把握食品价格通胀的影响,需要综合分析价格上涨对粮食安全和营养状况不同维度的冲击。基于历年《世界粮食安全和营养状况》分析框架,重点考察以下四个核心维度:
- 供应(物质层面存在安全且高营养的食物);
- 获取(人们获得食物的物质条件和经济能力);
- 利用(个体摄入吸收营养并转化为健康增益的能力);
- 稳定性(上述条件能长时间保持,尤指面对冲击或周期性压力时仍能保持)。
本轮全球性冲击(见第3.2节)已严重破坏全球粮食供应、获取、利用和稳定性。这一系列事件限制了主要产粮国的出口,阻断了肥料和能源等关键投入品的获取,并破坏了重要贸易通道,使粮食供给能力随之受损,粮食净进口发展中国家首当其冲。除了制约供给外,食品价格上涨还会削弱家庭获取食品的经济能力。导致购买力下降的原因可能是收入减少,通常发生在经济危机或经济放缓时段,或者由消费价格大幅上涨造成:两种原因都会导致实际收入减少,对消费者产生的影响十分类似,但由于根源不同,因而对策也不同。理论上,薪酬上涨本应抵消食品价格通胀的影响,但第3.3.1节中的实证表明,短期内收入增速并未跟上食品价格涨幅,致使家庭获取食品的能力不升反降。此外,随着食品价格上涨,家庭可能会压缩膳食多样性(通常转而依赖更廉价的食物),并调整家庭内部的食物分配模式,女性往往首当其冲成为受害者(见第3.3.2节)。因此,食品价格通胀可能会对家庭维持食物资源充分利用的能力产生负面影响。所以食品价格高通胀会通过两种机制影响食品消费和粮食安全。第一种是收入效应,即价格上涨会减少家庭的实际收入,限制其整体食品消费。第二种是替代效应,即家庭会调整自身的消费模式,用相对低价的食品(可能为低营养、低质量食品)替代。这种收入与价格失衡的严重程度和持续时间因国家而异,但已对很多弱势群体的粮食安全整体稳定性构成冲击。
食品价格通胀会加剧粮食不安全,破坏营养成效。第3.3.2节将基于粮食不安全体验分级表估算数据,深入探究食品价格上涨与粮食不安全状况之间的关联,揭示高通胀与粮食不安全状况加剧之间的明确关联。第3.3.3节将通过分析关键营养指标,引入清洁用水、卫生设施和公共卫生服务覆盖等混杂因子作为控制变量,探究食品价格通胀是否也与个体(特别是五岁以下儿童)营养状况恶化存在关联。正如概念框架(图3.6)所示,营养状况不仅取决于食物消费,还与更广泛的健康和环境因素密切相关,包括喂养方式、食物制备、免疫接种和医疗保健服务。尽管各种关系错综复杂,但分析发现,食品价格通胀越高,儿童的突发营养不良发生率就越高。
图3.6 粮食安全和营养维度及决定因素

3.3.1 通胀稀释实际收入
通胀令家庭购买力缩水,家庭愈发难以负担生活必需商品和服务。实际收入最终取决于劳动者生产率,但在短期内,薪酬与物价的调整往往并不同步,当经济体遭遇外部冲击和动荡时尤其如此。即便长期经济基本面依旧稳健,这种短暂失衡也会让家庭深陷困境。越来越多实证表明,宏观经济危机、粮食短缺或极端天气事件等短期经济冲击,倘若发生在人类发育关键窗口期,包括胎儿期和幼儿期,其负面影响可能会伴随终身。107–110面对此类损害长期健康的不良影响,亟需及时、精准施策,有效纾解通胀后果,尤其要优先保护弱势群体。
本轮全球高通胀(2021年至2023年)已导致民生状况显著恶化。2022年,随着通胀压力加剧,全球实际薪酬水平s下降了0.9%,104, 111这与既有实证研究的结论相一致,即大规模经济冲击可能引发高通胀,继而导致实际薪酬缩水。近年来,缅甸和斯里兰卡等国遭遇了严重社会经济危机。2022年,斯里兰卡爆发严重宏观经济危机,贫困率从13%(2021年)骤增至26%(2022年),短短一年翻了一番。无独有偶,2021年军事政变以来,缅甸经济持续萎缩,城乡贫困率分别激增19%和32%。112
历次通胀为经济复苏路径留下了重要启示。2007年至2008年和2011年至2012年粮食危机期间,埃塞俄比亚的实际食品薪酬(扣除食品价格通胀因素后的薪酬)下滑了22%,进一步加剧了粮食不安全状况与经济脆弱性。然而,随着经济企稳,薪酬增速反超通胀,2013年至2018年间实际食品薪酬跃升60%。112目前,类似态势正在重现:实际薪酬继2022年骤降后,已初现回升迹象。2023年,全球实际薪酬上涨了1.8%,2024年增幅达到2.7%。111
全球薪酬下滑与回升步伐严重分化,部分国家收入与食品价格同步变动,有助于让实际收入保持相对稳定。全球薪酬下滑与回升步伐严重分化,部分国家收入与食品价格同步变动,有助于让实际收入保持相对稳定。图3.7基于劳工组织数据,展示部分国家受雇人员月薪与食品价格通胀趋势。蒙古(图3.7C)的收入与食品价格变化基本保持同步,因此经食品价格调整后的薪酬虽有短期波动,但仍保持稳定。113墨西哥(图3.7B)呈现出类似趋势,收入与食品价格趋势大体一致。基于劳工组织数据,展示部分国家受雇人员月薪与食品价格通胀趋势。蒙古(图3.7C)的收入与食品价格变化基本保持同步,因此经食品价格调整后的薪酬虽有短期波动,但仍保持稳定。113墨西哥(图3.7B)呈现出类似趋势,收入与食品价格趋势大体一致。
图3.7 如埃及、墨西哥、蒙古和秘鲁的案例所示,全球受雇人员平均月薪的下滑和回升过程极不均衡

资料来源:受雇人员名义月薪数据参见劳工组织。2025。劳工组织统计数据库:薪酬统计数据。[2025年3月10日访问]。https://ilostat.ilo.org/topics/wages。许可:CC-BY-4.0;食品消费价格指数数据参见:粮农组织。2025。粮农组织统计数据库:消费价格指数。[2025年6月18日访问]。https://www.fao.org/faostat/zh/#data/CP。许可:CC-BY-4.0。
然而,很多国家实际收入持续下滑,家庭愈发难以满足基本食品需求。在埃及(图3.7A),由于高度依赖从俄罗斯联邦和乌克兰进口小麦,同时面临严重外汇短缺,2022年中以来食品价格涨速远超薪酬。114, 115在秘鲁,2020年初至2023年末,食品价格出现飙升。截至2023年末,劳动者收入仅增长6.6%,而食品价格却较疫情前(2020年第一季度)飞涨34.5%(图3.7D)。116总体而言,现有实证清晰表明,本轮通胀已使部分国家家庭食品支出预算承受重压。
受冲突影响国家面临的挑战尤为严峻,随着实际薪酬持续下滑,家庭愈发难以满足基本食品需求。尽管劳工组织的薪酬数据集为分析受雇人员月薪提供了宝贵依据,但其覆盖范围有限,通常不含自雇劳动者、小企业员工、非正规经济部门从业者和农村地区群体。为填补这一数据缺口,插文3.4援引世界粮食计划署补充数据,追踪2020年至2024年间伊拉克、阿拉伯叙利亚共和国和也门当地市场非技术工种劳动者薪酬与主粮价格趋势。相关数据为研判受冲突影响国家弱势劳动者的生存状况提供了更精细的分析维度。在此期间,三国的实际食品薪酬(即扣除食品价格通胀因素后的薪酬)均大幅下挫,回升轨迹亦呈现分化。持续冲突与动荡局势是非技术工种薪酬至今未能回到2020年初水平的主要障碍。
插文3.4部分受冲突影响国家实际食品薪酬分析
在受冲突影响的国家里,实际食品薪酬的动态变化能直观地反映高通胀与经济震荡下食品经济可负担性与购买力困境。长期冲突、经济动荡以及疫情和乌克兰战争等全球性危机致使食品价格与名义薪酬双双遭受重创,收入与基本生活支出之间的鸿沟日益拉大。由于薪酬增速赶不上食品价格涨幅,家庭购买力持续缩水,贫困与粮食不安全状况愈发严峻。
实际食品薪酬分析采用名义薪酬作为收入代用指标,通过主粮价格指数扣除食品价格通胀因素的影响。主粮价格指数追踪各国基础主粮(小麦粉)的价格趋势,并以时间序列初始观测值为基准进行标准化处理。实际食品薪酬采用主粮价格指数对名义薪酬进行平减处理后计算,并按2021年购买力平价美元折算,确保跨国可比性。分析涵盖2020年1月至2024年12月期间数据。数据源自受冲突影响国家的市场实测,经汇总后计算得出全国平均值。
在伊拉克(图A,子图A),实际食品薪酬在疫情冲击及后续经济动荡中遭受重挫,回升乏力。2020年末出台的货币贬值政策引发食品价格陡升,乌克兰战争爆发后全球食品和能源价格飙升更令形势雪上加霜。尽管名义薪酬小幅稳增,但仍不足以抵消主粮成本攀升。截至2024年末,伊拉克的实际食品薪酬仍大幅低于疫情前水平,可见家庭在层出不穷的挑战面前始终难以维持购买力。
图A 截至2024年,受冲突影响国家食品价格与薪酬之间的差距仍未弥合

资料来源:作者(粮食署)参考粮食署未公开数据自行编制。
在阿拉伯叙利亚共和国(图A,子图B),长期冲突与经济困境叠加全球性危机影响,致使食品价格飞涨,同期薪酬增长却严重滞后。2020年至2024年,该国经济深陷粮食与燃料短缺、经济制裁以及货币贬值的多重困境。以上因素叠加乌克兰战争的连锁反应,导致主粮价格骤升,2021年和2022年涨势尤为凶猛。尽管薪酬自2023年起开始回升,但实际食品薪酬仍远未回到2020年1月的基线水平。随着2024年末复兴党政权垮台,其经济企稳复苏前景依旧充满变数。
在也门(图A,子图C),旷日持久的冲突令经济脆弱不堪,整个分析周期内食品价格始终高企。疫情与乌克兰战争的双重冲击进一步加剧了也门的食品价格通胀。2023年为期六个月的停火曾使价格水平进入短暂平稳期,期间名义薪酬小幅回升,但增速仍远落后于2021年和2022年的实测食品价格上涨幅度。截至2024年末,尽管购买力有所回升,但实际食品薪酬水平仍远低于2020年1月水平,可见经济动荡与冲突对家庭购买力的影响仍在持续。
家庭一旦面临实际收入短期或长期下滑,通常会以多种策略应对冲击。具体对策包括变卖资产(包括生产资料);更依赖侨汇;拓宽收入来源;削减预防性医疗保健或子女教育等其他重要项目支出。117, 118值得关注的是,家庭还会为此调整食品消费结构,包括转而购买价格、营养更低的食品;119减少餐食种类和频次;120优先保障特定家庭成员的食物需求,往往减少女性和儿童的食物摄入,确保其他家庭成员摄入足够食物。121, 122
实证表明,此类对策呈普遍化趋势。疫情期间对肯尼亚和乌干达的快速评估显示,至少40%的受访者以削减食物种类、减少餐次或减缩餐食份量的方式调整膳食结构。123内罗毕贫民窟69%的家庭表示已减少每日餐次。124尼日利亚中北部农村地区95.8%的家庭表示已减少偏好的食物,83.5%的家庭表示已缩减餐食份量。125同样,加纳北部69%至97%的家庭通过减少餐食份量或频次应对饥饿。126粮食署对巴勒斯坦的评估发现,当食品价格飞涨(食品消费价格指数上涨15%,小麦粉价格暴涨70%),半数家庭减少了食品消费量,主要是削减肉类和乳制品消费(占比89%),其次是减少整体食物消费(占比76%)。120
3.3.2 通胀加剧粮食不安全
食品价格上涨会对家庭粮食安全构成潜在威胁。t2014年至2024年,不同收入水平国家经历的粮食不安全状况呈现差异,每逢食品价格飞涨,便会随之显著恶化。u本节分析2014年至2024年间食品价格年度趋势,探究其与不同收入组别国家粮食不安全平均水平之间的关联(图3.8)。
图3.8 低收入和中等偏下收入国家面临着高水平中度或重度粮食不安全和食品价格通胀

资料来源:Nakasone, E.和Ignaciuk, A.(即将出版)。《对食品价格动态与粮食不安全的全球评估 - 〈2025年世界粮食安全和营养状况〉背景文件》。粮农组织农业发展经济学工作文件,第25-09号。罗马,粮农组织。
低收入国家的食品价格通胀率全球最高(图3.8A),同时也面临粮食不安全发生率大幅上升。本轮通胀伊始至今,这一关联尤为突出:自2020年以来,随着食品价格急剧上涨,粮食不安全发生率也在同步加速攀升。2019年至2024年,中度或重度粮食不安全发生率上升了6.7个百分点,重度粮食不安全发生率上升了3.5个百分点。从政策视角看,这一趋势尤其值得警惕,因为低收入国家大多数家庭在食品价格飞涨等冲击面前本就脆弱不堪。
中等偏下收入国家(图3.8B)的粮食不安全状况同样急剧恶化。尽管2019年至2024年间中等偏下收入国家的食品价格年均通胀率为7%,低于低收入国家的11%,但中度或重度粮食不安全发生率仍上升了5.6个百分点,重度粮食不安全发生率上升了1.6个百分点。发生率急剧攀升很可能源于该组别多个国家(例如黎巴嫩和缅甸)受到冲突v与更广泛经济压力的叠加影响。其他受冲突影响的国家(例如尼日利亚和巴基斯坦)由于人口基数大,也因此推高了中等偏下收入国家的总体粮食不安全发生率,凸显出不同情境下粮食不安全驱动因素错综复杂且彼此交织。
相比之下,中等偏上收入和高收入国家(图3.8C和图3.8D)的粮食不安全状况基本没有变化。高收入国家的中度或重度粮食不安全发生率上升了0.9个百分点,中等偏上收入国家则下降了1.2个百分点。这可能涉及多重因素。例如,此类国家(特别是高收入国家)的通胀率始终维持相对低位(图3.2),因此家庭满足膳食需求的购买力并未出现其他地区缩水的情况。此外,较高收入国家的不平等程度通常较低。130以下分析表明,不平等程度较低国家的粮食不安全水平对食品价格通胀加剧的敏感度弱于不平等程度较高的国家。此外,较富裕国家通常具备更健全的社会保护体系和更充足的资源,有能力在困难时期救济民众。特别值得一提的是,大力度救助措施,例如疫情期间实施的救助计划,能有效缓解通胀对粮食安全的冲击。w例如,多个高收入国家扩大了社会保护覆盖范围,并补充出台了食品和能源专项补贴,以有效抑制食品价格通胀对民生的冲击(见第4.1节)。
食品价格上涨会导致粮食不安全状况随之恶化。图3.9以散点图形式展示2014年至2024年间粮食不安全状况与食品价格之间的关联,x每个数据点代表粮食不安全体验分级数据集里每个国家年份的粮食不安全发生率,并对应实际食品消费价格指数平均值y。图中可见,粮食不安全状况与食品价格呈正相关但非线性关联。在大多数实测数据中,食品价格越高,粮食不安全发生率越高。然而,当国家已承受食品价格高企的重压时,即便价格进一步上涨,似乎也不再会加剧粮食不安全状况。
图3.9 2014年至2024年间粮食不安全状况与食品价格之间的关联

资料来源:Nakasone, E.和Ignaciuk, A.(即将出版)。《对食品价格动态与粮食不安全的全球评估 - 〈2025年世界粮食安全和营养状况〉背景文件》。粮农组织农业发展经济学工作文件,第25-09号。罗马,粮农组织。
多重因素会影响食品价格与粮食不安全状况之间的关联,包括各国特有国情和冲击因素。这类差异会影响国家或家庭面对经济或环境危害时的暴露度、敏感性和适应力。食品价格高企本身构成冲击,较脆弱国家里的家庭往往更易陷入难获食物的困境。137而制度体系与治理架构更完善的国家普遍更能有效缓解食品价格飞涨对粮食安全的冲击。此外,经济下行或极端气候等外部冲击会进一步加剧食品价格与粮食不安全状况之间的关联。136, 138, 139例如,宏观经济冲击导致的国内生产总值萎缩既会引发通胀压力,又会同步制约家庭获取食物的能力。z, 136
食品价格通胀与粮食不安全状况加剧呈正相关性。在其他因素不变的前提下,食品价格每上涨10%,中度或重度粮食不安全发生率就会相应上升3.5%,重度粮食不安全发生率上升1.8%(图3.10)。2020年疫情危机暴发初期,全球人均国内生产总值骤降3.8%,142疫情冲击之剧可见一斑。随着经济大幅萎缩,粮食不安全状况显著恶化。2019年至2020年,全球中度或重度粮食不安全人口比例从25%骤升至28.8%,其中重度粮食不安全人口占比从9.1%攀升至10.5%(见第2章)。随着全球经济强势回升(2021年人均国内生产总值增长5.6%),并在随后几年保持较温和增长(2022年和2023年人均国内生产总值分别增长2.5%和2.3%),粮食不安全状况本有望回落至疫情前水平。但复苏步伐缓慢乏力:2024年,中度或重度粮食不安全发生率高达28%(较2019年高3个百分点)。尽管全球接连遭遇多重重大冲击,例如乌克兰战争、自然灾害和畜禽疫病(见第3.2节),但本节分析表明,食品价格通胀可能正是拖累复苏进程的关键因素。
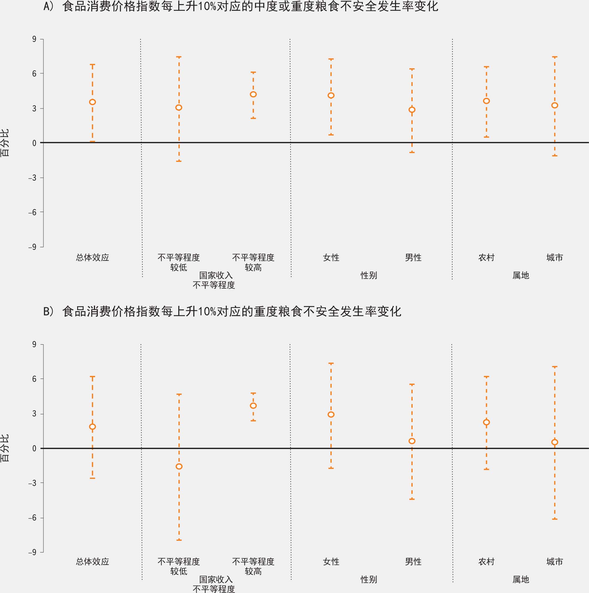
图3.10 在食品价格通胀引发中度或重度粮食不安全发生率上升之际,高度不平等国家、女性和农村人口更显脆弱

资料来源:Nakasone, E.和Ignaciuk, A.(即将出版)。《对食品价格动态与粮食不安全的全球评估 - 〈2025年世界粮食安全和营养状况〉背景文件》。粮农组织农业发展经济学工作文件,第25-09号。罗马,粮农组织。
通胀影响因国家和群体而异。值得一提的是,在收入不平等程度较高的国家,食品价格通胀与粮食不安全状况之间的关联强于不平等程度较低的国家aa(图3.10)。在不平等程度较高的国家,弱势群体规模较为庞大,社会保护机制较为薄弱,因此即便食品价格小幅上涨,也会对粮食安全状况产生显著不利影响。由此可见,解决不平等问题是影响全球粮食安全趋势的关键因素。136, 144
食品价格通胀会显著加剧女性的粮食不安全状况,说明性别差距依然根深蒂固(图3.10)。女性传统上承担着照护责任,获取生产资料的渠道有限,普遍从事低薪工作,并且难以享受公共服务,因此面对食品价格上涨时缺乏应对手段。145这一现象与更广泛的实证研究相吻合,证明女性在危机时期常常充当“减震器”,往往通过减少自身食物摄入,优先保障其他家庭成员的食物供给。121, 146例如,疫情期间快速评估显示,女性比男性更有可能选择减餐缩食,147因而在食品价格通胀冲击下更加脆弱。基于粮食不安全体验分级表开展的男女粮食不安全状况对比分析(见第2.1节)显示,疫情暴发后2020年至2021年间,性别差距显著拉大。
由于结构性与经济因素双重制约,农村人口面对食品价格通胀时更显脆弱。图3.10显示,与城市地区相比,农村地区食品价格与粮食不安全状况之间的关联更强。理论上,若农村家庭为食品净卖方,可从食品价格上涨中获利,但实证研究表明,大多数农村家庭实际为净买方,15–21这一属性使其难以从价格上涨中获利。ab此外,农村家庭的收入中食品支出占比通常较高,导致非食品类支出的灵活调整空间有限。ac因此,农村家庭削减非食品类非必要支出的余地较小,面对粮价上涨时更显脆弱。
3.3.3 通胀可能影响营养状况
食品价格上涨可能限制弱势群体实现膳食多样性,特别是儿童。在婴幼儿辅食喂养阶段,动物源性食品、豆类、坚果和籽仁、水果和蔬菜对于实现最佳生长发育至关重要。然而,此类关键食物在幼儿膳食中常常缺席。1536至23月龄儿童辅食喂养正日益注重添加高营养食物,同时不鼓励过度依赖淀粉类主粮,因为这类食物主要提供能量,而缺乏必需微量元素。154食品价格通胀会显著影响儿童的膳食结构,尤其不利于达到最低膳食多样性标准(见第2.3节)。一旦蔬菜及其他营养丰富的食品价格上涨,普通家庭,特别是经济困难的家庭,在为幼儿备餐时,可能会选择通常缺乏必需维生素和矿物质但价格更低廉的超加工食品作为替代。这种消费门槛可能导致膳食质量下降,进而引发发育迟缓和消瘦等营养不良问题。155
消瘦作为突发重度营养不良的关键指标,能反映五岁以下儿童身高别体重过低的比例。ad导致消瘦的部分原因是短期营养不足,因而这一指标已成为监测冲击对儿童营养直接影响的有效衡量指标。发育迟缓和消瘦ae同为长期指标,前者反映营养不足的长期影响,后者对经济或环境危机的反应更为敏感。例如,一旦家庭收入因疫情等危机骤减,157消瘦发生率往往随之攀升。据《2021年世界粮食安全和营养状况》报告139估算,根据中等情景,2020年至2022年间低收入和中等收入国家新增1120万五岁以下消瘦儿童,其中仅2020年一年就新增690万人。根据悲观情景,这一数字可能进一步升至1630万人。
消瘦儿童面对其他健康冲击时格外脆弱,且死亡风险升高。重度消瘦常由高营养食物摄入不足引发,会削弱消化系统的营养吸收功能,损害免疫系统抵御哪怕是常见疾病的机能。重度消瘦儿童因肺炎等常见疾病而死亡的风险较营养状况良好的儿童高,最高可达11倍。158此外,幼年罹患消瘦不仅会增加死亡风险,还会增加发育迟缓概率,甚至影响终身健康。af, 167
历次全球食品价格飞涨均损害了儿童营养状况,尤其是显著提高弱势群体的消瘦率。例如,2007年至2008年全球粮食危机期间,莫桑比克的儿童消瘦发生率出现上升。168印度的儿童消瘦比例同样上升,其中低收入和中等收入家庭的儿童首当其冲。169
历次食品价格通胀始终伴随着消瘦率攀升。44个低收入和中等收入国家的分析数据显示,实际食品价格每上涨5%,五岁以下儿童消瘦和重度消瘦发生率就会分别上升9%和14%。155分析发现,幼儿群体面对食品价格冲击时格外脆弱,业已普遍存在粮食不安全问题的地区形势尤为严峻。
本轮食品价格通胀或已加剧儿童消瘦风险。基于1985年至2023年间全球约150个国家的数据,本节分析发现,食品价格每上涨10%,五岁以下儿童消瘦和重度消瘦发生率就会分别上升2.7%至4.3%和4.8%至6.1%(表3.1)。正如第3.3节所述,营养状况不仅受食物获取因素影响,还与医疗卫生服务覆盖密切相关。为此,表3.1新增回归模型,引入基础医疗卫生指标作为控制变量,例如用水和卫生设施覆盖以及人均公共卫生支出。额外引入此类控制变量后,结论仍然成立。完整回归分析结果参见表3.1,计量经济模型详见Nakasone和Ignaciuk的研究(即将出版)。144
表3.11985–2023年食品价格与消瘦之间的关联

资料来源:Nakasone, E.和Ignaciuk, A.(即将出版)。《对食品价格动态与粮食不安全的全球评估 - 〈2025年世界粮食安全和营养状况〉背景文件》。粮农组织农业发展经济学工作文件,第25-09号。罗马,粮农组织。
分析发现了一个亟待解决的政策难题:本轮全球通胀率飙升或已加剧了突发营养不良状况,致使亿万儿童陷入高危境地,面临严重健康风险。2022年1月至2023年1月,全球食品价格年同比涨幅触顶,一度高达13.6%(图3.1),同期低收入和中等偏下收入国家的涨幅分别高达25.2%和11.8%(图3.2)。在此期间,65%的低收入国家和61%的中等偏下收入国家(两类国家加在一起总人口超过15亿)面临着10%或以上的食品价格通胀率。两类国家的儿童消瘦率同步上升。2024年,低收入和中等偏下收入国家的儿童消瘦发生率分别为6.4%和9.5%(见附件1A)。分析结果表明,食品价格通胀已对此类尤为脆弱的群体广泛构成严峻威胁。