Prévalence de la sous-alimentation
Définition: La sous-alimentation est définie comme étant la situation dans laquelle la consommation alimentaire habituelle d’un individu est insuffisante pour fournir, en moyenne, l’apport énergétique alimentaire nécessaire à une vie normale, active et saine.
Indicateur: L’indicateur, appelé «prévalence de la sous-alimentation» (PoU, prevalence of undernourishment), est une estimation du pourcentage de personnes dans la population qui sont en situation de sous-alimentation. Les estimations nationales sont présentées sous forme de moyennes mobiles sur trois ans pour tenir compte du manque de fiabilité des estimations de certains paramètres sous-jacents en raison d’éléments pour lesquels il est très rare qu’on dispose d’informations fiables, tels que la variation d’une année sur l’autre des stocks de produits alimentaires, l’une des composantes des bilans alimentaires annuels de la FAO. Les agrégats régionaux et mondiaux, quant à eux, sont présentés sous forme d’estimations annuelles, car on considère qu’il n’y a pas de corrélation entre les éventuelles erreurs d’estimation et que ces erreurs sont donc ramenées à des niveaux tout à fait acceptables lorsqu’on agrège les données de plusieurs pays.
La série entière des données sur la prévalence de la sous-alimentation est révisée pour chaque nouvelle édition de ce rapport à la lumière des données et des informations reçues par la FAO depuis l’édition précédente. Comme cette procédure entraîne généralement une révision à rebours de la série entière, il est conseillé aux lecteurs de ne pas comparer les chiffres d’une édition à l’autre et de se reporter systématiquement à l’édition la plus récente, y compris pour les chiffres des années précédentes.
Méthode: Pour estimer la prévalence de la sous-alimentation dans une population, on modélise la loi de distribution de probabilité de l’apport énergétique alimentaire habituel, exprimé en kilocalories par personne et par jour pour un individu moyen, sous la forme d’une fonction de densité de probabilité paramétrique, f(x)1, 2. On obtient ensuite l’indicateur en calculant la probabilité cumulée que l’apport énergétique alimentaire habituel (x) soit inférieur aux besoins énergétiques alimentaires minimaux (MDER) (limite inférieure de la fourchette des besoins énergétiques appropriée pour un individu moyen représentatif), comme dans la formule ci-après:

où θ est un vecteur de paramètres caractérisant la fonction de densité de probabilité. Dans les calculs réels, on part du principe que la distribution est log-normale, et donc totalement caractérisée par deux paramètres seulement: la consommation d’énergie alimentaire (DEC) moyenne et son coefficient de variation (CV).
Source de données: Différentes sources de données sont utilisées pour estimer les paramètres du modèle.
Besoins énergétiques alimentaires minimaux (MDER): Pour déterminer les besoins énergétiques d’une personne appartenant à une classe d’âge/un sexe donné(e), on multiplie les besoins normalisés associés au taux métabolique de base (exprimés par kilogramme de masse corporelle) par le poids idéal d’une personne en bonne santé de ce sexe/cette classe d’âge (compte tenu de sa taille); on multiplie ensuite la valeur obtenue par un coefficient correspondant au niveau d’activité physique (NAP) afin de prendre en compte cette dernièrebd. Étant donné que l’indice de masse corporelle (IMC) et le NAP normal varient chez les personnes actives et en bonne santé de mêmes sexe et âge, on obtient une fourchette de besoins énergétiques pour chaque tranche d’âge de la population et chaque sexe. Les MDER d’un individu moyen dans la population – paramètre utilisé dans la formule de la prévalence de la sous-alimentation – correspondent à la moyenne pondérée des valeurs minimales des fourchettes de besoins énergétiques pour chaque tranche d’âge et chaque sexe, la part de la population représentée par chaque groupe tenant lieu de coefficient de pondération. Comme pour les MDER, on estime les besoins énergétiques alimentaires moyens (ADER) (utilisés pour estimer la composante du CV décrite ci-dessous) à partir des valeurs moyennes de la catégorie de NAP «Mode de vie actif ou relativement actif».
Des informations sur la structure de la population par sexe et par âge nécessaires pour calculer les MDER sont disponibles pour la plupart des pays et pour chaque année dans le rapport du Département des affaires économiques et sociales du Secrétariat de l’ONU intitulé World Population Prospects (Perspectives de la population mondiale), qui est révisé tous les deux ans. La présente édition de L’État de la sécurité alimentaire et de la nutrition dans le monde utilise la version 2022 du rapport World Population Prospects4.
Les informations relatives à la taille médiane des populations de chaque tranche d’âge et de chaque sexe par pays sont tirées d’une enquête démographique et sanitaire (EDS) récente ou d’autres enquêtes qui permettent de collecter des données anthropométriques sur les enfants et les adultes. Même si ces enquêtes ne se rapportent pas à la même année que celle pour laquelle on estime la prévalence de la sous-alimentation, les changements possibles d’une année à l’autre dans les statures médianes sont peu importants, et leur incidence sur les MDER et, de ce fait, sur les estimations de la prévalence de la sous-alimentation est donc considérée comme négligeable.
Consommation d’énergie alimentaire (DEC): L’idéal serait de pouvoir estimer la DEC à partir de données sur la consommation alimentaire issues d’enquêtes sur les ménages représentatives au niveau national (enquêtes sur le niveau de vie, ou sur la consommation et les dépenses des ménages, par exemple). Cependant, très peu de pays réalisent ce type d’enquêtes chaque année. De ce fait, dans les estimations de la prévalence de la sous-alimentation calculées par la FAO aux fins du suivi mondial, les valeurs de la DEC sont estimées à partir des disponibilités énergétiques alimentaires (DES) communiquées dans les bilans alimentaires établis par la FAO pour la plupart des pays.5
Depuis la dernière édition du présent rapport, le nouveau domaine de FAOSTAT consacré aux bilans alimentaires a été mis à jour afin d’inclure les nouvelles valeurs des séries jusqu’en 2020 pour l’ensemble des pays. De plus, au moment où s’achevait la rédaction du présent rapport, les séries de bilans alimentaires étaient actualisées jusqu’en 2021 pour les 66 pays suivants, sélectionnés en priorité en raison de la forte proportion qu’ils représentent au sein de la population sous-alimentée à l’échelle mondiale: Afghanistan, Afrique du Sud, Angola, Arabie saoudite, Argentine, Bangladesh, Bénin, Bolivie (État plurinational de), Brésil, Burkina Faso, Cambodge, Cameroun, Colombie, Congo, Côte d’Ivoire, Égypte, Équateur, Éthiopie, Ghana, Guatemala, Haïti, Honduras, Inde, Indonésie, Iran (République islamique d’), Iraq, Japon, Jordanie, Kenya, Libéria, Madagascar, Malawi, Mali, Maroc, Mexique, Myanmar, Népal, Nicaragua, Niger, Nigéria, Ouganda, Pakistan, Papouasie-Nouvelle-Guinée, Pérou, Philippines, République arabe syrienne, République centrafricaine, République démocratique du Congo, République dominicaine, République populaire démocratique de Corée, République-Unie de Tanzanie, Rwanda, Sénégal, Sierra Leone, Somalie, Soudan, Tadjikistan, Tchad, Thaïlande, Togo, Ukraine, Venezuela (République bolivarienne du), Viet Nam, Yémen, Zambie et Zimbabwe.
La révision de la série des bilans réalisée cette année a consisté, comme d’habitude, à intégrer les nouvelles données officielles sur la production, le commerce et l’utilisation des aliments par les pays retenus, mais elle a aussi été l’occasion de revoir en profondeur les séries de bilans jusqu’en 2021 pour tenir compte de l’ajout de facteurs améliorés de conversion des nutriments6 et des ajustements nécessaires pour prendre en considération les nouvelles estimations démographiques communiquées dans l’édition de 2022 du rapport World Population Prospects4 élaboré par le Département des affaires économiques et sociales.
Les DES moyennes par habitant pour 2021 (pour les pays autres que ceux énumérés ci-dessus) et pour 2022 (pour tous les pays) sont des prévisions immédiates réalisées à partir des perspectives à court terme des marchés établies par la FAO et publiées sur le Portail de la situation alimentaire mondiale7, et sont utilisées pour obtenir une prévision immédiate des valeurs de la DEC par pays pour 2021 et 2022, en commençant par la dernière année disponible dans les séries des bilans alimentaires.
Coefficient de variation (CV): On obtient le coefficient de variation des DES habituelles dans la population en calculant la moyenne géométrique de deux composantes, appelées CV|y et CV|r:

La première désigne la variabilité de la consommation par habitant chez les ménages appartenant à différentes couches sociodémographiques, et est donc appelée «coefficient de variation imputable aux revenus», tandis que la seconde rend compte de la variabilité entre les individus liée au sexe, à l’âge, à la masse corporelle et au NAP des membres d’un même ménage. Étant donné que ce sont les mêmes éléments qui déterminent les besoins énergétiques, la seconde composante est appelée «coefficient de variation imputable aux besoins».
CV|y
Lorsqu’on dispose de données fiables sur la consommation alimentaire issues d’enquêtes sur les ménages représentatives au niveau national, on peut estimer directement le coefficient de variation imputable aux revenus (CV|y). Depuis la dernière édition de ce rapport, 14 nouvelles enquêtes réalisées dans les 10 pays suivants ont été traitées aux fins d’actualisation du CV|y: Argentine (2018), Arménie (2019, 2020, 2021), Bénin (2019), Bhoutan (2012), Cambodge (2019), Guinée-Bissau (2019), Mexique (2012, 2020), Mongolie (2020, 2021), Pérou (2019) et Uruguay (2017). Le CV|y repose donc désormais sur les données issues de 129 enquêtes menées dans 65 pays.
Lorsqu’on ne dispose pas de données d’enquête appropriées, on a recours aux données collectées par la FAO depuis 2014 au moyen de l’échelle FIES pour établir une projection des variations du CV|y à partir de 2015 (ou à partir de l’année de la dernière enquête de consommation alimentaire réalisée, si elle est postérieure) et jusqu’à 2019, en se basant sur l’évolution observée de l’insécurité alimentaire grave. Les projections sont fondées sur l’hypothèse que cette évolution mesurée au moyen des données FIES pourrait indiquer des variations équivalentes de la prévalence de la sous-alimentation. Si tant est qu’elles ne puissent pas s’expliquer totalement par les effets de changements liés à l’offre dans les approvisionnements alimentaires moyens, on peut raisonnablement attribuer ces variations de la prévalence de la sous-alimentation à une évolution non observée du CV|y qui se serait produite dans le même temps. L’analyse des estimations passées de la prévalence de la sous-alimentation montre qu’en moyenne, après neutralisation des différences liées à la DEC, aux MDER et au CV|r, l’évolution du CV|y explique un tiers environ des écarts de prévalence de la sous-alimentation dans le temps et dans l’espace. À partir de tous ces éléments, pour chaque pays pour lequel on dispose de données FIES, l’évolution du CV|y qui a pu se produire depuis 2015, ou depuis la date de la dernière enquête disponible, est donc estimée comme étant l’évolution susceptible d’entraîner une variation d’un tiers de point de pourcentage de la prévalence de la sous-alimentation pour chaque point de pourcentage de variation observé dans la prévalence de l’insécurité alimentaire grave. Pour tous les autres pays, faute de données probantes, on conserve la dernière estimation disponible du CV|y. Comme dans l’édition précédente du rapport, la prévision immédiate du CV|y pour 2020, 2021 et 2022 a nécessité un traitement spécial pour tenir compte des effets de la pandémie de covid-19 (voir l’annexe 2, section A).
CV|r
Le CV|r reflète la variabilité de la distribution des besoins énergétiques alimentaires d’un individu moyen hypothétique représentatif d’une population en bonne santé, et correspond également au CV de la distribution des apports énergétiques alimentaires d’un individu moyen hypothétique si toute la population est parfaitement bien nourrie. Aux fins d’estimation, la distribution des besoins énergétiques alimentaires d’un individu moyen hypothétique est supposée normale, et l’écart type correspondant peut être estimé à partir de deux centiles connus. La valeur du CV|r est donc dérivée sous la forme d’une distribution normale type cumulative inverse de la différence entre les MDER et les ADER8, 9. La valeur du CV|r est donc dérivée sous la forme d’une distribution normale type cumulative inverse de la différence entre les MDER et les ADER.
Problèmes et limites: La sous-alimentation est normalement un état individuel, mais, étant donné qu’on dispose généralement de données à grande échelle, il est impossible de déterminer de manière fiable les individus qui, au sein d’un groupe spécifique, sont effectivement sous-alimentés. Avec le modèle statistique décrit plus haut, l’indicateur ne peut être calculé qu’en référence à une population ou à un groupe d’individus pour laquelle/lequel on dispose d’un échantillon suffisamment représentatif. La prévalence de la sous-alimentation est donc une estimation du pourcentage d’individus du groupe considéré qui sont sous-alimentés, mais elle ne peut pas être décomposée plus finement.
Compte tenu de la nature probabiliste de l’inférence et des marges d’incertitude associées aux estimations de chacun des paramètres du modèle, la précision des estimations de la prévalence de la sous-alimentation est généralement faible. Il n’est pas possible de calculer formellement les marges d’erreur associées aux estimations de la prévalence de la sous-alimentation, mais il est probable qu’elles soient supérieures à 5 pour cent dans la plupart des cas. C’est pourquoi la FAO considère que les estimations de la prévalence de la sous-alimentation qui sont inférieures à 2,5 pour cent ne sont pas suffisamment fiables pour figurer dans les rapports.
Il est important de noter que les fourchettes présentées pour les valeurs de la prévalence de la sous-alimentation en 2020, 2021 et 2022 ne doivent pas être interprétées comme des intervalles de confiance statistiques; elles représentent plutôt des scénarios différents utilisés pour établir des prévisions immédiates des valeurs de CV|y de 2020 à 2022.
Lectures recommandées:
FAO. 1996. Methodology for assessing food inadequacy in developing countries. Dans: FAO. The Sixth World Food Survey, pp. 114-143. Rome.
FAO. 2003. Sommaire des débats: Mesure et évaluation des pénuries alimentaires et de la dénutrition: Colloque scientifique international. Rome.
FAO. 2014. Advances in hunger measurement: traditional FAO methods and recent innovations. Division de la statistique de la FAO. Document de travail n° 14-04. Rome.
Naiken, L. 2002. Résumé de la communication invitée: Méthodologie de la FAO pour estimer la prévalence de la sous-alimentation. Document présenté lors du colloque scientifique international Mesure et évaluation des pénuries alimentaires et de la dénutrition, Rome, 26-28 juin 2002. Rome, FAO.
Wanner, N., Cafiero, C., Troubat, N. et Conforti, P. 2014. Refinements to the FAO methodology for estimating the prevalence of undernourishment indicator. Rome, FAO.
Prévalence de l’insécurité alimentaire évaluée à l’aide de l’échelle de mesure de l’insécurité alimentaire vécue (FIES)
Définition: L’insécurité alimentaire, telle qu’elle est mesurée par cet indicateur, fait référence à un accès à la nourriture limité, au niveau des individus ou des ménages, en raison d’un manque de ressources financières ou d’autres ressources. La gravité de l’insécurité alimentaire est mesurée à l’aide des données collectées grâce au module d’enquête FIES, un ensemble de huit questions qui permettent aux individus ou aux ménages interrogés de déclarer des situations ou des expériences généralement associées à un accès limité à la nourriture. Aux fins du suivi annuel des ODD, les questions sont posées en référence aux 12 mois précédant l’enquête.
Des techniques statistiques sophistiquées fondées sur le modèle de mesure de Rasch permettent de valider les informations obtenues dans le cadre d’un module d’enquête FIES, aux fins de cohérence interne, et de les convertir en une mesure quantitative sur une échelle de gravité (de faible à élevée). Selon leurs réponses aux différentes questions de l’enquête, les individus ou les ménages interrogés dans le cadre d’une enquête représentative de la population au niveau national se voient associer une probabilité d’appartenir à l’une des trois classes suivantes, définies au moyen de deux seuils fixés à l’échelle internationale: i) en situation de sécurité alimentaire ou d’insécurité alimentaire marginale; ii) en situation d’insécurité alimentaire modérée; iii) en situation d’insécurité alimentaire grave. À partir des données FIES collectées sur trois ans (de 2014 à 2016), la FAO a défini l’échelle de référence FIES, qui est utilisée comme norme mondiale pour les mesures de l’insécurité alimentaire vécue ainsi que pour la fixation des deux seuils de gravité de référence.
L’indicateur 2.1.2 des ODD est obtenu en calculant la probabilité cumulée de se trouver dans les deux classes correspondant à l’insécurité alimentaire modérée et à l’insécurité alimentaire grave. Un indicateur distinct (FIsev) est calculé en référence à la classe d’insécurité alimentaire grave uniquement.
Indicateur: Dans le présent rapport, la FAO fournit des informations relatives à deux niveaux d’insécurité alimentaire: l’insécurité alimentaire modérée ou grave (FImod+sev) et l’insécurité alimentaire grave (FIsev). Deux estimations sont données pour chacun de ces niveaux:
- la prévalence (pourcentage) des individus dans la population qui vivent dans un ménage où l’on a constaté qu’au moins un adulte était en situation d’insécurité alimentaire
- le nombre des individus dans la population qui vivent dans un ménage où l’on a constaté qu’au moins un adulte était en situation d’insécurité alimentaire.
Source de données: Depuis 2014, on utilise le module d’enquête FIES, qui comporte huit questions, pour recueillir des données sur des échantillons nationalement représentatifs de la population adulte (à savoir les individus âgés de 15 ans et plus) dans plus de 140 pays pris en compte dans le sondage mondial de Gallup©, qui couvre plus de 90 pour cent de la population mondiale. En 2022, les entretiens se sont déroulés par téléphone et en face-à-face. Les entretiens téléphoniques ont été maintenus dans certains pays pour lesquels cette méthode avait déjà été employée en 2020 compte tenu du risque élevé de contamination des communautés qu’aurait entraîné la collecte de données en présentiel pendant la pandémie de covid-19. Après évaluation de la couverture combinant deux modes (c’est-à-dire la proportion de la population adulte joignable par téléphone fixe ou portable), les pays couverts à 70 pour cent au minimum ont été intégrés dans le sondage mondial de Gallup© de 2020 réalisé au moyen d’une enquête par téléphone assistée par ordinateur.
Gallup© a généralement recours aux enquêtes par téléphone en Amérique du Nord, en Europe de l’Ouest, dans certaines régions d’Asie et dans les pays membres du Conseil de coopération des États arabes du Golfe. En Europe centrale, en Europe de l’Est, dans une grande partie de l’Amérique latine et dans la quasi-totalité de l’Asie, du Proche-Orient et de l’Afrique, un plan d’échantillonnage aréolaire a été utilisé pour les entretiens en face-à-face.
Dans la plupart des pays, les échantillons comptent un millier d’individus environ, mais ils sont plus importants en Inde (3 000 personnes), en Chine continentale (3 500 personnes) et en Fédération de Russie (2 000 personnes). Aucune donnée n’a été collectée en Chine (continentale) en 2022.
En plus du sondage mondial de Gallup©, la FAO a collecté en 2022 des données dans sept pays au moyen des plateformes Geopoll® et Kantar® afin de combler les lacunes de données sur l’accès à la nourriture72. Les pays concernés étaient les suivants: Cameroun, Guinée-Bissau, Haïti, Libéria, République démocratique du Congo, Rwanda et Zambie.
On a utilisé les données issues d’enquêtes publiques nationales pour estimer la prévalence de l’insécurité alimentaire dans 60 pays qui comptent plus d’un quart de la population mondiale, en appliquant les méthodes statistiques de la FAO de façon à ajuster les résultats nationaux sur la même norme de référence mondiale. Les pays en question sont les suivants: Afghanistan, Afrique du Sud, Angola, Arménie, Belize, Bénin, Botswana, Burkina Faso, Cabo Verde, Canada, Chili, Costa Rica, Côte d’Ivoire, Émirats arabes unis, Équateur, États-Unis d’Amérique, Fédération de Russie, Fidji, Ghana, Grèce, Grenade, Guinée-Bissau, Honduras, Indonésie, Israël, Kazakhstan, Kenya, Kirghizistan, Kiribati, Lesotho, Malawi, Mexique, Namibie, Niger, Nigéria, Ouganda, Pakistan, Palestine, Paraguay, Philippines, République de Corée, République dominicaine, République-Unie de Tanzanie, Sainte-Lucie, Saint-Kitts-et-Nevis, Saint-Vincent-et-les Grenadines, Samoa, Sénégal, Seychelles, Sierra Leone, Soudan, Soudan du Sud, Sri Lanka, Tchad, Togo, Tonga, Uruguay, Vanuatu, Viet Nam, Zambie. Les pays sont pris en compte pour l’année/les années pour laquelle/lesquelles des données nationales sont disponibles. Pour les autres années, on a appliqué la stratégie suivante:
- Lorsque des données nationales sont disponibles pour plusieurs années, les valeurs des années manquantes sont calculées par interpolation linéaire.
- Lorsque des données nationales sont disponibles pour une seule année, les valeurs des années manquantes sont:
- –établies à l’aide de données de la FAO si ces données sont considérées comme étant compatibles avec les enquêtes nationales;
- –imputées en fonction de la tendance suggérée par la FAO en cas d’incompatibilité avec les données nationales;
- –imputées en fonction de la tendance sous-régionale si aucune autre information fiable n’est disponible en temps voulu;
- –considérées comme suivant une tendance constante par rapport au niveau établi dans le cadre de l’enquête nationale si la tendance sous-régionale ne peut pas être calculée ou si la tendance qui ressort d’autres enquêtes ou la tendance sous-régionale n’est pas applicable à la situation particulière du pays considéré compte tenu des éléments probants qui ont été réunis à l’appui de la tendance (évolution de la pauvreté, de la pauvreté extrême, de l’emploi et de l’inflation des prix des aliments, entre autres); cela s’applique aussi aux pays où la prévalence de l’insécurité alimentaire est très basse (moins de 3 pour cent pour l’insécurité alimentaire grave) ou très élevée (plus de 85 pour cent pour l’insécurité alimentaire modérée ou grave).
Compte tenu de l’hétérogénéité des sources utilisées lors des enquêtes et de la petite taille de l’échantillon de certaines enquêtes de la FAO, les nouvelles données peuvent parfois déboucher sur la prévision d’une forte augmentation ou diminution d’une année à l’autre. Dans ce cas, la règle est de rechercher des informations concernant le pays qui sont issues de sources extérieures (données ou rapports, le cas échéant en concertation avec des experts du pays tels que les fonctionnaires nationaux et régionaux de la FAO) afin de déterminer si des bouleversements importants ou des interventions de grande ampleur ont eu lieu. Si la tendance peut être confirmée par des données probantes, mais semble excessive, elle est conservée mais lissée (en utilisant la moyenne sur trois ans, par exemple). Sinon, la même règle que celle utilisée pour les années manquantes est appliquée (en maintenant le niveau constant ou en appliquant la tendance sous-régionale). En 2022, aucune donnée FIES n’a été collectée en Chine (continentale), et la tendance a donc été maintenue constante.
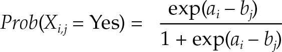
Méthode: Les données ont été validées et utilisées pour établir une échelle de gravité de l’insécurité alimentaire selon le modèle de Rasch, qui postule que la probabilité d’obtenir une réponse affirmative de la personne interrogée i à la question j est une fonction logistique de la distance, sur une échelle de gravité sous-jacente, entre la position de la personne interrogée, ai, et celle de l’item, bj.

En appliquant le modèle de Rasch aux données FIES, on peut estimer, pour chaque personne interrogée i, la probabilité qu’elle soit en situation d’insécurité alimentaire (pi,L) à chaque niveau L de gravité (modérée ou grave, ou grave uniquement), avec 0 < p i,L < 1.
La prévalence de l’insécurité alimentaire à chaque niveau de gravité (FIL) dans la population est calculée comme étant la somme pondérée de la probabilité d’être en situation d’insécurité alimentaire pour toutes les personnes interrogées (i) d’un échantillon:

où wi correspond à la pondération post-stratification appliquée à l’échantillon, qui indique la proportion d’individus ou de ménages dans la population nationale représentée par chaque enregistrement de l’échantillon.
Étant donné que seules les personnes âgées de 15 ans ou plus sont échantillonnées dans le sondage mondial de Gallup©, les estimations de prévalence produites directement à partir des données de ce sondage portent sur la population située dans cette tranche d’âge. Pour obtenir la prévalence et le nombre d’individus (de tous les âges) dans la population, il faut estimer le nombre de personnes qui vivent dans un ménage où au moins un adulte est considéré comme étant en situation d’insécurité alimentaire. À cet effet, on utilise la procédure par étapes expliquée à l’annexe II du rapport technique du projet Voices of the Hungry (La parole à ceux qui ont faim, voir le lien dans la section «Lectures recommandées» ci-après).
Les valeurs agrégées régionales et mondiales de l’insécurité alimentaire modérée ou grave et de l’insécurité alimentaire grave, FIL,r, sont calculées comme suit:

où r indique la région, FIL,c est la valeur de FI de niveau L estimée pour le pays c dans la région, et Nc la taille de la population correspondante. En l’absence d’estimation de FIL pour un pays, on considère que cette valeur est égale à la moyenne, pondérée par la population, des valeurs estimatives pour les pays restants de la même sous-région. L’agrégat régional est calculé uniquement si les pays pour lesquels une estimation est disponible représentent au moins 50 pour cent de la population de la région.
Des seuils universels sont définis sur l’échelle FIES internationale de référence (une série de valeurs de paramètres d’items calculées à partir des résultats de tous les pays visés par le sondage mondial de Gallup© en 2014-2016) et convertis dans les valeurs correspondantes sur les échelles locales. Le processus d’étalonnage de l’échelle de chaque pays au regard de l’échelle FIES internationale de référence peut être présenté comme une mise en correspondance qui permet de produire des mesures comparables, à l’échelle internationale, de la gravité de l’insécurité alimentaire des personnes interrogées, ainsi que des taux de prévalence nationaux comparables.
Le problème vient du fait que, lorsqu’elle est définie comme un trait latent, la gravité de l’insécurité alimentaire ne peut pas être évaluée par rapport à une référence absolue. Le modèle de Rasch permet de déterminer la position relative occupée par les différents items sur une échelle libellée en unités logit, mais dont le «zéro» est défini arbitrairement (comme étant la gravité moyenne estimée, généralement). Cela signifie que le zéro de l’échelle change dans chaque cas. Pour produire des mesures comparables dans le temps et entre différentes populations, il faut définir une échelle commune qui sera utilisée comme référence, et trouver la formule nécessaire pour convertir les mesures entre les différentes échelles. Comme lorsqu’on convertit des mesures de température effectuées selon des échelles différentes (Celsius et Fahrenheit, par exemple), il faut déterminer un certain nombre de points d’«ancrage». Dans la méthode FIES, ces points d’ancrage sont les niveaux de gravité associés aux items dont la position relative sur l’échelle de gravité peut être considérée comme égale à celle des items correspondants sur l’échelle de référence internationale. Ensuite, pour «mettre en correspondance» les mesures établies selon les différentes échelles, on détermine la formule pour laquelle la moyenne et les écarts types des niveaux de gravité des items communs sont égaux.
Problèmes et limites: Lorsque les estimations de prévalence de l’insécurité alimentaire reposent sur les données FIES recueillies dans le cadre du sondage mondial de Gallup©, avec des échantillons nationaux d’un millier de personnes environ dans la plupart des pays, les intervalles de confiance dépassent rarement 20 pour cent de la prévalence mesurée (ce qui signifie que des taux de prévalence de 50 pour cent sont associés à des marges d’erreur pouvant aller jusqu’à plus ou moins 5 pour cent). Les intervalles de confiance pourront toutefois être beaucoup plus petits si les taux de prévalence nationaux sont estimés à partir d’échantillons plus importants ou s’il s’agit d’estimations portant sur des agrégats de plusieurs pays. Afin de réduire l’effet de la variabilité de l’échantillonnage d’une année sur l’autre, on présente les estimations nationales sous forme de moyennes sur trois ans, calculées en faisant la moyenne de toutes les années disponibles pour les périodes triennales considérées.
Lectures recommandées:
FAO. 2016. Méthodes d’estimation de taux comparables de prévalence de l’insécurité alimentaire chez les adultes à l’échelle mondiale. Rome. www.fao.org/3/a-i4830f.pdf
FAO. 2018. Voices of the Hungry. Dans: FAO. [Consulté le 28 avril 2020]. www.fao.org/in-action/voices-of-the-hungry/fr/
Gallup. 2020. Gallup Keeps Listening to the World Amid the Pandemic. Dans: Gallup. [Consulté le 25 mai 2021]. https://news.gallup.com/opinion/gallup/316016/gallup-keeps-listening-world-amid-pandemic.aspx
Retard de croissance, émaciation et excès pondéral chez les enfants de moins de 5 ans
Définition du retard de croissance (enfants de moins de 5 ans): Taille (en centimètres) rapportée à l’âge (en mois) inférieure d’au moins deux écarts types à la valeur médiane des normes OMS de croissance de l’enfant. Une faible taille par rapport à l’âge traduit les effets cumulés de la dénutrition et des infections depuis la naissance, voire avant. Elle peut résulter de privations nutritionnelles sur une longue durée, d’infections récurrentes ou d’un manque d’eau et d’infrastructures d’assainissement.
Indicateur: Pourcentage d’enfants âgés de 0 à 59 mois dont la taille pour l’âge est inférieure d’au moins deux écarts types à la taille médiane pour leur âge selon les normes OMS de croissance de l’enfant.
Définition de l’émaciation: Poids (en kilogrammes) rapporté à la taille (en centimètres) inférieur d’au moins deux écarts types à la valeur médiane des normes OMS de croissance de l’enfant. Un faible poids par rapport à la taille indique une forte perte de poids ou l’absence de prise de poids et peut résulter d’un apport alimentaire insuffisant et/ou de maladies infectieuses, notamment la diarrhée.
Indicateur: Pourcentage d’enfants âgés de 0 à 59 mois dont le poids pour la taille est inférieur d’au moins deux écarts types au poids médian pour leur taille selon les normes OMS de croissance de l’enfant.
Définition de l’excès pondéral chez l’enfant: Poids (en kilogrammes) rapporté à la taille (en centimètres) supérieur d’au moins deux écarts types à la valeur médiane des normes OMS de croissance de l’enfant. Cet indicateur traduit une prise de poids excessive compte tenu de la taille, généralement due à des apports énergétiques supérieurs aux besoins énergétiques de l’enfant.
Indicateur: Pourcentage d’enfants âgés de 0 à 59 mois dont le poids pour la taille est supérieur d’au moins deux écarts types au poids médian pour leur taille selon les normes OMS de croissance de l’enfant.
Source de données: Banque mondiale, OMS et UNICEF. 2023. UNICEF-WHO-World Bank: Joint child malnutrition estimates – Levels and trends (2023 edition). [Consulté le 27 avril 2023]. https://data.unicef.org/resources/jme-report-2023, www.who.int/teams/nutrition-and-food-safety/monitoring-nutritional-status-and-food-safety-and-events/joint-child-malnutrition-estimates, https://datatopics.worldbank.org/child-malnutrition
Méthode:
Estimations au niveau des pays
Estimations conjointes de la malnutrition infantile (JME) du Groupe de la Banque mondiale, de l’OMS et de l’UNICEF – Ensemble de données nationales
Pour constituer l’ensemble de données JME par pays, le Groupe de la Banque mondiale, l’OMS et l’UNICEF colligent des sources de données nationales contenant des informations sur la malnutrition chez les enfants – en particulier les données de taille, de poids et d’âge des enfants de moins de 5 ans, qui permettent d’estimer la prévalence du retard de croissance, de l’émaciation et de l’excès pondéral au niveau national. Ces sources de données nationales se composent principalement d’enquêtes menées auprès des ménages (enquêtes en grappes à indicateurs multiples ou enquêtes démographiques et sanitaires, par exemple). Certaines sources de données administratives (provenant de systèmes de surveillance, notamment) sont également prises en compte lorsque la couverture démographique est élevée. À la clôture du dernier examen de données en date, le 28 février 2023, l’ensemble de données primaires contenait 1 100 sources de données provenant de 162 pays et territoires et comprenant près de 80 pour cent des enfants qui vivent dans un pays ayant compté au moins un point de donnée sur le retard de croissance, l’émaciation ou l’excès pondéral au cours des cinq dernières années. Cela indique que les estimations mondiales sont très représentatives de la majorité des enfants du monde pour la période la plus récente. L’ensemble de données comprend l’estimation ponctuelle (ainsi que l’erreur type, lorsqu’elle est disponible), les bornes de l’intervalle de confiance à 95 pour cent et la taille de l’échantillon non pondéré. Lorsque des microdonnées sont disponibles, le Groupe de la Banque mondiale, l’OMS et l’UNICEF utilisent des estimations qui ont été recalculées pour respecter la définition type mondiale. Lorsqu’aucune microdonnée n’est disponible, ce sont les estimations communiquées qui sont utilisées, sauf si des ajustements s’imposent à des fins de standardisation dans les cas suivants: i) utilisation d’une autre référence de croissance que les normes de croissance de l’OMS de 2006; ii) tranches d’âge ne comprenant pas entièrement le groupe des enfants de 0 à 59 mois; et iii) sources de données nationalement représentatives des populations résidant en milieu rural seulement. Des informations plus détaillées sur la compilation des sources de données, la réanalyse des microdonnées et l’examen des sources de données sont fournies ailleurs10.
L’ensemble de données nationales des JME est utilisé à différentes fins selon les indicateurs. Pour l’émaciation, il donne directement les estimations nationales (en d’autres termes, la prévalence de l’émaciation figurant dans l’ensemble de données nationales des JME et provenant d’une enquête auprès des ménages dans un pays donné et pour une année donnée est la prévalence de l’émaciation communiquée pour ce pays et cette année). Concernant le retard de croissance et l’excès pondéral, l’ensemble de données nationales des JME est utilisé pour générer les estimations modélisées par pays qui constitueront les JME officielles (autrement dit, la prévalence du retard de croissance provenant d’une enquête auprès des ménages menée dans un pays donné et pour une année donnée n’est pas communiquée telle quelle, mais sert à générer les estimations modélisées décrites à la section suivante du présent document).
Modèle utilisé pour produire les estimations relatives au retard de croissance et à l’excès pondéral au niveau des pays
Les éléments techniques détaillés qui se rapportent aux modèles statistiques sont fournis ailleurs10. En résumé, pour le retard de croissance comme pour l’excès pondéral, la prévalence a été modélisée à une échelle logit (fonction logit) à l’aide d’un modèle mixte longitudinal pénalisé avec un terme d’erreur hétérogène. La qualité des modèles a été quantifiée au moyen de critères d’adéquation au modèle qui équilibrent la complexité de ce dernier et la finesse de l’ajustement aux données observées. La méthode proposée présente des caractéristiques importantes, notamment des tendances temporelles non linéaires, des tendances régionales, des tendances propres aux pays, des données de covariable et un terme d’erreur hétérogène. Tous les pays disposant de données contribuent aux estimations de la tendance temporelle globale et de l’effet des données de covariable sur la prévalence. Concernant l’excès pondéral, les données de covariable consistent en des indices sociodémographiques linéaires et quadratiquesbe et un type de source de données. Pour le retard de croissance, on a utilisé les mêmes covariables, auxquelles on a ajouté le nombre moyen d’accès au système de santé au cours des cinq années précédentes.
En 2023, le Groupe de la Banque mondiale, l’OMS et l’UNICEF ont diffusé des estimations annuelles modélisées du retard de croissance et de l’excès pondéral couvrant la période 2000-2022 pour 160 pays qui avaient au moins un point de données (provenant d’une enquête auprès des ménages, par exemple) figurant dans l’ensemble de données des JME décrit précédemment. Des estimations modélisées ont également été établies pour 45 pays supplémentaires, à seule fin de générer les agrégats régionaux et mondiaux. Les estimations modélisées de ces 45 pays n’ont pas été diffusées parce qu’elles ne correspondaient à aucune enquête auprès des ménages enregistrée dans l’ensemble de données par pays des JME ou qu’elles étaient encore en attente d’examen final au moment de la publication. Les résultats obtenus pour les 205 pays peuvent servir à calculer des estimations et des intervalles d’incertitude pour tout agrégat de pays. Les intervalles d’incertitude jouent un rôle essentiel dans le suivi des tendances, en particulier lorsque les données des pays sont fragmentaires ou lorsque les sources de données primaires présentent d’importantes erreurs d’échantillonnage. Lorsqu’on ne dispose que de données fragmentaires pour la période la plus récente, la prise en compte d’une enquête peut modifier nettement l’évolution prévue. Des intervalles d’incertitude sont donc nécessaires pour améliorer l’interprétabilité des tendances en précisant le niveau de prudence utilisé. Les intervalles d’incertitude de la nouvelle méthode des JME ont été testés et validés avec différents types de données.
Estimations régionales et mondiales
Les estimations régionales et mondiales de l’émaciation ne sont présentées que pour l’année la plus récente, 2022, à la différence des estimations du retard de croissance et de l’excès pondéral, pour lesquelles on dispose d’une série chronologique annuelle couvrant 2000 à 2022. La raison en est que les JME reposent sur des données de prévalence au niveau national, qui proviennent d’enquêtes transversales (donnant un instantané à un moment précis), lesquelles ne sont pas réalisées très fréquemment (tous les trois à cinq ans seulement) dans la plupart des pays. Le retard de croissance et l’excès pondéral n’évoluant guère sur une année calendaire, il est raisonnable de suivre les changements dans le temps de ces deux troubles de croissance au moyen des données en question. L’émaciation, en revanche, est une affection aiguë qui peut évoluer fréquemment et rapidement. Un même enfant peut en effet connaître plusieurs épisodes d’émaciation au cours d’une même année, entrecoupés de périodes où il se rétablit. De plus, dans de nombreux contextes, le risque d’émaciation peut être lié à des variations saisonnières, lesquelles entraînent des pics de prévalence. C’est ainsi que, dans certains contextes, la prévalence de l’émaciation peut doubler entre la saison après récolte (souvent associée à des disponibilités alimentaires plus importantes et des conditions météorologiques moins propices aux maladies) et la saison avant récolte (fréquemment caractérisée par des pénuries alimentaires et de fortes pluies, causes de maladies, qui peuvent dégrader l’état nutritionnel). Les enquêtes des pays pouvant être réalisées durant n’importe quelle saison, l’estimation de prévalence qui en découle peut aussi bien être élevée que basse; elle peut également se situer à un niveau intermédiaire si la collecte de données s’est déroulée sur plusieurs saisons. En d’autres termes, la prévalence de l’émaciation rend compte de ce trouble à un moment précis, et non sur une année entière. Les variations saisonnières d’une enquête à l’autre ne permettent guère d’en déduire des tendances. L’absence de méthodes de prise en compte de la saisonnalité et de l’incidence de l’émaciation est la principale raison expliquant que les JME ne présentent pas de tendances annuelles pour cette forme de malnutrition.
Production des estimations régionales et mondiales
Les estimations régionales et mondiales du retard de croissance et de l’excès pondéral ont été obtenues par des méthodes différentes de celles utilisées pour l’émaciation, comme indiqué ci-après. Pour résumer, les premières ont été générées à partir des résultats du nouveau modèle de niveau pays, et les secondes, au moyen du modèle multiniveau sous-régional des JME.
Retard de croissance et excès pondéral
Les estimations régionales et mondiales établies pour chaque année de 2000 à 20224 ont été calculées en faisant la moyenne des chiffres des pays respectifs, pondérés par le nombre d’enfants de moins de 5 ans de ces pays, tel qu’il figure dans l’édition 2022 de la publication World Population Prospects du Département des affaires économiques et sociales de l’ONU, en utilisant les estimations modélisées pour 204 pays. Ce nombre comprend 155 pays possédant des sources de données nationales (des enquêtes auprès des ménages, par exemple) enregistrées dans l’ensemble de données nationales des JME décrit précédemment. Il comprend également 49 pays pour lesquels on a modélisé des estimations qui ont servi à élaborer les agrégats régionaux et mondiaux, mais qui n’ont pas été communiquées parce qu’elles ne correspondaient à aucune enquête auprès des ménages enregistrée dans l’ensemble de données par pays des JME ou qu’elles étaient encore en attente d’examen final au moment de la publication. Les intervalles de confiance ont été calculés en utilisant la technique du bootstrap.
Émaciation
Les données de prévalence de l’émaciation provenant des sources de données nationales, décrites à la section précédente traitant de l’ensemble de données par pays des JME, ont été utilisées pour générer des estimations régionales et mondiales pour l’année 2020 à l’aide du modèle multiniveau sous-régional des JME, en appliquant des pondérations correspondant au nombre d’enfants de moins de 5 ans donné dans l’édition 2022 du rapport World Population Prospects.
Problèmes et limites: La périodicité recommandée en matière de communication d’informations sur le retard de croissance, l’excès pondéral et l’émaciation est de trois à cinq ans, mais certains pays mettent ces données à disposition moins fréquemment. Bien que tout ait été fait pour optimiser la comparabilité des statistiques entre pays et dans le temps, les données des pays peuvent différer du point de vue des modalités de collecte, de la population couverte et des méthodes d’estimation utilisées. Les estimations issues des enquêtes sont assorties de niveaux d’incertitude imputables à la fois à des erreurs d’échantillonnage et à d’autres types d’erreurs (erreurs techniques de mesure, erreurs d’enregistrement, etc.). Aucune de ces deux sources d’erreurs n’a été pleinement prise en compte dans le calcul des estimations aux niveaux national, régional et mondial.
En ce qui concerne la prévalence de l’émaciation, la saison peut influer sur les estimations, car les enquêtes sont généralement menées pendant une période spécifique de l’année. Les facteurs saisonniers jouant sur l’émaciation sont notamment les disponibilités alimentaires (période avant récolte, par exemple) et les maladies (saison des pluies et diarrhées, paludisme, etc.). Par ailleurs, les catastrophes naturelles et les conflits peuvent aussi entraîner une profonde modification des tendances, qu’il conviendrait de traiter différemment des variations saisonnières. Les estimations de l’émaciation par pays et par année ne sont donc pas nécessairement comparables dans le temps, ce qui explique que seules les estimations les plus récentes (2022) soient présentées.
Lectures recommandées:
Banque mondiale, OMS et UNICEF. 2021. Technical notes from the background document for country consultations on the 2021 edition of the UNICEF-WHO-World Bank Joint Malnutrition Estimates. SDG Indicators 2.2.1 on stunting, 2.2.2a on wasting and 2.2.2b on overweight. New York (États-Unis d’Amérique), UNICEF. data.unicef.org/resources/jme-2021-country-consultations
Banque mondiale, OMS et UNICEF. 2023. UNICEF-WHO-World Bank: Joint child malnutrition estimates – Levels and trends (2023 edition). [Consulté le 27 avril 2023]. https://data.unicef.org/resources/jme-report-2023, www.who.int/teams/nutrition-and-food-safety/monitoring-nutritional-status-and-food-safety-and-events/joint-child-malnutrition-estimates, https://datatopics.worldbank.org/child-malnutrition
de Onis, M., Blössner, M., Borghi, E., Morris, R. et Frongillo, E.A. 2004. «Methodology for estimating regional and global trends of child malnutrition». International Journal of Epidemiology, 33(6): 1260–1270. https://doi.org/10.1093/ije/dyh202
GBD 2019 Risk Factors Collaborators. 2020. «Global burden of 87 risk factors in 204 countries and territories, 1990-2019: a systematic analysis for the Global Burden of Disease Study 2019». The Lancet, 396(10258): 1223–1249. https://doi.org/10.1016/s0140-6736(20)30752-2
OMS. 2014. Plan d’application exhaustif concernant la nutrition chez la mère, le nourrisson et le jeune enfant. Genève (Suisse). https://www.who.int/fr/publications/i/item/WHO-NMH-NHD-14.1
OMS. 2019. Nutrition Landscape Information System (NLIS) country profile indicators: interpretation guide. Genève (Suisse). www.who.int/publications/i/item/9789241516952
Allaitement maternel exclusif
Définition: L’allaitement maternel exclusif du nourrisson de moins de 6 mois correspond à une alimentation composée uniquement de lait maternel, sans aliment ni boisson supplémentaire, pas même de l’eau. L’allaitement maternel exclusif est un facteur fondamental de la survie des enfants et le meilleur moyen de nourrir les nouveau-nés, car le lait maternel met en place le microbiome du bébé, renforce son système immunitaire et réduit le risque de développement de maladies chroniques.
L’allaitement est également bénéfique pour les mères, car il prévient les hémorragies post-partum et favorise l’involution utérine, réduit le risque d’anémie ferriprive et de développement de divers types de cancer, et apporte des avantages psychologiques.
Indicateur: Pourcentage de nourrissons de 0 à 5 mois alimentés exclusivement par du lait maternel, sans aliment ni boisson supplémentaire, pas même de l’eau, au cours des 24 heures précédant l’enquête11.
Source de données: UNICEF. 2022. Infant and young child feeding. Dans: UNICEF. [Consulté le 6 avril 2023]. data.unicef.org/topic/nutrition/infant-and-young-child-feeding
Méthode:

Cet indicateur couvre également l’allaitement par une nourrice et l’emploi de lait maternel tiré.
Il repose sur une rétrospection de l’alimentation du jour précédent pour un échantillon transversal de nourrissons de 0 à 5 mois.
En 2012, les estimations régionales et mondiales de l’allaitement maternel exclusif ont été établies à l’aide de l’estimation la plus récente disponible pour chaque pays sur la période comprise entre 2005 et 2012. De la même façon, les estimations de 2020 ont été élaborées à l’aide de l’estimation la plus récente disponible pour chaque pays sur la période comprise entre 2014 et 2020. Les moyennes mondiales et régionales ont été calculées en tant que moyennes pondérées de la prévalence de l’allaitement maternel exclusif dans chaque pays, en utilisant le nombre total de nourrissons de 0 à 5 mois donné dans le rapport World Population Prospects 20224 (2012 pour la base de référence et 2021 pour les chiffres actuels) comme coefficients de pondération. Sauf indication contraire, les estimations ne sont présentées que lorsque les données disponibles sont représentatives d’au moins 50 pour cent du nombre total de naissances dans les régions correspondantes.
Problèmes et limites: De nombreux pays recueillent des données sur l’allaitement maternel exclusif, mais on manque notamment de données pour les pays à revenu élevé. La périodicité recommandée pour la communication d’informations sur l’allaitement maternel exclusif est de trois à cinq ans. Cependant, les données de certains pays sont communiquées moins fréquemment, ce qui signifie que la modification des modèles alimentaires n’est souvent pas détectée avant plusieurs années.
Cela peut avoir une incidence sur les moyennes régionales et mondiales selon que les pays disposaient ou non de données relatives aux périodes visées dans le présent rapport.
Le fait de se baser sur l’alimentation du jour précédent est susceptible d’entraîner une surestimation de la proportion d’enfants exclusivement nourris au sein, car il se peut que des enfants qui reçoivent d’autres liquides ou aliments irrégulièrement n’en aient pas eu la veille de l’enquête.
Lectures recommandées:
OMS. 2014. Plan d’application exhaustif concernant la nutrition chez la mère, le nourrisson et le jeune enfant. Genève (Suisse). https://www.who.int/fr/publications/i/item/WHO-NMH-NHD-14.1
OMS. 2019. Nutrition Landscape Information System (NLIS) country profile indicators: interpretation guide. Genève (Suisse). www.who.int/publications/i/item/9789241516952
OMS et UNICEF. 2021. Indicators for assessing infant and young child feeding practices: definitions and measurement methods. https://apps.who.int/iris/rest/bitstreams/1341846/retrieve
UNICEF. 2022. «Infant and young child feeding: exclusive breastfeeding». Dans: UNICEF. [Consulté le 6 avril 2023]. data.unicef.org/topic/nutrition/infant-and-young-child-feeding
Insuffisance pondérale à la naissance
Définition: L’insuffisance pondérale à la naissance correspond à un poids à la naissance inférieur à 2 500 grammes, quel que soit l’âge gestationnel. Le poids à la naissance est un marqueur important de la santé et de la nutrition maternelles et fœtales12.
Indicateur: Pourcentage de nouveau-nés dont le poids à la naissance est inférieur à 2 500 grammes.
Source de données: OMS et UNICEF. 2023. Low birthweight joint estimates 2023 edition. [Consulté le 12 juillet 2023]. https://data.unicef.org/topic/nutrition/low-birthweight; www.who.int/teams/nutrition-and-food-safety/monitoring-nutritional-status-and-food-safety-and-events/joint-low-birthweight-estimates
Méthode: On peut établir des estimations de la prévalence de l’insuffisance pondérale à la naissance qui soient représentatives au niveau national à partir d’un ensemble de sources, définies globalement comme étant les données administratives ou les enquêtes sur les ménages représentatives à ce niveau. Les données administratives nationales proviennent des systèmes nationaux, notamment le registre et les statistiques de l’état civil, les systèmes nationaux d’information de gestion en matière de santé et les registres des naissances. Lorsque les enquêtes nationales menées auprès des ménages fournissent des informations sur le poids à la naissance ainsi que des indicateurs connexes clés, comme la perception maternelle de la taille à la naissance (enquêtes en grappes à indicateurs multiples, enquêtes démographiques et sanitaires), elles sont également une source importante de données sur l’insuffisance pondérale à la naissance, notamment dans les contextes où de nombreux enfants ne sont pas pesés à la naissance et/ou la tendance à arrondir les données pose problème. Avant d’ajouter les données nationales à l’ensemble de données d’un pays, on vérifie leur couverture et leur qualité et on les ajuste si elles proviennent d’une enquête auprès des ménages. Pour être pris en compte, les poids à la naissance issus des données administratives doivent représenter au moins 80 pour cent des naissances vivantes estimées dans le rapport World Population Prospects du Département des affaires économiques et sociales pour l’année considérée. Pour être intégrées dans l’ensemble de données, les données d’enquête:
- doivent mentionner un poids à la naissance pour 30 pour cent minimum de l’échantillon;
- doivent comprendre au minimum 200 poids à la naissance;
- ne doivent comporter aucune indication de données très arrondies – ce qui signifie que: a) jusqu’à 55 pour cent de tous les poids à la naissance peuvent correspondre aux trois catégories les plus fréquentes (si les trois poids à la naissance les plus fréquents sont 3 000 g, 3 500 g et 2 500 g, il faut que leur cumul représente au plus 55 pour cent de tous les poids à la naissance de l’ensemble de données); b) jusqu’à 10 pour cent de l’ensemble des poids à la naissance peuvent être supérieurs ou égaux à 4 500 g; c) jusqu’à 5 pour cent des poids à la naissance peuvent correspondre aux extrêmes (500 g et 5 000 g);
- doivent avoir été ajustées pour tenir compte des poids à la naissance manquants et de la tendance à arrondir les données12.
Les estimations de la prévalence de l’insuffisance pondérale à la naissance au niveau national ont été établies à partir d’un modèle bayésien de régression multiniveau13. Le modèle est rattaché à l’échelle logit (fonction logit) pour que les proportions soient comprises entre zéro et un, puis retransformé et multiplié par 100 pour obtenir des estimations de la prévalence.
Les intercepts aléatoires hiérarchiques propres à chaque pays (pays/régions/monde) représentaient la corrélation à l’intérieur des régions et entre les régions. Les six régions relatives aux ODD ont été adaptées et utilisées dans la modélisation. Des splines pénalisées ont été utilisées comme lissage temporel dans la série chronologique 26-28, ce qui signifie que des tendances temporelles non linéaires au niveau des pays ont été prises en compte sans que des variations aléatoires influent sur la tendance. Des covariables au niveau des pays ont aussi été intégrées dans la modélisation. Les covariables finales incluses dans le modèle étaient les suivantes: le revenu national brut par personne en parité de pouvoir d’achat (en dollars internationaux constants de 2017), la prévalence de l’insuffisance pondérale chez les femmes, le taux d’alphabétisation des femmes, le taux d’utilisation des méthodes de contraception modernes et le pourcentage de la population urbaine.
Parallèlement, des catégories de qualité des données (tableau A1.5) ont été utilisées pour appliquer des biais et des termes de variance supplémentaires. Les biais ont été appliqués aux données administratives relevant de catégories de qualité inférieure, ce qui a permis de déterminer approximativement les biais escomptés liés à la tendance à l’arrondissement, lesquels avaient déjà été pris en compte lors de l’ajustement des données d’enquête. La variance supplémentaire reposait: 1) sur la catégorie de qualité des données administratives; et 2) sur la pondération entre les données administratives et les données d’enquête si le pays disposait des deux.
TableAU A1.5Catégories de qualité des données pour les sources administratives

SOURCE: Okwaraji, Y.B., Krasevec, J., Bradley, E., Conkle, J., Stevens, G.A., Gatica-Domínguez, G., Ohuma, E.O. et al. 2023. «National, regional, and worldwide estimates of low birthweight in 2020, with trends from 2000: a systematic analysis». The Lancet (sous presse).
Des contrôles de diagnostic standard ont été utilisés pour évaluer le niveau de convergence et l’efficacité de l’échantillonnage. Il a été procédé à une validation croisée consistant à faire la moyenne de plus de 200 sous-ensembles aléatoires composés de 20 pour cent de données de test et de 80 pour cent de données d’apprentissage. Des analyses de sensibilité ont été entreprises, y compris des contrôles portant sur les covariables, la méthode d’application des biais, le lissage temporel et les probabilités a priori non informatives. Tous les modèles ont été intégrés dans le logiciel statistique R et dans les paquets R «rjags» et «R2jags».
Le modèle comprenait les 2 040 années-pays de données répondant aux critères d’inclusion, et a permis de générer des estimations annuelles allant de 2000 à 2020 avec des intervalles de crédibilité à 95 pour cent pour 195 pays et zonesbf. Seules les estimations des pays et des zones comprenant des données sont communiquées. Concernant les 37 pays (sur 195) ne disposant d’aucune donnée ou dont les données ne remplissaient pas les critères d’inclusion, le modèle final a été utilisé pour réaliser les estimations de la prévalence de l’insuffisance pondérale à la naissance à partir des intercepts des pays et des tendances temporelles estimées sur la base des covariables par région et par pays pour toutes les années-pays. Des agrégats régionaux et mondiaux ont ensuite été créés au moyen d’estimations provenant des 195 pays et zones.
Problèmes et limites: L’une des principales limites du suivi de l’insuffisance pondérale à la naissance à l’échelle mondiale est le manque de données relatives au poids à la naissance de nombreux enfants. À cet égard, il existe un biais notable lié au fait que les enfants nés de mères pauvres, peu instruites et vivant en milieu rural auront moins de chances d’avoir été pesés à la naissance que ceux nés de mères plus aisées, ayant fait davantage d’études et vivant en milieu urbain13. Les caractéristiques des nouveau-nés non pesés étant des facteurs de risque d’insuffisance pondérale à la naissance, les estimations qui ne prennent pas correctement en compte ces enfants pourront être inférieures à la valeur réelle. Par ailleurs, on note une faible qualité de la plus grande partie des données disponibles pour les pays à revenu intermédiaire de la tranche inférieure13 s’agissant des arrondis excessifs aux multiples de 500 g ou de 100 g, ce qui peut également fausser les estimations de l’insuffisance pondérale à la naissance. Les méthodes utilisées pour tenir compte, dans la base de données actuelle, des données manquantes et de la tendance à arrondir les données dans les estimations d’enquête13 sont censées remédier à ce problème. Il ressort d’une étude de validation menée récemment que l’estimation ajustée de l’insuffisance pondérale à la naissance était analogue à la prévalence réelle, alors que la valeur non ajustée ne tenait même pas compte de la moitié des naissances en insuffisance pondérale au sein des populations considérées14.
Les données d’entrée administratives ont également des limites, notamment l’absence de données au niveau individuel, et fournissent peu d’informations sur la tendance à l’arrondissement des données ni sur les poids à la naissance manquants. La catégorisation de la qualité des données (tableau A1.5) visait à remédier à ces limites en regroupant les pays en fonction d’indicateurs de qualité, mais il est nécessaire d’élaborer des méthodes plus précises pour ajuster les différences de qualité des données administratives par pays et non au moyen d’un même ajustement de biais appliqué à un groupe de pays. En outre, dans le cas des enquêtes, les erreurs types sont bien plus grandes que celles définies pour les données d’entrée administratives en raison de la nature des échantillonnages utilisés dans les enquêtes auprès des ménages. Ces différences peuvent influer sur les résultats des modèles de manière artificielle.
Les regroupements géographiques utilisés dans la modélisation pour les ODD peuvent ne pas être adaptés aux valeurs épidémiologiques ou économiques aberrantes. Au total, cela risque d’avoir influé sur les estimations de 37 pays (sur 195) sans données d’entrée. La prévalence prévue, par exemple, pour Haïti, un pays qui ne disposait pas de données remplissant les critères d’inclusion, a été établie à partir de covariables définies au niveau du pays ainsi que d’intercepts et de tendances temporelles de pays d’Amérique latine et des Caraïbes, qui peuvent ne pas être appropriés dans ce cas précis.
En outre, les seuils de confiance des estimations mondiales et régionales peuvent être artificiellement bas étant donné que près de la moitié des pays modélisés avaient un effet spécifique généré aléatoirement pour chaque prévision de bootstrap, positif ou négatif selon le cas, ce qui tend à rendre l’incertitude relative aux niveaux mondial et régional moindre qu’au niveau des pays.
Lectures recommandées:
Blanc, A. et Wardlaw, T. 2005. «Monitoring low birth weight: An evaluation of international estimates and an updated estimation procedure». Bulletin World Health Organization, 83(3): 178-185. www.ncbi.nlm.nih.gov/pmc/articles/PMC2624216
Blencowe, H., Krasevec, J., de Onis, M., Black, R.E., An, X., Stevens, G.A., Borghi, E., Hayashi, C., Estevez, D., Cegolon, L., Shiekh, S., Ponce Hardy, V., Lawn, J.E. et Cousens, S. 2019. «National, regional, and worldwide estimates of low birthweight in 2015, with trends from 2000: a systematic analysis». The Lancet Global Health, 7(7): e849-e860. https://doi.org/10.1016/S2214-109X(18)30565-5
Chang, K.T., Carter, E.D., Mullany, L.C., Khatry, S.K., Cousens, S., An, X., Krasevec, J., LeClerq, S.C., Munos, M.K. et Katz, J. 2022. «Validation of MINORMIX approach for estimation of low birthweight prevalence using a rural Nepal dataset». The Journal of Nutrition, 152(3): 872-879. https://doi.org/10.1093/jn/nxab417
Okwaraji, Y.B., Krasevec, J., Bradley, E., Conkle, J., Stevens, G.A., Gatica-Domínguez, G., Ohuma, E.O. et al. 2023. «National, regional, and worldwide estimates of low birthweight in 2020, with trends from 2000: a systematic analysis». The Lancet (sous presse).
Obésité de l’adulte
Définition: IMC ≥ 30,0 kg/m2. L’IMC est le rapport du poids à la taille habituellement utilisé pour classifier l’état nutritionnel des adultes. Il est calculé en divisant le poids corporel en kilogrammes par la taille en mètres élevée au carré (kg/m2). Les individus dont l’IMC est égal ou supérieur à 30 kilogrammes par mètre carré sont considérés comme obèses.
Indicateur: Pourcentage de la population d’individus de plus de 18 ans dont l’IMC est supérieur ou égal à 30,0 kg/m2, normalisé par âge et pondéré par sexe15.
Source de données: OMS. 2020. Données de l’Observatoire de la santé mondiale. Dans: OMS. [Consulté le 28 avril 2020]. apps.who.int/gho/data/node.main.A900A?lang=en (L’échantillon comprenait 1 698 études de population, portant sur plus de 19,2 millions de participants âgés de 18 ans ou plus ayant fait l’objet de mesures dans 186 pays)16.
Méthode: On a appliqué un modèle hiérarchique bayésien à un ensemble d’études en population qui avaient permis de mesurer la taille et le poids des adultes âgés de 18 ans ou plus afin d’estimer les tendances de l’IMC moyen et de la prévalence des catégories d’IMC (insuffisance pondérale, excès pondéral et obésité) sur la période comprise entre 1975 et 2014. Le modèle intégrait les éléments suivants: les tendances temporelles non linéaires et la structure par âge; la représentativité nationale par opposition à la représentativité infranationale ou communautaire; la couverture des zones rurales et des zones urbaines par opposition à la couverture de l’un de ces deux types de zone seulement. Le modèle comprenait également des covariables utiles à l’estimation de l’IMC, notamment les revenus nationaux, la proportion de population résidant en milieu urbain, le nombre moyen d’années d’études et des indicateurs synthétiques relatifs aux disponibilités de différents types d’aliments destinés à la consommation humaine.
Problèmes et limites: Dans certains pays, les sources de données étaient rares, et 42 pour cent seulement des sources retenues comprenaient des données relatives aux personnes de plus de 70 ans.
Lectures recommandées:
NCD-RisC (NCD Risk Factor Collaboration). 2016. «Trends in adult body-mass index in 200 countries from 1975 to 2014: a pooled analysis of 1698 population-based measurement studies with 19.2 million participants». The Lancet, 387(10026): 1377-1396. https://doi.org/10.1016/S0140-6736(16)30054-X
OMS. 2019. Nutrition Landscape Information System (NLIS) country profile indicators: interpretation guide. Genève (Suisse). www.who.int/publications/i/item/9789241516952
Anémie chez les femmes âgées de 15 à 49 ans
Définition: Pourcentage des femmes âgées de 15 à 49 ans dont la concentration en hémoglobine est inférieure à 120 grammes par litre (pour les femmes qui ne sont pas enceintes ou qui allaitent) ou à 110 grammes par litre (pour les femmes enceintes), après ajustement en fonction de l’altitude et du tabagisme des femmes considérées.
Indicateur: Pourcentage de femmes âgées de 15 à 49 ans dont la concentration d’hémoglobine dans le sang est inférieure à 110 grammes par litre pour les femmes enceintes et à 120 grammes par litre pour les autres femmes.
Source de données:
OMS. 2021. Global anaemia estimates, edition 2021. Dans: WHO / Global Health Observatory (GHO) data repository. [Consulté le 20 avril 2023]. www.who.int/data/gho/data/themes/topics/anaemia_in_women_and_children
Méthode: L’édition 2021 des estimations relatives à l’anémie chez les femmes âgées de 15 à 49 ans, enceintes ou non, comprenait des sources de données issues de la base de données sur les micronutriments, qui fait partie du Système d’informations nutritionnelles sur les vitamines et les minéraux, et de données individuelles anonymisées qui couvrent la période allant de 1995 à 2020. L’ajustement des données sur les concentrations en hémoglobine dans le sang en fonction de l’altitude et du tabagisme des femmes a été effectué chaque fois que possible. Les valeurs non plausibles sur le plan biologique (concentration en hémoglobine < 25 g/l ou > 200 g/l) ont été exclues. On a utilisé un modèle de mélange hiérarchique bayésien pour estimer les distributions de la concentration en hémoglobine et traiter systématiquement les données manquantes, les tendances temporelles non linéaires et la représentativité des sources de données. En bref, le modèle calcule des estimations pour chaque pays et chaque année, utilisant pour ce faire les données provenant du pays considéré et concernant l’année considérée, si celles-ci sont disponibles, et les données concernant d’autres années pour le même pays et pour d’autres pays disposant de données sur des périodes similaires, en particulier les pays de la même région. Le modèle emprunte des données dans une plus large mesure lorsque les données sont inexistantes ou peu informatives et dans une moindre mesure lorsque les pays et régions disposent de beaucoup de données. Les estimations qui en résultent sont également éclairées par des covariables qui aident à prédire les concentrations en hémoglobine dans le sang (indice sociodémographique, disponibilités en viande en kilocalories par habitant, IMC moyen des femmes et logarithme de la mortalité des enfants de moins de 5 ans, par exemple). Les fourchettes d’incertitude (intervalles de crédibilité) reflètent les principales sources d’incertitude, notamment: l’erreur d’échantillonnage; l’erreur indépendante de l’échantillonnage, due à des problèmes de conception d’échantillon/de mesure; et l’incertitude découlant du calcul des estimations relatives aux pays et aux années sans données.
Problèmes et limites: Malgré la proportion importante de pays disposant de données sur l’anémie issues d’enquêtes nationalement représentatives, la communication des informations relatives à cet indicateur est encore lacunaire, notamment dans les pays à revenu élevé. En conséquence, les estimations peuvent ne pas rendre pleinement compte de la variation entre pays et entre régions, et tendent simplement à se resserrer autour des moyennes mondiales quand les données sont rares.
Lectures recommandées:
OMS. 2011. Concentrations en hémoglobine permettant de diagnostiquer l’anémie et d’en évaluer la sévérité. Système d’informations nutritionnelles sur les vitamines et les minéraux. Genève (Suisse). https://apps.who.int/iris/bitstream/handle/10665/85839/WHO_NMH_NHD_MNM_11.1_eng.pdf
OMS. 2014. Plan d’application exhaustif concernant la nutrition chez la mère, le nourrisson et le jeune enfant. Genève (Suisse). https://www.who.int/fr/publications/i/item/WHO-NMH-NHD-14.1
OMS. 2021. Global anaemia estimates, edition 2021. Dans: WHO / Global Health Observatory (GHO) data repository. [Consulté le 20 avril 2023]. www.who.int/data/gho/data/themes/topics/anaemia_in_women_and_children
OMS. 2021. Vitamin and Mineral Nutrition Information System (VMNIS). Dans: OMS. [Consulté le 20 avril 2023]. www.who.int/teams/nutrition-food-safety/databases/vitamin-and-mineral-nutrition-information-system
OMS. 2021. Nutrition Landscape Information System (NliS) Country Profile. Dans: OMS. [Consulté le 20 avril 2023]. www.who.int/data/nutrition/nlis/country-profile
OMS. 2023. Portail de données sur la nutrition. Dans: OMS. [Consulté le 20 avril 2023]. https://platform.who.int/nutrition/nutrition-portals
Stevens, G.A., Finucane, M.M., De-Regil, L.M., Paciorek, C.J., Flaxman, S.R., Branca, F., Peña-Rosas, J.P., Bhutta, Z.A. et Ezzati, M. 2013. «Global, regional, and national trends in haemoglobin concentration and prevalence of total and severe anaemia in children and pregnant and non-pregnant women for 1995-2011: a systematic analysis of population-representative data». The Lancet Global Health, 1(1): e16-e25. https://doi.org/10.1016/s2214-109x(13)70001-9
Stevens, G.A., Paciorek, C.J., Flores-Urrutia, M.C., Borghi, E., Namaste, S., Wirth, J.P., Suchdev, P.S., EzzatI, M., Rohner, F., Flaxman, S.R. et Rogers, L.M. 2022. «National, regional, and global estimates of anaemia by severity in women and children for 2000–19: a pooled analysis of population-representative data». The Lancet Global Health, 10(5): e627-e639. https://doi.org/10.1016/S2214-109X(22)00084-5