Previous Page Table of Contents Next Page


Peripheral plasma levels of progesterone and oestradiol-17ß during the reproductive cycle of West African dwarf goats - Niveaux de progestérone et d'oestradiol-17ß plasmatique pendant le cycle de reproduction de la chèvre du Fouta Djallon

M.O. Akusu, E. Nduka and G.N. Egbunike

University of Ibadan
Ibadan
Nigeria


Summary
Resume
Introduction
Materials and methods
Results
Discussion
Conclusions
Acknowledgements
References


Summary

West African Dwarf goats of different parities were bled through jugular puncture and the plasma assayed for progesterone and oestradiol-17ß by radioimmunassay. Samples were obtained during oestrus and pregnancy, at parturition and postpartum. Progesterone levels were minimal (0.18 ± 0.04 ng/ml) on the day of oestrus, followed by a steady rise, although the mean value 4 d later was less than 1 ng/ml: during pregnancy the mean level was 3.45 ± 0.12 ng/ml: at parturition it was 0.74 ng/ml: postpartum levels were generally lower than 1 ng/ml. Oestradiol levels did not follow a definite pattern. Progesterone levels are more suitable than oestradiol for the assessment of ovarian function and for pregnancy diagnosis in the West African Dwarf goat.

Resume

Des chèvres du type Fouta Djallon à différentes parités fut prélevé par ponction à la veine jugulaire. Les niveaux de progestérone et d'oestradiol-17ß plasmatique furent mesurés par dosage radioimmunologique. Les prélèvements provenaient d'animaux en phase oestrale, de gestation, de mise bas et postpartum. Le niveau minimal de progestérone observé (0,18 ± 0,04 ng/ml) les premiers jours de l'oestrus fut suivi par une augmentation laborieuse puisque 4 j plus tard le taux était toujours inférieur à 1 ng/ml. Pendant la gestation le niveau moyen de progestérone était de 3,45 ± 0,12 ng/ml jusqu'au jour de la délivrance où il chuta à 0,74 ng/ml. Pendant la période postpartum, le niveau moyen se maintient en dessous de 1 ng/ml. Les niveaux d'oestradiol ne suivirent pas une courbe bien définie. La mesure du taux de progestérone est meilleure que celle d'oestradiol pour l'évaluation de l'activité ovarienne et du diagnostic de gestation chez la chèvre du Fouta Djallon.

Introduction

The determination of reproductive hormones during normal physiological events is important in elucidating basic concepts such as the ovulatory process, cyclic regression of the corpus luteum, hormone requirements for oestrus manifestation, establishment of pregnancy and parturition. Endocrine control of the various phases of the reproductive cycle of cattle (Edqvist et al, 1972; 1973; Kindahl et al, 1976; Verne et al, 1981), sheep (Bindon et al, 1979; Scaramuzzi and Radford, 1983) and the sow (Shearer et al, 1972; Edqvist et al, 1974) are well known. Less information is available on the endocrinology of the goat (Mori and Kano, 1984).

The West African Dwarf (WAD) goat is one of two major breeds in Nigeria. It is more common in the southern (forest) part of the country than the Maradi (Red Sokoto) which is predominant in the north. The WAD is well adapted to the humid tropics and is relatively trypanotolerant. Trypanotolerance and high fertility and prolificacy have enabled it to maintain a numerical superiority over sheep and cattle in the forest and savanna zones of southern Nigeria (FAO, 1966; Carew, 1982).

Various aspects of the reproductive performance of goats in Nigeria are receiving increased attention (Ogunbiyi et al, 1980; Akusu and Ebgunike, 1984; Akusu et al, 1986) but there is, as yet, no information on the endocrine profile. The objective of this study is to determine the normal levels of progesterone and oestradiol during oestrus, pregnancy, parturition and postpartum, with a view to establishing basal data for WAD goats in southern Nigeria.

Materials and methods

Animals and management

Eleven adult does between 2 yr and 4 yr and weighing 15 kg to 25 kg were managed intensively in roofed, concrete-floored pens with low wooden walls. Pens were cleaned and floor litter (dry wood shavings) replaced daily. Clean water and giant star grass (Cynodon plectostachyum) were available ad libitum. Maize-based concentrates were fed at 0.5 kg/hd/d. The barn dry-bulb temperature ranged from 26°C to 33°C, wet-bulb temperature being about 1°C to 2°C lower.

Oestrus detection and breeding

Oestrus was synchronized with PGF2-a (Dinoprost Tromethamine - Upjohn Company, Kalamazoo MI, USA) as described by Akusu and Egbunike (1984). All animals were exposed daily at 08:00, 12:00, 16:00 and 20:00 to mature intact males and were bred naturally on the day of oestrus.

Bleeding schedule

Blood (5 ml) was obtained through jugular puncture into heparinized sample tubes. Does on heat were bled at 08:00 for 5 d, followed by weekly bleeding until 140 d of gestation. Between 141 d and 5 d postpartum animals were again bled daily followed by weekly bleeding until the next oestrus. Blood samples were centrifuged within 30 min and plasma stored at -20°C until assayed for progesterone and oestradiol-17ß.

Assay methods

Peripheral plasma levels of progesterone and oestradiol-17ß were determined by radioimmunoassay techniques (Giboni et al, 1977; Dada et al, 1984). Hormone concentration was calculated from linearised logit-log plots of standard curves. Inter- and intra-assay variations for progesterone were 11.5% and 10.9%, the corresponding values for oestradiol-17ß being 10.3% and 11.5%.

Results

Progesterone and oestradiol-17ß levels during periods of the cycle are summarized in Table 1.

Progesterone levels were very low during the first 3 d of the reproductive cycle (day 1 - day of oestrus) (Figure 1). A mean value of 0.25 ± 1.13 ng/ml at this stage was followed by a sharp rise to 0.81 ± 0.22 ng/ml and 1.13 ng/ml on days 4 and 5 (P < 0.01). There was a further rise (P < 0.01) in progesterone level on day 6. No further significant differences occurred until the day before parturition when a decline (P < 0.01) was observed. The postpartum progesterone level (0.34 ± 0.04 ng/ml) was lower (P < 0.01) than the level during pregnancy (3.40 ± 0.34 ng/ml).

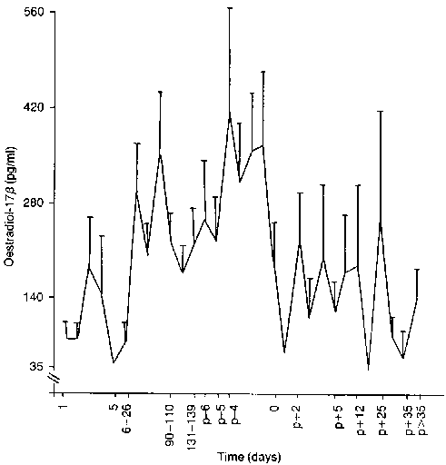
Oestradiol-17ß patterns did not follow any definite trend (Figure 2). Levels were relatively low during the first 26 d of the cycle and rose thereafter to day 140. A further rise occurred during the last 4 d of gestation but this dropped sharply on the day of parturition. Postpartum levels were generally lower than levels observed during gestation.

Table 1. Peripheral plasma progesterone and oestradiol-17ß levels in West African Dwarf goats during the reproductive cycle.

Phase of cycle

n

Progesterone ng/ml

Oestradiol-17ß pg/ml

24-6 h prepartum

250

3.41 ± 0.12c

309.9 ± 27.62c



(0.50 - 10.60)

(1.09 - 1508.3)

Parturition

11

0.74 ± 0.12b

191.60 ± 58.90b



(0 33 - 1.44)

33.26 - 548.34)

Postpartum

125

0.34 ± 0.04a

150.30 ± 24.30b



(0.03 - 2.75)

(5.76 ± 798.26)

1-3 d

33

0.25 ± 0.04a

109.60 ± 34.60b



(0.03 - 0.87)

(32.41 - 220.41)

4+5 d

18

0.97 ± 0.17b

92.90 ± 48.40a



(0.20 - 2.00)

2.85 - 116.83)

Note: 1. Values are expressed as means and standard errors, the range being indicated in parenthesis.

In the same column, values without a suffix letter in common differ (P < 0.01).

Discussion

The peripheral plasma progesterone profile during the reproductive cycle of the WAD goat was similar to that reported elsewhere (Thornburn and Schneider, 1972). The current observations suggest a similar luteal function to that of cattle (Kindahl et al, 1976) where there was an increase from day 4. The levels from day 6 until 24 h prepartum confirm that progesterone is exclusively derived from the ovaries during caprine pregnancy (Linzell and Heap, 1968). The abrupt progesterone decline 24 h prepartum is also consistent with earlier reports (Heap and Linzell, 1966; Blom and Lyngset, 1970; Challis and Linzell, 1971) and confirm that spontaneous parturition in the goat occurs as a result of luteal regression (Curie, 1974). The low levels of progesterone during the postpartum period show that ovarian cyclicity did not resume during the sampling period. The mean interval from parturition to the first postpartum oestrus was 55.7 ± 4.6 d. The mean level of 0.78 ± 0.39 ng/ml observed at 25 d to 30 d postpartum is an indication of some degree of ovarian activity in some of the does during this period.

Figure 1. Peripheral plasma levels of progesterone of West African Dwarf goats during the reproductive cycle.

Figure 2. Peripheral plasma levels of oestradiol-17ß of West African Dwarf goats during the reproductive cycle.

Peripheral plasma levels of oestradiol were erratic, particularly during the first 3 wk of gestation. There is no explanation for this phenomenon. It is known that oestrus in domestic animals is the result of oestradiol acting on the central nervous system bringing about psychic manifestation of heat (McDonald, 1977). It has also been suggested that the goat exhibits more pronounced oestrus behaviour than any other domestic animal (Fraser, 1968). The low levels of oestradiol-17ß observed on the day of oestrus would, therefore, appear contradictory but the high levels observed during pregnancy follow other results (Challis and Linzell, 1971; Thorburn et al, 1972). The substantial rise during the last 4 d of gestation might have been necessitated by the requirement for normal parturition.

Conclusions

Progesterone levels followed a definite pattern consistent with follicular and luteal phases and with ovarian inactivity postpartum. Oestradiol levels were erratic. It is recommended that progesterone levels be monitored in the practical application of clinical endocrinology in caprine reproduction (control of ovulation, oestrous synchronization, pregnancy diagnosis, determination of seasonality and the effects of certain diseases particularly trypanosomiasis) in Nigeria.

Acknowledgements

This project was supported by a grant of US $ 5000 from the International Foundation for Science. Antiserum for progesterone was obtained from G D Niswender of Colorado State University (GDN 337). Antiserum for oestradiol was obtained from the World Health Organisation Matched Reagent Programme.

References

Akusu M O and Egbunike G N. 1984. Fertility of the West African Dwarf goat in its native environment following PGF2-a induced oestrus Veterinary Quarterly 6: 173-176.

Akusu M O. Osuagwuh A I A, Akpokodje J U and Egbunike G N. 1986. Ovarian activities of the West African Dwarf goat (Capra hircus) during oestrus. Journal of Reproduction and Fertility 78: 459-462.

Bindon B M, Blanc M R. Pelletier J. Terqui M and Thimonier J. 1979. Peri-ovulatory gonadotropin and ovarian steroid patterns in sheep of breeds with differing fecundity. Journal of Reproduction and Fertility 55: 1525.

Blom A K and Lyngset O. 1970. Plasma progesterone levels in goats during pregnancy measured by CBG (Corticosteroid Binding Globulin) methods. Acta Physiologica Scandinavica 75: 25 (Abstract).

Carew R A B. 1982. Production potential and nutritional studies of goats and sheep in southwestern Nigeria. Ph.D. Thesis. University of Ibadan, Ibadan, Nigeria.

Challis J R G and Linzell J L. 1971. The concentration of total unconjugated oestrogens in the plasma of pregnant goats. Journal of Reproduction and Fertility 26: 401-404.

Curie W B. 1974. Regression of the corpus luteum of pregnancy and initiation of labour in goats. Journal of Reproduction and Fertility 36: 481-482.

Dada O A, Osinusi B O. Nduka E U. Osotimehin B O and Lapido O A. 1984. 17ß oestradiol, progesterone and testosterone in the normal menstrual cycle of Nigerians. International Journal of Gynaecology and Obstetrics 22: 151-154.

Edqvist L E, Einarsson S and Settergren I. 1974. Ovarian activity and peripheral plasma levels of oestrogen and progesterone in the lactating cow. Theriogenology 1: 43-49.

Edqvist L E, Ekman L, Gustafsson B. Jacobsson S O. Johansson D B and Linzell J L. 1972. Peripheral plasma levels of estrone and progesterone in pregnant cows treated with Dexamethasone. Acta Endocrinologica 71: 731-742.

Edqvist L E, Ekman L, Gustafsson B and Johansson D B. 1973. Peripheral plasma levels of oestrogens and progesterone during late bovine pregnancy. Acta Endocrinologica 72: 81-88.

FAO 1966. Agricultural development in Nigeria 1965-1980. Food and Agriculture Organisation, Rome, Italy.

Fraser A F. 1968. Tables of data on livestock reproduction. Edinburgh University Press, Edinburgh, UK.

Giboni G. Antoak E and Rothchild I. 1977. The role of oestrogen in the regulation of the luteal progesterone secretion in the rat after day 12 of pregnancy. Endocrinology 100: 1483-1495.

Heap R B and Linzell J L. 1966. Arterial concentration, ovarian secretion and mammary uptake of progesterone in goats during the reproductive cycle. Journal of Endocrinology 36: 389.

Kindahl H. Edqvist L E, Bane A and Ganstrom E. 1976. Blood levels of progesterone and 15 Keto-13, 14-Dihydro-prostaglandin F2-a during the normal oestrous cycle and early pregnancy in heifers. Acta Endocrinologica 82: 134-149.

Linzell J L and Heap R B. 1968. A comparison of progesterone metabolism in the pregnant sheep and goat: sources of production and an estimation of uptake by some target organs. Journal of Endocrinology 41: 433.

McDonald L E. 1977. Veterinary endocrinology and reproduction (2nd edition). Lea and Febiger, Philadelphia, USA.

Mori Y and Kano Y. 1984. Changes in plasma concentrations of LH, progesterone and oestradiol in relation to the occurrence of luteolysis, oestrus and time of ovulation in the Shiba goat. Journal of Reproduction and Fertility 72: 223-230.

Ogunbiyi P O. Molokwu E C I and Sooriyamoorthy T. 1980. Oestrus synchronisation and controlled breeding in goats using PGF2-a Theriogenology 13: 257-261.

Scaramuzzi R J and Radford H M. 1983. Factors regulating ovulation rate in the ewe. Journal of Reproduction and Fertility 69: 353-367.

Shearer I J. Purvis K, Jenkins G and Haynes N B. 1972. Peripheral plasma progesterone and oestradiol-17ß levels before and after puberty in gilts. Journal of Reproduction and Fertility 30: 347-360.

Thornburn G D, Nicol D H. Bassett J M, Shutt D A and Cox R I. 1972. Parturition in the goat and sheep: Changes in corticosteroids, progesterone, oestrogens and prostaglandin F. Journal of Reproduction and Fertility Supplement 16: 61-84.

Thornburn G D and Schneider W. 1972. The progesterone concentration in the plasma of the goat during the oestrus cycle and pregnancy. Journal of Endocrinology 52: 23-36.

Verne V, Han D K, Foster D B and Moody E L. 1981. Suckling effect on oestrus and plasma progesterone in post-partum beef cows. Journal of Animal Science 52: 802-812.

West African Dwarf goat in a house compound in Ghana


Previous Page Top of Page Next Page