 1962; Baxter, 1963; Eldred et al., 1965; St. Amant, Broom y Ford, 1965; Caillouet, Fontenot y Dugas, 1968 y Caillouet, Perret y Dugas, 1970; Roessler, Jones y Munro, 1969; Subrahmanyam y Rao, 1970; Roessler y Rehrer, 1971; García, 1977; Young y Carpenter, 1977; Lhomme, 1977). No obstante Caillouet, Fontenot y Dugas, 1968 y Caillouet, Perret y Dugas, 1970 señalaron que el máximo diario que ellos observaron estaba asociado a la bajada de la marea o al repunte de la marea en la bajamar.
Los resultados concernientes a las poslarvas bénticas son bastante concordantes: las capturas más abundantes se obtienen de noche, en período de luna nueva y durante la pleamar.
2.3.2.2.4 El ritmo estacional
La abundancia de las poslarvas en los estuarios es el resultado de los mecanismos de reproducción y de transporte por las corrientes durante un período en el que la supervivencia depende probablemente de las condiciones ambientales, aunque en general hay una tendencia a considerar que la variación de la reproducción es la única fuente de oscilaciones estacionales.
La acción de los factores ambientales sobre la migración larvaria se refleja bien en la variación del tamaño de las poslarvas en el momento de la migración hacia los estuarios. Este tipo de variaciones ha sido observado por Baxter y Renfro (1966), Copeland y Truitt (1966), Temple y Fischer (1967), García (1977), Le Reste (1978) y Lhomme (1979). García (1977) y Lhomme (1979) mostraron que las variaciones son sincrónicas para todos los estados (definidos por las fórmulas rostrales) y están correlacionadas positivamente con la abundancia fitoplanctónica en el mar y negativamente correlacionadas con la temperatura. Otras hipótesis han sido emitidas para explicar este fenómeno: variaciones de la distancia entre la zona de puesta y la boca del estuario, cambios en la tasa de crecimiento acción de la pleamar evitando la entrada de larvas en las lagunas durante la temporada de lluvias e hibernación de las larvas fuera de las lagunas.
2.3.2.3 Algunos Principios de Muestreo
Las poslarvas son recogidas en aguas someras con fondos fangosos, o fondos cubiertos con vegetación, o aguas más profundas en el eje de los canales. El muestreo en canal principal, cuando es posible, tiene la ventaja de ser hecho sobre una zona de concentración de larvas, frecuentemente agitada por la turbulencia, y donde la variabilidad espacial y del muestreo serán probablemente más bajas que en el estuario mismo. Los ritmos nictimerales y lunares son muy claros en estas circunstancias, y el muestreo es más fácil de estandarizar. Si las capturas son en general más elevadas durante la noche que durante el día (especialmente en superficie, en los canales), durante la pleamar y con la luna nueva (y si estos hechos son verificados para la zona concerniente por algunos experimentos), podrá ser suficiente muestrear una vez por mes con luna nueva, de noche y durante la subida de marea. Si los medios lo permiten, es igualmente ventajoso efectuar observaciones en luna llena.
Al variar la abundancia con el estado de la marea, se puede muestrear todo el período de pleamar mediante cortos arrastres para evitar la siempre rápida saturación. El índice de abundancia se determina entonces representando gráficamente el número de ejemplares capturados frente al tiempo e integrando la superficie de la curva obtenida. García (1977) mostró, en Côte d'Ivoire, que cuando la marea es semidiurna las dos mareas que se producen al principio y al final de la noche proporcionan una información duplicada y que el muestreo de un sólo ciclo de marea es suficiente. El trabajo puede ser reducido muestreando solamente cuando la marea está subiendo, de baja a pleamar, mediante cortos arrastres y muestreos discontinuos después de que el máximo haya sido alcanzado (un poco después del repunte de marea en la pleamar). Cuando se toman muestras desde un puente, se pueden efectuar varios arrastres simultáneos para calcular la varianza. Cuando se efectúa a partir de una pequeña embarcación esto, en general, no es posible. Cuando las muestras se toman del fondo en aguas someras, St. Amant, Broom y Ford (1965) demostraron que la varianza puede ser reducida muestreando aleatoriamente una red de estaciones preestablecidas en lugar de visitar periódicamente estaciones fijas.
La distribución batimétrica de las poslarvas en emigración no está clara, y sería conveniente hacer arrastres oblicuos (difíciles de realizar con una embarcación ligera) o arrastres simultáneos de fondo y superficie (esto sólo es viable desde una plataforma fija cuando hay corrientes adecuadas, o desde una gran embarcación).
2.3.2.4 Los Equipos de Muestreo y su Empleo
El problema del muestreo de las larvas de camarones es muy similar al del plancton en general: para una buena bibliografía uno se puede útilmente referir a Jossi (1970).
2.3.2.4.1 Muestreos a lo largo de bancos y en aguas someras
(a) El arte Renfro (1963) para poslarvas (Figura 9)
Este es el arte más utilizado. Tiene una forma cónica y el paño tiene 50 mallas por centímetro. Ha sido utilizado en particular por Baxter (1963) en Texas, por Brisson y Lucet (1975) en Brasil y por St. Amant, Broom y Ford (1965) en Louisiana. Durante la operación, la red es arrastrada a mano por medio de una brida fijada a los extremos de una barra de hierro. Cuando la red es arrastrada lentamente, la barra rasca el fondo dirigiendo a las poslarvas hacia la entrada de la red. La red se fija por una cuerda a un poste enterrado en el río. Al principio del arrastre la cuerda se estira paralela al banco y es usada como un radio constante cuando se arrastra la red; esta última describe así un semi-círculo. De esta forma el arrastre se hace siempre en la misma estación, su longitud es constante y también cubre diversos estratos batimétricos.
Un análisis estadístico de la acción de este equipo ha sido hecho por Caillouet, Fontenot y Dugas (1968) que encontraron que la abundancia de poslarvas capturadas por unidad de longitud cubierta era independiente de la longitud del radio para distancia comprendida entre 15 y 45 m; por ello recomendaron una longitud radial de 15 m. Ellos igualmente aconsejaron hacer almenos un arrastre en dos direcciones para eliminar el posible efecto de las corrientes de marea, y confirmaron que la varianza de sus estimaciones de abundancia era proporcional a la media. Barry y Baxter (1969) indicaron que la variabilidad entre dos arrastres sucesivos era de 2% solamente pero que la variabilidad en un período de 4 días era igual a la variabilidad estacional debido a que en un lugar dado la abundancia de las poslarvas puede variar grandemente en algunas horas.
(b) Los trineos o redes sobre patines
Pullen, Mock y Ringo (1968) utilizaron un pequeño trineo tirado a mano a lo largo de los bancos. Según los autores, este ingenio muy simple es mas fácil de utilizar que el arte Renfro. Allen y Hudson (1970) desarrollaron un trineo que trabajaba por succión creada por el efecto venturi. Este hace posible aspirar y tamizar toda la capa superior del sedimento. Este aparato, que muestrea una superficie estrecha, permite hacer un estudio detallado de las larvas. El permite, por término medio, capturar dos veces más jóvenes camarones que el trineo simple de Pullen, Mock y Ringo (1968) y es eficaz para hacer una estimación global de la biomasa bentónica. Brusher y Marullo (1970) desarrollaron un trineo equipado con un flujómetro y un rodillo excavador delantero que puede ser utilizado en aguas de profundidad intermedia. Todos estos ingenios son igualmente capaces de capturar juveniles, con una eficacia variable.
2.3.2.4.2 Muestreos en aguas libres, en los canales o las bahías
(a) Las redes fijas
Young y Carpenter (1977) usaron una red de abertura con forma romboidal y una malla de 1 mm. La profundidad de pesca estaba controlada por una cuerda que ligaba la red a una boya de superficie. La parte inferior de la red, fijada a un ancla, estaba lastrada con un peso de 13,6 kg. Unos ganchos giratorios permitían a la red pivotar libremente y estar permanentemente en el eje de la corriente. Esta última lo suficientemente fuerte para mantener la red abierta. Cada 10 a 20 minutos se sacaba la red para evitar la saturación y sustituirla por una nueva. Las redes fueron colocadas en diversos puntos a través del canal.
(b) Las redes remolcadas
Se han utilizado distintos tipos de redes. Es preferible una que el diámetro sea lo suficientemente grande para evitar los efectos de esquiva. Roessler, Jones y Munro (1969) utilizaron una red de un metro de diámetro de abertura que parece conveniente para el muestreo de poslarvas. Sin embargo estos autores usaron una malla (467) que es quizás innecesariamente estrecha. García (1977) no observó diferencias al comparar las capturas de dos redes con mallas de 500 y 700 micras, eligiendo la segunda malla, que permite disminuir sensiblemente los efectos de saturación. La red debe estar provista de un flujómetro.
(c) Muestreos en continuo
Fontaine, Gilason y Trent (1972) desarrollaron un dispositivo que permite la recogida de grandes cantidades de poslarvas vivas. Dos redes se mantienen justo debajo de la superficie, a uno y otro lado de un barco anclado (o de una plataforma) (Figura 10). Del copo de cada red parten dos tubos que se juntan en uno solo sobre la cubierta del barco. Una bomba permite aspirar el agua y los organismos que penetran en las redes. El agua se filtra a través de tres tamices hechos de cuerdas con distinto espaciamiento y donde la separación es decreciente. El material recogido en el último cubo contiene una gran proporción de poslarvas de peneidos, a pesar de que un 10% de ellas pueden quedar retenidas durante la filtración. Este material es así muy fácil de separar.
![]() | ![]() |
Figura 8 Relación media-varianza en un poblamiento zooplanctónico tropical (según Frontier, 1974) | Figura 9 Red de arrastre para poslarvas (según Renfro, 1963) |
Marullo (1973) desarrolló un dispositivo que podía muestrear automáticamente en aguas libres. A intervalos regulares de tiempo, una bomba aspira el agua que es filtrada por una pequeña red con una malla de 1 mm. Esta red, junto con otras once, es fijada sobre un soporte circular horizontal. Cada dos hs, el soporte gira ligeramente sobre sí mismo de manera que una nueva red se coloca en el paso del agua. Mientras que una red está filtrando, todas las demás están en remojo en un recipiente con formol diluido que asegura la conservación de las muestras. Desgraciadamente, el número de poslarvas capturadas por h es relativamente bajo (5 de media), mucho menos que las capturas obtenidas simultáneamente con la red de Renfro. Por otra parte, las variaciones estacionales de la abundancia obtenidas con los dos tipos de artes no son sincrónicas. El autor pensó no obstante que el muestreo podía ser mejorado aumentando el diámetro de la toma de agua, concentrando el esfuerzo del muestreo durante el período de pleamar eligiendo un mejor punto de muestreo.
2.3.3 Los Juveniles en los Estuarios
2.3.3.1 Distribución
Después de su entrada en los estuarios, las poslarvas se concentran en las zonas de poca profundidad (inferior a 1 m). Su distribución es muy hetereogénea y su muestreo es por ello particularmente difícil.
Desde hace tiempo se ha considerado a la salinidad como un factor esencial de esta distribución (Gunter, 1950, 1956; Gunter, Christmas y Killebrew, 1964; Williams, 1955). Se han observado preferencias ligeramente distintas para, por ejemplo, Penaeus setiferus, P. aztecus y P. duorarum que viven en los mismos estuarios. No obstante, Zein Eldin y Aldrich (1965) indicaron que la salinidad no tiene efectos ni sobre el crecimiento, ni sobre la supervivencia y que otros factores deben ser responsables de la distribución (fuentes de alimentación, cobertura vegetal, naturaleza del sedimento, corrientes, etc.). Williams (1955) notó que además los camarones prefieren los fondos fangosos ricos en materia orgánica. Estos resultados fueron confirmados por Loesch (1965), Galois (1975) y varios otros autores. Para García (1977), el límite de distribución de P. notialis en Côte d'Ivoire es la influencia marina. Es probable que la salinidad o, de manera más general, la influencia marina y, en particular, las corrientes de mareas juegan un papel en la definición de los límites de la distribución. Dentro de estos límites la abundancia está ligada a otros factores, especialmente los tróficos.
La distribución de los camarones en los estuarios se caracteriza igualmente por importantes variaciones espacio-temporales. La importancia de los movimientos en el interior de los estuarios ha sido demostrada, por ejemplo, por Tabb, Dubrow y Jones (1962), Galois (1975), Parker (1970) y Le Reste (1978). Estos movimientos alternativos entre los bancos y los canales parecen estar ligados a los cambios de factores ambientales tales como descenso de salinidad asociados con las lluvias (Galois, 1975). Estos movimientos de pequeña amplitud sólo pueden ser apreciados mediante un meticuloso muestreo.
Cuando crecen, los camarones migran hacia las zonas más profundas y los canales, existiendo siempre un gradiente de tallas creciente desde el interior del estuario hacia su desembocadura, y desde los bancos hacia los canales (Williams, 1955; Dall, 1958; Tabb, Dubrow y Jones, 1962; Gunter, Christmas y Killebrew, 1964; St. Amant, Broom y Ford, 1965; Saloman, 1965; Parker, 1970; Ruello, 1975; Galois, 1975; Le Reste, 1978). En Senegal, en el río Casamance donde se encuentra un núcleo hipersalino en el curso intermedio, las variaciones de tallas desde la zonas interiores hacia la desembocadura están invertidas (Lhomme, 1979) (Figura 11).
2.3.3.2 Variaciones cíclicas de los rendimientos
El carácter nocturno de la actividad de ocultamiento de las gambas tiende a generar un ritmo nictimeral de los rendimientos (Saloman, 1968). García (sin publicar) ha observado igualmente un aumento neto de los rendimientos nocturnos mediante el empleo de un arte de arrastre con puertas. No obstante, Clarke y Caillouet (1973), trabajando con el mismo tipo de arte en una pequeña bahía, capturaron más P. aztecus durante el día que durante la noche y no encontraron diferencias entre el día y la noche para Penaeus setiferus. Estas disparidades se pueden explicar por el hecho de que en zonas de poca profundidad, las clásicas variaciones de capturabilidad entre el día y la noche están afectadas por la turbidez y la acción de las hélices del barco. Por otra parte, en los substratos muy blandos, el trabajo de excavamiento del arte es considerable - normalmente suficiente para capturar los camarones enterrados. Munro (1975) puntualizó que ello depende de las especies de camarones. No obstante Saloman (1978) ha obtenido mejores capturas durante la luna nueva, el cuarto creciente y final del cuarto menguante, que durante la luna llena. Clarke y Caillouet (op. cit.) anotaron las máximas capturas durante la pleamar.
2.3.3.3 Algunos fundamentos de muestreo
Es prácticamente imposible muestrear toda la gama de tallas de una población (de 2 a 10 cm) con el mismo arte, debido a la distribución diferencial de tallas en áreas de diversa accesibilidad. Los bancos, cubiertos o no de hierbas, alcanzables o no a pie, dependiendo de la consistencia del fango, son muestreados con una red de cerco o de arrastre, mientras que los canales son más frecuentemente muestreados al arrastre. Por ello sería extremadamente difícil reconstruir la estructura de tallas de la población en una pequeña bahía y más aún en una laguna.

Figura 10 Diagrama del sistema de muestreo en continuo:1. barca, 2. barras transversales, 3. redes rectangulares, 4. tubo de bombeo, 5. sistema de bombeo y separación (simplificado de Fontaine, C.T., S.E.P. Gilason y W.L. Trent, 1972)

Figura 11 Evolución de la talla media de los camarones juveniles a lo largo del eje aguas arriba-aguas abajo en el estuario del Casamance (Senegal) (según Lhomme, 1979). (Este esquema es el inverso del que generalmente se admite)
Dado que el crecimiento de los camarones es muy rápido, la frecuencia del muestreo debe ser elevada (una campaña por semana). Para el estudio del crecimiento o de los movimientos a pequeña escala puede ser necesario limitar la zona de estudio a una pequeña área (evitando por ejemplo canales de emigración) cuidadosamente elegida después de una prospección general. Galois (1975) ha obtenido así excelentes resultados con medios limitados.
Aunque no se han hecho estudios sobre este tema, las técnicas de prospecciones aleatorias estratificadas deberían ser preferentemente utilizadas, incrementando el número de muestras en zonas de mayor abundancia.
2.3.3.4 Los equipos de muestreo y su manipulación
Estos son extremadamente variados para poder responder a la variabilidad de habitats a muestrear.
2.3.3.4.1 Las redes sobre patines o trineos
Estas son de diversas formas aunque su funcionamiento está basado sobre el mismo principio muy sencillo. Allen e Inglis (1958) han usado un pequeño trineo impulsado por detrás mediante un mango largo. Esta forma de proceder permite evitar la perturbación del substrato antes del paso del arte que captura tanto poslarvas como juveniles. Este arte de pequeña abertura muestrea mal a los juveniles de gran talla. Penn y Stalker (1975) han desarrollado un dispositivo que permite muestrear de día a los juveniles que se ocultan en el sedimento. La red, adherida a un chasis rectangular sobre esquís, está equipada con un rodillo para evitar su enganche en el fondo. Una bomba proyecta, hacia la parte interior de la red, un chorro de agua que agita el sedimento hasta una profundidad de 3 cm provocando la salida de los camarones. Los autores consideran que el escape es nulo.
2.3.3.4.2 Las redes derivadas de la pesca artesanal
Estas artes se emplean frecuentemente, en su forma original o modificadas, y podemos citar como ejemplo el kili, que es un pequeño arte de arrastre mantenido abierto por dos cañas que las empujan delante de ellos a lo largo de los bancos.
El principio del arrastre de playa es igualmente utilizado. Teniendo una malla muy fina (por ejemplo red mosquitera), esta puede retener poslarvas y juveniles de pequeña talla.
Las artes de arrastre con puerta o con vara son también frecuentemente utilizados. El primero es preferido porque puede ser manipulado desde un pequeño barco. Más corriente se usa el clásico arte de ensallo con mallas modificadas (2,5 a 6 m de burlón, unos 50 cm de alto, 6 a 8 m de largo y mallas variables).
La eficacia del arte de arrastre para muestrear sobre fondos someros es incierta debido a las perturbaciones causadas por la agitación de la hélice y la esquiva que evidentemente debe producir. En este orden de ideas, Loesch et al. (1976) demostraron que la eficiencia del arrastre para poco fondo no es más del 30 al 50 %. Este resultado ha sido confirmado por Edwards (1977), que calculó una eficacia del 35 % para un pequeño arrastre con vara, en aguas poco profundas. Si la eficacia varía con la profundidad del agua bajo el casco, lo que es posible pero que jamás ha sido demostrado, se introduce una fuente de sesgo.
El arte de arrastre de vara y sus derivados, empleado en la pesca artesanal en los Estados Unidos, es un excelente instrumento de muestreo (Tabb y Kenny, 1969) (mirar apartado 3.1.1.2) y ha sido también utilizado por Young (1975) en Australia.
2.3.3.4.3 La pesca eléctrica
Lamarque, Therezien y Charlon (1974), durante su experimento de adaptación de la pesca eléctrica a aguas cálidas y conductoras, obtuvieron resultados fructíferos sobre los camarones de un manglar de Madagascar. Los rendimientos hrios de la achicadora eléctrica han sido de 0,3 a 2,7 kg/h.
El arrastre eléctrico, muy estudiado en el mar (mirar apartado 3.2), no parece, por otra parte haber sido usado en aguas estuarinas. Es cierto que la temperatura del agua, su estratificación, los gradientes de salinidad y sus consecuencias sobre la resistividad del agua crean problemas técnicos difíciles de resolver.
2.3.4 Los Subadultos en Emigración
2.3.4.1 Distribución
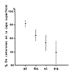
Beardsley (1970) estudió con detalle la distribución de los juveniles en emigración, en un canal. El mostró que el 83 % de los camarones capturados lo fueron en la capa superficial. La distribución depende del ciclo lunar, y el número de camarones en superficie varía del 90 al 70% entre la luna llena y el primer cuarto (Figura 12). El no demostró diferencia relacionada con la salinidad, la talla, el sexo, la marea o la temperatura. No obstante, observó diferencias de la distribución lateral en función de la luz de la luna; aparentemente los camarones preferían el lado iluminado del canal.
2.3.4.2 Variaciones periódicas
Un resumen de los conocimientos sobre los ritmos y las migraciones ha sido efectuado por Allen (1966).
2.3.4.2.1 Ritmo nictimeral
Salvo casos excepcionales, los camarones no migran generalmente durante el día (Idyll, 1964; Idyll, Iversen y Yokel, 1964; De Bondy, 1968; Yokel et al., 1969; Hoestlandt, 1969; De Labretonne y Avault, 1971; García, 1977). No obstante, Le Reste (1978) no observó diferencias en las capturas de Penaeus indicus obtenidas con la ayuda de barreras chinas, en Madagascar.
2.3.4.2.2 Ritmo lunar (Figura 21)
Las capturas son siempre más importantes durante las lunas nueva y llena que durante los cuartos, y el máximo absoluto está en luna nueva (Copeland, 1965; Subrahmanyam, 1967; De Bondy, 1968; Yokel, Iversen e Idyll, 1969; García, 1972 y 1977). Esto es posiblemente debido a que las pescas se efectúan en su mayor parte con la ayuda de artes fijas durante las mareas muertas y dan consecuentemente mayores capturas durante las mareas vivas. De hecho, Yokel (1969) ha demostrado en los Everglades (Florida) que el 52 % de las variaciones de rendimiento observadas podía ser atribuido a variaciones del volumen filtrado, asociadas con cambio en la velocidad de la corriente y la amplitud de la marea.
De Bondy (1968), en Senegal, ha señalado también variaciones de la relación de sexos en las capturas en función del ritmo lunar.
No obstante, las observaciones de Bodeke, Dijkema y Siemelink (1977), confirmando las de Racek (1959), mostraron un ritmo idéntico para Penaeus brasiliensis en una laguna cerrada, alimentada por una bomba y sin ritmo de marea, lo que hace suponer que las corrientes no son los únicos factores actuantes. Estos autores indican que la sensibilidad de los camarones a los estímulos de migración, depende del estadio de muda. Esta última está centrada sobre la luna llena inhibiendo la migración que empieza después del último cuarto cuando la muda ha terminado.
2.3.4.2.3 Ritmos mareales
Cuando los camarones se pescan con artes fijas las capturas son siempre mayores durante la bajamar que durante la pleamar (Idyll, Iversen y Yokel, 1964; Yokel, Iversen e Idyll, 1969; De Bondy, 1968; Hoestlandt, 1969; De La Bretonne y Avault, 1971; García, 1972 y 1977; Le Reste, 1978; Lhomme, 1979). Con otras artes de muestreo, la mayor abundancia aparente puede encontrarse en otras bases del ciclo de marea. Por ejemplo, De La Bretonne y Avault (op. cit.) observaron estas altas abundancias aparentes con una red fija durante la bajamar y con un esparavel durante la pleamar. La diferencia puede provenir del hecho de que ciertas artes capturan una fase activa, nadadora en pleamar hacia la desembocadura, mientras que otras capturan una fase de la población que está enterrada, en reposo, en el sedimento. También es posible que los índices de abundancia obtenidos con estos dos tipos de arte (pasivos y fijos o activos y arrastrados) no sean realmente comparables. En general podemos notar que, si el muestreo se lleva a cabo con un arte fijo, las tasas de capturas de los juveniles migratorios son máximas por la noche, con mareas vacías y con luna nueva y llena. Cuando se emplea un arte arrastrado rascando el fondo, es necesario asegurar que uno mide bien la abundancia de la fase migratoria y no aquélla de la fase de la población residente cuyo ciclo de crecimiento aún no se ha completado.
2.3.4.2.4 Ritmo estacional
La información sobre este ritmo es la más importante a obtener; el conocimiento de los ritmos precedentes es útil sobre todo para optimizar el muestreo. Este último ritmo es el que nos facilita información sobre las variaciones estacionales del reclutamiento, parámetro esencial para la evaluación de las poblaciones.
Aunque la reproducción es normalmente continua en los peneidos, se puede apreciar en general una clara fluctuación estacional que puede ser asociada a la abundancia de hembras maduras o con poslarvas, con una anterioridad de 2 a 3 meses (ver Figura 6). La variación estacional obervada es de hecho la evolución de la abundancia aparente, definida como el producto de la abundancia real por la capturabilidad. Esta última está ligada a las corrientes de marea y a la pleamar, y uno puede en ocasiones observar una distorsión de la información de base correspondiente a grandes mareas anuales o inundaciones de ríos. La oscilación de base puede ser igualmente distorsionada por las caídas bruscas de la temperatura en el otoño que tienden, en los sectores más septentrionales de la distribución de los peneidos, a forzar a los camarones hacia zonas más profundas (Tabb, Dubrow y Jones, 1962).
Hay ciertamente muchos factores que pueden iniciar la migración de los camarones (para una revisión, mirar García (1977)). Es necesario señalar que estos interactúan entre sí, como es el caso de su relación con el comportamiento (Zein-Eldin y Aldrich, 1965), y además uno puede pensar que los factores decisivos (limitantes) no son los mismos en regiones de pequeña variación térmica y fuerte pluviosidad (India, Madagascar, Côte d'Ivoire) que en aquéllas de características opuestas (Senegal, Florida, Texas).
La talla media de los camarones en emigración sigue igualmente una variación estacional (Tabb, Dubrow y Jones, 1962; St. Amant, Broom y Ford, 1965; Trente, 1967; Yokel, Iversen e Idyll, 1969; Pullen y Trent, 1969; Parker, 1970; Ruello, 1973; García, 1972 y 1977; Le Reste, 1978; Lhomme, 1979). Diversas hipótesis han sido emitidas para explicar este fenómeno: crecimiento y reclutamiento, competición por la alimentación y duración variable de la estancia en la laguna. De hecho, es muy probable que la talla de emigración es una resultante compleja de las condiciones tróficas y térmicas durante el crecimiento, así como la duración de la permanencia que, al final del crecimiento, puede ser abreviada por condiciones desfavorables (descenso de salinidad, bajas temperaturas).
2.3.4.3 Algunos fundamentos de muestreo
Las muestras tienen que ser tomadas de noche. Lo mejor es que el arte pueda muestrear una capa superficial lo suficientemente profunda como para capturar la gran mayoría de los camarones presentes en la masa de agua. Es incluso preferible, si el canal muestreado es ancho, tomar varias muestras simultáneas en toda amplitud, lo cual solo es posible con redes fijas. También es necesario señalar que, a bajas velocidades de corriente, los camarones son capaces de nadar contra corriente y salir de la red. Los canales estrechos y los puentes son buenos lugares de trabajo. El arte debe ser colocado al inicio del reflujo y retirado cuando afloje la corriente. Puede ser útil medir la corriente o colocar flujóm cerca de las redes para conocer el volumen filtrado. Durante un período de marea, se pueden efectuar recogidas regulares de las redes fijas para determinar la evolución de los números de ejemplares capturados.
Es igualmente necesario señalar que, si se requiere un índice de reclutamiento (que es un valor proporcional a la cantidad de camarones que han abandonado la zona de alevinaje), es importante el número por ciclo de marea y no el número por unidad de volumen filtrado.
Además, la pesca artesanal, especialmente la que emplea redes fijas, es un excelente medio para obtener este tipo de índice con buena precisión. Un ejemplo de análisis profundo de datos obtenidos por este método se puede encontrar en García (1977). Un excelente trabajo de muestreo experimental racional ha sido efectuado por Yokel (1969) y Beardsley (1970).
2.3.4.4 Los equipos de muestreo
2.3.4.4.1 Las redes fijas experimentales
Yokel, Iversen e Idyll (1969) utilizaron dos redes de 5,18 m de longitud, sujetas a un marco rectangular, con una abertura de 1,8 × 1,07 m (wing net). Las dos redes, de una malla de 1,9 cm (estirada), se mantienen en superficie a ambos lados de una embarcación ligera. Las grandes redes fondeadas del tipo “channel net” han sido igualmente probadas por Yokel pero son poco utilizadas en la actualidad. Beardsley (1970) hizo un análisis detallado de la distribución de camarones en la masa de agua, muestreando toda la sección vertical de un canal con la ayuda de 13 redes cónicas de 50 cm de diámetro.
2.3.4.4.2 La red de arrastre con puertas, de fondo o “pelágica”
A la entrada de la bahía de Galveston, Pullen y Trent (1969) tomaron sus muestras usando un pequeño arte con puertas de 3 m de boca arrastrado sucesivamente en superficie, a media agua y sobre el fondo. Las muestras fueron tomadas de día, y la captura por unidad de esfuerzo aumentó de la superficie hacia el fondo, el arrastre de superficie fijando dos hidroalas sencillos a las puertas de un arte corriente (Figura 14). Este equipo, fácil de manejar, da unos rendimientos cinco veces superiores a los de un arte de arrastre de fondo clásico (Trent, 1967).
2.3.5 Los Subadultos y Adultos en el Mar
2.3.5.1 Distribución
2.3.5.1.1 Distribución geográfica
La distribución está asociada a las condiciones ambientales. Las fuertes concentraciones adecuadas para la explotación se encuentran sobre sedimentos blandos con un contenido de partículas y materia orgánica que varía para las distintas especies (Grady, 1971; García, 1974).
Cuando hay varias especies en la región su distribución relativa parece estar ligada a las condiciones hidrológicas y, en particular, a su tolerancia frente a gradientes espacio-temporales de salinidad (o a otros factores asociados). Esta es la razón de la ausencia de P. duorarum a lo largo de la desembocadura del Mississipi o del Amazonas (Burkenroad, 1939) y de la distribución relativa de las tres principales especies del Atlántico occidental.
La distribución a media escala está en ocasiones asociada con la turbidez (Crosnier, 1965; Linder y Bailey, 1968).
La distribución general parece estable, excepto en los límites geográficos extremos donde los camarones son capaces de hacer grandes migraciones en invierno (Burkenroad, 1939; Linder y Anderson, 1956). En otras regiones límites no tiene lugar la migración estacional y es remplazada por una modificación de metabolismo (detención del crecimiento y disminución de la actividad). Este es el caso de Senegal (García, Petit y Fonteneau, 1973; Lhomme, 1977).
2.3.5.1.2 Distribución batimétrica
A nivel local la distribución de los camarones es heterogénea. La abundancia no se reparte uniformemente y algunos estratos de profundidad son privilegiados. Aunque los límites geográficos son más fáciles de relacionar con la naturaleza del fondo y la mayor o menor proximidad a estuarios, los límites batimétricos son más difíciles de explicar. García (1977) demostró que el límite superior de la distribución de P. notialis sobre la costa occidental africana está acondicionado por la naturaleza del sedimento, y que el límite inferior parece mucho más ligado a la hidrología. Las condiciones que prevalecen (valores hidrológicos absolutos y variaciones anuales) son curiosamente las mismas que se encuentran en los límites septentrionales y meridionales de la distribución de la especie.
Según las zonas y especies, la abundancia es máxima en el centro de la distribución batimétrica (Figura 15) (García, 1974; Costello y Allen, 1970) o en la costa (Lindner y Cook, 1970).
La distribución de tallas sobre un fondo de pesca tampoco es generalmente homogénea. A lo largo del eje de migración de los estuarios hacia aguas profundas se encuentran los individuos más pequeños en la zona costera y los adultos más grandes en profundidad (Burkenroad, 1939; Lindner y Anderson, 1956; Iversen, Jones e Idyll, 1960; Renfro y Brusher, 1964; Costello y Allen, 1966; George, Banerji y Mohamed, 1968). No obstante, este no siempre es el caso, y García (1977) observó en CÔte d'Ivoire una zona central, donde los camarones tienen una talla media, situada entre dos zonas, costera y profunda, donde predominan los grandes individuos (Figura 15).
La distribución de sexos ha sido poco estudiada. Sin embargo, Kunju (1970) señaló que en la India las hembras de Solenocera indica ponen en los límites del área de repartición, mientras que los machos permanecen en zonas poco profundas. García observó que durante el período de reproducción se encuentra un mayor porcentaje de hembras cerca de la costa que disminuye regularmente a medida que aumenta la profundidad (Figura 15).
Veremos en el párrafo 2.3.5.2 que todas las distribuciones son susceptibles de variaciones periódicas.
2.3.5.1.3 Modelos de dispersión
La distribución de los individuos en un área determinada puede considerarse algunas veces homogénea. Ciertos autores admiten de hecho la ausencia de comportamiento de “banco”. Este es el caso de Penaeus aztecus (Cook y Lindner, 1970). Más generalmente parece que los peneidos presentan fases de agrupamiento en bancos o enjambres, Penaeus duorarum (Costello y Allen, 1970), Parapenaeopsis sculptilis (Kirkegaard y Walker, 1970), Penaeus merguiensis (Kirkegaard y Walker, 1970), Metapenaeus dobsoni (Panikkar y Menon, 1956; De Bruin, 1965), Penaeus schmitti (Pérez Farfante, 1969), Penaeus indicus (Crosnier, 1965), Penaeus merguiensis (Munro, 1975).
2.3.5.2 Las variaciones cíclicas
2.3.5.2.1 El ritmo nictimeral
Los camarones adultos se esconden generalmente en el sedimento durante el día y nadan en la proximidad del fondo durante la noche; es entonces cuando son capturados más fácílmente por los artes de arrastre clásicos (Idyll, 1950; Williams, 1955 y 1958; Viosca, 1957; Eldred, 1958; Iversen e Idyll, 1960; Dall, 1958; Eldred et al., 1961; Egusa y Yamamoto, 1961; Fuss, 1964; Crosnier, 1964; Fuss y Ogren, 1966; Wickam, 1967; Le Guen y Crosnier, 1968; García, 1973; Wickam y Minkler, 1975; Moller y Jones, 1975; Marcille, 1978).
Esto puede o no ser cierto cuando la luz que atraviesa la capa de agua es débil (aguas turbias, cielo nuboso); los camarones que se pescan normalmente en abundancia durante la noche pueden entonces ser más capturados de día. Es por esta razón por la que fueron apreciados cambios estacionales en el ritmo nictimeral “aparente” en diversos sectores del golfo de Guinea, en relación con variaciones hidroclimáticas (García, Petit y Fonteneau, 1973).
En algunas especies, las capturas son más importantes de día que de noche. Este es el caso de Penaeus indicus (Chabanne y Plante, 1971; Marcille, 1978), Penaeus setiferus (Idyll, 1950; Joyce, 1965), Penaeus schmitti (Pérez Farfante, 1969), Metapenaeus macleayi y Penaeus plebejus (Racek, 1959), Xiphopenaeus kroyeri (Neiva, 1969), Penaeus notialis en Côte d'Ivoire (García, Petit y Fonteneau, 1973; García, 1975).
En las zonas donde coexisten muchas especies, la existencia de diversos ritmos causan variaciones nictimerales de la composición específica de las capturas. De esta forma, en Madagascar, la abundancia de P. indicus varía del 10 % (entre las 2 h y 6 h) al 90 % (entre las 6 h y 18 h), mientras que la de Metapenaeus monoceros pasa del 75 al 2 % y la de Penaeus semisulcatus del 14 al 2,5 % (Chabanne y Plante, 1971).
En el momento de la reproducción se pueden observar unos ritmos particulares. En Madagascar, por ejemplo, durante el período más favorable para la maduración de las gónadas, las hembras de P. indicus, que son capturadas normalmente durante el día, lo son ahora al comienzo de la noche.
2.3.5.2.2 El ritmo lunar
Los camarones, que normalmente se pescan por la noche, pueden ser capturados en mucha abundancia durante el período de luna nueva (Iversen e Idyll, 1960; Fuss, 1964; Idyll et al., 1969; Penn, 1976). No obstante, es difícil demostrar un ritmo lunar bien definido; por ejemplo, Marcille (1968) señaló que las capturas de Penaeus semisulcatus y Metapenaeus monoceros en Madagascar, son más elevadas durante el período de luna llena al final de la estación cálida y principio de la fría, y durante el primer cuarto de la luna nueva al final de la estación fría y comienzo de la cálida. Por otra parte, también demostró que los resultados obtenidos varían de un año a otro. Por término medio, las diferencias observadas entre las distintas fases son pequeñas y de incierto significado.
2.3.5.2.3 El ciclo estacional
Este afecta a numerosas características de la población:
(a) Variaciones de la distribución batimétrica
La distribución batimétrica media descrita en el párrafo precedente es susceptible de variar estacionalmente, sobre todo en regiones donde las condiciones hidrológicas varían considerablemente. Crosnier (1963) sugirió que este tipo de variaciones existe en Penaeus notialis. García (1974) utilizó datos precisos de los cuadernos de bitácora de la flota de Côte d'Ivoire confirmando la existencia de desplazamientos periódicos de las mayores densidades de camarones, en estrecha relación con las fluctuaciones de la termoclina (Figura 17). En la bahía de Ambaro en Madagascar, los camarones pertenecientes a la especie de Penaeus indicus permanecen prácticamente bloqueados a la zona intermareal durante la temporada seca, mientras que están ampliamente repartidos en la bahía durante la estación húmeda (Chabanne y Plante, 1971; Le Reste, 1978). Las variaciones de la distribución podrían estar relacionadas con la disponibilidad de alimentos. En la India, numerosas especies efectúan estas imigraciones durante el monzón y el afloramiento (“upwelling”) (FAO, 1973a, pág. 27).
(b) Variaciones de la distribución relativa de los sexos
García (1974) demostró en Côte d'Ivoire que la distribución batimétrica del porcentaje de hembras varía en función de las estaciones. Durante la estación cálida las hembras predominan en las costas y los machos en profundidad. Sucede exactamente a la inversa durante la estación fría. Durante los períodos de transición, las hembras dominan en profundidad y en la costa (Figura 16).
(c) Variaciones del modo de dispersión
En ciertos casos ha sido demostrado que el comportamiento de los camarones y su aptitud para agruparse en bancos podría variar estacionalmente. Marcille (1978), utilizando datos de pesca en Madagascar, mostró que Penaeus indicus, esencialmente capturados de día, tienen un comportamiento permanente de agruparse en bancos. Esta “sobredispersión” da una pendiente superior a 1 en la relación entre la media y la varianza de los rendimientos. Para Metapenaeus monoceros y Penaeus semisulcatus, esencialmente capturados de noche, demostró variaciones estacionales del comportamiento gregario a principio del año y próximo al azar al final del año (Figura 18). El demostró igualmente variaciones importantes de la altura de los cardúmenes de P. indicus. Este aspecto será retomado más adelante en el capítulo sobre la capturabilidad y sus variaciones.
2.3.5.3 Esquemas de muestreo
El muestreo deberá tener en cuenta el hecho de que el área de distribución puede modificarse estacionalmente, igual que las distribuciones batimétricas de la abundancia y de los sexos. El trabajo se facilitará si se conoce los principales ejes de variación. Las dificultades ocasionadas por las variaciones nictimerales de los rendimientos, o por los cambios de la distribución vertical, son casi imposibles de resolver satisfactoriamente. Por el contrario, los cambios estacionales del ritmo nictimeral pueden ser considerados modificando las hs de muestreo, si se investiga una especie en particular.
Se pueden utilizar dos esquemas de muestreo: el método de las radiales equidistantes (sistemático) y el de las prospecciones aleatorias simples o estratificadas. En el primer caso, la zona arrastrada se supone representativa de una superficie elemental y todos los elementos son prospectados en cada campaña. La estructura de la población sobre una radial se calcula coordinando todos los datos elementales ponderados por la superficie de los elementos. Este método se justifica en prospecciones muy preliminares, cuando no hay información disponible sobre la estructura del biotopo o de la población (Grosslein, com. pers.).
Las prospecciones aleatorias simples, donde la distribución de todas las estaciones se determina aleatoriamente, tienen la ventaja de que permiten calcular la varianza, lo que permite a continuación aplicar las pruebas estadísticas de significación de las variaciones observadas de una a otra campaña y de una a otra zona.
Además, las prospecciones aleatorias estratificadas, donde las estaciones se reparten al azar dentro de estratos preestablecidos, permiten optimizar el muestreo y aumentar la precisión de los índices de abundancia obtenidos para un número dado de lances (Cochran, 1963). El esquema de estratificación debe ser definido preferentemente antes de la campaña sobre la base de una prospección preliminar, y sin usar los datos de la campaña considerada.
En general, el problema es el clásico del muestreo de poblaciones demersales por medio de artes de arrastre. Para un estudio sobre el tratamiento de los datos de arrastre, y una discusión sobre el valor del arte de arrastre como herramienta de muestreo, será útil referirse a Barnes y Bagenal (1951) y tener en cuenta el informe de la Reunión Científica Especial del CIEM sobre Muestreo, celebrada en París en 1954 (CIEM, 1956). Por lo que se refiere a los métodos de prospección, los esquemas de muestreo, el tratamiento de los datos y la presentación de los resultados, existen excelentes trabajos de útil consulta (Alverson, 1971; Gulland, 1975; Mackett, 1973; Alverson y Perera, 1969; Abramson, 1968; Doubleday, 1976; Grosslein, 1971 y 1974; Pitt, 1976; Ulltang, 1977; FAO, 1976; Saville, 1977).
Un aspecto marginal, pero no despreciable, de las prospecciones es la optimización de los trayectos. Leming y Holley (1978) propusieron un programa de ordenador que permite determinar tal optimización. En la práctica, las dificultades técnicas de todo tipo inherentes a las prospecciones tienden a dejar este tipo de enfoque a un nivel más teórico que realmente utilizable.
El ritmo de muestreo tiene que ser adaptado a las especies. Para una especie profunda subtropical, un ritmo mensual puede ser suficiente. Para un peneido tropical litoral, es conveniente un muestreo semanal, aunque quizás sea difícilmente realizable. Por lo tanto hay que encontrar una situación intermedia pero, con carácter general, la frecuencia de muestreo debe ser siempre bastante alta.
![]() | ![]() |
Figura 12 Distribución vertical de los camarones en migración durante diversas fases de la luna (según Beardsley, 1970) | Figura 13 Variaciones estacionales de la talla de emigración en Côte d'Ivoire (Laguna de Lagos) (según García, 1977) |

Figura 14 Modificación de una puerta para el arrastre de fondo con sustentadores acuáticos para el arrastre de superficie (según Trent, 1967)

Figura 15 Distribución batimétrica de la abundancia numérica (-----), de la talla media (0–0) y de la relación de sexos (.-.-.-) en Côte d'Ivoire (según García, 1974)

Figura 16 Distribución batimétrica de la relación de sexos en función de las estaciones (según García, 1974)

Figura 17 Variaciones estacionales de la profundidad de la termoclina y de la densidad máxima en Côte d'Ivoire (según García, 1974)

Figura 18 Relación entre la media (μ) y la varianza (σ2) de los rendimientos por lance en Madagascar para la pesca diurna de Penaeus indicus y la nocturna de Penaeus latisulcatus y Metapenaeus monoceros (según Marcille, 1978)